摘要 针对现有线性周期时变(LTP)模型不适用于跟网型逆变器同步方法(GFI-SM)精确稳定性与频率响应分析的问题,该文提出一种基于多重广义积分器锁频环(MGI-FLL)的单/三相跟网型逆变器广义LTP模型。首先,基于多重降阶广义积分锁频环(MROGI-FLL)的结构,建立单相及三相系统下不同类型GFI-SM的统一分析模型;其次,采用模块化建模方法构建了MGI-FLL的LTP模型,通过简化输入端口配置,实现对任意频率扰动的兼容性;再次,推导考虑频率耦合现象的频域谐波传递函数(HTF)模型,可实现精确的频率响应分析;最后,通过仿真和实验验证了所提模型的有效性。研究结果表明,所提广义LTP模型能够克服现有模型的局限性,为GFI-SM的分析和设计提供了一种更精确、更通用的工具。
关键词:跟网型逆变器 同步方法 广义小信号模型 多重广义积分器 锁频环 谐波传递函数
“双碳”目标背景下,电力系统正从以同步发电机为主导的传统架构,向着以新能源发电为主体、电力电子变流器为核心装备的新型电力系统演变[1]。新能源机组通过逆变器作为并网接口实现规模化接入,驱动电力系统装备向电力电子化方向深度转型[2-3]。模块化逆变器的核心控制目标在于建立多逆变器间的同步运行机制,实现并联运行、功率分配等目标[4]。根据控制策略的同步方式差异性,并网逆变器可分为构网型与跟网型两类,其中构网型逆变器无需依赖外部电网信号,可模拟同步发电机的特性,主动构建电网的电压和频率基准[5],跟网型逆变器(Grid-Following Inverter, GFI)指通过实时跟踪电网电压相位与频率实现输出同步的逆变器。
本文以跟网型逆变器为研究对象,跟网型逆变器同步方法(Grid-Following Inverter Synchroni- zation Method, GFI-SM)作为GFI实时跟踪电网电压相位与频率的核心环节[6-8],通常面临如下两个问题:首先,实际电网电压中常存在故障和非正常工况导致的非理想分量[9],干扰GFI-SM对信号中多个频率分量的提取性能[10-11];其次,GFI-SM本身作为一种闭环控制系统的信号提取方法,其性能对GFI的动态性能影响较大,因此,评估GFI-SM的稳定性与信号提取的准确性意义重大[12-13]。多重广义积分器锁频环(Multiple Generalized Integrator Frequency-Locked Loop, MGI-FLL)不仅可以在电网电压畸变时消除特定次谐波对基波分量估测的影响,确保信号提取的准确性,还可精确估测多个频率分量,具有频率自适应功能[14-16],被广泛应用于GFI-SM领域。为定量分析MGI-FLL对逆变器动态性能的影响并评估其稳定性,通常需要建立精确的时域小信号模型[12-13]。近年来,针对MGI-FLL的精确小信号模型及频率响应分析备受关注,基于MGI的谐波频率为常数的假设,一种线性时不变(Linear Time Invariant, LTI)传递函数模型被推导[17-18],该模型为分析同步方法的信号提取特性提供了近似的描述。然而,LTI模型忽略了频率估计的动态特性,导致精度不足,且无法分析频率耦合现象[14]。为此,提出一种以相位和幅值作为输入和输出变量的LTI模型[19],该模型能被精确地应用于理想三相电网,且可将MGI-FLL嵌入逆变器建模中。然而,对于单相系统,由于该模型忽略了由时变特性引起的双频振荡特性,同样也会造成模型准确性不足的问题[20]。
为了提升MGI-FLL小信号模型的准确性,考虑了GFI-SM的时变周期特性的线性时变周期(Linear Time Periodic, LTP)模型被提出[21-23]。根据广义Nyquist判据或者Floquet定理,LTP模型能够精确提取同步信号,且可用于MGI-FLL自身的稳定性分析[24]。在此基础上,为进一步探究MGI-FLL在信号提取方面的准确性,需将时域小信号模型转换为频域模型,并对频域模型开展频率响应分析[25]。然而,现有的LTP模型均假设系统输入扰动的频率为固定值,无法直接对其进行频率响应分析[21]。谐波传递函数(Harmonic Transfer Function, HTF)模型被广泛应用于频率响应分析[26-27],但该方法精度不高,无法准确预测频率耦合现象。
此外,现有的LTP模型仍然存在以下两个问题:①在对现有的GFI-SM进行LTP建模过程中,额外的输入端口被引入,使得LTP模型的结构较为复杂,缺乏通用性[28-29];②现有的LTP模型的输入无法体现输入电压瞬时值的扰动,这使得LTP模型无法直接嵌入GFI模型中[22, 30-31]。为将MGI-FLL嵌入GFI模型,文献[28]推导了MGI-FLL在dq坐标系下的模型,并假设谐波模块的谐波频率为固定值,从而大大简化了模型结构。然而,现有研究未明确指出该假设条件的适用场景,亦未清晰阐述该模型与更准确的LTP模型之间的内在关系[32-40]。
综上所述,现有MGI-FLL的LTP模型与LTI模型均无法同时满足精确稳定性与频率响应分析的要求,考虑LTP模型通用性不足而无法直接嵌入逆变器模型中,本文提出一种针对GFI-SM的广义小信号LTP模型。首先,基于多重降阶广义积分锁频环(Multiple Reduced Order Generalized Integrator- FLL, MROGI-FLL)结构,对单相及三相系统下的多种GFI-SM进行了统一建模,涵盖谐波、直流及不平衡分量的估测方法,并支持任意数量的并联单元。其次,推导MGI-FLL的小信号LTP模型,保持稳定性分析精度的同时,预测系统的频率响应特性,避免不必要的输入端口,大大地简化了模型结构。然后,推导考虑频率耦合现象的频域简化HTF模型,实现精确的频率响应分析。最后,通过仿真与实验验证了所提模型的准确性。
本节提出一种MGI-FLL的统一结构,MGI-FLL框图如图1所示。该结构由两个模块构成:多路并联的GI支路模块以及FLL模块。每路GI支路输入为MGI-FLL的输入信号
与重构信号
(i∈Z)的误差信号
。可以看出,本文所提方法为实现普适性建模,除基波分量提取支路GI1外,增加一条考虑了谐波次数为h的GIh的支路和相应的频率估计路径。其中,GI1支路的谐振频率wr1用于跟踪基频分量,GIh支路的谐振频率wrh用于跟踪h次谐波分量。FLL模块的功能是为并联GI模块提供谐振频率,
为基波正序分量(三相系统)或基波分量(单相系统),
为谐波分量。其中,三相系统通过h实现了多序分量的统一表征:当h<0时表征负序分量,h=0时对应直流分量(兼容单相系统分析)。如果需要考虑更多的谐波分量,可模块化地添加并联的GI支路及相应的谐波频率更新路径。
图1 MGI-FLL框图
Fig.1 Block diagram of MGI-FLL
由图1所示的统一架构可以看出,MGI-FLL本身具备同步处理谐波畸变、直流偏置以及不平衡工况的能力,无需对特殊情况分别建模。这种特性使得MGI-FLL在处理复杂工况时具有显著优势。此外,所提的统一结构将单相与三相MGI-FLL统一表示为输入ab分量的方法,实现了不同系统的兼容:对于三相系统,通过Clarke变换矩阵将原始电压vabc转换为[va vb]T。对于单相系统,为了形式上的统一以及推导时的方便,输入信号也表示为正交信号[va vb]T。此时,b分量输入信号仅作为形式输入,其值不影响实际输出且最终在模型中移除。
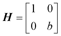
各GI支路由降阶广义积分器(Reduced Order Generalized Integrator, ROGI)、参数矩阵H及增益矩阵Kl组成,其中下标l∈{1, h}分别表示基波分量与第h次谐波分量。矩阵H的表达式见式(1),用于匹配单相(b=0)或三相(b=1)的同步方法。在单相系统中,输入b分量对输出无影响。
(1)
各GI支路的增益矩阵Kl由式(2)定义,通过调节矩阵中对角系数krl和非对角系数kil,可实现双自由度动态配置。
(2)
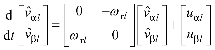
ROGI在ab坐标系下的动态方程由式(3)描述,谐振频率wrl由FLL实时更新,框图如图2a所示。
(3)
图2 ROGI的等效形式
Fig.2 Equivalent forms of ROGI
ROGI的动态特性可通过dq坐标系解析表示。通过极坐标变换将ab坐标系下的估计值
、
转换为幅值-相位形式
∠
。其中
表示幅值估计值,
为相位估计值。该变换过程可以由式(4)推导。
(4)
以相位估计值
作为坐标变换的相位基准,可实现将ROGI的输入信号uabl向dq坐标系进行映射,该变换过程可以表示为
(5)
联立式(4)、式(5),将其代入式(3),可推得
(6)
式(4)~式(6)是ROGI在dq坐标系下的数学表达,相应的框图如图2b所示。该框图即为增强型锁相环(Enhanced Phase Locked Loop, EPLL)的结构[23],由于现有研究已严格论证EPLL与基于GI的方法之间的等价性[23],本文仍使用GI作为该结构的名称。
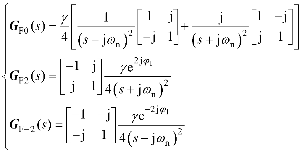
为证明所提GI支路与现有GFI-SM之间的等价性,需要系统阐释其内在联系。对于三相GFI-SM,考虑增益矩阵Kl时,GI支路的动态特性可由式(7)完整表述,采用复数坐标时kl表示为负增益,可表示为kl=krl+jkil,其本质为具备复增益特性的ROGI的数学表达式[18]。相较于传统增益矩阵系数为实数的ROGI实现方式,复增益架构通过引入额外的自由度,从而在暂态响应速度、谐波抑制带宽等动态性能指标上呈现显著优势。
(7)
对于单相GFI-SM,令b=0,GI支路在ab坐标系下的动态特性可表示为
(8)
若设定参数满足krl=krxlwrl以及kil=kixlwrl时,式(8)即为增强型SOGI的标准形式[17, 33]。其中,krxl与kixl是增益参数。相较于传统的SOGI,增强型SOGI通过引入额外的自由度,使系统具备更优的暂态响应特性和谐波衰减能力[33]。特别地,当参数kixl=0时,增强型SOGI又变为传统SOGI,说明了二者在数学表达式上的等价性。
基于上述分析,GI支路的特性可以通过改变参数b和增益系数kil实现不同的描述。GI支路与现有的GFI-SM之间建立的等效关系可归纳于表1。
表1 在不同的参数条件下,GI支路和现有方法的关系
Tab.1 Relationship between the GI branch and the existing method under different parameter conditions
GI自由度单相 (b=0)三相 (b=1) 一 (kil=0)传统SOGI实增益ROGI 二 (kil≠0)改进SOGI复增益ROGI
综上所述,各类GFI-SM均存在严格对应的dq坐标系实现方法。这一发现证实,本文所提出的GI支路建模方式通过建立严格的数学映射关系,可以实现对现有方法的统一化表达。
当电网输入信号存在频率波动时,使用固定谐振频率策略将导致GI支路的信号提取精度显著下降。因此,必须引入实时频率检测机制对GI支路的谐振频率进行动态更新,其核心任务在于实现基波角频率wr1的自适应辨识。各次谐波频率可根据式(9)获得。
(9)
式中,h为对应谐波分量的阶次。
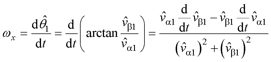
已有研究表明,针对SOGI系统,传统FLL在数学层面等价于反正切导数法[32]。本文将在此基础上进行理论拓展,证明该方法可系统性地推导出一类广义FLL架构。通过反正切运算从基波ab分量的估计值中获取基波相位估计值
,对该值做微分运算,可获得瞬时频率值wx(x=1, 2, 3,…)。该过程可描述为
(10)
通过将瞬时频率值wx经过截止频率为g的一阶低通滤波器,构建出完整的基波频率估计结构。估测的基波频率生成式为
(11)
由于微分运算在实现层面存在困难,通过构建等效数学形式可以规避微分运算。根据式(4)和式(6),可将式(11)重新表示为
(12)
通过联立式(11)消除变量wx,当参数kil为0时,EPLL的频率估测动态方程可表示为
(13)
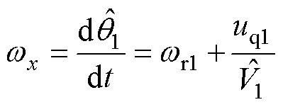
通过将式(13)中的uq1表示为ab坐标系下的形式,则FLL的动态方程可重新表述为
(14)
图3展现了FLL的等价形式。由于FLL不同实现形式的等价性,本文统一称之为FLL。

图3 FLL的等效形式
Fig.3 Equivalent forms of FLL
本节讨论了FLL与现有的主要方法之间的联系。在单相系统中,当参数kil≠0时,式(14)变为增强型SOGI结构下应用增强型FLL的数学表达。当kil=0时,该方程退化为经典的单相FLL。在三相系统中,kil=0对应传统三相FLL,而当kil≠0时,则演化为增强型三相FLL。根据参数b和kil的不同取值,MGI-FLL与现有GFI-SM之间的关系归纳见表2。
通过移除用于谐波抑制的GI支路,可获得基本的同步方法如SOGI-FLL。因此,通过以上公式表达,能够清晰地展现出MGI-FLL与现有方法之间的等价性,为后续的模型简化提供理论依据。
表2 MGI-FLL与现有的方法在不同条件下的联系
Tab.2 Relationship between MGI-FLL and existing methods under different conditions
GI自由度单相 (b=0)三相 (b=1) 一(kil=0)传统MSOGI-FLL实增益MROGI-FLL 二(kil≠0)增强MSOGI-FLL复增益MROGI-FLL
本文提出的时域小信号模型是通过对MGI- FLL在稳态工作点处线性化处理得到的,其输入扰动信号可涵盖任意频率的分量。建模过程采用模块化方法实现:首先依据稳态假设确定系统变量的稳态工作点;其次对非线性环节(ROGI和FLL)进行线性化处理;最后将线性化后的模块与原有线性网络(参数矩阵H及增益矩阵Kl)整合为完整的小信号模型。
现有的LTP模型通过限定输入信号仅含基波频率和第h次谐波来确保稳态与暂态过程的可解析性[21-23]。本文在保持稳态频谱约束的前提下,突破性地将暂态小信号扰动的频谱扩展至全频域范围。在稳态工况下,MGI-FLL可动态估计输入信号的主频分量,因此,需建立次要谐波分量幅值可忽略的合理性假设。当特定次谐波幅值显著时,可通过并联额外的GI支路以满足该假设。据此,稳态输入信号可表示为
(15)
式中,Vnl(l=1, h)为基波及h次谐波稳态幅值;qnl=wnlt+jl(l=1, h),jl为初始相位,wnl为各分量的稳态频率;下标xe表征变量稳态工作点。
在稳态工况下,误差收敛至零,满足
(16)
基于上述稳态特性,误差ea, eb的稳态值为0。
(17)
在暂态过程中,若仍维持输入信号仅含基波分量和第h次谐波分量的假设,所得模型将只能预测特定频率分量的动态响应。否则,将引入额外的输入端口,导致模型的复杂度提升。
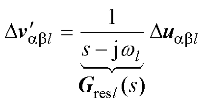
本文在建模方法中继承了LTP模型的标准推导方法,即稳态值叠加小信号扰动。如式(18)所示,然而,与传统LTP建模的核心差异在于:取消vab的频域分解步骤,避免了增加不必要的端口,实现了模型简化。
(18)
式中,D为时域下的任意小幅值信号扰动。
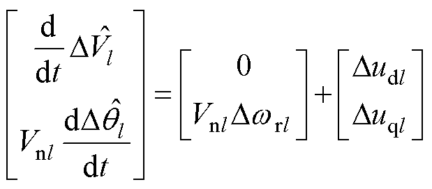
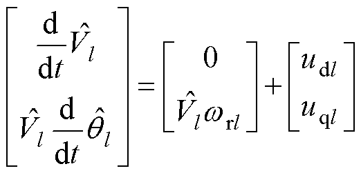
通过在稳态工作点附近执行一阶泰勒展开对ROGI-FLL在dq坐标系下的非线性方程构建小信号模型,式(6)的线性化方程可表述为
(19)
式中,
、
(l=1,h)分别为估测幅值
及估测相位
的小信号形式;Dwrl为谐振频率wrl的小信号形式;Dudl、Duql分别为udl、uql的小信号形式。对式(5)在变量的稳态工作点附近实施线性化,根据式(17)揭示的稳态条件可得ual=ubl=0,推导得式(20)。需特别指出,模型参数ql的时变属性直接导致系统呈现周期性时变状态。
(20)
应用同样的线性化由式(4)推导可得
(21)
式(19)、式(20)及式(21)共同组成了ROGI的小信号模型,其系统框图如图4所示。

图4 ROGI的小信号LTP模型
Fig.4 Small-signal LTP model of ROGI
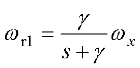
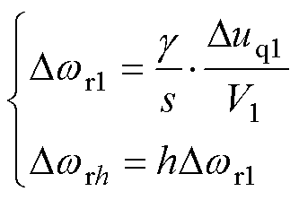
根据dq坐标系动态方程式(13)、谐波频率生成式(9),并考虑误差平衡方程式(17),可得出
(22)
FLL的小信号框图如图5所示。

图5 FLL的小信号LTP模型
Fig.5 Small-signal LTP model of FLL
MGI-FLL的线性部分由式(23)描述,其关联矩阵H及Kl满足式(24)的约束关系,小信号方程可以通过将变量替换为带有D的小信号形式推导。
(23)
(24)
通过整合式(19)~式(22)与线性化模块,能够全面描述系统的动态行为,构建出完整的时域小信号模型如图6所示,为后续的稳定性分析与信号提取精确度评估提供基础。
图6 MGI-FLL的时域小信号LTP模型
Fig.6 Time-domain small-signal LTP model of MGI-FLL
该时域模型开环结构包含四个并行通道:两个GI支路,一条基波频率更新路径(Fundamental Frequency Updating Path, FFUP)和一条谐波频率更新路径(Harmonic Frequency Updating Path, HFUP)。图6中采用微分算子s表征动态特性,各通道的传递矩阵如式(25)量化表达。值得注意的是,可以通过模块化的方式直接增加GI支路及其对应的HFUP模块实现功能扩展。
(25)
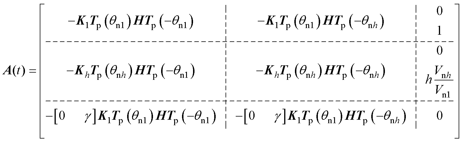
MGI-FLL的稳定性分析可采用两种方法:基于状态矩阵的Floquet定理或基于开环HTF的广义奈奎斯特判据。本节基于计算效率考量,针对不同的增益参数,选择Floquet定理作为稳定性分析方法。单值矩阵的计算通过离散积分法实现,时域模型(图6)被转换为状态空间,表达式为
(26)
其状态变量定义为
(27)
关键稳定性分析所需的状态矩阵则为
(28)
状态转移矩阵被表征为
,满足
(29)
单值矩阵定义为
,其中T表示系统周期,本研究中设定为0.02 s。该矩阵可通过数值方法求解。根据Floquet定理[25],系统稳定的充要条件为单值矩阵所有的特征值严格分布于单位圆内。这里,为验证基于Floquet定理的稳定性分析方法的有效性,选取了不平衡分量估计的典型工况(b=1, h=-1)。参数设置参照文献[22]。具体为:kr1=1 115, krh=0.75kr1, ki1=kih=0, g=250, Vn1=1(pu), Vnh=0.2(pu)以及j1=jh=0。该参数使得系统处于临界稳定状态。将上述参数代入时变矩阵A(t)并应用Floquet定理,所得单值矩阵的特征值分布如图7所示,其最大模值1。通过式(26)~式(29),可以确定系统的稳定条件,确保了在实际应用中,系统能在各种工况下保持稳定运行。结果表明,以上所提出的模型不仅与现有的LTP模型具有等效的稳定性预测精度,还具备更简洁的结构框架,且能有效支持频率响应特性分析。
图7 临界稳定时单值矩阵的特征值
Fig.7 Eigenvalues of the monodromy matrix under marginal stability conditions
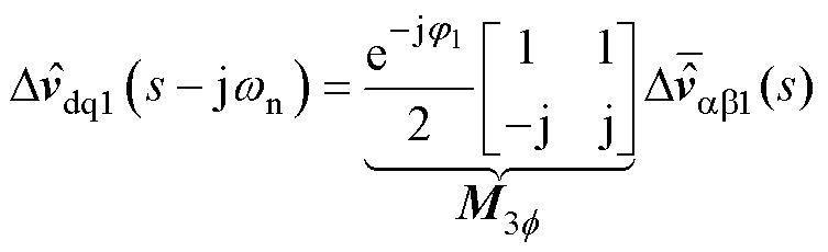
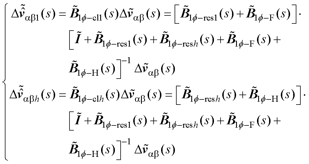
根据图6的时域小信号模型,可进一步推导频域HTF模型,实现系统频率响应的量化评估。
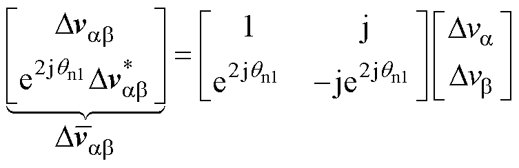
对建模而言,坐标系的选择是至关重要的。如图6所示,对于三相与单相系统下MGI-FLL的时域模型,均采用实数ab坐标系。然而在频域分析中,为了分别揭示两种情况下的频率耦合特性,单相系统仍使用实数坐标,而三相系统则引入了复数坐标。以
为例,实数ab坐标系与复数ab坐标系之间的关系由式(30)给出,其中变换矩阵的参数与稳态基波信号的初始相位密切相关。
(30)
为了将图6的时域模型转换为HTF模型,需将变量表示为由谐波组成的无穷维向量。对于单相MGI-FLL,以
为例,可将其表示为指数调制周期信号(Exponentially Modulated Periodic, EMP)。
(31)
其中,sp=s+jpwn,wn为额定角频率,p为整数。对应的无穷维向量为
(32)
对于三相MGI-FLL,同样地,以
为例,对应的无穷维向量为
(33)
本文中,带上标“
”的变量表示二维复数向量或传递矩阵,带上标“
”的变量表示无穷维向量或矩阵,加粗则表示复数向量或矩阵。
将图6中各支路的HTF进行整合,即可构建完整的频域模型。
3.2.1 GI支路频域模型
首先,针对三相情况,由于矩阵H是单位矩阵,因此,矩阵KlH对应的HTF为
(34)
其中,矩阵各元素表达为
(35)
式中,
为
的共轭。
鉴于矩阵E(s)具有对称结构,
和
之间的关系可通过dq坐标系与复ab坐标系之间的传递函数矩阵关系推出[28]。
(36)
为便于分析频率耦合,将式(36)等效表示为二维复ab坐标系,有
(37)
将式(37)进一步表示为无穷维HTF形式后,可得
和
之间的关系。
(38)
结合式(38)与式(34),可推导出三相情况下,MGI-FLL的GI支路的HTF表达式为
(39)
对于单相MGI-FLL,矩阵KlH的HTF可表示为
(40)
ROGI在ab坐标系下频域表达可将式(37)通过坐标变换转换求取,最终用一个二阶传递函数表示为
(41)
将式(41)表示为HTF形式,即为
(42)
结合式(42)和式(40),单相情况下,MGI-FLL的GI支路的HTF表达式可被写为
(43)
值得一提的是,无论是单相还是三相系统,GI支路不会导致频率耦合现象,其原因为:三相情况下,
是对角矩阵,单相情况下,
是块对角矩阵。这种结构特性使得各频率分量之间互相独立,从而避免了频率耦合的发生。
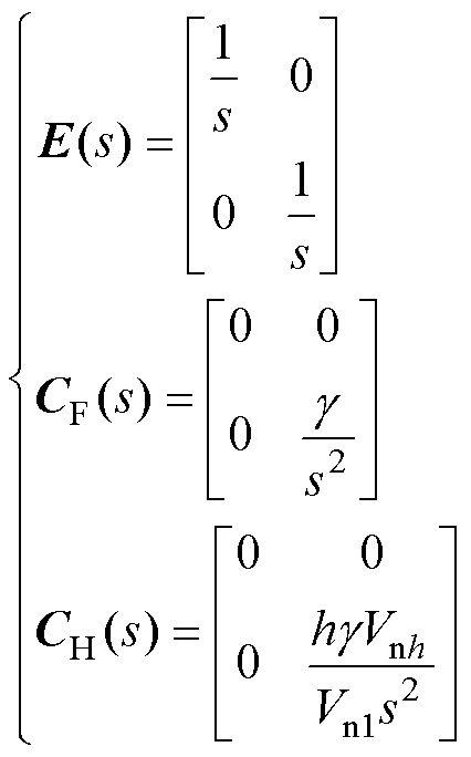
3.2.2 FFUP模块频域模型
首先,针对三相系统进行讨论,由于传递函数矩阵CF(s)是非对称的。此时,输入信号中的w分量将会导致输出信号中同时出现w分量和2wn-w分量[28]。根据dq坐标系传递函数矩阵与复ab坐标系传递函数矩阵之间的关系[34],可由GF(s)推得
(44)
此时,
和
之间的HTF可表述为
(45)
结合增益矩阵,FFUP的HTF可以表示为
(46)
在单相情况下,将式(44)转换为实数坐标后,对应的HTF关系可以表示为
(47)
其中,仅当i=0、-2、2时,GFi(s)≠0。对应表达式为
(48)
结合矩阵H和Kl,单相情况下FFUP的HTF可以表示为
(49)
3.2.3 HFUP模块频域模型
观察图6,在HFUP中,逆Park变换的角度qnh与Park变换的角度qn1不同,为便于分析,角度为qnh的逆Park变换可以拆分为角度为qn1的逆Park变换与角度为qnh-qn1的逆Park变换的串联。其中,角度为qn1的逆Park变换与CH(s)以及角度为qn1的Park变换相结合。该环节的HTF可按照类似于
的方式,表达为
(50)
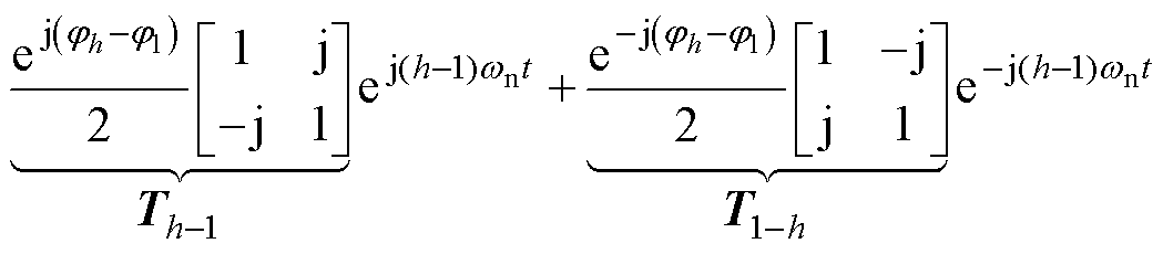
与FFUP相比,HFUP存在以下两点不同:首先,增益不同。其次,存在一个角度为qnh-qn1的逆Park变换。在三相系统中,这个额外的逆Park变换可以在复ab坐标系下表示为
(51)
式(51)对应的HTF为
(52)
其中,除i=h-1及1-h外,Ti=O2×2。
在三相系统中,HFUP的HTF可表示为
(53)
在单相系统中,引入的逆Park变换可表示为
(54)
因此,在单相系统中,HFUP的HTF表达式为
(55)
由于三相和单相系统HFUP的HTF均不为块对角矩阵,因此考虑闭环反馈后,都将产生无穷条频率耦合路径。对于三相系统,在开环时,考虑到
和
的作用,w频率的输入产生w+(1-h)wn以及2wn-w+(1-h)wn频率分量。形成闭环后,w频率的输入将产生w+k(1-h)wn以及2wn-w+k(1-h)wn频率分量,其中k为任意整数。对于单相系统,考虑
和
的作用,形成闭环后,w频率的输入将产生w+2k1wn+k2(1-h)的频率分量,其中k1、k2为任意整数。
3.2.4 整体频域模型
将四条支路的频域模型并联即可获得完整的频域模型,如图8所示。其中,GI支路的HTF以蓝色标记,这些矩阵均为对角或块对角矩阵,不会引起频率耦合;FFUP和HFUP的HTF以红色虚线标记,包含非对角元素,将导致频率耦合。此时模型为多输入多输出(Multi-Input-Multi-Output, MIMO)模型。
图8 MGI-FLL的频域HTF模型
Fig.8 Frequency-domain HTF model of MGI-FLL
在三相系统中,输入与输出之间的HTF可写成
(56)
式中,
为单位矩阵。
在单相系统中,输入输出之间的HTF可写成
(57)
估测的基波相位
及幅值
也是重要的变量。根据图4,
和
是估测基波信号的dq坐标系下的分量,可以表示为
(58)
对三相系统,由拉普拉斯变换的频移性质可得
(59)
对单相系统,有等式(60)成立:
(60)
在三相系统中,输入信号与估测基波信号在dq坐标系下的分量之间的小信号关系如式(61)所示。对于单相系统,相应的关系如式(62)所示。
(61)
(62)
式中,
和
分别为相应的HTF,可由式(59)和式(60)给出,其具体表达式如式(63)和式(64)所示。式(56)、式(57)、式(61)和式(62)所描述的HTF关系刻画了三相与单相系统中输入信号与估测信号之间的关系,这些HTF可以嵌入到逆变器系统的LTP模型中用于相关的控制。
(63)
(64)
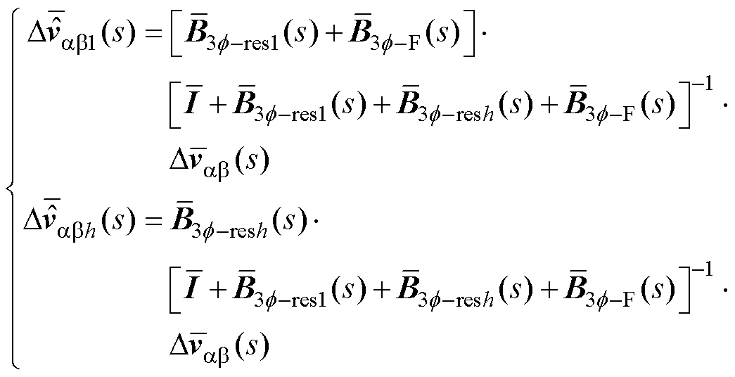
式(30)~式(64)完整地推导了系统的频域模型,能够全面评估系统性能。值得一提的是,一般情况下,频域模型表现为MIMO模型。由于涉及的向量均为无穷维,MIMO模型虽然具有很高的准确性,但计算负担较重。在满足一些条件时,可以通过降低原始频域模型的维度来简化分析[34]。
3.3.1 三相系统
如前文所述,当仅考虑HFUP时,会导致无穷多个频率耦合路径。从CH(s)的形式来看,当g>0时,若vnh=0或h=0,CH(s)将退化为零矩阵,此时可以忽略HFUP的影响。忽略HFUP后,式(56)中的HTF将变为块对角矩阵。由于HTF的各列不独立,通过截取HTF的中心块,可得到一个二维模型,记为双输入双输出(Two Inputs Two Outputs, TITO)模型,即
(65)
在TITO模型中,频率为w的分量会在估计信号中引起频率为2wn-w和w的频率分量。
鉴于文献[28]中的dq坐标系模型的假设与TITO模型的假设相同,均未考虑HFUP,可合理推断其精度与TITO模型相当。
若进一步忽略FFUP,则式(56)中的HTF将退化为对角矩阵。通过提取该矩阵的中心块,可得到传统的一维传递函数模型,如式(66)所示,记为单输入单输出(Single Input Single Output, SISO)模型。从CH(s)的形式来看,当g=0时,CH(s)将变为零矩阵,此时可忽略FFUP,SISO的模型即为有效。
(66)
3.3.2 单相系统
对于单相系统,HFUP和FFUP均会导致无穷条频率耦合路径。因此,仅忽略HFUP并不能实现模型维度的降低。当g=0时,HFUP和FFUP均可被忽略,从而可以建立传统的SISO传递函数模型,如式(67)所示。通过忽略b输入,可以得到估计的ab分量的表达式。
(67)
为验证所提模型的准确性,本文在Matlab/Simulink环境中首先对MGI-FLL的时域小信号模型进行了验证。在参数变化的条件下,对单相和三相系统的信号提取及基波相位估测的频率响应特性展开分析,所设定工况适用于输入扰动信号幅值较小的情况。参数配置如下:系统额定角频率wn=2p× 50 rad/s,单相工况下:谐波次数h=3、收敛系数g= 100、谐振系数kr1=krh=1.41wn、积分系数ki1=kih=0。三相工况下:谐波次数h=-1、收敛系数g=120、FFUP增益k1=(1.73-j)wn、HFUP增益kh=(1.73+j)wn。稳态工作点设置:基波电压Vn1=1(pu)、谐波电压Vnh= 0.3(pu),且基波与谐波的初始相位j1=jh=0。为进行数值计算,需将HTF截断为有限维矩阵。本文取其阶数为42,可获得很高的精度。
在t<2 s时段,输入信号维持稳态特性。当t=2 s时,输入信号突增一个初相位为0、频率偏移为+100 Hz的分量,其幅值发生0.01(pu)的阶跃扰动。图9a单相MGI-FLL的Dva1响应波形与图9b三相系统Dvah动态特性均显示,所建时域模型与数值仿真结果具有高度一致性,且在动态过程刻画精度上显著优于传统传递函数建模方法。
在单相系统中,将HTF中的s替换为jw,根据式(57)即可计算单相方法信号提取的频率响应。
图9 时域模型仿真验证
Fig.9 Time-domain simulation waveforms for model verification
根据式(62)可以计算单相方法基波相位估测的频率响应。HTF中,分块矩阵的所有列都可以由中央列推导得到。因此,仅需要用分块矩阵的中间列分析频率响应。仅对va的频率响应进行分析,因为vb对输出无影响。当g变化而其他参数保持不变时,估测的基波分量、估测的谐波分量以及估测的基波相位的频率响应特性如图10所示。可以看出,当g=0时,估测的ab分量中不存在频率耦合现象,基波相位估计中仅存在两条频率耦合路径,且a通道的直流增益为0。此时,系统可以用SISO模型描述。当g≠0时,会出现其他频率耦合路径,在所考虑的参数条件下,大部分频段上,有随着g增加,频率耦合变得更强的现象。
图10 g变化时,单相MGI-FLL的频域响应
Fig.10 Frequency response of single-phase MGI-FLL when g varies
和单相系统的频率响应分析类似,三相系统也仅需要利用HTF分块矩阵的中心列来计算频率响应。估测的基波分量、估测的谐波分量以及估测的基波相位的频率响应如图11所示。对于三相系统,考虑到复坐标和实坐标之间的数量关系,由式(61)中所得到的结果
需要再除以2。从图11中可以看出,当g=0时,信号提取不存在频率耦合,基波相位估计中仅存在一条频率耦合路径,即w→ w-wn。此时,信号提取可以用SISO模型描述。当g≠0时,会出现额外的频率耦合路径,且随着g的增加,频率耦合现象愈发显著。
图11 g变化时,三相MGI-FLL的频域响应
Fig.11 Frequency response of three-phase MGI-FLL when g varies
值得一提的是,当输入信号扰动含有多种频率分量时,所提广义小信号模型仍有效。由于小扰动不影响系统的稳态条件,可直接运用小信号模型精确求解各输出变量的响应。对于大信号扰动,鉴于MGI的主要设计目的在于抑制系统中特定频率分量(即h次谐波)对频率估测的影响,幅值较大的频率分量在MGI的设计阶段已配备相应的广义积分器(GI)。因此,大信号扰动在此被视作基波或h次谐波,此时需更新小信号模型中的稳态条件,包括电压幅值Vn1、Vnh以及相位j1、jh,以确保模型的准确性和适用性。本文所提的小信号频域模型实际可以计算任何频率的输入扰动小信号的响应。展示的频率范围被限制在0~±250 Hz,可以更加清晰地展示不同参数(如g)对频率响应的影响。在较低频率范围内,频率响应的变化更为显著,能够更好地反映系统的动态特性。从而为稳定性分析和信号提取精确度提供更为直观的参考。
为验证所提模型的准确性,本文进行了实验验证,实验平台如图12所示。在数字实现中,ROGIs和FLL采用dq坐标系形式,积分器经过离散化处理从而确保ROGIs的谐波频率保持准确。采样频率为20 kHz,这一较高的采样频率使得离散化方法能够逼近连续方法的性能。最终,相关算法在数字信号处理器DSP TMS320F28335上得以实现。针对单相和三相系统两种情况分别进行了测试。
图12 实验平台
Fig.12 Experimental platform
为了使仿真与实验一致,取HTF的阶数为42。MGI-FLL的其他参数设置与仿真参数保持一致。输入的ab信号中扰动信号的幅值设置为0.01(pu),而扰动信号的频率在三次测试中分别取为-10 Hz(对于单相系统等效于10 Hz)、30 Hz和70 Hz。在记录波形数据后,利用Matlab计算每条频率耦合路径的实际增益,并将其与理论增益进行对比分析。三相和单相方法的实验结果分别如图13和图14所示,图中展示了四条主要频率耦合路径的实际增益。
图13 三相MGI-FLL的频域响应测试
Fig.13 Frequency response test of the three-phase MGI-FLL
图14 单相MGI-FLL的频域响应测试
Fig.14 Frequency response test of the single-phase MGI-FLL
由图13和图14可以看出,所提出的模型能够准确预测单相和三相系统中频率耦合路径的增益。少量误差主要源于离散化和噪声的影响。以图13中的三相系统为例,当输入扰动频率为70 Hz时,基波和谐波通道不仅输出70 Hz信号,还输出30 Hz、-30 Hz和110 Hz信号,其中镜像频率耦合分量30 Hz是主要的频率耦合项。然而,当输入扰动频率为-10 Hz时,在谐波信号提取通道中,110 Hz镜像频率耦合信号的幅值小于10 Hz频率耦合分量的幅值。因此,频率耦合路径的相对幅值关系并非固定不变。在单相系统中,当输入扰动频率为70 Hz时,70 Hz信号的幅值小于130 Hz频率耦合分量的幅值,这表明在频率响应中,频率耦合可能占据主导地位。
为全面评估MGI-FLL方法在不同工况和干扰条件下的准确性与快速性,本文设计了两组实验,首先在实验中以基波为背景,注入了-1次谐波(基波负序)。通过MGI-FLL方法对负序谐波和频率进行提取。实验中采用开关切换的方式,当开关未使能,系统不注入谐波;而当开关使能时,系统注入幅值为0.3 V的负序谐波。
示波器中的四个通道分别进行了预处理:第一条通道用于监测检测到的频率。第二个通道记录输入的a分量,第三个通道记录输入的b分量,第四个通道记录MGI-FLL估测的负序谐波b分量。实验结果如图15所示,实验结果显示,当开关切换后,经MGI-FLL方法能准确提取幅值为0.3 V的负序谐波,且系统经过26.1 ms后恢复稳态。这表明所提方法在负序谐波和频率提取方面具有较高的准确性和快速性。在进一步的实验中,本文以基波为背景,注入了-1次谐波,并通过开关改变系统所设置的频率。利用MGI-FLL方法进行频率检测及谐波估测。实验中,负序谐波的幅值被设定为0.3 V。当切换开关使能时,系统的基波频率从原来的50 Hz突变为51 Hz。实验结果如图16所示。结果显示,当开关使能后,MGI-FLL检测的频率从原来的50 Hz准确改变为51 Hz,且估测的负序谐波幅值为0.3 V。这表明,采用MGI-FLL方法可以实现对频率的准确检测和对谐波的准确估测。该方法的动态响应时间为23.8 ms。
图15 MGI-FLL方法在谐波干扰条件下的频率检测与谐波信号估测性能
Fig.15 Frequency detection performance of the MGI-FLL method under harmonic interference conditions
图16 MGI-FLL方法在基波频率突变条件下的频率检测与谐波估测性能
Fig.16 Frequency detection performance of the MGI-FLL method under fundamental frequency sudden change
通过上述两个实验,本文验证了MGI-FLL方法在处理频率突变和负序谐波时的准确性和快速性。第一个实验展示了在注入负序谐波时,MGI-FLL能够快速且准确地提取谐波和频率信息。第二个实验进一步验证了在基波频率突变的情况下,MGI-FLL依然能够准确地检测频率并估测谐波。这两个实验结果表明,MGI-FLL方法不仅在静态条件下表现出色,而且在动态条件下也具有良好的性能。
本文提出了一种适用于单/三相系统GFI-SM的广义小信号MGI-FLL模型,建立了考虑任意频率扰动和不同系统类型的MGI-FLL的时域广义小信号模型,利用了LTP和HTF模型对所提时域模型进行稳定性分析和信号提取精确度评估,理论分析和结果验证得到的结论如下:
1)所提MGI-FLL模型具有高度的通用性和模块化特征,不仅涵盖了单相和三相系统,还对谐波、直流和不平衡分量的估测方法进行了统一建模。为逆变器的同步控制提供了一个坚实的理论基础。
2)基于LTP模型的稳定性分析方法,考虑任意频率扰动信号的MGI-FLL模型能够在保持稳态频谱约束的同时,突破性地将暂态小信号扰动的频率范围扩展至全频域,提升了模型的适用性。
3)通过推导频域下MGI-FLL的HTF模型,本文额外考虑了输入与输出信号、FFUP与HFUP之间的频率耦合,这种精细化的模型设计有助于提升信号提取的准确性和模型的适用性,同时也揭示了不同输入、输出数量模型之间的内在关系。频率耦合作为模型精细化程度的一个重要体现,进一步增强了模型对负载对复杂工况的适应能力。
未来的研究将致力于拓展本文所提模型的适用范围,将其应用于更加复杂的跟网型逆变器系统。研究将探索如何将该模型与其他先进的控制策略相结合,以实现更高效、更稳定的逆变器同步控制。此外,还将针对多次谐波和复杂工况下的系统行为进行更深入的研究,以进一步完善和扩展模型的理论体系。
参考文献
[1] 杨祺铭, 李更丰, 别朝红, 等. 记及间歇性新能源的弹性城市电网输配电协同供电方法[J]. 高电压技术, 2023, 49(7): 2764-2774.
Yang Qiming, Li Gengfeng, Bie Zhaohong, et al. Coordinated power supply restoration method of resilient urban transmission and distribution networks considering intermittent new energy[J]. High Voltage Engineering, 2023, 49(7): 2764-2774.
[2] 秦玉文, 段超, 杨祺铭, 等. 输电网强度大幅变化下的主动配电网静态电压稳定约束研究[J/OL]. 中国电机工程学报, 2024, 1-13[2025-05-13]. https://link. cnki.net/urlid/11.2107.tm.20241223.1009.004.
Qin Yuwen, Duan Chao, Yang Qiming, et al. Research on steady state voltage stability constrains for active distribution network under large variation in transmission grid strength[J/OL]. Proceedings of the CSEE, 2024, 1-13[2025-05-13]. https://link.cnki. Net/urlid/11.2107.tm.20241223.1009.004.
[3] 刘进军. 电能系统未来发展趋势及其对电力电子技术的挑战[J]. 南方电网技术, 2016, 10(3): 78-81.
Liu Jinjun, Future Trends of power systems and their challenges to power electronics[J]. Southern Power System Technology, 2016, 10(3): 78-81.
[4] Wang Xiongfei, Taul M G, Wu Heng, et al. Grid- synchronization stability of converter-based resources- an overview[J]. IEEE Open Journal of Industry Application, 2020, 1: 115-134.
[5] 唐宇, 胡光, 刘永江, 等. 基于特征子系统的跟网/构网设备混合外送系统小干扰稳定性分析方法[J]. 电工技术学报, 2025, 40(9): 2766-2779.
Tang Yu, Hu Guang, Liu Yongjiang, et al. Small signal stability analysis method for hybrid grid following/grid forming delivery systems based on eigen-subsystems[J]. Transactions of China Elec- trotechnical Society, 2025, 40(9): 2766-2779.
[6] 李红, 梁军杨, 王振民, 等. 跟网型变换器的小扰动同步稳定机理分析与致稳控制[J]. 电工技术学报, 2024, 39(12): 3802-3815.
Li Hong, Liang Junyang, Wang Zhenmin, et al. Small signal synchronization stability analysis and improved control strategy for grid following converter[J]. Transactions of China Electrotechnical Society, 2024, 39(12): 3802-3815.
[7] 郝艺, 周瑀涵, 刘晨曦, 等. 含跟网型储能的新能源多馈入系统小扰动电压支撑强度分析[J]. 电工技术学报, 2024, 39(11): 3569-3580.
Hao Yi, Zhou Yuhan, Liu Chenxi, et al. Small disturbance voltage support strength analysis for renewable multi-infeed system with grid following energy storage[J]. Transactions of China Electro- technical Society, 2024, 39(11): 3569-3580.
[8] 林鸿彬, 葛平娟, 徐海亮, 等. 异构逆变器并联系统改进Gershgorin圆稳定性判据及其多维谐振特性分析[J]. 电工技术学报, 2024, 39(8): 2265-2280.
Lin Hongbin, Ge Pinjuan, Xu Hailiang, et al. Improved Gershgorin-circuit stability criterion and multi-dimensional resonance characteristics analysis for heterogeneous inverter paralleled system[J]. Transactions of China Electrotechnical Society, 2024, 39(8): 2265-2280.
[9] Li Yitong, Gu Yunjie, Timothy C. Green, revisiting gird-forming and grid-following inverters: a duality theory[J]. IEEE Transactions on Power Systems, 2022, 37(6): 4541-4554.
[10] 赫玉莹, 杜夏恒, 张犁, 等. 基于内/外部稳定性的构网型逆变器中高频谐振机理分析与控制优化[J]. 电工技术学报, 2025, 40(10): 3260-3273.
He Yuying, Du Xiaheng, Zhang Li, et al. Mid/high frequency resonance mechanism and control opti- mization for grid forming inverters from internal and external stability perspective[J]. Transactions of China Electrotechnical Society, 2025, 40(10): 3260- 3273.
[11] Abdullah M. Abusorrah, Hamed Sepahvand, Saeed Golestan. A SOGI-FLL-based type-3 synchronization system for single-phase grid-connected appli- cations[J]. IEEE Transactions on Industrial Elec- tronics, 2025, 72(4): 3562-3574.
[12] Zhang Xueguang, Xia Danni, Fu Zhichao, et al. An improved feedforward control method considering PLL dynamics to improve weak grid stability of grid connected inverters[J]. IEEE Transactions on Industry Application, 2018, 54(5): 5143-5151.
[13] Wang Rui, Sun Qinyue, Ma Dazhong, et al. Line impedance cooperative stability region identification method for grid-tied inverters under weak grids[J]. IEEE Transactions on Smart Grid, 2020, 11(4): 2856-2866.
[14] Golestan S, Guerrero J M, Vasquez Juan C, et al. Control design of grid synchronization systems for grid-tied power converters using symmetrical optimum method: acomprehensivereference[J]. IEEE Transactions on Power Electronics, 2023, 38(11): 13650-13673.
[15] Akhavan A, Golestan S, Vasquez Juan C, et al. Control and stability analysis of current-controlled grid-connected inverters in asymmetrical grids[J]. IEEE Transactions on Power Electronics, 2022, 37(12): 14252-14264.
[16] Gautam S, Xiao Weidong, Ahmed H, et al. Enhanced single phase phase locked loop based on complex- coefficient filter[J]. IEEE Transactions on Instru- mentation and Measurement, 2022, 71: 1-8.
[17] Hackl C M, Landerer M. A unified method for generic signal parameter estimation of arbitrarily distorted single-phase grids with DC-offset[J]. IEEE Open Journal of the Industrial Electronics Society, 2020, 1: 235-246.
[18] Zhang Zhen, Guo Mengjie, Lu Yong, et al. An adaptive enhanced complex-coefficient filter based PLL in variable frequency grid[J]. IEEE Transactions on Power Electronics, 2024, 39(4): 3950-3955.
[19] Lin Zhiyu, Su Mei, Lin Jianheng, et al. Asymmetric synchronous reference frame-based frequency coupling suppression control for single phase grid-tied stability assessment of single phase grid-tied converters[J]. IEEE Transactions on Industrial Electronics, 2024, 71(12): 15704-15713.
[20] Saeed Golestan, Josep M Guerrero, Abdulah M Abusorrah, et al. LTP modeling and stability assessment of multiple second order generalized integrator-based signal processing algorithms and their close variants[J]. IEEE Transactions on Power Electronics, 2022, 37(5): 5062-5077.
[21] Saeed Golestan, Josep M Guerrero, Juan C Vasque, et al. Linear time periodic modeling, examination, and performance enhancement of grid synchronization systems with DC component rejection/estimation capability[J]. IEEE Transactions on Power Electonics, 2021, 36(4): 4237-4253.
[22] Saeed Golestan, Josep M Guerrero, Juan C Vasque, et al. Harmonic linearization and investigation of three phase parallel structured signal decomposition algo- rithms in grid connected applications[J]. IEEE Transactions on Power Electronics, 2021, 36(4): 4198-4213.
[23] Saeed Golestan, Josep M Guerrero, Juan C Vasque, et al. Standard SOGI-FLL and its close variants: precise modeling in LTP framework and determing stability region/robustness metrics[J]. IEEE Transactions on Power Electronics, 2021, 36(1): 409-422.
[24] Saeed Golestan, EsmaeilEbrahimzadeh, Wen Bo, et al. DQ-frame impedance modeling of three phase grid- tied voltage sourceconverters equipped with advanced PLLs[J]. IEEE Transactions on Power Electronics, 2021, 36(3):3524-3539.
[25] Zheng Haoyang, Liu Zeng, An Ronghui, et al. Discrete multiple second order generalized integrator with low pass filters and frequency locked loop for dc rejection[J]. IEEE Transactions on Power Electronics, 2022, 37(10): 11814-11827.
[26] 颜湘武, 张伟超, 崔森, 等. 基于虚拟同步机的电压源逆变器频率响应时域特性和自适应参数设计[J]. 电工技术学报, 2021, 36(增刊1): 241-254.
Yang Xiangwu, Zhang Weichao, Cui Sen, et al. Frequency response characteristics and adaptive parameter tunning of voltage sourced converters under VSG control[J]. Transactions of China Electro- technical Society, 2021, 36(S1): 241-254.
[27] 张剑云, 李明节. 新能源高渗透的电力系统频率特性分析[J]. 中国电机工程学报, 2020, 40(11): 3498- 3507.
Zhang Jianyun, Li Mingjie. Analysis of the frequency characteristic of the power systems highly penetrated by new energy generation[J]. Proceedings of the CSEE, 2020, 40(11): 3498-3507.
[28] Liao Yichen, Henrik Sandberg, Wang Xiongfei. Vector-norm based truncation of harmonic transfer functions in black-box electronic power systems[J]. IEEE Open Journal of the Industrial Electronics Society, 2022, 3: 163-173.
[29] Lin Xianfu, Wen He, Yu Jingrong, et al. Adverse influence of PLL on the bus voltage feed forward with band pass filter under harmonic and unbalance condition[J]. IEEE Transactions on Power Delivery, 2021, 36(2): 1233-1236.
[30] Saeed Golestan, Josep M. Guerrero, Yusuf Al-Turki, et al. Impedance modeling of three phase grid connected voltage source converters with frequency locked loop based synchronization algorithms[J]. IEEE Transactions on Power Electronics, 2021, 37(4): 4511-4525.
[31] Christoph M. Hackl, Markus Landerer. Modified second-order generalized integrators with modified frequency locked loop for fast harmonics estimation of distorted single-phase signals[J]. IEEE Transa- ctions on Power Electronics, 2020, 35(3): 3298-3309.
[32] Abdulahi Bamigbade, Vinod Khadkikar. Frequency estimators for SOGI FLL: modeling, design, and equivalence for FLL advancements[J]. IEEE Transa- ctions on Instrumentation and Measurement, 2022, 71: 1-12.
[33] Li Yitong, Gu Yunjie, Timothy C. Green, Interpreting frame transformations in ac systems as diagonali- zation of harmonic transfer functions[J]. IEEE Transactions on Circuits and Systems I: Regular Papers, 2020, 67(7): 2481-2491.
[34] Chen Feifan, Sei Zhen Khong, Lennart Harnefors, et al. An extended frequency-domain passivity theory for MIMO dynamics specifications of voltage-source inverters[J].IEEE Transactions on Power Electronics, 2025, 40(2): 2943-2957.
[35] 周可慧, 符有泽, 陈燕东, 等. 多光储自同步电压源逆变器协调控制方法[J]. 电源学报, 2025, 23(4): 242-254.
Zhou Kehui, Fu Youze, Chen Yandong, et al. Cooeprative control method for PV-storage self- synchronized voltage source inverters[J]. Journal of Power Supply, 2025, 23(4): 242-254.
[36] 刘洋, 林英明, 余达, 等. 构网型虚拟同步化光储并网系统的频率支撑策略[J]. 电源学报, 2025, 23(3): 152-161.
Liu Yang, Lin Yingming, Yu Da, et al. Frequency support strategy of grid-connected virtual syn- chronous optical storage systems[J]. Journal of Power Supply, 2025, 23(3): 152-161.
[37] 黄全全, 王伟, 邓小军, 等. 构网型光伏自同步电压源控制策略研究[J]. 电力电子技术, 2023, 57(4): 87-90.
Huang Quanquan, Wang Wei, Deng Xiaojun, et al. Research on control strategy of grid-forming photo- voltaic self synchronizing voltage source[J]. Power Electronics, 2023, 57(4): 87-90.
[38] 陈哲, 朱淼, 侯川川, 等. 无功功率同步型逆变器的并网特性研究[J]. 电力电子技术, 2024, 58(10): 1-3.
Chen Zhe, Zhu Miao, Hou Chuanchuan, et al. Resarch on grid integration characteristics of reactive power synchronization inverter[J]. Power Electronics, 2024, 58(10): 1-3.
[39] 程亮, 段彭洋, 苏宏帮, 等. 弱连接VSC的PLL同步失稳特性分析及补偿控制策略[J]. 电气传动, 2025, 55(6): 25-35.
Cheng Liang, Duan Pengyang, Su Hongbang, et al. Analysis of PLL synchronization instability characteri- stics and compensation control strategy for weak grid connected VSC[J]. Electric Drive, 2025, 55(6): 25-35.
[40] 尹翔, 张效俊, 冯鑫佳, 等. 基于构网型变流器频率控制策略应用[J]. 电气传动, 2024, 54(11): 11-18.
Yin Xiang, Zhang Xiaojun, Feng Xinjia, et al, Application of frequency control strategy based on grid-forming coverter[J]. Electric Drive, 2024, 54(11): 11-18.
Abstract The existing small-signal models of grid following inverters synchronization methods (GFI-SM) cannot meet the requirements of stability and frequency response analyses and lack generality. This paper proposes a general small-signal model for a multiple generalized integrator-frequency-locked loop (MGI-FLL).
First, the proposed MGI-FLL unified structure integrates single-phase and three-phase methods, various forms of generalized integrator (GI) branches, and different types of frequency estimation algorithms. Based on the unified structure, a time-domain model is derived to predict the system's dynamics under various disturbances and to analyze the stability of the method. Although the existing linear time-periodic (LTP) model can accurately analyze the method's stability, it cannot analyze its frequency response. Furthermore, the frequency-domain model is derived from the time-domain model to characterize the frequency response, thereby addressing the fixed input-disturbance frequency in the existing LTP model. According to the system's frequency response, the FLL gain and the steady-state harmonic-amplitude value significantly affect the strength of frequency coupling. The multiple-input multiple-output (MIMO) model of the three-phase method can be simplified to a two-input two-output (TITO) model by ignoring harmonic-frequency updates, which is equivalent to the existing dq-frame model. Further ignoring the fundamental frequency update, it can be simplified to a single-input single-output (SISO) model. That is, the traditional complex-coefficient transfer function model. The MIMO model of the single-phase method can be simplified to an SISO model by ignoring frequency updates, yielding the traditional transfer-function model. Finally, the correctness of the frequency-domain model is verified.
The following conclusions can be drawn from the simulation analysis. (1) Its generality and modularity characterize the proposed model. It encompasses both single-phase and three-phase methods, as well as methods for estimating harmonics, DC components, and unbalance components. These methods have been modeled in a unified manner. Moreover, the proposed model can include any number of parallel modules. (2) The proposed model follows the general approach of linearization for LTP models and assumes that the input signal contains arbitrary perturbation frequencies. Compared with existing LTP models, the proposed model maintains accuracy in stability analysis. It can predict the system's frequency response and avoid unnecessary input ports, significantly simplifying the model structure. (3) By deriving the HTF model of the MGI-FLL in the frequency domain, this paper takes into account the frequency coupling between input and output signals, as well as between the fundamental frequency updating path (FFUP) and the harmonic frequency updating path (HFUP). This refined model design improves signal extraction accuracy and the model's applicability. Frequency coupling, as an important aspect of model refinement, further enhances the model's adaptability to complex load conditions.
keywords:Grid following inverters synchronization method, generalized small signal model, multiple generalized integrator frequency-locked loop, harmonic transfer function
DOI: 10.19595/j.cnki.1000-6753.tces.250518
中图分类号:TM464
国家自然科学基金资助项目(52077174)。
收稿日期 2025-03-29
改稿日期 2025-05-13
冯楷文 男,1997年生,博士研究生,研究方向为新能源发电与跟网型LCL逆变器控制、并联逆变器环流抑制及同步技术等。E-mail: fengkaiwen@stu.xjtu.edu.cn
刘进军 男,1971年生,博士,教授,研究方向为电力电子变流器与电子化电能系统的建模、控制、设计方法及可靠性评估与监测等。E-mail: jjliu@mail.xjtu.edu.cn(通信作者)
(编辑 郭丽军)