摘要 无线电能传输(WPT)系统的传输效率与功率容量在很大程度上易受负载和互感参数变化的影响。通过引入参数辨识技术对两者进行估计,将有助于WPT系统的状态监测和控制算法优化,从而提高系统性能。该文基于双边电感-电容-电容补偿(DLCC)拓扑的WPT系统,提出一种仅通过采集发射端并联补偿电容两端电压信息,便能实时对互感和负载参数联合辨识的方法。首先,基于WPT系统的稳态特性,利用自定义的传输阻抗表达式,初步得到负载、互感与采集量之间的耦合方程组。其次,为对辨识算法进一步优化,在保证辨识算法精度的同时,利用定义系数进一步化简方程组,实现负载和互感的解耦,最终将求解复杂耦合方程组问题转化为仅包含负载参数的三次方程求解问题。然后,根据负载辨识结果,推导系统采集量与互感之间的量化关系表达式,并阐述具体的辨识流程与步骤。最后,搭建WPT系统样机进行实验验证,结果表明,该方法在变互感和变负载工况下,两者最大辨识误差分别为5.3%和6.9%,具有较高的辨识精度。
关键词:无线电能传输 参数辨识 互感识别 参数分离
无线电能传输(Wireless Power Transmission, WPT)系统因其高可靠性、高安全性和使用灵活性而受到社会的广泛关注,已应用于电动汽车、无人机和便携式电子设备[1-3]以及医疗设备[4-6]、异物监测[7-8]、水下无线充电[9]等领域。目前,无线电能传输系统主要采用磁耦合技术,电能通过发射线圈和接收线圈之间的磁场耦合从发射端传输到接收端。当系统各部分的参数已知时,可以采取合适的控制方法实现恒压或恒流输出,甚至实现最大效率跟踪[10-11]。
然而在实际工况下,互感和负载往往是不确定的[12],这将影响系统控制。由于空气隙将发射端和接收端的电路分离,系统主控制器无法获取相关信息控制电路。传统的解决方案是通过传感器采集接收端信息,并将其无线传输到发射端,从而实现参数估计,基于此进一步控制系统[13]。然而,使用无线通信增加了系统的体积与成本,且该方法易受外界干扰,可能存在误码与丢帧问题,降低了系统的可靠性[14]。
为避免原边和副边通信,许多研究人员引入基于发射端信息的辨识方法,辨识内容主要集中在线圈互感和系统负载上。
文献[15-16]在已知负载的情况下,分别在频域和时域下推导互感与逆变器输出电压、电流的关系表达式,实现对互感参数的估计,但这不利于负载变化的系统,例如电池负载。针对电池负载,文献[17]提出一种基于系统软启动的参数辨识方法。该方法利用系统在启动初期尚未达到电池充电有效电压的特点,在此阶段采集逆变器输出电压、电流有效值进行辨识,从而实现在未知负载下的互感估计。文献[18]针对未知负载情况,提出一种基于五倍频等效电路分析的互感估计方法。通过分析五倍频下的电路特性,仅利用逆变器输出电流即可进行互感估计,但采样误差对其估计的准确度有显著影响。
文献[19]通过脉冲密度调制技术控制逆变器,利用逆变器输出电压、电流的间谐波信息实现了对负载和互感的同时估计。文献[20]提出一种基于附加补偿电容器的参数辨识方法,通过使系统工作在有无附加补偿电容的两种状态,分别采集两种工况下逆变器输出电流的有效值,实现对负载和互感的估计。需要注意的是,该方法工作状态的切换会中断功率传输,不利于实时辨识。文献[21]提出一种基于附加辅助逆变器的参数辨识方法。该方法通过调节辅助逆变器的频率和移相角,在增强系统冗余度的同时确保不影响系统输出。在此基础上,采集并求解发射线圈电流拍频波包络线的峰值和谷值,从而实现对负载和互感的辨识。但引入辅助逆变器的控制策略较为复杂,系统的体积和成本也有所增加,在实际应用场景中可能受限。文献[22]在系统状态变量求解中引入遗传算法,将互感和负载识别问题转化为寻优问题。通过采集逆变器直流母线电压和发射线圈电流,实现两者的同时估计。在文献[23]中,介绍了一种基于TensorFlow神经网络的识别算法。该方法通过红外传感器获得系统传输距离,并采集逆变器输出电流,将它们送入离线训练模型,最终实现负载和互感的同时辨识。虽然文献[22-23]在辨识过程中引入智能优化算法一定程度上提高了估计精度,但算法本身较为复杂,辨识速度较慢,同时对系统控制器的性能也提出了一定的要求。
在上述研究的基础上,本文提出一种基于发射端并联补偿电容电压信息的互感和负载在线辨识方法。该方法可适用于串-串(Series-Series, S-S)拓扑、S-LCC、LCC-S拓扑和双边LCC(Dual-side inductor- Capacitor-Capacitor, DLCC)拓扑,本文以DLCC拓扑为例,首先对无线电能传输系统的稳态特性进行深入分析,通过理论推导,建立了采集量与待辨识参数之间的数学关联模型,初步构建包含负载和互感的辨识方程组。鉴于方程组具有非线性耦合特性,为降低求解难度,本文进一步引入参数解耦方法,通过将负载与互感参数分离,实现二者在辨识过程中解耦。经过解耦后,问题被转化为一个以负载参数为核心变量的三次非线性代数方程的求解,同时基于互感与采集量之间的量化关系表达式,实现对互感的估计。最后通过搭建1 kW系统样机,对所提辨识方法的可行性与准确性进行了验证。
表1展示了各种参数辨识方法多维度的对比,包括本文所提参数辨识方法。
表1 参数辨识方法对比表
Tab.1 Comparison table of parameter identification methods
文献采样信息在线辨识额外拓扑辨识方程 [13]逆变器输出电压、电流不可以无简单 (仅互感) [14]逆变器输出五倍频电流可以无简单 (仅互感) [15]逆变器输出电压、电流间谐波可以无复杂 (非线性方程组) [16]逆变器输出电流不可以附加电容器简单 [17]发射线圈电流可以附加辅助逆变器简单 [18]逆变器母线电压、发射线圈电流可以无复杂 (遗传算法) [19]逆变器输出电流、线圈传输距离不可以无复杂 (神经网络) 本文发射端电容电压可以无简单 (一元三次方程)
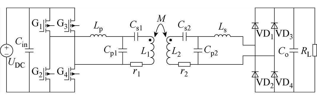
本文基于DLCC补偿的WPT系统进行研究,系统结构如图1所示。
图1 WPT系统结构
Fig.1 WPT system structure
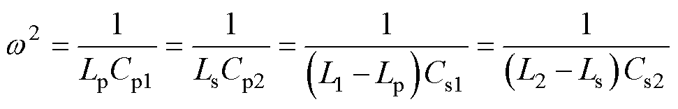
图1中,UDC为直流输入电压,RL为负载电阻,r1和r2分别为发射线圈和接受线圈交流内阻,而补偿网络的内阻很小可以忽略不计,Cin为电源稳压电容,Co为输出滤波电容,全桥不控整流电路由二极管VD1~VD4组成,全桥逆变电路由开关G1~G4组成,L1和L2分别为发射线圈和接收线圈的自感,M为两者间的互感,Lp、Cp1和Cs1构成发射端补偿网络,Ls、Cp2和Cs2构成接收端补偿网络,补偿网络参数满足如下谐振关系:
(1)
式中,w为系统工作角频率。
由于DLCC补偿网络具有良好的滤波特性,线圈电流中包含的高次谐波分量较少。同时,逆变电路输出端与整流电路输入端的谐波功率相比基波功率可以忽略不计。因此,在本文的建模过程中,仅考虑基波分量分析。
首先,对系统逆变电路进行建模分析。逆变电路采用移相控制,定义超前管G1与滞后管G4的驱动信号相位差为移相角a,则其逆变器输出电压Uinv满足关系:
(2)
式中,n为谐波次数。
本文只考虑基波(n=1),则逆变器输出电压基波有效值Uinv_f如式(3)所示,其角度滞后于G1。逆变器驱动信号与其输出电压示意图如图2所示。
(3)

图2 逆变器驱动信号与其输出电压示意图
Fig.2 Schematic diagram of inverter drive signal and its output voltage
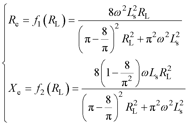
其次,对整流桥等效负载进行建模分析。这里仅考虑整流桥连续工作模式,依据文献[24],整流桥等效负载包括两部分,分别是等效实部和等效虚部,其值满足
(4)
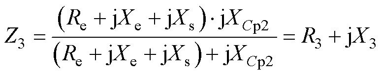
耦合线圈采用T型等效,结合上述分析,可得基于双边LCC补偿的系统稳态电路模型,如图3所示。图中,Le为整流桥等效电感,UCp1为电容Cp1两端基波电压有效值,ICs1为流经电容Cs1的基波电流有效值,Z1、Z2和Z3为系统传输阻抗。

图3 基于双边LCC补偿的稳态电路模型
Fig.3 Steady-state circuit model based on DLCC
首先,为方便推导,定义如下阻抗表达式,且在以下所有推导过程中均满足谐振关系。
(5)
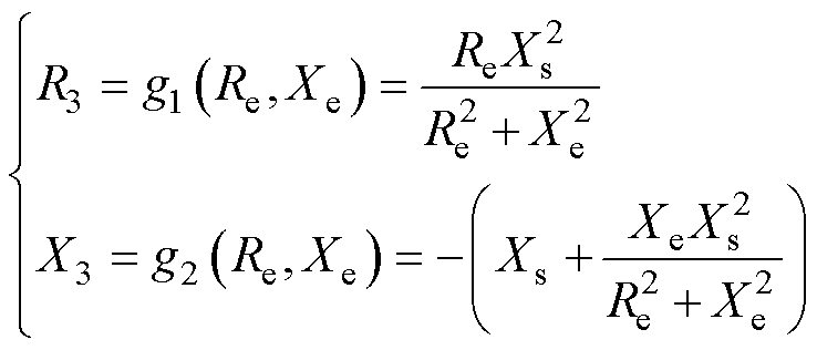
基于图3,可推导Z3阻抗表达式为
(6)
其中
(7)
进一步可求Z2和Z1,其值分别为
(8)
其中
(9)
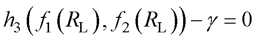
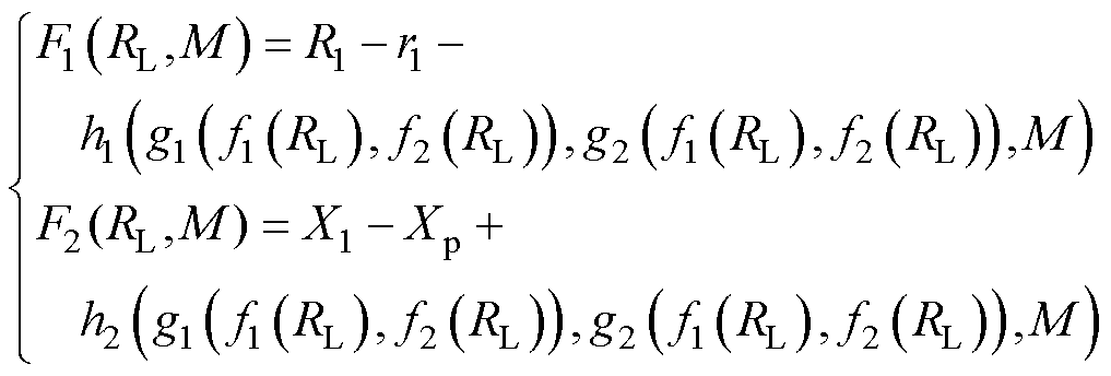
结合式(5)、式(7)、式(9),可构造函数F1和F2为
(10)
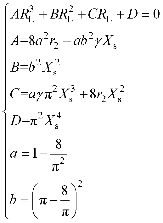
则求解耦合方程组式(11)即可求出RL和M。
(11)
WPT系统仿真参数见表2。基于表2所示参数,分别绘制Z=F1和Z=F2的函数曲线,可以实现对互感和负载的同时估计。
表2 WPT系统仿真参数
Tab.2 WPT system simulation parameters
参 数数 值 发射线圈自感L1/mH184.3 接收线圈自感L2/mH247.96 互感M/mH31 发射线圈交流内阻r1/mW190 接收线圈交流内阻r2/mW177 接收端串联补偿电感Ls/mH44.760 负载RL/W50
如图4a和图4b所示,两个图像与Z=0平面的交线分别对应满足条件的RL和M。将F1=0或F2=0任两者的交线画在二维平面,如图4c所示,交线交点即为互感和负载的估计值。为简化求解,避免对耦合方程组的迭代运算,需将负载和互感进行分离,并对它们依次进行估计。
图4 两条交线以及唯一解的示意图
Fig.4 Schematic diagram of two intersecting lines and a unique solution
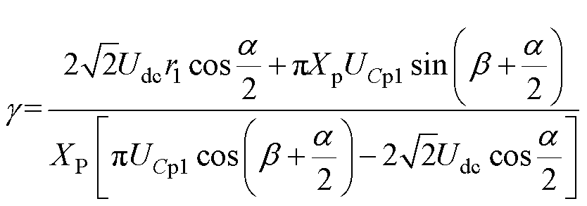
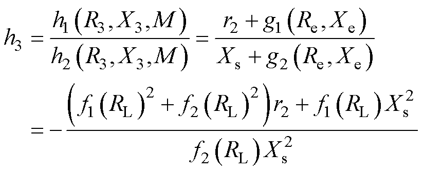
基于上述分析,对耦合方程组作进一步处理,以找到带辨识参数的量化表达式,简化求解过程。令
(12)
可以看出,h3中仅包含RL而不包含M信息,即
。联立式(11)和式(12)可得
(13)
其中
(14)
将式(4)代入式(13)中,化简可得
(15)
显然,式(15)是一个仅与RL有关的一元三次方程,通过求解该方程即可实现对RL估计。可以看出,式(15)是一个以g为参数,RL为未知量的方程,下面分析该三次方程解的分布形式。根据卡丹公式可知,一元三次方程的根有三种形式,它们与判别式一一对应。图5是式(15)三次方程判别式与g之间的关系。
图5 判别式随g的变化曲线
Fig.5 Variation of discriminant with g
从图5中可以看出,无论参数g取何值,该三次方程的判别式始终大于0。根据卡丹公式可知,这时三次方程有且仅有一个实数解,因此该方法在实际操作中不存在多个实数解的情况。下面分析如何通过采样获取g。
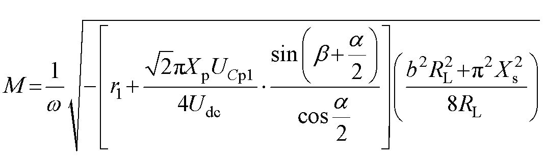
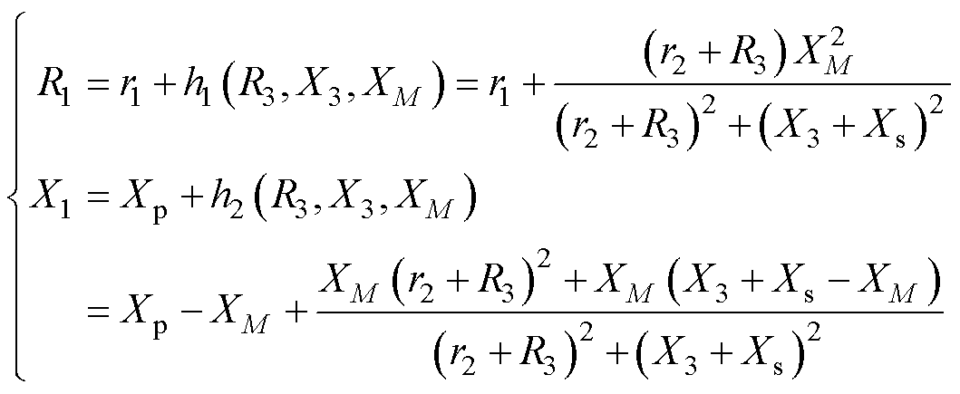
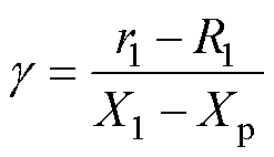
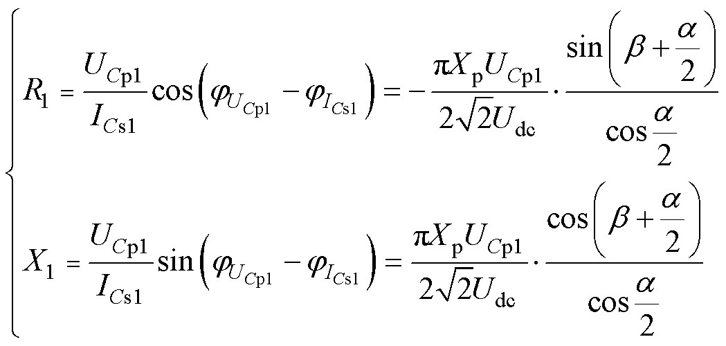
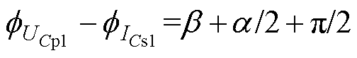
首先,根据前述建模可知,系统移相角(G1超前G4的角度)为a(a>0),逆变器输出电压基波Uinv_f与信号G1相位差为-a/2,当电感Lp与电容Cp1满足谐振时,流经电容Cs1的电流ICs1基波幅值相当于逆变器输出电压基波幅值的1/Xp倍,其基波相位滞后逆变器输出电压基波90°,即电流ICs1基波相位与G1信号相位差为-a/2-p/2。若定义UCp1基波与信号G1相位差为b,则UCp1与ICs1相位差为b+a/2+p/2,可求解得到R1和X1为
(16)
将式(16)代入式(14)可得
(17)
式(17)中,a、r1、Udc和Xp通常认为是已知的,未知参数仅有b和UCp1,而这两者可以通过采集发射端并联电容两端电压,并传输给逆变器控制器获取。进一步地,在式(9)中,由于r2
R3,可将其忽略,通过化简式(9),可得互感的估计表达式为
(18)
综上所述,本文提出的辨识方法流程如图6所示。该方法仅需采集发射端并联补偿电容的电压信息,即可实现负载和互感的联合辨识。首先,通过推导发射端并联电容后传输阻抗的表达式,找到互感与负载的辨识方程组。通过定义中间系数g,实现负载和互感参数分离,将求解非线性耦合方程组问题转化为求解一元三次方程的根的问题,实现负载辨识。最后,推导互感估计表达式,实现两者同时辨识。

图6 在线联合辨识流程
Fig.6 Online joint identification process
为验证所出的辨识方法,搭建了一套1 kW双边LCC补偿的无线电能传输系统样机如图7所示。
图7 无线电能传输系统样机
Fig.7 Prototype of WPT system
图7中,逆变电路采用型号为C3M0065090D的SiC-MOSFET开关管,整流电路使用型号为C3D16060D的SiC二极管。线圈符合SAE J2954—2017国家标准,型号为WPT1-Z2,标准传输距离为20 cm。在额定工况下,电阻负载为70 W。其他具体实验参数详见表3。
表3 WPT系统参数
Tab.3 WPT system parameters
参 数数 值 系统运行频率f/kHz85 系统直流输入电压Udc/V370 发射线圈自感L1/mH248.321 接收线圈自感L2/mH185.109 互感M/mH31.934 1 发射线圈交流内阻r1/mW236.4 接收线圈交流内阻r2/mW146.8 发射端串联补偿电感Lp/mH56.070 发射端串联补偿电容Cs1/mF18.138 发射端并联补偿电容Cp1/mF62.456 接收端串联补偿电感Ls/mH80.222 接收端串联补偿电容Cs2/mF33.671 接收端并联补偿电容Cp2/mF42.523
图8~图10展示了系统额定工况下的相关波形,其中图8展示了逆变器输出电压与输出电流波形,可以明显看出,逆变器输出电压超前其输出电流,说明逆变器输出阻抗呈弱感性,软开关实现良好。图9展示了系统直流电源的输出电压与电流波形,通过此计算系统额定工况下的输入功率为1 036 W。图10展示了负载两端电压与其电流波形,计算系统此时输出功率为965.7 W。根据上述结果,求得系统传输效率为93.22%,说明所搭建的WPT系统具有良好的输出特性和传输特性。
图8 逆变器输出电压与电流波形
Fig.8 Output voltage and current waveforms of inverter
图9 系统直流电源电压与电流波形
Fig.9 Voltage and current waveforms of the system's DC power supply
图10 负载电压与电流波形
Fig.10 Voltage and current waveforms of the load
3.2.1 实验操作说明
图11和图12分别展示了移相角a=0时,触发信号G1、发射端并联电容电压UCp1以及逆变器输出电压Uinv三者的波形,从图中可以看出,Uinv与G1的相位保持一致,而UCp1与G1的相位差为b(b<0
,所以此时
。由于Lp与Cp1谐振,因此
,则
。
图11 额定工况下UCp1与G1波形
Fig.11 Voltage waveforms of UCp1 and G1 under rated operating conditions
图12 额定工况下Uinv与G1波形
Fig.12 Voltage waveforms of Uinv and G1 under rated operating conditions
当系统移相角不为零时,系统Uinv波形、G1波形以及UCp1波形如图13和图14所示。同上述分析原理相同,此时G1过零点超前逆变器输出电压的角度为a,G1超前逆变器输出电压的基波分量角度为a/2,因此,最终可以推算出
。这也验证了式(15)理论推导的正确性。
图13 a≠0时,UCp1与G1波形
Fig.13 The waveform of UCp1 and G1 at a≠0
通过示波器显示的图11~图14,可以验证前述分析理论的正确性,因此通过设计采样电路采集UCp1,并将其传给逆变器的控制器,由控制器计算UCp1与G1的相位差b和有效值UCp1后,便可按照图6流程进行估计。
图14 a≠0时,Uinv与G1波形
Fig.14 The waveform of Uinv and G1 at a≠0
3.2.2 不同负载工况下的辨识结果
首先,为验证参数辨识方法的有效性,设计不同负载工况下的估计实验,负载范围是40~70 W,得到相关实验波形和辨识结果。
图15展示了不同负载工况下,负载真实值、负载仿真估计值以及负载实验估计值的对比结果,图16则展示了线圈互感的估计对比结果。通过计算可得,负载估计的最大误差不超过1.82 W,对应其辨识的相对误差为2.6%,互感估计的最大误差在2.23 mH,对应其辨识误差为6.9%。可以看出,在负载不断变化的情况下,负载和互感估计结果良好,其误差在可接受的范围之内。
图15 不同负载下的负载估计结果
Fig.15 Load estimation results under different loads
图16 不同负载下的互感估计结果
Fig.16 Estimation results of mutual inductance under different loads
3.2.3 不同偏移工况下的辨识结果
为验证所提参数辨识方法在不同互感情况下的有效性,实验测量了线圈在传输距离为20 cm情况下,不同横向偏移距离下的互感值,见表4。
表4 线圈偏移距离对应互感参数
Tab.4 Mutual inductance parameters corresponding to coil offset distance
偏移距离/cm互感M/mH 031.934 1 530.785 9 1028.932 2 1525.357 5 2019.585 0
图17和图18分别展示了不同互感工况下,负载估计结果对比和互感估计结果对比。从图中可以看出,负载和互感的估计结果与真实值之间相差并不明显,通过计算实验估计值与真实值之间的差,可求得负载与互感的最大绝对误差分别为3.76 W和1.34 mH,它们的最大相对误差为5.3%和6.2%。
图17 不同互感下的负载估计结果
Fig.17 Load estimation results under different mutual inductance
图18 不同互感下的互感估计结果
Fig.18 Estimation results of mutual inductance under different mutual inductance
3.2.4 不同移相角下的辨识结果
为全面验证所提参数辨识算法的有效性,还应考虑系统逆变器在移相角不为0时的估计结果。为此,进行了五组实验进行研究分析,分别对应移相角为30°、60°、90°、120°和150°。
不同移相角下的负载和互感估计结果如图19和图20所示,它们分别展示了不同移相角工况下,负载和互感的辨识结果。其中,负载辨识结果始终保持在70 W附近,辨识结果较好,其最大辨识相对误差不超过3.2%,而互感的辨识结果整体偏小,但仍保持了较好的估计水平,其最大辨识相对误差不超过3.1%。可以看出,相比于不同负载或不同互感情况下的辨识误差,移相条件下的辨识精度更高,可能原因在于,当系统在额定负载70 W和额定互感31.934 1 mH运行时,输出特性较优,整体运行更为稳定。
图19 不同移相角下的负载估计结果
Fig.19 Load estimation results under different phase shift angles
图20 不同移相角下的互感估计结果
Fig.20 Estimation results of mutual inductance at different phase shift angles
综合上述分析可知,所提辨识方法能够有效应对变负载以及变互感工况下的估计,其辨识最大相对误差分别为5.3%和6.9%。将本文方法与其他参数辨识方法的最大相对辨识误差进行对比,见表5。
表5 辨识方法误差对比
Tab.5 Comparison of identification method errors
文献最大相对辨识误差 (负载和互感) [15]5.17%和7.4% [16]7.1%和4.8% [17]5.7%和7.5% [18]3.22%和7.4% 本文5.3%和6.9%
从表5中可以看出,本文的最大辨识误差在7%以内,而文献[15-18]均在7%以上,这说明本文在参数辨识精度方面也有一定的提升。而造成这些误差的原因主要是由于在进行参数辨识理论推导的过程中,忽略了电感和电容的内阻参数。另外,在设计系统参数时,无法保证补偿网络参数之间实现完美谐振。此外,整流电路和逆变电路的导通压降也是影响估计精度原因之一。但总的来说,这些误差都在可接受的范围之内,所提的参数辨识方法仍有较好的估计精度,后续将进一步优化辨识算法,提高辨识精度。同时,将研究基于移相角的闭环控制系统,实现闭环系统的稳定输出特性。
本文提出了一种基于发射端并联补偿电容电压信息的互感与负载参数同时估计的方法。首先,在考虑整流桥等效虚部阻抗的基础上,通过分析并联补偿电容后传输阻抗的表达式,构建了包含互感参数和负载参数的非线性耦合方程组。随后,通过引入中间系数,将方程组中的互感和负载进行参数分离,得到了一个仅包含负载参数的三次方程。通过仅采集发射端并联电容电压信号,实现对负载的估计。在得到负载估计结果后,通过互感估计表达式实现对互感的估计。与现有辨识方法相比,该方法无需依赖原、副边的通信回路,显著降低了系统的体积和成本。同时,在确保功率实时传输的前提下,仅通过采集一个电压信号即可同时估计互感和负载。
参考文献
[1] 窦润田, 张献, 李永建, 等. 磁耦合谐振无线电能传输系统电磁屏蔽应用发展与研究综述[J]. 中国电机工程学报, 2023, 43(15): 6020-6040.
Dou Runtian, Zhang Xian, Li Yongjian, et al. Review of application development and research of elec- tromagnetic shielding in magnetic coupling resonant wireless power transmission system[J]. Proceedings of the CSEE, 2023, 43(15): 6020-6040.
[2] Sagar A, Kashyap A, Nasab M A, et al. A com- prehensive review of the recent development of wireless power transfer technologies for electric vehicle charging systems[J]. IEEE Access, 2023, 11: 83703-83751.
[3] 孙跃, 马皓, 赵雷. 无线电能传输技术及应用专辑主编述评[J]. 电源学报, 2023, 21(6): 1-6.
Sun Yue, Ma Hao, Zhao Lei. Editorial for the special issue on wireless power transfer technology and its appli- cations[J]. Journal of Power Supply, 2023, 21(6): 1-6.
[4] 陈伟华, 宋宇航, 闫孝姮, 等. 心脏起搏器无线电能传输LCC-LCC磁集成印刷螺旋线圈研究[J]. 电工技术学报, 2024, 39(17): 5289-5299.
Chen Weihua, Song Yuhang, Yan Xiaoheng, et al. Research on wireless power transmission for cardiac pacemakers using LCC-LCC magnetic integrated printed spiral coil[J]. Transactions of China Elec- trotechnical Society, 2024, 39(17): 5289-5299.
[5] 陈伟华, 刘宗旺, 李政兴, 等. 谐振式无线供能心脏起搏器多线圈无功屏蔽研究[J]. 电工技术学报, 2022, 37(11): 2673-2685.
Chen Weihua, Liu Zongwang, Li Zhengxing, et al. Research on multi coil reactive shielding of resonant wireless energy supply cardiac pacemaker[J]. Transa- ctions of China Electrotechnical Society, 2022, 37(11): 2673-2685.
[6] 陈浩, 丘东元, 张波, 等. 植入式医疗设备无线供电技术综述[J]. 电源学报, 2025, 23(1): 188-199.
Chen Hao, Qiu Dongyuan, Zhang Bo, et al. Overview of wireless power transfer technology for implantable medical devices[J]. Journal of Power Supply, 2025, 23(1): 188-199.
[7] 张献, 邢子瑶, 薛明, 等. 无线电能传输系统异物检测技术研究综述[J]. 电工技术学报, 2022, 37(4): 793-807.
Zhang Xian, Xing Ziyao, Xue Ming, et al. Overview of foreign object detection in wireless power transfer system[J]. Transactions of China Electrotechnical Society, 2022, 37(4): 793-807.
[8] 孙瀛, 周天, 宋凯, 等. 提升无线充电异物检测系统灵敏度的高阶复合谐振拓扑[J]. 电工技术学报, 2023, 38(6): 1541-1552.
Sun Ying, Zhou Tian, Song Kai, et al. Design of high- order composite resonant topology for improving the sensitivity of foreign object detection system[J]. Transactions of China Electrotechnical Society, 2023, 38(6): 1541-1552.
[9] 赵航, 张杰, 许知博, 等. 水下磁耦合式无线电能传输系统建模与分析[J]. 电源学报, 2023, 21(6): 195-203.
Zhao Hang, Zhang Jie, Xu Zhibo, et al. Modeling and analysis of underwater magnetically-coupled resonant wireless power transfer system[J]. Journal of Power Supply, 2023, 21(6): 195-203.
[10] Dai Xin, Jiang Jincheng, Xu Zhou, et al. Cooperative control for multi-excitation units WPT system with multiple coupling parameter identification and area adaptation[J]. IEEE Access, 2020, 8: 38728-38741.
[11] 黄文聪, 饶天彪, 蒋煊焱, 等. 无线电能传输系统最大效率追踪及恒压输出复合控制方法[J]. 电工技术学报, 2024, 39(12): 3589-3601, 3615.
Huang Wencong, Rao Tianbiao, Jiang Xuanyan, et al. Maximum efficiency tracking and constant voltage output compound control method for wireless power transfer system[J]. Transactions of China Electro- technical Society, 2024, 39(12): 3589-3601, 3615.
[12] 王懿杰, 陆凯兴, 姚友素, 等. 具有强抗偏移性能的电动汽车用无线电能传输系统[J]. 中国电机工程学报, 2019, 39(13): 3907-3917.
Wang Yijie, Lu Kaixing, Yao Yousu, et al. An electric vehicle (EV)-oriented wireless power transfer system featuring high misalignment tolerance[J]. Proceedings of the CSEE, 2019, 39(13): 3907-3917.
[13] Li Weihan, Wei Guo, Cui Chao, et al. A double-side self-tuning LCC/S system using a variable switched capacitor based on parameter recognition[J]. IEEE Transactions on Industrial Electronics, 2021, 68(4): 3069-3078.
[14] 张玉旺, 都义彬, 张岩, 等. 无线电能传输系统参数辨识技术研究综述[J/OL]. 电源学报, 2024: 1-12. (2024-06-13). https://kns.cnki.net/kcms/detail/12.1420. tm.20240613.0933.002.html.
Zhang Yuwang, Du Yibin, Zhang Yan, et al. A review of the research on parameter identification technology of wireless power transmission system[J/OL]. Journal of Power Supply, 2024: 1-12. (2024-06-13). https://kns. cnki.net/kcms/detail/12.1420.tm.20240613.0933.002.html.
[15] Jiwariyavej V, Imura T, Hori Y. Coupling coefficients estimation of wireless power transfer system via magnetic resonance coupling using information from either side of the system[J]. IEEE Journal of Emerging and Selected Topics in Power Electronics, 2015, 3(1): 191-200.
[16] Chow J P, Chung H S, Cheng C S. Use of transmitter- side electrical information to estimate mutual indu- ctance and regulate receiver-side power in wireless inductive link[J]. IEEE Transactions on Power Elec- tronics, 2016, 31(9): 6079-6091.
[17] Wang Lei, Sun Pan, Wu Xusheng, et al. Mutual inductance identification of IPT system based on soft-start process[J]. IEEE Transactions on Power Electronics, 2022, 37(6): 7504-7517.
[18] Hu Jianghao, Zhao Jiankang, Cui Chao. A wide charging range wireless power transfer control system with harmonic current to estimate the coupling coefficient[J]. IEEE Transactions on Power Elec- tronics, 2021, 36(5): 5082-5094.
[19] Dai Ruimin, Zhou Wei, Chen Yonghong, et al. Pulse density modulation based mutual inductance and load resistance identification method for wireless power transfer system[J]. IEEE Transactions on Power Electronics, 2022, 37(8): 9933-9943.
[20] Su Yugang, Zhang Hongyan, Wang Zhihui, et al. Steady-state load identification method of inductive power transfer system based on switching capa- citors[J]. IEEE Transactions on Power Electronics, 2015, 30(11): 6349-6355.
[21] Sheng Xuerui, Shi Liming. Mutual inductance and load identification method for inductively coupled power transfer system based on auxiliary inverter[J]. IEEE Transactions on Vehicular Technology, 2020, 69(2): 1533-1541.
[22] 苏玉刚, 陈龙, 吴学颖, 等. 基于遗传算法的SS型磁耦合WPT系统负载与互感识别方法[J]. 电工技术学报, 2018, 33(18): 4199-4206.
Su Yugang, Chen Long, Wu Xueying, et al. Load and mutual inductance identification method of SS-type magnetically-coupled WPT system based on genetic algorithm[J]. Transactions of China Electrotechnical Society, 2018, 33(18): 4199-4206.
[23] 苏玉刚, 阳剑, 戴欣, 等. 基于TensorFlow神经网络的MCR-WPT系统负载与互感识别方法[J]. 电力系统自动化, 2021, 45(18): 162-169.
Su Yugang, Yang Jian, Dai Xin, et al. TensorFlow neural network based load and mutual inductance identification method for magnetic coupling resonant wireless power transfer system[J]. Automation of Electric Power Systems, 2021, 45(18): 162-169.
[24] Guo Yanjie, Zhang Yuwang, Li Shufan, et al. Load parameter joint identification of wireless power transfer system based on the DC input current and phase-shift angle[J]. IEEE Transactions on Power Electronics, 2020, 35(10): 10542-10553.
Abstract In wireless power transfer systems, transmission efficiency and power capacity are primarily influenced by load and mutual inductance parameters. However, in practical applications, these parameters are often highly uncertain. For example, in the wireless charging system of electric vehicles, variations in vehicle chassis height and relative coil offsets alter the system's mutual inductance parameters. In addition, the equivalent battery load varies across vehicle models and changes dynamically during charging, directly affecting the system's transmission performance. Therefore, introducing parameter identification technology for real-time estimation of mutual inductance and load parameters not only enables accurate detection of system state but also supports optimization of control algorithms, thereby improving the overall performance of WPT systems.
This paper takes a WPT system with the DLCC compensation topology as an example. A method for real-time joint identification of mutual inductance and load parameters is proposed by only collecting the voltage signals of the parallel compensation capacitor at the transmitting side. First, based on the system's steady-state equivalent-circuit model, multiple impedance expressions related to its transmission characteristics are derived, and a coupled-relationship equation system is established among the mutual inductance parameter, the load parameter, and the collected voltage information. By constructing auxiliary functions and introducing the intermediate variable g, the original coupled equation is reconstructed and simplified, thereby decoupling the mutual inductance and load parameters. The originally complex joint-solution problem is transformed into a cubic equation. A unique real-number solution always exists under any practical operating condition, thereby verifying the theoretical effectiveness of the parameter identification method. By analyzing the relationship between the trigger signal phase and the required sampling information in inverter phase-shift control, it is possible to solve the cubic equation using only one voltage measurement. Then, a quantitative relationship expression between the sampled voltage and mutual inductance is derived to estimate the mutual inductance. Finally, a brief explanation of the overall identification process is given.
A WPT system platform with a rated power of 1 kW is constructed. In the experiment, the fixed relationship between the capacitor-voltage phase and the trigger-signal phase across different phase-shift angles is verified by measuring the inverter trigger signal, inverter output-voltage waveform, and parallel-capacitor voltage waveform on the primary side. At the same time, tests under different load, mutual inductance, and phase-shift angle conditions show that the maximum identification errors of this method under variable inductance and variable load conditions are 5.3% and 6.9%, respectively. Compared with other methods, this method can maintain high identification accuracy without requiring communication between the primary and secondary sides, additional circuit topology, or uninterrupted power output.
keywords:Wireless power transmission, parameter identification, mutual inductance identification, parameter separation
DOI: 10.19595/j.cnki.1000-6753.tces.250548
中图分类号:TM724
国家自然科学基金(61801480)、河北省自然科学基金(E2019208443)和河北省高等学校科学技术研究项目(ZD2021202)资助。
收稿日期 2025-04-01
改稿日期 2025-05-06
张 岩 男,1983年生,博士,副教授,研究方向为电磁兼容与电磁环境效应,智能感知与人工智能等。E-mail: yanyanfly163@163.com
张 献 男,1983年生,博士,教授,研究方向为无线电能传输,工程电磁场与磁技术等。E-mail: zhangxian@tipu.edu.cn(通信作者)
(编辑 郭丽军)