摘要 针对传统多电平拓扑推演方法需要使用较多的全控器件才能满足多电平输出的不足问题,提出一种基于分裂倍增式的多电平拓扑构造方法。该方法以三电平拓扑中交流侧全桥或半桥作为根节点,采用新型双向开关管作为构造单元,以分裂倍增原则进行搭建可得到多电平输出的效果。所得多电平拓扑采用较少的全控器件即可实现多电平功能,整体采用模块化构造,易于电平数扩展。为便于理解,该文以构造三种新型多电平拓扑电路为例,对所提多电平拓扑构造方法进行详细说明。另外对所推导的多电平拓扑电路进行工作原理及建模分析,同时对拓扑器件数量、损耗进行对比分析,进而说明该拓扑构造方法的优越性。为更好地推广该拓扑电路的应用,设计统一多电平调制方法和直流侧电容平衡控制器,通过搭建1 kW/400 V实验样机,验证分裂倍增式多电平拓扑构造方法的有效性以及所得电路的应用价值。
关键词:多电平变换器 分裂倍增式 拓扑构造 统一调制技术
多电平变换器因具有器件应力低、输出谐波含量小和系统效率高等优势而备受工业界和学术界的关注,并被广泛应用于可再生能源与分布式能源应用场合,如新能源车电驱动系统、微电网电能优化及海上风电并网等[1-3]。
近年来,国内外学者对多电平变换器进行了大量研究,同时提出了许多拓扑结构[4-6]。多电平变换器的构造方式主要有中点钳位(Neutral Point Clamped, NPC)型、飞跨电容(Flying Capacitor, FC)型和级联H桥(Cascaded H-Bridge, CHB)型三 种[7-9]。NPC型构造方式因具有拓扑结构简单且易于实现等优点,成为目前使用最广泛的多电平实现方式之一。但传统NPC型多电平变换器中钳位二极管的使用数量会随着输出电平数的增多而急剧增 加[10]。FC型构造方式使用电容作为钳位元件以实现多电平,但随着电平数的增加,需要钳位的电容数量增多,且电容电压均衡难以实现[11]。CHB型构造方式采用模块化设计,使得电平数更容易扩展,但CHB型多电平变换器中隔离变压器绕组数量会因电平数的增多而大幅增加,导致系统控制复杂度加剧[12]。
除上述三种经典的多电平变换器,一些新兴构造方式的多电平变换器,如模块化多电平变换器(Modular Multilevel Converter, MMC)、堆叠式多电平变换器(Stacked Multicell Converter, SMC)以及基于经典拓扑改进的有源中性点钳位型变换器(Active Neutral Point Clamped converter, ANPC),因具有优异的性能而受到越来越多研究人员的关注与重视。MMC因采用模块化结构而具有良好的扩展性,且每个子模块间相互独立,提高了运行可靠性[13-14]。SMC基于飞跨电容拓扑进行结构创新,通过单元堆叠技术有效降低钳位器件使用量,并采用分层电荷平衡策略改进了电容电压均衡特性。ANPC作为经典NPC拓扑的改进型结构,通过引入有源开关器件替代传统NPC中的钳位二极管,有效地改善了电压平衡能力并降低了开关损耗。但MMC存在较低电平下开关器件使用较多的问题。SMC和ANPC保留了FC优点,且在相同输出电平数条件下,大大地降低了钳位器件的使用数量[15-16]。但随着电平数的增多,SMC和ANPC仍需要较多的钳位电容,导致硬件成本和控制复杂度增加。上述新型多电平拓扑均由基本变换单元经过组合连接构成,为本文所研究多电平拓扑构造方式提供了参考。
综合上述多电平拓扑构造方式,本文提出一种基于分裂倍增式的多电平拓扑构造方法,该方法以分裂倍增原则增加构造单元的使用数量可实现输出电平数的增加,同时采用不同的根节点进行构造可得到不同类型的多电平拓扑。首先,详细阐述所提构造方法的具体实现过程,并对所构造的三种新型多电平拓扑进行等效数学模型搭建和拓扑对比等工作;其次,以四电平拓扑为例,对其进行工作原理、开关管电压应力、功率损耗及调制方法等分析;最后,搭建输入220 V/50 Hz,输出1 kW/400 V的实验样机,验证所提构造方法的正确性和所得多电平拓扑的可行性。
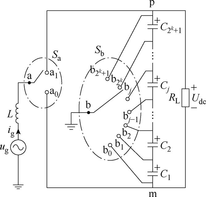
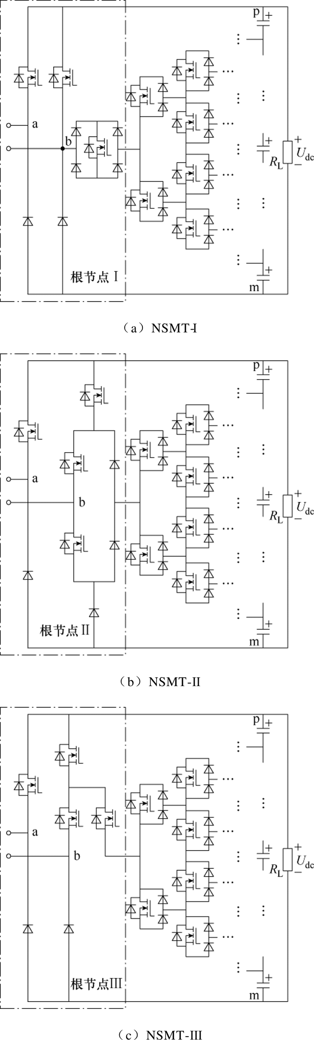
本文所提多电平构造方法以单相整流器为应用背景,利用根节点和新型双向开关管进行多电平拓扑推演,具有分裂倍增的特点,构造原则如图1所示。图1中,根节点多采用三电平整流桥臂,采用此方法所得多电平拓扑初始电平数为3,其一次拓展需使用两个构造单元和三个直流侧电容,经过一次拓展可使拓扑输出电平数增加到4。对进行构造过程总结可得,若拓展次数为k,则需要
个构造单元以及
个电容;另外,多电平拓扑输出电平数由拓展次数所决定,若拓展次数为k,则输出电平数为
。
图1 构造原则
Fig.1 Constitution principle
图2a为四种常见的双向开关管(Bidirectional Switch, BS)。这四种双向开关均可用作构造单元来进行多电平拓扑构造,但前三种双向开关管含两个全控器件,第四种虽减少了一个全控器件,但增加了二极管的使用数量。若以上述四种双向开关管作为构造单元进行多电平拓扑构建,会增加全控开关器件的使用数量。为此,根据所提构造方式,本文提出异构型双向开关,其由一个开关管和两个二极管组成,如图2b所示;新型双向开关在保证不增加开关器件应力的前提下,有效地减少了器件使用数量。在构建过程中,构造单元有两种连接方式,每种连接方式均有两种工作状态,因而可提供两条电流流通路径,所构建的多电平拓扑如图3所示。为验证所提多电平拓扑构造方法的有效性,便于对构造方法的理解,采用三种异构型根节点进行多电平拓扑的构建,所得多电平拓扑如图4所示。根据所采用根节点的不同,分别将三个电路定义为新型单相多电平拓扑(Novel Single-phase Multilevel Topology, NSMT),即NSMT-Ⅰ、NSMT-Ⅱ和NSMT-Ⅲ。
图2 传统双向开关管及新型双向开关管
Fig.2 Traditional bidirectional switch and novel bidirectional switch
图3 多电平拓扑
Fig.3 Multilevel topology
图4 三种新型多电平拓扑
Fig.4 Three novel multilevel topologies
为更好地分析所提多电平拓扑的结构特点,对NSMT-Ⅰ、NSMT-Ⅱ和NSMT-Ⅲ进行统一等效开关数学模型构建。图5为输出
(k为正整数)电平时,所提多电平拓扑的统一等效开关数学模型。为便于分析,假设直流侧各电容电压恒定且相等,开关器件为理想器件,不考虑换相过程。所提多电平拓扑包含一个两电平桥臂和一个多电平桥臂。对于所提多电平拓扑的两电平桥臂,其仅有两种开关状态,定义为1和0,该桥臂的开关函数Sa为
(1)

图5 统一等效开关数学模型
Fig.5 Unified equivalent mathematical mode
同理,可用开关函数Sb表示所提多电平桥臂的工作状态,开关函数Sb的表达式为
(2)
式中,j=1, 2,…,
。根据式(1)、式(2)以及图5所示等效开关数学模型,可知所提多电平拓扑的端点a和b相对于参考点N的电压uaN和ubN满足
(3)
(4)
式中,Udc为直流侧输出电压。
桥臂输出电压uab可表示为
(5)
为便于理解所提多电平拓扑的工作原理,同时验证新型多电平拓扑的正确性,简化分析过程,以新型单相四电平拓扑(Novel Single-phase Four- level Topology, NSFT)为例进行分析。基于图4所示三种多电平拓扑,得到图6所示的三种新型四电平电路,分别将其命名为NSFT-Ⅰ、NSFT-Ⅱ和NSFT-Ⅲ。在工作原理分析时,设定所有元器件为理想元器件,忽略寄生参数影响;电感电流工作在连续模式;电容电压平衡;输出直流电压稳定。
图6 三种新型四电平拓扑
Fig.6 Three novel four-level topology
在理想工作条件下,NSFT-Ⅰ在一个工频周期内存在八种工作模态,其中在正、负半周期内各包含四种模态。为清晰地展示NSFT-Ⅰ的工作过程,图7给出其工作模态运行过程。当NSFT-Ⅰ运行时,其八种工作模态按照既定规律进行转换,桥臂电压uab随之变化。同时基于工作模态进行开关状态描述,表1给出了NSFT-Ⅰ的八种工作模态的具体开关脉冲分配及桥臂电压,其中“0”和“1”分别表示开关导通和关断。
图7 NSFT-Ⅰ工作过程
Fig.7 The working process of NSFT-Ⅰ
表1 NSFT-Ⅰ开关脉冲分配
Tab.1 Switch pulse distribution of NSFT-Ⅰ
模态S1~S5ieifuabM1M2M3 10000000Udc111 2001000ig2Udc/3011 300110ig0Udc/3001 401000000000 510000000000 6001010ig-Udc/3001 700100ig0-2Udc/3011 80000000-Udc111
基于图7和表1给出NSFT-Ⅰ的工作总括,每个工作模态对应的电流路径如图8所示,NSFT-Ⅰ的八种工作模态分析如下:

图8 NSFT-Ⅰ的八种工作模态
Fig.8 Eight operating modes of NSFT-Ⅰ
(1)模态1(正半周期):此时所有开关管关断,电容C1、C2和C3都处于充电状态,桥臂电压uab=UC1+UC2+UC3=Udc,UC1、UC2、UC3分别为电容C1、C2、C3两端的电压。此模态的开关状态见表1中模态1,电流路径如图8a所示。
(2)模态2(正半周期):此时仅开关管S3导通,电容C3放电,电压源ug与L一同向电容C1和C2充电,桥臂电压uab=UC1+UC2=2Udc/3。此模态的开关状态见表1中模态2,电流路径如图8b所示。
(3)模态3(正半周期):此时开关管S3和S4导通,其余开关管关断,电容C2和C3放电,电容C1充电,桥臂电压uab=UC1=Udc/3。此模态的开关状态见表1中模态3,电流路径如图8c所示。
(4)模态4(正半周期):此时仅开关管S2导通,电感L储能,电容C1、C2和C3一同对负载RL供电,桥臂电压uab=0。此模态的开关状态见表1中模态4,电流路径如图8d所示。
(5)模态5(负半周期):此时仅开关管S1导通,电压源ug对电感L充电,电容C1、C2和C3一起向负载RL供电,桥臂电压uab=0。此模态的开关脉冲分配见表1中模态5,电流路径如图8e所示。
(6)模态6(负半周期):此时开关管S3和S5导通,其余开关管关断,电容C3充电,电容C1和C2放电,桥臂电压uab=-UC3=-Udc/3。此模态的开关状态见表1中模态6,电流路径如图8f所示。
(7)模态7(负半周期):此时开关管S3导通,电压源ug与电感L一起向电容C2和C3充电,电容C1放电,桥臂电压uab=-UC2-UC3=-2Udc/3。此模态的开关状态见表1中模态7,电流路径如图8g所示。
(8)模态8(负半周期),此时所有开关管关断,电容C1、C2和C3都处于充电状态,桥臂电压uab=-UC1-UC2-UC3=-Udc。此模态的开关状态见表1中模态8,电流路径如图8h所示。
2.1节基于工作模态和开关管脉冲分配分析了NSFT-Ⅰ的工作原理,可采用相似的方法自行分析出NSFT-Ⅱ和NSFT-Ⅲ的工作过程。NSFT-Ⅱ和NSFT-Ⅲ的电路结构虽有差异,但它们的开关脉冲分配相同,这意味着NSFT-Ⅱ和NSFT-Ⅲ的工作过程类似。为便于验证,以NSFT-Ⅱ为例给出其开关脉冲分配情况,见表2,其关键工作仿真波形如图9所示。
表2 NSFT-Ⅱ开关脉冲分配
Tab.2 Switch pulse distribution of NSFT-Ⅱ
模态S1~S6ieifuabM1M2M3 100000000Udc111 20010000ig2Udc/3011 3001010ig0Udc/3001 4010000000000 5100000000000 60001010ig-Udc/3001 7000100ig0-2Udc/3011 800000000-Udc111
图9 NSFT-Ⅱ电流电压和开关脉冲仿真波形
Fig.9 Simulation waveforms of input current, input voltage, bridge-arm voltage and switch pulse of NSFT-Ⅱ
为进一步对所提新型多电平拓扑的元器件数量进行评估,分别将拓展层数为1(输出四电平)和拓展层数为k(k>1,且k为整数)时的拓扑NSFT-Ⅰ、NSFT-Ⅱ、NSFT-Ⅲ与文献[17-19]中多电平变换器拓扑进行对比。
当拓展层数为1时,拓扑NSFT-Ⅰ、NSFT-Ⅱ、NSFT-Ⅲ与文献[17-19]的四电平拓扑对比,结果见表3。为直观展现拓扑所用元器件数量对比情况,图10给出了各四电平拓扑所用各类元器件数量对比。由表3和图10可知,本文所提四电平拓扑NSFT-Ⅰ、NSFT-Ⅱ、NSFT-Ⅲ开关器件最大电压应力均为Udc,但所提拓扑仅在根节点处两个开关电压应力为Udc,且随着电平数的扩展,根节点处开关的电压应力不变,构造单元的开关管电压应力会逐步降低至Udc/(2k+1)。从“关键电容容值”一列来看,新型拓扑关键电容容值均为990 mF,对比文献[17-18],容值明显更小,即便与文献[19]电容容值接近,但所提拓扑从器件数量与电容容值综合考量,新型拓扑的器件数量明显更少,且本文所提四电平拓扑中无钳位电容的使用,降低了控制系统设计的复杂难度。
表3 各四电平拓扑所用功率元器件数量、关键参数对比
Tab.3 Comparison of the number of devices and key parameters used in each four-level topology
拓扑开关管二极管电容总元器件数关键电容容值/mF开关器件最大电压应力 NSFT-Ⅰ5103183×990Udc NSFT-Ⅱ683173×990Udc NSFT-Ⅲ663153×990Udc 文献[17]1503182×2 200Udc 文献[18]1225193×3 000Udc 文献[19]1633223×996Udc
图10 四电平拓扑器件数量对比
Fig.10 Comparison of the number of four-level topology devices
当拓展层数为k,即输出电平数为2k+2时,将所提多电平拓扑NSMT-Ⅰ、NSMT-Ⅱ、NSMT-Ⅲ与传统二极管钳位型多电平拓扑(Diode Clamped Multilevel Topology, DCMT)[20]、传统飞跨电容型多电平拓扑(Flying Capacitor Multilevel Topology, FCMT)[21]以及文献[22]所提一种通用多电平拓扑(Generalized Multilevel Topology, GMT)进行对比,结果见表4。由表4可知,DCMT、FCMT以及GMT所需总元器件数的最高幂指数分别为2k、2k-1和2k+1,相比之下,本文所提四种无桥多电平拓扑所需总元器件数的最高幂指数降为k,这意味随着输出电平数的增加,相较于DCMT、FCMT和GMT,所提三种多电平拓扑的元器件数量将显著减少。
表4 输出2k+2电平时各多电平拓扑所用功率元器件数量对比
Tab.4 Comparison of device number of different multilevel topologies when outputting 2k+2 levels
器件NSMT-ⅠNSMT-ⅡNSMT-ⅢDCMTFCMTGMT 开关管 二极管00 飞跨电容0000 直流侧电容 总器件数
由表4可知,在所提三种多电平拓扑中,NSMT-Ⅰ的总元器件数最多,为直观地展现与其他多电平拓扑的元器件数量对比情况,选择具有代表性的NSMT-Ⅰ与DCMT、FCMT、GMT进行比较,结合表4可看出,当k=2时,即当电平数为6时,NSMT-Ⅰ元器件数量略高于其他三种多电平拓扑。然而当
时,即当电平数大于或等于10时,相较于其他三种多电平拓扑,NSMT-Ⅰ元器件数量最少,且随着电平数的增加,NSMT-Ⅰ器件数量优势会更加显著,极大地减小了变换器的体积。
本文所提四电平变换器的功率损耗主要由开关管损耗PS、二极管损耗PD、电容损耗PC以及电感损耗PL组成。开关管损耗PS包括通态损耗PS,con和开关损耗PS,sw,计算公式分别为
(6)
(7)
式中,IS,rms为开关管电流有效值;rds为开关管通态电阻;US,ds为开关管漏-源极间最大电压;IS,avg为开关管电流平均值;tf为开关管导通与关断时间总和;fs为开关频率。
二极管损耗主要为正向导通损耗,即
(8)
式中,VF为正向导通压降;ID,avg为二极管电流平均值。
电容损耗主要由电容等效串联电阻(Equivalent Series Resistance, ESR)产生,计算公式为
(9)
式中,IC,rms为电容电流有效值;RES为等效串联 电阻。
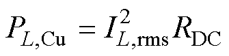
电感损耗PL包括铜损PL,Cu与铁损PL,Fe,计算公式分别为
(10)
(11)
式中,IL,rms为电感电流有效值;RDC为直流电阻;f为电源频率;B为最大磁感应强度;Ve为磁心体积。
本文所提四电平变换器拓扑中开关管所用型号为IRFP460PBF,二极管型号为SDUR1040,单电容等效串联电阻RES=0.74 W,电感磁性型号为KS184125。根据式(6)~式(11)分别计算在不同输出功率下NSFT-Ⅰ、NSFT-Ⅱ、NSFT-Ⅲ的功率损耗及效率,并与文献[23]所提四电平拓扑进行对比,结果如图11所示。由图11可知,在输出功率为0.4~1.0 kW时,本文所提四电平拓扑的功率损耗均小于文献[23]所提四电平拓扑。
图11 损耗与效率分析
Fig.11 Loss analysis and efficiency analysis
本文所提三种新型单相四电平变换器采用载波层叠调制技术的原理如图12所示。调制过程包括三部分:逻辑比较、模态选择和脉冲分配。在逻辑比较部分,正弦调制信号vref分别与六路高频载波信号vc1~vc6进行比较生成六路方波信号。所生成的六路方波信号经过相应的逻辑运算后乘以一定的增益,然后叠加生成七电平梯形波信号Vt,该梯形波信号用作模态选择部分的输入信号。模态选择时,根据梯形波信号Vt的大小选择相对应的工作模态,用作开关管脉冲分配的依据。
下面以NSFT-Ⅰ为例对一个工频周期内开关管脉冲分配状况进行详细说明。当梯形波大小为1时,开关管S1~S5所分配的信号为00000,此时所有开关管关断,NSFT-Ⅰ工作在模态1,桥臂电压uab=Udc;当梯形波大小为2时,开关管S1~S5所分配的信号为00100,此时仅开关管S3导通,NSFT-Ⅰ工作在模态2,桥臂电压uab=2Udc/3;当梯形波大小为3时,开关管S1~S5所分配的信号为00110,此时开关管S3和S4导通,NSFT-Ⅰ工作在模态3,桥臂电压uab=Udc/3;因模态4与模态5所对应的桥臂电压uab均为0,所以将模态4与模态5设计在同一区间。当梯形波大小为4且输入电压ug>0时,开关管S1~S5所分配的脉冲信号为01000,此时开关管S2导通,NSFT-Ⅰ工作在模态4;同理,当梯形波大小为4且输入电压ug<0时,开关管S1~S5所分配的脉冲信号为10000,此时开关管S1导通,NSFT-Ⅰ工作在模态5;当梯形波大小为5时,开关管S1~S5所分配的信号为00101,此时开关管S3和S5导通,NSFT-Ⅰ工作在模态6,桥臂电压uab=-Udc/3;当梯形波大小为6时,开关管S1~S5所分配的信号为00100,此时仅开关管S3导通,NSFT-Ⅰ工作在模态7,桥臂电压uab=-2Udc/3;当梯形波大小为7时,开关管S1~S5所分配的信号为00000,此时所有开关管关断,NSFT-Ⅰ工作在模态8,桥臂电压uab=-Udc。如此循环实现电路的四电平功能。NSFT-Ⅱ和NSFT-Ⅲ的开关管脉冲分配方式类似,不再赘述。
图12 调制原理
Fig.12 Modulation principle
基于统一载波层叠PWM,提出三电容电压平衡控制方法,以实现三个母线电容电压的平衡。将这三个母线电容电压分为两部分进行平衡控制: ①对上、下两个母线电容电压进行控制;②对中间电容电压进行控制。
逻辑值占空比产生过程如图13所示。在表1与图13中定义三个逻辑值M1、M2和M3,当|uref|>vc1时,M1取1,否则,取0;当|uref|>vc2时,M2取1,否则,取0;当|uref|>vc3时,M3取1,否则,取0。通过调制信号|uref|与载波vc1、vc2、vc3比较确定逻辑值M1、M2、M3。d1、d2、d3对应逻辑值在一个载波周期Ts的占空比,由图13可知,0≤|uref|<1时,d1、d2和d3的表达式分别为
(12)

图13 逻辑值占空比产生过程
Fig.13 The generation process of the logical value duty cycle
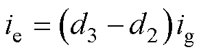
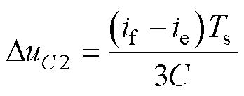
结合图13和表1可知,在一个载波周期内,流入电容中点e的电流ie以及流入电容中点f的电流if的平均值分别为
(13)
(14)
式中,ig为交流输入侧电流。
电流ie和电流if对三个母线电容电压产生的影响分别为
(15)
(16)
(17)
式中,DuC1、DuC2、DuC3分别对应电容电压UC1、UC2、UC3的增量;C为电容值。
将式(13)和式(14)代入式(16)可得
(18)
电容电压平衡控制框图如图14所示,将上、下母线电容电压UC1、UC3的差值与0值作差送入PI控制器输出调节因子f,并将此调节因子与调制信号uref叠加,进而对电流进行调节,以实现上、下母线电容电压平衡。中间电容电压UC2≠Udc/3时,根据不同的|uref|范围可通过式(18)调整占空比d1、d2、d3来调整DuC2。以UC2>Udc/3且0≤|uref|<1为例,由于UC2>Udc/3,所以需要减小DuC2,由式(12)可知,0≤|uref|<1时d1=0,d2=0,d3=|uref|,所以只能调节d3,故此时将d3增加Dd。式(19)为平衡信号Dur1、Dur2、Dur3的产生过程。中间电容电压具体调节过程如下:将UC2与Udc/3的差值经过PI控制器生成调节差量Dd,再通过式(19)得到平衡信号Dur1、Dur2、Dur3,Dur1、Dur2、Dur3与uref的叠加值与载波vc1、vc2、vc3比较,进而调节占空比d1、d2、d3,以使电容电压UC2达到平衡。

图14 电容电压平衡控制框图
Fig.14 Capacitor voltage balancing control diagram
(19)
为验证所提多电平拓扑的有效性,以NSFT-Ⅰ拓扑为例进行实验样机搭建,样机平台如图15所示。开关管型号均为IRFP460PBF,二极管型号均为SDUR1040,输入电压ug为220 V/50 Hz,电感L=2 mH,开关频率为20 kHz,直流侧电容C1、C2和C3均采用3个330 mF电容并联,输出直流电压Udc=400 V。
图15 实验样机平台
Fig.15 Experimental prototype platform
NSFT-Ⅰ额定稳态运行时,其开关管脉冲分配、输入电压/电流波形、输出直流电压波形、桥臂电压波形以及直流侧电容电压波形如图16所示。由图16a和图16b可知,在一个工频周期内,开关管S1和S2高频动作时间所占比例较小,开关管S4和S5高频动作时间所占比例适中,有效地减少了开关损耗。同时开关管S2和S4只在正半周期内运行,开关管S1和S5仅在负半周期运行,与理论分析相一致。由图16c可知,输入电流ig具有较好的正弦度,且与输入电压ug保持同相位,可实现单位功率因数校正。输出直流电压Udc稳定在400 V,与样机设计参数相符合。桥臂电压uab在正半周期有0、Udc/3、2Udc/3、Udc四种不同电压等级,在负半周期有0、-Udc/3、-2Udc/3、-Udc四种不同电压等级,满足四电平拓扑工作特性。由图16d可知,直流侧电容电压UC1、UC2和UC3的大小均在133 V左右,且三者相互间保持动态平衡。
图16 稳态时实验波形
Fig.16 Experimental waveforms of the steady state
图17为实验样机在满载下的输入电流谐波分布情况,测得NSFT-Ⅰ的输入电流ig的总谐波畸变率(Total Harmonic Distortion, THD)为3.7%,符合IEC 61000-3-2标准,满足谐波含量低于5%的要求。
图17 输入电流谐波分析
Fig.17 Input current harmonic analysis
图18为理论上NSFT-Ⅰ的功率损耗分布情况,其中二极管与开关管损耗之和占总损耗的70%以上,与图19中实验样机温度分布相符合。
图18 NSFT-Ⅰ理论损耗分布
Fig.18 Theoretical loss distribution of NSFT-Ⅰ
图19 样机温度分布
Fig.19 Temperature distribution of prototype
图20a为负载RL跳变时,NSFT-Ⅰ输入电压/电流、输出电压和桥臂电压实验波形。当负载由额定160 W突减为80 W时,输入电流ig经过约1.5个工频周期平稳过渡至新稳态,当负载由80 W突增至额定值时,输入电流ig经过约30 ms恢复至额定稳态,在整个跳变过程中,输入电流ig与输入电压ug同相位,输出直流电压Udc有轻微平缓波动。桥臂电压uab在负载跳变过程中,波形略有畸变但基本保持四电平,在负载切回额定值后,桥臂电压uab恢复原有稳定状态。图20b为直流参考电压由400 V跃变至45 V时,系统相关实验波形。由图20b可知,直流参考电压
跃变前,系统处于额定稳态运行状态,在跃变发生后,输出直流电压Udc跟随新的参考值而平稳上升,输入电流ig和桥臂电压uab也相应增大,经过3个工频周期,输出直流电压Udc稳定在450 V,输入电流ig和桥臂电压uab平稳过渡到新的稳定状态。
图20 动态时实验波形
Fig.20 Experimental waveforms of the dynamic state
本文提出一种基于分裂倍增式多电平拓扑构造方法,并构建了三种多电平拓扑。针对所提多电平拓扑,进行了建模分析和拓扑对比研究,并在输出电平数为四的条件下,对所提多电平拓扑的工作原理、开关管电压应力、功率损耗以及调制方法进行了详细分析,最后以NSFT-Ⅰ为例进行了样机搭建和实验验证。主要结论如下:
1)随着输出电平数的增加,相较于传统多电平拓扑,所提多电平拓扑所需元器件数量大幅减少。同时由于采用模块化设计,所提多电平拓扑结构简单,电平数扩展方便。
2)基于所提多电平拓扑设计的载波调制技术简单可靠、易于实现,同时具有良好的通用性和实用价值。
3)对1 kW/400 V样机进行实验验证,结果表明了所提多电平拓扑构造方法的可行性和有效性,以及所设计调制方式的正确性。
参考文献
[1] 何佳伟, 魏杰, 戴魏, 等. 模块化多电平矩阵换流器接入下的工频故障特性分析[J]. 电力系统自动化, 2024, 48(21): 49-60.
He Jiawei, Wei Jie, Dai Wei, et al. Analysis of power frequency fault characteristics of modular multilevel matrix converter connected[J]. Automation of Electric Power Systems, 2024, 48(21): 49-60.
[2] 裘愉涛, 张磊, 宋博阳, 等. 协调功率控制及环流抑制的模块化多电平换流器互联阻尼配置无源控制方法研究[J]. 电源学报, 2024, 22(增刊1): 166- 178.
Qiu Yutao, Zhang Lei, Song Boyang, et al. Research on interconnection and damping assignment passivity- based control method for modular multilevel con- verters to coordinate power control and circulating current suppression[J]. Journal of Power Supply, 2024, 22(S1): 166-187.
[3] 高仕龙, 陈武, 杨勇, 等. 海上风电柔性低频输电换流器控制策略及试验[J]. 电工技术学报, 2024, 39(增刊1): 77-94.
Gao Shilong, Chen Wu, Yang Yong, et al. Control strategy and test of offshore wind flexible low frequency transmission converter[J]. Transactions of China Electrotechnical Society, 2024, 39(S1): 77- 94.
[4] 岳舟, 李浩天, 廖辰星, 等. 一种光伏发电用高增益多电平逆变器[J]. 电力系统保护与控制, 2023, 51(16): 136-148.
Yue Zhou, Li Haotian, Liao Chenxing, et al. High- gain multilevel inverter for photovoltaic power gen- eration[J]. Power System Protection and Control, 2023, 51(16): 136-148.
[5] 马辉, 邹旭, 范家宁, 等. 基于电流路径重构的无桥三电平PFC电路研究[J]. 中国电机工程学报, 2024, 44(10): 4062-4073.
Ma Hui, Zou Xu, Fan Jianing, et al. Research on bridgeless three-level PFC circuit based on current path reconstruction[J]. Proceedings of the CSEE, 2024, 44(10): 4062-4073.
[6] 王锐, 王毅, 杨晗菲, 等. 具有宽运行范围的混合复用型模块化多电平拓扑及其能量均衡控制策略[J]. 电工技术学报, 2025, 40(15): 4740-4754.
Wang Rui, Wang Yi, Yang Hanfei, et al. A hybrid multiplexing MMC topology with wide operating range and energy balance control strategy[J]. Transa- ctions of China Electrotechnical Society, 2025, 40(15): 4740-4754.
[7] 马辉, 曾雨涵, 苗桂喜, 等. 基于PFC电路直流纹波抑制的二阶自适应滑模控制器设计[J]. 中国电机工程学报, 2024, 44(13): 5258-5269.
Ma Hui, Zeng Yuhan, Miao Guixi, et al. Design of second-order adaptive sliding mode controller based on DC ripple suppression of PFC circuit[J]. Pro- ceedings of the CSEE, 2024, 44(13): 5258-5269.
[8] 刘剑锋, 龚仁喜, 张圆圆. 一种非对称级联H桥三相逆变器的功率均衡混合随机脉宽调制方法[J]. 电工技术学报, 2024, 39(24): 7807-7820.
Liu Jianfeng, Gong Renxi, Zhang Yuanyuan. A power-balanced hybrid random pulse width modu- lation method for asymmetric cascaded H-bridge three-phase inverter[J]. Transactions of China Elec- trotechnical Society, 2024, 39(24): 7807-7820.
[9] 刘议泽, 吴学智, 刘京斗, 等. 悬浮电容H桥级联七电平逆变器的混合载波频率调制策略[J]. 电工技术学报, 2024, 39(22): 7167-7181.
Liu Yize, Wu Xuezhi, Liu Jingdou, et al. The hybrid carrier frequency modulation strategy of seven-level flying-capacitor cascaded H-bridge inverter[J]. Transa- ctions of China Electrotechnical Society, 2024, 39(22): 7167-7181.
[10] 马辉, 徐甜川, 范李平, 等. 一类三电平伪图腾柱无桥PFC变换器[J]. 中国电机工程学报, 2024, 44(2): 691-704.
Ma Hui, Xu Tianchuan, Fan Liping, et al. A family of three-level pseudo totem-pole power factor correction circuit[J]. Proceedings of the CSEE, 2024, 44(2): 691- 704.
[11] 程李宋, 邵云鹏, 叶满园, 等. 新型电压自均衡开关电容多电平逆变器[J]. 电机与控制学报, 2024, 28(3): 157-168.
Cheng Lisong, Shao Yunpeng, Ye Manyuan, et al. Novel voltage self-balancing switched capacitor multilevel inverter[J]. Electric Machines and Control, 2024, 28(3): 157-168.
[12] 王汝田, 王浩, 袁帅, 等. 一种基于分裂源的双输出T型三电平逆变器[J]. 电工技术学报, 2024, 39(24): 7777- 7792.
Wang Rutian, Wang Hao, Yuan Shuai, et al. A dual-output T-type three-level inverter topology based on split source inverter[J]. Transactions of China Electrotechnical Society, 2024, 39(24): 7777-7792.
[13] 张紫如, 付丰豪, 赵西贝, 等. 采用高低阀接线的嵌套型MMC拓扑及其直流故障穿越策略[J]. 电力系统自动化, 2024, 48(16): 154-164.
Zhang Ziru, Fu Fenghao, Zhao Xibei, et al. Topology and DC fault ride-through strategy of embedded modular multilevel converter with high-/low-voltage valve connection[J]. Automation of Electric Power Systems, 2024, 48(16): 154-164.
[14] 侯玉超, 郭祺, 涂春鸣, 等. 面向输出性能优化的高低频混合型模块化多电平变换器及其调控策略[J]. 电工技术学报, 2024, 39(14): 4467-4479.
Hou Yuchao, Guo Qi, Tu Chunming, et al. A high and low frequency hybrid modular multilevel converter for output performance optimization and its control strategy[J]. Transactions of China Electrotechnical Society, 2024, 39(14):4467-4479.
[15] 唐仁彪, 李锦, 唐维溢, 等. 器件非同步并联三电平ANPC软开关变流器研究[J]. 电力电子技术, 2025, 59(1): 5-8.
Tang Renbiao, Li Jin, Tang Weiyi, et al. Study of three-level ANPC soft-switching converter based on asynchronous parallel connection of devices[J]. Power Electronics, 2025, 59(1): 5-8.
[16] 徐世周, 常金海, 范京生, 等. ANPC-5L逆变器电容电压平衡的优化算法[J]. 电气传动, 2024, 54(10): 26-31.
Xu Shizhou, Chang Jinhai, Fan Jingsheng, et al. Optimization algorithm for capacitor voltage balance of ANPC-5L inverter[J]. Electric Driver, 2024, 54(10): 26-31.
[17] Zhang Z, Yao Jia, Ioinovici A. Switched-capacitor multilevel inverter with input source-load common ground for applications supplied by green energy[J]. IEEE Transactions on Circuits and Systems Ⅱ: Express Briefs, 2024, 71(1): 186-190.
[18] Deng Hongjie, Ma Hao. A new four-level hybrid- clamped multilevel GaN totem-pole PFC[C]//2022 IEEE International Power Electronics and Application Conference and Exposition (PEAC), Guangzhou, Guangdong, China, 2022: 658-663.
[19] Kedika N R, Bhukya L, Punna S, et al. Single-phase seven-level inverter with multilevel Boost converter for solar photovoltaic systems[C]//2022 Second Inter- national Conference on Power, Control and Com- puting Technologies (ICPC2T), Raipur, India, 2022: 1-6.
[20] 宁继超, 贲洪奇, 王雪松, 等. 带有死区时间补偿及电容电压平衡功能的二极管钳位型三电平逆变器数字调制方法[J]. 电工技术学报, 2024, 39(20): 6444-6461.
Ning Jichao, Ben Hongqi, Wang Xuesong, et al. A digital modulation method for dead-time compen- sation and capacitor voltage balance in diode clamped three-level inverter[J]. Transactions of China Elec- trotechnical Society, 2024, 39(20): 6444-6461.
[21] 邓少立, 张淼, 刘意轩, 等. 基于周期交错调制的飞跨电容九电平逆变器[J]. 电力电子技术, 2024, 58(11): 1-4.
Deng Shaoli, Zhang Miao, Liu Yixuan, et al. Flying capacitor nine-level based on period-interleaved modulation[J]. Power Electronics Technology, 2024, 58(11): 1-4.
[22] Yuan Xibo. Ultimate generalized multilevel converter topology[J]. IEEE Transactions on Power Electronics, 2021, 36(8): 8634-8639.
[23] Jahan H K, Abapour M. Switched-capacitor-based multilevel inverter for grid-connected photovoltaic application[J]. IEEE Transactions on Power Elec- tronics, 2021, 36(9): 10317-10329.
Abstract In recent years, multilevel converters have been widely applied in renewable energy and distributed energy resource systems, including electric drive systems for new energy vehicles, power management and optimization in microgrids, and grid integration of offshore wind power. However, traditional multilevel converter topologies require excessive fully controlled devices for high-level output, which results in enormous hardware costs and increased circuit complexity. Consequently, research on multilevel converters with a reduced number of fully-controlled devices, high power density, and high efficiency has become a focal point.
This paper proposes a novel multilevel topology construction approach based on split multiplication. This method utilizes a three-level AC-side full-bridge or half-bridge as the root node and employs a novel bidirectional switch (BS) as the fundamental construction unit. The BS comprises one switch and two diodes, reducing component count and avoiding voltage stress increases. This method achieves multilevel functionality with few fully-controlled devices. It features a modular structure for easy scalability, where the number of output levels N=2k+2 and required components scale as 2k+1-2 construction units and 2k+1 DC capacitors for n expansion stages.
The specific implementation process of the proposed construction method is explained. Subsequently, equivalent mathematical models are established for the three proposed multilevel topologies to precisely capture the electrical characteristics, such as the relationships between voltage levels, current paths, and component interactions within each topology. The number of electronic components (including switches, diodes, and capacitors), the distribution of voltage stress across different elements, and the inherent modularity and expandability of each topology are analyzed. A four-level topology example is further explored in terms of its operating principles, voltage stress across switches, power losses, and modulation strategies. Finally, an experimental prototype is constructed, and test waveforms are measured.
The converter exhibits the following features. (1) As the number of output voltage levels increases, the proposed multilevel topology’s devices are significantly reduced compared to conventional topologies. (2) The inherent modular design of the proposed multilevel topology simplifies circuit architecture and enables straightforward level expansion. (3) A unified carrier-disposition PWM modulation scheme designed for the proposed multilevel topology demonstrates computational simplicity, implementation robustness, and versatile applicability.
keywords:Multilevel converter, split multiplication, topology construction, unified modulation technology
DOI: 10.19595/j.cnki.1000-6753.tces.250539
中图分类号:TM46
国家自然科学基金项目(52377191)和湖北省自然科学基金面上项目(2024AFB584)资助。
收稿日期 2025-04-04
改稿日期 2025-05-13
马 辉 男,1985年生,副教授,博士生导师,研究方向为单相及三相多电平变换器等。E-mail: mahuizz119@126.com(通信作者)
杨 晨 男,2002年生,硕士研究生,研究方向为电力变换器拓扑设计与控制应用。E-mail: 202408540621728@ctgu.edu.cn
(编辑 陈 诚)