基于新型可重构拓扑的电池分层均衡方法

周 娟 郭泽赟 杜世民 张永磊 庞宇凡

(中国矿业大学电气工程学院 徐州 221008)

摘要 基于退役动力电池构建低成本、大规模电网储能系统对于保障国家资源安全、减少污染具有重要意义。然而,电池组的不一致性严重限制了退役动力电池剩余容量利用率。针对传统可重构拓扑开关数量多、依赖DC-DC转换器及闲置场景均衡能力不足等问题,该文提出一种新型可重构拓扑的电池分层均衡策略。该拓扑采用模块间串联/旁路、模块内拆分/并联的分层设计方法,相比于传统四开关拓扑,开关数量减少12.5%,且无需DC-DC变换器可将输出电压波动控制在3%以内。在此基础上,提出一种分层联动均衡策略,外层模块间采用非对称PWM的能量调度和内层模组通过拆分重组与单体旁路的方法,实现全电池组的电池均衡。同时,利用储能系统的闲置工作场景,设计RC电路与可重构拓扑的协同工作方式,加速闲置状态下电池组的能量转移,减少电池组整体均衡时间。最后,搭建可重构电池实验平台,实验结果表明,所提拓扑和均衡策略在均衡速度、提升电池组容量利用率方面具有显著优势。

关键词:可重构拓扑 电网储能系统 电池均衡控制 分层均衡

0 引言

随着我国能源结构加速向可再生能源转型以及电动汽车市场爆发式增长,退役动力电池的梯次利用已成为构建新型电力储能系统、保障战略资源安全的关键路径[1]。相关机构统计数据显示,2030年我国动力电池总退役量将达到380.3 GW·h(约300万t),如何高效地实现这批“城市矿山”的再生利用,直接关系到新能源汽车产业闭环生态构建与国家资源战略安全。在此背景下,基于退役电池组构建梯次利用储能系统(Second-life Battery Energy Storage System, SBESS)将会带来显著的经济效益与生态价值,不仅可提升电池全生命周期价值,更能有效地缓解锂、钴等战略资源的对外依存度。

然而,退役电池在梯次利用过程中面临严峻的技术挑战。历经车载服役后的电池组普遍存在容量衰减差异显著(通常达20%~40%)、内阻离散性扩大(最大偏差超过60%)及老化轨迹分化等固有问题[2],这直接导致传统储能系统难以充分发挥退役电池的剩余价值。特别是当电池组容量不均衡度超过8%时,系统可用容量将呈指数级衰减,严重制约储能系统的经济性与可靠性。因此,针对梯次电池特有的非线性退化特性,研发具有自适应能力的智能均衡管理系统(Battery Management System, BMS)已成为突破技术瓶颈的关键。

电池均衡控制的核心目标是消除电池单体之间荷电状态(State of Charge, SOC)差异,使电池组内每个单体电池都能保持在最佳工作状态,从而提高整体容量利用率。根据均衡方式的不同,电池均衡策略可分为被动均衡与主动均衡两大类。被动均衡通过内置电阻将多余电荷转化为热能消耗掉,结构简单且成本较低,但能量利用率低并产生较大的热损耗。文献[3]中采用智能算法与被动均衡相结合的方式加快了电池均衡,但被动均衡的缺点仍无法彻底消除。相比之下,主动均衡通过电感、电容或变压器等元件,将电池单元的多余能量转移至其他电池单元,显著提高能量利用率,尤其适用于大规模电池组[4-5]。文献[6]提出的主被动均衡策略能有效提高电池均衡速度,但在实际应用中,均衡过程中的能量损失随着能量转移次数的增加而加剧。

此外,现有的均衡方法在处理电池单体的并联和串联配置时,常常忽略电池单体之间的复杂互动与动态变化,限制了系统性能的提升。随着电池组规模的扩大,均衡策略的复杂性和成本也随之增加,尤其是在实际应用中,电池组的工作状态通常呈现动态变化,电池单体的SOC与储能系统负载受多种因素影响,导致传统均衡策略难以在复杂应用场景中高效运行[7]

为应对上述挑战,研究者提出基于可重构拓扑的电池均衡方法,旨在通过灵活调整电池组拓扑结构,提升均衡效率与系统容错性[8-9]。采用可重构拓扑电池组能根据实际运行需求动态调整电池单体的连接方式,精准进行串并联调度,从而实现更高效的均衡控制。该新型拓扑不仅能够有效提升电池组的能量利用率,还能降低系统复杂度与成本。

近年来,基于可重构拓扑的电池均衡方法取得了一定的研究进展。文献[10]提出了一种通过优化算法来重新配置电池的串并联方式,但存在控制难度较高的问题。文献[11]提出在每个电池组中加入DC-DC变换器以稳定电池组输出电压,但这一方法增加了系统的成本和控制难度。文献[12]则在每个电池组中增设冗余单元,根据单体电池电压选择不同数量的电池以实现稳压,但这种方式会导致大量电池处于空闲状态。文献[13]提出了一种两级均衡电路实现组内和组间均衡,但每个组内都配置了Buck-Boost电路,利用了大量电感元件。综上所述,已有研究通过优化算法或配置DC-DC变换器在一定程度上解决了电池均衡问题,但却增加了系统的复杂度,且过多的开关器件也会增加系统的损耗和成本,降低系统可靠性。

在以上研究成果的基础上,本文提出了一种混合分层可重构电池拓扑,通过优化开关配置实现模块间串联/旁路与模块内拆分/并联的灵活切换,无需传统均衡方式所需的DC-DC变换器。

为实现全电池组动态一致性管理,减少输出电压波动,提出了一种分层均衡控制策略,该策略通过结合外层模块间旁路、内层模组间拆分重组以及模组内单体电池旁路,构建了多级联动机制。此外,利用储能系统的闲置工作场景,设计RC电路与可重构拓扑的协同工作方式,加速电池组闲置状态下的能量转移,减少电池组整体均衡时间。最后,搭建实验平台验证所提策略的可行性与有效性。

1 新型可重构拓扑和工作模式

1.1 新型可重构拓扑

在可重构电池拓扑中,开关数量决定了电池组拓扑的可重构能力。现有研究中已经提出多种电池单体配备1~6个开关的可重构拓扑方案[14]。开关数量的增加能够提升系统的拓扑变换能力,从而提高系统的灵活性,但也伴随系统复杂度的增加。因此,在确保系统灵活性的前提下,如何有效减少系统所需的开关器件数量以降低复杂性成为亟待解决的问题。为此,本文提出了一种新型的分层可重构拓扑,如图1所示。

width=184.3,height=183.6

图1 新型可重构拓扑

Fig.1 Novel reconfigurable topology

该拓扑是一种混合可重构电池拓扑,能够通过控制电力电子开关的通断,动态调整电池单体与模块之间的连接关系,实现电池单体与模块两个层次的可重构。如图1所示,每个外层电池模块配备3个开关器件,如电池模组M1配有开关P11、P12和P13;每个内层电池模组内包含2个电池单体和4个开关器件,如电池模组M2内包含电池B21、B22以及开关S21、S22、S23、S24。该拓扑结构通过灵活的开关控制,可实现串联、并联和旁路的多种拓扑结构。本文所提出的拓扑结构在单体电池数目相同的情况下,2个电池单体仅需配置7个开关,较文献[15]每个电池单体需配备4个开关的拓扑减少了12.5%的开关数量。此外,该拓扑结构具有更高的容错性,能够有效隔离模组内的故障单元和减少电压波动,提升电池组的稳定性和可靠性。该拓扑结构通过优化开关配置,具有高灵活性优势,能够在不显著增加系统复杂度的情况下,提升系统的能量利用效率与稳定性。

1.2 内层电池模组工作模式

每个内层电池模组配备4个开关器件,这种拓扑结构不仅具有传统双开关器件的特点,还通过新增一个开关器件,保证了在电池组充电和放电过程中,内层电池模组能够灵活地实现对单体电池的串联、并联以及旁路操作。

图2给出了内层电池模组连接组合示例,开关状态和电池工作模式配置见表1。如图2a和图2b所示,可以实现Bi1或Bi2电池的单独运行,i=1, 2, 3,…, n;如图2c所示,可以实现内层模组内Bi1和Bi2电池的并联运行;如图2d所示,可以实现内层模组内Bi1和Bi2电池的串联运行;如图2e所示,可以实现将内层模组内Bi1和Bi2电池旁路运行。

width=190.65,height=247.4

图2 内层模组工作模式

Fig.2 Operational states of internal module

表1 开关状态和电池工作模式

Tab.1 Switching states and battery operating modes

开关状态内层模组电池工作模式 闭合Si1,断开Si2、Si3、Si4Bi1单独工作 闭合Si3,断开Si1、Si2、Si4Bi2单独工作 闭合Si1、Si3,断开Si2、Si4Bi1和Bi2并联工作 闭合Si2,断开Si1、Si3、Si4Bi1和Bi2串联工作 闭合Si4,断开Si1、Si2、Si3Bi1和Bi2被同时旁路

1.3 外层电池模块工作模式

外层电池模块由多个内层电池模组构成,每个内层电池模组外配备3个开关器件,其中,Pi1和Pi2为并联开关,Pi3为串联开关。根据负载电压需求可以灵活确定单个外层电池模块拓扑连接方案,可将多个内层电池模组进行串联。例如,若每个外层模块需要2个内层电池模组,则模组M1和M2为一个外层模块,仅闭合并联开关P11、P22和串联开关P13,如图3a所示;若每个外层模块需要3个内层电池模组,则模组M1、M2和M3为一个外层模块,仅闭合并联开关P11、P22、P32和串联开关P13、P23,如图3b所示。

width=184.9,height=206.6

图3 外层模块工作模式

Fig.3 Operational modes of external modules

2 分层均衡控制策略和内外层模块工作方式

2.1 基于SOC的分层均衡控制策略

SOC是衡量电池电量的关键指标。电池均衡的最终目标就是确保所有电池组的SOC保持一致。因此,采用基于SOC的均衡控制策略管理电池模组,能够有效减少电池组的不一致性,提升整体系统性能。

传统的单层均衡拓扑结构主要关注电池状态(如电池电压和SOC)的均衡[16],但忽略了模块内部单元的灵活重构能力,导致模块均衡性能受限。此外,模块旁路、拆分与重新配置后,还会导致串联和并联模块数量的变化,引发电压波动,降低系统效率。

单层可重构电池组运行如图4所示。图4a为电池均处于正常运行状态,当单层可重构电池组中电池串中的B2电池发生故障时,如图4b所示,虽然可以通过隔离故障电池B2保障系统正常运行,但无法避免输出电压的下降。为了稳定输出电压,通常需要额外配置DC-DC变换器来补偿电压波动。

width=176.6,height=212

图4 单层可重构电池组运行

Fig.4 Operational diagram of the monolithic reconfigurable battery pack

本文提出的混合可重构拓扑具备稳定输出的能力,分层可重构电池组运行如图5所示,图5a中电池均正常运行,当M2模组中的B22电池发生故障时可对其进行隔离,如图5b所示,M2模组内仍有B21电池继续工作,整体输出电压不受影响。

width=187.15,height=268.9

图5 分层可重构电池组运行

Fig.5 Operational diagram of the hierarchical reconfigurable battery pack

为有效提高电池组的可用容量,解决单体电池故障导致整个电池组电压下降的问题,本文提出一种分层均衡策略,其流程如图6所示。该均衡策略通过模块间能量调度与模组内单体电池重组相结合,缓解电压下降问题,并分阶段消除电池组内外的SOC差异,提升电池组的整体性能和稳定性。

width=146.9,height=303.95

图6 分层均衡策略流程

Fig.6 Flowchart of the hierarchical equalization strategy

首先,为防止故障电池进入工作状态,在电池组均衡前必须对电池组中的每个单体电池进行检测。如果某个内层电池模组中的电池单体发生故障或电池单体的SOC低于20%,则应将该内层电池模组旁路。

其次,在供电过程中,储能系统需要以恒定电压向负载提供电能,因此,可根据负载需求的电压确定外层模块所需串联内层模组的数量M表示为

width=81,height=33 (1)

式中,round( )为取整函数;Uload为负载电压;Ub为单体电池电压。若总的内层模组个数为n,依次选取前M个内层模组,获得N个由M个内层模组串联构成的外层模块,其中N=round(n/M)。

最后,以电池组全局SOC差异度作为均衡开启或结束条件,定义电池组全局SOC差异度为

width=186.95,height=20

width=124,height=15 (2)

式中,SOCi,j,k为第i个外层模块、第j个内层模组中第k个单体的SOC值。根据文献[17]的优化准则,设定均衡触发阈值为DSOCtrigger=1%,终止阈值为DSOCstop=0.5%。当DSOCglobalDSOCtrigger时,启动分层均衡略,对内外层模块进行均衡;当DSOCglobalDSOCstop时,终止均衡操作。

在放电过程中,外层电池模块间的SOC差异较大,导致外层电池模块之间产生环流,缩短电池组的使用寿命。因此,在确定内外层模块的数量后,首先需要对外层电池模块进行均衡以减少各外层模块之间的电压差异。当外层模块的SOC趋于一致时,对内层模组实施均衡,快速平衡SOC最低或最高的内层模组以减少电池组整体的SOC极差,最终优化电池组的运行性能。

2.2 外层模块间均衡策略

为解决外层模块间SOC不平衡问题,本文采用一种基于非对称PWM控制策略[18]的能量调度方法。相较传统的旁路策略,非对称PWM波形能够有效减小电压波动。

以各外层模块的SOC差异度作为判断条件,定义外层模块SOC差异度为

width=210,height=37(3)

式中,width=45,height=35为第i个外层模块内第j个内层模组SOC总值,width=80,height=13.95,设定均衡触发阈值DSOCmodule=1%。

图7给出了两个外层模块之间的均衡过程,设当外层模块1与外层模块2的SOC值存在较大差异时,两外层模块并联运行会产生环流,此时需要旁路SOC值低的外层模块2减缓其放电速度,当两外层模块SOC值差异消除后再并联运行。然而,实际系统中由多个外层电池模块并联组成,当多个模块同时旁路可能引发较大电压波动问题。为避免此问题,本文引入非对称PWM控制策略,实现模块旁路操作的时序隔离,确保输出电压的平滑过渡。各外层模块的占空比D(i)为

width=106,height=15 (4)

width=80,height=47 (5)

式中,D0(i)为外层模组i的SOC与外层模组中最高SOC的差值;SOCmax为外层模组中SOC最大值;SOC(i)为外层模组i的SOC;D(i)为外层模块i的占空比。

width=190.45,height=221.25

图7 外层模块间均衡示意图

Fig.7 Schematic diagram for balancing control between outer modules

2.3 内层模组间模组均衡策略

针对容量分布不均的内层模组,本文提出一种基于梯度拆分的倍率调控策略,该方法的核心在于通过动态拓扑重构与差异化放电机制实现内层模组间的高效均衡。

为了加速高容量模组的过剩能量释放,首先需识别高容量模组MHCMHm+sCMH为高容量模组容量,ms分别为模组容量均值与标准差),将其解耦为两个独立串联子单元MH1与MH2。同时,为了维持串联模组总数N恒定,并避免因拓扑变化引发的端电压阶跃,需将低容量模组MLCMLm-sCML为低容量模组容量)从放电链路中旁路[19]。具体步骤如下。

(1)容量梯度拆分:①最大容量内层模组变为两串联电池单体;②最小容量内层模组旁路,维持电池组电压。

(2)倍率差异化放电。所有内层模组串联放电,最大容量内层模组以相比于其他未拆分内层模组2倍率放电,最小容量内层模组放电倍率为0。

(3)自适应重组。若最大容量内层模组中的多余电量被释放完毕:①拆分出的两个电池单体重新组合成原有内层模组;②旁路内层模组重新回归串联模组放电序列。

(4)均衡判断。若所有内层模组容量差异小于1%,则均衡结束;否则,返回步骤(1)。

图8给出了外层模块1中两个内层模组均衡示意图,假设图中M1和M2模组SOC相差10%,通过容量梯度拆分将M1模组内的电池B11和B12串联,M2模组内的电池B21和B22旁路;将M1模组2倍率放电;当模组M1、M2的SOC一致时,将两个模组内单体电池并联,并令M1、M2串联,恢复正常运行状态。

width=206.5,height=175.7

图8 外层模块1中内层模块间均衡策略示意图

Fig.8 Schematic diagram of inner inter-module balancing strategy within outer module 1

2.4 内层模组内单体电池均衡策略

在内层模组均衡过程中,为了防止两个单体电池同时旁路导致电池组电压大幅下降,采用分梯次消除模组内单体电池差异。具体步骤为:

(1)判断内层模组中的所有电池单体是否达到均衡;若已均衡,则结束均衡;若未均衡,则开启均衡。

(2)开启均衡后,对第i个(i初始时为1)内层模组中两个单体电池SOC判断。若第i个模组内两个单体电池的SOC不一致,将两者中SOC低的单体电池旁路;若两者差异低于0.5%则认为差异消除,将该内层模组中旁路的电池并回原内层模组,对第i+1个内层模组进行均衡。

(3)若所有内层模组中两单体电池SOC差异小于1%,则均衡结束;否则,返回步骤(2)。

内层模组内单体电池的均衡策略示意图如图9所示,先对M1模组进行均衡,由于M1模组中B11电池SOC高于B12电池SOC,则先旁路B12电池直至两电池SOC一致,再将B11和B12并联放电;当M1模组均衡结束后,对M2模组中的两个单体电池进行均衡,M2模组中的B22电池SOC高于B21电池SOC,则先旁路B21电池直至两电池SOC一致,再将B21和B22并联放电。

width=189.95,height=244.3

图9 内层模组内单体电池的均衡策略示意图

Fig.9 Schematic diagram of balancing strategy for individual cells within an inner module

3 闲置状态下内层模组间均衡

现有可重构电池均衡方法多聚焦于充放电场景,缺乏对电池储能系统(Battery Energy Storage System, BESS)闲置状态下均衡潜力的开发。传统非可重构BESS需依赖额外储能元件(如大容量电容或电感)实现能量转移,存在均衡速度慢、硬件成本高及规模化应用受限等问题[20]。针对上述问题,本文提出一种基于可重构拓扑与RC电路协同的内层模组间均衡机制,通过动态重构电池模块的连接方式与差异化能量路径设计,实现闲置场景下的快速SOC均衡。

3.1 基于RC电路的内层模组间均衡策略

针对相邻电池电压差小导致均衡速度慢问题,本文通过拓扑重构生成可控电压梯度驱动RC电路能量转移。

闲置状态下均衡阶段配置如图10所示,新型可重构拓扑通过控制内层模组M1内串联开关S12闭合,提升内层模组电压;同时,控制内层模组M4内并联开关S41和S42闭合,降低内层模组的等效内阻。通过这种方式,内层模组间的电压差(DU)得以增强,加速RC电路的充放电循环,显著提升电池组在闲置状态下的均衡速度。

width=227.75,height=158.05

图10 闲置状态下均衡阶段配置

Fig.10 Balance phase configuration in the idle state

闲置状态下内层模组间均衡策略包含以下三阶段控制,具体流程如下:

1)模组状态分类

基于实时SOC监测,计算全部内层模组SOC的平均值SOCaverage,将SOC值高于SOCaverage的内层模组划分为高SOC(SOCH)簇,将SOC值低于SOCaverage内层模组划分为低SOC(SOCL)簇。

2)拓扑动态重构

SOCH内单体电池切换为串联模式,提升等效电压至2UU为单体电池电压;SOCL内单体电池切换为并联模式,内层电池模组等效内阻降至rL= RL/2,RL为单体电池等效内阻。

3)能量转移循环

为了防止SOCH簇和SOCL簇同时接入电路产生过大充放电电流,将SOCH簇和SOCL簇交替接入电路。依据SOCaverage分组时,SOCH簇内部可能存在SOC略高于SOCaverage和远高于SOCaverage的内层模组;同理,SOCL簇内部有略低于SOCaverage和远低于SOCaverage的内层模组。在极端情况下,内层模组并联充放电时,会存在各簇内SOC最高的内层模组和SOC最低的内层模组之间产生环流的问题。

为解决此问题,本文采取以下措施:先将SOCH簇内部分SOC较高的内层模组并联、其余模组不接入电路,对RC环节充电,缩小SOCH簇内SOC差异满足要求后,再将所有模组并联接入电路。SOCL簇采用同样措施。

具体流程如下:

阶段Ⅰ:检查各簇内是否存在内层模组SOC差异超过设定阈值。如果不存在,则簇内所有内层模组并联参与均衡;如果存在,则先将SOCH簇内部分SOC较高的和SOCL簇内部分SOC较低的内层模组并联参与均衡。

阶段Ⅱ:导通SOCH簇,断开SOCL簇,使SOCH簇对RC环节充电。如图11a所示,闭合P11、P12、P21和P22开关,断开P31、P32、P41和P42开关,SOCH对RC电路持续充电时长为t

width=227.25,height=193.2

图11 空闲状态下内层模组间均衡阶段

Fig.11 Stage diagram of inter-module balancing for inner modules in idle state

阶段Ⅲ:导通SOCL簇,断开SOCH簇,使RC环节对SOCL簇充电。如图11b所示,断开P11、P12、P21和P22开关,闭合P31、P32、P41和P42开关,RC电路对SOCL持续放电时长也为t

循环执行阶段Ⅰ~阶段Ⅲ,直至模组间SOC差异度DSOCglobal≤0.5%时,断开开关PRC

3.2 RC参数计算

为了保证电池安全、延长电池寿命和缩短均衡时间,电池充放电电流需要限制在一定范围内。

工作模式如图12a所示,SOCH对RC电路充电,充电电流为I1;如图12b所示,RC电路对SOCL放电,放电电流为I2,并将其转化到复频域计算为

width=117,height=29 (6)

width=148,height=57 (7)

式中,VH为高于平均SOC的电池组电压;UC为电容电压;R1R2分别为SOCH簇和SOCL簇内部电阻。

width=214.3,height=78.6

图12 RC电路充放电原理

Fig.12 Principle of RC circuit charging and discharging

对式(8)进行拉普拉斯反变换得到放电电流i1

width=93,height=36 (8)

同理可得充电电流i2

width=95,height=36 (9)

式中,VL为低于平均SOC的电池组电压。

由式(8)可得

width=73,height=30 (10)

width=117,height=31 (11)

式中,i1(0)为SOCH对电容充电起始时刻电流;i1(t)为SOCH对电容充电结束时刻电流;t为开关切换时间。

为了兼顾开关损耗小和均衡速度快的目标,开关切换时间需要根据两者综合考虑。将电池可允许的最大充放电电流和开关切换时间t代入式(10)和式(11),即可求得满足电池安全充放电约束的RC电路参数。

4 实验分析

4.1 实验平台

为验证所提出的分层可重构拓扑的合理性及均衡策略的有效性,本文搭建了基于可重构电池管理系统的实验平台,实验平台关键参数见表2,实验平台如图13所示。

采用NEWARE BT4000电池测试仪对12节ANR26650磷酸铁锂电池容量以及老化程度进行测试,参数见表3,Cr为电池真实容量,R0为电池欧姆内阻,R3为电池极化内阻,C3为电池极化电容。可重构电池网络由42个功率MOSFET开关及分布式传感器网络构成,BMS根据传感器采集的单体电流估计所有单体电池状态,并基于内置的分层均衡控制策略决定所有开关的接合状态向开关阵列发送相应的开关作动命令。

表2 实验平台参数

Tab.2 Experimental platform parameters

参 数数 值 电池额定电压U/V3.4 电池额定容量Ce/(A·h)2.5 RC电路中电阻R/W2 RC电路中电容C/F1

width=179.1,height=82.7

图13 实验平台

Fig.13 Experimental prototype

表3 电池参数

Tab.3 Battery parameters

电池标号Cr/(A·h)R0/WR3/WC3/F B12.4900.018 30.009 40.625 4 B22.2020.023 10.013 50.897 0 B32.2820.021 70.013 70.657 1 B42.5000.018 20.006 60.727 1 B52.5020.018 90.006 20.556 2 B62.4980.018 50.005 90.585 6 B72.4990.018 70.009 20.570 4 B82.4950.018 90.006 20.596 0 B92.5030.018 20.009 50.855 4 B102.4990.018 40.012 10.537 0 B112.4960.018 20.009 60.629 4 B122.5020.018 50.006 10.520 3

4.2 分层均衡效果验证

为了验证本文新型可重构电池拓扑和分层均衡策略的有效性,将平台中6个内层电池模组工作在放电状态,其中12个单体电池的初始SOC值设置见表4。

通过分析表4中的放电均衡过程中各单体电池的SOC数据,初始时刻电池组全局SOC差异度6.65%。

表4 12个电池的初始SOC

Tab.4 Initial SOC of 12 batteries

电池标号SOC(%) B188.5 B288 B381.85 B482.5 B587 B686.5 B783 B883.5 B986 B1085.5 B1183.5 B1284

图14给出了均衡过程中的电池组端电压实验结果,结果显示在分层均衡过程中输出电压稳定在6.7 V左右,最大电压波动为3%。

width=200.5,height=126.15

图14 电池组均衡过程输出电压

Fig.14 Output voltage during pack balancing process

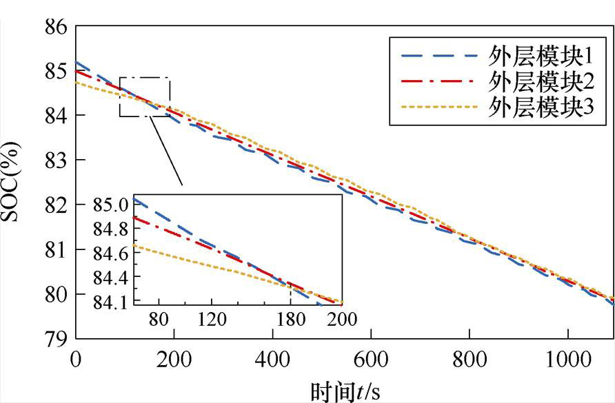
图15为启用分层均衡后全体电池SOC变化结果,结果表明,本文提出的拓扑在1 000 s左右时完成均衡。图16和图17分别为均衡时各外层模块间的SOC变化和各内层模组SOC的变化。

width=233.5,height=119.35

图15 全体单体电池SOC变化

Fig.15 SOC change chart of the whole cell

width=194.6,height=127.65

图16 外层模块间的SOC变化

Fig.16 SOC variation between outer layers

width=193.95,height=127.65

图17 内层模组SOC变化

Fig.17 SOC change of each inner module

在0~180 s内外层模块1、2和3之间进行均衡,通过非对称PWM控制策略减缓外层模块3的SOC下降,同时各外层模块间SOC差异度DSOCmodule从0.46%降至0.1%;在180~760 s进行内层模组间,均衡采用梯度拆分重组策略,SOCH模组以2C倍率差异化放电,SOCL模组被旁路,模组间SOC差异度进一步收敛至0.8%;在760~1 000 s进行内层模组内均衡,通过动态旁路与并联操作消除模组内局部SOC差异,最终所有单体SOC方差降至0.009(DSOCglobal<0.5%)。

综上所述,分层均衡策略通过三级联动机制显著提升了均衡效率,减少了电压波动。

图18为外层模块间的PWM占空比实验结果。由图16和图18可知,由于外层电池模块1、2和3初始平均SOC分别为85.21%、85%和84.75%,通过非对称PWM控制策略实现外层电池模块1的占空比始终为1,外层电池模块2的占空比与外层电池模块3的占空比动态互补。最终,在180 s时各外层模块间的平均SOC差异度由0.46%降到0.2%以内,与传统的最值均衡策略相比时间缩短10%。实验表明,基于非对称PWM控制策略的能量调度方法有效实现了外层模块间均衡。

width=190,height=128.7

图18 外层模组间的PWM

Fig.18 PWM between outer modules

为了验证可重构均衡拓扑在分层架构中的优势,本文与文献[21-22]中的分层式均衡拓扑进行了分析对比,分析结果见表5。文献[21]采用了一种基于电感储能的模块化分层均衡拓扑,但由于均衡过程中对储能元件先充电再放增加了均衡时间,且在储能元件之间进行能量转移也增加了能量损耗。而文献[22]采用了一种外层为改进型Cuk斩波电路,内层为单电感均衡拓扑的双层拓扑结构,但由于使用大量电容电感元件,提升了电路的复杂程度和成本。相比之下,本文中提出的可重构均衡拓扑在分层架构中具有更好的性能,当电池组SOC差异度相同时能够节省30%的均衡时间,更有效地提升能量利用率和电池组的可用容量。

表5 本文分层均衡与已有分层均衡对比

Tab.5 Comparison between hierarchical balancing in this article and existing hierarchical balancing

参 数分层均衡 本文文献[21]文献[22] 均衡时间/s1 0001 3002 000 开关数量423042 电容/电感元件数量0108

4.3 闲置状态下内层模组间均衡效果验证

针对BESS闲置状态下的均衡需求,实验进一步验证了基于RC电路与拓扑重构协同的内层模组间均衡机制。用于实验的6个内层电池模组的初始平均SOC值设置见表6。图19为闲置状态下内层模组间SOC变化。

为了保证电路充放电电流在安全范围内,并避免充放电电流过小导致的均衡时间过长,本文设置的放电电流为0.3C~0.4C,开关切换时间t=500 ms。本文所使用电池额定电压为3.4 V,额定容量为2.5 A·h,则VHVL分为6.8 V和3.4 V。为确保放电电流i1在0.75~1 A以内,则i1(0)和i1(t)分别为1 A和0.75 A。将上述数据代入式(10)和式(11)中计算得到RC分别为2 W和1 F。

表6 6个内层电池模组的平均初始SOC

Tab.6 Average initial SOC of six inner layer battery module

电池模组SOC(%) M182.5 M277.5 M376.5 M481.0 M576.0 M680.0

width=201.25,height=119.65

图19 闲置状态下内层模组间SOC变化

Fig.19 SOC changes between inner modules in the idle state

由图19可知,在均衡策略结束后,内层模组间SOC方差从6.9降至0.015,各SOC值趋于一致。通过重构SOCH内层电池模组为串联模式与SOCL内层电池模组为并联模式,有效地解决了各内层电池模组之间SOC不一致性问题。由于在闲置状态下实现了内层模组间均衡,当分层均衡策略开始时内层电池模组的SOC不一致性问题已被解决,因此可以直接进行内层模组内单体电池均衡过程,可使整个电池组更快达到全体电池SOC一致。

为了证明本文所提出的闲置状态下内层模组间均衡方法的优势,从开关数量、均衡速度、开关频率以及均衡控制复杂度等方面进行比较,见表7。表7中,单变压器式均衡、Buck-Boost式均衡以及双向变换器式均衡由于采用了电感和电容进行能量的传递,开关频率较高且控制方式复杂。本文所提出的均衡策略,均衡期间开关工作在较低的开关频率下,降低了工作时的开关损耗。综上所述,本文提出的闲置状态下内层模组间均衡方法虽然在一定程度上增加了系统损耗,但在均衡速度、开关损耗和控制复杂度上优势明显,并且,低开关频率在开关器件较多的可重构电池系统中更具适用性。

表7 本文闲置均衡策略与已有闲置均衡策略对比

Tab.7 Comparison of the idle balance in this article and the existing idle balance

类别单变压器型[23]Buck- Boost型[24]双向变换器型[25]所提方法 开关N+34N2N+43.5N 电感0210 电容0011 变压器1000 控制复杂度中等中等中等低 开关频率高高高低 效率(%)约80.4约85约93约87 均衡时间/min45303520

图20为RC电路电压和电流波形。图中,UC为电容电压,IC为电容充放电电流。由图20可知,在闲置状态下内层模组间均衡时,RC电路充放电电流峰值被限制在3 A以内,电容电压维持在4.7 V左右,可以实现电池模组间电量转移。

width=175.1,height=110.75

图20 RC电路电压和电流波形

Fig.20 Capacitance voltage and current waveforms

图21为内层电池模组1和2电流波形,IM1为内层电池模组1放电电流,IM2为内层电池模组2充电电流。由图21可知,电池模组充放电电流限制在1 A以内,符合预先设定电池安全约束(小于0.5C)。

width=170.65,height=110.5

图21 内层电池模组1和2电流

Fig.21 Current of inner battery modules 1 and 2

因此,该均衡策略能够有效解决BESS闲置时无法进行均衡的问题。

5 结论

针对退役动力电池规模化再利用时,因电池组不一致导致的容量利用率低、电压波动大和无法在非充放电场景下进行电池均衡问题,本文提出一种基于新型分层可重构拓扑的电池动态均衡方法,进行了系统设计以及实验验证,得到如下结论:

1)提出新型可重构拓扑,通过外层串联/旁路、内层拆分/并联的模块化分层设计,开关数量较传统四开关拓扑减少12.5%,无需DC-DC变换器。

2)提出分层联动均衡策略,融合外层非对称PWM占空比调控、内层梯度拆分重组与单体旁路机制,实现多级能量调度。实验表明:放电场景下,三级联动机制使电池组全局SOC差异度由6.65%收敛至0.5%,均衡时间较主动均衡方法缩短30%,输出电压波动小于3%,验证了分层联动均衡策略的有效性。

3)提出闲置状态下内层模组间均衡策略,通过RC电路充放电循环与拓扑重构协同工作,充放电电流峰值严格限制于安全阈值内,在储能系统闲置场景下降低了各个内层模组间SOC差异度,缩短了分层均衡策略时间,较传统分层均衡策略其效率得到显著提升。

本文通过小规模系统的实验验证了所提拓扑的可行性和均衡策略的可行性和有效性,该系统模块化结构有利于大规模系统的扩展。用于大规模电池系统时,控制复杂度会大幅度增加,未来工作需要重点探讨高效可扩展的分层控制架构、高可靠性的模块间协同机制以及面向大规模场景优化均衡算法,以应对模块数量激增带来的实时性、计算负荷与系统稳定性挑战。

参考文献

[1] 程林, 索克兰, 许鹤麟. 新能源侧电池储能系统运行评价: 现状与展望[J]. 电力系统自动化, 2025, 49(15): 1-19.

Cheng Lin, Suo Kelan, Xu Helin. Operation evaluation of battery energy storage systems at renewable energy side: current status and prospects[J]. Automation of Electric Power Systems, 2025, 49(15): 1-19.

[2] 姬鹏, 吕泽旭. 考虑温度及老化的储能用锂离子电池组荷电状态估算算法[J]. 电工技术学报, 2025, 40(17): 5667-5682.

Ji Peng, Lü Zexu. SOC estimation algorithm of lithium-ion battery pack for energy storage con- sidering temperature and aging[J]. Transactions of China Electrotechnical Society, 2025, 40(17): 5667- 5682.

[3] 毛路, 赵文元, 王越, 等. 锂离子电池快充-均衡双层优化控制方法[J]. 电工技术学报, 2025, 40(19): 6395-6406.

Mao Lu, Zhao Wenyuan, Wang Yue, et al. Double layer optimal control method of fast charge equali- zation for lithium ion batteries[J]. Transactions of China Electrotechnical Society, 2025, 40(19): 6395- 6406.

[4] 蔡敏怡, 张娥, 林靖, 等. 串联锂离子电池组均衡拓扑综述[J]. 中国电机工程学报, 2021, 41(15): 5294-5311.

Cai Minyi, Zhang E, Lin Jing, et al. Review on balancing topology of lithium-ion battery pack[J]. Proceedings of the CSEE, 2021, 41(15): 5294-5311.

[5] 孙玉巍, 付超, 李永刚, 等. 用于电池储能系统的级联式电力电子变压器均衡及协调控制[J]. 电力系统自动化, 2018, 42(18): 123-130.

Sun Yuwei, Fu Chao, Li Yonggang, et al. Balancing and coordinated control of cascaded power electronic transformers for battery energy storage system[J]. Automation of Electric Power Systems, 2018, 42(18): 123-130.

[6] 阮观强, 曹金良, 符啸宇, 等. 主被动均衡电池管理系统设计[J]. 科学技术与工程, 2023, 23(34): 14609-14617.

Ruan Guanqiang, Cao Jinliang, Fu Xiaoyu, et al. Design of active and passive balanced battery management system[J]. Science Technology and Engineering, 2023, 23(34): 14609-14617.

[7] 郭向伟, 王晨, 钱伟, 等. 电池储能系统均衡方法研究综述[J]. 电工技术学报, 2024, 39(13): 4204- 4225.

Guo Xiangwei, Wang Chen, Qian Wei, et al. A review of equalization methods for battery energy storage system[J]. Transactions of China Electrotechnical Society, 2024, 39(13): 4204-4225.

[8] Xu Jun, Cao Binggang, Wang Junping. A novel method to balance and reconfigure series-connected battery strings[J]. Energies, 2016, 9(10): 766.

[9] 慈松, 张从佳, 刘宝昌, 等. 动态可重构电池储能技术: 原理与应用[J]. 储能科学与技术, 2023, 12(11): 3445-3455.

Ci Song, Zhang Congjia, Liu Baochang, et al. Dynamic reconfigurable battery energy storage tech- nology: principle and application[J]. Energy Storage Science and Technology, 2023, 12(11): 3445-3455.

[10] 陈思哲, 王玉乐, 陶以彬, 等. 基于纵横交叉优化的可重构电池组环流抑制策略[J]. 电网技术, 2022, 46(1): 165-174.

Chen Sizhe, Wang Yule, Tao Yibin, et al. Circulation suppression strategy for reconfigurable battery packs based on crisscross optimization[J]. Power System Technology, 2022, 46(1): 165-174.

[11] 尹镨. 基于可重构拓扑的锂离子电池组高效主动均衡技术研究[D]. 西安: 长安大学, 2023.

Yin Pan. Research on efficient active equalization technology of lithium-ion batteries based on recon- figurable topology[D]. Xi’an: Chang'an University, 2023.

[12] 张婷婷, 纪锋. 无DC-DC变换器的稳压均衡电路[J]. 电力电容器与无功补偿, 2023, 44(2): 117-123.

Zhang Tingting, Ji Feng. Voltage stabilization equali- zation circuit without DC-DC converter[J]. Power Capacitor & Reactive Power Compensation, 2023, 44(2): 117-123.

[13] 任子豪, 田恩刚. 基于两级均衡电路的电池组智能均衡方法[J]. 电子科技, 2024, 37(7): 9-15.

Ren Zihao, Tian Engang. Intelligent equalization method for battery packs based on a two-level equali- zation circuit[J]. Electronic Science and Technology, 2024, 37(7): 9-15.

[14] 黄薛, 王友仁, 徐智童. 可重构电池技术研究综述[J]. 机械制造与自动化, 2019, 48(1): 219-221, 224.

Huang Xue, Wang Youren, Xu Zhitong. Review of researching on reconfigurable battery technology[J]. Machine Building & Automation, 2019, 48(1): 219- 221, 224.

[15] Zhu Yu, Zhang Wuyang, Cheng Jun, et al. A novel design of reconfigurable multicell for large-scale battery packs[C]//2018 International Conference on Power System Technology (POWERCON), Guangzhou, China, 2018: 1445-1452.

[16] 于仲安, 张军令, 陈可怡. 基于GA-ELM的锂电池SOC估计及主动均衡[J]. 电气工程学报, 2024, 19(1): 326-333.

Yu Zhongan, Zhang Junling, Chen Keyi. SOC estimation and active equalization of lithium battery based on GA-ELM[J]. Journal of Electrical Engin- eering, 2024, 19(1): 326-333.

[17] 徐鹏, 康龙云, 万蕾, 等. 一种均衡阈值可调的双模式电池均衡电路[J]. 电机与控制学报, 2023, 27(10): 96-107.

Xu Peng, Kang Longyun, Wan Lei, et al. Two-mode cell balancing circuit with adjustable balancing threshold[J]. Electrical Machines and Control, 2023, 27(10): 96-107.

[18] 刘剑锋, 龚仁喜, 张圆圆. 一种非对称级联H桥三相逆变器的功率均衡混合随机脉宽调制方法[J]. 电工技术学报, 2024, 39(24): 7807-7820.

Liu Jianfeng, Gong Renxi, Zhang Yuanyuan. A power-balanced hybrid random pulse width modu- lation method for asymmetric cascaded H-bridge three-phase inverter[J]. Transactions of China Elec- trotechnical Society, 2024, 39(24): 7807-7820.

[19] 崔皓勇, 魏中宝, 何洪文. 基于动态可重构的智能电池容量最大化利用[C]//第23届中国系统仿真技术及其应用学术年会, 合肥, 2022: 238-244.

Cui Haoyong, Wei Zhongbao, He Hongwen. Dynamic reconfiguration-enabled capacity maximum utilization of smart battery[C]//23rd The IEEE-China Conference on System Simulation Technology and its Application (CCSSTA), Hefei, 2022: 238-244.

[20] Wang Yichen, Zhang Bao, Wu Yanze, et al. A light- load optimization method for CLLC resonant con- verters based on asymmetric PWM control strategy[C]// 2024 3rd Asia Power and Electrical Technology Conference (APET), Fuzhou, China, 2024: 181-186.

[21] 张旭阳, 许锋, 周华, 等. 串联电池组模块化分层主动均衡方法研究[J/OL]. 电源学报, 2024, https:// link.cnki.net/urlid/12.1420.TM.20240426.1418.078.

Zhang Xuyang, Xu Feng, Zhou Hua, et al. Modular layered active equalization method for series battery pack[J/OL]. Journal of Power Supply, 2024, https:// link.cnki.net/urlid/12.1420.TM.20240426.1418.078.

[22] 李艳波, 马海涛, 程绍峰, 等. 结合CUK电路与单电感电路的电池均衡分层研究[J/OL]. 电源学报, 2023, https://link.cnki.net/urlid/12.1420.TM.20231213. 1351.003.

Li Yanbo, Ma Haitao, Cheng Shaofeng, et al. Balanced stratification of batteries combining CUK circuit and single inductor circuit[J/OL]. Journal of Power Supply, 2023, https://link.cnki.net/urlid/12. 1420.TM.20231213.1351.003.

[23] Daowd M, Antoine M, Omar N, et al. Single switched capacitor battery balancing system enhancements[J]. Energies, 2013, 6(4): 2149-2174.

[24] 姚芳, 王晓鹏, 陈盛华, 等. 基于Buck-Boost准谐振电路的电池自适应分组均衡方案研究[J]. 中国电机工程学报, 2023, 43(2): 714-727.

Yao Fang, Wang Xiaopeng, Chen Shenghua, et al. Research on battery adaptive grouping equalization scheme based on Buck-Boost quasi-resonant circuit[J]. Proceedings of the CSEE, 2023, 43(2): 714-727.

[25] 王鹿军, 柯锦洋, 詹敏, 等. 基于四管双向变换器的退役电池组有源快速均衡方法[J]. 中国电机工程学报, 2022, 42(14): 5254-5266.

Wang Lujun, Ke Jinyang, Zhan Min, et al. Active fast equalization method for retired battery pack based on four switch bidirectional converter[J]. Proceedings of the CSEE, 2022, 42(14): 5254-5266.

A Hierarchical Balancing Method for Batteries Based on a Novel Reconfigurable Topology

Zhou Juan Guo Zeyun Du Shimin Zhang Yonglei Pang Yufan

(School of Electrical Engineering China University of Mining and Technology Xuzhou 221008 China)

Abstract With the global energy transition and rapid growth of the electric vehicle (EV) market, the second-life utilization of retired power batteries has become a critical pathway for constructing new energy storage systems. However, retired batteries often face issues such as significant capacity degradation, increased internal resistance, and low capacity utilization in battery packs during their second-life application. These issues are particularly challenging in idle (non-charging/discharging) conditions, where conventional balancing methods exhibit technical limitations. Thus, this paper proposes a hierarchical balancing method based on a novel reconfigurable topology.

Traditional reconfigurable topologies suffer from excessive switch numbers, reliance on DC-DC converters, and inadequate balancing under idle conditions. A new reconfigurable topology is introduced, adopting a hierarchical design featuring series/bypass connections between modules and split/parallel configurations within modules. Compared to conventional four-switch topologies, the proposed structure reduces the switch count by 12.5% and limits output voltage fluctuations to within 3% without additional DC-DC converters.

Subsequently, a hierarchical coordinated balancing strategy is proposed. This approach synergistically couples asymmetric PWM energy scheduling among outer modules with intra-module cell-level management techniques, i.e., splitting, recombining, and bypassing—within inner modules. Specifically, asymmetric PWM is used to redistribute energy between outer modules, reducing SOC differences and preventing circulating currents during charging and discharging. Within the inner modules, a capacity gradient splitting and cell bypassing method is applied to optimize the SOC differences, ensuring balance across the entire battery pack.

An RC circuit-based rapid balancing method is proposed for inner module balancing to overcome the limitations in balancing during idle periods of an energy storage system (ESS). The integration of the RC circuit with dynamic topology reconfiguration markedly amplified the inter-module voltage gradient, thereby expediting energy transfer between inner modules.

Finally, a reconfigurable battery experimental platform is built. In discharge scenarios, experimental results show that the proposed strategy reduces the SOC difference from 6.65% to within 0.5% in approximately 1 000 seconds, with output voltage remaining stable and voltage fluctuations below 3%. Under ESS idle conditions, the RC circuit-based balancing strategy quickly reduces SOC differences between inner modules to below 0.5%, and peak currents are strictly controlled within safe limits. The proposed topology and balancing strategy are verified.

keywords:Reconfigurable topology, grid energy storage system, battery balancing control, hierarchical balancing method

DOI: 10.19595/j.cnki.1000-6753.tces.250499

中图分类号:TM912

国家自然科学基金项目(52107218)和江苏省级科研创新计划项目(SJCX25_1453)资助。

收稿日期 2025-03-28

改稿日期 2025-06-09

作者简介

周 娟 女,1976年生,教授,博士生导师,研究方向为电能质量控制技术、电池管理系统等。E-mail: zhoujuan@cumt.edu.cn(通信作者)

郭泽赟 男,2001年生,硕士研究生,研究方向为可重构电池管理系统。E-mail: gzy1254650422@163.com

(编辑 陈 诚)