摘要 随着电磁负荷和功重比的增加,永磁同步电机的电磁振动和噪声问题日益突出,限制了其在电力推进系统中的进一步应用。因此,电磁振动和噪声特性已成为永磁同步电机重要的性能评价指标。该文详细回顾了近年来国内外有关永磁同步电机电磁振动和噪声的研究进展,并从电磁激励、声振机理、预测方法、影响因素和控制方法几大方面进行了归纳分析。在此基础上,对永磁同步电机电磁振动和噪声研究的发展趋势进行了展望。该文可为低振动噪声永磁同步电机的设计提供参考。
关键词:永磁同步电机 电力推进系统 电磁振动和噪声 声振机理 控制方法
由于高效率、高功率/转矩密度和结构紧凑[1-3]等优点,永磁同步电机(Permanent Magnet Syn- chronous Motor, PMSM)作为电力推进系统的主驱动电机在新能源汽车、海洋船舶、工程机械等高端装备领域得到了广泛应用[4-6]。然而,随着电磁负荷和功重比的不断增加,永磁同步电机的电磁振动和噪声问题日益凸显。一方面,大振幅的高频振动会影响轴承等关键零部件的疲劳寿命,从而影响电机的运行稳定性和可靠性[7]。另一方面,大声压级高频啸叫会带来严重的噪声污染,影响作业环境的舒适性,甚至影响相关人员的身心健康[8-9]。因此,声振性能已成为高品质永磁同步电机的重要评价指标。
根据来源,永磁同步电机的噪声包含电磁噪声、机械噪声和气动噪声。其中,由电磁激励所引发的电磁噪声占主导地位,并与电机的电磁、结构和控制参数密切相关。因此,研究电磁振动和噪声对于改善永磁同步电机的声振性能具有重要意义。本文详细回顾了电力推进系统中永磁同步电机电磁振动和噪声的研究现状,全面总结了永磁同步电机的电磁激励源,并从主导电磁力和主导结构模态的角度系统梳理了电磁振动和噪声的产生机理。此外,阐明了通过数值方法准确预测电磁振动和噪声的关键技术,并揭示了主要影响因素对电磁振动和噪声的影响规律。最后详细归纳分析了现有的电磁振动和噪声抑制方法,并对永磁同步电机电磁振动和噪声研究的发展趋势进行了展望,后续可为电力推进系统中高声振品质永磁同步电机的设计与开发提供参考。
永磁同步电机的磁通路径如图1所示,根据磁通路径,永磁同步电机可以分为径向磁通和轴向磁通电机[10]。按照定、转子位置,径向磁通电机可以进一步分为内转子和外转子电机。根据结构特点,轴向磁通和外转子永磁电机在电力推进系统中通常用作分布式驱动电机,比如电动汽车的轮毂电 机[11-12]和胶带运输用电动滚筒[13]等。内转子电机根据永磁体的安装位置可以细分为表贴式、表面插入式和内置式永磁同步电机[14],如图2所示。内转子永磁同步电机灵活多样的转子拓扑结构设计可使其满足高速、高机械强度、大转矩及强散热等多样的应用场景需求,因此成为电力推进系统主驱动电机的最佳选择。本文将以内转子永磁同步电机为例综述电磁振动和噪声的研究现状。
图1 永磁同步电机的磁通路径[10]
Fig.1 Flux path of PMSM[10]
图2 内转子永磁同步电机
Fig.2 Internal rotor PMSMs
对于内转子永磁同步电机,电磁振动和噪声实际上是作用于定子齿面的电磁激励所引发的定子总成和机壳等零部件的结构模态响应。定子齿面的电磁激励源主要包含径向电磁力、切向电磁力和转矩波动[15-16]。径向电磁力可以激发定子总成和机壳的径向模态,产生显著的径向振动并向外辐射噪声,因此,在以往的研究中通常认为径向电磁力是电磁振动和噪声的主要来源[17-19]。相反,切向电磁力主要激发电机的扭转模态,对电磁噪声的贡献较小。近年来的一些研究发现,切向电磁力可以通过定子齿臂的杠杆效应激发定子总成和机壳的径向模态,从而对电磁噪声产生较为重要的影响[20]。但是上述杠杆效应取决于定子齿臂具体的几何尺寸,比如齿宽和齿高等。
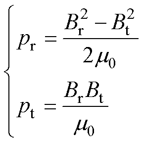
根据麦克斯韦应力张量方程,径向和切向电磁力分别为
(1)
式中,
和
分别为径向和切向气隙磁通密度;
为真空磁导率。由于气隙磁场是随时间和转子位置同时变化的,因此径向和切向电磁力也呈现出三维的时空分布特征,即具有空间阶次和频率特征,电磁力的时空分布如图3所示。除幅值外,电磁力的空间阶次和频率特性对电磁振动和噪声也有重要的影响,这将在后续进行阐述。
转矩波动是永磁同步电机另外一种电磁激励 源[21],它包含齿槽转矩、永磁转矩谐波和磁阻转矩谐波。根据麦克斯韦应力张量方程,将切向电磁力沿圆周方向积分便可得到输出转矩,有
图3 电磁力的时空分布
Fig.3 Spatiotemporal distribution of electromagnetic force
(2)
式中,
为定子铁心长度;r为积分半径。需要注意,电机的转矩波动与切向电磁力并非是等价的,转矩波动仅来源于空间0阶切向电磁力[22]。转矩波动对驱动电机本体的电磁噪声贡献较小,但是它会引发整个电力推进系统的振动。当转矩谐波的频率靠近系统的固有频率时,将会引发共振[23]。此外,在集成的电力推进系统中,转矩波动会影响减速器齿轮的动态啮合力,进而加剧电力推进系统的齿轮箱噪声[24]。
从主导电磁力和结构模态的角度系统揭示永磁同步电机的声振机理对电磁振动噪声的抑制具有重要意义。目前,有关声振机理的研究主要包括薄壁圆柱壳体理论和定子齿调制理论。
理想的薄壁圆柱壳体示意图如图4所示,通过结构和边界条件简化,内转子永磁同步电机的定子总成和机壳等结构可以等效为一个理想的薄壁圆柱壳体,其特性可由中性层的力学特性进行描述。根据模态叠加原理,该薄壁圆柱壳体的径向模态位移可以表示[25]为
图4 理想的薄壁圆柱壳体示意图
Fig.4 Diagram of ideal thin-walled cylindrical shell
(3)
式中,
为第j阶模态参与因子;
为第j阶径向模态振型函数。
在径向电磁力的作用下,式(3)中的径向模态参与因子可以写为
(4)
(5)
式中,L为薄壁圆柱壳体的长度;
和h分别为圆柱壳体的密度和厚度;
和
分别为第j阶轴向和周向模态振型函数;n为电磁力的空间阶次;
、
和
分别为电磁力的幅值、角频率和相位;
和
分别为圆柱壳体的固有频率和阻尼比。根据三角函数积分定理,式(5)分子中积分项的取值为
(6)
由式(6)可知,仅当电磁力的空间阶次等于结构的模态阶数时,该阶模态参与因子才不为零。由此可知,若要产生显著的电磁振动和噪声,径向电磁力和结构模态首先要满足空间匹配,如图5所示。其次,当电磁力的频率靠近电机的固有模态频率时才会产生共振。薄壁圆柱壳体理论表明,电磁振动和噪声不仅取决于电磁力的幅值,还与电磁力的空间阶次和频率特性密切相关。
在径向电磁力的作用下,定子的静态位移可由约旦理论[26]给出,有
图5 径向电磁力和结构模态的空间匹配
Fig.5 Spatial match of radial force and structural mode
(7)
式中,R为定子的平均半径;
为定子轭部半径;
为定子轭部的厚度;E为弹性模量;
为空间阶次为n、频率阶次为i的径向电磁力幅值。由式(7)可知,定子的静态位移与径向电磁力空间阶次的4次方近似成反比。因此,在传统分析中通常认为,电磁振动和噪声主要取决于空间低阶径向电磁力,而高阶电磁力(n>4)的影响则可以忽略。根据薄壁圆柱壳体理论可知,分数槽电机的电磁振动和噪声主要来源于空间最低非0阶电磁力,而整数槽电机主要来源于空间0阶电磁力[27-29]。比如,6极9槽电机的电磁振动和噪声主要是由空间3阶电磁力引发3阶模态响应产生的,而8极48槽电机的电磁振动和噪声主要是由空间0阶电磁力引发0阶模态(呼吸模态)响应产生的。
传统的薄壁圆柱壳体理论是基于简化的圆柱壳体建立的,因此没有考虑定子开槽结构的调制效应。定子齿的调制效应如图6所示,作用于定子齿面的分布电磁力经过定子齿臂传递到定子轭部,然后引起定子轭部的径向变形。电磁力的这一传递过程称为定子齿的调制效应[30-34],可以通过等效集中力进行解释。
图6 定子齿的调制效应
Fig.6 Stator teeth modulation effect
定子齿面的分布电磁力可以等效为一个径向集中力、一个切向集中力和一个力矩。该径向集中力可由分布电磁力沿定子齿面积分得到,积分路径如图7所示。进一步地,考虑奈奎斯特-香农采样定理,该径向集中力[31]可以写为
(8)
式中,Q为定子齿数;
为第Q个定子齿的位置;
为1/2齿距;
为电角速度;k为整数。由式(8)中的余弦项可知,电磁力在传递过程中将会受到定子开槽结构的调制。其中,分数槽永磁电机的极数阶分布电磁力将会被定子齿调制产生空间最低非0阶等效集中力。10极12槽永磁电机等效径向集中力如图8所示,永磁电机的空间10阶分布电磁力经定子齿的调制产生了空间2阶等效集中力[30]。新产生的空间2阶集中力将会加剧2阶模态响应。类似地,对于整数槽永磁电机,其槽数阶分布电磁力将会被定子齿调制产生空间0阶等效集中力[31],从而加剧整数槽电机的0阶模态响应。
图7 第Q个定子齿的积分区间示意图
Fig.7 Integral interval diagram of the Qth teeth
图8 10极12槽永磁电机等效径向集中力[30]
Fig.8 Equivalent radial concentrated force of 10p12s PMSM[30]
综上所述,分数槽电机的电磁振动和噪声主要来源于空间最低非0阶和极数阶电磁力,而整数槽电机的电磁振动和噪声主要来源于空间0阶和槽数阶电磁力。定子齿调制理论使人们对主导电磁力有了更清晰的认识。
电磁振动和噪声问题是复杂的多物理场非线性耦合问题,准确预测电磁振动和噪声一直是近年来的研究热点。电磁振动和噪声的预测方法包含解析法和数值法[35-37]。与解析法相比,数值法可以较好地考虑电机的非线性行为以及复杂的结构和约束条件[38],从而能够更为准确地预测电磁振动和噪声。电磁振动噪声的数值预测流程如图9所示,数值法预测电磁振动和噪声的大体流程为[39]:①计算电磁力;②获取电机的模态参数;③通过模态叠加法计算电磁振动;④通过边界元法计算声辐射。由于电磁振动和噪声取决于电机的电磁力和模态特性,因此上述数值方法的准确性关键在于两点:一是电磁力的正确加载;二是电机准确的等效结构建模。
图9 电磁振动噪声的数值预测流程[39]
Fig.9 Numerical prediction flow of electromagnetic vibration and noise[39]
电磁振动和噪声与电磁力的时空分布特征密切相关,正确加载电磁力是通过数值法准确地预测电磁振动和噪声的前提。早期,通常将分布电磁力等效为一个集中力施加在定子齿面[40-41]。一方面,该加载方式改变了原有电磁力的空间分布。另一方面,根据采样定理可知,该加载方式可以考虑的电磁力最高空间阶次仅为槽数的一半,因此无法考虑高阶电磁力的影响[42]。由定子齿的调制效应可知,这种加载方式将会引入较大的计算误差。针对上述问题,文献[43]提出了一种面压力加载方法。此外,文献[44]提出通过节点力映射的方法将电磁力从电磁网格转移至结构网格。结构网格上的分布电磁力如图10所示。由于可以保证结构网格和电磁网格上的电磁力具有相同的时空分布特征,节点力映射的加载方法可以有效地提高电磁振动和噪声的预测精度。
内转子永磁同步电机的机壳和端盖是形状较为规则的连续弹性体,因此可以在模态仿真中建立它们的几何实体模型。然而,永磁同步电机定子总成如图11所示,定子铁心和绕组分别是由硅钢片和铜线(或铜片)堆叠而成的,且表面涂有绝缘胶和浸漆等,因此很难建立定子总成的几何实体模型。在模态仿真中需要建立准确的定子总成等效结构模型以获取电机的模态参数。
图10 结构网格上的分布电磁力
Fig.10 Distributed electromagnetic force on structural mesh
图11 永磁同步电机定子总成
Fig.11 Stator assembly of PMSM
3.2.1 各向异性材料参数
定子铁心和绕组是非连续弹性体,在xyz坐标系下沿不同的方向展示出不同的力学特性。此时,赋予定子铁心和绕组各向同性材料参数将无法反映定子总成的真实固有特性,导致模态仿真结果与试验结果存在较大的误差。因此,在模态仿真分析中,需要赋予定子总成各向异性材料参数[45-46]。连续弹性体的刚度矩阵[47]为
(9)
由式(9)可知,连续弹性体的模态特性是由9个工程常数决定的,包含3个弹性模量(
、
、
)、3个剪切模量(
、
、
)和3个泊松比(
、
、
)。文献[47]详细探究了各个工程常数对定子总成模态特性的影响规律,发现弹性模量和剪切模量对模态频率的影响较大,而泊松比的影响较小。此外,由于结构对称性,x和y方向的弹性模量相同,而xOz和yOz平面内的剪切模量相同,因此仅需要确定
(
)、
、
和
(
) 4个各向异性材料参数即可。上述各向异性材料参数可以通过定子铁心、定子总成以及整机的模态试验进行辨识,具体细节可以参考文献[39, 47-49]。
3.2.2 绕组的等效处理
相比于定子铁心,绕组的几何形状并不规则,致使绕组的等效处理成为电机等效结构建模中的难点。文献[27]将分数槽集中绕组等效为槽内直导体以同时考虑绕组的质量和刚度效应,这在一定程度上提高了等效建模精度。然而由于忽略了绕组端部的影响,该方法仅适用于绕组端部质量和刚度较小的电机。而对于绕组端部质量和刚度较大的电机,文献[50-51]根据分数槽集中绕组和整数槽分布绕组的几何结构特征分别提出了圈型绕组和笼型绕组的等效处理方法,进一步提高了等效建模精度。但是由于绕组的刚度较小,上述建模方法在模态仿真中会引入大量的局部模态,将增加仿真计算时间以及定子总成和整机的模态识别困难程度。针对上述问题,文献[52]则通过壳单元对绕组进行了等效处理。通过壳单元,绕组的真实质量被添加在定子铁心上,而其刚度效应则被等效到定子铁心的各向异性材料参数中,从而避免了引入局部模态,并简化了模态识别过程。尽管电机的模态特性取决于具体的几何结构和约束关系,上述绕组等效处理方法在电机等效结构建模中值得借鉴和参考。定子绕组的等效处理如图12所示。
图12 定子绕组的等效处理[27, 50-52]
Fig.12 Equivalent treatment of stator winding[27, 50-52]
如图9所示,电磁力从电磁网格映射到结构网格后,结合电机各向异性等效结构模型获得的模态仿真结果,利用模态叠加法可以计算电机表面的电磁振动响应。模态叠加法可表示为
(10)
式中,N为模态数;
为第j阶模态振型;
为时变的电磁力;
和
分别为质量和阻尼矩阵。
通过模态叠加法求得电机的表面振速后,可以将其作为声学边界条件,利用边界元法计算电机的电磁噪声。与有限元法相比,边界元法仅需要电机的表面网格,而不需要实体网格,因此可以极大地节约计算时间。边界元法可以建立电机表面振速和声压之间的关系,有
(11)
式中,
为声压;
为噪声传递矢量;
为电机的表面振速。
考虑永磁同步电机的设计、材料、制造工艺和运行条件,电磁振动和噪声的影响因素主要包括极槽配合、电流谐波、非均匀气隙和磁致伸缩效应。
极槽配合在很大程度上决定了电机的振动和噪声水平。首先,极槽配合决定了定子绕组的布置形式,从而会通过改变气隙磁场的方式影响电磁力谐波的幅值[53]。其次,极槽配合决定了电磁力的时空分布特征。电磁力的空间最低非0阶次等于极槽数的最大公约数,而频率特性上整体满足2kpfr[54-55]。其中,p为电机极对数,fr为机械转频。现有的研究普遍认为空间最低非0阶次越高的电机,声振性能越优异,且整数槽电机要优于分数槽电机[56-57]。文献[58]通过对比研究发现,电磁力空间阶次对振动噪声的影响最大,频率次之,电磁力幅值的影响最小。基于上述分析可知,多极数的整数槽永磁同步电机更适合用作电力推进系统的主驱动电机。比如,目前电动汽车的主驱动电机多采用8极48槽,甚至是10极60槽和12极72槽。
受电机非理想结构和控制因素的影响,定子绕组中的相电流总是包含大量的谐波成分[59]。电流谐波产生的电枢反应磁场与永磁体磁场相互作用会影响电磁力的幅值或频率特性,从而对电磁振动噪声产生重要影响[60]。目前,电力推进系统中永磁同步电机的电流谐波主要来源于逆变器死区时间[39, 61-62]、转子位置检测误差[63-64]和逆变器控制策略[65-67]。
4.2.1 死区电流谐波
逆变器死区时间示意图如图13所示,为了避免短路故障,逆变器上、下桥臂的触发信号之间总是存在一个时间延迟,称为死区时间。死区时间的存在会引入奇数阶的相电压误差,进而使Y型绕组产生5、7次等
次的相电流谐波[61]。该类电流谐波会影响电磁力的幅值,但不影响其时空分布特征。因此,死区电流谐波仅会影响原有电磁振动和噪声峰值的大小,而不会产生新的阶次。需要注意,永磁同步电机的感应电动势谐波也会产生
次的相电流谐波[58]。由于该电流谐波的幅值较小,因此在振动噪声分析中可以忽略。
图13 逆变器死区时间示意图
Fig.13 Diagram of inverter deadtime
4.2.2 转子位置误差引起的电流谐波
在永磁同步电机的控制中,需要实时检测转子位置信息以实现电流在dq坐标系和三相定子坐标系的转换。目前,永磁同步电机的转子位置检测大多依靠旋转变压器[68]或霍尔传感器[69]。但受限于制造和安装工艺,传感器误差势必会产生转子位置检测误差,进而引入新的电流谐波,恶化电机的声振性能。
如图14所示,由励磁绕组和输出绕组构成的旋转变压器是一种基于磁性原理的旋转编码器[70]。基于旋转变压器两相正交输出绕组的交流电压信号可以进行电机转子位置检测。图14中,ER1-R2为励磁绕组电压,ES1-S3和ES2-S4为输出绕组两相感应电压。但是,直流偏移和振幅不平衡等旋变误差会导致转子位置检测误差[63],有
(12)
式中,
和
分别为振幅不平衡量和直流偏移量;
为旋转变压器的极对数;
为电角度。上述转子位置误差会引入
和
阶相电流谐波(k1、k2为整数),其阶次取决于旋转变压器和电机极对数的比值。

图14 旋转变压器[70]
Fig.14 Resolver[64]
有安装误差时的三相霍尔信号如图15所示,图中hae、hbe和hce为有安装误差时的三相霍尔信号,
、
和
为三相霍尔安装误差,XORe为有安装误差时的异或信号。霍尔传感器安装误差会使三相霍尔信号发生畸变,从而导致检测到的转子位置误差包含大量的偶数次谐波[64],有
(13)
式中,
为转子位置误差的直流分量;
和
分别为2k次转子位置误差谐波的幅值和相位。转子位置误差不仅会影响电流基波和原有电流谐波的幅值,还会引入
次的异常电流谐波。

图15 有安装误差时的三相霍尔信号[64]
Fig.15 Three-phase Hall signals with installation error[64]
由转子位置检测误差引起的电流谐波除影响原有电磁力的幅值外,还会产生新的电磁力频率成分,通过加剧对应的结构模态响应恶化电机的声振性能。
4.2.3 边频电流谐波
电力推进系统中永磁同步电机通常采用空间矢量脉宽调制[71]。受调制策略的影响,在载波频率及其倍频附近会产生频率为
的边频电流谐波[72-75],其中,
和
分别为载波频率和电频率。与永磁体磁场相互作用,该类电流谐波会产生边频电磁力并引发边频噪声,如图16所示[74]。为了降低边频噪声的影响,电动汽车用永磁驱动电机的载波频率一般设置在9~10 kHz以上。但受限于逆变器电子元器件特性,高压大容量永磁驱动电机的载波频率不能太高,一般在1 kHz左右。此时,边频电磁力与原有电磁力会产生重叠,从而加强原有的电磁噪声峰值。
图16 边频电流和边频噪声[74]
Fig.16 Sideband current and sideband noise[74]
受制造、安装工艺及使用环境的影响,电机定、转子间容易产生非均匀气隙,进而导致气隙磁场和电磁力畸变,加剧电磁振动和噪声[76-78]。电机的非均匀气隙如图17所示,主要包括转子偏心[79-81]及定子椭圆变形[82]。转子二维静偏心和动偏心对电机磁导分布的影响可以用磁导修正函数[81]来表示,有
(14)
式中,
和
分别为二维静态和动态磁导修正函数;
和
分别为二维静态和动态偏心率;
为机械角速度。利用麦克斯韦应力张量法可以推导出,二维静偏心主要会引入空间
阶电磁力,而动偏心则会引入空间
阶且频率为
的电磁力。其中,
为原有电磁力的频率,fr为机械转频。根据约旦理论,新产生的空间低阶电磁力会通过激发结构低阶模态响应而恶化电机的声振性能。此外,三维偏心和定子椭圆变形的影响规律与二维偏心类似,具体可以参考文献[81-82]。

图17 非均匀气隙示意图
Fig.17 Diagram of non-uniform air gap
磁致伸缩效应是电磁振动和噪声的另一重要影响因素,其对电磁振动和噪声的影响与磁致伸缩系数成正比[83-84]。由于硅钢片的磁致伸缩系数较小,因此磁致伸缩效应对传统硅钢片电机的振动噪声影响较小。然而,非晶合金材料的磁致伸缩系数较高,通常是传统硅钢片材料的10倍以上,因此磁致伸缩效应对非晶合金电机的振动噪声性能影响较大[85]。受磁致伸缩效应的影响,同功率等级的非晶合金电机的振动幅值比传统硅钢片电机大2.4~4.4倍,而某些频率下的噪声峰值比硅钢片电机大25%。此外,文献[86]通过对比研究发现,在非晶合金电机中,磁致伸缩效应引发的电磁振动约占电磁力引发的电磁振动的1/3,因此在非晶合金电机的电磁振动噪声计算与分析中不应忽略磁致伸缩效应的影响。
基于电磁振动和噪声的本质,可以通过电磁力和模态优化的方式提升永磁同步电机的声振性能。根据具体原理,电磁振动和噪声的抑制方法可以归为两类:一类是基于控制策略改进的减振降噪方法;另一类是基于结构改进的减振降噪方法。
基于控制策略改进抑制相电流谐波可以有效提升永磁同步电机的声振性能。首先,对于阶次电流谐波,文献[87-88]提出了死区时间补偿方法,有效地提高了相电流的波形正弦度。文献[89]提出了dq坐标系下6次谐波谐振控制器,有效抑制了5、7次相电流谐波,削弱了电机的振动功率。其次,文献[90]提出了一种霍尔扇区初始位置校正方法。文献[91-92]提出了旋转变压器非理想输出信号的补偿算法。文献[90-92]通过一定的补偿算法来弥补转子位置检测误差,从而有效抑制了电机的异常阶次电流谐波。此外,还可以通过谐波电流注入[93]的方法降低电磁振动和噪声。该方法的关键在于确保注入的谐波电流所产生的电磁力与原主导电磁力具有相同的空间阶次、频率特性以及相反的相位。
对于边频噪声,可以通过载波频率调整或扩频调制技术进行控制。通过调整载波频率可以避免边频电磁力与电机结构模态发生共振,甚至可以将边频噪声移至人耳不敏感的频带[94-95]。但该方法对于高压大容量电机具有一定的局限性,过高的载波频率会加剧变频器的损耗和温升问题。扩频调制技术包含随机调制和周期调制[96-98],该方法可以把边频噪声能量分散到更宽的频带,从而削弱原有的边频噪声峰值。但是,将边频电磁力分散到更宽的频带也增大了电机发生共振的风险。
综上所述,通过控制策略改进可以有效抑制特定阶次的电流谐波,从而优化与之相关的电磁力幅值,实现减振降噪。但是,控制参数容易受电机电磁参数的影响,整定较为困难,这增加了控制器的开发难度和成本。随着控制理论的发展,可在现有理论方法的基础上进一步完善控制策略以提高电机的声振性能。
电机结构改进也可以有效抑制主要的振动和噪声峰值。与控制策略改进相比,结构改进工艺简单、成本低廉且不受电机参数变化的影响。永磁同步电机丰富的转子拓扑结构为结构改进提供了很大的选择空间。截至目前,根据具体的实施原理,基于结构改进的减振降噪方法大致可以分为三类:模态规划、电磁力幅值优化和电磁力作用效果优化,见表1。
5.2.1 模态规划
模态规划是指通过优化零部件的结构参数使电机的固有频率远离电磁力的频率,从而避免共振或削弱原有的振动噪声峰值[99]。文献[100]提出通过优化定子轭部和定子槽的方式提高电机的刚度以避免共振。此外,电机壳体、端盖和变频器盖板等薄壁件可以采用增设加强筋的方法来提高刚度。模态优化对于恒转速电机是非常有效的。但是,由频率响应函数曲线的共振峰和反共振峰可知,电机的刚度提升是有限的。因此,对于转速区间较宽的电机,电磁力是宽频激励,很难在整个运行速度区间完全避开共振。
表1 基于结构改进的优化方法
Tab.1 Optimization methods based on structural improvement
原理具体方法参考文献特点电机类型 模态规划定子结构尺寸参数优化以提升刚度[99-100]减振降噪效果不受控制参数的影响刚度提升有限内置式永磁电机 电磁力幅值优化永磁体布置方式[101-105]电磁力幅值显著降低永磁体安装难度较大内转子永磁电机 极弧系数优化[106]电磁力抑制效果明显输出转矩降低轴向磁通永磁电机 倒角/削极[107-108]减振降噪效果明显永磁体加工困难内转子永磁电机 槽口尺寸优化[107]显著降低电磁力优化空间有限内转子永磁电机 辅助槽[109-110]目标峰值降低明显可能会增大其他峰值爪极发电机、表贴式永磁电机 磁桥/磁障优化[101, 111-112]显著改善气隙磁场分布加工困难内置式永磁电机、永磁辅助同步磁阻电机 电磁力作用效果优化斜槽[114-115]显著抵消永磁体磁场和磁导谐波相互作用产生的电磁力作用效果生产工艺要求高,会产生轴向力,输出转矩降低永磁电机、永磁无刷直流电机 连续斜极[107]显著抵消永磁体磁场谐波相互作用产生的电磁力作用效果永磁体安装困难,会产生轴向力,输出转矩降低内转子永磁电机 线性分段斜极[116-119]减振降噪显著,工艺简单会产生轴向力,输出转矩降低表贴式、内置式永磁电机 V型/Z型分段斜极[120-122]减振降噪显著,抵消了轴向力输出转矩降低,生产工艺复杂内置式永磁电机、永磁直流无刷电机
5.2.2 电磁力幅值优化
永磁同步电机的电磁力主要取决于永磁体磁场谐波和磁导谐波,因此可以通过优化上述两种谐波来削弱主导电磁力的幅值,进而降低电机的振动和噪声峰值。永磁体的布置形式如图18所示,文献[101]对比研究了轮辐式、一字型、U型和V型转子结构的电磁性能,结果表明一字型转子结构具有最高的磁场强度以及最低的总谐波畸变率,这有利于提升电机的声振性能。而V型转子结构则具有更高的磁阻转矩和效率,因此可以节约永磁材料并提升电机的弱磁能力。可以看出,多样的永磁体布置可以平衡电机设计过程中的声振指标和其他电磁性能指标需求。文献[102]则在保证相同永磁体用量的前提下对比分析了V型和▽型电机的声振性能,发现多层永磁体布置方式可以有效降低气隙磁通密度谐波和电磁力谐波的幅值。文献[103]在U型转子结构的基础上提出了U一型永磁体布置方式,显著降低了气隙磁通密度谐波含量,同时结合永磁体充磁方式的优化使得电机的总声压级降低了10%以上。可见,永磁体在转子铁心内多样的布置形式[101-105]为降低永磁体磁场谐波,改善电机的声振性能提供了丰富的选择,具体总结见表2。需要指出的是,电机的电磁性能与转子的结构尺寸参数密切相关,由于变量过多,上述研究多为定量的对比研究,目前尚缺乏深入的定性分析。此外,过于复杂的永磁体布置方式会增加工艺难度和生产成本,已有的研究大多是通过有限元法实现的,而未考虑上述问题。除永磁体布置方式外,还可以通过极弧系数优化[106]以及倒角、削极等永磁体形状优化[107-108]降低磁场谐波。对于磁导谐波,则可以通过槽口尺寸优化[107]、辅助槽[109-110]以及隔磁桥/磁障优化[101, 111-112]等方法进行抑制。主导电磁力幅值的降低将直接削弱主要的振动和噪声峰值,最终有效降低电机的总声压级。
图18 永磁体的布置形式[101]
Fig.18 Arrangement of permanent magnets[101]
5.2.3 电磁力作用效果优化
电磁力的轴向分布如图19所示。如图19a所示,忽略端部效应,直槽(极)电机定子齿面的径向电磁力沿齿面中心线均匀分布。通过倾斜定子槽或永磁体可以改变电磁力的分布,根据不同轴向位置处电磁力的相位关系,其作用效果可以相互抵消,如图19b和图19c所示。斜槽法最初被用于抑制感应电机的转矩波动和电磁振动[113],后续该方法也被用于永磁电机[114-115]。将永磁电机的定子槽倾斜合适的机械角度,在不改变电磁力空间阶次和频率特性的前提下,可以有效抑制由永磁体磁场和定子开槽结构相互作用产生的电磁力的作用效果,从而削弱振动和噪声峰值。
表2 常见的永磁体布置方式
Tab.2 Common arrangements of permanent magnets
永磁体布置方式参考文献特点 轮辐式[101]利于多极数电机设计永磁材料利用率低,总谐波失真度大 表贴式[104]永磁材料利用率高,磁场强度高,工艺简单永磁体易脱落,不适合高转速电机 一字型[101]永磁材料利用率高,磁场强度高,工艺简单凸极特性差,高速弱磁能力低 V型[101]具有聚磁效应,凸极特性强,磁阻转矩大磁场谐波较大,转矩波动严重 U型[101, 103]具有聚磁效应,凸极特性强,磁阻转矩大磁场谐波较大,转矩波动严重,工艺较复杂 多层永磁体[102-103, 105]气隙磁场正弦度高,电磁力幅值小,减振降噪显著转子结构复杂,机械强度低,制造工艺复杂,磁桥漏磁严重
图19 电磁力的轴向分布
Fig.19 Axial distribution of electromagnetic force
对于永磁同步电机,永磁体磁场在气隙中占主导。因此,永磁体磁场谐波的相互作用对主导电磁力的贡献更大。基于上述背景,斜极法具有更好的减振降噪效果。斜极示意图如图20所示。如图20a所示,连续斜极[107]的原理与斜槽类似,区别在于所抑制的电磁力的具体来源不同。为了简化工艺、降低生产难度,文献[116-119]提出了线性分段斜极,如图20b所示。然而,由于非对称,连续斜极和线性分段斜极均有可能引入轴向不平衡磁拉力[120],加剧电机的轴向振动和轴承磨损。基于上述问题,文献[120-122]提出了V型和Z型斜极以优化减振降噪效果,如图20c和图20d所示。综上所述,永磁同步电机多样的拓扑结构为减振降噪提供了很大的选择空间。
图20 斜极示意图
Fig.20 Diagram of pole skewing
近年来,电磁振动和噪声研究得到了快速发展,但随着永磁同步电机应用场景的拓展和电磁负荷的增加,仍有一些问题尚待解决,具体如下:
(1)目前,有关电磁振动和噪声产生机理的研究大多是基于单一运行工况开展的,未考虑电力推进系统复杂运行工况的影响。电磁力的幅频特性随转速和负载的变化呈现出非线性时变的特点,这导致变速变载工况下最大的振动和噪声峰值阶次不同,因此产生机理也不同。综合考虑电力推进系统复杂运行工况的影响,探究变速变载工况下电磁振动噪声的产生机理和演变规律是未来值得研究的方向。
(2)已有的电磁振动和噪声控制方法也是基于单一运行工况提出的。变速变载工况下,电磁振动和噪声的产生机理不同,因此已有的控制方法无法在全运行工况下实现有效的电磁振动和噪声控制。综合模态规划、结构改进和控制策略优化,提出面向电力推进系统全运行工况的电磁振动噪声有效协调控制方法亟待解决。
(3)现有的研究对象多是低压小型永磁同步电机。随着电驱技术的发展,高压大容量永磁变频一体机在海洋船舶、冶金、煤炭/油气开采等领域得到了广泛应用。然而,由于大电磁负荷,高压大容量永磁变频一体机的电磁振动和噪声问题更为严峻,其噪声值通常在95 dB以上。高压变频供电引入的电流谐波和结构集成引起的模态畸变使其声振机理更为复杂,声振控制也更为困难。因此,高压大容量永磁变频一体机的电磁振动噪声特性和控制方法是未来重要的研究方向。
电磁振动和噪声问题是涉及电、磁、力、结构模态、振动和声辐射等复杂的多物理场非线性耦合问题,目前已成为电力推进系统中永磁同步电机最重要的性能评价指标之一。国内外学者已针对上述问题,从电磁激励、产生机理、预测方法、影响因素和控制方法等方面开展了大量的理论、仿真和试验研究。本文系统地归纳分析了电磁振动和噪声的研究现状,并阐述了未来的发展趋势,可以为永磁同步电机的声振控制以及高声振品质永磁同步电机的设计与开发提供一定的参考。
参考文献
[1] Ramesh P, Lenin N C. High power density electrical machines for electric vehicles: comprehensive review based on material technology[J]. IEEE Transactions on Magnetics, 2019, 55(11): 0900121.
[2] 佟文明, 杜绍雨, 贾建国, 等. 基于改进复相对磁导函数的开槽轴向磁通永磁电机气隙磁场解析模型[J]. 电工技术学报, 2024, 39(24): 7700-7711.
Tong Wenming, Du Shaoyu, Jia Jianguo, et al. Analytical model of air-gap magnetic field of slotted axial flux permanent magnet motor based on improved complex relative permeance function[J]. Transactions of China Electrotechnical Society, 2024, 39(24): 7700-7711.
[3] 孙玉华, 赵文祥, 吉敬华, 等. 高转矩性能多相组永磁电机及其关键技术综述[J]. 电工技术学报, 2023, 38(6): 1403-1420.
Sun Yuhua, Zhao Wenxiang, Ji Jinghua, et al. Overview of multi-star multi-phase permanent magnet machines with high torque performance and its key technologies[J]. Transactions of China Electrotech- nical Society, 2023, 38(6): 1403-1420.
[4] 张丙楠, 杜博超, 赵天旭, 等. 舰船电力推进电机研究现状与发展综述[J]. 中国电机工程学报, 2022, 42(20): 7608-7623.
Zhang Bingnan, Du Bochao, Zhao Tianxu, et al. Overview of research status and development of ship electric propulsion motors[J]. Proceedings of the CSEE, 2022, 42(20): 7608-7623.
[5] 崔刚, 熊斌, 黄康杰, 等. 电动汽车用永磁电机的失磁空间分布特性及影响因素[J]. 电工技术学报, 2023, 38(22): 5959-5974.
Cui Gang, Xiong Bin, Huang Kangjie, et al. Spatial distribution characteristics and influencing factors of demagnetization of permanent magnet motor for electric vehicle[J]. Transactions of China Electrotech- nical Society, 2023, 38(22): 5959-5974.
[6] Zhang Qinghu, Jia Zhewu, Cheng Siwei, et al. Analysis and calculation of radial electromagnetic force of circular winding brushless DC motor[J]. IEEE Transactions on Industrial Electronics, 2020, 67(6): 4338-4349.
[7] 王道涵, 彭晨, 王柄东, 等. 电动汽车新型转子内置式永磁同步电动机转矩脉动与电磁振动抑制研究[J]. 中国电机工程学报, 2022, 42(14): 5289-5300.
Wang Daohan, Peng Chen, Wang Bingdong, et al. Research on a novel interior permanent magnet machine with segmented rotor to mitigate torque ripple and electromagnetic vibration[J]. Proceedings of the CSEE, 2022, 42(14): 5289-5300.
[8] Dong Qichao, Liu Xintian, Qi Hongzhong, et al. Vibro-acoustic prediction and evaluation of permanent magnet synchronous motors[J]. Proceedings of the Institution of Mechanical Engineers, Part D: Journal of Automobile Engineering, 2020, 234(12): 2783- 2793.
[9] Dong Qichao, Liu Xintian, Qi Hongzhong, et al. Analysis and evaluation of electromagnetic vibration and noise in permanent magnet synchronous motor with rotor step skewing[J]. Science China Tech- nological Sciences, 2019, 62(5): 839-848.
[10] Chau K T, Chan C C, Liu Chunhua. Overview of permanent-magnet brushless drives for electric and hybrid electric vehicles[J]. IEEE Transactions on Industrial Electronics, 2008, 55(6): 2246-2257.
[11] 黄允凯, 周涛, 董剑宁, 等. 轴向永磁电机及其研究发展综述[J]. 中国电机工程学报, 2015, 35(1): 192-205.
Huang Yunkai, Zhou Tao, Dong Jianning, et al. An overview on developments and researches of axial flux permanent magnet machines[J]. Proceedings of the CSEE, 2015, 35(1): 192-205.
[12] 关涛, 刘大猛, 何永勇. 永磁轮毂电机技术发展综述[J]. 电工技术学报, 2024, 39(2): 378-396.
Guan Tao, Liu Dameng, He Yongyong. Review on development of permanent magnet in-wheel motors[J]. Transactions of China Electrotechnical Society, 2024, 39(2): 378-396.
[13] 马鑫, 郑庆华, 周挺, 等. 电动滚筒用永磁外转子电机水冷系统的设计与分析[J]. 电机与控制应用, 2023, 50(9): 8-13, 27.
Ma Xin, Zheng Qinghua, Zhou Ting, et al. Design and analysis of water cooling system for permanent magnet outer rotor motor used in electric drum[J]. Electric Machines & Control Application, 2023, 50(9): 8-13, 27.
[14] 王秀和. 永磁电机[M]. 2版. 北京: 中国电力出版社, 2011.
[15] Boesing M, De Doncker R W. Exploring a vibration synthesis process for the acoustic characterization of electric drives[J]. IEEE Transactions on Industry Applications, 2012, 48(1): 70-78.
[16] 王力新, 王晓远, 高鹏, 等. 电动汽车用内置式永磁同步电机转矩脉动分析及抑制[J]. 电工技术学报, 2024, 39(20): 6386-6396.
Wang Lixin, Wang Xiaoyuan, Gao Peng, et al. Torque ripple reduction analysis of interior permanent magnet synchronous motor for electric vehicle[J]. Transa- ctions of China Electrotechnical Society, 2024, 39(20): 6386-6396.
[17] 陈少先, 丁树业, 申淑锋, 等. 船舶用表贴式永磁同步电机的电磁振动分析与抑制[J]. 电工技术学报, 2023, 38(5): 1275-1286, 1298.
Chen Shaoxian, Ding Shuye, Shen Shufeng, et al. Analysis and suppression of electromagnetic vibration of surface mounted permanent magnet synchronous motor for ships[J]. Transactions of China Electro- technical Society, 2023, 38(5): 1275-1286, 1298.
[18] 毛彦欣, 赵文祥. 径向磁通永磁同步电机电磁振噪综述[J]. 中国电机工程学报, 2025, 45(9): 3667- 3685.
Mao Yanxin, Zhao Wenxiang. Overview of electro- magnetic vibration and noise in radial-flux permanent magnet synchronous machine[J]. Proceedings of the CSEE, 2025, 45(9): 3667-3685.
[19] 刘栋良, 詹成根, 屈峰, 等. 无人机17 kW电机振动噪声分析与巡航转速下尖端噪声优化[J]. 电工技术学报, 2024, 39(6): 1749-1763.
Liu Dongliang, Zhan Chenggen, Qu Feng, et al. Vibration noise analysis and tip noise optimization of unmanned aerial vehicle 17 kW motor at cruise speed[J]. Transactions of China Electrotechnical Society, 2024, 39(6): 1749-1763.
[20] Lan Hua, Zou Jibin, Xu Yongxiang, et al. Effect of local tangential force on vibration performance in fractional-slot concentrated winding permanent magnet synchronous machines[J]. IEEE Transactions on Energy Conversion, 2019, 34(2): 1082-1093.
[21] 陈阳, 陶大军, 王立坤, 等. 双并列转子永磁同步电机转矩脉动产生机理及抑制[J]. 电工技术学报, 2024, 39(20): 6357-6370.
Chen Yang, Tao Dajun, Wang Likun, et al. Mechanism and suppression of torque ripple of dual-parallel rotor permanent magnet synchronous motor[J]. Transactions of China Electrotechnical Society, 2024, 39(20): 6357-6370.
[22] Zou Jibin, Lan Hua, Xu Yongxiang, et al. Analysis of global and local force harmonics and their effects on vibration in permanent magnet synchronous machines[J].IEEE Transactions on Energy Conversion, 2017, 32(4): 1523-1532.
[23] Mao Yu, Zuo Shuguang, Wu Xudong, et al. High frequency vibration characteristics of electric wheel system under in-wheel motor torque ripple[J]. Journal of Sound and Vibration, 2017, 400: 442-456.
[24] Fang Yuan, Zhang Tong. Vibroacoustic characteri- zation of a permanent magnet synchronous motor powertrain for electric vehicles[J]. IEEE Transactions on Energy Conversion, 2018, 33(1): 272-280.
[25] 何鹄环. 永磁有刷直流电动机电磁振动与噪声分析[D]. 上海: 上海交通大学, 2012.
He Huhuan. Analysis of electromagnetic vibration and noise of permanent magnet direct current com- mutator motors[D]. Shanghai: Shanghai Jiao Tong University, 2012.
[26] Jordan H. Geräuscharme elektromotoren[M]. Essen: Girardet W, 1950.
[27] Lin Fu, Zuo Shuguang, Deng Wenzhe, et al. Modeling and analysis of electromagnetic force, vibration, and noise in permanent-magnet synchronous motor con- sidering current harmonics[J]. IEEE Transactions on Industrial Electronics, 2016, 63(12): 7455-7466.
[28] Valavi M, Le Besnerais J, Nysveen A. An investi- gation of zeroth-order radial magnetic forces in low- speed surface-mounted permanent magnet machines[J]. IEEE Transactions on Magnetics, 2016, 52(8): 8107206.
[29] Li Xiaohua, Zhang Lifeng, Ying Hongliang, et al. Study of suppression of vibration and noise of PMSM for electric vehicles[J]. IET Electric Power Appli- cations, 2020, 14(7): 1274-1282.
[30] Fang Haiyang, Li Dawei, Qu Ronghai, et al. Modulation effect of slotted structure on vibration response in electrical machines[J]. IEEE Transactions on Industrial Electronics, 2019, 66(4): 2998-3007.
[31] Wang Shanming, Hong Jianfeng, Sun Yuguang, et al. Analysis of zeroth-mode slot frequency vibration of integer slot permanent-magnet synchronous motors[J]. IEEE Transactions on Industrial Electronics, 2020, 67(4): 2954-2964.
[32] Liang Wenyi, Wang Jianfeng, Luk P C, et al. Analytical study of stator tooth modulation on electromagnetic radial force in permanent magnet synchronous machines[J]. IEEE Transactions on Industrial Electronics, 2021, 68(12): 11731-11739.
[33] Zhu Shengdao, Zhao Wenxiang, Ji Jinghua, et al. Generation mechanism and suppression measure of electromagnetic vibration in permanent magnet synchronous machine: a review[J]. IEEE Transactions on Transportation Electrification, 2024, 10(4): 9513- 9528.
[34] Chen Qixu, Li Weilv, Deng Wenzhe, et al. Analysis of electromagnetic noise mechanism in internal/ external rotor axial-flux motors considering magnetic field modulation effect[J]. IEEE Transactions on Transportation Electrification, 2025, 11(1): 2391- 2404.
[35] Soresini F, Barri D, Ballo F, et al. Noise and vibration modeling of permanent magnet synchronous motors: a review[J]. IEEE Transactions on Transportation Electrification, 2024, 10(4): 8728-8745.
[36] Zhao Chenchen, Cheng Ming, Wang Yubin, et al. Analytical method of stator modal analysis for stator- permanent magnet machines[J]. IEEE Transactions on Transportation Electrification, 2025, 11(1): 2088- 2096.
[37] Zhao Wenxiang, Liu Tong, Ji Jinghua, et al. A novel discrete EMN for electromagnetic force and vibration computation of SPM machine considering carrier harmonics[J]. IEEE Transactions on Industrial Elec- tronics, 2024, 71(6): 5630-5640.
[38] Hu Shenglong, Zuo Shuguang, Liu Mingtian, et al. Modeling and analysis of radial electromagnetic force and vibroacoustic behaviour in switched reluctance motors[J]. Mechanical Systems and Signal Processing, 2020, 142: 106778.
[39] Wu Zhipeng, Zuo Shuguang, Huang Zhiyong, et al. Modelling, calculation and analysis of electromag- netic force and vibroacoustic behavior of integer-slot permanent magnet synchronous motor considering current harmonics[J]. Journal of Vibration Engineering & Technologies, 2022, 10(3): 1135-1152.
[40] Kim D Y, Jang G H, Nam J K. Magnetically induced vibrations in an IPM motor due to distorted magnetic forces arising from flux weakening control[J]. IEEE Transactions on Magnetics, 2013, 49(7): 3929-3932.
[41] Islam M S, Islam R, Sebastian T. Noise and vibration characteristics of permanent-magnet synchronous motors using electromagnetic and structural analyses[J]. IEEE Transactions on Industry Applications, 2014, 50(5): 3214-3222.
[42] Deng Wenzhe, Zuo Shuguang. Electromagnetic vibration and noise of the permanent-magnet synchronous motors for electric vehicles: an overview[J]. IEEE Transactions on Transportation Electrification, 2019, 5(1): 59-70.
[43] He Guhuan, Huang Zhenyu, Qin R, et al. Numerical prediction of electromagnetic vibration and noise of permanent-magnet direct current commutator motors with rotor eccentricities and glue effects[J]. IEEE Transactions on Magnetics, 2012, 48(5): 1924-1931.
[44] Zuo Shuguang, Lin Fu, Wu Xudong. Noise analysis, calculation, and reduction of external rotor permanent- magnet synchronous motor[J]. IEEE Transactions on Industrial Electronics, 2015, 62(10): 6204-6212.
[45] Hu Shenglong, Zuo Shuguang, Wu Hao, et al. An analytical method for calculating the natural frequ- encies of a motor considering orthotropic material parameters[J]. IEEE Transactions on Industrial Elec- tronics, 2019, 66(10): 7520-7528.
[46] Deng Wenzhe, Dong Chaofan, Qian Zhe, et al. Equivalent orthotropic material parameters identi- fication of electrical machines for modal analysis utilizing a PSO-assisted theoretical approach[J]. Mechanical Systems and Signal Processing, 2025, 222: 111765.
[47] Hu Shenglong, Zuo Shuguang, Liu Mingtian, et al. Method for acquisition of equivalent material parameters considering orthotropy of stator core and windings in SRM[J]. IET Electric Power Applications, 2019, 13(4): 580-586.
[48] 邓文哲, 左曙光, 孙罕, 等. 考虑定子铁芯和绕组各向异性的爪极发电机模态分析[J]. 振动与冲击, 2017, 36(12): 43-49.
Deng Wenzhe, Zuo Shuguang, Sun Han, et al. Modal analysis of a claw-pole alternator considering orthotropy of the stator core and windings[J]. Journal of Vibration and Shock, 2017, 36(12): 43-49.
[49] 韩伟, 贾启芬, 邱家俊. 异步电机定子的振动与模态分析[J]. 振动与冲击, 2012, 31(17): 91-94, 115.
Han Wei, Jia Qifen, Qiu Jiajun. Vibration and modal analysis for stator of an induction motor[J]. Journal of Vibration and Shock, 2012, 31(17): 91-94, 115.
[50] Chai Feng, Li Yi, Pei Yulong, et al. Accurate modelling and modal analysis of stator system in permanent magnet synchronous motor with con- centrated winding for vibration prediction[J]. IET Electric Power Applications, 2018, 12(8): 1225-1232.
[51] 李晓华, 黄苏融, 张琪. 电动汽车用永磁同步电机定子结构固有频率分析[J]. 中国电机工程学报, 2017, 37(8): 2383-2391.
Li Xiaohua, Huang Surong, Zhang Qi. Analysis of natural frequencies of stator structure of permanent magnet synchronous motors for electric vehicles[J]. Proceedings of the CSEE, 2017, 37(8): 2383-2391.
[52] Wu Zhipeng, Zuo Shuguang, Chen Siyue. Accurate modeling of PMSM considering orthotropic material parameters of stator system for vibroacoustic prediction[C]//SAE Technical Paper Series, Detroit, USA, 2022: 0725.
[53] 李烽, 王凯, 高培伟, 等. 不同极槽配合交替极永磁电机齿槽转矩和转矩脉动的研究[J]. 中国电机工程学报, 2022, 42(17): 6491-6499.
Li Feng, Wang Kai, Gao Peiwei, et al. Investigation of cogging torque and torque ripple in consequent pole permanent magnet machine with different slot/pole number combinations[J]. Proceedings of the CSEE, 2022, 42(17): 6491-6499.
[54] Yang Haodong, Chen Yangsheng. Influence of radial force harmonics with low mode number on electro- magnetic vibration of PMSM[J]. IEEE Transactions on Energy Conversion, 2014, 29(1): 38-45.
[55] Wu Zhipeng, Zuo Shuguang, Hu Xiaorui, et al. Modeling and analysis of electromagnetic force in interior permanent magnet synchronous motor used for electric vehicles[J]. Proceedings of the Institution of Mechanical Engineers, Part C: Journal of Mechanical Engineering Science, 2022, 236(13): 7560-7575.
[56] Verez G, Barakat G, Amara Y, et al. Impact of pole and slot combination on vibrations and noise of electromagnetic origins in permanent magnet syn- chronous motors[J]. IEEE Transactions on Magnetics, 2015, 51(3): 8101104.
[57] Huo Mina, Wang Shiyu, Xiu Jie, et al. Effect of magnet/slot combination on triple-frequency magnetic force and vibration of permanent magnet motors[J]. Journal of Sound and Vibration, 2013, 332(22): 5965-5980.
[58] Lin Fu, Zuo Shuguang, Wu Xudong. Electromagnetic vibration and noise analysis of permanent magnet synchronous motor with different slot-pole com- binations[J]. IET Electric Power Applications, 2016, 10(9): 900-908.
[59] 朱元, 朱醴亭, 肖明康, 等. 基于几何约束优化的重复控制器及PMSM电流谐波抑制应用[J]. 电工技术学报, 2024, 39(4): 1059-1073.
Zhu Yuan, Zhu Liting, Xiao Mingkang, et al. Repetitive controller based on geometric constraint optimization and its application to current harmonic suppression of PMSM[J]. Transactions of China Electrotechnical Society, 2024, 39(4): 1059-1073.
[60] 康惠林, 周理兵, 王晋, 等. 多相分数槽集中绕组表贴式永磁电机谐波电流的确定及其影响[J]. 电工技术学报, 2015, 30(9): 22-29.
Kang Huilin, Zhou Libing, Wang Jin, et al. Harmonic currents determination and their impacts on multi- phase fractional-slot concentrated winding surface- mounted permanent magnet machine[J]. Transactions of China Electrotechnical Society, 2015, 30(9): 22-29.
[61] 李帅, 孙立志, 刘兴亚, 等. 永磁同步电机电流谐波抑制策略[J]. 电工技术学报, 2019, 34(增刊1): 87-96.
Li Shuai, Sun Lizhi, Liu Xingya, et al. Current harmonics suppression strategies of permanent mag- net synchronous motor[J]. Transactions of China Electrotechnical Society, 2019, 34(S1): 87-96.
[62] 吴茂刚, 赵荣祥, 汤新舟. 空间矢量PWM逆变器死区效应分析与补偿方法[J]. 浙江大学学报(工学版), 2006, 40(3): 469-473.
Wu Maogang, Zhao Rongxiang, Tang Xinzhou. Analysis and compensation method of dead time effect for space vector PWM inverter[J]. Journal of Zhejiang University (Engineering Science), 2006, 40(3): 469-473.
[63] Mao Yu, Zuo Shuguang, Cao Jianan. Effects of rotor position error on longitudinal vibration of electric wheel system in in-wheel PMSM driven vehicle[J]. IEEE/ASME Transactions on Mechatronics, 2018, 23(3): 1314-1325.
[64] Wu Zhipeng, Zuo Shuguang, Huang Zhiyong, et al. Effect of hall errors on electromagnetic vibration and noise of integer-slot inset permanent magnet syn- chronous motors[J]. IEEE Transactions on Trans- portation Electrification, 2023, 9(1): 522-533.
[65] 唐任远, 宋志环, 于慎波, 等. 变频器供电对永磁电机振动噪声源的影响研究[J]. 电机与控制学报, 2010, 14(3): 12-17.
Tang Renyuan, Song Zhihuan, Yu Shenbo, et al. Study on source of vibration and acoustic noise of permanent magnet machines by inverter[J]. Electric Machines and Control, 2010, 14(3): 12-17.
[66] 李晓华, 赵容健, 田晓彤, 等. 逆变器供电对电动汽车内置式永磁同步电机振动噪声特性影响研究[J]. 电工技术学报, 2020, 35(21): 4455-4464.
Li Xiaohua, Zhao Rongjian, Tian Xiaotong, et al. Study on vibration and noise characteristics of interior permanent magnet synchronous machine for electric vehicles by inverter[J]. Transactions of China Electrotechnical Society, 2020, 35(21): 4455-4464.
[67] 肖阳, 宋金元, 屈仁浩, 等. 变频谐波对电机振动噪声特性的影响规律[J]. 电工技术学报, 2021, 36(12): 2607-2615.
Xiao Yang, Song Jinyuan, Qu Renhao, et al. The effect of harmonics on electromagnetic vibration and noise characteristic in inverter-duty motor[J]. Transa- ctions of China Electrotechnical Society, 2021, 36(12): 2607-2615.
[68] Zuo Shuguang, Hu Xiaorui, Li Duoqiang, et al. Analysis and suppression of longitudinal vibration of electric wheel system considering rotor position error[J]. IEEE Transactions on Transportation Elec- trification, 2021, 7(2): 671-682.
[69] 张懿, 张明明, 魏海峰, 等. 基于霍尔传感器的永磁同步电机高精度转子位置观测[J]. 电工技术学报, 2019, 34(22): 4642-4650.
Zhang Yi, Zhang Mingming, Wei Haifeng, et al. High precision rotor position observation of permanent magnet synchronous motor based on hall sensors[J]. Transactions of China Electrotechnical Society, 2019, 34(22): 4642-4650.
[70] Deng Wenzhe, Zuo Shuguang. Analysis of the sideband electromagnetic noise in permanent magnet synchronous motors generated by rotor position error[J]. IEEE Transactions on Industrial Electronics, 2022, 69(5): 4460-4471.
[71] 袁登科, 徐延东, 李秀涛. 永磁同步电动机变频调速系统及其控制[M]. 北京: 机械工业出版社, 2015.
[72] Liang Wenyi, Fei Weizhong, Luk P C. An improved sideband current harmonic model of interior PMSM drive by considering magnetic saturation and cross- coupling effects[J]. IEEE Transactions on Industrial Electronics, 2016, 63(7): 4097-4104.
[73] Deng Wenzhe, Zuo Shuguang. Comparative study of sideband electromagnetic force in internal and external rotor PMSMs with SVPWM technique[J]. IEEE Transactions on Industrial Electronics, 2019, 66(2): 956-966.
[74] Lin Fu, Zuo Shuguang, Deng Wenzhe, et al. Noise prediction and sound quality analysis of variable- speed permanent magnet synchronous motor[J]. IEEE Transactions on Energy Conversion, 2017, 32(2): 698-706.
[75] 魏琦, 邱威森, 率志君, 等. 考虑电流谐波的永磁同步电机电磁振动与转矩波动分析[J]. 哈尔滨工程大学学报, 2025, 46(4): 727-736.
Wei Qi, Qiu Weisen, Shuai Zhijun, et al. Analysis of electromagnetic vibration and torque ripple of permanent magnet synchronous motors considering current harmonics[J]. Journal of Harbin Engineering University, 2025, 46(4): 727-736.
[76] Kim K T, Kim K S, Hwang S M, et al. Comparison of magnetic forces for IPM and SPM motor with rotor eccentricity[J]. IEEE Transactions on Magnetics, 2001, 37(5): 3448-3451.
[77] Dorrell D G, Popescu M, Ionel D M. Unbalanced magnetic pull due to asymmetry and low-level static rotor eccentricity in fractional-slot brushless permanent- magnet motors with surface-magnet and consequent- pole rotors[J]. IEEE Transactions on Magnetics, 2010, 46(7): 2675-2685.
[78] Li J T, Liu Z J, Nay L H A. Effect of radial magnetic forces in permanent magnet motors with rotor eccentricity[J]. IEEE Transactions on Magnetics, 2007, 43(6): 2525-2527.
[79] 谢颖, 杨艳会, 蔡蔚, 等. 兆瓦级高速永磁同步电机偏心状态下电机性能及转子振动特性分析[J]. 电机与控制学报, 2024, 28(9): 81-94.
Xie Ying, Yang Yanhui, Cai Wei, et al. Analysis of rotor vibration characteristics of megawatt high speed permanent magnet synchronous motor under eccentric state[J]. Electric Machines and Control, 2024, 28(9): 81-94.
[80] Ebrahimi B M, Faiz J. Configuration impacts on eccentricity fault detection in permanent magnet synchronous motors[J]. IEEE Transactions on Mag- netics, 2012, 48(2): 903-906.
[81] 刘晓璇. 转子偏心对永磁同步电机电磁振动和噪声的影响研究[D]. 上海: 同济大学, 2016.
Liu Xiaoxuan. Research on the Noise and Vibration of Permanent Magnet Synchronous Motor with Rotor Eccentricity[D]. Shanghai: Tongji University, 2016.
[82] Chai Feng, Li Yi, Pei Yulong, et al. Analysis of radial vibration caused by magnetic force and torque pulsation in interior permanent magnet synchronous motors considering air-gap deformations[J]. IEEE Transactions on Industrial Electronics, 2019, 66(9): 6703-6714.
[83] 吴胜男, 唐任远, 韩雪岩, 等. 磁致伸缩引起的非晶合金永磁电机振动解析计算[J]. 中国电机工程学报, 2016, 36(13): 3635-3641, 3383.
Wu Shengnan, Tang Renyuan, Han Xueyan, et al. Analytical calculation of vibration due to mag- netostriction in permanent magnet machines with amorphous metal cores[J]. Proceedings of the CSEE, 2016, 36(13): 3635-3641, 3383.
[84] 王振, 张艳丽, 龚园, 等. 机械应力下无取向电工钢片磁致伸缩特性研究[J]. 电工技术学报, 2023, 38(21): 5682-5690.
Wang Zhen, Zhang Yanli, Gong Yuan, et al. Study on magnetostrictive properties of non-oriented electrical steel sheet under mechanical stress[J]. Transactions of China Electrotechnical Society, 2023, 38(21): 5682- 5690.
[85] 佟文明, 李世奇, 唐任远. 高效非晶合金电机关键技术研究综述[J]. 沈阳工业大学学报, 2024, 46(5): 496-513.
Tong Wenming, Li Shiqi, Tang Renyuan. Review on key technologies of high-efficiency amorphous alloy motors[J]. Journal of Shenyang University of Tech- nology, 2024, 46(5): 496-513.
[86] 韩雪岩, 赵森磊, 周挺, 等. 非晶合金电机振动噪声影响因素的研究[J]. 电工技术学报, 2015, 30(14): 531-538.
Han Xueyan, Zhao Senlei, Zhou Ting, et al. Research on vibration and noise of a amorphous metal motor[J]. Transactions of China Electrotechnical Society, 2015, 30(14): 531-538.
[87] 潘海鸿, 陈斌, 陈琳, 等. 考虑零电流嵌位的永磁同步电机死区效应补偿方法[J]. 电机与控制应用, 2010, 37(10): 1-5.
Pan Haihong, Chen Bin, Chen Lin, et al. Dead-time compensation strategy for permanent magnet syn- chronous motor drive taking zero current clamp into account[J]. Electric Machines & Control Application, 2010, 37(10): 1-5.
[88] 吴茂刚, 赵荣祥, 汤新舟. 正弦和空间矢量PWM逆变器死区效应分析与补偿[J]. 中国电机工程学报, 2006, 26(12): 101-105.
Wu Maogang, Zhao Rongxiang, Tang Xinzhou. Dead-time effects analysis and compensation of SPWM and SVPWM inverter[J]. Proceedings of the CSEE, 2006, 26(12): 101-105.
[89] 冯婉, 张文娟, 苗轶如, 等. 基于dq坐标系下6次谐波抑制的车用感应电机低频共振削弱方法[J]. 电工技术学报, 2023, 38(24): 6632-6645.
Feng Wan, Zhang Wenjuan, Miao Yiru, et al. Low frequency resonance reduction method of induction motor used by electric vehicle based on sixth harmonic suppression in dq coordinate[J]. Transa- ctions of China Electrotechnical Society, 2023, 38(24): 6632-6645.
[90] 荀倩, 王培良, 蔡志端, 等. 霍尔转子位置预估方法及其误差校正[J]. 电工技术学报, 2017, 32(6): 145-155.
Xun Qian, Wang Peiliang, Cai Zhiduan, et al. Hall rotor position estimation method and its error com- pensation[J]. Transactions of China Electrotechnical Society, 2017, 32(6): 145-155.
[91] Lee W, Moon J J, Im W S, et al. Classification and compensation of DC offset error and scale error in resolver signals[J]. Journal of Power Electronics, 2016, 16(3): 1190-1199.
[92] Hwang S H, Kim H J, Kim J M, et al. Compensation of amplitude imbalance and imperfect quadrature in resolver signals for PMSM drives[J]. IEEE Transa- ctions on Industry Applications, 2011, 47(1): 134- 143.
[93] 康乐, 夏加宽, 苏航, 等. 表贴式永磁电机各次电流引起径向振动的机理分析及综合抑制策略[J]. 电工技术学报, 2022, 37(18): 4638-4650.
Kang Le, Xia Jiakuan, Su Hang, et al. Mechanism analysis and comprehensive suppression strategy of radial vibration induced by each current of surface magnet motor[J]. Transactions of China Electro- technical Society, 2022, 37(18): 4638-4650.
[94] Zhang Wentao, Gao Haiyang, Xu Yongxiang, et al. Review of high-frequency PWM acoustic noise suppression methods for PMSMs[J]. Chinese Journal of Electrical Engineering, 2024, 10(3): 94-109.
[95] 洪剑锋, 曹君慈, 刘亚静. 永磁电机电磁振动及变开关频率振动抑制技术试验探究[J]. 电机与控制学报, 2023, 27(12): 52-61.
Hong Jianfeng, Cao Junci, Liu Yajing. Experimental research on PWM technique for vibration reduction in PM motor[J]. Electric Machines and Control, 2023, 27(12): 52-61.
[96] 邱子桢, 陈勇, 成海全, 等. 基于周期谐波扩频调制的永磁同步电机高频边带声振抑制[J]. 电工技术学报, 2022, 37(10): 2459-2468.
Qiu Zizhen, Chen Yong, Cheng Haiquan, et al. Periodic harmonic spread spectrum modulation for high-frequency sideband vibro-acoustic suppression in permanent magnet synchronous motor[J]. Transa- ctions of China Electrotechnical Society, 2022, 37(10): 2459-2468.
[97] Xu Yongxiang, Yuan Qingbing, Zou Jinbin, et al. Sinusoidal periodic carrier frequency modulation in reducing electromagnetic noise of permanent magnet synchronous motor[J]. IET Electric Power Appli- cations, 2013, 7(3): 223-230.
[98] Lee K, Shen Guangtong, Yao Wenxi, et al. Per- formance characterization of random pulse width modulation algorithms in industrial and commercial adjustable-speed drives[J]. IEEE Transactions on Industry Applications, 2017, 53(2): 1078-1087.
[99] Hwang S M, Lee H J, Kim T S, et al. The influence of electromagnetic force upon the noise of an IPM motor used in a compressor[J]. IEEE Transactions on Magnetics, 2006, 42(10): 3494-3496.
[100] Lee S H, Hong J P, Lee W T, et al. Optimal design for noise reduction in interior permanent magnet motor[C]// Conference Record of the 2006 IEEE Industry Applications Conference Forty-First IAS Annual Meeting, Tampa, FL, USA, 2006: 1927-1932.
[101] Liu Xiangdong, Chen Hao, Zhao Jing, et al. Research on the performances and parameters of interior PMSM used for electric vehicles[J]. IEEE Transa- ctions on Industrial Electronics, 2016, 63(6): 3533- 3545.
[102] 谢颖, 辛尉, 蔡蔚, 等. 内置式永磁同步电机不同转子拓扑结构的电磁性能及电磁振动噪声分析[J]. 电机与控制学报, 2023, 27(1): 110-119.
Xie Ying, Xin Wei, Cai Wei, et al. Electromagnetic performance and electromagnetic vibration noise analysis of different rotor topologies of interior permanent magnet synchronous motor[J]. Electric Machines and Control, 2023, 27(1): 110-119.
[103] 高锋阳, 岳文瀚, 高建宁, 等. 内置U型永磁电机电磁优化及振动噪声抑制[J]. 哈尔滨工业大学学报, 2025, 57(4): 71-83.
Gao Fengyang, Yue Wenhan, Gao Jianning, et al. Electromagnetic optimization and vibration noise suppression of interior U-type permanent magnet motor[J]. Journal of Harbin Institute of Technology, 2025, 57(4): 71-83.
[104] Wang Aimeng, Jia Yihua, Soong W L. Comparison of five topologies for an interior permanent-magnet machine for a hybrid electric vehicle[J]. IEEE Transa- ctions on Magnetics, 2011, 47(10): 3606-3609.
[105] 韩雪岩, 张新刚, 朱龙飞, 等. 内置式多层磁钢永磁同步电机振动噪声抑制措施[J]. 电机与控制学报, 2021, 25(8): 67-75.
Han Xueyan, Zhang Xingang, Zhu Longfei, et al. Measures to reduce vibration and noise of interior permanent magnet synchronous motor with multilayer permanent magnets[J]. Electric Machines and Control, 2021, 25(8): 67-75.
[106] Deng Wenzhe, Zuo Shuguang. Noise reduction of axial-flux motors by combining various pole-arc coefficients and circumferential shifting of permanent magnets: analytical approach[J]. IET Electric Power Applications, 2019, 13(7): 951-957.
[107] Lin Fu, Zuo Shuguang, Deng Wenzhe, et al. Reduction of vibration and acoustic noise in permanent magnet synchronous motor by optimizing magnetic forces[J]. Journal of Sound and Vibration, 2018, 429: 193- 205.
[108] 赵浩然, 王东, 胡鹏飞, 等. 弓形磁极永磁电机正弦削极修正模型[J]. 电工技术学报, 2023, 38(14): 3667-3677.
Zhao Haoran, Wang Dong, Hu Pengfei, et al. Modified sinusoidal pole shaping model of arcuate pole permanent magnet motors[J]. Transactions of China Electrotechnical Society, 2023, 38(14): 3667-3677.
[109] 鲍晓华, 吴锋, 魏琼, 等. 基于辅助槽的汽车爪极发电机电磁振动削弱方法[J]. 电工技术学报, 2014, 29(9): 161-166.
Bao Xiaohua, Wu Feng, Wei Qiong, et al. Reduction of electromagnetic vibration for automobile alternator by auxiliary slot[J]. Transactions of China Electro- technical Society, 2014, 29(9): 161-166.
[110] 张冉, 王秀和, 乔东伟, 等. 基于辅助槽的永磁电机激振力波削弱方法[J]. 中国电机工程学报, 2010, 30(18): 103-108.
Zhang Ran, Wang Xiuhe, Qiao Dongwei, et al. Reduction of exciting force wave for permanent magnet motors by teeth notching[J]. Proceedings of the CSEE, 2010, 30(18): 103-108.
[111] 王晓远, 贺晓钰, 高鹏. 电动汽车用V型磁钢转子永磁电机的电磁振动噪声削弱方法研究[J]. 中国电机工程学报, 2019, 39(16): 4919-4926, 4994.
Wang Xiaoyuan, He Xiaoyu, Gao Peng. Research on electromagnetic vibration and noise reduction method of V type magnet rotor permanent magnet motor electric vehicles[J]. Proceedings of the CSEE, 2019, 39(16): 4919-4926, 4994.
[112] Bianchi N, Bolognani S, Bon D, et al. Rotor flux- barrier design for torque ripple reduction in synchronous reluctance and PM-assisted synchronous reluctance motors[J]. IEEE Transactions on Industry Applications, 2009, 45(3): 921-928.
[113] 鲍晓华, 狄冲, 汪朗. 笼型感应电机转子斜槽研究综述及展望[J]. 电工技术学报, 2016, 31(6): 1-12.
Bao Xiaohua, Di Chong, Wang Lang. Review and prospect of skewed rotor in squirrel cage induction machines[J]. Transactions of China Electrotechnical Society, 2016, 31(6): 1-12.
[114] Han Zexiu, Liu Jinglin, Gong Chao, et al. Influence mechanism on vibration and noise of PMSM for different structures of skewed stator[C]//2017 20th International Conference on Electrical Machines and Systems (ICEMS), Sydney, NSW, Australia, 2017: 1-5.
[115] Lee Changmin, Seol H S, Lee J Y, et al. Optimization of vibration and noise characteristics of skewed permanent brushless direct current motor[J]. IEEE Transactions on Magnetics, 2017, 53(11): 8210605.
[116] Islam M S, Shrestha A, Islam M. Performance comparison of step skew in interior and surface- mount permanent magnet machines[C]//2021 IEEE Energy Conversion Congress and Exposition (ECCE), Vancouver, BC, Canada, 2021: 3963-3968.
[117] Islam R, Husain I, Fardoun A, et al. Permanent- magnet synchronous motor magnet designs with skewing for torque ripple and cogging torque redu- ction[J]. IEEE Transactions on Industry Applications, 2009, 45(1): 152-160.
[118] Wang Xiaoyuan, Sun Xibin, Gao Peng. Study on the effects of rotor-step skewing on the vibration and noise of a PMSM for electric vehicles[J]. IET Electric Power Applications, 2020, 14(1): 131-138.
[119] 钱喆, 唐光华, 王群京, 等. 转子结构优化削弱车用永磁同步电机振动噪音[J]. 电机与控制学报, 2021, 25(10): 122-129.
Qian Zhe, Tang Guanghua, Wang Qunjing, et al. Vibration and noise reduction of vehicle permanent magnet synchronous motor by rotor structure opti- mization[J]. Electric Machines and Control, 2021, 25(10): 122-129.
[120] Fei W, Zhu Z Q. Comparison of cogging torque reduction in permanent magnet brushless machines by conventional and herringbone skewing techniques[J]. IEEE Transactions on Energy Conversion, 2013, 28(3): 664-674.
[121] Blum J, Merwerth J, Herzog H G. Investigation of the segment order in step-skewed synchronous machines on noise and vibration[C]//2014 4th International Electric Drives Production Conference (EDPC), Nuremberg, Germany, 2014: 1-6.
[122] Wang Shanming, Hong Jianfeng, Sun Yuguang, et al. Effect comparison of zigzag skew PM pole and straight skew slot for vibration mitigation of PM brush DC motors[J]. IEEE Transactions on Industrial Electronics, 2020, 67(6): 4752-4761.
Abstract Due to their high efficiency, high power density, and high torque density, permanent magnet synchronous motors (PMSMs) have been widely used as the main drive motors in electric propulsion systems across high-end equipment fields, including electric vehicles, marine vessels, aerospace, robotics, and construction machinery. However, as the electromagnetic load and rotational speed increase, electromagnetic vibration and noise in PMSMs become increasingly pronounced. On the one hand, electromagnetic vibrations with large amplitudes can impact the fatigue life of critical components such as bearings. On the other hand, electromagnetic noise with high sound pressure levels can cause severe noise pollution, adversely affecting the comfort of the working environment. Consequently, the vibroacoustic performance has become one of the most critical evaluation indicators for PMSMs. This paper provides a detailed review of recent research on the electromagnetic vibration and noise of PMSMs. It summarizes and analyzes the topic from several key aspects, including electromagnetic excitation, vibroacoustic mechanism, prediction methods, influencing factors, and control methods. This paper can serve as a reference for the design and development of high-vibroacoustic- performance PMSMs.
In fact, the essence of electromagnetic vibration and noise lies in the structural modal response of the motor under the influence of electromagnetic forces. Therefore, the vibroacoustic performance of PMSMs is directly determined by the spatiotemporal distribution characteristics of these electromagnetic forces, which vary with both time and spatial position. Generally, electromagnetic forces with low spatial orders contribute more significantly to electromagnetic vibration and noise. However, due to the stator teeth modulation effect, higher-order electromagnetic forces can also excite lower-order motor modes, resulting in significant electromagnetic vibration and noise.
Due to the multiphysics nonlinear coupling, accurate numerical prediction of electromagnetic vibration and noise has been a research focus. The key to accurately predicting electromagnetic vibration and noise lies in the loading of electromagnetic forces and the equivalent structural modeling of the motor. To ensure the spatiotemporal distribution characteristics remain unchanged, the electromagnetic forces can be transferred from the electromagnetic mesh to the structural mesh using the node force mapping method. In addition, since the stator core and windings are discontinuous elastomers, anisotropic equivalent structural models can be developed to capture their modal characteristics accurately. Hence, electromagnetic vibration and noise can be calculated using the modal superposition method and the boundary element method, respectively.
Previous studies show that pole/slot combinations, current harmonics, and non-uniform air gaps are the primary factors influencing electromagnetic vibration and noise. By altering spatial orders, frequency characteristics, and amplitudes of electromagnetic forces, these factors affect the frequency and amplitude of electromagnetic vibration and noise peaks. Additionally, due to the large magnetostrictive coefficient, the magnetostrictive effect significantly influences the vibroacoustic performance of amorphous alloy motors.
Based on the implementation principles, electromagnetic vibration and noise suppression methods can be classified into two categories: control strategy improvement and structural modification. Current harmonics can be effectively suppressed by improving the control strategy. However, the control parameters are prone to being influenced by the motor's electromagnetic parameters. Compared with control strategy improvement, structural modification, including modal planning and electromagnetic force optimization, offers simpler processes, lower costs, and more reliable suppression.
keywords:Permanent magnet synchronous motor (PMSM), electric propulsion system, electromagnetic vibration and noise, vibroacoustic mechanism, control method
DOI: 10.19595/j.cnki.1000-6753.tces.250439
中图分类号:TM351
山东省重点研发计划(重大科技创新工程)资助项目(2023ZLG04)。
收稿日期 2025-03-20
改稿日期 2025-04-14
宋承林 男,1974年生,博士研究生,正高级工程师,研究方向为高性能永磁变频电机设计。E-mail: songcl@ccs-motor.com
吴志鹏 男,1991年生,博士,研究方向为永磁同步电机电磁振动与噪声控制。E-mail: zpwu123@163.com(通信作者)
(编辑 崔文静)