摘要 定子不圆度会造成水轮发电机气隙磁场的不规则分布,使定子同相支路感应电动势产生差值并引起环流。该文首先依据网孔电流法与基尔霍夫第二定律推导了发电机同相多支路环流表达式,得出同相各支路所在区域定子不圆度磁导谐波差异将使支路电动势幅值与相位出现差异,得到环流特征谐波与定子不圆度故障程度的关联规律;然后以一台334 MV·A水轮发电机为例搭建了有限元电磁仿真模型,提取到与预测频率一致的奇数次特征谐波环流,分析了环流时/频域特征与定子变形范围、径向位移、凹凸极点之间的联系规律,得到环流与支路所在区域定子铁心形变间的关系;最后基于一台凸极同步发电机实验平台,模拟了定子外凸不圆度故障,通过比较各相的支路环流,确定了支路所在区域的相对形变大小,检测了定子整体的不圆度状况。
关键词:水轮发电机 定子不圆度 畸变磁场 环流谐波
新能源持续大规模并网导致电力系统面临灵活性与调节能力不足的严峻挑战,对适宜调峰的水电机组的可靠性提出了新要求[1-3]。大型水轮发电机定子冲片材质与结构设计对热膨胀及内应力考虑不足、机座刚度裕度偏低等设计局限,以及加工与安装过程中模具磨损导致的单片精度超差、铁心叠压紧力不均与定位累积误差引发的叠装接缝不密实、机座焊接残余应力释放不彻底或加工变形等工艺因素,共同导致定子内腔初始圆度难以达到理想状态[4-6]。
机组运行时,转子机械不平衡与轴承磨损传递的振动、气隙不均诱发的电磁振动力,加之冷却不均或过载短路引起的局部急剧温升导致非均匀热膨胀,三者联合作用极易造成铁心叠片压指松动、定位筋蠕变或绝缘收缩,致使定子铁心发生整体或局部失圆变形。
定子铁心变形使得发电机气隙不均,造成主磁场不对称,不平衡磁拉力作用在转子上可引起转子轴系偏移,使气隙状态进一步恶化,转子磁极和定子铁心形貌也将发生巨大改变。严重的铁心变形和强烈振动容易导致机座焊缝开裂、铁心叠片松动或滑出、齿端铁片断裂、定转子碰磨、定子绕组绝缘磨损,甚至酿成绝缘击穿与定子接地事故,严重危害发电机运行安全和使用寿命[7-9]。长期以来,定子不圆度故障引发的水轮发电机定子铁心局部温度和振动超标在我国各地发电厂屡见不鲜,浙江紧水滩水电厂水轮发电机定子承受极大的不平衡磁拉力导致定子端部铁心松动变形,致使定子绕组绝缘损坏引发定子接地故障[10];福建某水电厂多台年久水轮发电机定子出现槽楔松动和铁心局部过热、齿部变色、叠片松动或脱出以及定转子碰磨等严重问题,经过分析得知,定子铁心变形引起的不平衡电磁力和异常振动为主要原因[11];青海某水电站6台700 MW水轮发电机中的4号机的定子由于初始安装问题导致气隙不对称出现严重低频振动,长期运行后定子铁心与转子磁极变形严重、不圆度问题突出[12]。云南小湾水电厂机组运行期间发现多台机组定子铁心水平振动偏大,由气隙监测传感器发现各机组定子测点位置有3.48~6.25 mm变形位移,存在10.4%~18.4%的定子不圆度故障[13]。由此可见,大型水轮发电机定子铁心不圆故障普遍存在,定子铁心变形等不圆度故障在线监测技术的研究与应用十分必要,故障的准确预警可有效提升水轮发电机组安全运行水平,为判断定子铁心变形程度及评估不圆度故障危害等级提供理论支撑。
目前,水轮发电机定子不圆度在线检测主要依据可实现动态气隙监测的气隙传感器在线测量,常见的有安装在定子内表面的电容式传感器、超声波传感器以及通过监测磁场间接反映气隙的U形线圈传感器[14-16],但气隙监测传感器受测点限制(一般整个圆周上仅布置8个),较难反映定子整体圆度状态,仍需在机组计划检修期间通过静态气隙测量与定子测圆等离线方式进一步确定定子内腔圆度状况。
气隙磁场、杂散磁场、振动特征、温度变化和定子电流等在线监测技术可在一定程度上反映水轮发电机的健康状态。气隙磁场检测法受传感器测点数量限制较难反映定子整体圆度状况,杂散磁通检测法易受外界磁场干扰,振动特征分析法和温度变化分析法不能直接用于气隙不均匀故障判别,只能作为现场运检的一种辅助手段[17],因此需要找到一种定子不圆度故障更为有效的检测途径。水轮发电机定子环流信号包含大量的故障信息,具有高灵敏度、强抗干扰能力等明显优势,是诸多故障监测与诊断技术的重要参照[18]。
水轮发电机定子采用并联支路可以确保机组输出合适的电压和电流,但当存在不均匀气隙或转子绕组匝间短路等故障时,磁场不平衡也会使并联支路间存在循环电流[19]。文献[20]利用多回路理论建立了同步发电机励磁匝间短路数学模型,提出了一种基于定子支路不平衡电流有效值的转子匝间短路在线监测方法。文献[21]研究了汽轮发电机气隙偏心与励磁匝间短路复合故障下的定子环流特性,提出了一种基于环流谐波增量的复合故障诊断方法。文献[22]分析了汽轮发电机定转子匝间短路与转子动、静偏心故障下的环流特性,提出了一种基于环流特性差异的电机故障识别方法。文献[23]基于一种考虑空间谐波的修正绕组函数理论,提出利用电气参数建立大型发电机内部故障的并联绕组感应电压数学模型。文献[24]分析了发电机并联支路数非极对数最大公约数情况下各并联电枢绕组的磁通矢量差异,提出利用磁路计算发电机支路环流的方法,指出磁链不平衡是并联支路环流的重要影响因素。文献[25]提出一种基于环流时/频图谱的励磁绕组匝间短路故障诊断方法,利用信号强度差值能量比R算法来放大故障前后环流时/频图谱信号强度变化,排除了静偏心与电枢反应干扰因素,提取并放大了匝间短路环流特征。文献[26]研究了多极隐极同步发电机匝间短路故障下极对数与定子分支环流谐波的对应关系,并指出分数次谐波环流与故障线圈位置短距比相关。
本文首先从水轮发电机定子不圆度故障引起气隙磁场不对称及定子并联支路环流现象入手,在综合考虑气隙各种形态的基础上,分析了不圆度故障下的支路感应电动势变化机理,获得环流特征谐波频率与定子不圆度间的关联规律。然后以一台水轮发电机为例,仿真提取了各支路所在区域定子不圆度故障的环流时/频域特征,通过一台SDF-1C型凸极同步发电机模拟了定子不圆度故障实验,依据支路绕组定子空间分布比较环流特征,确定了支路空间位置的不圆度故障。仿真与实验结果表明,比较多支路环流特征谐波可实现定子不圆度故障的有效辨识。
大型水轮发电机定子绕组普遍采用多分支结构,当出现定子不圆度故障时,各支路区域的气隙将出现差异。
定子除整体椭圆变形外,局部内凹或外凸以及高阶无序凹凸变形也是常见的不圆度故障[27-28],以局部内凹外凸、椭圆变形等为例,定子内腔与外圆的形状分别如图1所示。
定子内腔各处不规则凹凸,使各定子线棒所在区域的气隙磁阻不同。以三支路并联水轮发电机为例,A相各支路的空间分布如图2所示,定子某段连续凹凸变形如图3所示,内凹与外凸变形会产生局部径向位移极大值,分别对应内凹极点与外凸极点。
图1 定子不圆度示意图
Fig.1 Schematic diagram of stator non-roundness
图2 A相支路分布示意图
Fig.2 Schematic diagram of distribution of A-phase branches
图3 定子不圆度形变位移分布示意图
Fig.3 Schematic diagram of displacement distribution of stator non-roundness deformation
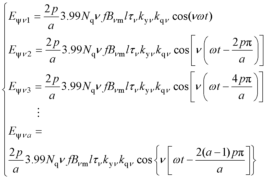
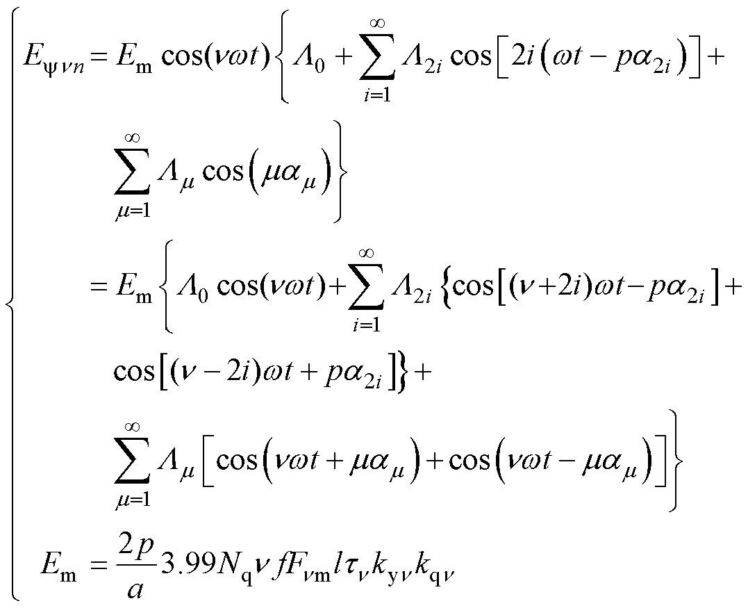
考虑定子绕组分布和短距影响,水轮发电机定子绕组一条支路感应n次谐波电动势的有效值[29]为
(1)
式中,p为极对数;a为同相绕组支路数;Nq为一个线圈组所包含的线圈匝数;f为频率;
为磁通量
次谐波的最大值;Bnm为气隙磁通密度n次谐波的最大值;l为定子绕组有效长度;tn为n次谐波极距;kyn为n次谐波短距系数;kqn为n次谐波绕组分布系数。
对于水轮发电机同相有a条并联支路(对称分布,即p/a为整数或a=2p)而言,相邻支路在定子空间相差2p/a机械角度,故相应支路n次谐波感应电动势相差2pπ/a电角度,其表达式为
(2)
式中,w为转子电角速度。
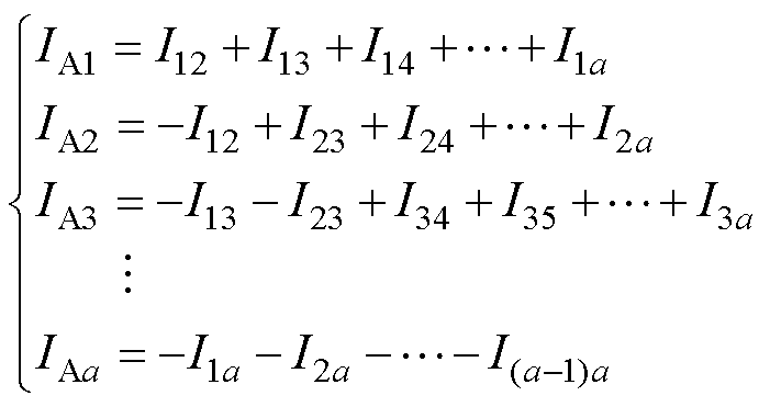
发电机某一支路的环流与其他支路电流密切相关,忽略定子绕组电阻,定子A相绕组a条并联支路等效电路及环流流向如图4所示。图中,IAn为流经第n条支路环流(n=1, 2, 3,…, a),LAn为第n条支路自感;MAn为第n条支路与其他支路互感之和;Ist为第s条支路流向第t条支路的环流电流(s, t= 1, 2, 3,…, a,s<t
。
图4 定子绕组A相并联支路等效电路
Fig.4 Equivalent circuit of stator winding A-phase parallel branches
依据网孔电流法与基尔霍夫第二定律(KVL),假定同相各支路绕组自感、互感相等,任意回路可列方程,有
(3)
由图4中支路环流与各分量间关系可得
(4)
式(4)中任意两支路环流相减即可得支路间环流分量为
(5)
由式(5)可知,同相两支路间环流等于流经两条支路总环流之差除以支路数。
水轮发电机正常运行时,基于磁路和电路对称特点,同相各支路感应电动势和电流相等,因此同相并联支路间无环流。发电机气隙分布示意图如图5所示。图中,qs为定子空间角,qr为转子空间角,O¢与O为旋转前后参考原点,F¢与F为旋转前后磁极中心轴线。
图5 发电机气隙分布示意图
Fig.5 Schematic diagram of air gap distribution for generator
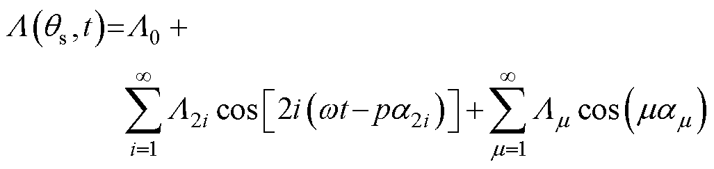
由图5可知,水轮发电机正常时,各磁极处的最小气隙相同,气隙呈现以磁极中心线为轴的轴对称和关于发电机中心对称,故气隙磁导只含有偶次谐波,其一般表达式[30-31]为
(6)
式中,L0为气隙磁导常量;L2i为转子凸极结构磁导2i次谐波幅值;a2i为2i次谐波定子空间机械角;i为正整数。
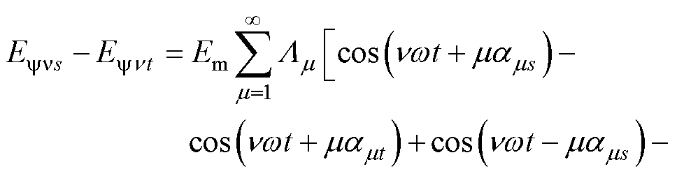
在定子不圆度故障下,水轮发电机气隙磁导可等效为健康状态的气隙磁导与一系列幅值为Lm的m次谐波磁导的叠加,可表示为
(7)
式中,Lm为气隙磁导的m次谐波幅值;am为m次谐波定子空间机械角;m为正整数。
定子不圆度故障下水轮发电机定子第n条支路感应电动势可进一步表示为
(8)
式中,Fnm为n次谐波磁势幅值。
由式(8)可知,当定子同相各支路所在区域的不圆度状态不同时,气隙磁导的分数次谐波将使支路感应电动势在幅值与相位上产生差异。
进一步求得水轮发电机定子不圆度故障下的支路感应电动势差为
(9)
由式(9)可知,定子不圆度状态下,定子各支路感应电动势差将不再为零,由式(3)可知,将在支路间形成奇数次谐波环流。
为验证理论分析结论,搭建一台SAV 620/27518型水轮发电机的二维有限元仿真模型如图6a所示,网格剖分如图6b所示,发电机参数见表1。
仿真模拟不同类型定子不圆度,以定子局部内凹、连续凹凸变形不圆度故障为例,不圆度程度分别为5.063%、7.595%和10.127%(定子凹凸变形最大位移点径向间距与气隙之比)下的定子齿与定子磁轭内径如图7所示,提取其气隙磁通密度,如图8所示。
定子不圆度故障后,定、转子间气隙不同导致了磁通密度差异,定子凹陷处磁通密度增大,外凸处磁通密度减小。
图6 水轮发电机二维有限元模型
Fig.6 Two dimensional finite element model of hydro-generator
表1 SAV 620/27518型水轮发电机基本参数
Tab.1 Basic parameters of SAV 620/27518 hydro-generator
参 数数 值 额定容量/(MV·A)334 额定电流/kA10.713 气隙长度/mm39.5 磁极数18 相数3 接法Y 额定电压/kV18 额定励磁电流/A1 712 空载励磁电流/A934.6 定子槽数216 每极每相槽数4 转速/(r/min)333.3
图7 定子不圆度故障下定子齿与定子磁轭内径
Fig.7 Stator teeth and stator yoke inner diameter under stator non-roundness fault
对发电机单支路区域定子不同变形范围的不圆度故障进行仿真,在电枢绕组A相支路2所在定子区域设置30°、60°和120°不同范围的10.127%单内凹变形,提取A相支路1与2、2与3、3与1间环流时域波形,并傅里叶分解获得环流频域特征,如图9a~图9c所示。进一步地在支路2所在的120°定子区域内设置不同位移大小单内凹变形,各支路间环流如图9d~图9f所示。最后在支路2所在120°定子区域设置位移极大值为10.127%的不同凹凸极点变形,各支路间环流如图9g~图9i所示。
图8 定子不圆度故障下磁通密度分布
Fig.8 Distribution of magnetic flux density under stator non-roundness fault
由图9可知,当电枢绕组A相支路2所在定子区域发生变形时,在支路1与2、支路2与3、支路3与1间引起了不同幅值大小的环流,其中定子变形区域支路与健康区域支路间环流远高于定子健康区域支路间环流,环流谐波频率为50 Hz、150 Hz等奇数倍频,与理论分析一致。图9a~图9c表明,支路1与2间和支路2与3间环流谐波幅值明显偏高且均随支路2变形区域的扩展而增大,支路3与1间环流谐波幅值较小。图9d和图9e表明,在定子相同变形范围内支路间环流谐波幅值均随着内凹径向位移的增加而增大,同样地,支路1与2、支路2与3间环流远大于支路3与1间环流。
由图9g~图9i可知,发电机单支路区域定子不圆度故障下,定子单内凹引起的环流谐波特征与单外凸相近,在仅存在内凹极点的情况下,支路2与其他支路间奇数次环流谐波幅值随着内凹极点数的增多而增大,而当同时存在内凹与外凸极点时,环流谐波幅值明显低于相同极点数的连续内凹变形。此外,当增加凹凸极点个数时故障磁导谐波发生改变,使得不同凹凸变形下环流各次谐波增幅不一,如图9g中单内凹与连续内凹变形,连续内凹环流基波远大于单内凹,而150 Hz谐波相差不大。


图9 发电机单支路区域定子不圆度故障环流
Fig.9 Circulating current of stator non-roundness fault in single branch area of generator
由以上结果可知,发电机单支路区域发生定子不圆度故障后,由于气隙磁阻变化引起支路间感应电动势差,使该支路与其他支路间出现幅值偏高的奇数次环流谐波,且均随不圆度故障程度(变形范围、径向位移、内凹极点数)的增加而增大,而健康区域对应的支路间环流同样也出现明显的奇数次谐波,幅值较小且变化幅度不大。
分别在电枢绕组A相支路1、2所在定子区域内设置30°、60°和120°不同范围和120°恒定范围的10.127%单内凹变形,各支路间环流如图10a~图10c所示。接着,在两条支路对应定子区域分别设置5.063%、7.595%和10.127%不同位移和10.127%恒定位移的120°单内凹变形,得到图10d~图10f。最后,在相同最大位移10.127%的条件下改变双支路所在240°定子区域的凹凸极点个数,得到图10g~图10i。
由图10a~图10c可知,定子不圆度故障后,随着支路1定子变形区域的扩展,该支路与恒定变形区域对应的支路2间环流谐波幅值逐渐减小,与健康圆度区域对应的支路3间环流谐波幅值逐渐增大,定子区域未曾变化的支路2与3间环流特征谐波幅值几近不变。
由图10d~图10e可知,在支路1与2所在定子区域相同变形范围的条件下,随着支路1内凹径向位移的增加,支路间的环流特征谐波幅值变化规律与图10a~图10c支路1对应定子变形区域扩展的谐波变化规律一致。
以上表明,环流特征谐波与两条支路所在定子区域的磁路对称度相关,随着支路1对应定子不圆度故障程度(变形范围、径向位移)的增加,与恒定不圆度区域支路2间的磁路相似度不断增大,1、2支路感应的电动势差减小,故环流降低,与此同时,支路1与3对应定子区域的不对称程度增大,双支路的感应电动势差增大,环流升高。因此,各支路所处定子区域的变形范围与程度相近时,将影响不圆度故障的诊断。


图10 发电机双支路区域定子不圆度故障环流
Fig.10 Circulating current of stator non-roundness fault in dual branch areas of generator
由图10g~图10i可知,支路1、2所在区域定子内凹不圆度时,1、2支路间奇数次谐波环流随着凹凸变形引起磁路不对称的增加而增大,在1、2支路所处位置的不圆度故障程度相当时,谐波幅值大幅度减小。
在电枢绕组A相三条支路所在的定子区域设置均为30°与60°的两组对称10.127%单内凹变形,然后分别设置30°恒定变形范围、60°和120°不同范围以及120°恒定范围的10.127%单内凹变形,提取A相各支路间环流,如图11a~图11c所示。随后,在三条支路所在定子区域设置均为5.063%与10.127%的两组对称120°单内凹变形,然后分别设置5.063%、7.595%和10.127%不同位移、7.595%恒定位移和10.127%恒定位移的120°单内凹变形,得到图11d~图11f。最后,在相同最大位移10.127%的条件下改变三条支路所在定子区域的凹凸极点个数,得到图11g~图11i。


图11 发电机多支路区域定子不圆度故障环流
Fig.11 Circulating current of stator non-roundness fault in multi branch areas of generator
由图11a~图11c可知,发电机多支路所在定子区域出现不圆度故障后,随着支路2所在定子区域变形加重,其与恒定30°变形区域的支路1间谐波环流逐渐增大,与恒定120°变形区域的支路3间谐波环流逐渐减小,恒定变形区域的支路3与1间谐波幅值几近不变。当三条支路变形区域范围和径向位移相同时,环流谐波与定子健康时无差异。
由图11d和图11e可知,在定子相同变形范围的条件下:当三条支路所在区域的定子变形位移相同时,环流谐波几乎不存在;当支路2与3所在区域的定子形变位移不变时,随着支路1所在区域定子形变程度的增加,支路1、2间的环流在其对应位置定子形变状态相同时最小,支路2、3间的环流存在微弱的增加,支路3、1间环流逐渐减小。
由图11g~图11i可知,发电机定子不圆度故障下,两支路所在定子区域凹凸变形引起的磁路不对称越大其奇数次谐波环流越高,当所有支路存在对称的定子不圆度故障时,支路间环流特征将消失。
实验采用一台SDF-1C型4极凸极同步发电机完成定子不圆度故障模拟实验,发电机原参数见表2,机组的定子绕组每相有4个线圈组,原始均为串联,现将其改造为两两串联再并联,形成对称的双支路结构。
表2 故障模拟发电机基本参数
Tab.2 Basic parameters of fault simulation generator
参 数数 值 额定功率/kW2 额定电流/A3.61 气隙长度/mm0.45 磁极数4 相数3 接法Y 额定电压/V400 额定励磁电流/A3.54 并联支路数1 定子槽数36 每极每相槽数3 转速/(r/min)1 500
首先完成机组定子正常情况的实验,然后利用压力机将定子由机壳压出,按原铁心尺寸新制外凸变形定子铁心,嵌入双支路并联定子绕组后,将铁心重新压入机壳,完成定子不圆度故障实验。
新制定子铁心按单区域外凸变形特制,定子圆周180°区域进行外凸变形,变形位移极大值为0.225 mm,占气隙长度的50%,故障设置通过改变定子齿与定子磁轭内径实现,变形设置如图12所示。
图12 新制外凸变形定子气隙分布与内径
Fig.12 Newly designed stator with an outwardly deformed air gap distribution and inner diameter
实验整体布置如图13所示,结合图12a可知,外凸变形位移极大值位于变形区域的中心位置,依据图13的绕组分布与外凸变形区域可知,每相各支路绕组在定子所处区域的圆度状况,各相一支路在定子中存在100°区域,例如,B相支路1有50°区域处于定子外凸变形位移极大值处,25°区域处于轻微变形区域,25°处于正常圆度区域,另一支路存在75°正常圆度区域和25°轻微变形区域,两条支路区域气隙相对差异较大。
图13 同步发电机定子不圆度故障实验平台
Fig.13 Synchronous generator stator non-roundness fault experimental platform
实验过程中发现,机组正常时环流偏大,经塞尺检测气隙发现存在6%静偏心,考虑到与定子外凸变形位移大小(径向位移极大值为50%气隙)仍有不小差距,因此仍可作为对照组实验。
实验依次对空载与负载工况下的特征参量进行采集,定子电压与电流如图14所示。图14c与图14d表明,各相不同支路电流的幅值与相位存在一定差异,定子不圆度时尤其明显,与式(7)分析吻合,主要是定子不圆度故障程度比静偏心程度更为严重。
图14 定子端电压电流
Fig.14 Stator terminal voltage and current
实验机组定子支路数较少,一相支路绕组所占定子空间区域有限,仅依靠单相支路间环流无法判断定子整体区域不圆度状况,需比较三相的同相支路环流特征。
提取机组空载与额定负载工况的并联支路电流,得到静偏心与定子不圆度故障的环流,如图15所示。
图15 各相环流时/频域图
Fig.15 The circulation time/frequency domain diagram of each phase
图15表明,正常情况(存在6%静偏心)与不圆度故障下同相支路间均产生了较大环流,环流谐波除预测的奇数次谐波外,还存在幅值较大的25、75、125和175 Hz等由磁极磁阻差异导致的特征分数次谐波。机组正常定子存在的6%静偏心故障(相当于定子双区域一凹一凸变形)也属于定子不圆度故障,由于等效变形位移小于定子外凸变形位移,且气隙减小区域存在局部饱和,各相环流相对较小。
由图15c与图15f可知,静偏心情况下空载与负载工况下各相支路环流50 Hz谐波C相最大而B相最小,150 Hz谐波B相反而居高,且负载时超过基波,这是由于6%静偏心故障使绕组支路所在空间气隙磁导存在差异所导致,依据幅值较大的50 Hz谐波推测6%静偏心故障使C相双支路所在区域相对形变较大,A相双支路所在区域相对形变略小,支路间磁导谐波变化相近,仅幅值存在差距,而B相双支路所在区域磁导谐波变化与前两相不同,使支路环流各谐波增幅程度发生变化,这与仿真单支路不同凹凸变形下环流谐波变化规律一致,但B相环流谐波幅值较小表明相对形变不大或形变位移对称度较高。
由图15可知,机组50%单区域外凸变形故障各相环流谐波远大于6%静偏心情况,由于各相两条支路分布均为一支路位于外凸变形区,另一支路位于正常区域,因此外凸变形位移极大值处的B相支路50 Hz、150 Hz环流最高,而A相与C相环流谐波相对较小,与图中谐波幅值相对大小一致,可有效识别定子不圆度故障并判断支路所在定子区域相对形变大小。
定子支路环流比较法通过实时比较不同空间位置定子支路的环流大小差异,非侵入式、低成本地实现对定子铁心不圆度的在线检测与评估,具备空间分辨能力,可提供定子圆周不同位置段的相对不圆度信息,有效定位局部变形或热膨胀不均点。该方法对渐进性不圆度敏感,能敏锐捕捉环流微小变化,反映不圆度早期发展趋势。特别适用于大型水轮发电机,能充分利用其同相并联支路多且空间分布广的结构特点进行故障定位。如果同相支路数量较少或未能均匀覆盖整个圆周,则比较不同相之间的同相支路环流的大小差异(如实验情况),以此推断不同空间位置段的不圆度相对大小。
本文提出了基于多支路环流比较的定子不圆度故障检测方法,克服了传统气隙监测方法受测点限制无法反映定子整体圆度状况的缺点,结合有限元电磁仿真与实验提取了故障的环流特征,得出如下结论:
1)定子不圆度故障后,水轮发电机各支路所在区域的气隙存在差异,故障磁导谐波将使支路感应电动势在幅值与相位上产生差异,定子同相支路间出现奇数次谐波环流。
2)定子不圆度故障后,各支路区域定子不圆度在变形范围、形变量上差异越大,则支路间环流谐波越高。同相所有支路区域的定子不圆度呈现严格对称性时环流谐波消失。
3)定子铁心内凹引起的环流谐波特征与外凸相近,在仅存在铁心内凹情况下,内凹极点数越多,奇数次谐波环流也越高;当支路区域铁心同时存在内凹与外凸时,环流明显低于相同极点数的铁心连续内凹变形;当增加凹凸极点个数时故障磁导谐波发生改变,使得不同凹凸变形下环流各次谐波增幅程度不一。
4)通过在线实时监测、比较和分析支路环流信号的相对大小和变化趋势,可在线确定定子圆周上不同空间位置段的不圆度相对严重程度,综合所有被比较支路环流所反映的各段相对不圆度信息,即可实现对发电机定子整体圆度状况的在线评估和监测。但对于严格对称的不圆度故障类型,这一检测方法是不适用的。考虑到定子不圆度有其发生、发展过程,严格对称的不圆度故障实际上很难遇到。
参考文献
[1] 潘郑楠, 邓长虹, 徐慧慧, 等. 考虑灵活性补偿的高比例风电与多元灵活性资源博弈优化调度[J]. 电工技术学报, 2023, 38(增刊1): 56-69.
Pan Zhengnan, Deng Changhong, Xu Huihui, et al. Game optimization scheduling of high proportion wind power and multiple flexible resources con- sidering flexibility compensation[J]. Transactions of China Electrotechnical Society, 2023, 38(S1): 56-69.
[2] 鲜于虎成, 黄显峰, 张艳青, 等. 考虑短期波动与弃电风险的水光互补系统中长期双层嵌套优化调度[J]. 电工技术学报, 2023, 38(21): 5781-5793.
Xianyu Hucheng, Huang Xianfeng, Zhang Yanqing, et al. Medium-and long-term double-layer nested optimal scheduling of hydro-PV complementary system con- sidering short-term power fluctuation and curtailment risk[J]. Transactions of China Electrotechnical Society, 2023, 38(21): 5781-5793.
[3] 王海伦, 丁一凡, 李杨, 等. 计及混合式抽水蓄能改造的清洁微网分布鲁棒容量优化配置[J]. 电工技术学报, 2025, 40(7): 2112-2126.
Wang Hailun, Ding Yifan, Li Yang, et al. Dis- tributionally robust capacity optimization for clean energy microgrid considering pumped-storage retro- fitting[J]. Transactions of China Electrotechnical Society, 2025, 40(7): 2112-2126.
[4] 樊世英. 大中型水力发电机组的安全稳定运行分析[J]. 中国电机工程学报, 2012, 32(9): 140-148.
Fan Shiying. Analysis of stability for large and medium-sized hydro-generating unit[J]. Proceedings of the CSEE, 2012, 32(9): 140-148.
[5] Li Z G, Yang F Y, Chen J H, et al. Analysis on the roundness of bulb turbine generator based on the unbalanced magnetic[J]. IOP Conference Series: Earth and Environmental Science, 2012, 15(4): 042005.
[6] 陆宏江, 王连庆, 秦钊林. 发电机定子变形原因分析及改造方案[J]. 电工技术, 2015(9): 46-47, 73.
Lu Hongjiang, Wang Lianqing, Qin Zhaolin. Cause analysis and reconstruction scheme of generator stator deformation[J]. Electric Engineering, 2015(9): 46-47, 73.
[7] 钏毅民, 杨迪, 蔡武卫, 等. 漫湾电厂发电机定子铁芯变形故障分析[J]. 云南电力技术, 2000, 28(3): 6-7.
Chuan Yimin, Yang Di, Cai Wuwei, et al. Fault analysis of generator stator core deformation in Manwan Power Plant[J]. Yunnan Electric Power, 2000, 28(3): 6-7.
[8] Zhou Jianzhong, Peng Xuanlin, Li Ruhai, et al. Experimental and finite element analysis to investi- gate the vibration of oblique-stud stator frame in a large hydropower generator unit[J]. Energies, 2017, 10(12): 2175.
[9] Nandi S, Toliyat H A, Li X. Condition monitoring and fault diagnosis of electrical motors: a review[J]. IEEE Transactions on Energy Conversion, 2005, 20(4): 719-729.
[10] 舒均盛. 水轮发电机铁心松动引发定子接地故障的分析及处理[J]. 大电机技术, 2006(5): 6-8.
Shu Junsheng. Cause analysis and treatment of a hydrogenerator stator grounding fault due to loosening of stator core[J]. Large Electric Machine and Hydraulic Turbine, 2006(5): 6-8.
[11] 江贤义. 浅析水轮发电机定子铁心松动的原因及技改措施[J]. 福建水力发电, 2021(1): 47-50.
[12] 李兴邦. 青海某电站4#水轮发电机定子低频振动原因剖析及处理[J]. 上海大中型电机, 2024(1): 45- 48.
Li Xingbang. Analysis and treatment of low frequ- ency vibration of stator of 4# hydrogenerator in a power station in Qinghai[J]. Shanghai Medium and Large Electrical Machines, 2024(1): 45-48.
[13] 赵晓嘉, 郭耀先, 龚登位. 小湾水电厂发电机定子振动原因及改进措施[J]. 水力发电, 2015, 41(10): 47-50.
Zhao Xiaojia, Guo Yaoxian, Gong Dengwei. Stator vibration reason analyses and improvements of generators in Xiaowan hydropower station[J]. Water Power, 2015, 41(10): 47-50.
[14] Pollock G B, Lyles J F. Vertical hydraulic generators experience with dynamic air gap monitoring[J]. IEEE Transactions on Energy Conversion, 1992, 7(4): 660-668.
[15] Xuan M T, Simond J J, Wetter R, et al. A novel air-gap monitoring system for large low speed hydro-generators[C]//2006 IEEE Power Engineering Society General Meeting, Montreal, QC, Canada, 2006: 8.
[16] Adamowski J C, Souza A T, Pérez N, et al. Ultrasonic dynamic air-gap monitoring system for large hydro- generators[C]//2013 IEEE International Ultrasonics Symposium (IUS), Prague, Czech Republic, 2013: 1311-1314.
[17] 齐鹏, 李永刚, 马明晗. 抽水蓄能电机转子匝间短路无传感器检测方法[J]. 电工技术学报, 2024, 39(20): 6431-6443.
Qi Peng, Li Yonggang, Ma Minghan. Sensorless detection method of rotor inter-turn short circuit in pumped storage motors[J]. Transactions of China Electrotechnical Society, 2024, 39(20): 6431-6443.
[18] Pöyhönen S, Negrea M, Jover P, et al. Numerical magnetic field analysis and signal processing for fault diagnostics of electrical machines[J]. COMPEL-the International Journal for Computation and Mathematics in Electrical and Electronic Engineering, 2003, 22(4): 969-981.
[19] DeBortoli M J, Salon S J, Burow D W, et al. Effects of rotor eccentricity and parallel windings on induction machine behavior: a study using finite element analysis[J]//IEEE Transactions on Magnetics, 1993, 39(3): 1676-1682.
[20] Hao Liangliang, Sun Yuguang, Qiu Arui, et al. Steady-state calculation and online monitoring of interturn short circuit of field windings in syn- chronous machines[J]. IEEE Transactions on Energy Conversion, 2012, 27(1): 128-138.
[21] Wan Shuting, He Yuling, Tang Guiji, et al. Investi- gation on stator circulating current characteristics of turbogenerators under air gap eccentricity and rotor short-circuit composite faults[J]. Electric Power Components and Systems, 2010, 38(8): 900-917.
[22] 李和明, 万书亭, 李永刚. 基于定子绕组并联支路环流特性的发电机故障识别方法[J]. 电力系统自动化, 2005, 29(6): 75-78, 107.
Li Heming, Wan Shuting, Li Yonggang. Generator fault diagnosis based on the circulating current in stator winding parallel branches[J]. Automation of Electric Power Systems, 2005, 29(6): 75-78, 107.
[23] Tu Xiaoping, Dessaint L A, Fallati N, et al. Modeling and real-time simulation of internal faults in syn- chronous generators with parallel-connected windings[J]. IEEE Transactions on Industrial Electronics, 2007, 54(3): 1400-1409.
[24] Yoshida J, Hino N, Takahashi K, et al. Calculation method of circulating current in parallel armature windings in consideration of magnetic circuit[C]// 2013 IEEE Power & Energy Society General Meeting, Vancouver, BC, Canada, 2013: 1-5.
[25] 齐鹏, 李永刚, 马明晗, 等. 基于环流时频图谱的抽水蓄能机组励磁绕组匝间短路故障诊断[J]. 电工技术学报, 2023, 38(22): 6104-6120.
Qi Peng, Li Yonggang, Ma Minghan, et al. Diagnosis of inter-turn short circuit in excitation winding of pumped storage units based on time-frequency map of circulating current[J]. Transactions of China Electro- technical Society, 2023, 38(22): 6104-6120.
[26] 辛鹏, 戈宝军, 陶大军, 等. 多极隐极发电机励磁绕组匝间短路时的定子分支环流谐波特性[J]. 电工技术学报, 2017, 32(7): 67-76.
Xin Peng, Ge Baojun, Tao Dajun, et al. Stator branch circulating current harmonic characteristics of multi- pole non-salient-pole generator with field winding inter-turn short circuits[J]. Transactions of China Electrotechnical Society, 2017, 32(7): 67-76.
[27] 董开松. 基于气隙动态测量技术的定转子变形评价方法研究[D]. 西安: 西安理工大学, 2007.
Dong Kaisong. Study on the assessment methods of stator-rotor distortion based on air gap dynamic measurement[D]. Xi’an: Xi’an University of Tech- nology, 2007.
[28] 肖孝锋. 水轮发电机组气隙监测与转轮应力测试研究[D]. 武汉: 华中科技大学, 2006.
Xiao Xiaofeng. Study on air gap monitoring and runner stress measurement of hydrogenerator unit[D]. Wuhan: Huazhong University of Science and Tech- nology, 2006.
[29] 肖鸿杰, 宋金煜, 王如玫, 等. 电机学[M]. 2版. 北京: 中国电力出版社, 2015.
[30] 高景德, 王祥珩, 李发海. 交流电机及其系统的分析[M]. 2版. 北京: 清华大学出版社, 2005.
[31] 武玉才, 范轩杰, 纪璇, 等. 水轮发电机转子不圆度诱发的定子铁心振动特性研究[J]. 中国电机工程学报, 2025, 45(1): 342-352.
Wu Yucai, Fan Xuanjie, Ji Xuan, et al. Study on vibration characteristics of stator core induced by rotor non-roundness in hydro-generator[J]. Pro- ceedings of the CSEE, 2025, 45(1): 342-352.
Abstract Problems such as manufacturing tolerances in the stator of large hydro-generators and uneven seams during lamination assembly are complex to avoid, making it impossible to guarantee an ideal roundness of the stator bore. During operation, mechanical and electromagnetic vibrations, as well as thermal expansion due to temperature variations, can readily cause loosening and deformation of the stator core. The induced unbalanced magnetic pull will continuously worsen the stator non-roundness, ultimately causing severe stator core deformation. Accurate early warning of stator non-roundness faults can effectively enhance the safe operation level of hydro-generator units. Therefore, this paper proposes a circulating-current comparison detection method for stator branches, which can be employed for online detection of stator non-roundness faults.
First, using the mesh current method and Kirchhoff's second law, the paper derives an expression for the circulating currents in multiple in-phase branches of the generator. Considering the irregular distribution of the air-gap magnetic field caused by stator non-roundness, it is deduced that differences in the magnetic permeability harmonics in the regions of each in-phase branch due to stator non-roundness result in discrepancies in the amplitude and phase of the branch electromotive forces (EMFs). Thus, a correlation between the characteristic harmonics of the circulating currents and the severity of the stator non-roundness fault is established.
Subsequently, a finite-element electromagnetic simulation model was constructed, using a 334 MV·A hydro-generator as an example. The stator non-roundness was simulated at the spatial locations of single-, dual-, and multi-branch windings. Odd-order characteristic harmonic circulating currents consistent with the predicted frequencies were extracted. The relationships between the time/frequency domain characteristics of circulating currents and the stator deformation range, radial displacement, and concave-convex points were analyzed, revealing a connection between the circulating currents and stator core deformation in the spatial regions where the branches are located.
Finally, an experimental platform was used for a salient-pole synchronous generator, and an outwardly convex stator non-roundness fault was simulated. The circulating-current comparison method for stator branches was used to compare circulating currents across branches of each phase, determine the relative deformation magnitude in branch regions, and detect the overall non-roundness of the stator. The results indicate that after a stator non-roundness fault occurs, odd-order harmonic circulating currents appear between the in-phase branches of the stator. The greater the differences in the deformation range and magnitude of stator non-roundness in each branch region, the higher the harmonic circulating currents between the branches.
Therefore, by real-time online monitoring, comparison, and analysis of the relative magnitudes and trends of these circulating current signals, the relative severity of non-roundness at different spatial locations along the stator circumference can be determined. Online assessment and monitoring of the overall roundness condition of the generator stator can be achieved by integrating the relative non-roundness information from all compared branch circulating currents.
keywords:Hydro-generator, stator non-roundness, distorted magnetic field, circulating harmonics
DOI: 10.19595/j.cnki.1000-6753.tces.250590
中图分类号:TM312
国家自然科学基金项目(52277048)、河北省自然科学基金项目(E2023502002)和云南省科技人才与平台计划项目(202405AK340002)资助。
收稿日期 2025-04-11
改稿日期 2025-07-14
武玉才 男,1982年生,教授,博士生导师,研究方向为大型电气设备状态监测与故障诊断。E-mail: wuyucaincepu@163.com(通信作者)
张广翔 男,2000年生,硕士研究生,研究方向为大型电气设备状态监测与故障诊断。E-mail: 18253630661@163.com
(编辑 崔文静)