摘要 为了实现感应电能传输系统的可调控抗偏移恒流输出,论文提出一种基于LCC-LCC和LCC-S并联混合拓扑的感应电能传输系统及参数优化方法。首先,基于正交绕组自解耦理论设计双十字磁耦合结构,有效消除线圈交叉耦合效应,再利用两个拓扑输出独立性构建并联叠加补偿电路以实现恒流输出。为优化输出抗偏移特性,提出了多目标优化策略:通过引入反比系数ka实现对LCC-S补偿电路的输出增益控制,同步优化LCC-LCC补偿电路的电感参数Lf2实现增益校准,并建立基于ka和Lf2的输出电流调控机制,再基于输出电流波动比构建以ka和Lf2为变量的多目标优化方法,实现在预设输出电流下兼顾强抗偏移特性。最后,实验结果表明,当线圈在X轴方向偏移57.14%时,输出电流最大波动在7%以内。
关键词:混合拓扑 感应电能传输 反比系数 抗偏移特性 多目标优化
感应式电能传输系统(Inductive Power Transfer, IPT)因其安全、便捷、高可靠性、大功率和高效率的特点,在消费电子、智能家居、工业控制和电动汽车领域应用广泛,但因磁耦合机构偏移引发的输出电流波动问题,制约了该系统在动态充电、植入式医疗设备等场景的更广泛应用[1-5]。
为了提高系统输出抗偏移能力,研究人员主要从耦合结构和补偿拓扑两方面进行分析。在磁耦合结构上,可采取大尺寸的发射线圈[6-7]或多线圈结构,如DD、DDQ、BP线圈等,均可提高系统的抗偏移能力[8-14]。在补偿拓扑上,文献[15]利用S/SP补偿拓扑的抗偏移特性,在耦合系数变化34.5%的情况下实现输出电压波动仅为4%。文献[16]同样基于S/SP补偿拓扑分别构建了具备恒压和恒流输出的IPT系统,并满足耦合系数大幅变化时,输出电压和输出电流波动均小于6%。文献[17]通过对T/S补偿拓扑的分析,提出了一种变负载和互感的参数设计方法,当负载变化100%,互感变化121.52%时,输出电流波动在4.71%以内。上述文献[15-17]虽然提高了系统的抗偏移能力,但需要额外加入无功功率,并且在提高负载适应性方面均不够理想。
为了降低系统无功功率输入同时提高负载适应性和抗偏移输出能力,文献[18]提出LCC-LCC与LC-LC并联混合补偿拓扑,通过利用两种拓扑输出增益与线圈互感的正/反比特性,在±120 mm偏移范围内实现输出功率波动低于10%,但未深入探讨系统参数对输出电流稳定性的影响。文献[19-20]在相同拓扑基础上建立电感参数优化方程,在50%偏移工况下将输出电流波动控制在5%以内。文献[21-23]采用与文献[19]相同的参数设计方法,但将混合补偿拓扑连接方式改为输入/输出端全串联架构,虽然可以防范逆变器输出电流过大问题,但是存在系统输出电流受限的问题,采用同样的系统参数其最大输出电流仅为并联混合拓扑输出电流的50%,难以满足大功率需求。文献[24]则提出一种SS与CLC- CLC混合拓扑结构,同样利用对补偿电感优化策略,在横向偏移50%情况下,将输出电流波动维持在5%以内。现有基于补偿电感的混合拓扑均采用单参数优化策略来提高输出抗偏移特性,但在应对大范围偏移工况时一个拓扑输出电流将出现骤增现象,此时需增大另一个拓扑补偿电感值来维持动态平衡。该策略不仅会导致系统成本增加,而且存在因参数优化导致输出电流独立调节能力受限的技术瓶颈[19-24]。
一部分学者通过优化磁耦合结构来提高混合拓扑的输出电流抗偏移能力,文献[25]采用双面S-LCC混合拓扑结构与H-DD型耦合结构,通过对耦合系数优化使输出电流在一定范围内的波动率保持在16.6%以内。文献[26]基于双LC混合拓扑结构提出一种中间线圈参数设计及优化方法,在50%线圈偏移条件下成功地将输出电流波动抑制在5%以下。文献[27]则提出基于单极型线圈和田字形线圈的LCC-S和SS混合拓扑结构,通过主互感优化,在35%偏移距离下,实现5%以内的输出波动。尽管上述研究通过自解耦磁耦合结构和多样化的混合拓扑设计,有效地提升了系统抗偏移能力,但为维持其抗偏移性能需要增大线圈尺寸,导致材料成本增加,同时,不同的磁耦合结构对混合拓扑输出电流抗偏移效果也不同,因此这类磁耦合结构设计复杂度也较高[25-29],在实际工程应用中不具备普适性。
综上所述,现有基于补偿电感和磁耦合结构的优化方法在互感波动小时均具备不错的抗偏移能力,当混合拓扑电路遭遇互感显著变化时,输出增益将出现较大波动,虽可通过增大补偿电感或优化磁耦合结构参数进行改善,但在提高系统输出抗偏移能力的同时,也牺牲了对系统输出电流的调控,存在系统鲁棒性与输出调控能力的矛盾。并且上述优化方法在环境适应上存在明显“短”板,不同混合拓扑对磁耦合结构参数的要求不同;同时,输出电压的不同也会导致输出电流变化,迫使系统必须依赖DC-DC电路实现多场景输出电流的适配。这使混合拓扑在实际应用中,既难以维持输出稳定性与调控灵活性的平衡,又无法建立与不同自解耦耦合器的高效协同机制,制约了工程实用价值。
鉴于此,为了提升混合拓扑在不同供电环境下的输出电流抗偏移和调控能力,同时降低系统成本的需求,首先,设计了双十字磁耦合结构,以解决交叉互感对系统的影响;其次,分别讨论LCC-LCC和LCC-S拓扑电路特性并采用输入-输出并联架构实现拓扑融合,再详细叙述两者输出电流与负载、互感的关系;同时引入反比系数实现LCC-S拓扑电路的恒流输出调控,实现两个拓扑电路输出增益独立调控,并以系统输出电流波动率为对象,设定系统初始输出电流范围,构建基于反比系数和补偿电感的多目标优化函数;最终推导出满足设定要求的最优参数。该混合拓扑可在不依赖调压电路和优化磁耦合结构的前提下,同步实现输出电流的可控性和强抗偏移性能。最后,通过仿真与实验验证该方案的正确性。
为研究并联双通道混合补偿拓扑在IPT系统中的输出可控性及抗偏移能力,本文构建了基于混合拓扑结构的IPT系统,如图1所示,UAB为逆变器输出电压,同时也是混合补偿拓扑的输入电压,If和Io分别为混合拓扑输入电流与输出电流,Ur为整流电路的输入电压,UL和IL分别为负载输出电压和电流,If1、Ip1、Is1、If2、Ip2、Is2、Ir为混合拓扑结构各支路电流。图1中,Lf1、Cf1、Cp1、Lp1、Ls1、Cs1构成LCC-S补偿拓扑结构,Lf2、Cf2、Cp2、Lp2、Ls2、Cs2、Cr、Lr构成LCC-LCC补偿拓扑结构,4个线圈Lp1、Lp2、Ls1、Ls2之间的等效互感分别是Mp1s1、Mp2s2、Mp1s2、Mp2s1、Mp1p2、Ms1s2。RL为系统的负载,Req为整流电路与RL的等效负载。
图1 基于混合拓扑结构的IPT系统
Fig.1 IPT system based on hybrid topology
上述混合拓扑结构存在4个影响系统特性的交叉互感,因此本文在一次侧和二次侧均采用两个相互垂直的利兹线圈,如图2所示,当利兹线圈加入励磁电流后,X线圈和Y线圈分别产生平行于X-Z和Y-Z平面的磁场,因此一个利兹线圈产生的磁通量并不通过另一个利兹线圈,任意两个线圈之间的互感可以表示为
(1)
式中,Ij为利兹线圈的励磁电流;Bj为线圈Lpj中的电流Ij产生的磁感应强度;Si为线圈Lpi垂直于磁场方向的表面积。

图2 双十字磁耦合结构及一次侧磁通分布
Fig.2 Double cross magnetic coupling structure and primary side flux distribution
由式(1)知,当两个线圈正交布置时,Bj的方向与dSi的法向方向始终垂直,导致矢量点为零,因此,积分结果为零,那么线圈互感Mp1s2、Mp2s1、Mp1p2、Ms1s2都为零,也就意味着相互垂直的利兹线圈实现了自解耦。那么系统主要通过Mp1s1和Mp2s2来进行能量传输,该混合拓扑电路就可以分为LCC- S和LCC-LCC两个拓扑电路单独讨论,其等效电路如图3所示。
图3 混合拓扑等效电路
Fig.3 Hybrid topology equivalent circuit
1.2.1 LCC-LCC拓扑电路
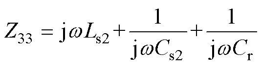
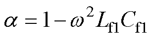
忽略线圈内阻的影响,对图3a列写KVL方程可知
(2)
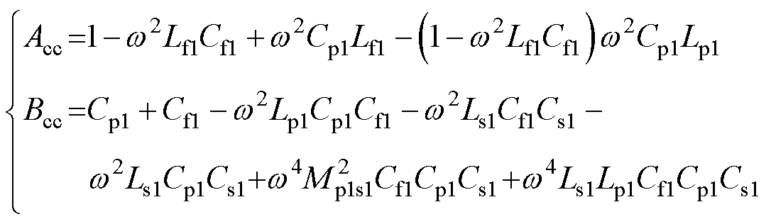
其中



当LCC-LCC拓扑电路满足
(3)
那么LCC-LCC拓扑电路的输入电流和输出电流可表示为
(4)
由式(4)的输出电流Ir表达式可知,其值并不受负载的影响,并且与互感Mp2s2成正比关系。
由式(3)可以解得各个补偿电容值为
(5)
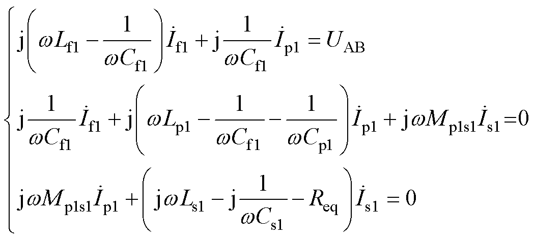
1.2.2 LCC-S拓扑电路
对图3b列写KVL方程为
(6)
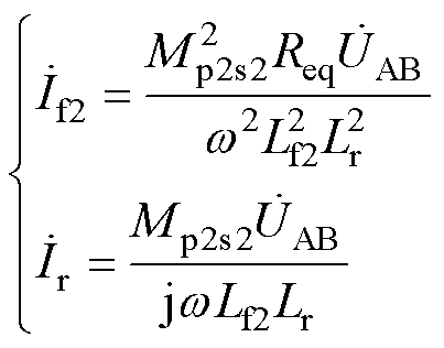
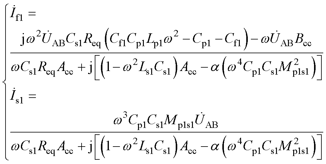
根据式(6)可以解得LCC-S拓扑电路的输入电流和输出电流分别为
(7)
其中
(8)
(9)
显然,当ACC和BCC为零时,式(7)可以改写为
(10)
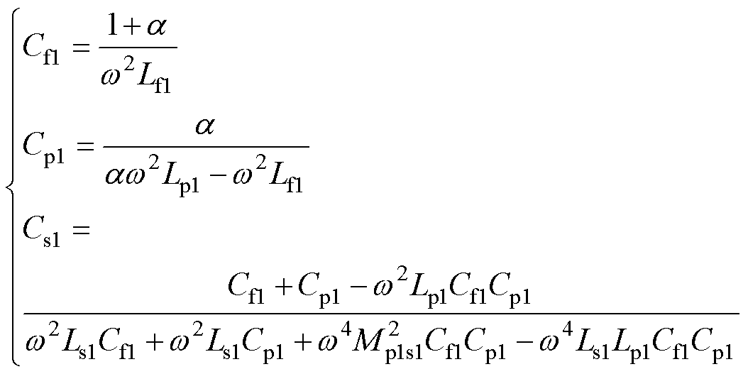
由式(10)可知,LCC-S拓扑电路的输出电流Is1不会随负载变化而波动,实现了恒流输出,并与互感Mp1s1成反比,由于输入电流If1不存在虚部,因此LCC-S拓扑电路满足纯电阻特性。
由式(8)和式(9)可以得到最优谐振状态下LCC-S拓扑电路的各个补偿电容值为
(11)
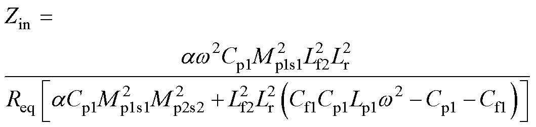
由于该混合拓扑输入和输出端均采用并联方式连接,根据式(4)和式(10)可知混合拓扑的输入电流If和输入阻抗Zin分别为
(12)
(13)
那么输出电流Io为LCC-LCC拓扑电路与LCC- S拓扑电路输出电流的叠加,根据图1可表示为
(14)
由于传统的混合拓扑通过两个拓扑电路以串联或并联叠加方式实现系统输出电流抗偏移,而采用的两个拓扑电路皆为传统补偿拓扑,输出电流在偏移过程中仅与能量传输的互感有关,这意味着要满足输出电流波动小就需要对磁耦合结构的互感进行优化,当其中一个主互感大幅减小时,输出电流亦会出现大幅波动,因此传统的混合拓扑缺乏灵活性。因此,为了解决此问题,输出电流与互感成正比的拓扑电路所采用的线圈互感波动需控制在50%以内[19]。
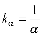
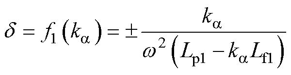
为了进一步提高混合拓扑的灵活性和线圈互感波动范围,本文所采用的混合拓扑电路引入调控因子
来调整LCC-S拓扑电路输出电流,为了方便参数优化,定义反比系数
为
(15)
反比系数
可调节式(10)中输出电流Is1的调控因子a,进而调整LCC-S输出电流的波动,同时利用补偿电感Lf2和Lr来调控LCC-LCC输出电流。因此,LCC-LCC拓扑电路和LCC-S拓扑电路均可以根据互感实际波动情况调整各自的输出增益,进而使混合拓扑输出电流达到动态平衡,具备更强的输出抗偏移特性,为了使系统输出电流达到最佳抗偏移效果,就需要对反比系数和补偿电感进行参数优化。
本文所采用的磁耦合结构如图2所示,X线圈Lp1和Ls1分别为LCC-S拓扑电路的发射线圈和接收线圈,Y线圈Lp2和Ls2分别为LCC-LCC拓扑电路的发射线圈和接收线圈。
该磁耦合结构关于X-Z平面和Y-Z平面对称,当沿X方向偏移时,由于磁耦合结构采用的是“十字型”铁氧体,互感Mp1s1会比互感Mp2s2波动小,而沿Y方向偏移时,互感Mp1s1则会比互感Mp2s2波动大,但通过调整补偿拓扑电路的互感配置,可使系统在X或Y方向具有相同的抗偏移特性,因此本文将主要讨论沿X轴方向的抗偏移特性,为了深入研究该磁耦合结构各个互感参数偏移变化情况,对其进行电磁场仿真,该磁耦合结构不发生偏移的线圈参数见表1,各个互感在X轴方向偏移的变化情况如图4所示。
表1 磁耦合结构不偏移的线圈参数
Tab.1 Coil parameters for magnetic coupling structure without misalignment (单位: mH)
参 数数 值 Lp1163.57 Lp2154.50 Ls2262.87 Ls1259.20 Mp1s128.97 Mp1s21.14 Mp1p20.11 Mp2s10.94 Mp2s228.56 Ms1s20.68
图4 X方向偏移各互感变化
Fig.4 X-direction misalignment each mutual sense change
线圈发生偏移时,互感Mp1s2、Mp2s1、Mp1p2和Ms1s2均低于1.5 mH,几乎保持为零,而互感Mp1s1和Mp2s2在线圈偏移160 mm时分别波动40.19%和89.70%,这也验证了相互垂直的利兹线圈互感几乎为零和在X轴方向偏移时互感Mp1s1比Mp2s2波动小的特性。
当磁耦合结构偏移其尺寸的50%时,由于互感Mp1s1和Mp2s2的波动分别为31.93%和79.72%,在互感与输出增益呈反比关系的拓扑电路中,过大的互感波动会大幅增大输出增益波动,不利于系统的稳定输出,为了减小这种影响,同时扩大反比系数的优化范围,本文将采用Lp1和Ls1作为LCC-S拓扑电路的发射和接收线圈,LCC-LCC拓扑电路则采用Lp2和Ls2作为发射和接收线圈。
线圈偏移将直接导致输出电流波动,因此反比系数优化以输出电流波动比|DIo|作为目标函数进行分析,以DMp1s1和DMp2s2分别表示互感Mp1s1和Mp2s2偏移与对准时变化量,|DIo|可表示为
(16)
由式(16)可知,LCC-LCC拓扑电路可以通过优化补偿电感Lf2和Lr,LCC-S拓扑电路可以通过优化反比系数
来调节各自的输出增益,同时优化两路输出增益从而使系统在满足互感变化更大或偏移距离更远的情况下整体输出增益波动更小。为了简化Lf2和Lr的优化参数计算,令Lf2=Lr。
根据式(16)就可以建立以Lf2和
为优化参数,那么式(16)就可以表示为
(17)
由于已知互感变化量DMp1s1和DMp2s2,为了防止式(17)中的Lf2和
无解,就需将|DIo|的初值设置得比较大,因此本文将|DIo|的初值设定为15%。
由式(14)可知,本文所提出的方案可同时调整两个拓扑电路的输出增益,那么就意味着可控制一定范围内线圈对准时的输出电流初值,并以该初值为标准值,再通过两个拓扑电路的参数优化使系统输出具备抗偏移特性,无需再利用输入电压UAB来调整输出电流值。为了验证该想法,设定输入电压初始值为20 V,要求输出电流初值范围设定为5.5~6.5 A之间。为了简化计算,本文仅对输出电流初值进行范围限制,不限制偏移过程中的输出电流波动范围。
式(11)中的补偿电容Cp1与反比系数倒数有关,在反比系数优化时,需保证Cp1>0,即
(18)
补偿电容Cs1同样也需满足正值约束,为了进一步简化分析,定义式(11)中Cs1的分子项为独立参数d,其定义式为
(19)
定义Cs1的分母项为函数f2(
, DMp1s1),其定义如下:当d>0时,使Cs1>0,需满足
(20)
式中,Mp1s1-DMp1s1为线圈偏移时的互感值。
当d<0时,使Cs1>0,需满足
(21)
当线圈偏移时,互感Mp1s1也会随之变化,那么以线圈对准时设计的参数Cs1可能无法保证线圈偏移时系统仍处于最优谐振状态,进而影响系统输出稳定性。因此,在参数设计时还需考虑这一关键问题,本文以线圈对准时的Cs1为基准值,分析不同偏移距离下系统最优谐振的Cs1与基准值的偏差,以偏差率小于5%为设计目标,定义函数f3(d, DMp1s1)来衡量Cs1偏差情况,其定义为

(22)
(23)
式中,Cs1为线圈对准时的参数值。
以式(16)为目标函数,结合式(18)、式(20)、式(21)和式(23)为反比系数限制条件,基于图4中磁耦合结构在160 mm偏移范围内的互感变化参数结果,采用速度可控粒子群优化(Velocity- Controlled Particle Swarm Optimization, VCPSO)算法对其进行参数优化,优化过程如图5所示,在160 mm偏移范围内理论优化后的结果见表2。
图5 基于VCPSO算法的参数优化流程
Fig.5 Flowchart of parameter optimisation based on VCPSO algorithm
表2 混合拓扑优化参数
Tab.2 Optimization parameters for hybrid topology
方案Cp1/nFCs1/nFLf2/mH|DIo|(%) 131.3914.632.631 622.9814 231.7514.602.689 622.6512 332.1414.572.750 321.464 432.5614.532.813 721.827 533.0114.502.880 220.499
表2中的|DIo|是由式(16)计算出的理论结果,为了验证图5参数优化的科学性,本文分别选取|DIo|的绝对值为14%、12%、4%、7%和9%的五种情况下的方案来验证,其中方案3为参数优化的最优解。
为了增大
优化范围,本文设定Lf1=22 mH,那么式(18)的约束条件表明当
<7.71即可保证Cp1>0。如表2数据所示,所有优化后的反比系数
均小于7.71,同时Cp1和Cs1均为正值。由于式(11)中仅有Cs1与互感Mp1s1存在直接关系,为了进一步量化线圈偏移对系统谐振特性的影响,需对比不同偏移距离下系统处于最优谐振状态的Cs1参数相对于线圈对准下的偏差值,故将表2中的数据代入式(11)中,可得到160 mm偏移范围内满足系统最优谐振状态下的Cs1偏差分布情况如图6所示。
图6 160 mm偏移范围内Cs1最优谐振值偏差
Fig.6 Deviation of the optimal resonance parameters of Cs1 in the 160 mm misalignment
由图6可以看到,当系统在不同偏移工况下均处于最优谐振状态时,不同偏移距离下的Cs1与初始对准状态设计值的相对偏差均保持在5%以内。值得注意的是,若系统偏移量控制在50%以内,那么Cs1参数偏差将更小,因此当LCC-S拓扑电路的主互感变化40.19%时,基于初始对准状态设计的补偿电容Cs1不会影响系统谐振状态,对稳定输出电流的影响基本可以忽略不计,这同时验证了图5和式(23)中对补偿电容Cs1参数设计达到了预期的目标。
为了验证表2中理论优化参数是否达到设计要求并评估上述五种方案的有效性,分别对其进行电路仿真研究,结果如图7所示,不同方案在160 mm偏移范围内的输出电流整体上均呈现先减小后增大的趋势,其中方案3在120 mm偏移处达到最低输出电流值为5.56 A,在160 mm偏移范围内,系统最大波动率仅为6.54%。对比之下,其余四种方案的输出电流波动率均高于方案3,基于此,本文选取方案3中的
=2.750 3和Lf2=21.46 mH为最佳优化参数,用以分别调控LCC-S和LCC-LCC拓扑电路。对比表2中|DIo|理论计算出的波动比,仿真得到的|DIo|普遍大于理论值,但在可以接受的范围内,同时五种方案的输出电流初值均在5.5~6.5 A之间,而且输出电流波动也均未超过15%,这皆验证了本文所设计的参数优化方法的科学性和正确性。
图7 不同方案输出电流Io波动率对比
Fig.7 Output currentIo fluctuations with different inverse coefficients
现阶段大多数混合拓扑结构皆采用LCC-LCC和LC-LC拓扑电路组合方案来实现抗偏移恒流输出,一般采用输入串联-输出串联和输入并联-输出并联两种形式来连接LCC-LCC和LC-LC拓扑电路,其输出电流计算式见表3。由于本文并未对图2所示的磁耦合结构进行参数优化,仅在满足Mp1s2、Mp2s1、Mp1p2、Ms1s2为零的基础条件下进行了设计与分析,因此为了验证所提出的混合拓扑在适配磁耦合结构上的优越性,采用相同的磁耦合结构参数代入表2所示的传统混合拓扑中,并对其补偿电感Lf2和Lr进行了优化[19, 23],同样,为了简化计算,令Lf2=Lr,最后比较160 mm偏移范围内输出电流抗偏移性,结果如图8所示。
表3 传统混合拓扑的恒流方案
Tab.3 CC solutions for conventional hybrid topology
混合拓扑结构连接方式恒流模式 LCC-LCC和 LC-LC[21-24]输入串联-输出串联 LCC-LCC和 LC-LC [18-20]输入并联-输出并联
由图8可以看到随着线圈偏移,LCC-S拓扑电路输出电流Is1和LCC-LCC拓扑电路输出电流Ir变化几乎呈现互补趋势,这使得混合拓扑偏移160 mm时的输出电流最大波动仅为6.54%,当传统混合拓扑和本文所提出的混合拓扑采用相同的磁耦合结构时,各输出电流在160 mm偏移范围内的波动有明显的差距,其中输入输出均采用串联方式连接的混合拓扑最大输出电流波动为12.93%,采用并联方式连接的混合拓扑最大输出电流波动为11.49%,波动均超过了10%,且输出电流值均不超过3 A,其原因是当磁耦合结构和输入电压确定时,LC-LC拓扑电路的输出增益无法调整,仅LCC-LCC拓扑电路可调整补偿电感Lf2和Lr来改变输出增益,而为了满足系统输出电流的抗偏移特性,LCC-LCC拓扑电路输出增益就必须受到LC-LC拓扑电路的输出增益波动的限制,LCC-LCC拓扑电路通过建立补偿电感Lf2和Lr与主互感Mp1s1、Mp2s2之间的线性关系来优化其输出波动,但这种关系实际上并非绝对线性,因此优化后的参数可能无法达到预期效果,由表4可知,当线圈偏移160 mm后,为了克服LCC-LCC输出增益大幅变大的现象,传统混合拓扑只能增大补偿电感Lf2的值,才可保证系统输出电流的恒定,显然这会增大系统的成本。相比之下,经本文参数优化方法处理后的补偿电感值相较表4中传统并联方案的补偿电感值降低了40.29%。同时,由表2中也可以观察到,补偿电感与反比系数大致呈现负相关特性,若想更大程度地减小补偿电感值,可以采取逆向优化方法,通过减小补偿电感初值,在满足输出增益抗偏移特性的条件下对反比系数进行优化。
图8 所提出的与传统混合拓扑之间的比较
Fig.8 Comparison of conventional and proposed hybrid topology
表4 不同连接方式混合拓扑优化后的Lf2值
Tab.4 Optimised Lf2 values for hybrid topology with different connections
混合拓扑结构连接方式补偿电感Lf2/mH LC-LC和LCC-LCC输入串联-输出串联37.15 LC-LC和LCC-LCC输入并联-输出并联35.94 LCC-S和LCC-LCC输入并联-输出并联21.46
为了验证本文所提混合拓扑在不同供电工况下仍可以使输出电流达到规定范围并且在160 mm偏移范围内具备抗偏移特性。规定输出电流范围为5.5~6.5 A。通过图5中参数优化流程,得到不同输入电压对应的反比系数和补偿电感最优理论参数见表5,将优化后的参数进行电路仿真得到输出电流在偏移160 mm内的波动情况如图9所示。
表5 不同电压时的优化参数
Tab.5 Optimised parameters at different voltages
输入电压/VLf2/mH 202.750 321.46 302.027 627.98 401.559 331.90 501.145 637.22
图9 不同输入电压下输出电流波动情况
Fig.9 Output current fluctuation at different input voltages
可以看到,当输入电压分别为20、30、40和50 V时,线圈对准时的初始输出电流分别为5.88、6.02、6.17和5.67 A,均满足了预设输出电流范围要求,并且在160 mm内的偏移时输出电流波动分别为6.54%、10.26%、7.62%和7.15%。这说明本混合拓扑利用LCC-LCC与LCC-S拓扑结构均具备独立调节特性,在不同输入电压下可实现对输出电流的调控,同时还兼具抗偏移特性。那么在实际工程应用中,该混合拓扑仅需替换补偿电容和电感就可满足设定的抗偏移输出电流,有效拓宽了不同工作电压环境下的输出电流调控能力。
为验证本文提出的混合拓扑及参数优化方法对不同自解耦磁耦合结构的适配性,选取与双十字磁耦合结构同尺寸的双D形正交线圈(Double-D Quadrature, DDQ)进行仿真对比验证。DDQ线圈在X轴方向偏移互感和输出电流变化情况如图10所示。规定输入电压UAB也为20 V,输出电流对准时初值范围也在5.5~6.5 A之间,通过图5中优化流程获得
=1.328和Lf2=16.39 mH的最优参数组,代入电路仿真中可知:当X轴偏移达160 mm时,DDQ线圈的主互感Mp1s1和Mp2s2分别波动52.86%和54.93%,但得益于本文多目标参数优化方法,系统输出电流仅波动3.48%,并且线圈对准时输出电流初值为5.73 A,达到设计要求。显然,本文所提出的混合拓扑结构及其参数优化方法,在兼顾适配不同磁耦合结构的同时,还通过多目标优化机制实现了双重优势:既可达到设定对准时输出电流初始值,又能有效抑制偏移工况下的输出电流波动。
图10 160 mm偏移范围内的DDQ线圈互感和输出电流变化
Fig.10 Changes in mutual inductance and output current of DDQ coil offset in the 160 mm misalignment
综上所述,本文所提出的混合拓扑将传统LC-LC拓扑电路替换成LCC-S拓扑电路,并引入反比系数,构建了具备双重调控能力的LCC-LCC和LCC-S混合补偿拓扑,可实现不同供电环境下调整混合拓扑输出电流增益,相较于现有混合拓扑方案,所提混合拓扑通过反比系数和补偿电感分别独立调控LCC-S和LCC-LCC支路输出增益,可在宽输入电压范围内实现对输出电流高精度调控,基于输出增益波动分析的多目标优化策略,在兼顾不同磁耦合结构的同时,仍可使系统输出电流在160 mm偏移内将输出电流波动控制在7%以内。所提混合拓扑不依赖调压电路,无需优化磁耦合结构参数,就可以兼顾对输出电流的调控和输出抗偏移特性。因此,该混合拓扑结构在磁耦合结构的适配性和输出灵活性上具备一定的优势。
为了验证本文所优化的混合拓扑及其参数设计的有效性和正确性,搭建了一个200 W的基于LCC-S和LCC-LCC组合式混合拓扑结构的IPT系统,如图11所示。实验中采用NI PXIe-6124型号的多功能数据采集设备,利用其两个模拟输出通道输出85 kHz的高频方波,在经功率放大器将输入电压提升至20倍输出到混合拓扑电路,其中采用f0.1 mm×500利兹线圈组成双十字磁耦合结构,将发射线圈与接收线圈的距离设定为120 mm,系统实验参数见表6。
图11 基于混合拓扑结构的IPT系统实验装置
Fig.11 Experimental setup of IPT system based on hybrid topology
表6 系统实验参数
Tab.6 System experimental parameters
参 数数 值 UAB/V20.16 f/kHz85.0 Lp1/mH167.23 Lp2/mH148.12 Ls1/mH254.48 Ls2/mH256.33 Mp1s1/mH28.15 Mp2s2/mH27.74 Mp1s2/mH0.71 Mp1p2/mH0.32 Mp2s1/mH0.47 Ms1s2/mH0.54
对比表1和表6的参数,可以看到实验参数中发射线圈、接收线圈和各个互感值与仿真结果误差皆在4%以内,图12为仿真与实验测量在160 mm偏移范围内主互感Mp1s1和Mp2s2波动情况。
图12结果表明,主互感的实验测量结果与仿真结果的变化趋势基本一致,因此,结合表6的参数,为了避免重复计算,本文对反比系数
和补偿电感Lf2和Lr参数选择将采用仿真优化后的结果。
图12 160 mm偏移范围内的实验与仿真主互感
Fig.12 Experimental and simulated primary mutual inductance over a 160 mm misalignmen
为了验证本文所提出的基于LCC-S和LCC-LCC组合式混合拓扑结构的IPT系统输出电流的抗偏移特性,在7 W负载的条件下,选取0、60、120、160 mm四组偏移距离参数,以线圈对准时的输出电流为基准值。
图13为不同偏移距离下的输入电压UAB、输入电流If、输出电流Io、负载输出电流IL的波形,其中,四种偏移情况下的输出电流值均在5.5~6.5 A之间,其输出波动表现为先减小后增大的趋势,这与图8中仿真的输出电流变化趋势相同,满足设计要求,负载输出电流在4.78~5.07 A之间变化,并且最大波动率为6.07%,说明当线圈发生偏移时,负载输出电流依然处于正常工作状态,此外,在160 mm偏移范围内输入电压与电流的相位差始终维持在7°以内,验证了在57.14%偏移范围内,系统仍维持不错的有功传输特性。
同时,系统负载输出功率PL和效率
在160 mm偏移范围内的变化情况如图14所示,线圈未发生偏移时,负载输出功率为183.15 W,效率为89.29%,而当线圈在160 mm范围内偏移时,负载输出功率和效率分别在9.28%和5.57%范围内波动,且系统效率可保持在80%以上,基本上可以认为PL和
在57.14%偏移范围内保持稳定。本文实验中测量误差和整流器及线圈损耗的影响会导致实验值普遍低于仿真值,但实验值和仿真值在偏移时均表现为大致相同的变化趋势,因此,可以认为实验中PL和
表现出的变化趋势具有合理性。
图13 不同偏移距离下的UAB、If、Io和IL波形
Fig.13 UAB, If, Io and IL waveforms at different misalignment distances
图14 不同偏移距离下的PL和
Fig.14 PL and
at different misalignment distances
在线圈对准的情况下,选取3、5和9 W三组负载RL对比参数,并以RL=7 W时的系统性能为基准值。
图15反映了三组负载RL对比参数下的输入电压UAB、输入电流If、输出电流Io、负载输出电流IL的波形及其数值。可以看到,当负载分别为3、5和9 W时,输出电流Io分别为6.47、5.83和5.81 A,均在图5中设定的Io初始参数范围内,而负载输出电流IL分别为5.24、4.92和4.88 A,与基准值对比,最大负载电流波动为6.87%。这与负载变化幅度200%相比是非常小的,因此,可以认为该IPT系统是一个与负载无关的恒流输出系统,这同时也证明了式(14)中输出电流与负载无关的理论分析的正确性。
图15 RL为3、5和9 W的UAB、If、Io和IL波形
Fig.15 UAB, If, Io and IL waveforms for RL of 3, 5 and 9 W
图16为3、5和9 W三组负载RL在160 mm偏移范围内的负载输出功率和效率变化情况。随着线圈偏移距离越大,不同负载的输出功率则在160 mm偏移范围内先减小后增大,3、5和9 W三组负载在未发生偏移时的效率分别为89.15%、87.29%和86.18%,当偏移至120 mm后,效率分别降至84.11%、83.36%和80.92%,在120~160 mm偏移范围内效率皆有所提高,当负载在3~9 W之间波动,同时在160 mm范围内偏移时,系统的效率基本满足在80%以上。
图16 不同负载及偏移距离下的PL和
Fig.16 PL and
for different loads and offset distances
将本文所提出的基于LCC-LCC和LCC-S并联混合拓扑与以往其他文献进行对比分析,见表7。可以看出,相较于以往混合拓扑存在输出增益受制于线圈参数和输入电压的影响,并且存在无法同时实现抗偏移与输出电流调控的局限性。本文所提出的混合拓扑结构和多目标参数优化策略,可以在57.14%的偏移范围内,将输出电流波动控制在7%内,实现在不借助附加调压电路和线圈参数优化的条件下,对输出电流调控的同时兼顾抗偏移特性,有效解决了以往混合拓扑在抗偏移特性与输出可控性之间的矛盾,极大程度地拓宽了工程应用场景。
为了实现IPT系统的可调控抗偏移恒流输出,本文提出了一种基于并联混合拓扑的IPT系统及其参数优化方法,结论如下:
表7 与现有的混合补偿拓扑比较
Tab.7 Comparison with existing hybrid compensation topologies
文献连接方式拓扑结构线圈结构偏移尺寸/mm输出波动(%)可调控抗偏移输出输出增益受线圈参数影响 [19]原边并联LCC-LCCDD线圈X: 160(41.3%)5否是 副边并联LC-LCQ线圈Y: N/A [23]原边串联LC-LCCQR线圈X: 140(33.6%)5否是 副边串联LCC-LCQ线圈Y: 105(25.2%) [25]原边并联S-SDD线圈X: 70(29.2%)16.6否是 副边并联LCC-LCCDD线圈Y: 70(29.2%) [27]原边并联S-S单极型线圈X: 105(35%)5否是 副边并联LCC-S田字形线圈Y: 105(35%) [28]原边串联LCC-SQ线圈X: 200(50%)5否是 副边并联S-LCCQD线圈Y: N/A 本文原边并联LCC-LCC双十字型X: 140(57.14%)7是否 副边并联LCC-S线圈Y: N/A
1)本文通过在LCC-S拓扑结构引入反比系数
调节其输出增益,并以补偿电感Lf2调节LCC-LCC的输出增益,实现了双补偿回路独立控制和在宽输入电压工况下对输出电流初值调控,降低了系统输出控制复杂度。
2)通过优化补偿电感Lf2和反比系数
,突破传统单一电感参数调节的局限,在无需优化磁耦合机构参数的条件下,即可实现±89.7%互感波动范围内的恒流输出控制,且在负载200%和线圈偏移57.14%的范围内变化时,系统输出电流最大波动不超过±7%。
3)提出一种基于输出增益波动分析的双目标优化策略,无需依赖调压电路和耦合器参数重配置,即可在混合拓扑中实现可调控抗偏移恒流输出,同时该方案还可以适配任何具备自解耦能力的线圈,为无线供电场景提供了普适性解决方案。
本文提出的混合拓扑突破了磁耦合参数与调压电路的双重约束,是一种兼具低成本和高环境通用性方案,在电动汽车动态充电、工业机器人无线供电等领域展现出更强的工程适用性和输出灵活性。同时,该参数设计方法不仅仅适用于并联双通道混合拓扑,同样适用于采用输入输出串联连接形式的混合拓扑。
参考文献
[1] 张滨山, 张泽恒, 杨斌, 等. 基于钳位电路的LCC- S补偿型感应电能传输系统抗偏移方法[J]. 电工技术学报, 2024, 39(8): 2388-2399.
Zhang Binshan, Zhang Zeheng, Yang Bin, et al. LCC- S compensated inductive power transfer system against misalignment with a clamp circuit[J]. Transa- ctions of China Electrotechnical Society, 2024, 39(8): 2388-2399.
[2] 周玮, 高侨, 陈泽林,等. 基于同侧解耦型电场耦合机构的多发射多接收无线电能传输系统[J]. 电工技术学报, 2023, 38(18): 4811-4822.
Zhou Wei, Gao Qiao, Chen Zelin, et al. Same-sided decoupled electric-field coupler based wireless power transfer system with multi-transmitter and multi- receiver[J]. Transactions of China Electrotechnical Society, 2023, 38(18): 4811-4822.
[3] 陈伟华, 宋宇航, 闫孝姮, 等. 心脏起搏器无线电能传输LCC-LCC磁集成印刷螺旋线圈研究[J]. 电工技术学报, 2024, 39(17): 5289-5299.
Chen Weihua, Song Yuhang, Yan Xiaoheng, et al. Research on wireless power transmission for cardiac pacemakers using LCC-LCC magnetic integrated printed spiral coil[J]. Transactions of China Electro- technical Society, 2024, 39(17): 5289-5299.
[4] 王得安, 张剑韬, 朱春波, 等. 海洋环境对水下无线电能传输系统的影响机理研究进展[J]. 电工技术学报, 2025, 40(3): 653-675.
Wang Dean, Zhang Jiantao, Zhu Chunbo, et al. Review of progress in the study of marine environ- ment effects on underwater wireless power transfer systems[J]. Transactions of China Electrotechnical Society, 2025, 40(3): 653-675.
[5] 陈阳, 杨斌, 彭云尔, 等. 感应式无线电能传输系统抗偏移技术研究综述[J]. 中国电机工程学报, 2023, 43(14): 5537-5557.
Chen Yang, Yang Bin, Peng Yuner, et al. Review of anti-misalignment technology in inductive wireless power transfer system[J]. Proceedings of the CSEE, 2023, 43(14): 5537-5557.
[6] Srivastava V K, Sharma A. A coil rectenna array design to harvest all H-field components for lateral misalignment tolerant wireless powering of bio- medical implant devices[J]. IEEE Journal of Elec- tromagnetics, RF and Microwaves in Medicine and Biology, 2024, 8(1): 59-67.
[7] Geng Yuyu, Guo Qiang, Yang Zhongping, et al. Design and optimization of real-time strong coupling coil of dynamic wireless power transfer for electrical vehicle[J]. IEEE Transactions on Vehicular Techno- logy, 2023, 72(9): 11495-11504.
[8] Cai Changsong, Wang Junhua, Nie Hui, et al. Effective-configuration WPT systems for drones charging area extension featuring quasi-uniform magnetic coupling[J]. IEEE Transactions on Trans- portation Electrification, 2020, 6(3): 920-934.
[9] Cai Changsong, Wang Junhua, Wan Leke, et al. Robust wide-area wireless charging of multipath movable receivers: a coupling mechanism and simplified configuration strategy[J]. IEEE Transa- ctions on Power Electronics, 2025, 40(1): 2527-2541.
[10] Ke Guangjie, Chen Qianhong, Gao Wei, et al. Research on IPT resonant converters with high misalignment tolerance using multicoil receiver set[J]. IEEE Transactions on Power Electronics, 2020, 35(4): 3697-3712.
[11] Deng Zhipeng, Zhao Lei, Chen Fengwei, et al. A method based on vector-summing to reduce output power fluctuation for EV-DWPT system with the passive LC network[J]. IEEE Transactions on Trans- portation Electrification, 2025, 11(1): 2133- 2145.
[12] Chakole M, Naidu P, Sakhare M, et al. A novel static wireless charging and payment mechanism for electric vehicles[C]//2024 2nd International Conference on Emerging Trends in Engineering and Medical Sciences (ICETEMS), Nagpur, India, 2024: 856-860.
[13] Li Guangyao, Zhang Hailong, Chen Yafei, et al. 3-D misalignment tolerant E-scooter IPT system with hybrid control based on three-coil design for load- independent CC/CV outputs[J]. IEEE Transactions on Transportation Electrification, 2024, 10(4): 9163- 9177.
[14] Li Zhizhong, Zhang Yuandong, Yu S S, et al. A hybrid wireless power transfer system with high misalignment tolerance using diagonal crossed solenoid magnetic coupler[J]. Chinese Journal of Electrical Engineering, 2025, 11(1): 138-150.
[15] Yao Yousu, Wang Yijie, Liu Xiaosheng, et al. Analysis and design of an S/SP compensated IPT system to minimize output voltage fluctuation versus coupling coefficient and load variation[J]. IEEE Transactions on Vehicular Technology, 2018, 67(10): 9262-9272.
[16] Mai Jianwei, Wang Yijie, Yao Yousu, et al. Analysis and design of high-misalignment-tolerant compen- sation topologies with constant-current or constant- voltage output for IPT systems[J]. IEEE Transactions on Power Electronics, 2021, 36(3): 2685-2695.
[17] Yang Bin, Lu Yuanfang, Peng Yuner, et al. Analysis and design of a T/S compensated IPT system for AGV maintaining stable output current versus air gap and load variations[J]. IEEE Transactions on Power Electronics, 2022, 37(5): 6217-6228.
[18] Zhao Lei, Thrimawithana D J, Madawala U K. Hybrid bidirectional wireless EV charging system tolerant to pad misalignment[J]. IEEE Transactions on Industrial Electronics, 2017, 64(9): 7079-7086.
[19] 李砚玲, 杜浩, 何正友. 基于双D形正交混合拓扑的感应电能传输系统恒流输出研究[J]. 中国电机工程学报, 2020, 40(3): 942-951.
Li Yanling, Du Hao, He Zhengyou. Research on constant current output of inductive power transfer system with double-D quadrature hybrid topology[J]. Proceedings of the CSEE, 2020, 40(3): 942-951.
[20] Gong Zhaowei, Shi Qian, Li Jingang, et al. Parallel hybrid wireless charging with misalignment tolerance and constant current output[C]//2022 International Conference on Mechanical and Electronics Engin- eering (ICMEE), Xi’an, China, 2022: 167-172.
[21] 梁雨晴, 唐忠. 抗偏移混合拓扑恒流无线充电系统研究[J]. 电力系统保护与控制, 2024, 52(15): 105- 114.
Liang Yuqing, Tang Zhong. An anti-offset hybrid topology constant current wireless charging system[J]. Power System Protection and Control, 2024, 52(15): 105-114.
[22] 谢文燕, 陈为, 陈庆彬, 等. 双耦合SP-S补偿紧凑型抗偏移WPT系统[J].中国电机工程学报, 2024, 44(2): 714-725.
Xie Wenyan, Chen Wei, Chen Qingbin, et al. Com- pact anti-offset WPT system with dual-coupled SP-S compensation[J]. Proceedings of the CSEE, 2024, 44(2): 714-725.
[23] 刘旭, 曹宇鹏, 夏晨阳,等. 基于四矩形正交线圈的无线电能传系统混合式补偿拓扑优化及其抗偏移性[J]. 电工技术学报, 2025, 40(12): 3828-3841.
Liu Xu, CaoYupeng, XiaChenyang, et al. optimi- zation of hybrid compensation topology and anti- offset performance of wireless power transfer system based on QRQP coil[J]. Transactions of the China Electrotechnical Society, 2025, 40(12): 3828-3841.
[24] Yang Bin, Chen Yang, Ruan Wenjun, et al. Current stress optimization for double-sided CLLLC topology- based IPT system with constant output current tolerating pad misalignments[J]. IEEE Transactions on Industry Applications, 2022, 58(1): 1032-1043.
[25] Ke Guangjie, Chen Qianhong, Xu Ligang, et al. Analysis and optimization of a double-sided S-LCC hybrid converter for high misalignment tolerance[J]. IEEE Transactions on Industrial Electronics, 2021, 68(6): 4870-4881.
[26] Mai Ruikun, Yang Bin, Chen Yang, et al. A misalignment tolerant IPT system with intermediate coils for constant-current output[J]. IEEE Transa- ctions on Power Electronics, 2019, 34(8): 7151-7155.
[27] 张艺明, 王辉, 沈志伟, 等. 利用混合拓扑实现强抗偏移性能的紧凑型电动汽车无线充电系统[J]. 中国电机工程学报, 2022, 42(8):2979-2987.
Zhang Yiming, Wang Hui, Shen Zhiwei, et al. misalignment-tolerant compact electric vehicle wire- less charging system by using hybrid topology [J]. Proceedings of the CSEE, 2022, 42(8): 2979-2987.
[28] Qu Xiaohui, Yao Yunchang, Wang Dule, et al. A family of hybrid IPT topologies with near load- independent output and high tolerance to pad misa- lignment[J]. IEEE Transactions on Power Electronics, 2020, 35(7): 6867-6877.
[29] 张艺明, 沈志伟, 毛行奎, 等. 基于相互解耦四单极接收线圈的电动汽车无线充电系统的互操作性[J]. 电网技术, 2024, 48(2): 650-657.
Zhang Yiming, Shen Zhiwei, Mao Xingkui, et al. Interoperability of electric vehicle wireless charging system based on decoupled four-monopole receiving coil[J]. Power System Technology, 2024, 48(2): 650- 657.
Abstract In inductive power transfer systems, output current fluctuations caused by magnetic-coupling structure offsets are a key issue that constrains system performance. Existing hybrid topology methods that optimize compensating inductance and magnetic coupling parameters can improve offset resistance but sacrifice the ability to regulate the system's output current, creating a trade-off between robustness and output regulation capability. This paper proposes an induced electric energy transmission system based on LCC-LCC and LCC-S parallel hybrid topology and parameter optimization method. By establishing a multi-degree-of-freedom parameter model of the dual-compensation circuit, an independent control mechanism for the output gain is developed, and a multi-objective optimization strategy is employed to enhance anti-skewing performance and current-regulation capability.
First, based on orthogonal winding self-decoupling theory, orthogonally distributed Leeds winding structures are designed on both the primary and secondary sides to mitigate cross-coupling. Then, a parallel- stacked compensation circuit is constructed to achieve a constant-current output by separately modeling the two compensating topologies. The output current gain of the two topologies is proportional to the mutual inductance of the coil and is inversely proportional to the mutual inductance of the coil. Then, a dual-degree-of-freedom regulation strategy is proposed. The output gain control of the LCC-S compensation circuit is achieved by introducing the inverse ratio coefficient ka, the inductance parameter Lr of the LCC-LCC compensation circuit is synchronously optimized to achieve gain calibration, and the initial value-setting mechanism for the system output current is constructed based on ka and Lf2. A multi-objective compensation circuit model is developed based on the fluctuation ratios of the output currents, with ka and Lf2 as variables, improving anti-offset performance even under the preset output current. Finally, the experimental results show that constant-current output control within ±89.7% mutual inductance fluctuation can be achieved without optimizing the parameters of the magnetic coupling mechanism. The maximum fluctuation in the system's output current is no more than ±7% when the load varies by 200% and the coil offset is 57.14%.
The following conclusions can be drawn. (1) Compared with the traditional hybrid topology, the proposed LCC-LCC and LCC-S parallel hybrid topology not only realizes independent control of the dual compensation loops but also regulates the system output current under a wide voltage input condition, reducing the system output control complexity. (2) By optimizing the compensation inductor Lf2 and the introduced inverse ratio coefficient ka, the limitations of the traditional single inductor parameter regulation are broken through, and the offset-resistant constant-current output can be realized without optimizing the parameters of the magnetic coupling mechanism. (3) A dual-objective optimization strategy is proposed to break through the double constraints of the magnetic coupling parameter and the regulating circuit. It is a low-cost and highly versatile scheme.
keywords:Hybrid topology, inductive power transfer (IPT), inverse ratio coefficient, misalignment tolerance, multi-objective optimization
DOI: 10.19595/j.cnki.1000-6753.tces.250422
中图分类号:TM724
国家自然科学基金(52477011, 52207012)和湖北省输电线路工程技术研究中心(三峡大学)开放基金课题(2024KXL08)资助。
收稿日期 2025-03-17
改稿日期 2025-03-29
贲 彤 女,1991年生,副教授,博士生导师,研究方向为无线电能传输技术。E-mail: bentong@ctgu.edu.cn
陈 龙 男,1989年生,博士,副教授,硕士生导师,研究方向为磁性材料磁特性模拟、全局优化设计。E-mail: chenlong@ctgu.edu.cn(通信作者)
(编辑 郭丽军)