基于热网络模型的高压交流真空断路器温升和热流快速预测方法

黄 镭 马 慧 许文迪 耿英三 刘志远

(西安交通大学电气工程学院 西安 710049)

摘要 高压真空断路器温升和热流的快速预测方法对其设计阶段的结构优化和应用阶段的监测预警具有重要的研究意义。该文提出一种具有参数自校正能力的热网络模型,结合热源、热阻的理论公式与遗传算法,能够实现热网络中热源和热阻参数的自校正功能,从而基于负载电流快速预测高压交流真空断路器的温升和热流。通过多物理场数值仿真获取不同负载条件下的温度基准数据,并在此基础上设计了集总参数热网络架构。基于热源与热阻的理论公式,该文建立了相应的修正函数,并结合岭回归与遗传算法优化修正部分,从而实现了参数在迭代计算过程中的自校正,解决了热网络中元件参数随温度和负载电流变化的问题。为了验证模型的准确性,选择了1 575 A和3 000 A两种工况进行测试,预测了关键节点的温升和关键散热路径的热流。结果表明,热网络模型单工况求解时间从传统数值仿真的8 h缩短至1 min;温升的平均误差为3.7%(3.7 K);热流的平均误差为5.5%(4.3 W)。经过验证,所提快速预测方法能够快速、准确地预测不同负载电流下真空断路器的温升和关键散热路径的热流,对真空断路器的温升设计、预测和评估意义显著。

关键词:热网络 真空断路器 遗传算法 岭回归 自校正

0 引言

随着电力系统对设备可靠性需求的不断提升,高电压等级真空断路器作为电力保护设备的重要组成部分,在现代电力系统中发挥着至关重要的作用[1]。真空断路器的温升特性直接影响其运行稳定性和使用寿命,局部区域长期温度过高将导致绝缘水平逐渐降低[2],进一步引发设备故障甚至损坏。因此,研究真空断路器的温升特性对提升设备可靠性具有重要意义。

目前,电力设备温升的研究方式可分为三类:第一类基于现场温升试验或红外测量的直接监测,能够真实反映设备在运行工况下的温度分布,但因高成本和测点受限,往往难以覆盖结构复杂或封闭的部件。第二类依托多物理场耦合的有限元仿真,通过求解电磁-热-流耦合问题[3-4],可获得全场温度分布。该方法精度高、可操作性强,却仍面临着模型搭建繁琐、计算耗时及硬件资源消耗大等问题[5-6]。第三类构建快速预测模型,如基于神经网络等数据驱动策略,通过数百至数千组仿真或运行数据训练后,可在ms级输出温度场信息,显著提高了计算效率。然而,神经网络作为“黑箱”模型,既缺乏物理可解释性,又对结构或散热条件变化敏感,一旦设备几何形状或边界条件改变,往往需要重新训练或重构模型。

相比之下,热网络模型在可解释性与工程直观性方面具有独特优势。该方法将导热、对流和辐射等传热过程等效为热阻与热源,网络节点直观对应设备关键部件或测点位置,其参数可依据材料性能和结构尺寸进行物理修正;通过增减节点或细化元件,热网络可以灵活适配不同几何形状与散热工况,具备良好的模块化扩展能力。基于以上优势,热网络模型以其计算简便、具备可解释性的特点,已被应用于发热设备的关键节点温度监测[7-8],尤其适合在工程中快速获取关键位置温度分布信息。

需要指出的是,热网络模型的预测精度高度依赖于各热阻与热源参数的取值。以往研究多基于静态物理公式或经验给定常数,如导热、对流、辐射热阻直接按标准计算,难以反映真实工况下因温度、材料、边界条件变动而产生的非线性效应;而这些动态变化恰恰是高压真空断路器等结构复杂设备中局部温升特征的主要来源之一。总体来看,采用热网络研究设备发热问题,通常包含“建模型”和“定参数”两个核心环节。“建模型”依据设备的热物理过程构建热网络[9-11]。对于具备重复结构的对象,可建立热网络单元以降低模型复杂度,如Jiang Zhuoyuan等[12]利用电池模块重复性逐层嵌套热网络单元,减小参数影响。然而,多数对象不具备此优势,因此更多研究集中于“定参数”方法。

“定参数”主要包括结合理论公式与有限元仿真的校正方法、利用搜索算法的动态优化方法和基于神经网络的非线性映射方法。结合理论公式与有限元仿真的校正方法是指先计算理论参数,再利用仿真数据进行校正。例如,M. Akbari等[13]采用多物理场仿真和实验校正热阻和热容参数,以提高模型与实际设备的吻合程度;A. Rezaei-Zare等[14]则运用有限元和计算流体动力学(Computational Fluid Dynamics, CFD)仿真计算变压器导热及对流热阻,并结合实验数据优化自然对流换热参数的非线性关系;林韦弦等[15]则基于集总参数热网络法建立四足机器人全身热模型,综合考虑多热源传热效应,在不同运动工况下温度预测误差控制在5℃以内。利用搜索算法的动态优化方法依托智能算法实现参数的自适应调整。如Yang Yun等[16]采用遗传算法,将热网络参数拟合为边界条件的函数关系,实现了参数随工况的动态优化;魏书荣等[17]提出了一种结合温度热模型与Stacking集成算法的海上风电机组故障早期预警方法,通过自适应阈值提前实现了故障的精准预测。基于神经网络的非线性映射方法则通过数据驱动,建立边界条件与参数之间的复杂映射关系。Tang Aihua等[18]采用卷积神经网络结合等效电路模型,精准描述参数随温度和荷电状态(State of Charge, SOC)变化的动态关系;W. Kirchgässner等[19]提出热神经网络(Thermal Neural Network, TNN),通过端到端自动微分训练,兼顾物理可解释性与高精度预测;Li Marui等[20]则利用两节点热网络模型估计电池核心温度,结合双层长短期记忆网络(Long Short-Term Memory, LSTM)实现未来10 s内温度异常的精准预测,准确率超过97%,为复杂热系统管理提供新思路。与此同时,热网络的降阶技术也逐渐受到关注。Feng Jianghua等[21]构建了一种改进的低阶热网络模型,保留关键节点并引入动态准线性模型,通过有限元分析与粒子群优化算法动态校正参数,提高模型预测精度;Guo Yujing等[22]则将详细的热网络降阶为包含少量关键节点的第五阶模型(Reduced-order Low-Power Thermal Network, RLPTN),并结合插值函数快速预测损耗分布,大幅提升实时温升预测的计算效率。

现有研究表明,热网络模型已成功应用于电池、变压器、电机[23-25]、绝缘栅双极型晶体管(Insulated Gate Bipolar Transistor, IGBT)[26-27]、电缆[28]等设备的热分析,并取得良好效果。理论上,这类模型在不同设备中的应用均基于相同的物理原理——热-电类比方法,将导热、对流、辐射等传热过程等效为热阻元件,将内部发热等效为热源,从而构建集总参数形式的热等效电路。然而,在具体应用中,不同类型设备在结构特征与散热机制上存在显著差异,导致热网络模型在拓扑设计、热阻划分及参数设定方面呈现出明显的针对性。例如,变压器常采用多级轴向分区等效策略,将导体---瓷多层结构分别建模[14];电池系统则基于模块化结构特性,通过拓扑复制构建大规模串并联热网络[12];电机因具备轴对称特性,热网络通常简化为多个并联分支组成的环状结构[13];而高压真空断路器则以强轴向导热、弱径向散热为主,其热传递过程呈现明显的链式结构特征,适合构建以轴向串联为主的多段热网络模型。相较于上述对象,高电压等级真空断路器在热网络方法上的研究仍相对有限。现有热网络方法在高电压等级真空断路器中的应用仍面临着多方面挑战:一方面,断路器内部结构紧凑、局部接触复杂,导致热网络拓扑设计难度较高;另一方面,热阻与热源具有高度非线性,传统基于定值或经验的热阻设定方法忽略了多工况下参数的动态变化,难以准确反映高压断路器的温升情况。

为此,本文提出了一种具有参数自校正能力的热网络模型。该模型结合遗传算法和岭回归技术建立了参数自校正元件的动态修正函数,从而实现在迭代过程中自动校正热网络中元件的取值,能够在不同负载条件下准确预测断路器的温升和热流。通过提高建模的精度和适应性,该方法为高电压等级真空断路器的热管理与性能优化提供了理论支持和技术参考。

1 高压交流真空断路器热网络模型

为实现高压交流真空断路器温升与热流的快速预测,需要建立从物理结构分析到拓扑架构建模的思路:首先基于设备的多物理场耦合特性解析热传递过程,然后通过等效原理将三维传热过程(包括传导、对流和辐射机制)抽象为一个包含热阻和热源的可参数化求解的等效热网络架构。

1.1 高压真空断路器结构及其散热过程分析

本文选择126 kV高压交流真空断路器为研究对象,其关键电气参数见表1。为分析热传导特性,建立了图1所示的简化结构模型,其中保留了对热过程起主导作用的核心部件,各部件材料属性见表2。断路器运行期间的热源主要由两部分构成:导电回路的焦耳热效应和导体接触电阻损耗。热力学分析表明,触头区域因电流密度集中成为最高温度区,其散热过程(见图1)可分为轴向和径向两个路径。轴向散热表现为热量沿导电杆向两侧端子出线处传导扩散;径向散热表现为灭弧室内通过导电部件与陶瓷外壳的辐射换热,外部氮气绝缘层中形成自然对流与辐射的协同作用,最终通过设备外表面与环境的自然对流-辐射复合散热达到热平衡。当系统产热与散热达到平衡时,断路器进入稳态温升阶段。

表1 126 kV高压交流真空断路器主要电气参数

Tab.1 Main parameters of the 126 kV high-voltage AC vacuum circuit breaker

参 数数 值 额定电压/kV126 额定电流/A3 150 额定频率/Hz50 额定雷电冲击耐受电压/kV550 额定短路开断电流/kA40 额定短路关合电流/kA100

1.2 高压真空断路器的热网络模型

1.2.1 热网络模型的建立

在构建126 kV高压交流真空断路器的热网络模型时,首先将其热物理过程转化为一个集总参数网络,从而能够高效且准确地计算其内部温升和热流。具体而言,将真空断路器通流路径中的各个零部件节点化,并对通流部件的产热特性、热传导、热对流以及热辐射过程进行参数化表征,最终形成完整的断路器热网络模型。以下将重点介绍真空灭弧室、上端子和下端子热过程的集总参数化网络模型的建立方法。

width=208.5,height=223.4

图1 高压交流真空断路器的结构及散热情况

Fig.1 Structure and heat dissipation path of the high-voltage AC vacuum circuit breaker

表2 126 kV高压交流真空断路器主要部件及其材料

Tab.2 Main components and materials of the 126 kV high-voltage AC vacuum circuit breaker

部件名称材料 导电部件触头片CuCr50 动、静导杆黄铜 2/3匝触头线圈 滑动连接部件、导电座 动端导电杆内部支撑不锈钢 触头屏蔽罩 上、下端子,顶部散热器铝合金 非导电部件真空灭弧室瓷壳,绝缘套管不同绝缘材料

1)真空灭弧室及其内部结构

真空灭弧室作为断路器内部最为重要的热源区,其结构复杂,涉及多个热源和热流路径。真空灭弧室热网络架构如图2所示,真空灭弧室的热过程已经通过集总参数网络架构进行了抽象。其热源主要来自导电部件的焦耳热效应和接触电阻损耗。热量通过轴向和径向进行传导与散发。轴向热传导表现为热量从触头片向灭弧室两端扩散,径向散热则表现为热量通过导电部件与瓷壳之间的辐射换热进行散发,此外,外部氮气绝缘层也会通过自然对流与辐射协同作用将热量传递向绝缘套管。

width=338.25,height=300.15

图2 真空灭弧室热网络架构

Fig.2 Thermal network architecture of vacuum interrupter

特别地,在真空灭弧室结构简化过程中,采用等效思想处理了屏蔽罩的辐射换热路径:实际结构中,屏蔽罩位于导电部件与灭弧室瓷壳之间,形成“导电部件→屏蔽罩→瓷壳”的阶梯式辐射路径。为提升计算效率,通过等效传热系数将原路径折算为“导电部件→瓷壳”的直接辐射模式,在保持整体传热效率不变的前提下实现了屏蔽罩结构的简化。

2)上、下端子

图3所示为上、下端子的热网络架构。除自身产生的焦耳热效应和接触电阻热损失外,端子部分还承载来自灭弧室端部传导出的热量。通过外部氮气绝缘层的自然对流与辐射协同作用,热量被传递至绝缘套管。顶部散热器通过与环境之间的自然对流和辐射复合散热机制,直接将热量散发至周围环境。

3)热网络建模中的结构简化与等效处理策略

热网络模型中,主要产热机制通过热源参数表达,散热过程则由导热、对流和辐射等热阻构成的网络体现。为突出主要传热通路,提高模型收敛性并兼顾计算效率,本文对图4所示部分结构进行了简化与等效处理:①触指座侧壁面积较小,仅保留环绕表面的辐射热阻,忽略对流换热;②灭弧室支撑件为孔状结构,仅考虑其侧壁的辐射换热作用,忽略对流换热;③动导杆下半段的实际径向散热路径为“动导杆→波纹管→灭弧室”,简化为“动导杆→灭弧室”的直接辐射通路;④上、下端子侧壁带有开孔结构,简化为仅考虑壳体的导热热阻以及外侧壁面的对流与辐射换热,忽略其内部对流、辐射效应;⑤假设接触电阻阻值不随温度变化,但是接触电阻产热量与负载电流的二次方成正比。

接触电阻的取值采用试验测量与仿真计算相结合的方式确定。试验测量获得的是回路体电阻与接触电阻的总和,而仿真结果则代表理想状态下仅包含导体本体的回路电阻。通过将试验值减去仿真值,可获得总接触电阻。结合工程经验,固定连接部位的接触电阻相对较小,而触头间接触最为关键,其接触电阻取值最大,本文最终将触头间接触电阻设定为10 mW

4)高压交流真空断路器热网络模型

本文通过对断路器中各主要部件的热过程进行分析,将复杂的热传递问题抽象为热网络,最终建立了如图5所示的高压交流真空断路器的热网络模型,有效地反映了不同的热传递机制。模型包含13个关键节点、15个热源以及29个热阻元件。每个元件的物理意义根据其所代表的热传递过程进行定义。热流源用于表示断路器内部由于电流流经导体或其他原因产生的热量。例如,在导电回路中的导体,由于焦耳效应产生热量,这些热量作为热源输入到热网络中,成为热流传播的起点。热阻元件则用于描述热流在传播过程中的阻力效应,包括导热热阻、辐射热阻和对流换热热阻三种类型。每种热阻的取值与其所在的材料特性、表面温度、气体温度等因素密切相关。温度节点表示断路器中热流汇聚或分布的关键位置的温度,能够反映不同部件的热力学状态。

width=353.6,height=291.9

图3 上、下端子热网络架构

Fig.3 Thermal network architecture of terminal connectors

width=186.35,height=205.7

图4 断路器结构简化位置示意图

Fig.4 Simplified locations in the structure of vacuum circuit breaker

1.2.2 热网络模型中的关键节点

本研究中设计的13个关键节点涵盖了导电回路、绝缘结构和其他关键部件,能够反映断路器不同部位的热力学状态,节点分布如图2和图3所示,物理意义见表3。节点③、⑧对应断路器绝缘件的温度,能够为绝缘件性能评估时提供参考温度数据;节点⑦反映套管内绝缘气体的温度,可用于评估温度变化引起的气体压力波动是否会对断路器的动作特性产生影响;其余节点反映导电回路上的温度分布,接触电阻变化时可直观体现部件接触位置温度的变化。

2 热网络元件参数的计算

在热网络中,元件参数并非常数,而是随着结构、工况的变化而变化。为了描述这些变化,本文基于热源与热阻的理论公式,建立了相应的修正函数。结合岭回归与遗传算法对修正部分进行优化,从而实现元件参数在热网络迭代过程中的自校正。

width=420.85,height=188.8

图5 高压交流真空断路器热网络模型

Fig.5 Thermal network model of high-voltage AC vacuum circuit breaker

表3 热网络模型中关键节点与断路器位置对应关系

Tab.3 Correspondence between nodes in the thermal network and positions of the vacuum circuit breaker

序号热网络物理意义 ①动导杆末端温度 ②动导杆中段剖面温度 ③灭弧室瓷壳平均温度 ④动触头与动导杆接触面温度 ⑤静触头与静导杆接触面温度 ⑥灭弧室静端与上端子接触面温度 ⑦氮气平均温度 ⑧套管平均温度 ⑨下端子柱体中段剖面温度 ⑩导电座与下端子接触面温度 ,下端子出线部分温度 -上端子与散热器接触面温度 .动、静触头接触面温度

2.1 热网络元件的分类

高压交流真空断路器的热网络元件包括热流源、导热热阻、对流换热热阻、辐射热阻和温度源。元件参数的取值受结构尺寸、材料参数、负载电流和温度等因素的影响。根据影响因素的不同可分为两类:第一类是结构尺寸和材料参数,在同型号设备中不随运行工况变化,可视为常数;第二类是负载电流和温度,在热网络计算中表现为动态变量。

为探究元件参数在不同运行工况下的动态变化规律,本节选取785、1 180、1 574、1 968、2 362、2 756和3 150 A七组负载电流作为边界条件,分别对应额定电流的25%、37.5%、50%、62.5%、75%、87.5%和100%。该设计在保证样本覆盖范围与代表性的同时,显著降低了建模所需的数据量,提升了计算效率。在每组负载电流下,采用电磁--流多物理场耦合仿真方法,获取热网络关键元件参数及节点温度的变化规律。在仿真中,热流源直接由电磁求解模块计算获得,热阻则通过公式R=(T1-T2)/Q计算,其中Q为净热流,T1T2的定义因传热方式不同而有所区别:在导热过程中,分别指热流路径两端的平均温度;在对流换热中,分别指流固接触表面和气体的平均温度;在热辐射中,分别指净发射端和净接收端的平均温度。

根据数值仿真结果,元件可依据参数是否受负载电流和所关联节点温度的影响划分为参数恒定元件和参数自校正元件。导热热阻被确定为参数恒定元件,其值在不同负载电流下保持一致,与负载电流和部件温度无关,可视为常数。这可能是由于导热热阻主要由材料的热导率决定,在本研究所涉及的金属材料中,其热导率在工作温度范围内变化较小。而热流源、对流换热热阻和辐射热阻为参数自校正元件。热流源与负载电流和部件温度密切相关,且产热量随负载电流和温度的增加呈非线性增长趋势。对流热阻受部件表面温度和气体温度的影响,数值随温差动态变化。辐射热阻则受到净发射体和净接收体温度的影响,表现出明显的动态特性。这可能是由于对流热阻与辐射热阻受节点温度影响显著,尤其在高负载条件下,其两端节点温差扩大,热交换机制发生变化,导致热阻值呈现明显的非线性变化趋势。

2.2 参数自校正元件的计算方法

在传热建模中,各类热阻虽可依据物理公式估算,但由于几何复杂性与热边界耦合影响,往往导致与数值仿真结果之间存在显著偏差。为解决这一问题,本文以数值仿真结果为参考,引入遗传算法与岭回归的联合优化策略,对基础公式进行参数化修正,构建了热流源、对流与辐射热阻等自校正元件的非线性映射函数。该函数式描述了元件参数与边界条件之间的关系,为复杂工况下的热性能预测提供了可靠的计算基础。

2.2.1 辐射热阻的计算方法

根据斯特藩-玻耳兹曼定律,单个表面ii=1, 2)的辐射热功率表示为

width=48,height=17 (1)

式中,Ei为辐射功率密度;Ti为表面温度;width=11,height=15为部件净发射端材料的发射率;width=11,height=10为斯特藩-玻耳兹曼常数。对于两个相互辐射的物体,辐射换热功率Q取决于两个物体之间的净能量传递。假设两个物体的面积分别是A1A2,当考虑两个物体之间的能量传递时,Q

width=173,height=17 (2)

式中,Q12为表面1向表面2的传热量,Q21同理;A1A2分别为部件净发射端和接收端表面积;width=11,height=15width=12,height=15为两端材料的发射率;T1T2分别为净发射端和净接收端的温度;F12为视角因子,表示的是物体1辐射到物体2的能量分数,F21同理。辐射能量的传递受到物体间几何关系的影响,视角因子F12描述了这一影响,并且满足视角因子的互易关系,有

width=59,height=15 (3)

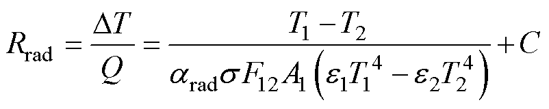
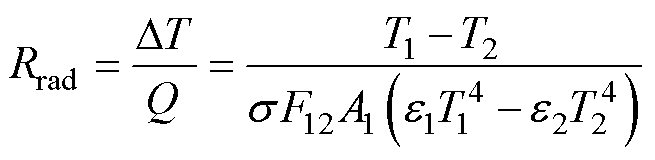
基于热阻定义,辐射热阻Rrad的计算公式为

width=143,height=35 (4)

式中,DT为温差。

尽管上述计算公式能够直接建立温度、结构参数、材料参数与热阻之间的关系,但与数值仿真结果相比,基于物理计算公式得到的元件参数值仍存在显著偏差。为了解决这一问题,本节在原有辐射热阻计算公式的基础上,加入修正系数width=19,height=15和修正项C,建立了修正函数。

width=175,height=35 (5)

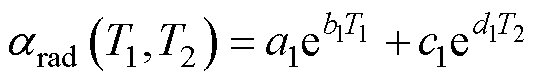
首先,假设修正系数width=19,height=15和修正项C为常数,并采用传统曲线拟合(curve fitting)、遗传算法(Genetic Algorithm, GA)和粒子群优化(Particle Swarm Optimization, PSO)方法进行最优值搜索。然而,拟合结果的方均误差(Mean Squared Error, MSE)为11.92,表明在假设其为常数时,无法有效拟合出反映辐射热阻变化的函数关系。进一步分析表明,修正系数width=19,height=15和修正项C应受到净发射端温度T1和净接收端温度T2的影响。因此,定义width=19,height=15C

width=118,height=18 (6)

width=113,height=18 (7)

式中,akbkckdkwidth=18.8,height=15.05C的系数,k=1, 2。

在此基础上,使用遗传算法对修正后的辐射热阻函数模型进行初步拟合,并结合岭回归方法对遗传算法的评估函数进行优化。通过引入L2正则化项,增强了拟合函数的稳定性并减少了过拟合风险。

width=146,height=27 (8)

式中,width=22,height=17为仿真得到的第s个辐射热阻;width=22,height=19为热网络计算的第s个辐射热阻;width=10,height=12为系数;As为第s个辐射热阻width=18.8,height=15.05C函数的系数通用表示,即akbkckdk

2.2.2 对流换热热阻的计算方法

对流换热热阻的经验公式为Rconv=1/(hA),其中,A为部件对流换热表面积,h为对流换热系数。该公式考虑了对流换热表面积与热阻之间的关系,但在实际计算中,结果存在较大的误差。与辐射热阻的修正系数的处理类似,初步假设换热系数h为常数,并尝试采用多种拟合方法以求得最优值。然而,拟合结果与真实值存在偏差,表明假设h为常数无法有效描述对流换热热阻的动态特性。进一步分析发现,换热系数h受到对流换热表面温度T、气体温度Tg以及流体速度v的影响,由于研究中流体速度v在不同样本下的变化非常小,因此其影响可以忽略。基于这一分析,本文在构建对流换热系数函数时,仅考虑温度的相关性,定义函数形式为

width=112,height=20 (9)

width=145,height=35 (10)

式中,h0h1为拟合系数。随后,采用遗传算法对上述函数模型进行拟合,优化h0h1的取值。该方法能够有效反映对流换热热阻与温度之间的非线性关系。

2.2.3 热流源的计算方法

采用损耗计算公式对通流部件的产热进行了初步估算,其计算公式为

width=139.95,height=34 (11)

式中,I为负载电流;width=13.95,height=15为材料在参考温度T0时的电阻率;L为通流路径长度;width=11,height=10为温度系数,表示材料电阻率随温度变化的敏感程度;A1为通流路径平均截面积;T1为当前温度。对于同型号的断路器,已知P为变量IT1的函数,P=f(I, T1),其他参数在特定结构和特定材料时均为常数,因此,产热计算公式为

width=190,height=33(12)

本节同样采用遗传算法对式(12)的系数(a, b)进行拟合,从而建立通流部件产热计算函数式。

2.2.4 热网络中电磁-热耦合的等效方法

热网络模型本质上是一种基于静态拓扑结构的建模方法,但其参数自校正元件被设计为电流或局部温度的函数,能够随边界条件更新参数,从而在形式上等效引入了电流和磁场对热过程的影响,具备继承多物理场耦合特征的能力。

为了实现对电流与磁场热效应的等效引入,本文首先基于Maxwell-Fluent构建了电磁-热-流耦合的数值仿真模型,综合考虑了交变电流下的趋肤效应与涡流损耗对局部发热分布的影响,并将仿真提取的热源与热阻参数用于指导热网络建模。在热网络中,元件根据其对边界条件的敏感性划分为恒定元件与参数自校正元件,后者通过遗传算法与岭回归联合优化策略构建非线性函数映射关系,从而在仿真迭代过程中实现热源强度与热阻大小的自动更新。相关计算结果(见2.3.1节)验证了参数自校正元件的精度,也进一步说明了该方法在等效引入多物理场耦合效应方面的合理性与可行性。

2.3 参数自校正元件的计算结果

2.3.1 参数自校正元件的计算结果分析

热网络中参数自校正元件的修正函数采用遗传算法与岭回归优化修正部分,该过程充分发挥了全局搜索与正则化约束的优势,在不同负载电流和温度条件下表现出良好的稳定性与适应性。为了说明该方法的可靠性,本文选取50%额定负载电流(1 575 A)作为分析工况,将各参数自校正元件在该工况下的数值仿真结果与修正函数计算结果进行对比,并在表4中汇总展示误差水平。其中,表4中所列元件的序号可在图5的热网络拓扑结构中对应查找。从表4中结果可以看出,辐射热阻的相对误差最大,达到16.7%。这一现象主要由两方面原因导致:一方面,辐射热阻的数值整体较小,虽然绝对误差较小,但相对误差占比较高;另一方面,由于辐射热阻的计算过程较为复杂,其对热阻参数的动态调整具有较高的敏感性;对流换热热阻的相对误差除了个别元件达到10%,其余均控制在5%以下;热流源的相对误差均在0.8%以下,精度最高。总体而言,尽管个别辐射热阻元件的相对误差较大,但绝对误差较小,且对整体计算结果的影响有限。结合上述分析,修正函数在不同类型热网络元件的计算中均表现出良好的可靠性。

表4 热网络元件计算结果与误差分析

Tab.4 Calculation results and error analysis of thermal network components

热网络元件序号数值仿真函数式误差相对误差(%) 辐射热阻/ (K/W)40.7760.8890.11314.5 52.2222.4370.2159.6 87.0507.5350.4856.8 115.7776.3850.60810.5 140.7230.8200.09713.4 270.2400.2800.04016.7 312.0752.2710.29614.2 350.3980.4500.05213.0 对流换热热阻/(K/W)160.4700.4640.0061.2 180.6500.6520.0020.3 250.5800.6380.05810.0 261.3601.3030.0574.1 308.9507.9830.96710.8 390.6500.6520.0020.3 热流源/W126.43026.5900.1600.6 219.94020.1100.1700.8 754.07054.5000.4300.8 1052.77053.1100.3400.6 1322.94022.9700.0300.1 2218.04018.0100.0300.2 243.0103.0000.0100.3 292.7702.7600.0100.4 3415.96015.8600.1000.6

2.3.2 参数自校正元件的函数优化方法比较

为验证遗传算法与岭回归联合优化策略的优越性,本文选取神经网络、粒子群优化和贝叶斯优化方法作为对比。首先,考虑到本研究样本数量有限,且负载与温度、热阻参数之间均呈单调递增关系,故无需采用结构复杂、依赖大量数据训练的神经网络模型。其次,本文以某一典型参数自校正元件为例,分别采用遗传算法、粒子群优化和贝叶斯优化三种优化方法,结合岭回归构建修正函数。结果表明,三种方法在该元件上的方均误差(MSE)分别为0.004、0.013和0.220。上述结果说明,相比于其他方法,遗传算法结合岭回归不仅具备更好的拟合精度和泛化能力,还可输出明确的函数表达式,显著降低了对大规模样本数据的依赖性,在计算效率与稳定性方面更适合本文所涉及的小样本、非线性热网络参数标定问题。

2.4 热网络模型的计算方法

热网络模型的计算流程基于负载电流-节点温度驱动机制实现动态调整。其核心计算流程如图6所示。首先,将热网络的初始温度width=13.95,height=17设定为环境温度,结合负载电流I确定初始热流源、对流热阻和辐射热阻参数。其次,通过Matlab数值求解器计算节点温度width=13,height=17width=16,height=17。之后,进行误差判断:若节点温度相对变化width=65,height=21<1%,不满足要求,则将当前温度width=12,height=17反馈至热网络,进行元件参数的自校正,再次计算节点温度和散热路径热流,直至满足收敛条件为止。满足条件后输出最终温升width=30,height=17和散热路径热流width=16,height=17

width=169.1,height=161.3

图6 热网络模型与数值仿真计算节点温升对比

Fig.6 Comparison of temperature rise between thermal network and numerical simulation

建模方面,采用模块化建模策略,通过Matlab Function模块将热网络元件参数定义为节点温度和负载电流的连续函数,将断路器各功能单元封装为独立子系统,最终集成于整体热网络模型,并通过参数反馈环实现元件特性的动态匹配。

3 研究结果

3.1 热网络模型的计算结果分析

为了验证热网络模型在不同负载电流条件下的计算精度,选取1 575 A和3 000 A两个工况与数值仿真结果进行对比,分析模型的误差水平。

(1)热网络模型的温升分析结果如图7、图8所示,将节点的热网络与数值仿真计算温度减去环境温度得到各节点温升,进一步分析各节点的绝对误差及相对误差。分析表明:在3 000 A工况下,绝对误差和相对误差均呈现显著上升趋势,最大绝对误差达到8.1 K,平均相对误差由2.7%(1.2 K)增至3.7%(3.7 K)。值得注意的是,节点8与节点10在不同工况下均表现出较高的相对误差(>6%),其绝对误差值随电流增大呈非线性增长特征(1 575 A:3.02 K;3 000 A:6.39 K)。尽管存在局部节点的显著偏差,整体模型的平均误差仍稳定控制在4%以内,证明模型在常规负载范围内的温升预测具有较高的可靠性。

width=225.5,height=174.6

图7 热网络模型与数值仿真计算节点温升对比

Fig.7 Comparison of temperature rise between thermal network and numerical simulation

(2)热流的对比分析基于表5定义的热流测量位置开展,图9展示了热网络与数值仿真在各测量位置的计算结果,图10进一步量化了各测点的绝对误差及相对误差。分析表明:当工况电流提升至3 000 A时,绝对误差呈现小幅上升趋势(最大值为10.7 W),但受益于热流总量的增长,平均相对误差较1 575 A工况由5.5%下降至3.3%。其中,测量位置1和5在不同工况下均表现出较高的误差水平,在1 575 A工况下达到8.7%(绝对误差仅为6.4 W)。上述结果验证了模型的预测能力和有效性。

width=220.05,height=183.75

图8 温升误差分析

Fig.8 Error analysis diagram for temperature rise

width=225.5,height=174.6

图9 热网络模型与数值仿真计算热流对比

Fig.9 Comparison of heat flow between the thermal network and numerical simulation

width=219.95,height=182.3

图10 热流误差分析

Fig.10 Error analysis for heat flow

通过节点温升和散热路径热流数据的验证,模型在整体散热特性预测上具有较高的可靠性,但在局部分析时存在一定的误差。具体而言,灭弧室壁面流出总热量由辐射流出热量和对流流出热量两部分组成,其预测相对误差仅为1.7%,绝对误差小于2.5 W,显示出模型在综合散热特性预测中的准确性。然而,灭弧室壁面辐射流出热量和对流流出热量的单独预测误差较大,相对误差最高可达50%。以3 000 A工况为例,对流流出热量的仿真结果为30 W,而热网络模型的计算结果为40 W,误差较为显著。这种局部误差的主要原因是集总参数模型对复杂热传递过程的简化处理。具体来说,辐射热阻和对流热阻的划分在参数分配上可能存在一定的偏差,导致对辐射和对流热流的单独预测精度下降。然而,得益于模型对整体热量传递的有效集成,模型的关键节点预测精度依旧有较高的准确性。

表5 散热路径热流测量位置

Tab.5 Measuring position for heat flow of heat dissipation paths

序号热流测量位置 1静触头导热流出热量 2灭弧室静端导热流出热量 3灭弧室壁面流出总热量 4散热器的散热量 5绝缘套管的散热量

(3)模型计算效率评估所采用的实验平台配置为Intel Xeon Gold 5218R处理器、128 GB内存,其中多物理场仿真基于Ansys Workbench 2021b平台开展,热网络模型则在Matlab/Simulink 2021a软件环境中实现。

传统稳态多物理场仿真单工况计算耗时8 h,而热网络模型仅需1 min,计算效率提高约两个数量级。尽管热网络模型存在一定误差,但其高效特性尤其适用于多工况快速热安全评估及设备关键部位温升和散热路径热流特性分析。

3.2 参数自校正方法讨论

本研究采用遗传算法和岭回归优化热源和热阻的修正函数,实现了参数在迭代计算过程中的自校正,当电流或局部温度发生变化时,模型即可依据该映射关系自动更新动态元件参数,等效继承了完整多物理场仿真的耦合特征。遗传算法作为一种启发式全局优化算法,具备强大的全局搜索能力,能够在复杂的非线性问题中找到全局最优解,适用于非连续、非可导的多峰问题,且对初始参数与搜索空间不敏感,具备较强的鲁棒性。然而,单独使用遗传算法时,可能导致修正系数过大,模型对微小温度变化过于敏感,从而引发系数剧烈波动,影响修正函数的稳定性甚至导致热阻计算失真。为解决遗传算法在稳定性上的局限性,进一步引入岭回归进行优化。通过在损失函数中加入L2正则化项,即权重参数的平方惩罚项,有效抑制模型参数波动,使函数式在多工况条件下的适应性更强,避免了多维数据环境中因抑制噪声或非关键特征带来的过拟合风险。

为进一步验证参数自校正方法对模型预测精度的提升效果,本文构建了一个“未校正模型”作为对比,即将热网络中原本随局部温度变化的辐射热阻统一替换为其在多个工况下的平均值,而对流换热热阻与热源仍保留自校正功能。以3 000 A负载电流为例,分别计算热网络中13个关键节点的温升,结果见表6。整体误差方面,未校正模型的平均温升预测误差为13.6%,而引入参数自校正机制后,平均误差降低至5.7%,预测精度提升约58%。局部分析显示,在节点⑤、⑥、⑧、⑨、⑩等对辐射热阻较为敏感的位置,未校正模型的预测误差显著增大,平均值达24.4%,最大可达50.0%;而在引入自校正后的模型中,这些节点的误差均控制在15%以内,平均仅为8.0%。该结果说明参数自校正方法在复杂热问题中显著改善了热网络模型的预测精度。

表6 辐射热阻未校正热网络模型的温升误差分析

Tab.6 Analysis of prediction errors in a thermal network model without radiative resistance correction

序号数值仿真/K参数自校正/K相对误差 (%)未参数自校正/K相对误差 (%) ①77.072.36.271.76.9 ②114.9118.83.4124.68.5 ③53.556.65.749.87.0 ④152.2160.45.31679.7 ⑤115.3121.35.2131.614.2 ⑥69.374.37.278.413.2 ⑦37.841.08.541.29.0 ⑧24.327.914.930.123.8 ⑨34.834.21.852.250.0 ⑩59.866.210.772.120.6 ,34.134.20.133.90.6 -33.332.43.032.13.7 .183.6186.31.4192.14.6

3.3 试验验证热网络模型计算结果

为验证本文所建立热网络模型的预测精度,以126 kV高压交流真空断路器为试验对象,开展了温升试验,试验平台如图11所示。选取负载电流为2 500 A时的试验数据与热网络模型的计算结果进行对比分析,具体结果见表7。从对比数据来看,除测点5(绝缘套管内气体)相对误差较大(19.5%)外,其余5个关键测点的计算误差均小于6%,其中最小为下端子出线处(2.1%),最大为下端子中间段(5.9%)。从绝对温差来看,各测点的最大偏差仅为3.3 K。因此,该热网络模型的温升预测结果具备较高的准确性,可用于实际工况的温升分析。

width=206.9,height=127.2

图11 126 kV高压交流真空断路器温升试验示意图

Fig.11 Schematic diagram of the temperature rise test for a 126 kV high-voltage AC vacuum circuit breaker

表7 2 500 A测点试验与热网络计算结果对比

Tab.7 Comparison of experimental and thermal network results at 2 500 A

测点温升试验测量结果/K热网络 计算结果/K相对误差(%) 1上端子出线处29.3230.403.7 2上端子与真空灭弧室静端接触处49.9552.304.7 3导电座与下端子接触处49.1948.002.4 4下端子中间段33.9035.905.9 5绝缘套管内气体16.7420.0119.5 6下端子出线处24.9024.402.1

4 结论

本文针对高压交流真空断路器温升特性快速预测难题,提出了一种融合物理公式与算法的热网络建模方法,主要结论如下:

1)热网络模型在单工况下的计算耗时仅需1 min,较传统多物理场耦合仿真的8 h计算时长,计算速度提高约两个数量级,实现了快速预测真空断路器温升和散热路径热流。

2)通过对比分析热网络模型和数值仿真计算结果,真空断路器温升的平均误差为3.7%(3.7 K),热流的平均误差为5.5%(4.3 W),模型精度和稳定性满足工程要求。

3)针对热网络元件参数随温度和负载电流显著变化的问题,提出一种结合热源与热阻理论公式、岭回归及遗传算法的参数自校正方法,实现了参数随工况变化的动态精准调整。

本文所研究的126 kV高压交流真空断路器在实际运行中采用垂直安装(即立式)结构,建模与计算均基于该安装方式展开,暂未对卧式或倾斜安装结构下的温升行为进行分析或参数调整。未来工作中,可在现有热网络模型基础上,通过调节对流换热热阻等参数,探索不同安装方向对散热性能的影响。值得指出的是,本文构建的热网络模型具有结构通用性,可推广至其他电压等级或结构相似的真空断路器。后续研究将进一步结合深度学习开发瞬态工况预测模块,并探索模型在实际工程中的实时部署。

参考文献

[1] Yao Xiaofei, Wang Jianhua, Geng Yingsan, et al. Development of a 126kV single-break vacuum circuit breaker and type test[C]//2013 2nd International Conference on Electric Power Equipment-Switching Technology (ICEPE-ST), Matsue, Japan, 2013: 1-4.

[2] Li Shengtao, Li Jianying. Condition monitoring and diagnosis of power equipment: review and prospe- ctive[J]. High Voltage, 2017, 2(2): 82-91.

[3] 林梓圻, 周贺, 牛林华, 等. 隧道敷设条件下超高压电力电缆热-流场耦合分析[J]. 电力工程技术, 2022, 41(3): 216-223.

Lin Ziqi, Zhou He, Niu Linhua, et al. Thermal-fluid coupling analysis of ultra-high voltage cables laid in tunnel[J]. Electric Power Engineering Technology, 2022, 41(3): 216-223.

[4] 何玉灵, 蒋梦雅, 邱名豪. 同步发电机定子铁心磁-热-固耦合计算分析[J]. 电力工程技术, 2024, 43(4): 208-216.

He Yuling, Jiang Mengya, Qiu Minghao. Calculation and analysis of electromagnetic-temperature-stress coupling of the stator core of synchronous generator[J]. Electric Power Engineering Technology, 2024, 43(4): 208-216.

[5] Lü Qian, Yu Xiaoling, Tan Youbo, et al. Structure improvement of a 126 kV vacuum circuit breaker using electromagnetic-thermal field coupling simu- lation[J]. Applied Thermal Engineering, 2019, 160: 114076.

[6] Cheng Xian, Du Shuai, Ge Guowei, et al. Electromagnetic-thermal-flow field calculation and optimal design of environment-friendly live tank multi-break vacuum circuit breakers[J]. Electric Power Systems Research, 2023, 217: 109081.

[7] Boglietti A, Cavagnino A, Staton D, et al. Evolution and modern approaches for thermal analysis of electrical machines[J]. IEEE Transactions on Indu- strial Electronics, 2009, 56(3): 871-882.

[8] Gan Yunhua, Wang Jianqin, Liang Jialin, et al. Development of thermal equivalent circuit model of heat pipe-based thermal management system for a battery module with cylindrical cells[J]. Applied Thermal Engineering, 2020, 164: 114523.

[9] Wang Baosen, Liu Yongqiang, Zhang Bin, et al. Analysis of the temperature characteristics of high- speed train bearings based on a dynamics model and thermal network method[J]. Chinese Journal of Mechanical Engineering, 2022, 35(1): 104.

[10] Wockinger D, Bramerdorfer G, Vaschetto S, et al. Approaches for improving lumped parameter thermal networks for outer rotor SPM machines[C]//2021 IEEE Energy Conversion Congress and Exposition (ECCE), Vancouver, BC, Canada, 2021: 3821-3828.

[11] 张超, 司马秉奇, 王凯东, 等. 高速永磁电机的三维集总参数热网络模型研究[J]. 电工技术学报, 2025, 40(22): 7193-7203.

Zhang Chao, Sima Bingqi, Wang Kaidong, et al. Research of the three-dimensional lumped parameter thermal network model for high-speed permanent magnet motor[J]. Transactions of China Electro- technical Society, 2025, 40(22): 7193-7203.

[12] Jiang Zhuoyuan, Qu Zhiguo, Zhang Jufa, et al. Rapid prediction method for thermal runaway propagation in battery pack based on lumped thermal resistance net- work and electric circuit analogy[J]. Applied Energy, 2020, 268: 115007.

[13] Akbari M, Mostafaei M, Rezaei-Zare A. Estimation of hot-spot heating in OIP transformer bushings due to geomagnetically induced current[J]. IEEE Transa- ctions on Power Delivery, 2023, 38(2): 1277-1285.

[14] Akbari M, Rezaei-Zare A. Transformer bushing thermal model for calculation of hot-spot temperature considering oil flow dynamics[J]. IEEE Transactions on Power Delivery, 2021, 36(3): 1726-1734.

[15] 林韦弦, 钱乐天, 罗欣, 等. 基于集总参数热网络法的四足机器人温度分布预测[J]. 机器人, 2025, 47(2): 188-199.

Lin Weixian, Qian Letian, Luo Xin, et al. Tempera- ture distribution prediction of the quadruped robot based on the lumped-parameter thermal networks[J]. Robot, 2025, 47(2): 188-199.

[16] Yang Yun, Xiao Yukun, Du Zhengchun, et al. Data- driven varying state-space model based on thermal network for transient temperature field prediction of motorized spindles[J]. Applied Thermal Engineering, 2023, 219: 119456.

[17] 魏书荣, 周海林, 符杨, 等. 基于温度热模型与数据融合驱动的海上风力发电机故障早期预警[J]. 高电压技术, 2025, 51(10): 4945-4956.

Wei Shurong, Zhou Hailin, Fu Yang, et al. Early warning of offshore wind turbine failures based on temperature-thermal modeling and data fusion drive[J]. High Voltage Engineering, 2025, 51(10): 4945-4956.

[18] Tang Aihua, Huang Yukun, Liu Shangmei, et al. A novel lithium-ion battery state of charge estimation method based on the fusion of neural network and equivalent circuit models[J]. Applied Energy, 2023, 348: 121578.

[19] Kirchgässner W, Wallscheid O, Böcker J. Thermal neural networks: Lumped-parameter thermal modeling with state-space machine learning[J]. Engineering Applications of Artificial Intelligence, 2023, 117: 105537.

[20] Li Marui, Dong Chaoyu, Yu Xiaodan, et al. Multi- step ahead thermal warning network for energy storage system based on the core temperature dete- ction[J]. Scientific Reports, 2021, 11: 15332.

[21] Feng Jianghua, Liang Dawei, Zhu Z Q, et al. Improved low-order thermal model for critical temperature estimation of PMSM[J]. IEEE Transa- ctions on Energy Conversion, 2022, 37(1): 413- 423.

[22] Guo Yujing, Xu Ruihai, Jin Ping. A real-time temperature rise prediction method for PM motor varying working conditions based on the reduced thermal model[J]. Case Studies in Thermal Engin- eering, 2023, 47: 103098.

[23] 冯云南, 吴丽泽, 李焱鑫, 等. 复合圆筒型永磁直线作动器热网络模型与热性能研究[J]. 电工技术学报, 2025, 40(18): 5854-5865.

Feng Yunnan, Wu Lize, Li Yanxin, et al. Research on thermal network model and thermal performance of compound tubular permanent magnet linear actuator[J]. Transactions of China Electrotechnical Society, 2025, 40(18): 5854-5865.

[24] 师蔚, 骆凯传, 张舟云. 基于热网络法的永磁电机温度在线估计[J]. 电工技术学报, 2023, 38(10): 2686-2697.

Shi Wei, Luo Kaichuan, Zhang Zhouyun. On-line temperature estimation of permanent magnet motor based on lumped parameter thermal network method[J]. Transactions of China Electrotechnical Society, 2023, 38(10): 2686-2697.

[25] 郭玉敬, 刘溪芃, 金平, 等. 3D精细热网络直接降阶的永磁电机实时温升预测模型研究[J]. 电机与控制学报, 2025, 29(2): 55-64.

Guo Yujing, Liu Xipeng, Jin Ping, et al. Research on real-time temperature rise prediction model of PM motors based on 3D detailed thermal network direct order-reduction[J]. Electric Machines and Control, 2025, 29(2): 55-64.

[26] 龙柳, 肖凡, 涂春鸣, 等. 基于热网络分区等效策略的Si/SiC混合器件耦合热参数辨识方法[J]. 电工技术学报, 2024, 39(12): 3718-3731.

Long Liu, Xiao Fan, Tu Chunming, et al. Enhanced identification approach for RC parameters of Si/SiC hybrid switches based on thermal network partition scheme[J]. Transactions of China Electrotechnical Society, 2024, 39(12): 3718-3731.

[27] 田野, 卜凯阳, 李楚杉, 等. 用于IGBT模块温度观测的3-D降阶混合型热模型[J]. 电工技术学报, 2024, 39(16): 5104-5120.

Tian Ye, Bu Kaiyang, Li Chushan, et al. A hybrid 3-D reduced-order thermal model for temperature obser- vation of IGBT modules[J]. Transactions of China Electrotechnical Society, 2024, 39(16): 5104-5120.

[28] 许鹏飞, 杨帆, 刘刚, 等. 110 kV插拔式GIS电缆终端轴向传热分析[J]. 电力工程技术, 2020, 39(5): 30-35.

Xu Pengfei, Yang Fan, Liu Gang, et al. Assessment on axial heat transfer of 110 kV plug-in GIS cable terminal[J]. Electric Power Engineering Technology, 2020, 39(5): 30-35.

Rapid Prediction Method for Temperature Rise and Heat Flow in High-Voltage AC Vacuum Circuit Breakers Using Thermal Network Model

Huang Lei Ma Hui Xu Wendi Geng Yingsan Liu Zhiyuan

(School of Electrical Engineering Xi’an Jiaotong University Xi’an 710049 China)

Abstract The temperature rise characteristics of electrical equipment directly affect its operational stability and service life. Prolonged high temperatures in localized areas can lead to a gradual decline in insulation performance, potentially causing equipment failure or damage. Therefore, understanding the equipment’s temperature rise and heat flow characteristics is crucial for improving its reliability. However, it is difficult to directly measure internal temperature data in closed or complex electrical equipment. When using numerical simulation methods, one faces challenges such as complex modeling and long computation times that hinder the acquisition of practical temperature data.

This paper proposes a thermal network model with self-calibration capabilities that combines physical mechanisms and data-driven algorithms to calibrate the parameters of thermal network components. It enables rapid prediction of temperature rise and heat flow along heat dissipation paths in high-voltage AC vacuum circuit breakers (VCBs) as a function of load current, thereby providing practical support for structural optimization during the design phase and for condition monitoring during operational phases. First, temperature data at different load currents were obtained from multiphysics numerical simulations, and a lumped-parameter thermal network was designed based on these data and the heat-transfer processes. Subsequently, based on theoretical formulas for heat sources and thermal resistance, the paper derives corresponding correction functions and optimizes the correction component using ridge regression and genetic algorithms. It enables self-calibration of parameters during iterative calculations, addressing variations in component parameters with temperature and load current within the thermal network.

Model accuracy was validated under 1 575 A and 3 000 A load scenarios, focusing on temperature rise at critical nodes and heat flow along heat-dissipation paths. On a workstation equipped with an Intel Xeon Gold 5218R processor and 128 GB RAM, steady-state multi-physics simulations in ANSYS Workbench 2021b required approximately 8h per operating condition, whereas the thermal network model implemented in Matlab/Simulink 2021a completed the same case in approximately 1 min, yielding an efficiency improvement of about two orders of magnitude. Average prediction errors were 3.7% (3.7 K) for temperature rise and 5.5% (4.3 W) for heat flow.

Accordingly, the proposed rapid-prediction approach enables efficient and accurate evaluation across load conditions, substantially benefiting the thermal design, prediction, and assessment of high-voltage AC vacuum circuit breakers. Incorporating parameter self-calibration further improved accuracy: the mean temperature-rise error decreased from 13.6% (uncalibrated) to 5.7% (self-calibrated), a 58% reduction. At nodes sensitive to radiative thermal resistance (5, 6, 8, 9, 10), the mean error fell from 24.4% (maximum 50.0%) to 8.0%, with all errors ≤15%, indicating a marked reduction in local deviations.

The thermal network model with self-calibration capabilities can effectively predict the temperature rise and heat flow along heat dissipation paths in a high-voltage AC VCB. Future research will extend the application of this model to transient analysis and incorporate deep learning techniques to enhance prediction accuracy. This model is not only applicable to VCBs but also provides theoretical support and technical reference for the thermal management system design of other electrical equipment.

keywords:Thermal network, vacuum circuit breaker, genetic algorithm, ridge regression, self-calibration

DOI: 10.19595/j.cnki.1000-6753.tces.250565

中图分类号:TM561

国家重点研发计划资助项目(2022YFB2403700)。

收稿日期 2025-04-08

改稿日期 2025-04-28

作者简介

黄 镭 男,1995年生,博士研究生,研究方向为基于人工智能和数值仿真技术的电力开关数字化。E-mail: radiumh@foxmail.com

马 慧 男,1987年生,副教授,硕士生导师,研究方向为大电流真空电弧理论、高电压等级真空灭弧室绝缘设计与真空间隙击穿机理、新型真空开关及真空直流开断技术等。E-mail: mhxjtu@mail.xjtu.edu.cn(通信作者)

(编辑 崔文静)