摘要 耐久性问题是限制质子交换膜燃料电池(PEMFC)大规模商用化的关键问题之一,性能退化预测是当前的研究热点,同时可为PEMFC耐久性问题提供解决思路。针对PEMFC电压退化预测精度提升问题,首先提出一种变体粒子群优化算法在线优化卷积神经网络(CNN)、双向长短期记忆(BiLSTM)神经网络和注意力机制(Attention)混合模型参数的PEMFC电压退化预测方法。所提方法首先利用绝对中位数偏差法、高斯移动平均滤波器和最大-最小值算法对历史电压数据进行去噪、平滑和归一化处理;然后引入变体粒子群优化算法,通过模型预测在线优化模型参数,提升了模型预测精度和鲁棒性;最后使用稳态和动态电压老化数据集验证了所提方法的可行性和高精度。
关键词:质子交换膜燃料电池 性能退化预测 注意力机制 参数优化
质子交换膜燃料电池(Proton Exchange Membrane Fuel Cell, PEMFC)作为一种清洁、高效且可再生的能源转换装置[1],具有高能量密度、无污染、高效率、工作温度低[2]等优点,被认为是有前途的新能源装置之一,目前已广泛应用于微电网、混合动力船舶、固定式发电站、汽车和便携式设备等领域[3]。然而,PEMFC的性能会因其本身的结构、材料属性以及复杂的运行环境而发生不可逆的退化,耐久性和高成本问题严重制约了其在全球范围内的商业化应用[4],尤其是在燃料电池汽车领域。因此,准确地预测PEMFC的老化趋势和估计其剩余使用寿命(Remaining Useful Life, RUL)具有重要意义[5],不仅有助于降低燃料电池系统的维护成本、预防灾难性故障的发生,还能有效延长其使用寿命[6]。
目前关于PEMFC寿命预测研究主要有三种方法:模型驱动方法、数据驱动方法以及二者结合的混合方法[7-8]。模型驱动方法基于对PEMFC内部物理化学过程的深入理解和建模,通过建立数学模型来描述PEMFC的工作原理和老化机制,从而预测其性能退化和剩余使用寿命。G. A. Futter等[9]考虑了PEMFC组件层面的老化机理,建立了PEMFC不同运行工况下的老化模型,分别对催化剂层和质子交换膜的老化机理进行了解释。Chen Kui等[10]通过将无迹卡尔曼滤波器和电压老化模型相结合,使用真实工况下的燃料电池汽车实验数据集研究了不同训练长度对所建模型预测结果的影响,同时验证了不同动态工况条件下PEMFC的老化预测性能。Ma Rui等[11]建立了PEMFC系统物理信息老化模型,研究发现燃料电池内部的电化学反应会引起内部温度、气体流量以及溶液条件发生变化,这些变化会导致质子交换膜、电极、催化剂层和气体扩散层产生不同程度的老化。模型驱动方法虽然能够在描述PEMFC内部各组件物理现象的基础上提供机理解释,但其内部各组件之间复杂的多尺度特性导致建模需要精确的参数和复杂的计算[12]。
数据驱动方法无需深入理解PEMFC系统内部老化机理,主要基于最小二乘支持向量机、高斯过程状态空间模型和各种神经网络[13-15]等机器学习方法,从而实现对燃料电池性能退化和RUL的精确预测,目前已被广泛应用。杨淇等[16]提出了一种集成极限学习机模型,对PEMFC系统RUL进行长期预测。为了提升RUL预测精度,使用局部强化优化器对测试结果进行了优化,同时在长期预测结果中,计算了模型预测结果的95%置信区间和平均值,提升了预测模型鲁棒性,最后采用多工况条件下的老化数据集验证了所提方法的精度与可行性。Deng Zhihua等[17]提出了一种基于遗传算法(Genetic Algorithm, GA)优化的堆叠回声状态网络的PEMFC性能退化预测方法。该方法使用堆叠回声状态网络处理时间序列复杂的非线性动态数据,同时使用GA优化网络参数,以提高模型的预测精度和泛化能力,并通过实验验证了所提方法在预测PEMFC退化趋势方面表现出了较高的准确性和可靠性。Tang Xingwang等[18]提出了一种基于在线迁移学习的PEMFC在线退化模型。该模型引入了迁移学习和Transformer神经网络,通过实验发现,模型能够有效地利用源域数据知识,快速适应目标域的预测任务,从而提高模型的预测精度和实时性。尽管数据驱动方法在无需详细了解老化机制的情况下能够实现高性能预测,但在数据训练过程中产生的网络参数往往是固定不变的,因此在预测过程中对数据中的频繁扰动特征预测精度有限[19-21]。
混合方法旨在综合利用模型驱动和数据驱动方法的优势,通过结合PEMFC的物理知识与实测数据信息,实现准确的寿命预测[22]。Ke Chang等[23]提出了一种结合降解机制和深度学习的混合方法,用于在动态负载循环条件下PEMFC的寿命预测。首次考虑了过电压与膜电极组件降解之间的机理关系以及动态负载循环条件下负载电流的特性,量化了催化剂和膜降解对整体性能的影响,通过实验表明,提出的混合预测方法能够准确预测PEMFC的退化趋势和估计RUL。Li Haolong等[22]首先开发了一种混合健康指标,用于表征PEMFC在静态和动态工作条件下的衰变行为;其次提出了一种基于分位数回归和双向门控循环单元的区间预测模型;同时使用麻雀搜索算法进行模型最优超参数匹配;最后通过构建不同数量的区间来实现PEMFC的衰变波动范围预测。实验结果表明该方法在多工况、多步长、多训练数据长度条件下预测精度较高。然而,混合方法其算法复杂度和计算量相对较高,需要进一步优化以平衡性能与计算资源之间的关系;此外,在预测过程中难以实时修正老化趋势,使得迭代精度较难控制。
对比以上三种PEMFC RUL预测方法,基于数据驱动的方法无需深入理解PEMFC内部复杂的物理机制,并且能够清晰地表达出历史电压数据的动态变化特征,此外,数据驱动方法易于实现和部署,计算复杂度较低,比较适合实车在线应用。但是数据驱动方法训练模型参数在预测阶段是固定不变的,而往往在训练数据量发生变化时会导致模型拟合效果不佳或出现过拟合[13],使得模型预测精度和泛化性能受到影响。因此,本文在基于数据驱动模型的基础上提出一种卷积神经网络(Convolutional Neural Network, CNN)、双向长短期记忆(Bidi- rectional Long Short Term Memory, BiLSTM)神经网络和注意力机制(Attention)混合模型参数在线优化的PEMFC RUL预测方法。该方法首先使用绝对中位数偏差法和高斯移动平均滤波器对电压数据进行降噪和平滑处理,采用3次样条插值的方法,对数据进行1 h时间间隔重构;然后在粒子群优化(Particle Swarm Optimization, PSO)及其变体中选择适用于处理复杂、非线性问题时具有较高的鲁棒性和准确性的学习因子异步化粒子群优化(Asynchronous Learning-factor Chaotic Particle Swarm Optimization, AsyLnCPSO)和自适应权重粒子群优化(Self- Adaptive Particle Swarm Optimization, SAPSO)算法用于模型参数在线优化,将以上两种PSO算法分别嵌入CNN-BiLSTM-Attention模型,构成参数在线优化的PEMFC RUL预测模型;最后基于稳态和动态工况数据集,分别与CNN-BiLSTM-Attention、CNN-BiLSTM、CNN和BiLSTM预测模型进行变训练集占比输出电压预测对比,验证所提模型的有效性。研究内容主要创新之处为:
(1)针对PEMFC电压退化预测精度提升问题,提出一种模型参数在线优化的预测方法。
(2)研究优化算法参数对全局搜索与局部细化能力的影响。采用性能测试函数综合对比得出适用于PEMFC电压退化预测的AsyLnCPSO和SAPSO算法。
(3)利用AsyLnCPSO和SAPSO作为优化算法在线优化CNN-BiLSTM-Attention模型学习率、卷积核大小、BiLSTM神经元个数以及注意力机制键数量等参数,使模型在PEMFC电压退化预测过程中始终工作于最优状态,有效地提升了模型预测精度和鲁棒性,降低了模型数据依赖性。
本文使用的PEMFC老化实验数据来自IEEE 2014 PHM数据挑战[24]的燃料电池老化数据集。该PEMFC堆由5片单体电池组成,各单体活化面积为100 cm2,额定电流密度为0.7 A/cm2,最大电流密度为1 A/cm2,其相应工作参数设置见表1。老化实验总共监测收集了稳态工况FC1(0.70 A/cm2恒流运行1 154 h)和动态工况FC2(FC1基础上加入5 kHz的三角波干扰运行1 020 h)两组工况数据,且各工况共有电流、电压、温度、气体出入口压力和流量等24维数据。FC1和FC2部分典型老化数据如图1所示。
表1 PEMFC运行参数
Tab.1 PEMFC operating parameters
参 数数 值 电池负载电流/A70 气体压力/bar0~2 最高工作温度/℃80 相对湿度(%)50 空气流量/(L/min)23 氢气流量/(L/min)4.8 实验时间/h FC11 154 FC21 019
根据已有研究结果可以发现,PEMFC电压老化数据最能体现老化特性[8],因此本文选择电压作为老化指标。PEMFC数据采集条件、电压恢复现象和电堆本体材料属性的固有差异,导致原始电压数据中存在明显噪声和尖峰[13],会对模型训练产生不利影响,模型数据计算耗时较大。因此采用绝对中位数偏差法辨识并剔除离群点,同时使用高斯移动平均滤波器消除高频干扰,从而净化数据集。完成净化步骤后,为了优化计算效率,同时在保留原始数据退化特征和趋势的基础上,采用3次样条插值的方法,对数据进行1 h时间间隔重构。不仅可解决后续数据训练计算繁琐的问题,还保证了数据的时间连续性和代表性。图2为经过上述处理后与原始数据的对比结果(H2为氢气),从图中可以直观地看到,重构之后明显改善了数据质量。

图1 部分典型老化数据
Fig.1 Some typical aging data
图2 PEMFC电压老化数据
Fig.2 PEMFC voltage aging data
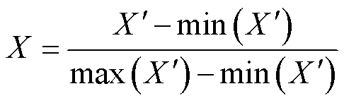
为了提高预测模型的预测精度和收敛速度,采用最大-最小值归一化数据处理方法对重构后的电压老化数据进行归一化处理,使数据映射到[0, 1]范围内,其计算公式[25]为
(1)
式中,
为原始数据;X为归一化处理后的数据。
时序神经网络参数优化所用优化算法主要以GA和PSO算法及其变体为主,并且PSO算法以其高效、简单、易于实现、收敛速度快、全局搜索和局部细化能力强等[26-27]优点在PEMFC寿命预测研究领域表现优异。PSO算法无需像GA进行编码和解码操作,可直接处理实数编码解。此外,PSO算法通过粒子间的合作与信息共享实现全局搜索,而且该算法中的惯性权重和加速因子动态可调,能平衡全局与局部搜索能力,使算法具备一定自适应性[28]。
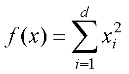
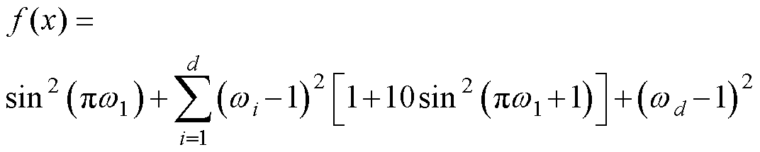
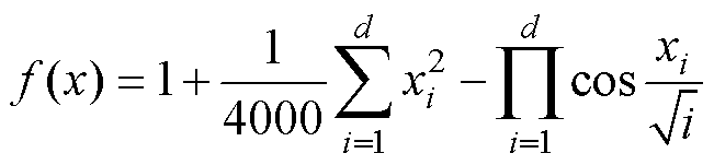
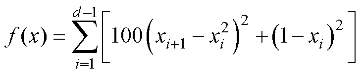
因此本文搜集了PSO算法及其变体共11种算法,通过使用8个测试函数分别从算法全局寻优能力、收敛速度及算法实用性等方面进行比较[29],对比得出适用于处理复杂、非线性特征强烈的优化算法用于PEMFC寿命预测研究。11种算法特性和适用范围总结见表2;8个测试函数表达式如式(2)~式(9)所示,特性、搜索范围及全局最优解见表3。测试函数搜索范围各不相同,所以为使测试函数均能工作于所需搜索空间内,测试范围统一设置为[-500, 500],确保即使是具有更大定义域的函数也能参与测试。11个被测试算法均是在标准PSO的基础上加以改进得到,影响其性能的参数[30]为惯性权重w、认知系数c1和社会认知系数c2。其中,w的设置范围在0.4(多样性弱)~0.9(多样性强)之间,主要用于控制粒子在搜索过程中保持原有运动方向的能力,w直接影响算法的全局探索能力和局部开发能力之间的平衡;c1设置范围在1.5(开发阶段)~2.5(探索阶段)之间,c2设置范围在2.5(开发阶段)~1.5(探索阶段)之间,c1控制个体粒子朝向其自身最佳位置移动的趋势(认知部分),而c2则控制粒子朝向群体最佳位置移动的趋势(社会部分),c1和c2直接影响到算法的探索和开发能力,如果c1较大,粒子更倾向于根据自己的经验进行搜索,如果c2较大,则粒子更倾向于跟随群体的最佳位置。因此,针对PEMFC寿命预测所具有的复杂强非线性问题,w、c1和c2统一设置为0.9、2和2,这样既有助于算法有效地平衡全局搜索与局部细化的能力,也可以保证粒子具有足够的动力在去探索新区域的同时也能够有效地利用已知信息。
表2 优化算法
Tab.2 Optimistic algorithm
优化算法特性适用范围 自适应学习综合粒子群优化(ALCPSO)自适应学习策略调整粒子的学习行为,平衡全局探索与局部开发适用于复杂、多模态函数优化问题 学习因子异步化粒子群优化(AsyLnCPSO)非同步学习机制改进的标准PSO,增强算法跳出局部最优的能力适合解决需要高维度搜索空间和存在大量局部极小值的问题 基于距离行为模型的粒子群优化(BdPSO)处理边界条件时具有特定策略,避免粒子过早收敛特别适用于解空间边界对结果有显著影响的问题 基于杂交的粒子群优化 (BreedPSO)结合了遗传算法中的繁殖概念,增加了解的多样性用于需要保持种群多样性的场景,尤其是当传统PSO容易陷入局部最优时 线性递减权重粒子群优化 (LinWPSO)使用线性递减惯性权重策略,以平衡探索与开发能力广泛用于各种优化问题,尤其要求动态调整搜索策略的情况 学习因子同步化粒子群优化(LnCPSO)利用邻居学习机制指导粒子更新,提高算法收敛速度适用于需要快速找到接近最优解的场合 标准粒子群优化(PSO)基础版本粒子群优化算法,通过群体智能搜索可以用于任何类型的连续优化问题 自适应权重粒子群优化 (SAPSO)具备自我调节参数的能力,以自适应不同的优化环境适合于参数敏感型优化任务 二阶粒子群优化(SecPSO)引入二阶信息 (加速度),理论上能更快地逼近最优解对于精度要求较高的优化问题效果显著 二阶振荡粒子群优化 (SecVibrat PSO)结合振动机制和二阶动力学,增强算法克服障碍的能力适用于复杂优化任务,尤其是存在多个局部极小值的情形 基于自然选择的粒子群优化(SelPSO)基于选择机制更新粒子状态,类似于自然选择过程中的优胜劣汰原则适合长期可持续改进解决方案的优化问题
表3 测试函数
Tab.3 Test functions
函数特性搜索范围全局最优解 Rosenbrock非凸、山谷状的函数,收敛到全局最小值相对困难[-5, 10]f(1, 1)=0 Ackley多模态,高维空间中具有许多局部极小值,对优化算法要求较高[-32.77, 32.77]f(0, 0,…, 0)=0 Rastrign非线性、多模态,搜索区域内有许多极大值和极小值,寻找全局最小值较难[-5.12, 5.12]f(0, 0,…, 0)=0 Sphere连续、单峰、凸函数、无局部极小值,对于评估算法收敛速度问题表现优异[-100, 100]f(0, 0,…, 0)=0 Griewank多峰,具有许多局部极小值,但全局最小值明确,对优化算法要求较高[-500, 500]f(0, 0,…, 0)=0 Schwefel非凸、多峰,有多个局部极小值,全局最小值仅一个,寻找全局最优解较难[-500, 500]f(420.968 7, 420.968 7,…, 420.968 7)=0 Levy非凸,具有许多局部极小值,检验优化算法能否跳出局部最优,并找到全局最优解方面表现优异[-10, 10]f(1, 1,…, 1)=0 Easom具有一个明显的全局最小值,周围有多个局部极小值,测试算法是否能够精确地定位到全局最优点表现优异[-100, 100]f(p, p)=-1
根据上述参数设置,利用表3中的8个测试函数分别计算表2中11个优化算法全局最优解,全面评估和比较优化算法全局搜索与局部细化能力,测试结果见表4。结合表2~表4分析可得,AsyLnCPSO和SAPSO算法在所有测试函数中均能展现出优异性能,并且在非线性和多模态函数上尤为突出,这两种算法在处理复杂、非线性问题时表现出较高的鲁棒性和准确性。因此本文选择AsyLnCPSO和SAPSO算法作为优化算法。
表4 测试结果
Tab.4 Test results
算 法函 数 RosenbrockAckleyRastrignSphereGriewankSchwefelLevyEasom ALCPSO00000.000 9118.4380-1 AsyLnCPSO00000.007 400-1 BdPSO00000.007 400-1 BreedPSO00.046 60.009 60.009 70.0250.000 70.000 1-0.996 8 LinWPSO0000000-1 LnCPSO00000.007 400-1 PSO00.084 90.000 80.000 20.049 20.003 10-0.999 6 SAPSO0000000-1 SecPSO0.000 60.556 60.006 20.084 20.035 10.049 20.000 1-0.997 2 SecVibratPSO0.0030.001 50.002 600.050 4120.80.000 1-0.838 2 SelPSO0000000-0.832 7
测试函数1:Rosenbrock[31]函数为
(2)
式中,d为自变量个数;xi+1为自变量向量x中的第i+1个分量;xi为自变量向量x中的第i个分量。
测试函数2:Ackley[31]函数为
(3)
测试函数3:Rastrigin[31]函数为
(4)
测试函数4:Sphere[32]函数为
(5)
测试函数5:Griewank[32]函数为
(6)
测试函数6:Schwefel[31]函数为
(7)
测试函数7:Levy[32]函数为
(8)
式中,
为第i个维度;
为最后一个维度。
测试函数8:Easom[33]函数为
(9)
CNN[34]是一种包含卷积层、池化层和全连接层的前馈神经网络,被广泛应用于PEMFC寿命预测领域,其典型结构如图3所示。CNN每一层的神经元只和上一层的部分神经元产生连接;卷积层中隐藏有多个卷积核,每个卷积核重复作用于整个卷积操作,电压数据经过卷积层会生成多个不同特征,计算公式如式(10)所示;池化层进行特征选择和过滤,保留主要特征的同时减少了卷积层输出特征的维度,主要可提高数据泛化能力,降低模型计算复杂度和预防过拟合;全连接层非线性的组合输入特征以获得全局输出,其输出可以是最终的分类结果,也可以是用于后续网络层的抽象特征。
(10)
式中,
为卷积输出的第j个特征向量;
为第j个输入特征的电压信号;
表示卷积运算符;
为第j个输入特征的第i个卷积核参数;
为偏差。

图3 CNN结构
Fig.3 Structure of CNN
BiLSTM网络是LSTM网络的优化变体,由前向LSTM传播网络和后向LSTM传播网络组合而成。因此BiLSTM既能考虑到前向信息传播,又可兼顾后向信息传播,能够充分利用数据的过去、当前和未来时刻深层信息提高模型预测精度。BiLSTM结构如图4所示。图中,Xt为t时刻输入数据,Ht为t时刻前向LSTM网络隐藏状态,
为后向LSTM网络隐藏状态,Y为输出数据,
为Sigmoid激活函数。
图4 BiLSTM结构
Fig.4 Structure of BiLSTM
BiLSTM网络计算过程[35]为
(11)
式中,Wy和by分别为相应层权重矩阵和偏差项。
前向传播层按照时间序列从前向后提取电压的前向历史特征信息;后向传播层按照时间序列反方向从后向前追溯电压数据特征。将两个方向提取的特征信息进行融合得到数据全局特征。
近些年,Attention发展迅速,在深度学习领域展现出了优异性能。Attention原理是能够根据输入特征之间存在的差异进行权重分配,关键特征信息分配较大权重,其余相关特征分配较小权重。本文在BiLSTM层后接入Attention机制,通过权重分配的差异化提高预测模型精度。Attention层计算[34]过程为
(12)
(13)
(14)
式中,At为BiLSTM输出Ht对Attention层当前输入的注意力权重;V、W、U、B为模型参数,以上参数随着模型训练进度不断更新;F为最终输出特征向量。
本文提出一种CNN-BiLSTM-Attention模型用于PEMFC RUL预测,模型结构如图5所示,主要由输入层、CNN层、压平层、BiLSTM层、Attention层、全连接层和输出层构成。
图5 CNN-BiLSTM-Attention结构
Fig.5 Structure of CNN-BiLSTM-Attention
输入层接收PEMFC电压老化数据作为模型输入;CNN层作为前端提取器使用二维卷积核对电压数据进行非线性特征提取,通过池化层对特征进行压缩过滤;压平层作为CNN层和BiLSTM层之间的过渡连接层用于将CNN层提取到的特征进行一维展开;BiLSTM层接收到CNN层降维之后的特征利用前后向连接的LSTM单元进行时序特征提取,同时输入Attention层;Attention层对BiLSTM层传入的特征信息进行加权操作,同时按照重要程度进行区分,挖掘数据更深层次的特征信息;最后通过Attention层传入全连接层得到最终模型预测输出结果。
本文提出的CNN-BiLSTM-Attention PEMFC RUL预测模型,使用PSO变体AsyLnCPSO和SAPSO作为优化算法在线优化模型学习率、卷积核大小、BiLSTM神经元个数和注意力机制键数量。由于传统优化算法优化所得参数在后续预测过程中保持固定,会导致训练数据量的变化引起模型拟合效果不佳或过拟合现象的发生,所以本文创新性地提出一种在线参数优化方法,即每次的训练和预测过程算法会根据输入模型的训练数据重新进行参数优化选择,并且直接赋给训练模型,以保证预测模型始终工作在最优状态,具体实现流程如图6所示,方法框图如图7所示。
图6 模型在线参数优化流程
Fig.6 The process of model online parameter optimization
图7 所提PEMFC性能退化预测框架
Fig.7 The proposed PEMFC performance degradation prediction framework
首先,将采集得到的PEMFC电压数据进行降噪和1 h时间间隔重构,划分训练集和测试集。其次,构建CNN-BiLSTM-Attention预测模型,采用二维卷积层和池化层构成CNN框架提取电压数据内部特征,卷积层提取电压数据非线性特征,池化层进行特征压缩并且生成关键特征信息,卷积层和池化层之间设置归一化和RelU激活函数对提取特征和残差序列进行非线性化,使得网络更加贴近非线性函数。BiLSTM通过学习CNN提取的特征内部动态变化规律,从电压数据局部特征中更新迭代再次提取更复杂特征。BiLSTM输出特征作为Attention的输入,利用注意力机制对输入的特征信息进行加权和重要程度区分,以便充分利用电压数据本身的时间序列属性挖掘更深层次的时间相关性,并且注意力机制能够有效降低历史数据的丢失和重点突出关键时间点特征,目的在于减少冗杂特征对预测结果的影响。然后将Attention的输出做随机失活(Dropout)处理,该处理技术能够防止网络层数过深造成的过拟合现象,同时还能够提升模型泛化性能、鲁棒性和降低网络训练时间。经过Dropout处理之后作为全连接层输入,通过全连接层输出最后的电压预测结果。最后保存经过训练的CNN-BiLSTM-Attention预测模型,使用AsyLnCPSO和SAPSO作为优化算法优化模型学习率、卷积核大小、BiLSTM神经元个数和注意力机制键数量,使用训练集训练网络以及超参数最优匹配,得到的最优超参数匹配结果直接赋给网络构建预测框架进行预测,使用测试集对模型进行有效性验证。因此,所提模型每次预测都是在模型最优状态进行,可有效提升模型泛化性和鲁棒性。
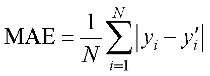
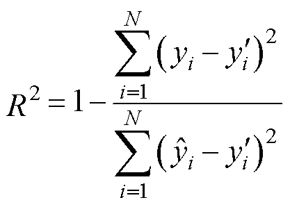
为评价不同预测模型对PEMFC电压数据预测的准确性,选取方均根误差(Root Mean Square Error, RMSE)、平均绝对误差(Mean Absolute Error, MAE)和决定系数(R-Square, R2)作为评价指标。其相应计算公式[34-35]如下
(15)
(16)
(17)
式中,N为预测数量;yi为真实值;
为预测值;
为电压平均值。
将重构后的FC1数据集划分为训练集和预测集分别输入AsyLnCPSO优化CNN-BiLSTM-Attention、SAPSO优化CNN-BiLSTM-Attention、CNN-BiLSTM- Attention、CNN-BiLSTM、CNN、BiLSTM和Transformer预测模型进行多步长输出电压预测,以上7个对比模型在预测评价指标结果中分别标记为M1~M7。FC1数据集总时长为1 154 h。训练集步长设置为350 h、450 h、550 h和650 h。七种预测模型电压预测结果对比如图8所示,参数优化结果见表5,评价指标如图9所示。为增强对比性CNN- BiLSTM-Attention、CNN-BiLSTM、CNN、BiLSTM和Transformer预测模型学习率和正则化参数统一设置为0.01和0.001;其中CNN-BiLSTM-Attention和CNN-BiLSTM模型的BiLSTM隐藏层数设置为25,CNN-BiLSTM-Attention模型中Attention具有50个输出通道,2个键值。

图8 稳态工况多步预测结果
Fig.8 Multi-step prediction results of steady-state conditions
表5 稳态工况参数优化结果
Tab.5 Parameter optimization results of steady-state conditions
优化算法训练集步长/h学习率卷积核大小BiLSTM神经元个数注意力键值 AsyLnCPSO3500.014 835022 4500.007 552931 5500.002 9944924 6500.003 5223510 SAPSO3500.013 53281 4500.009 55421 5500.001 15501 6500.008 55312
图9 稳态工况多步预测评价指标
Fig.9 Prediction evaluation index of steady-state conditions multi-step
从图8预测结果对比中可以发现,随着训练集步长的增大,模型的预测性能也随着提升。训练集步长为350 h和450 h时,参数优化模型预测精度明显优于对比模型,所提模型数据依赖性较低;训练步长达到550 h时,经过AsyLnCPSO和SAPSO算法的CNN-BiLSTM-Attention模型相比于CNN-BiLSTM- Attention、CNN-BiLSTM、CNN、BiLSTM和Transformer模型电压预测曲线和实际趋势吻合度较高,能够比较准确地反映实际电压曲线的变化趋势和波动特征,其余五种模型预测曲线和实际曲线偏差较为严重,反映了所提模型具有较高的泛化性。随着训练集步长增大,CNN-BiLSTM-Attention、CNN-BiLSTM、CNN、BiLSTM和Transformer模型预测性能也有所增强,但是都没能达到经过AsyLnCPSO和SAPSO算法的CNN-BiLSTM-Attention模型预测精度,经过算法在线优化的模型参数随着训练集步长的变化在动态调整,使得模型始终能够工作在最优状态下,而没有经过参数优化的模型参数固定不变,模型在训练集步长变化时未能找到参数最优组合,所以模型未能充分学习到历史电压数据的非线性变化特性,导致预测精度受限。
从图9评价指标中也可发现,经过AsyLnCPSO和SAPSO算法的CNN-BiLSTM-Attention模型预测误差均比其余五种模型低。其中经过AsyLnCPSO算法的CNN-BiLSTM-Attention模型相比于CNN- BiLSTM-Attention、CNN-BiLSTM、CNN、BiLSTM和Transformer模型累计RMSE降低32.3%、39.8%、43%、44.2%和10%;累计MAE降低35.9%、39.6%、45.5%、46.6%和45.3%;累计R2提升55.1%、23.4%、100%、54.1%和88.3%。经过SAPSO算法的CNN-BiLSTM-Attention模型相比于CNN-BiLSTM- Attention、CNN-BiLSTM、CNN、BiLSTM和Transformer模型累计RMSE降低27.3%、31.8%、38.7%、40.1%和35.6%;累计MAE降低31.3%、34.9%、41.5%、42.8%和41.4%;累计R2提升58.5%、29.2%、100%、57.6%和89.2%。因此,以上预测对比结果说明参数在线优化可提高稳态工况下CNN-BiLSTM- Attention模型预测精度。
动态工况数据集总时长为1 019 h。预测模型参数设置和FC1保持一致。七种预测模型电压预测结果对比如图10所示;参数优化结果见表6;评价指标如图11所示。从图10预测结果对比中可发现,经过AsyLnCPSO和SAPSO算法的CNN-BiLSTM- Attention模型预测结果能和历史电压数据保持较好跟随性,特别训练集步长较低以及波峰波谷处同样能有理想的效果。然而CNN-BiLSTM-Attention、CNN-BiLSTM、CNN、BiLSTM和Transformer模型电压预测曲线虽然在训练集步长增大的情况下预测结果有提升现象,但是都未能准确反映出原始电压波动趋势,特别是CNN-BiLSTM和BiLSTM模型误差依旧较大,已经明显失去电压跟随性。由于动态工况电压波动较为频繁,而且伴随有电压恢复现象,因此模型在定参数的情况下很难准确学习到历史电压突变信息,导致预测准确性降低,但是经过AsyLnCPSO和SAPSO算法的CNN-BiLSTM- Attention模型随着训练集步长的变化在动态调整其参数,模型能够工作在最优状态,预测性能较高。
图11预测评价指标中可计算得到经过AsyLnCPSO算法的CNN-BiLSTM-Attention模型相比于CNN-BiLSTM-Attention、CNN-BiLSTM、CNN、BiLSTM和Transformer模型累计RMSE降低39.4%、26.8%、39.2%、25.2%和37.2%;累计MAE降低45.4%、35.9%、42.4%、32.3%和40.9%;累计R2提升19.5%、45.5%、100%、14.2%和33.1%。经过SAPSO算法的CNN-BiLSTM-Attention模型相比于CNN-BiLSTM-Attention、CNN-BiLSTM、CNN、BiLSTM和Transformer模型累计RMSE降低24%、8.3%、23.7%、6.2%和21.2%;累计MAE降低25.8%、12.8%、21.6%、7.9%和19.6%;累计R2提升13.6%、41.5%、100%、7.9%和28.2%。以上预测结果有效反映了所提在线优化CNN-BiLSTM-Attention模型参数可显著提升动态工况预测精度、泛化性并降低数据依赖性。

图10 动态工况多步预测结果
Fig.10 Multi-step prediction results of dynamic conditions
表6 动态工况参数优化结果
Tab.6 Parameter optimization results of dynamic condition
优化算法训练集步长/h学习率卷积核大小BiLSTM神经元个数注意力键值 AsyLnCPSO3500.008 633827 4500.004 722522 5500.001 7633934 6500.006 0534129 SAPSO3500.001 32101 4500.004 51102 5500.004 485301 6500.005 091101
图11 动态工况多步预测评价指标
Fig.11 Multi-step prediction evaluation index of dynamic conditions
分析表5和表6参数优化结果可发现,在w、c1和c2设置为0.9、2和2的条件下,两个优化算法在CNN-BiLSTM-Attention模型电压预测过程中随着训练集步长变化动态调控模型参数,随着数据量增加,模型需要更高的卷积核、BiLSTM神经元和注意力键值捕捉更复杂的特征。AsyLnCPSO核心特点是通过异步更新粒子位置,打破同步收敛,从而增强跳出局部最优的能力,这种机制使得每个粒子能够独立调整自身行为,而不受其他粒子的严格约束,粒子的行为更加灵活,容易探索不同的解区域。对于CNN-BiLSTM-Attention模型而言,学习率、卷积核大小、BiLSTM神经元以及注意力键值等参数对模型性能非常敏感,异步学习机制会导致这些参数在每次迭代过程中发生较大变化。w=0.9,意味着粒子倾向于保持原有运动方向。当训练数据量增加时,模型对参数的需求发生变化,需要更多的BiLSTM神经元、卷积核或注意力键值以捕捉更复杂的特征,而高惯性权重会导致粒子快速调整到新的解区域,并且AsyLnCPSO由于其异步特性,能够快速响应数据量的变化从而导致优化结果波动较大。因此,在FC1和FC2预测结果中可发现,BiLSTM神经元、卷积核和注意力键值随着训练数据变化,其中一项变动较小时其余项变动较大。SAPSO的核心是根据当前种群的状态自动调整参数,从而避免过早陷入局部最优,这种机制使算法能够在全局探索和局部开发之间实现更好的平衡。
在固定w、c1和c2的条件下,自适应调整机制使算法能够在找到最优解后迅速收敛并保持稳定,对于注意力机制键这样的离散参数,SAPSO能在早期阶段就找到一个稳定的最优值,并在此基础上进行局部微调,即使训练数据量发生变化也不轻易改变该值。学习率、卷积核大小、BiLSTM神经元个数等参数对模型性能高度敏感,且其最佳值往往依赖于训练数据量的变化。因此,SAPSO自身所具有的自适应机制使其能够在不同工况下保持稳定,尤其是在注意力机制键这样的参数上表现出较强的鲁棒性,FC1和FC2预测结果中可得到有效验证。
为增强所提方法鲁棒性验证结果,分别在稳态工况FC1和动态工况FC2原始老化电压数据的基础上添加均值为0,标准差为原始数据标准差10%的高斯噪声扰动,训练步长设置为450 h,模型参数设置同稳态工况和动态工况保持一致,进行预测对比,对比结果如图12所示。从图中可以看出,10%的高斯噪声扰动未能对所提模型产生较大影响。对比图8、图10和图12可以发现,增加10%高斯噪声扰动反而增强了模型预测性能,同时对比发现稳态工况条件下所提模型电压跟随性更强。其中稳态工况剔除离群点,消除高频干扰条件下AsyLnCPSO算法的CNN- BiLSTM-Attention模型预测累计误差相比于CNN- BiLSTM-Attention、CNN-BiLSTM、CNN、BiLSTM和Transformer模型降低34%、37.8%、44.1%、45.3%和42.6%,SAPSO优化的CNN-BiLSTM-Attention模型预测累计误差相比于CNN-BiLSTM-Attention、CNN-BiLSTM、CNN、BiLSTM和Transformer模型降低了29.2%、33.3%、40.1%、41.3%和38.3%,不做离群点剔除、消除高频干扰,同时添加10%高斯噪声干扰的条件下,AsyLnCPSO算法的CNN- BiLSTM-Attention模型预测累计误差分别降低31.7%、34.5%、30.3%、60.1%和68.8%,SAPSO算法的CNN-BiLSTM-Attention模型预测累计误差分别降低60.1%、61.7%、59.2%、76.7%和81.8%;动态工况剔除离群点,消除高频干扰条件下AsyLnCPSO算法的CNN-BiLSTM-Attention模型预测累计误差相比于CNN-BiLSTM-Attention、CNN-BiLSTM、CNN、BiLSTM和Transformer模型降低42.2%、31.2%、40.6%、28.5%和38.9%,SAPSO算法的CNN- BiLSTM-Attention模型预测累计误差相比于CNN- BiLSTM-Attention、CNN-BiLSTM、CNN、BiLSTM和Transformer模型降低24.8%、10.4%、22.8%、7%和20.5%,不做离群点剔除、消除高频干扰,同时添加10%高斯噪声干扰的条件下AsyLnCPSO算法的CNN-BiLSTM-Attention模型预测累计误差分别降低17.1%、2.4%、10.9%、9.4%和2.6%,SAPSO算法的CNN-BiLSTM-Attention模型预测累计误差分别降低11.6%、9.2%、4.9%、3.4%和9.5%。所以所提模型在进行PEMFC电压数据预测时对比其他模型均能表现出较好的预测准确度,对于训练集步长较低时所提模型依然比对比模型精度高,说明所提模型对历史电压数据依赖性较低,同时固定参数的预测模型在预测过程中随机性较大,导致模型泛化性有限,而参数在线优化可使模型在提高预测精度的同时进一步提高了预测鲁棒性。结合优化算法的角度分析发现,不论是动态工况还是稳态工况,经过AsyLnCPSO的CNN-BiLSTM-Attention模型预测精度始终高于SAPSO算法,主要由于AsyLnCPSO在参数优化过程中所有参数均参与动态调控过程,SAPSO算法参数优化过程中注意力键值很难跳出稳定值而无法参与动态调控,所以AsyLnCPSO算法性能优于SAPSO算法。因此以上结果验证了所提在线优化CNN-BiLSTM-Attention模型参数的预测方法具有较高的鲁棒性。
图12 添加10%高斯噪声扰动预测结果
Fig.12 The prediction results of add 10% Gaussian noise disturbance
IEEE 2014 PHM数据挑战的《IEEE-Challenge- Details》文件[24]中提到,PEMFC的RUL失效阈值可以选择初始电压的96.5%、96%、95.5%、95%和94.5%。美国能源部(United States Department of Energy, U.S.DoE)提到,PEMFC系统可用在固定式发电站、便携式设备以及各种车辆等不同应用场合中。
PEMFC的RUL指的是PEMFC的寿命结束点和预测起始点的时间差值。所以使用者可以根据PEMFC的具体使用工况选取电压失效阈值,再根据模型预测起始点和预测结果失效阈值对应时间来估计PEMFC的RUL。例如,取静态工况FC1电压失效阈值为初始电压的96.5%,预测起始点选取692.4 h,其RUL估计过程如图13所示。
图13 RUL估计过程
Fig.13 The estimation process of RUL
针对PEMFC RUL预测精度提升问题,本文提出一种模型参数在线优化的PEMFC RUL预测方法。该方法首先使用绝对中位数偏差法和高斯移动平均滤波器对历史电压数据进行去噪和平滑处理,使用3次样条插值法进行1 h间隔重构,然后将重构数据采用最大-最小值归一化处理并输入AsyLnCPSO和SAPSO算法在线优化CNN-BiLSTM-Attention模型参数的变训练集占比预测。所提方法在PEMFC RUL预测过程中能够准确高效地提取电压老化数据中的非线性特征。基于稳态和动态工况下PEMFC RUL预测和其他预测模型对比,验证了所提方法具有较高的预测准确度和鲁棒性。并且所提方法对历史数据依赖性较低,能够为PEMFC RUL在线预测提供理论支撑。
参考文献
[1] 赵洪山, 潘思潮, 马利波, 等. 基于分类回放双延迟贝叶斯深度确定性策略梯度的燃料电池温度控制[J]. 电工技术学报, 2024, 39(13): 4240-4256.
Zhao Hongshan, Pan Sichao, Ma Libo, et al. Control of fuel cell temperature based on classified replay twin delayed Bayesian deep deterministic policy gradient[J]. Transactions of China Electrotechnical Society, 2024, 39(13): 4240-4256.
[2] 汪建锋, 王荣杰, 林安辉, 等. 质子交换膜燃料电池退化预测方法[J]. 电工技术学报, 2024, 39(11): 3367-3378.
Wang Jianfeng, Wang Rongjie, Lin Anhui, et al. Degradation prediction method of proton exchange membrane fuel cell[J]. Transactions of China Elec- trotechnical Society, 2024, 39(11): 3367-3378.
[3] 高锋阳, 高翾宇, 张浩然, 等. 全局与瞬时特性兼优的燃料电池有轨电车能量管理策略[J]. 电工技术学报, 2023, 38(21): 5923-5938.
Gao Fengyang, Gao Xuanyu, Zhang Haoran, et al. Management strategy for fuel cell trams with both global and transient characteristics[J]. Transactions of China Electrotechnical Society. 2023, 38(21): 5923- 5938.
[4] 马小勇, 王议锋, 王萍, 等. 燃料电池用交错并联型Boost变换器参数综合设计方法[J]. 电工技术学报, 2022, 37(2): 397-408.
Ma Xiaoyong, Wang Yifeng, Wang Ping, et al. Comprehensive parameter design method of inter- leaved Boost converter for fuel cell applications[J]. Transactions of China Electrotechnical Society, 2022, 37(2): 397-408.
[5] Li Qi, Wang Tianhong, Li Shihan, et al. Online extremum seeking-based optimized energy management strategy for hybrid electric tram considering fuel cell degradation[J]. Applied Energy, 2021, 285: 116505.
[6] 唐钧涛, 戚志东, 裴进, 等. 基于电荷泵的燃料电池有源网络升压变换器[J]. 电工技术学报, 2022, 37(4): 905-917.
Tang Juntao, Qi Zhidong, Pei Jin, et al. An active network DC-DC Boost converter with a charge pump employed in fuel cells[J]. Transactions of China Electrotechnical Society, 2022, 37(4): 905-917.
[7] Ma Jian, Liu Xue, Zou Xinyu, et al. Degradation prognosis for proton exchange membrane fuel cell based on hybrid transfer learning and intercell differences[J]. ISA Transactions, 2021, 113: 149-165.
[8] 李奇, 刘嘉蔚, 陈维荣. 质子交换膜燃料电池剩余使用寿命预测方法综述及展望[J]. 中国电机工程学报, 2019, 39(8): 2365-2375, 19.
Li Qi, Liu Jiawei, Chen Weirong. Review and prospect of remaining useful life prediction methods for proton exchange membrane fuel cell[J]. Pro- ceedings of the CSEE, 2019, 39(8): 2365-2375, 19.
[9] Futter G A, Latz A, Jahnke T. Physical modeling of chemical membrane degradation in polymer elec- trolyte membrane fuel cells: influence of pressure, relative humidity and cell voltage[J]. Journal of Power Sources, 2019, 410: 78-90.
[10] Chen Kui, Laghrouche S, Djerdir A. Fuel cell health prognosis using unscented Kalman filter: postal fuel cell electric vehicles case study[J]. International Journal of Hydrogen Energy, 2019, 44(3): 1930-1939.
[11] Ma Rui, Yang Tao, Breaz E, et al. Data-driven proton exchange membrane fuel cell degradation predication through deep learning method[J]. Applied Energy, 2018, 231: 102-115.
[12] Zuo Jian, Cadet C, Li Zhongliang, et al. A deterioration- aware energy management strategy for the lifetime improvement of a multi-stack fuel cell system subject to a random dynamic load[J]. Reliability Engineering & System Safety, 2024, 241: 109660.
[13] 申亚涛, 王子鉴, 谷紫文, 等. 数据驱动的低压有源配电网电压在线调控策略[J/OL]. 电力系统自动化, 1-15[2025-07-16]. http://kns.cnki.net/kcms/detail/ 32.1180.TP.20250711.0922.002.html.
Shen Yatao, Wang Zijian, Gu Ziwen, et al. Data- driven online voltage control strategy for low-voltage active distribution networks[J/OL]. Automation of Electric Power Systems, 1-15[2025-07-16]. http://kns. cnki.net/kcms/detail/32.1180.TP.20250711.0922.002. html.
[14] 杜伟, 王圣, 李健, 等. 基于CNN-LSTM-AM模型的储能锂离子电池荷电状态预测[J]. 电工技术学报, 2025, 40(9): 2982-2995.
Du Wei, Wang Sheng, Li Jian, et al. Prediction of state of charge for energy storage lithium-ion batteries based on CNN-LSTM-AM model[J]. Transactions of China Electrotechnical Society, 2025, 40(9): 2982- 2995.
[15] 孙静, 翟千淳. 基于融合特征和OOA-BiGRU的锂离子电池剩余使用寿命预测方法[J]. 电工技术学报, 2025, 40(9): 2996-3012.
Sun Jing, Zhai Qianchun. A novel remaining useful life prediction method based on fusion feature and OOA-BiGRU for lithium-ion batteries[J]. Transa- ctions of China Electrotechnical Society, 2025, 40(9): 2996-3012.
[16] 杨淇, 陈景文, 华志广, 等. 基于集成型极限学习机的氢燃料电池寿命预测[J]. 电工技术学报, 2025, 40(3): 964-974.
Yang Qi, Chen Jingwen, Hua Zhiguang, et al. Research on PEMFC lifetime prediction based on ensemble extreme learning machine[J]. Transactions of China Electrotechnical Society, 2025, 40(3): 964- 974.
[17] Deng Zhihua, Chen Qihong, Zhang Liyan, et al. Degradation prediction of PEMFCs using stacked echo state network based on genetic algorithm opti- mization[J]. IEEE Transactions on Transportation Electrification, 2022, 8(1): 1454-1466.
[18] Tang Xingwang, Qin Xiaojin, Wei Kai, et al. A novel online degradation model for proton exchange membrane fuel cell based on online transfer learning[J]. Inter- national Journal of Hydrogen Energy, 2023, 48(36): 13617-13632.
[19] Peng Yulin, Chen Tao, Xiao Fei, et al. Remaining useful lifetime prediction methods of proton exchange membrane fuel cell based on convolutional neural network-long short-term memory and convolutional neural network-bidirectional long short-term memory[J]. Fuel Cells, 2023, 23(1): 75-87.
[20] Jin Jiashu, Chen Yuepeng, Xie Changjun, et al. Remaining useful life prediction of PEMFC based on the multi-input cycle reservoir with jump network[J]. International Journal of Hydrogen Energy, 2023, 48(34): 12844-12860.
[21] 李彬, 张雨蒙, 周照钒. 基于LSTM-Transformer的钢铁工业用户调节潜力预测与优化[J/OL]. 电力系统自动化, 1-9[2025-07-16]. http://kns.cnki.net/kcms/ detail/32.1180.TP.20250708.1753.014.html.
Li Bin, Zhang Yumeng, Zhou Zhaofan, et al. An LSTM-Transformer based prediction and optimization method for user regulation potential in iron and steel industry[J/OL]. Automation of Electric Power Systems, 1-9[2025-07-16]. http://kns.cnki.net/kcms/ detail/32. 1180.TP.20250708.1753.014.html.
[22] Li Haolong, Liu Li, Zhang Liyan, et al. A fusion intelligent degradation interval prediction method based on hybrid health indicator for proton exchange membrane fuel cells[J]. IEEE Transactions on Transportation Electrification, 2024, 10(4): 9839- 9851.
[23] Ke Chang, Han Kai, Wang Yongzhen. A hybrid method combining degradation mechanisms and deep learning for lifetime prediction of proton exchange membrane fuel cells under dynamic load cycle conditions[J]. Journal of Power Sources, 2025, 633: 236464.
[24] Li Changzhi, Lin Wei, Wu Hangyu, et al. Perfor- mance degradation decomposition-ensemble prediction of PEMFC using CEEMDAN and dual data-driven model[J]. Renewable Energy, 2023, 215: 118913.
[25] Zheng Lu, Hou Yongping, Zhang Tao, et al. Perfor- mance prediction of fuel cells using long short-term memory recurrent neural network[J]. International Journal of Energy Research, 2021, 45(6): 9141-9161.
[26] Chen Xi, Feng Wentao, Hu Yukang, et al. Power density optimization for proton exchange membrane fuel cell stack based on data-driven and improved light spectrum algorithm[J]. Energy Conversion and Management, 2025, 326: 119467.
[27] 全睿, 程功, 周宇龙, 等. 基于EWOA优化CNN- BiGRU-AT模型的燃料电池衰退预测[J]. 电工技术学报, 2025, 40(19): 6342-6358.
Quan Rui, Cheng Gong, Zhou Yulong, et al. Enhanced whale optimization algorithm-based CNN-BiGRU- AT model for aging prediction of fuel cell[J]. Transactions of China Electrotechnical Society, 2025, 40(19): 6342-6358.
[28] Rezk H, Aly M, Fathy A. A novel strategy based on recent equilibrium optimizer to enhance the perfor- mance of PEM fuel cell system through optimized fuzzy logic MPPT[J]. Energy, 2021, 234: 121267.
[29] Ahmadi S, Abdi S, Kakavand M. Maximum power point tracking of a proton exchange membrane fuel cell system using PSO-PID controller[J]. International Journal of Hydrogen Energy, 2017, 42(32): 20430- 20443.
[30] Santos R, Borges G, Santos A, et al. A rotationally invariant semi-autonomous particle swarm optimizer with directional diversity[J]. Swarm and Evolutionary Computation, 2020, 56: 100700.
[31] Jamil M, Yang Xinshe. A literature survey of bench- mark functions for global optimisation problems[J]. International Journal of Mathematical Modelling and Numerical Optimisation, 2013, 4(2): 150.
[32] Levy A V, Montalvo A. The tunneling algorithm for the global minimization of functions[J]. SIAM Journal on Scientific and Statistical Computing, 1985, 6(1): 15-29.
[33] Arora J S, Elwakeil O A, Chahande A I, et al. Global optimization methods for engineering applications: a review[J]. Structural Optimization, 1995, 9(3): 137- 159.
[34] Sun Changcheng, Gao Mingyu, Cai Hui, et al. Data-driven state-of-charge estimation of a lithium- ion battery pack in electric vehicles based on real- world driving data[J]. Journal of Energy Storage, 2024, 101: 113986.
[35] Tamilarasan S, Wang Chongkai, Shih Y C, et al. Generative adversarial networks for stack voltage degradation and RUL estimation in PEMFCs under static and dynamic loads[J]. International Journal of Hydrogen Energy, 2024, 89: 66-83.
Abstract Durability is a key limiting factor for the large-scale commercialization of proton exchange membrane fuel cells (PEMFC), and predicting performance degradation has become a current research hotspot. PEMFC aging data exhibit highly nonlinear, random, and periodic characteristics, making it difficult for prediction models to extract features from historical data effectively. Therefore, improving the accuracy of PEMFC voltage degradation prediction is an urgent problem. Combined with convolutional neural networks (CNN), bidirectional long short-term memory networks (BiLSTM), and an attention mechanism, this paper proposes a hybrid method for PEMFC voltage degradation prediction.
Firstly, historical voltage data for PEMFC are processed using the median absolute deviation method, the Gaussian moving-average filter, and the maxmin normalization algorithm during subsequent data training. This process also ensures the temporal continuity and representativeness of the data. Then, a variant particle swarm optimization algorithm is introduced into the CNN-BiLSTM-Attention model to address the high nonlinearity in voltage data. At the same time, parameters, such as the learning rate, convolution kernel size, number of BiLSTM neurons, and the number of attention mechanism keys, are dynamically optimized. Thus, the method effectively prevents poor fitting and overfitting, thereby improving prediction accuracy and robustness. Finally, the proposed method is validated using steady-state and dynamic voltage aging datasets.
The CNN-BiLSTM-Attention, CNN-BiLSTM, CNN, BiLSTM, and Transformer prediction models are compared. The main conclusions are as follows. (1) The proposed method achieves more accurate voltage prediction accuracy, generalization, and robustness under different working conditions and step sizes of training datasets. (2) Under the same step size of training datasets and working conditions, the proposed method exhibits lower dependency on historical voltage data. In steady-state conditions, the cumulative prediction error of the CNN-BiLSTM-Attention model optimized by the AsyLnCPSO algorithm is reduced by up to 45.3% compared to the benchmark models. In contrast, the cumulative prediction error of the same model optimized by the SAPSO algorithm is reduced by up to 41.3%. In dynamic conditions, the cumulative prediction error of the CNN- BiLSTM-Attention model optimized by the AsyLnCPSO algorithm is reduced by up to 42.2%. The cumulative prediction error of the same model optimized by the SAPSO algorithm is reduced by up to 24.8% compared to the benchmark models. Based on the original voltage-aging data, 10% Gaussian noise is added. The proposed model's predictive performance remains excellent. (3) The proposed method has a simple structure, which is easy to implement and suitable for online applications in real vehicles.
keywords:Proton exchange membrane fuel cell (PEMFC), degradation prediction, attention, parameter optimization
DOI: 10.19595/j.cnki.1000-6753.tces.250498
中图分类号:TM911.4
甘肃省科技计划项目联合科研基金一般项目(25JRRA1165)和中车“十四五”科技重大专项计划项目(2021CXZ021)资助。
收稿日期 2025-03-28
改稿日期 2025-07-31
韩云飞 男,1996年生,博士研究生,研究方向为氢燃料电池寿命预测和健康管理系统。E-mail: 1677809827@qq. com
张建刚 男,1978年生,教授,博士生导师,研究方向为非线性动力学、氢燃料电池健康管理系统。E-mail: zhangjg7715776@126. com(通信作者)
(编辑 陈 诚)