定子励磁无刷超导电机用短端部高紧凑超导磁体研制与测试

张志恒1 花 为2 李祥林3,4 朱新凯5 王玉彬6 邱志宇2,4

(1. 郑州大学电气与信息工程学院 郑州 450001 2. 东南大学电气工程学院 南京 210096 3. 青岛大学电气工程学院 青岛 266071 4. 东南大学南通海洋高等研究院 南通 226010 5. 华北电力大学(保定)电力工程系 保定 071003 6. 中国石油大学(华东)新能源学院 青岛 266580)

摘要 面向静态密封型定子励磁无刷超导电机应用,该文研制了一种短端部高紧凑超导磁体。首先,完成超导线圈的短端部设计,总结其与常规跑道型超导线圈的选用规则。然后,将长边直线修改为微曲线,实现超导线圈与线圈骨架的紧密贴合;给出超导磁体整体结构,较常规跑道型超导磁体,所研制的超导磁体轴向长度缩短22.3%,超导带材成本节省11.4%。讨论超导带材三种跨接方式,并给出了模块化超导磁体详细的制造过程;发现超导线圈边角处、端部段和微曲直线段表面平整且光滑,没有局部凸起或参差现象;超导带材与骨架间的间隙被完全消除,超导带材紧贴线圈骨架。最后,搭建了模块化超导磁体临界电流测试平台,分别对焊接冷却杜瓦系统前后的超导线圈进行测试。结果表明,所研制的12组模块化超导磁体具有较好的一致性,测试数据也与仿真结果相吻合,满足超导磁体的各项设计指标,为该类超导电机中超导磁体的研制提供了参考。

关键词:静态密封 超导电机 线圈骨架 临界电流 YBCO

0 引言

21世纪以来,受旋转或直线电机结构、运行方式启发,国内外研究人员将常规电机电枢绕组、励磁绕组、永磁体、铁氧体、转子笼条、磁障等替换为由超导线材、带材或块材制成的超导磁体,研制出超导励磁同步电机、磁滞电机、超导感应电机和其他中小功率的超导磁阻电机、超导单极电机、超导永磁电机等系列超导电机拓扑[1-12]

在已有研究成果中,大多数超导电机需采用动态密封低温制冷系统,以维持超导磁体所需的低温环境,但不得已引入了电刷、集电环和其他部件,以引出励磁或电枢绕组,有学者发现这类部件存在降低超导磁体和电机可靠性的风险[5, 9, 13]。虽然“静止励磁+旋转电枢”可实现超导磁体静止,但电枢绕组仍无法避免使用电刷、集电环;近些年,液态金属电刷和集电环技术被提出,即将电流导线引入镓基液态金属、水银容器内,但该技术有待环境、成本和可靠性等方面的全面评估,短期内无法应用。

超导电机实现定子励磁和无刷化,是提升运行可靠性、增强适应性的重要途径[13-15]。新西兰罗宾逊研究所、美国海军研究所、英国布里斯托大学、北京航空航天大学、湖南大学、华中科技大学、东南大学、中国石油大学(华东)等提出了多种定子励磁无刷超导电机新拓扑,包括单(双)极横向磁通、单极感应子、爪极、游标磁阻、磁通切换和双定子磁场调制电机等[1, 5, 13-19],使超导电机实现定子励磁、无刷和静态密封。但无论是何种电机拓扑或技术路线,超导磁体设计、研制与测试至关重要,也是超导电机制造的核心[4, 20]

中国科学院电工研究所等单位采用跑道型线圈骨架绕制超导带材,研制了首台基于国产YBCO带材的500 kW级高温超导电机[4];中国石油大学(华东)采用一代高温超导带材Bi-2223研制了异端进出液式超导磁体[21],骨架结构为跑道型;东南大学沿用文献[21]磁体结构,研制同端进出液式超导磁体并用于首台10 kW双定子型超导电机;西南交通大学在线圈间布置有导冷板,研制了磁悬浮列车系统用跑道型超导磁体[22];哈尔滨工业大学将骨架修改为圆角矩形,缩短了高温超导带材长度[23];华中科技大学采用铝合金线圈骨架和传导冷却,研制超导磁体并进行77 K和30 K测试[24]。此外,四川大学、云南电网有限责任公司电力科学研究院等提出圆弧形跑道线圈结构,解决线圈与骨架难以紧密贴合的问题[25-27]。相关成果极大丰富了超导磁体研制和测试案例,为超导电机研发设计积累了宝贵经验。

但现有研究存在局限性:①定子励磁无刷超导电机属近年出现的新型电机,其超导磁体研制和测试案例、数据较少;②传统超导线圈骨架多为跑道形,这会增加带材用量和材料成本,也会引起电机轴向长度增加进而降低功率密度;③应力分布差异会导致长边上带材很难紧密贴合骨架,即带材和骨架间存在间隙,降低了超导线圈运行的可靠性;虽然圆弧形跑道线圈可一定程度上缓解该问题,但多为定性描述、缺乏定量对比,且多应用于铝合金和不锈钢等金属骨架、第一代高温超导带材和采用环氧树脂真空压力浸渍固化超导线圈的场合。对于采用高绝缘环氧板玻纤板(G10)等非金属骨架、第二代绝缘绕包高温超导带材和Overbanding(OB)紧固方式的超导线圈,相关研究还有待深入和丰富。

综上所述,本文首先介绍了国家自然科学基金重点项目所设计的百千瓦级定子励磁无刷超导电机拓扑结构,给出模块化超导磁体基本参数;然后,基于轻质G10骨架研制短端部高紧凑超导线圈,定量对比其与常规跑道型的线圈长度差异,并总结两类线圈的选用规则;最后,详细给出短端部高紧凑超导磁体的研制和实验过程,验证设计方案的合理性,也为该类超导磁体研制提供工程案例和参考数据。

1 静态密封型定子励磁无刷超导电机

图1所示为百千瓦级静态密封型定子励磁无刷超导电机及其励磁定子结构,主要包括电枢定子、电枢绕组、调磁转子、励磁定子,其中励磁定子由铁心、超导线圈和冷却杜瓦构成,超导线圈和冷却杜瓦构成模块化超导磁体[28]。可以看出,该电机中电枢定子和励磁定子均为静止部件,实现了超导磁体的静态密封。该型电机原理已在文献[5, 13-14]中详细介绍,本文重点在于短端部高紧凑超导磁体研制与测试,电机基本电磁参数见表1。超导磁体在77 K液氮下进行测试,装机后采用过冷箱提供过冷液氮(68~77 K),其临界电流会进一步提高。

width=218.25,height=261.55

图1 定子励磁无刷超导电机结构示意图

Fig.1 Schematic diagram of stator-excitation brushless superconducting machines

2 短端部高紧凑超导线圈

2.1 短端部型超导线圈设计

常规跑道型和短端部型超导线圈示意图如图2所示,图2a为团队前期研究和当前较多文献中采用的常规跑道型超导线圈示意图,其截面由两个矩形直线边和两个半圆弧形边组成(半径为r1)。采用该结构主要是出于两方面考虑:①第一代高温超导带材Bi-2223质地脆、弯曲半径大,半圆弧形端部可较好保护超导带材;②固化后的超导线圈整体性更好,应力均匀,但存在引言所提现实问题。本研究采用国产第二代高温超导带材YBCO强度高、弯曲半径小,聚酰亚胺绝缘绕包后表面光滑,常规结构骨架下带材用量大、绕制松散;为此设计如图2b所示短端部线圈结构,其端部由两个直径为r2的半圆弧形段和直线段构成,可明显缩短轴向长度。

表1 静态密封型定子励磁无刷超导电机基本参数

Tab.1 Basic parameters of stationary seal stator-excitation brushless superconducting machines

参 数数 值 额定功率PN/kW100 额定电压UN/V380 额定电流IN/A152 额定转速/(r/min)300 功率因数>0.8 定子外径mm1 144 铁心长度mm300 电枢绕组冷却方式自然冷却 超导磁体个数12 双饼匝数120 超导带材 (绝缘绕包)YBCO-4.8 mm 测试工况77 K液氮 运行工况68~77 K过冷液氮

width=174.95,height=185.4

图2 常规跑道型和短端部型超导线圈示意图

Fig.2 Conventional runway type and short end type superconducting coils

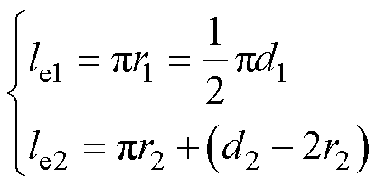
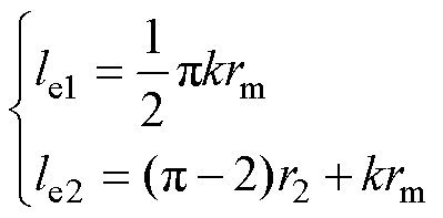
进一步定量对比两种结构,定义单侧超导线圈端部长度le1le2分别为

width=91,height=45 (1)

式中,d1d2为超导线圈直线边间距;r1r2需大于超导带材的最小弯曲半径rm

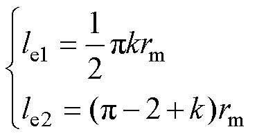
为公平对比这两种结构,假设超导线圈直线边间距d1=d2=d,且drm比值为k

(1)当k=2时,两种结构相同,le1=le2=prm

(2)当k>2时,两种结构单侧超导线圈端部长度le1le2

width=87,height=42.95 (2)

可以看出,le2r2也有关,以下分两种情况:

(1)当r2=k2rm,其中k2为比例系数,且k2=1时,有

width=81,height=42.95 (3)

两种结构单侧超导线圈端部长度差Dle

width=156,height=31 (4)

发现Dle是随k单调增的一次函数,当k=2时函数取最小值0,表明只要第二种结构中r2满足r2=rm,便可以节省超导带材。

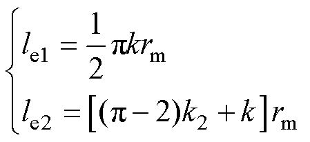
(2)当r2=k2rm,且k2>1时,有

width=98,height=45 (5)

两种结构单侧超导线圈端部长度差Dle

width=166,height=31 (6)

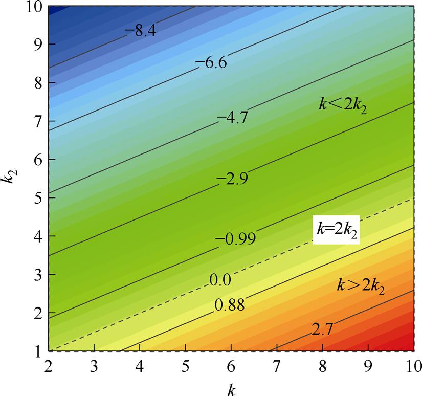
式(6)的变化曲线如图3所示,可以看出:

(1)当k=2k2时,Dle恒为零,即两种结构单侧超导线圈端部长度将始终相同。

width=180,height=168.95

图3 不同kk2对应的Dle变化

Fig.3 Dle variations corresponding to different k, k2

(2)当kk2时,Dle恒小于零,即常规跑道型超导线圈端部长度更短。

(3)当kk2时,Dle恒大于零,即所提短端部型超导线圈端部长度更短。

通过以上分析,可从超导线圈直线边间距d、超导带材弯曲半径rm和实际弯曲半径r2的角度,归纳出更具实用性的结论,见表2。

表2 选用规则总结

Tab.2 Summary of selection rules

d和rm关系应用特点常规跑道型短端部型 d=2rm两种相同√√ d>2rm且r2=2rm短端部型最短×√ d>2rm且d=2r2两种相同√√ d>2rm且d>2r2短端部型最短×√

注:√:推荐选用;×:不选用。

需要注意的是,超导带材的实际弯曲半径既要考虑低温系统和超导电机结构,还应大于带材所要求的最小弯曲半径,否则会影响超导带材的载流能力和机械寿命。以本研究为例,线圈实际弯曲直径53 mm,大于最小弯曲直径10~15 mm;线圈中间直线段长度ls1=ls2=300 mm、超导线圈间隙(d1=d2= 115 mm)、双饼匝数120匝,新研制的短端部型超导线圈可将超导磁体轴向长度缩短22.3%,超导带材成本节省11.4%;此外,还可缩短超导电机轴向长度,节省结构件用量,因此应用优势显著。

2.2 高紧凑超导线圈设计

高紧凑超导线圈示意图如图4所示。两种结构长边均为矩形直线边,两端为半圆弧线边,该设计会使直线边与半圆弧线边的过渡点成为应力集中点,导致超导线圈直线段不可避免地轻微凸起,即线圈直线段与线圈骨架存在间隙。如图4a所示,超导线圈松散会在电磁力波动时产生匝间位移,影响磁体绝缘和运行可靠性。

为改善这一缺点,如图4b所示,可将长边直线修改为微曲线,避免直线边与半圆弧线边的过渡点成为应力集中点。此时,线圈端部处于半径re圆弧Ce上,长边处于半径rs圆弧Cs上,圆弧Ce内切于圆弧Cs,微曲线平滑过渡至半圆弧线边。实际应用时,只需在骨架上设置2~3 mm拱高,即可实现超导线圈与线圈骨架的紧密贴合,消除间隙。

width=157.05,height=241.3

图4 高紧凑超导线圈示意图

Fig.4 High-compactness superconducting coil

2.3 超导线圈整体设计

基于上述设计,提出超导线圈整体结构。短端部高紧凑超导磁体如图5所示,包括线圈骨架、上(下)饼线圈、上(下)侧盖板、上(下)侧引线、分道片和上(下)饼OB结构、电流引线盖板等部件。图6为短端部高紧凑超导线圈具体组装过程示意图。其中,上(下)饼线圈中的YBCO带材绕制于骨架上;上(下)饼OB材料为薄不锈钢带,多匝紧密绕制于上饼和下饼线圈外侧;上(下)侧引线由镀锡紫铜编制带软连接线制成,在电流引线弯头处焊接于超导带材上,通过引线沟槽引出线圈;电压引线由绝缘漆包线制成,焊接后通过电压引线沟槽引出,连接至电压监测仪表;其他部件均由低收缩率G10制成,上(下)侧盖板上预留有沟槽,减重、提升线圈与冷却介质热交换效率,因此该超导线圈具有结构紧凑、绝缘可靠的优点。

width=193.55,height=128.65

图5 短端部高紧凑超导磁体

Fig.5 Short-end and high-compactness magnets

width=226.4,height=370.4

图6 超导磁体制造与组装过程示意图

Fig.6 Schematic diagram of superconducting magnet manufacturing and assembly process

2.4 超导线圈结构对电机性能的影响

为评估新结构和常规跑道型线圈结构对电机关键性能的影响,采用三维有限元模型对比了空载电动势和负载电磁转矩。超导线圈结构对电机主要性能的影响如图7所示。从图7可以看出,两种结构下电机性能差异很小,这是因为励磁定子聚磁效应降低了超导线圈端部形状的影响。这也证明了新结构在保证电机性能的前提下,降低了材料消耗和成本。

2.5 模块化超导磁体结构

图8为模块化超导磁体三维结构,超导线圈通过支撑架置于内杜瓦中,内杜瓦通过支撑架置于外杜瓦中;内杜瓦和外杜瓦构成冷却杜瓦系统,两者之间通过真空阀门外接真空泵保持真空。杜瓦外围设置有四组三通管,液氮、电流引线、电压引线和温度传感器引线均从此进出杜瓦并实现分路引出,液氮入口和液氮出口位于同侧。

width=204,height=242.25

图7 超导线圈结构对电机主要性能的影响

Fig.7 Influence of superconducting coil structure on the main performance of machines

width=192.95,height=112.3

图8 模块化超导磁体结构

Fig.8 Modular superconducting magnet structure

在制造超导磁体之前,首先校核冷却杜瓦系统的力学性能。将真空、外围管道焊接等力学载荷引入分析模型,分别评估内杜瓦和外杜瓦的形变和应力分布,如图9所示,可以发现:

(1)内杜瓦、外杜瓦最大形变量仅为0.011 4 mm和0.010 4 mm,大部分区域形变量小于0.006 2 mm。

(2)内杜瓦、外杜瓦最大应力仅为15.61 MPa和16.26 MPa,大部分区域应力低于10 MPa,远低于不锈钢的屈服强度206.8 MPa。

因此,杜瓦系统具有较好的力学性能,不会发生大形变开裂和超过材料屈服极限的现象。

width=220.8,height=228.2

图9 内外杜瓦应变和应力校核

Fig.9 Deformation and stress verification of internal and external Dewar vessels

3 模块化超导磁体研制

3.1 线圈骨架制造

图10为超导线圈骨架组件,每套均包括1件骨架、1件分道片、2件引线盖板和2件上下盖板。采用防滑沉头螺栓固定,需避免使用易锈、导磁类材质[29]。打磨骨架毛刺,防止破坏带材绝缘;同时应测量12套骨架尺寸一致性,避免因忽略加工误差而在装配过程中引入应力,影响超导磁体可靠运行。

width=127.55,height=97.3

图10 超导磁体线圈骨架

Fig.10 Coil skeleton of superconducting magnet

3.2 超导线圈绕制

设计了图11所示的绕线工装,包括1件底板和1件盖板,盖板凸出部分卡入线圈骨架内侧,绕线工装通过紧固螺栓紧固于绕线机转轴上,其旋转方向和超导带材进线方向保持一致。

width=188.1,height=129.25

图11 超导线圈绕制工装

Fig.11 Superconducting coil winding fixture

图12为超导线圈绕制过程,在焊接完电压和电流引线后,超导带材表面缠绕聚酰亚胺绝缘胶带以增强匝间绝缘,并使用银色不锈钢带来固定超导线圈;如图12d所示,超导线圈与骨架、电流引线盖板、上下盖板、分道片间配合较好,且受上下盖板保护,骨架也可隔绝其他部件损伤超导带材。

width=156.1,height=430.75

图12 超导线圈绕制过程

Fig.12 Winding process of superconducting coil

超导线圈绕制细节如图13所示,重点关注线圈边角处、端部段和微曲直线段,可以看出:①线圈表面平整且光滑,没有局部凸起;②边角处超导带材紧贴骨架圆角,说明超导带材即便在小圆角区域,也可较好过渡;③端部段的两处边角和直线段带材侧面圆滑且对称,有助于改善通流后整个线圈应力分布;④长直线段采用了所提长边微曲线骨架设计,消除了超导带材与骨架之间的间隙,使超导带材紧贴线圈骨架,达到了预期目的。

width=183.8,height=216.95

图13 超导线圈的绕制细节

Fig.13 Winding detail of superconducting coil

3.3 12组超导线圈

图14为绕制完成的12组超导线圈,外观一致性较好,下文将对12组超导线圈进行测试。

width=198.5,height=163.8

图14 绕制完成的12组超导线圈

Fig.14 12 sets of superconducting coils

4 高温超导磁体测试

4.1 临界电流测试平台

图15为超导磁体临界电流测试平台,主要包括液氮杜瓦、直流电源箱、工控机和泡沫箱。液氮杜瓦提供冷却液氮,直流电源箱按0.05 A/s升流和0.1 A/s降流方案输出励磁电流。液氮需完全浸没超导线圈,液面平稳表明线圈已被充分冷却。需注意的是,注入液氮前应用冷氮气充分预冷超导线圈。

width=161.6,height=278.15

图15 临界电流测试平台

Fig.15 Critical current testing platform

4.2 稳定通流测试

首先对超导磁体进行稳定通流测试,实验装置如图16所示,改变电流并使用霍尔探头检测超导线圈的中心点磁场,特斯拉计可显示磁场大小。为确保测量精度,使磁场方向垂直于霍尔传感器表面,且考虑液氮液位和操作安全,选择中心位置进行测量。

width=210.7,height=102.1

图16 稳定通流时中心点磁场测试

Fig.16 Magnetic field test during stable current flow

图17为实验与仿真结果,电流范围为0~80 A,步长为5 A。可以看出:①磁场幅值随电流增加而线性增加,表明中心点磁场与电流之间具有较好的线性度;②实验与仿真接近,最大误差6.79%,电流大于40 A后的误差均低于1.5%。

4.3 12组超导线圈临界电流测试

按照1 mV/cm失超判据,图18为12组超导线圈临界电流测试结果。临界电流均存在差异,最大值和最小值分别为108.96 A和76.13 A。超导线圈临界电流差异归因于超导带材自身差异,同一批次不同位置或不同批次超导带材的临界电流都会存在偏差,如1号超导线圈使用的带材,出厂测试时临界电流最大和最小值分别为258 A和125 A。但超导线圈在实际使用时,只需保证工作电流低于12组线圈中的最小临界电流,12组线圈磁动势将会相同,对超导电机运行不会产生影响。

width=200.75,height=149.15

图17 中心点磁场实验与仿真对比

Fig.17 Comparison between center point magnetic field experiment and simulation

width=192.15,height=160.55

图18 临界电流曲线

Fig.18 Critical current curves

4.4 冷却杜瓦焊接前后性能测试

图19为焊接冷却杜瓦系统后的模块化超导磁体,可以看出外观整洁、光滑。由于所研制的超导线圈经历了高温焊接、低温检漏、长途运输等流程,有损坏可能,因此对焊接冷却杜瓦系统前后的模块化超导磁体进行临界电流和n值测试。

测试结果如图20所示,焊接杜瓦后的临界电流稍有减小,n值略有增加。超导磁体临界电流在焊接冷却杜瓦系统前后的最大偏差率约为-4.66%,即焊接对临界电流影响较小,这一变化与高温超导带材特性、测试条件和安装方式有关,但处于合理的范围内。n值虽有变化,但对磁体运行没有影响[30]

width=200.05,height=132.7

图19 焊接冷却杜瓦系统后的超导磁体

Fig.19 Superconducting magnets after welding cooling Dewar system

width=182.25,height=344.85

图20 临界电流和n值对比

Fig.20 Comparisons of critical current and n values

4.5 超导磁体设计值与测试结果对比

模块化超导磁体的设计值与测试结果对比(77 K)见表3,可以看出,带材临界电流、超导磁体自场临界电流、超导磁体运行电流、带材长度、杜瓦系统漏率均满足设计要求;同时,基于第2节中的式(1)计算了单个线圈超导带材端部和总长度,发现实测值与设计值接近,验证了第2节理论分析的工程实用性。

表3 超导磁体设计值与测试值对比(77 K)

Tab.3 Comparison between design and test results of superconducting magnet (77 K)

参数设计值测试值结论 带材临界电流 (供货单)/A>120122~258满足 自场临界电流/A>6073.91~108.96满足 运行电流Iop(%)≤60≤60满足 单个超导磁体带材长度/m≈116≈114满足 冷却杜瓦系统漏率/(Pa·m3/s)<1×10-9<1×10-10满足

表3中,Iop为超导磁体实际运行电流Iop和临界电流Ic的比值[31-32],计算公式为

width=71,height=31 (7)

此外,本文中超导磁体的临界电流均是在77 K液氮中测试得到,而实际运行时会采用过冷箱提供过冷液氮。所以,设计制造的模块化超导磁体临界电流将会更高,可满足百千瓦级静态密封定子励磁超导风力发电机额定和扩功率运行。

5 结论

本文面向静态密封型定子励磁无刷超导电机应用,研制并测试了一种短端部高紧凑超导磁体:

1)考虑冷却杜瓦系统真空、外围管道焊接等力学载荷,内、外杜瓦最大形变量仅为0.011 4 mm和0.010 4 mm,最大应力15.61 MPa和16.26 MPa,远低于不锈钢屈服强度。因此,冷却杜瓦系统具有较好的力学性能,不存在发生大形变开裂风险。

2)提出采用G10骨架的超导线圈短端部和紧凑方案,长边呈微曲线,实现超导线圈与骨架紧密贴合,消除间隙;给出了常规和新线圈结构选用规则,为后续工程应用提供定量参考;新线圈结构在保持相同励磁能力前提下,超导线圈轴向长度缩短22.3%,超导带材成本节省11.4%。

3)详细给出短端部高紧凑超导线圈集成、制造流程,完成了12组超导磁体研制,搭建实验平台并进行磁体稳定通流测试、焊接冷却杜瓦系统前后临界电流测试,发现励磁能力满足设计要求,冷却杜瓦系统的焊接工艺对临界电流影响也较小。

本研究验证了所研制的超导磁体的结构合理性和应用价值,可为该类磁体应用提供重要参考。

致谢:本文中第二代高温超导带材YBCO采购、超导磁体绕制、冷却杜瓦系统焊接、实验平台搭建和实验数据测量得到了上海超导科技股份有限公司、中科院合肥物质科学研究院、中国科学院等离子体物理研究所、合肥国际应用超导中心、安徽万瑞冷电科技有限公司的多位领导、专家和工程师的大力支持,在此向他(她)们表示衷心的感谢!

参考文献

[1] 金建勋. 高温超导直线电机[M]. 北京: 科学出版社, 2011.

[2] 王皓, 王继轩, 于思洋, 等. 双定子风力发电机及关键技术发展综述[J]. 电工技术学报, 2025, 40(18): 5786-5804.

Wang Hao, Wang Jixuan, Yu Siyang, et al. Overview of dual-stator wind power generator and its key technology[J]. Transactions of China Electrotechnical Society, 2025, 40(18): 5786-5804.

[3] 张卓然, 陆嘉伟, 张伟秋, 等. 飞机电推进系统高效能电机及其驱动控制技术[J]. 中国电机工程学报, 2024, 44(16): 6610-6632.

Zhang Zhuoran, Lu Jiawei, Zhang Weiqiu, et al. High-performance electric machine and drive tech- nologies for aircraft electric propulsion systems[J]. Proceedings of the CSEE, 2024, 44(16): 6610-6632.

[4] 张东, 孙明伦, 陈彪, 等. 基于国产YBCO带材的高温超导发电机的研制[J]. 中国电机工程学报, 2021, 41(1): 354-362, 424.

Zhang Dong, Sun Minglun, Chen Biao, et al. Development of high temperature superconducting generator based on domestic YBCO tapes[J]. Proceedings of the CSEE, 2021, 41(1): 354-362, 424.

[5] 王玉彬, 朱新凯, 程明. 海上风力发电用静态密封双定子高温超导发电机的样机研制与测试[J]. 中国电机工程学报, 2021, 41(23): 8148-8159.

Wang Yubin, Zhu Xinkai, Cheng Ming. Development and test of prototype of dual-stator HTS offshore wind generator with stationary seal[J]. Proceedings of the CSEE, 2021, 41(23): 8148-8159.

[6] Chow C C T, Ainslie M D, Chau K T. High temperature superconducting rotating electrical machines: an overview[J]. Energy Reports, 2023, 9: 1124-1156.

[7] Wang Jin, Qu Ronghai, Tang Yuejin, et al. Design of a superconducting synchronous generator with LTS field windings for 12 MW offshore direct-drive wind turbines[J]. IEEE Transactions on Industrial Elec- tronics, 2016, 63(3): 1618-1628.

[8] 方海洋, 曲荣海, 唐跃进, 等. 13.2 MW海上超导直驱风力发电机设计[J]. 南方电网技术, 2015, 9(12): 70-79.

Fang Haiyang, Qu Ronghai, Tang Yuejin, et al. Design of 13.2 MW direct-drive superconducting generator for offshore wind turbines[J]. Southern Power System Technology, 2015, 9(12): 70-79.

[9] Cheng Yi, Qu Ronghai, Gao Yuting, et al. Com- parison of electromagnetic performance of 10-MW HTS double-stator flux modulation wind generators with different topologies[J]. IEEE Transactions on Applied Superconductivity, 2020, 30(4): 5202307.

[10] Wang Yubin, Wang Conggui, Feng Qi, et al. Design and experiment of an HTS flux-switching machine with stationary seal[J]. IEEE Transactions on Applied Superconductivity, 2017, 27(4): 5201405.

[11] 王绍睿, 李祥林, 张志恒, 等. 超导体及其在超导设备中的失超检测方法综述[J]. 电工技术学报, 2025, 40(16): 5164-5185.

Wang Shaorui, Li Xianglin, Zhang Zhiheng, et al. Overview of quench detection method for super- conductor and its superconducting equipment[J]. Transactions of China Electrotechnical Society, 2025, 40(16): 5164-5185.

[12] Song Xiaowei, Mijatovic N, Bührer C, et al. Experimental validation of a full-size pole pair set-up of an MW-class direct drive superconducting wind turbine generator[J]. IEEE Transactions on Energy Conversion, 2020, 35(2): 1120-1128.

[13] 王绍睿, 李祥林, 张志恒, 等. 超导体及其在超导设备中的失超检测方法综述[J]. 电工技术学报, 2025, 40(16): 5164-5185.

Wang Shaorui, Li Xianglin, Zhang Zhiheng, et al. Overview of quench detection method for super- conductor and its superconducting equipment[J]. Transactions of China Electrotechnical Society, 2025, 40(16): 5164-5185.

[14] 程颐. 大型双定子超导磁场调制风力发电机关键技术研究[D]. 武汉: 华中科技大学, 2021.

Cheng Yi. Research on key technologies of large- scale double-stator superconducting field modulation wind generator[D]. Wuhan: Huazhong University of Science and Technology, 2021.

[15] Cao Ruiwu, Lu Minghang. Reduction of thrust force ripple of high temperature superconducting linear flux-switching motors using asymmetry mover stru- cture[J]. IEEE Transactions on Applied Super- conductivity, 2021, 31(5): 5200905.

[16] 申刘飞, 翟雨佳, 吴星徵, 等. 海上超导风电制氢一体化研究进展与发展趋势[J]. 电工技术学报, 2025, 40(11): 3362-3380.

Shen Liufei, Zhai Yujia, Wu Xingzheng, et al. Progress and development trend of integrated research on hydrogen production from offshore supercon- ducting wind power[J]. Transactions of China Electrotechnical Society, 2025, 40(11): 3362-3380.

[17] Ma Jun, Pan Yuanhang, Luo Xuezhi, et al. Design of a 10 kW superconducting homopolar inductor machine based on HTS REBCO magnet[J]. IEEE Transactions on Applied Superconductivity, 2024, 34(5): 5200407.

[18] 翟耀, 马光同, 刘力豪, 等. 自驱式高温超导磁通泵的跨壁励磁实验与粒子群优化研究[J]. 电工技术学报, 2025, 40(18): 5759-5775.

Zhai Yao, Ma Guangtong, Liu Lihao, et al. Through- wall charging experiment and particle swarm opti- mization design of self-regulating high temperature superconducting flux pump[J]. Transactions of China Electrotechnical Society, 2025, 40(18): 5759-5775.

[19] Kalsi S, Hamilton K, Buckley R G, et al. Super- conducting AC homopolar machines for high-speed applications[J]. Energies, 2019, 12(1): 86.

[20] 杜锌成, 宋春同, 王玉彬. 静态密封双定子高温超导电机电磁噪声预测研究[J]. 电机与控制应用, 2023, 50(5): 26-38.

Du Xincheng, Song Chuntong, Wang Yubin. Vibroacou- stic prediction of high-temperature superconducting dual-stator generator with stationary seal[J]. Electric Machines & Control Application, 2023, 50(5): 26-38.

[21] Wang Yubin, Feng Qi, Li Xianglin, et al. Design, analysis, and experimental test of a segmented-rotor high-temperature superconducting flux-switching generator with stationary seal[J]. IEEE Transactions on Industrial Electronics, 2018, 65(11): 9047-9055.

[22] 罗俊, 刘康, 赵正伟, 等. 无铁心双层绕组超导直线同步电机参数优化设计[J]. 中国电机工程学报, 2024, 44(21): 8663-8673.

Luo Jun, Liu Kang, Zhao Zhengwei, et al. Optimal design of a coreless double-layer-winding supercon- ducting linear synchronous motor[J]. Proceedings of the CSEE, 2024, 44(21): 8663-8673.

[23] 曹继伟. 永磁同步电机高温超导电枢绕组的研究[D]. 哈尔滨: 哈尔滨工业大学, 2014.

Cao Jiwei. Research on superconducting armature winding in hts permanentmagnet synchronous motor[D]. Harbin: Harbin Institute of Technology, 2014.

[24] Cheng Yi, Hao Shengqiao, Li Weiyong, et al. Design and critical current testing of superconducting rotor coils for megawatt aviation motor[C]//2023 26th International Conference on Electrical Machines and Systems (ICEMS), Zhuhai, China, 2023: 3750-3753.

[25] 王为, 高云飞, 李洪, 等. 一种高温超导双饼线圈及其绕制固定方法: CN113257515B[P]. 2021-09-28.

[26] 刘光祺, 黑颖顿, 杨明昆, 等. 一种新型高温超导绕组: CN207149351U[P]. 2018-03-27.

[27] 龚天勇, 马光同, 任刚. 跑道型高温超导磁体的磁场解析计算模型[J]. 电工技术学报, 2023, 38(8): 1991-2003.

Gong Tianyong, Ma Guangtong, Ren Gang. Analytical models for the magnetic field calculation of racetrack high-temperature superconducting magnet[J]. Transa- ctions of China Electrotechnical Society, 2023, 38(8): 1991-2003.

[28] Zhang Zhiheng, Hua Wei, Zhu Xinkai, et al. A comprehensive comparison of double-stator supercon- ducting brushless machines using two typical field- excitation stator topologies[J]. IEEE Transactions on Industry Applications, 2024, 60(6): 8676-8686.

[29] Wang Yubin, Wang Qiusheng, Zhu Xinkai, et al. An improved critical current calculation method of HTS field-excitation coil for double-stator HTS generator with stationary seal[J]. IEEE Transactions on Energy Conversion, 2023, 38(1): 624-635.

[30] 郑智强, 翁廷坤, 李卓, 等. 基于YBCO高温超导线圈的新型无线供电悬浮系统电能传输特性研究[J]. 电工技术学报, 2024, 39(17): 5278-5288.

Zheng Zhiqiang, Weng Tingkun, Li Zhuo, et al. Characterization of a new wireless power supply suspension system based on YBCO high temperature superconducting coil[J]. Transactions of China Elec- trotechnical Society, 2024, 39(17): 5278-5288.

[31] Liu Yingzhen, Ou Jing, Schreiner F, et al. Design of a superconducting DC demonstrator for wind gen- erators[J]. IEEE Transactions on Energy Conversion, 2018, 33(4): 1955-1964.

[32] 龚天勇. 高温超导电动悬浮磁体的设计制造与温升特性实验研究[D]. 成都: 西南交通大学, 2022.

Gong Tianyong. Design, fabrication and thermal performance studies of high-temperature supercon- ducting electrodynamic suspension magnet[D]. Chengdu: Southwest Jiaotong University, 2022.

Development and Testing of Short-End and High-Compactness Superconducting Magnets for Stator-Excitation Brushless Superconducting Machines

Zhang Zhiheng1 Hua Wei2 Li Xianglin3,4 Zhu Xinkai5 Wang Yubin6 Qiu Zhiyu2,4

(1. School of Electrical and Information Engineering Zhengzhou University Zhengzhou 450001 China 2. School of Electrical Engineering Southeast University Nanjing 210096 China 3. College of Electrical Engineering Qingdao University Qingdao 266071 China 4. Advanced Ocean Institute of Southeast University Nantong Nantong 226010 China 5. Department of Electric Power Engineering North China Electric Power University Baoding 071003 China 6. College of New Energy China University of Petroleum Qingdao 266580 China)

Abstract To meet the application demands of stationary seal stator-excitation brushless superconducting machines, this study develops and validates a novel superconducting magnet featuring short ends and high compactness. Initially, a short-end superconducting coil design is proposed and compared with conventional racetrack-shaped coils. Practical selection rules for these two configurations are summarized based on the relationship among the straight-section spacing, the minimum bending radius of the superconducting tape, and the actual bending radius. Furthermore, to achieve a close fit between the coil and the skeleton, the long straight sides are modified into micro-curved arcs, effectively eliminating gaps and mitigating stress concentration at transition points. The overall structural composition of the superconducting magnet is detailed, including the coil skeleton, double-pancake coils, side cover plates, and current leads.

Compared to the conventional racetrack-shaped design, the developed superconducting magnet reduces the axial length by 22.3% and saves on superconducting tape costs by 11.4%. Finite element analysis confirms its minimal impact on key machine performance metrics, such as no-load back-EMF and load torque. The detailed manufacturing process for the modular magnet is elaborated, encompassing coil skeleton fabrication, winding procedures using a custom fixture, and assembly. Microscopic inspection of the wound coils reveals flat and smooth surfaces at corners, end sections, and micro-curved straight sections, with no local protrusions or irregularities, indicating successful elimination of gaps between the tape and skeleton. A comprehensive testing platform was established for critical current evaluation, and tests were conducted on the 12 fabricated modular magnets. The measured central magnetic field shows excellent agreement with simulation results during stable current flow, with a maximum error of only 6.79% (below 1.5% for currents above 40 A). Post-welding of the Dewar system, critical currents show only minor deviations (up to -4.66%), confirming the robustness of the manufacturing process. All tested parameters, including critical current, operating current margin, tape length, and Dewar leak rate, meet the design specifications.

This research provides a valuable reference for developing high-performance, cost-effective super- conducting magnets for this category of advanced electrical machines.

keywords:Stationary seal, superconducting machine, coil skeleton, critical current, YBCO

DOI: 10.19595/j.cnki.1000-6753.tces.250409

中图分类号:TM37

国家自然科学基金(52130706, 52507042)和东南大学南通海洋高等研究院基金(重点项目)(KP202405)资助项目。

收稿日期 2025-03-17

改稿日期 2025-06-27

作者简介

张志恒 男,1994年生,博士,助理教授,研究方向为特种电机分析与设计。E-mail: zhihengzhang@zzu.edu.cn

花 为 男,1978年生,博士,教授,博士生导师,研究方向为电动汽车电机驱动系统、新型永磁电机本体分析设计与控制等。E-mail: huawei1978@seu.edu.cn(通信作者)

(编辑 崔文静)