摘要 为实现真空断路器振动信号时序特征的有效融合和在小样本条件下的机械性能退化动态评估,该文通过提取振动信号中表征不同机械结构动作特性的特征量,提出一种基于多时序特征预测与张量融合的真空断路器机械性能退化动态评估方法。首先,通过短时能量算法从振动信号中分别提取反映真空断路器操动机构电磁触发单元、传动机构及弹簧机构的状态特征量;其次,采用函数主元分析方法构建性能退化模型,并结合贝叶斯推理动态更新模型参数,实现振动信号多特征量的性能退化预估;最后,基于三个特征量的退化预测结果,采用张量融合方法构建振动融合退化指标,实现真空断路器机械性能退化的动态表征。实验结果表明,与传统加权融合、主成分分析融合及深度融合方法对比,该文所构建的融合指标与离线测量的完全合闸时间指标的R2达到0.973 2,具有最高相似度,同时随着操作次数的增加,动态预测精度逐渐提升。该研究为真空断路器的在线性能退化评估提供了可靠的决策支持。
关键词:真空断路器 振动信号 机械性能退化 函数主元分析 张量融合
真空断路器机械性能的稳定性对电力系统长期可靠运行至关重要[1-2],但其操动机构易因磨损、老化、润滑失效等导致分合闸时间偏移、拒动或误动等问题,威胁电力系统供电稳定性。目前采用的事后维护与计划维护策略存在欠修、过修或盲目维护等缺陷[3]。近年来,基于振动信号分析的真空断路器机械状态监测方法因其非侵入式测量、在线监测、信息量丰富等优势受到广泛关注[4-5]。因此,如何从非平稳振动信号中提取有效退化特征,实现真空断路器机械性能退化状态的动态预估,成为智能电网设备状态检修的重要研究方向。
国内外学者在利用振动信号在线监测断路器性能方面已取得了诸多重要成果。杨秋玉等基于振动信号时频图像特征评估高压断路器分闸缓冲器运行状态[6]。Su Shuguang等通过有效振动信号分段方法预测了断路器触头系统退化过程[7]。豆龙江等研究了断路器动作过程中的能量传递机理,并基于此判断弹簧的疲劳程度[8]。刘会兰等采用递归量化分析方法溯源弹簧形变过程,以识别其形变状态[9]。这些研究表明,振动信号能够有效表征断路器操动机构的机械状态特征,但上述文献聚焦于分析某个特定机械结构的退化程度,忽略了操动机构子系统间的动态耦合效应,导致对断路器机械性能的综合评估存在不足。
振动信号特征提取是机械状态监测的核心环节,目前研究大多采用分段处理提取振动信号特征,文献[10-12]分别采用振动信号分段、时频域分段、等时间分段方法提取特征量,实现断路器机械故障的诊断与分类。采用分段提取方法能提升信息处理效率,但易割裂非平稳信号的瞬态特征,增加计算复杂度。短时能量算法(Short-Time Energy algo- rithm, STE)通过窗函数灵活调整分析尺度,保留瞬态特征,为振动信号特征提取提供了更优解决方案。谭佳明等使用短时能量法、总能量分析法及信息熵法对振动信号进行分析处理,实现断路器的状态监测[13]。万书亭等利用动态时间规整算法对两个短时能熵比序列进行规整匹配以得到最优匹配路径,进而判断断路器的运行状况[14]。这些研究都具有较高的应用价值,但这些方法都侧重于分析单次分合闸振动信号,实现故障诊断或离散状态评估,而忽略了操动机构动作的时序关联性,导致断路器机械性能退化过程的动态表征能力不足。
考虑到断路器在配电网中动作频率较低,加之传感器部署不及时、设备提前退役等因素,导致全寿命周期监测数据样本有限。因此,在小样本数据条件下,有效挖掘退化信息并构建退化评估指标,是当前研究面临的重要挑战。
综上所述,现有断路器机械性能退化评估方法存在以下问题:
(1)由于真空断路器的机械操作过程涉及多个子系统,其振动信号包含丰富的子系统动作信息,研究单一子系统难以全面表征断路器操动机构的机械性能退化状态。
(2)现有方法多输出离散诊断结果,缺乏对整体退化过程的连续量化与动态追踪能力。
(3)断路器在配电网实际运行中不会频繁动作,且受传感器部署不及时、断路器提前退役等限制,造成测量数据全周期寿命样本少的问题。
为解决上述问题,本文提出了一种基于振动信号特征预测与张量融合的真空断路器机械性能退化动态评估方法。首先通过短时能量算法提取振动信号的关键部件退化特征,然后结合函数主元分析(Functional Principal Component Analysis, FPCA)方法与贝叶斯推理构建小样本自适应退化预测模型,最后利用张量融合方法建立动态表征指标,实现真空断路器机械性能退化的动态评估。该方法具有以下优点:
(1)短时能量算法通过窗函数灵活调整分析尺度,保留了瞬态特征,从振动信号中提取反映真空断路器的不同机械结构特征。
(2)FPCA方法适用于小样本数据,能有效解决退化过程函数形式未知与人为假设的主观性问题,同时贝叶斯推理方法根据实时退化监测值动态更新模型参数,实现特征量整体退化过程的动态追踪。
(3)基于张量融合方法对三种动态预测特征量进行特征融合,能在保留每个特征量特征的同时,充分提取各特征量间的高维退化特征的关联信息,构建真空断路器机械性能退化评估指标。
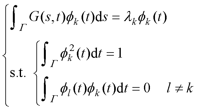
真空断路器退化过程具有非线性、不确定性特点,采样时序数据复杂。FPCA方法通过将状态监测数据推导出相应函数分析,建立基于函数的退化过程。假设断路器
的退化过程为
(
=1, 2,…,
),有
(1)
式中,
为均值函数,是退化过程的共性趋势分量;
、
分别为函数主成分和主成分得分,是偏差分量,反映了不同真空断路器的个性差异信息。
作为一种非参数建模方法,FPCA方法不需要预先指定函数形式,而是通过分析状态监测数据得到共同趋势和个体差异,从而更好地适应未知退化过程。通过提取函数主成分
可以准确捕捉真空断路器退化过程的随机波动特征,而主成分得分
的不同反映了多台断路器之间的退化差异性。因此,基于FPCA方法建立真空断路器的退化模型,能够准确描述其退化特征,提供可靠的分析方法[15]。
张量是一种高维数组,其空间维数称为张量的阶数。一个
阶张量表示为
,其中,
为
维实数空间,
为第n个维度[16]。张量融合的主体思想通过对三个输出张量使用三阶笛卡尔积,充分结合了张量融合中单模态、双模态和三模态相互作用的优势,在保留每种数据各自特征的同时,最大程度地提取多源数据之间的高阶相关性信息[17]。
基于上述理论,本文提出一种在小样本条件下的真空断路器机械性能退化动态评估方法。具体流程如图1所示,通过STE从振动信号中分别提取反映电磁触发单元、传动机构及弹簧机构的状态特征量,然后结合FPCA方法和贝叶斯推理实现在小样本条件下的特征量退化趋势动态预估,最后基于张量融合构建三个特征量的退化预估曲线得到振动融合退化指标。该指标不仅能够全面、准确地表征断路器机械性能退化状态,还具备随着在线监测数据持续输入而自适应更新的能力,可为实际运维提供指标参考,辅助制定科学合理的检修策略。
真空断路器合闸过程是由电磁触发单元接受信号后释放弹簧机构能量促使传动机构依次动作的过程,伴随产生振幅各异、持续时间不一的非平稳振动子波[18]。通过STE方法捕捉短时间内的振动信号能量变化,从而提取反映电磁触发单元、传动机构、弹簧机构状态的特征量。
图1 方法流程
Fig.1 Flow chart
假设振动信号为
(
=0,…,
),则STE可表示为
(2)
其中
(3)
式中,
为短时窗函数,确定了信号分析范围,本文采用汉明窗函数[19],其因频带较宽、引入失真小且通带外的幅频响应衰减速率快而被广泛应用;
为采样数;
为时间窗宽度,宽度越大,短时能量曲线越平滑。
因此,可以从振动信号能量变化曲线中提取反映电磁触发单元、传动机构、弹簧机构状态的特征量,进一步通过退化建模预测其退化趋势。
真空断路器退化建模的关键在于建立从振动信号提取的特征量与操作次数之间的函数关系,但由于不同特征量的退化过程具有不确定性和非线性特点,因此可以考虑将特征量退化描述成函数
在相应操作次数
的采样值
,将监测数据转变为相应函数的分析,从而建立基于FPCA的退化模型。
基于式(1)所示,退化过程可由均值函数
和偏差分量
表示。根据Karhunen-Loève定理对协方差函数
谱分解得到
(4)
式中,
为有序特征值,对应于各函数主成分
在总体变化中所占的方差。这些项满足
(5)
式中,G为断路器投入使用至失效的全寿命操作次数。进而计算主成分得分
,同时满足
且
,可表示为
(6)
然而,通常仅有几个特征值起到决定性作用,对于特征值近似为零的主成分得分也趋近于零。因此,通过设定阈值
(一般不小于85%),计算方差解释分数(Fraction of Variance Explained, FVE)来选择合适的函数主成分个数
,有
(7)
利用
个真空断路器的性能退化序列
(
= 1, 2,…,
,
=1, 2,…,
)对模型参数进行估计。用样条插值方法将性能退化特征序列
平滑为性能退化特征函数
,计算得到特征共同退化趋势为
(8)
函数主成分
由性能退化特征函数
的协方差函数
确定,有
(9)
(10)
式中,
为测量误差的方差;
为克罗内克符号,通常为0,当且仅当
时,
,表示原始协方差函数
的对角线(即
)受到测量误差的影响,因此需要用局部平滑方法估计对角线上的值。
最后整合得到协方差函数估计
,并对测量误差的方差
进行估计,有
(11)
其中

式中,
为式(10)
对角线的局部线性平滑估计;
为协方差函数
对角线估计;
为
的区间长度。
将协方差函数估计
离散化后,代入式(4)得到函数主成分估计
和特征值估计
,再用样条插值方法将离散主成分平滑为连续函数主成分。
采用条件期望主成分分析方法估计真空断路器
的主成分得分
为
(12)
式中,
为在
、
时刻协方差函数的采样值矩阵;
、
分别为函数主成分
、均值函数
在各离散时刻
的采样列向量。
将上述参数估计结果代入式(1)的退化模型,得到真空断路器
的性能退化模型估计为
(13)
式中,均值函数
和前
个函数主成分
无需预先指定参数形式,通过对
均值计算和特征值分解得到,从而消除了人为假设的主观性。
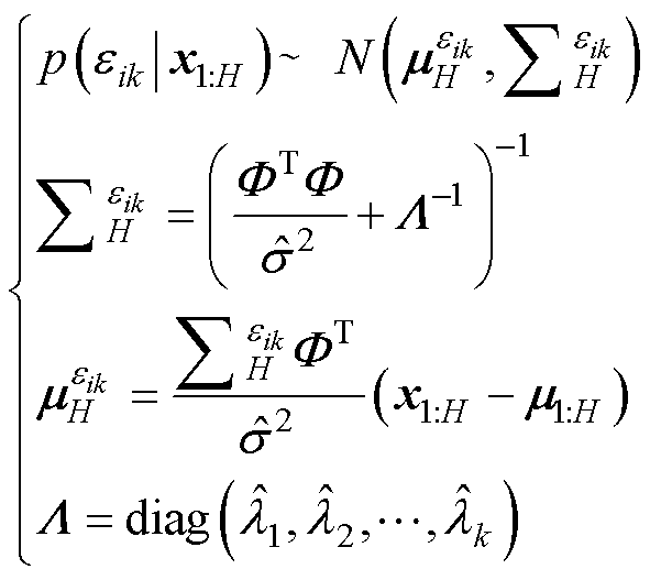
基于上述退化模型的构建为退化趋势预估建立基础,利用贝叶斯推理方法,通过在线测量得到的振动信号提取出的特征量来更新退化模型的主成分得分,以实现对特征量退化趋势的动态预估[20]。
构建主成分得分
的贝叶斯推理更新模型为
(14)
式中,
为
的先验分布;
为似然函数,其中
为在线测量得到的振动数据提取出的性能退化特征序列;
为
的后验分布。
假定断路器退化趋势符合高斯过程,则主成分得分
服从正态分布,似然函数
表示为
(15)
其中

式中,
为
在
(
)的列向量;
为函数主成分
的测量矩阵。
因为
与
为共轭分布,因此
也满足正态分布,有
(16)
式中,
为
对应特征值估计
的对角线阵。基于后验分布
得到的主成分得分
代入式(14),根据
动态预估其退化趋势为
(17)
其中
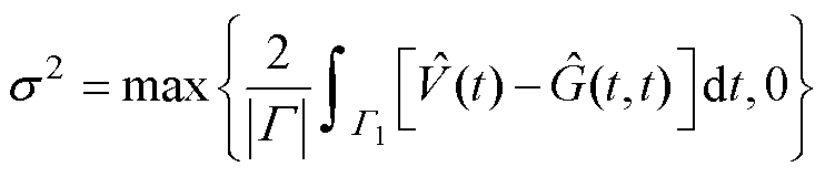
计算真空断路器退化趋势预估值的t分布置信区间(Confidence Interval, CI)以评估预估的可靠性。当实际监测曲线在置信区间内,则表明模型预估精度高、可靠性好。计算公式为
(18)
其中

式中,
为置信水平;
为协方差矩阵。
基于上述对振动信号特征量的退化趋势预估,得到电磁触发单元、传动机构、弹簧机构的全寿命周期机械性能退化特征函数
、
、
,进而将三个具有代表性的退化特征进行融合,得到反映真空断路器机械性能退化的融合指标。
将三个特征函数线性变化映射到低维空间,构建操作次数t的退化特征张量
、
、
,分别对应于电磁触发单元、传动机构、弹簧机构。
(19)
式中,
和
分别为线性层的权重和偏量值。
为了计算多特征张量之间的退化关联性,同时又能保留各自的张量特征,分别对
、
、
末尾扩充单位元素构建张量融合层,通过笛卡尔积运算来实现特征张量融合,有
(20)
式中,
为笛卡尔积[21]运算符,可以实现在融合过程中最大程度地提取电磁触发单元特征量、传动机构特征量和弹簧机构特征量之间的退化关联性信息。如图1所示,将三维空间分成了七个能够反映不同退化特性的子区域:三个提取各特征量退化特性的子区域;三个提取两两特征量之间的机械性能退化关联性信息的子区域;一个提取三个特征量之间高维退化关联性信息的子区域。将高维特征融合结果映射回原始特征空间,通过构造全连接层
将
映射到具有多特征退化信息的低维输出张量,有
(21)
式中,
和
分别为全连接层的权重和偏量值。
在振动信号多特征融合的指标构建过程中,通过单调性约束和平滑性约束多次约束迭代,对输出特征张量进行训练和优化,具体约束公式为
(22)
式中,
为总损失函数;
和
分别为单调性损失和平滑性损失的最大阈值;
为单调性约束,训练了曲线的单调性;
为平滑性约束,减少了曲线的波动性;
和
为控制两种约束权重的超参数;
为输出张量的序列长度。
最后,将迭代训练好的融合曲线标准化,得到振动融合退化指标
为
(23)
式中,
为原始融合曲线;
、
分别为融合曲线的最小值和最大值。
据调查,真空断路器机械故障发生的概率最高,存在储能机构弹性下降、传动机构磨损、电磁触发单元老化等故障[22-24]。本研究集中于对真空断路器振动信号特征量进行特征预估融合,实现机械性能退化的动态评估,因此,搭建了由六台KYN28-12型开关柜构成的实验平台,每个开关柜均配置VS1(ZN63A)型真空断路器,其额定电压为12 kV,额定电流为630 A,短路分断电流为25 kA,在额定电压下的闭合时间为35~70 ms。实验装置平台如图2所示,以其中一台断路器为例,数据采集模块由集成电路压电式(Integrated Circuit Piezoelectric, ICP)振动传感器、电压传感器和USB2899同步采集卡组成,实现对真空断路器分合闸动作记录。ICP振动传感器型号为AD500T,频率响应为0.2 Hz~9 kHz,灵敏度为500 mV/g,安装于断路器触头连接处的金属支架表面,与触头的水平距离约为50 mm,该位置贴近振动源,可减少结构传递引起的信号衰减与外部干扰影响,提高信号稳定性;电压传感器型号为JXT21VD,输入为0~50 V,输出为0~10 V,通过给触头两端接入直流电源,测量触头两端的电压变化;多功能同步数据采集卡USB2899具有8个差分输入通道、16位ADC分辨率,并且最大采样率为500 kS/s,传感器信号均通过差分传输方式接入USB2899同步采集卡,有效提升信号抗干扰能力。将开关柜置于预合闸/预分闸状态,利用LabVIEW环境运行采集程序并启动分合闸操作,循环执行该操作流程并同步记录电压信号和振动信号数据,直至断路器无法正常动作为止,最终获得覆盖断路器全寿命周期的振动信号及电压信号数据集,为后续机械性能退化指标构建提供可靠的实验依据。
图2 实验装置平台
Fig.2 Experimental setup platform
断路器的分合闸操作需借助其操动机构完成。VS1(ZN63A)型真空断路器采用弹簧操动机构,主要由电磁触发单元、锁扣装置、弹簧储能机构以及传动机构等部件构成[25-26],VS1(ZN63A)型真空断路器结构如图3所示。电磁触发单元包含线圈与合闸电磁铁,当产生合闸信号后,线圈通电产生磁场驱动电磁铁运动,从而释放合闸锁扣,触发合闸操作;弹簧机构包含合闸弹簧和储能电机,储能电机通过传动链轮带动两侧拐臂拉伸合闸弹簧来储存机械能,连板触发储能状态指示器翻转,此时弹簧储备的弹性势能为合闸提供驱动力;传动机构将弹簧机构释放的弹性驱动力传递至动触头,实现合闸操作[27]。当接到合闸信号后,通过振动传感器测量得到真空断路器合闸过程的振动波形,触头状态波形和振动波形如图4所示。本文采用短时能量算法(STE)构建振动信号的能量变化曲线,并结合真空断路器的机械结构特性,识别出能量变化曲线中明显上升的突变起始点及峰值点,从而提取具有明确物理意义的关键特征点,用以刻画合闸过程中的机构动作状态[7, 9, 28]。图4中,T1:线圈通电触发电磁铁动作,释放合闸锁扣,使得储能保持轴转动,合闸弹簧开始释放能量,带动传动机构动作,产生第一次振动;T2:在传动机构作用下,动触头向上运动并首次与静触头接触闭合;T3:动静触头完全闭合;T4:合闸弹簧储能全部释放,能量达到峰值;T5:振动信号进入稳定衰减阶段。在合闸动作完成后,分合闸位置指示器和储能状态指示器复位,储能电机供电回路接通。
图3 VS1(ZN63A)型真空断路器结构
Fig.3 Structure of VS1 (ZN63A) vacuum circuit breaker
图4 触头状态波形和振动波形
Fig.4 Contact status waveform and vibration waveforms
通过上述对真空断路器合闸过程的分析,特征点T1、T2、T3和T4反映了振动过程中的主要机械特性。T3为真空断路器的完全合闸时间,能够全面反映弹簧储能释放、传动部件运动、触头接触等多个关键机械动作环节的综合性能。因此,T3的变化通常是多种机械退化因素协同作用的结果,可作为评估断路器机械状态的重要参考指标[29-31]。鉴于真空断路器灭弧室结构封闭,尽管触头两端的电压变化能够直接反映主触头的实际接触状态,但在实际运行中难以通过电压测量在线获取触头状态波形,同时振动信号也难以精准确定T3完全合闸特征点。为此,本文基于加速老化实验平台,在离线环境下同步采集触头电压波形与振动信号,获得涵盖断路器全寿命周期的触头电压与振动信号时序数据。通过提取T3完全合闸时间作为反映机械性能综合状态的对照指标,进一步验证和分析所提融合指标的有效性与准确性。
0~T1时间段为电磁铁动作时间,反映电磁触发单元的状态,定义为特征量
;T1~T2时间段为传动机构开始动作到真空灭弧室中的触头刚接触的时间,反映传动机构的状态,定义为特征量
;T1~T4时间段为弹簧机构储能全部释放的时间,反映弹簧机构状态,定义为特征量
。
考虑到真空断路器实际运行周期长,目前实际现场部署的传感器难以监测全寿命周期退化数据,本文考虑对六台VS1(ZN63A)型真空断路器进行加速老化实验分别测量合闸过程的振动信号,提取得到三个特征量
、
、
的全寿命周期数据集,如图5所示。三种特征曲线在全寿命周期中表现出一定程度的波动性,这种波动是由断路器机械结构特性、结构磨损状态及耦合变化等因素共同引起的,属于机械系统的固有响应。为了更好地提取特征曲线中所蕴含的退化趋势信息,减少非趋势性波动对建模准确性的影响,本文采用样条插值方法对原始特征数据进行平滑处理。三种特征量平滑后的全寿命周期数据集如图6所示,三种特征曲线的退化过程呈现出一定的增长趋势,且退化模式之间具有显著差异。进一步分析这些特征曲线的变化规律,有助于更直观地了解电磁触发单元、传动机构和弹簧机构在长期运行过程中的退化行为,为真空断路器机械性能的全面评估提供支撑。
图5 三种特征量的全寿命周期数据集
Fig.5 Life-cycle dataset of three features
图6 三种特征量平滑后的全寿命周期数据集
Fig.6 Smoothed life-cycle dataset of three features
经过上述对真空断路器振动信号的特征提取,得到了三种能反映断路器操动机构中的电磁触发单元、传动机构和弹簧机构状态的全寿命周期数据集,为真空断路器的多特征退化预测提供数据基础。将每一种特征量的前五组实验数据作为退化建模所需的先验训练组,训练构建基于函数主元分析方法的振动信号特征量退化模型,将第六组实验数据作为测试组,验证在小样本条件下模型预测的准确性,为指标融合提供数据支持。
3.2.1 振动信号机械性能退化模型构建
经过平滑后的特征量曲线减少了波动,可以更加准确地捕捉到各个特征量的共同退化趋势,得到退化过程的整体变化。图7为三种特征量前五组数据集的均值函数估计曲线
,分别反映了不同机械结构的整体退化规律:图7a的电磁触发单元退化曲线呈现三阶段特性:在运行起始阶段(t<1 000
有小幅增加,到稳定阶段(1 000<t<17 500
曲线基本保持平稳,在磨损阶段(t>17 500
开始加速退化,这表明电磁触发单元在前期运行稳定,而到运行后期由于长期累积的电-磁-热应力引发磁性材料劣化、电磁铁磨损,影响后续操动机构动作;图7b传动机构曲线呈现波动退化特征,在起始阶段(t<14 000
出现明显退化后经历相对稳定阶段(14 000<t<22 000
,最后(t>22 000)出现二次加速,可能与连杆磨损、润滑失效等因素相关,反映了传动机构在整个运行周期内的复杂退化过程;图7c弹簧机构曲线显示前期(t<22 000
呈波动缓升趋势,临近运行末期(t>22 000)出现陡增拐点,由弹簧材料疲劳累积引发的弹性形变阈值突破所致。三组曲线通过不同的退化模式,完整地呈现了真空断路器机械结构中关键组件的寿命衰减轨迹。
图7 三种特征量的均值函数估计
Fig.7 Mean function estimation of three features
在计算得到均值函数后,为了充分反映退化数据特征,设定累计贡献阈值
,得到退化模型的各主成分对应特征值的贡献率,反映出各函数主成分在刻画整体数据变化中的重要程度,见表1。可以看出,前四个函数主成分的特征值总贡献率已经达到99.99%,可以反映出真空断路器的主要退化情况。图8为基于函数主成分分析方法分别提取的三种特征量前四条函数主成分曲线,这些函数主成分刻画了特征量在时间维度上的变化趋势,其共性退化轨迹为退化建模与动态预测奠定了基础。主成分得分则量化了样本在各退化模式下的偏离程度,用于衡量不同真空断路器个体间的性能差异,并适应不同特征量所呈现出的退化趋势。利用贝叶斯推理方法,通过在线测量得到的振动信号提取出的特征量来更新各退化模型的主成分得分,在函数主成分与主成分得分的协同作用下,实现对三种特征量退化趋势的动态预估。量化了不同真空断路器在电磁触发单元所反映的电磁铁磨损与磁力衰减,传动机构表现出的销轴、连杆等结构磨损及阻尼不均导致的传动迟滞,以及弹簧机构体现的弹性疲劳等方面的个体差异,有效适应了不同特征量之间的退化趋势差异。
表1 退化模型的参数估计结果
Tab.1 Parameter estimation results of degradation model
特征量 总贡献率(%) 特征值贡献率(%) 51.6529.3413.875.1599.99 52.3625.4612.749.4399.99 50.1221.5116.6111.7699.99
图8 三种特征量的函数主成分曲线
Fig.8 Function principal component curves of three features
3.2.2 不同退化程度的振动信号多特征预测
为了验证所提方法在小样本条件下对真空断路器三种特征量退化趋势预估的有效性,根据三种特征量前五组退化数据集训练得到各自的退化模型,用第六组测试数据分别预估三种特征量的退化趋势,分析退化模型的动态预测效果。
方均根误差(Root Mean Square Error, RMSE)、平均绝对误差(Mean Absolute Error, MAE)、方均误差(Mean Squared Error, MSE)、R2四个指标具体评估模型的预测准确度和拟合优度。随着运行次数增多,RMSE、MAE、MSE越小,R2越接近于1,表明模型预测精度越高,对数据的拟合效果越好。分别对真空断路器操动机构动作到10 000次和15 000次后预估三种特征量的退化趋势。不同退化程度的特征量预估精度对比如图9所示,随着真空断路器合闸操作的持续积累,退化趋势的预估精度不断提高,其原因在于,贝叶斯推理可以根据新的运行数据不断修正退化模型中的主成分得分,从而实现退化模型的动态更新。随着真空断路器持续运行操作,对其退化趋势的预估越来越准确,证明了本文退化建模方法具有高预测精度和动态更新的优势。每组的R2高于0.98,说明预测的曲线与实际曲线的拟合程度高;每组的RMSE、MAE和MSE相对较小,其值都低于0.1,这反映出预测结果与实际值之间的差异较小,误差程度较低。基于五组小样本数据构建的退化模型表现出较高的估计精度,表明函数主元分析方法能够在有限样本条件下充分挖掘训练数据的特征信息,从而建立合理的退化模型。同时,结合贝叶斯推理对模型进行动态更新与修正,实现了对三种特征量性能退化趋势的有效预估,并取得了良好的预测效果。
图9 不同退化程度的特征量预估精度对比
Fig.9 Comparison chart of characteristic quantity estimation accuracy at different degradation degree
通过对三种特征量的趋势预测可以反映出电磁触发单元、传动机构和弹簧机构的退化过程,并且具有良好的预测精度,现将三种特征量进行张量融合得到振动融合退化指标,综合反映真空断路器机械性能的退化状态。
3.3.1 振动融合退化指标构建
图4中,T3特征点反映了操动机构完全合闸时间,但由于真空断路器的灭弧室是封闭结构,在实际运行中难以直接获取触头状态波形。为此,本文考虑把通过加速老化实验离线测量触头状态波形得到的T3完全合闸时间指标作为反映机械性能综合状态的对照指标,验证本文所提的振动融合退化指标方法的有效性。为进一步验证所提方法的优势,本文将所构建的振动融合退化指标与图6中真空断路器数据集6对应的三条特征量曲线标准化所得的单特征指标曲线、基于加权和主成分分析(Principal Component Analysis, PCA)的传统融合方法、基于Interactive Attention和Transformer的深度融合方法的实验结果进行对比分析,从而验证本文所提融合指标的有效性。
不同退化指标对比如图10所示,多种融合方法对比见表2。结合图10与表2的实验结果分析可知,所提振动融合退化指标曲线在退化趋势相似性和融合精度方面均优于其他融合方法。其主要原因包括:①与三种单特征量标准化指标相比,所提方法能够挖掘三种特征量之间的相关性,从而更全面地刻画了真空断路器操动机构机械性能退化过程;②相比于加权和PCA融合的退化评估方法,所提方法通过构建张量融合层对维度扩充后的三种特征张量进行融合,能在保留每个特征量特征的同时,充分提取各特征量间的高维退化特征关联信息,避免了加权融合中依赖经验人为设定权重以及PCA方法因线性假设导致的关键非线性退化信息丢失;③基于Interactive Attention和Transformer的深度融合方法在多特征交互建模方面具有一定优势,利用注意力机制可动态聚焦关键特征并有效捕捉时序依赖关系。然而,Interactive Attention融合方法聚焦于局部或低阶特征相关性,较难捕捉复杂的高阶非线性交互关系;而Transformer方法受限于其序列建模的注意力机制,在建模复杂高阶非线性特征交互方面存在一定的局限性。为弥补上述不足,本文所提张量融合方法通过构建高维特征交互空间,实现对振动信号特征中复杂高阶非线性关系的深层挖掘。所提方法相对于其他退化评估方法具有明显的精度优势,更能准确综合地表征真空断路器操动机构机械性能退化过程。
图10 不同退化指标对比
Fig.10 Comparison of degradation indicators
表2 多种融合方法对比
Tab.2 Comparison of various fusion methods
指标MAEMSERMSER2 xe标准化指标0.045 90.002 80.052 90.929 7 xl标准化指标0.112 70.025 10.158 50.369 4 xs标准化指标0.160 00.039 90.199 8-0.002 0 加权融合指标0.049 20.004 40.066 10.890 1 PCA融合指标0.066 40.006 80.082 30.829 7 Interactive Attention融合指标0.029 40.001 50.038 30.966 4 Transformer融合指标0.042 40.003 60.060 30.938 0 本文所提方法0.026 30.001 10.033 40.973 2
3.3.2 振动融合退化指标验证
为实现断路器操动机构性能退化的定量评估与失效预警,本文以完全合闸时间达到额定上限70 ms所对应的操作次数为参考,选取该动作次数对应的振动融合退化指标值作为失效阈值。基于图6中三种特征量的六组全寿命周期数据集,分别通过张量融合方法构建六条振动融合退化指标,并得到各自对应的失效阈值,结果见表3。由表3可见,各测试组的失效阈值均在0.95以上,表明真空断路器操动机构机械性能已接近失效边界。考虑到断路器实际运行的稳定性与安全性,本文将振动融合退化指标的更换阈值定义为0.85。当达到该阈值以上时,则表明断路器进入潜在失效状态,需及时开展维护,以保障系统的稳定与安全运行。
表3 不同测试组对应失效阈值
Tab.3 Failure thresholds corresponding to different test groups
测试组操作次数对应失效阈值 124 9490.997 6 225 9420.978 7 325 7220.977 2 425 8840.966 0 525 8740.982 0 625 8860.974 6
对真空断路器振动信号特征量的预测结果进行张量融合,得到反映机械性能退化的动态评估指标。将运行至10 000次和15 000次后的三条特征量预测曲线进行张量融合,图11采用雷达图直观地反映了在运行到10 000次和15 000次后预测融合曲线的对比结果。可以看出,随着操作次数累积,MAE、MSE、RMSE误差减小,R2和皮尔森相关系数增大,验证了所提方法具备良好的预测精度与动态更新能力。
图11 不同退化程度的评估准则对比雷达图
Fig.11 Radar chart of evaluation criteria comparison at different degradation levels
图12进一步展示了两种退化阶段下预测融合曲线与实际振动融合曲线的对比结果。当运行至15 000次后,振动融合曲线完全位于预测融合曲线的95%置信区间内。在局部放大图中,预测融合指标曲线与振动融合退化指标曲线在更换阈值所对应的操作次数偏差显著减小,最大偏差不超过220次,仅占全寿命周期的0.9%。这表明FPCA方法能够充分学习训练数据集中的退化特征,构建了基于共同退化分量和偏差分量的退化模型,从而实现了较高的预测准确度,使得本文所提方法在一定置信水平下保持了可靠的预估效果,为真空断路器操动机构的运维检修提供指标参考,能够实现真空断路器在线状态监测。
图12 两种退化程度的融合曲线对比
Fig.12 Comparison of fusion curves at two degradation levels
本文为了实现真空断路器振动信号时序特征有效融合和小样本条件下的机械性能退化动态评估,提出了一种基于振动信号特征预测与张量融合的真空断路器机械性能退化动态评估方法,通过多种评估准则评价所构建的性能退化融合指标,证明了本方法的有效性。得出如下结论:
1)振动传感器安装于断路器触头连接区域,可获得清晰稳定的振动信号,并结合短时能量算法灵敏捕捉振动信号中能量突变的瞬时特征,能够有效提取电磁触发单元、传动机构及弹簧机构的退化特征量,从而表征操动机构子系统的退化过程,验证了振动信号在断路器机械性能退化监测中的实用性。
2)本文基于FPCA方法构建在小样本条件下的真空断路器退化模型,采用前五组数据训练、第六组数据测试。结果表明,即使样本数量有限,模型仍能保持较高建模精度,并有效克服退化过程函数形式未知及人为假设引入的主观性问题。同时,结合贝叶斯推理对退化模型参数进行动态更新,使其能够随着操作次数的增加不断优化预测性能。各特征量的预测结果中,R2均高于0.98,RMSE、MAE和MSE均低于0.1,充分验证了所提方法在小样本场景下实现高精度、自适应退化趋势预测的有效性。
3)所提方法通过深入挖掘振动信号三种操动机构子系统的特征量,并采用张量融合方法进行高维信息融合,在保留各特征量退化信息的同时,充分提取其高维退化关联信息,从而全面表征断路器操动机构的机械性能退化状态。与传统加权融合、PCA融合及深度融合等方法对比,本文构建的融合指标与离线测量的完全合闸时间指标的R2达到0.973 2,具有最高相似度,验证了方法的有效性。
4)本文以完全合闸时间T3达到额定上限70 ms所对应的操作次数作为参考,选取该动作次数的振动融合退化指标值作为失效判据。考虑到断路器实际运行的稳定性与安全性,将振动融合退化指标的更换阈值设定为0.85。结果表明,随着操作次数的累积,预测融合指标曲线与实际振动融合退化指标曲线在更换阈值对应的操作次数偏差显著减小,最大偏差不超过220次,占全寿命周期的0.9%。该方法在小样本条件下实现对真空断路器操动机构退化状态的高精度预测,为其运维检修提供了可靠的量化判据。
本文所提方法有效构建了在小样本条件下的振动信号特征融合指标,实现了对真空断路器操动机构整体退化过程的动态表征。在未来研究中,将进一步结合多源传感器信息以及分闸特性,构建融合分合闸过程的综合指标,以提升评估结果的全面性与鲁棒性,为真空断路器的运维检修提供更加全面的量化依据和可靠的决策支持。
参考文献
[1] 张登奎, 张立岩, 李志兵, 等. 基于经验小波变换的真空断路器关合预击穿燃弧时间分析[J]. 电工技术学报, 2024, 39(增刊1): 106-116.
Zhang Dengkui, Zhang Liyan, Li Zhibing, et al. Analysis of pre-strike arcing time for vacuum circuit breaker closure based on empirical wavelet trans- form[J]. Transactions of China Electrotechnical Society, 2024, 39(S1): 106-116.
[2] 董华军, 孙鹏, 李东恒, 等. 考虑电动斥力的真空断路器刚柔耦合系统机械特性研究[J]. 电机与控制学报, 2023, 27(3): 147-157.
Dong Huajun, Sun Peng, Li Dongheng, et al. Research on structural characteristics of rigid-flexible coupling system of VCB considering electro-dynamic repulsion force[J]. Electric Machines and Control, 2023, 27(3): 147-157.
[3] Franck C M, Hsu C C, Xiao Yu, et al. Transmission and distribution equipment: providing intelligent maintenance[J]. IEEE Power and Energy Magazine, 2023, 21(2): 18-29.
[4] Zhang Chunwei, Mousavi A A, Masri S F, et al. Vibration feature extraction using signal processing techniques for structural health monitoring: a review[J]. Mechanical Systems and Signal Processing, 2022, 177: 109175.
[5] Zhou Nan, Xu Yan, Cho S, et al. A systematic review for switchgear asset management in power grids: condition monitoring, health assessment, and maintenance strategy[J]. IEEE Transactions on Power Delivery, 2023, 38(5): 3296-3311.
[6] 杨秋玉, 阮江军, 黄道春, 等. 基于振动信号时频图像识别的高压断路器分闸缓冲器状态评估[J]. 电工技术学报, 2019, 34(19): 4048-4057.
Yang Qiuyu, Ruan Jiangjun, Huang Daochun, et al. Opening damper condition evaluation based on vibration time-frequency images for high-voltage circuit breakers[J]. Transactions of China Electro- technical Society, 2019, 34(19): 4048-4057.
[7] Sun Shuguang, Wen Zhitao, Du Taihang, et al. Remaining life prediction of conventional low- voltage circuit breaker contact system based on effective vibration signal segment detection and MCCAE-LSTM[J]. IEEE Sensors Journal, 2021, 21(19): 21862-21871.
[8] 豆龙江, 何玉灵, 万书亭, 等. 基于振动信号的高压断路器弹簧疲劳程度检测方法[J]. 电工技术学报, 2022, 37(24): 6420-6430.
Dou Longjiang, He Yuling, Wan Shuting, et al. Detecting method of high voltage circuit breaker spring fatigue based on vibration signal[J]. Transa- ctions of China Electrotechnical Society, 2022, 37(24): 6420-6430.
[9] 刘会兰, 常庚垚, 赵书涛, 等. 溯源弹簧形变过程的断路器振动信号递归量化分析辨识方法[J]. 电工技术学报, 2024, 39(8): 2567-2577.
Liu Huilan, Chang Gengyao, Zhao Shutao, et al. Circuit breaker state identification method based on tracing spring deformation process and recurrence quantitative analysis of vibration signals[J]. Transa- ctions of China Electrotechnical Society, 2024, 39(8): 2567-2577.
[10] Cao Shi, Zhao Tong, Wang Gang, et al. A mechanical defect localization and identification method for high- voltage circuit breakers based on the segmentation of vibration signals and extraction of chaotic features[J]. Sensors, 2023, 23(16): 7201.
[11] 黄南天, 陈怀金, 林琳, 等. 基于S变换和极限学习机的高压断路器机械故障诊断[J]. 高压电器, 2018, 54(6): 74-80.
Huang Nantian, Chen Huaijin, Lin Lin, et al. Mechanical fault diagnosis of high voltage circuit breakers based on S-transform and extreme learning machine[J]. High Voltage Apparatus, 2018, 54(6): 74-80.
[12] 陈欣昌, 冯玎, 林圣. 基于深度自编码网络的高压断路器操作机构机械故障诊断方法[J]. 高电压技术, 2020, 46(9): 3080-3088.
Chen Xinchang, Feng Ding, Lin Sheng. Mechanical fault diagnosis method of high voltage circuit breaker operating mechanism based on deep auto-encoder network[J]. High Voltage Engineering, 2020, 46(9): 3080-3088.
[13] 谭佳明, 叶奕君, 李国玉, 等. 基于振动信号的交流中压真空断路器故障诊断技术研究[J]. 高压电器, 2019, 55(11): 218-226.
Tan Jiaming, Ye Yijun, Li Guoyu, et al. Fault diagnosis technology of AC medium-voltage vacuum circuit breaker based on vibration signal[J]. High Voltage Apparatus, 2019, 55(11): 218-226.
[14] 万书亭, 马晓棣, 陈磊, 等. 基于振动信号短时能熵比与DTW的高压断路器状态评估及故障诊断[J]. 高电压技术, 2020, 46(12): 4249-4257.
Wan Shuting, Ma Xiaodi, Chen Lei, et al. State evaluation and fault diagnosis of high-voltage circuit breaker based on short-time energy entropy ratio of vibration signal and DTW[J]. High Voltage Engin- eering, 2020, 46(12): 4249-4257.
[15] Qu Yuehan, Zhao Hongshan, Zhao Shice, et al. Power transformer oil-paper insulation degradation modelling and prediction method based on functional principal component analysis[J]. IET Science, Measurement & Technology, 2022, 16(8): 441-453.
[16] 曲岳晗, 赵洪山, 程晶煜, 等. 基于物联感知数据和张量融合的电力变压器绕组绝缘劣化评估方法[J]. 电工技术学报, 2024, 39(4): 1208-1220.
Qu Yuehan, Zhao Hongshan, Cheng Jingyu, et al. Evaluation method for power transformer winding insulation degradation based on IoT sensing data and tensor fusion[J]. Transactions of China Electro- technical Society, 2024, 39(4): 1208-1220.
[17] Kossaifi J, Lipton Z C, Kolbeinsson A, et al. Tensor regression networks[J]. The Journal of Machine Learning Research, 2020, 21(1): 4862-4882.
[18] 刘会兰, 许文杰, 赵书涛, 等. 基于振动信号时间历程和自适应谱融合的断路器操动机构状态辨识方法[J]. 高电压技术, 2023, 49(5): 1860-1869.
Liu Huilan, Xu Wenjie, Zhao Shutao, et al. State identification method of circuit breaker operating mechanism based on time course waveform and adaptive spectrum fusion analysis of vibration signal[J]. High Voltage Engineering, 2023, 49(5): 1860-1869.
[19] Meng Yongpeng, Jia Shenli, Shi Zongqian, et al. The detection of the closing moments of a vacuum circuit breaker by vibration analysis[J]. IEEE Transactions on Power Delivery, 2006, 21(2): 652-658.
[20] 张彬, 章立军, 罗久飞, 等. 基于函数主元分析的多阶段退化过程建模与预测[J]. 仪器仪表学报, 2019, 40(7): 30-38.
Zhang Bin, Zhang Lijun, Luo Jiufei, et al. Multi- phase degradation process modeling and prediction based on functional principal component analysis[J]. Chinese Journal of Scientific Instrument, 2019, 40(7): 30-38.
[21] Zadeh A, Chen M, Poria S, et al. Tensor fusion network for multimodal sentiment analysis[A]. arXiv, 2017.
[22] Asghar Razi-Kazemi A, Niayesh K. Condition monitoring of high voltage circuit breakers: past to future[J]. IEEE Transactions on Power Delivery, 2021, 36(2): 740-750.
[23] 赵陈琛, 张国钢, 刘洁, 等. 基于物理信息和迁移网络的高压断路器弹簧操动机构机械参数辨识及故障诊断[J/OL]. 电工技术学报, 2025: 1-13. (2025- 07-14). https://link.cnki.net/doi/10.19595/j.cnki.1000- 6753.tces.250521.
Zhao Chenchen, Zhang Guogang, Liu Jie, et al. Mechanical parameter identification and fault diag- nosis of spring operating mechanism of high-voltage circuit breaker based on physical information and transfer network[J/OL]. Transactions of China Elec- trotechnical Society, 2025: 1-13. (2025-07-14). https:// link.cnki.net/doi/10.19595/j.cnki.1000-6753.tces.250521.
[24] 范兴明, 许洪华, 张思舜, 等. 基于改进蜣螂优化算法深度混合核极限学习机的高压断路器故障诊断[J]. 电工技术学报, 2025, 40(12): 3994-4003.
Fan Xingming, Xu Honghua, Zhang Sishun, et al. Fault diagnosis of high voltage circuit breaker based on improved dung beetle optimizer algorithm deep hybrid kernel extreme learning machine[J]. Transa- ctions of China Electrotechnical Society, 2025, 40(12): 3994-4003.
[25] 郭博文, 李楠, 李松原, 等. 断路器弹簧操动机构分/合闸弹簧的状态诊断[J]. 电气技术, 2021, 22(12): 57-62.
Guo Bowen, Li Nan, Li Songyuan, et al. State diagnosis for closing/opening spring in the spring operating mechanism of circuit breaker[J]. Electrical Engineering, 2021, 22(12): 57-62.
[26] Kang Y H, Huang H C, Yang Boya. Optimal design and dynamic analysis of a spring-actuated cam- linkage mechanism in a vacuum circuit breaker[J]. Machines, 2023, 11(2): 150.
[27] 吴淑窈, 马少华. 真空断路器操动机构动力学仿真及推杆疲劳寿命分析[J]. 电器与能效管理技术, 2022(11): 14-18, 25.
Wu Shuyao, Ma Shaohua. Dynamic simulation on operating mechanism of vacuum circuit breaker and fatigue life analysis on push rod[J]. Electrical & Energy Management Technology, 2022(11): 14-18, 25.
[28] Liu Huilan, Li Xiang, Zhao Shutao, et al. Design and analysis of a new feature optimisation method for circuit breakers defect identification[J]. IET Electric Power Applications, 2024, 18(11): 1469-1479.
[29] Weng Liting, Xiao Jiangtao, Zhang Zhaochuang, et al. Online monitoring method for opening and closing time of 10 kV spring energy storage circuit breaker based on transient electrical signal characteristic point marking and self-calibration[J]. Energies, 2024, 17(24): 6436.
[30] Zhao Hongshan, Qian Yanan, Qu Yuehan. Mechanical performance degradation modelling and prognosis method of high-voltage circuit breakers considering censored data[J]. IET Science, Measurement & Tech- nology, 2025, 19(1): e12235.
[31] 刘岗. 基于时频分析与机器视觉的断路器机械特性测量方法研究[D]. 合肥: 合肥工业大学, 2023.
Liu Gang. Research on the measurement method of mechanical characteristics of circuit breaker based on time-frequency analysis and machine vision[D]. Hefei: Hefei University of Technology, 2023.
Abstract The mechanical performance stability of vacuum circuit breakers (VCBs) is crucial for the long-term reliable operation of power systems. However, existing methods for evaluating mechanical performance degradation remain limited in the following respects. (1) Since the mechanical operation of a VCB involves multiple subsystems, its vibration signals contain rich information about the actions of these subsystems. Studying a single subsystem alone is insufficient to comprehensively characterize the mechanical performance degradation of the circuit breaker operating mechanism. (2) Most existing methods produce discrete diagnostic outputs, which limits their ability to quantify and track the degradation process. (3) Circuit breakers operate infrequently in actual distribution network operations, and factors such as delayed sensor deployment and premature equipment retirement result in a limited number of full-lifecycle monitoring data samples. To address these issues, this paper proposes a dynamic evaluation method for mechanical performance degradation in VCBs based on the vibration signal feature prediction and tensor fusion.
First, the short-time energy algorithm is employed to detect sudden changes in signal energy and to extract features reflecting the conditions of the electromagnetic trigger unit, transmission mechanism, and spring mechanism. Secondly, due to the limited number of operations in applications and the difficulty of acquiring large-scale life-cycle data, functional principal component analysis (FPCA) combined with Bayesian inference is applied to dynamically predict the degradation trends of the extracted features under small-sample conditions. Finally, to exploit the coupling and correlations among degradation information across different subsystems, tensor fusion integrates the three features into a high-dimensional framework. Thus, a fused vibration degradation indicator is constructed to represent the circuit breaker’s mechanical performance.
The following conclusions can be drawn.
(1) Installing vibration sensors near the contact connection region of the circuit breaker facilitates the acquisition of clear and stable signals. Combined with the short-time energy algorithm, these signals enable the sensitive detection of abrupt energy changes. Accordingly, degradation information of the electromagnetic trigger unit, transmission mechanism, and spring mechanism is extracted, and the effectiveness of vibration signals in monitoring the mechanical degradation of VCBs is verified.
(2) The small-sample degradation model based on FPCA can maintain high modeling accuracy, overcoming the unknown functional forms of the degradation process and the subjectivity introduced by artificial assumptions. By incorporating Bayesian inference to dynamically update the model parameters, the prediction accuracy can be improved as the number of operations increases. The prediction results for each feature achieve R2>0.98, with RMSE, MAE, and MSE all below 0.1.
(3) By performing tensor fusion on the features extracted from the three subsystems of the operating mechanism, the proposed method preserves the individual degradation information while extracting high-dimensional correlation features, thus characterizing the mechanical performance degradation of the breaker operating mechanism. Compared with other fusion methods, the proposed fusion indicator achieves the highest similarity to the offline measurement of the complete closing time T3, with a correlation coefficient of R2= 0.973 2.
(4) Taking the number of operations corresponding to the rated upper limit of the complete closing time T3=70 ms as a reference, the value of the fused vibration degradation indicator at this point is defined as the failure criterion, and the replacement threshold is set to 0.85. The results show that the maximum deviation between the predicted and actual curves at the threshold point is no more than 220 operations, representing only 0.9% of the full life cycle. The proposed method enables high-precision prediction of circuit breaker degradation states under small-sample conditions and provides a reliable quantitative criterion for guiding maintenance and overhaul strategies.
keywords:Vacuum circuit breaker, vibration signal, mechanical performance degradation, functional principal component analysis, tensor fusion
DOI: 10.19595/j.cnki.1000-6753.tces.250438
中图分类号:TM561
收稿日期 2025-03-20
改稿日期 2025-06-13
赵洪山 男,1965年生,博士,教授,博士生导师,主要研究方向为电力系统动态分析与控制、主动配电网以及故障预测等。E-mail: zhaohshcn@126.com
林诗雨 男,1999年生,博士研究生,研究方向为风电机组状态监测与故障诊断。E-mail: lin17778884717@163.com(通信作者)
(编辑 崔文静)