摘要 针对海洋磁力仪现场校准中高均匀磁场装置体积庞大、仪器串扰严重等问题,该文采用异区高阶均匀磁场线圈结构,提出一种基于混合整数规划与内点法的协同优化策略。该系统通过多线圈对称布局与参数优化设计,在满足装置尺寸和异区间距等约束条件的同时,实现两个独立的高均匀磁场区域。为提升磁场均匀性,该文基于磁场的泰勒展开构建目标函数,建立非线性规划模型,采用混合整数规划与内点法协同优化策略,实现了线圈位置系数与匝数的多参数耦合优化。所设计的七段异区线圈系统在长度0.2R区间内的磁场均匀度理论计算值达到10-6量级,实测线圈装置在6 cm均匀区内的磁场均匀度小于1×10-5,验证了优化设计的有效性。相较于传统的单区均匀线圈,该设计通过调整异区间距,有效地降低了仪器间串扰,突破了传统单区均匀线圈尺寸对均匀区域长度的限制,为磁力仪现场校准提供了小型化解决方案,并具有良好的通用性。
关键词:异区均匀磁场 多线圈系统 混合整数规划 内点法
海洋磁勘探领域广泛使用光泵磁力仪、质子磁力仪等高灵敏度设备,但受环境温度、机械振动及磁场干扰等因素影响,仪器精度易发生漂移,需要定期校准[1-2]。传统校准通常采用亥姆霍兹线圈系统,其通过同轴双线圈结构产生均匀磁场,在长度约0.2R(R为线圈半径)的范围内,产生均匀度达10-4量级的磁场[3],具有结构简单、磁场可控等优势。然而随着磁力仪灵敏度提升至nT甚至pT量级,传统亥姆霍兹线圈的均匀性已难以满足需求[4-5]。为改善磁场均匀性,研究人员提出多种优化策略,包括改变线圈几何结构[6-7]和采用多线圈系统。通过增加共轴线圈的数量,可有效抑制高阶磁场梯度[8],如四线圈结构的巴凯尔线圈、布朗贝克线圈、新型亥姆霍兹线圈[9]等,实现了八阶磁场均匀度[10]。P. Baranov等构建了同轴八线圈系统,扩大了均匀磁场区域[11]。
海洋磁勘探往往需要长期连续作业,难以定期拆卸设备送至实验室校准。现有的磁力仪校准平台为产生大区域、高均匀度的磁场,其装置尺寸通常较大[12],难以实现小型化和便携化。因此,高精度磁力仪的现场校准一直是海洋磁勘探领域的关键难题。目前大区域均匀磁场发生装置体积过大,而小区域均匀磁场校准时易产生仪器间的磁场串扰[13-14]。对此,V. Y. Shifrin等提出了一种基于七段式异区均匀磁场线圈的便携式地磁仪校准系统,在多线圈系统中实现两个独立的均匀磁场区域[15]。该系统在降低装置尺寸的同时减少了仪器间的磁场干扰,为现场校准提供了新的思路。然而,该方法的磁场均匀性仍受限于线圈的结构设计,且未针对多参数优化提出系统性求解方案,优化能力仍有提升空间。
多线圈均匀磁场产生装置的优化设计涉及线圈位置、尺寸、匝数等参数,线圈组数的增多也增加了参数求解的难度。相比传统单区均匀磁场线圈结构,异区结构因两个均匀区域中心的奇数阶导数项无法自然消除,使得参数求解过程更加复杂。传统方法如目标场法需逆向求解电流密度分布,但存在流函数离散误差[16-18];智能优化算法能够全局搜索解空间,但计算时间较长[19-21];线圈拓扑优化能够突破传统线圈结构限制,提高磁场均匀性,但依赖有限元迭代验证,且其复杂结构和高加工精度限制了工程适用性[6,22]。
针对异区均匀磁场多线圈系统的参数优化问题,本文提出了一种基于混合整数规划与内点法的协同优化策略。该系统采用对称分布的多线圈结构,在装置中心两侧分别形成高均匀度磁场区域,在降低整体尺寸的同时减少了仪器间的磁场干扰。在优化过程中,首先以连续变量优化线圈位置系数与等效匝数,消除磁感应强度的高阶导数项;随后对匝数进行取整并迭代修正。通过有限元仿真和实验验证,该方法可在保证磁场均匀度的同时,降低计算复杂度,提高工程可行性。
对于单匝圆形线圈,以线圈对称轴为z轴,设z轴上点O附近以R为半径的球内无电流分布,以点O为原点,创建球坐标系。轴对称线圈的磁场与坐标分量ψ无关,根据毕奥-萨伐尔定律,可推导出在点(r,θ,ψ)处,线圈产生的磁场分量表达式[23]为
(1)
(2)
式中,r<R,
为磁感觉强度径向分量;
为磁感应强度极角分量;
为原点处磁感应强度;
为勒让德函数;
为勒让德函数一阶导数。
线圈在z轴上产生的磁感应强度方向延轴向,其大小只与坐标分量z有关。同时考虑线圈中心的坐标,z轴上任一点的磁感应强度大小可表示为
(3)
式中,μ0为真空磁导率;I为线圈中施加的电流;R为线圈半径;a为线圈中心的z轴坐标。
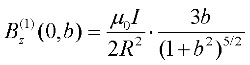
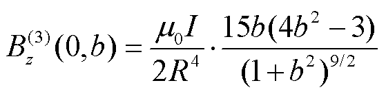
设线圈位置系数b=a/R,求解原点处的磁场及其对于z的各阶导数,其中1~3阶导数分别为
(4)
(5)
(6)
对于多线圈系统,原点处的磁感应强度及其k阶导数可由各段线圈叠加计算得到。
(7)
式中,M为线圈段数;Ni为第i段线圈的匝数;bi为第i段线圈的位置系数。
在原点处对磁感应强度进行泰勒展开。为了提高目标区域即原点附近的磁场均匀性,应尽可能多地消除高阶导数项。

采用区域磁场均匀度衡量特定空间范围内的磁场分布一致性,其计算公式为
(9)
式中,D为所研究的区域;
为区域D的磁场均匀度;Bmax和Bmin分别为区域内的磁感应强度最大值和最小值;Bave为区域内的磁感应强度平均值。磁场均匀度越小,该区域内的磁场偏差越小,磁场分布越均匀。
采用局部磁场均匀度分析目标点附近的磁场偏差,其计算公式为
(10)
式中,P为区域内任意点;P0为目标点,通常为均匀磁场区域的中心;
为目标点
附近任一点P的局部磁场均匀度。
对于传统的均匀磁场线圈如亥姆霍兹线圈、巴凯尔线圈等,均匀区域的中心与线圈系统的几何中心是重合的。为了扩大均匀磁场区域,线圈半径和装置尺寸将相应增大,这限制了磁力仪的现场校准等实际应用。而在本文所采用的异区均匀磁场线圈结构中,两个磁场均匀区域分别位于线圈系统中心的两侧,如图1所示。这种设计通过对称地布置线圈的参数,确保异区磁场的一致性,既满足了较大均匀磁场区域的需求,又避免了装置尺寸过大的问题。
在传统的线圈结构中,轴线上的磁场关于几何中心对称,因此中心处磁场的奇数阶导数为0[24]。而在异区均匀磁场线圈中,两个均匀区域中心的奇数阶导数项无法自然消除,这增加了线圈参数求解的计算复杂度。本文通过优化线圈参数,尽可能地消除磁场高阶导数,以改善目标区域的磁场均匀性,扩大均匀区域的范围。
图1 异区均匀磁场线圈结构示意图
Fig.1 The schematic diagram of the dual-zone uniform magnetic field coil structure
多线圈均匀磁场产生装置需要对线圈位置、匝数、尺寸以及电流等参数进行优化设计,本文主要关注线圈位置和匝数,假设各段线圈的半径和电流大小均相等。为了简化计算,将多匝线圈抽象为一根导线,忽略缠绕方式和线径的影响。线圈参数的优化包括决策变量、目标函数和约束条件三方面[25]。
1)决策变量
对于包含M段线圈的系统,考虑各段线圈的位置系数bi和等效匝数Ni1,共计2M个决策变量。位置系数是线圈坐标与线圈半径之比;等效匝数定义为某段线圈匝数与第一段线圈匝数之比,则有N11=1。
目标区域的磁场均匀度是多段线圈所产生的磁场在空间中相互叠加的结果。增加线圈数量可引入更多决策变量,有助于消除更多的磁场分布高阶导数项。线圈位置与匝数等参数不仅决定各线圈产生的磁场分布,也影响与其他线圈磁场的耦合与补偿效果。若能合理设计各线圈的位置与匝数,可使其产生的磁场在目标区域内实现有效补偿,抑制磁场分布的空间波动,显著改善磁场均匀性。
2)目标函数
为提高目标区域的磁场均匀性,通过消除磁感应强度在原点处的各阶导数项,建立目标函数。线圈数量越多,可消除的导数项阶数越高。目标函数为
(11)
(12)
式中,p为所消除导数项的最高阶数;wk为对应导数项的权重系数,由泰勒展开式所得;
表示z的微小变化量,可根据线圈系统的尺寸选取合适的值。
3)约束条件
多线圈系统的优化问题存在以下约束条件:各段线圈参数应关于装置几何中心对称;线圈位置参数需要满足装置尺寸、线圈间距、异区间距等设计需求。异区间距d定义为两侧对称的均匀磁场区域中心的最小间距,即线圈装置的几何中心到原点的距离应大于d/2。
线圈匝数应在特定范围内,且为整数。由于混合整数规划计算复杂,优化求解过程中暂不考虑匝数的整数约束,先求得等效匝数,再取整并迭代优化。当匝数为负值时,表示电流方向相反。此外,受加工精度和装配误差的影响,线圈的位置系数也存在有效位数的限制。
4)求解方法
根据上述分析,线圈参数的优化属于非线性规划问题,本文使用内点法进行求解,并结合整数优化策略进行调整。在求解过程中,首先以连续变量进行优化,利用内点法最小化目标函数。对所得连续解中的匝数取整,并进一步迭代优化,尽可能降低因取整带来的磁场均匀性损失。
该方法在保证求解精度的同时,提高了工程可行性。内点法作为一种高效的非线性规划求解方法,能够在复杂约束条件下快速收敛至局部最优解[26],有助于消除高阶导数项以优化磁场均匀性。对于线圈匝数的整数约束,通过对连续解的取整和反复迭代实现。相比于直接求解混合整数规划问题,该方法能够在降低计算复杂度的同时,在较大程度上保持优化结果的有效性,并提高优化过程的稳定性和收敛速度。
对于异区均匀磁场线圈的设计,本实例对线圈的位置系数和匝数进行优化求解,所设置的约束条件如下:装置尺寸小于5R,各段线圈间距大于0.1R,异区间距大于2R。各线圈的半径和电流均相等,设半径R=0.3 m,考虑磁力仪的量程和检测精度,可调节电流大小使得线圈产生的磁场在合适范围内。
本文分别对3、4、5、6、7段线圈系统的参数进行优化求解,结果见表1,其在z轴上及原点附近的磁场分布如图2所示。各线圈系统在原点附近及其对称区域产生均匀磁场,且磁场分布曲线的形状与线圈数量的奇偶有关。当线圈数量为偶数时,均匀区域的磁场分布表现出较好的对称性。
表1 不同数量线圈系统参数求解结果
Tab.1 Results of solving system parameters for different numbers of coils
线圈数量位置系数线圈匝数异区间距/R 3b1 =-0.3543, b2 =1.0000, b3 =2.3543N1 =35, N2 =47, N3 =352.000 0 4b1 =-0.5151, b2 =0.4445, b3 =1.9010, b4 =2.8606N1 =13, N2 =11, N3 =11, N4 =132.345 5 5b1 =-0.6629, b2 =0.1487, b3 =1.0943, b4 =2.0399, b5 =2.8517N1 =46, N2 =27, N3 =46, N4 =27, N5 =462.188 6 6b1 =-0.8048, b2 =-0.057 7, b3 =0.5905, b4 =1.4871, b5 =2.135 3, b6 =2.8824N1 =20, N2 =10, N3 =13, N4 =13, N5 =10, N6 =202.077 6 7b1 =-0.9282, b2 =-0.200 9, b3 =0.3459, b4 =1.1796, b5 =2.0133, b6 =2.5601, b7=3.287 4N1 =26, N2 =12, N3 =13, N4 =23, N5=13, N6=12, N7=262.359 2

图2 不同数量线圈系统中z轴及原点附近的磁场
Fig.2 Magnetic fields in the z-axis and near the origin in systems with different numbers of coils
根据式(7),计算z轴上目标区间内的区间磁场均匀度
,进一步计算原点附近的区域磁场均匀度
,结果见表2。由于线圈系统的轴对称性,该区域表示以原点为中心的圆柱区域。根据式(8),计算z轴上原点附近局部磁场均匀度分别小于10-3、10-4、10-5、10-6对应的连续区间,结果如图3所示。随着线圈数量增加,原点附近的磁场均匀性显著改善,区域均匀度实现量级突破,均匀区域长度也有所增加。7段异区线圈系统中,[-0.1R, 0.1R]内的区间磁场均匀度达到1.66×10-6。
表2 不同数量线圈系统区间均匀度的对比
Tab.2 Comparison of interval uniformity of systems with different numbers of coils
线圈数量 39.13×10-43.37×10-3 49.88×10-52.60×10-4 51.36×10-55.61×10-5 63.71×10-66.73×10-6 71.66×10-63.00×10-6
图3 各线圈系统的磁场均匀区间长度
Fig.3 Length of uniform area for each coil system
对传统单区均匀磁场线圈进行求解,亥姆霍兹线圈、巴凯尔线圈等经典结构中通常成对布置线圈,有利于消除中心的磁场高阶导数,因此考虑6线圈系统,设置半径R=0.3 m。图4为6段单区线圈系统在z轴上及原点附近的磁场分布,表3为单区和异区线圈的磁场均匀度对比。与异区线圈系统相比,单区线圈系统的区域磁场均匀度较小,相应的均匀区间长度也较长,但仍远小于异区线圈的异区间隔2.127 7R。因此异区线圈系统更适用于磁力仪的现场校准等应用,可以有效降低仪器间串扰的影响。
图4 6段单区线圈系统中z轴及原点附近的磁感应强度
Fig.4 Magnetic field in the z-axis and near the origin in a single-zone six-coil system
表3 单区线圈与异区线圈均匀度的对比
Tab.3 Comparison of uniformity of single-zone coils with dual-zone coils
单区线圈异区线圈 4.08×10-73.71×10-6 6.15×10-76.73×10-6 ε0<10-3区间长度/R0.958 00.722 1 ε0<10-4区间长度/R0.697 80.471 3 ε0<10-5区间长度/R0.502 00.286 4 ε0<10-6区间长度/R0.297 60.123 5
注:“ε0<10-3区间长度/R”表示原点附近区间磁场均匀度小于10-3的区间的长度与R(线圈半径)的比值。
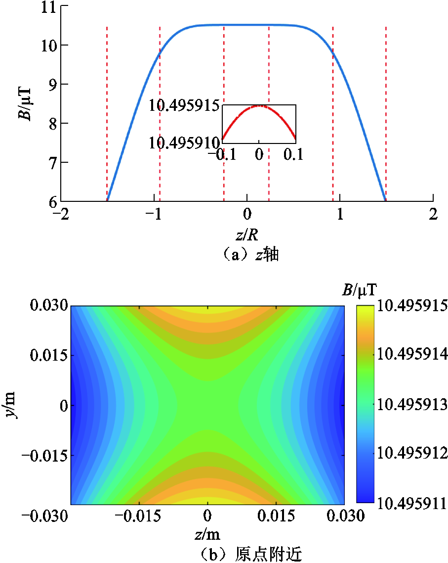
采用有限元仿真对7段异区线圈参数的求解结果进行评估,在Ansys Maxwell中建立模型,线圈半径为0.3 m,以线圈的几何中心作为坐标原点。根据理论计算,均匀区域中心的坐标为±354 mm,而仿真计算中,均匀区域中心的坐标约为±335 mm。线圈轴向与径向以及均匀区域的磁场分布如图5和图6所示,与理论计算的磁场曲线基本一致。
图5 线圈轴向以及均匀区域的磁场分布
Fig.5 Magnetic field in the axial direction of the coils and in the uniform region
均匀区域中心附近60 mm区间内的磁场均匀度为4.8×10-5,大于理论计算的区间磁场均匀度。这一偏差主要源于理论模型的导线理想化假设与有限元仿真固有精度的双重影响[27]。有限元仿真的离散化过程中,网格划分的精细程度会影响计算精度,过粗的网格可能导致局部磁场分布偏差。同时,数值解法的计算过程中可能引入截断误差和数值耗散,影响磁场均匀度的准确性。

图6 线圈径向以及均匀区域的磁场分布
Fig.6 Magnetic field in the radial direction of the coils and in the uniform region
为进一步探究加工误差对磁场均匀性的影响,本文进行了灵敏度分析,分别研究线圈半径变化以及每段线圈轴向位置偏移对区域磁场均匀度的影响。
分析式(3)可知,在采用单位化坐标(如z/R)和相对位置系数时,线圈半径仅作为缩放系数,会影响磁场的绝对强度,但不影响磁场的分布形状,因而磁场均匀度和相对误差受线圈半径的影响较小。而若在绝对物理长度范围内评估,则磁场均匀度随半径显著变化。在相同的位置系数和绝对均匀区间长度下,线圈半径越大,磁场均匀度越小。
为定量分析各段线圈轴向位置偏移对磁场均匀度的影响,本文对七段异区线圈的位置参数ai分别引入不同量级的位置扰动(±0.01 mm,±0.1 mm和±1 mm)。其中,a1是最左侧线圈的位置,线圈从左到右按序排列。计算左侧均匀区[-0.1R, 0.1R] 内的磁场均匀度变化,右侧均匀区的磁场均匀度可根据对称性得到,结果见表4。在无误差的理想情况下,区域磁场均匀度为1.66×10-6。分析表4结果可知,线圈位置误差对磁场均匀度的影响具有局部性和非对称性,越靠近磁场均匀区的线圈,其扰动影响越显著。在±0.01 mm偏移下,磁场均匀度仍保持在10-6量级,但两侧均匀区的磁场分布呈现不对称性;在±0.1 mm偏移下,磁场均匀度达到10-5量级;在±1 mm偏移下,磁场均匀度达到10-4量级。
通过有限元仿真验证线圈位置参数对磁场分布的影响,分别对7段异区线圈中的3段线圈位置引入±1 mm的误差,均匀区域的磁场仿真结果如图7所示。Δa1=±1 mm时,左侧均匀区的磁场均匀度为3.87×10-4、2.88×10-4;Δa4=±1 mm时,均匀度为2.12×10-4、3.08×10-4;Δa7=±1 mm时,均匀度为4.10×10-5、5.90×10-5。与3.3小节中的仿真结果对比,可知线圈位置越接近磁场均匀区,其位置误差对磁场均匀度的影响越显著。因此,提高线圈轴向位置的加工精度,是保证磁场均匀性的关键。
表4 线圈位置参数对左侧均匀区磁场均匀度理论值的影响
Tab.4 Effect of coil position parameters on the theoretical value of uniformity of the magnetic field in the left uniform zone
Δai/mm磁场均匀度 a1a2a3a4a5a6a7 -0.015.13×10-62.55×10-63.90×10-68.93×10-71.34×10-61.54×10-61.57×10-6 +0.011.86×10-65.85×10-68.81×10-74.07×10-61.99×10-61.78×10-61.75×10-6 -0.13.65×10-54.04×10-52.41×10-52.25×10-51.75×10-64.80×10-77.57×10-7 +0.13.32×10-54.36×10-52.08×10-52.58×10-54.99×10-62.90×10-62.60×10-6 -13.50×10-44.20×10-42.29×10-42.40×10-43.18×10-51.09×10-57.85×10-6 +13.47×10-44.20×10-42.21×10-42.43×10-43.49×10-51.41×10-51.11×10-5

图7 线圈位置参数对左侧均匀区磁场分布仿真结果的影响
Fig.7 Effect of coil position parameters on the simulation of the magnetic field distribution in the left uniform zone
图8 七段异区线圈装置实物图
Fig.8 Seven-segment dual-zone coil device
为验证优化设计的异区均匀磁场线圈在实际中的性能表现,由中国计量科学研究院研制了7段异区线圈装置,开展了磁场均匀性的实验测试。各段线圈的轴向定位精度控制在10μm以内,以减小几何误差对磁场均匀性的影响。图8为7段异区线圈装置实物图。装置总长度为1.3m,直径为0.6m,以装置中心为坐标原点,对称分布的两个磁场均匀区分别位于±0.35m处。在地磁环境稳场状态下,测量0.30~0.41m区域内的磁场分布。测试结果见表5,6 cm均匀区内的磁场变化量为0.5 nT,磁场均匀度达到 9.00×10-6,验证了优化设计的有效性与可行性。
表5 线圈均匀区磁场测量结果
Tab.5 Magnetic field distribution in the uniform region of the dual-zone coil
位置坐标/m磁感应强度/μT位置坐标/m磁感应强度/μT 0.3055.542 00.3655.541 0 0.3155.541 50.3755.540 9 0.3255.541 20.3855.540 7 0.3355.541 20.3955.540 6 0.3455.541 10.4055.540 3 0.3555.541 10.4155.539 8
本文针对海洋磁力仪现场校准需求,采用异区高阶均匀磁场线圈结构,进行线圈参数的设计与优化。主要结论如下:
1)对于线圈参数的优化设计,本文提出一种基于混合整数规划与内点法的协同优化策略,同时引入对称性约束和权重系数自适应调整,有效解决了多线圈系统的非线性耦合问题,该方法在保证精度的同时,降低了多变量优化的计算复杂度。
2)对不同数量的异区线圈系统进行求解,明确了线圈数量与磁场均匀性、异区间距的定量关系。与单区均匀磁场线圈比较,异区线圈在装置长度小于5R的条件下实现了双区独立均匀磁场,异区间距显著提升,通过对称布局降低了仪器间的磁场串扰。7段异区线圈系统的异区间距为70 cm,在长度0.2R区间内的磁场均匀度理论计算值达到10-6量级,实测线圈装置在6 cm均匀区内的磁场均匀度小于1×10-5,验证了优化设计的有效性与可行性。
3)针对加工精度带来的误差影响,本文开展了基于线圈半径与位置误差的灵敏度分析。结果表明,在±0.01 mm的位置扰动下,磁场均匀度仍维持在10-6量级;而在±0.1 mm偏移时,磁场均匀度增加至10-5量级,进一步偏移则导致均匀性迅速变差。因此,线圈位置误差对磁场均匀度影响显著,需重点控制靠近均匀区的线圈段加工精度。
本文在建模过程中忽略了线圈缠绕方式与导线线径的影响,未来可引入螺旋缠绕与分层绕线结构,进行更精细的建模分析,同时可结合智能优化算法进一步提升求解效率与全局搜索能力。
参考文献
[1] 董庆亮, 上飞飞, 刘翀, 等. 海洋磁力仪绝对准确度的测试与分析[J]. 海洋测绘, 2021, 41(6): 73-77. Dong Qingliang, Shang Feifei, Liu Chong, et al. The test and analysis of the marine magnetometer absolute accuracy[J]. Hydrographic Surveying and Charting, 2021, 41(6): 73-77.
[2] 裴彦良, 梁瑞才, 刘晨光, 等. 海洋磁力仪的原理与技术指标对比分析[J]. 海洋科学, 2005, 29(12): 4-8. Pei Yanliang, Liang Ruicai, Liu Chenguang, et al. Principle of marine magnetometer and specification comparative analysis[J]. Marine Sciences, 2005, 29(12): 4-8.
[3] Wang Jin, Li Guofeng, Liang Ke, et al. The theory of field parameters for Helmholtz coil[J]. Modern Physics Letters B, 2010, 24(2): 201-209.
[4] 黄松涛, 张伟, 张鹏飞, 等. 基于亥姆霍兹线圈的大尺寸均匀电磁场模拟[J]. 北京航空航天大学学报, 2015, 41(2): 203-208. Huang Songtao, Zhang Wei, Zhang Pengfei, et al. Large scale uniform electromagnetic field simulation based on Helmholtz coil[J]. Journal of Beijing University of Aeronautics and Astronautics, 2015, 41(2): 203-208.
[5] 汤云东, 丁宇彬, 金涛. 基于亥姆霍兹线圈装置的磁热疗优化方法[J]. 电工技术学报, 2023, 38(5): 1248-1260. Tang Yundong, Ding Yubin, Jin Tao. Research on optimization method of magnetic hyperthermia based on Helmholtz coil device[J]. Transactions of China Electrotechnical Society, 2023, 38(5): 1248-1260.
[6] Thabuis A, Rivera M C, Ren Xiaotao, et al. Topology optimization of an electromagnet manipulator for 3-D uniform magnetic field generation[J]. IEEE Transactions on Magnetics, 2023, 59(5): 8000404.
[7] 汤云东, 丁宇彬, 金涛. 考虑磁场均匀性优化的开放式磁粒子成像检测装置改进方法[J]. 电工技术学报, 2025, 40(6): 1718-1728. Tang Yundong, Ding Yubin, Jin Tao. Research on the improved method of open detection device for magnetic particle imaging considering magnetic field uniformity optimization[J]. Transactions of China Electrotechnical Society, 2025, 40(6): 1718-1728.
[8] 刘佳琪, 王国强. 一种高度均匀磁场梯度的产生方法[J]. 仪表技术与传感器, 2024(10): 122-126. Liu Jiaqi, Wang Guoqiang. Method for generating highly uniform magnetic field gradient[J]. Instrument Technique and Sensor, 2024(10): 122-126.
[9] Zhu Xuehua, Ye Juntao, Ren Ziruo, et al. Design of high uniform magnetic field with four coils based on improved wolf pack algorithm[J]. Engineering Science and Technology, an International Journal, 2025, 61: 101944.
[10] Kędzia P, Czechowski T, Baranowski M, et al. Analysis of uniformity of magnetic field generated by the two-pair coil system[J]. Applied Magnetic Resonance, 2013, 44(5): 605-618.
[11] Baranov P, Baranova V. Modeling axial 8-coil system for generating uniform magnetic field in COMSOL[J]. MATEC Web of Conferences, 2016, 48: 03001.
[12] 李鑫, 张伟, 李艳, 等. 磁强计校准装置的建立[J]. 电测与仪表, 2012, 49(增刊1): 33-35. Li Xin, Zhang Wei, Li Yan, et al. The establishment of magnetometer calibration device[J]. Electrical Measurement & Instrumentation, 2012, 49(S1): 33-35.
[13] 石铭, 王羚, 程泓勋, 等. 基于激光偏振调制的全光Cs原子磁力仪研究[J]. 红外与激光工程, 2018, 47(9): 0920001. Shi Ming, Wang Ling, Cheng Hongxun, et al. Research of all-optical Cs atomic magnetometer by using modulation of laser’s polarization[J]. Infrared and Laser Engineering, 2018, 47(9): 0920001.
[14] 王士良, 邱隆清, 王永良, 等. 航空超导全张量磁梯度仪的串扰研究[J]. 低温物理学报, 2017, 39(1): 36-40. Wang Shiliang, Qiu Longqing, Wang Yongliang, et al. Study on crosstalk of an airborne magnetic full-tensor SQUID gradiometer system[J]. Chinese Journal of Low Temperature Physics, 2017, 39(1): 36-40.
[15] Shifrin V Y, Chikvadze T I, Kalabin V N, et al. Transportable calibration system for scalar geomag-netometers[J]. Metrologia, 2005, 42(5): 394-399.
[16] Turner R. A target field approach to optimal coil design[J]. Journal of Physics D: Applied Physics, 1986, 19(8): L147.
[17] 黄清明, 陈珊珊, 张建青, 等. 基于目标场点法和流函数的磁共振有源匀场线圈设计方法[J]. 物理学报, 2019, 68(19): 268-274. Huang Qingming, Chen Shanshan, Zhang Jianqing, et al. Method of designing magnetic resonance active shimming coil based on target field point method and flow function[J]. Acta Physica Sinica, 2019, 68(19): 268-274.
[18] 闫孝姮, 淡新贤, 陈伟华, 等. 基于改进目标场法梯度线圈的感应式磁声磁粒子浓度成像研究[J]. 电工技术学报, 2024, 39(14): 4305-4316. Yan Xiaoheng, Dan Xinxian, Chen Weihua, et al. Magneto-acoustic magnetic particle concentration imaging based on improved target field method gradient coil[J]. Transactions of China Electrotechnical Society, 2024, 39(14): 4305-4316.
[19] Cao Qian, Liu Ying, Zhao Tian, et al. Design of highly uniform magnetic field cylinder coils based on grey wolf optimizer algorithm in atomic sensors[J]. IEEE Sensors Journal, 2021, 21(18): 19922-19929.
[20] Wu Wenfeng, Zhou Binquan, Liu Zhanchao, et al. Design of highly uniform magnetic field coils based on a particle swarm optimization algorithm[J]. IEEE Access, 2019, 7: 125310-125322.
[21] 吕志峰, 张金生, 王仕成, 等. 基于智能优化算法和有限元法的多线圈均匀磁场优化设计[J]. 北京航空航天大学学报, 2019, 45(5): 980-988. Lyu Zhifeng, Zhang Jinsheng, Wang Shicheng, et al. Optimal design of multi-coil system for generating uniform magnetic field based on intelligent optimization algorithm and finite element method[J]. Journal of Beijing University of Aeronautics and Astronautics, 2019, 45(5): 980-988.
[22] Thabuis A, Ren Xiaotao, Duong T, et al. Exploring beyond the Helmholtz coils for uniform magnetic field generation with topology optimization[J]. IEEE Transactions on Magnetics, 2022, 58(9): 7001404.
[23] 张伟. 高均匀度磁场线圈的设计[J]. 计量学报, 2010, 31(5): 404-407. Zhang Wei. The design of magnetic coil with high homogeneity[J]. Acta Metrologica Sinica, 2010, 31(5): 404-407.
[24] Wang Shuying, Lu Jixi, Qian Yujie, et al. Magnetic field coil design based on distributed Taylor expansion: toward large uniform area with high orthogonality and self-shielding feature[J]. IEEE Transactions on Instrumentation and Measurement, 2024, 73: 9004010.
[25] 何祥瑞, 荣灿灿, 刘明海. 基于无线电能传输系统多线圈结构参数优化设计[J]. 电工技术学报, 2021, 36(增刊2): 404-411.He Xiangrui, Rong Cancan, Liu Minghai. Optimization design of multi-coil structure parameters based on wireless power transfer system[J]. Transactions of China Electrotechnical Society, 2021, 36(S2): 404-411.
[26] 张杰, 郑云耀, 刘生春, 等. 基于解耦内点法与混合整数规划法的区域电网动态无功优化算法[J]. 中国电力, 2023, 56(1): 112-118. Zhang Jie, Zheng Yunyao, Liu Shengchun, et al. A dynamic reactive power optimization algorithm for regional power grid based on decoupling interior point method and mixed integer programming method[J]. Electric Power, 2023, 56(1): 112-118.
[27] 赵昌龙, 吕起印, 王旭旭, 等. 基于Maxwell的磁场发生装置设计及分析[J]. 制造技术与机床, 2022(1): 29-33. Zhao Changlong, Lü Qiyin, Wang Xuxu, et al. Design and analysis of magnetism installation based on Maxwell[J]. Manufacturing Technology & Machine Tool, 2022(1): 29-33.
Abstract This study presents a novel coil design and optimization approach for generating high-uniformity magnetic fields in two spatially separated regions, addressing the limitations of conventional coil systems in compact, multi-sensor calibration scenarios. Traditional Helmholtz and modified multi-coil configurations often require large physical dimensions to maintain field uniformity over extended volumes. When scaled down, they tend to suffer from performance degradation and electromagnetic crosstalk, particularly when used for simultaneous calibration of multiple magnetometers. To resolve these issues, we propose a dual-zone magnetic field system based on a coaxial seven-segment coil structure, specifically optimized to generate two discrete yet highly uniform magnetic field regions with minimized interference and reduced footprint.
The optimization method combines a continuous nonlinear solver with a mixed-integer programming strategy. By jointly adjusting the axial positions and relative number of turns in each coil segment, the system minimizes high-order magnetic field nonuniformity in the target regions. The optimization is guided by a Taylor-series-based field analysis that focuses on reducing spatial derivatives of the magnetic field near the center, thereby directly improving uniformity. A continuous optimization is first performed under physical constraints such as coil spacing, overall length, and region separation. The resulting fractional solutions are then discretized into feasible integer turns, followed by local adjustment to refine uniformity.
Simulation results demonstrate the effectiveness of the proposed method across varying coil segment counts, with seven segments offering the best tradeoff between design complexity and field performance. The dual-zone system achieves comparable or slightly lower field uniformity than an optimized single-zone six-coil system, but it uniquely enables two 60mm-long uniform zones spaced more than 70cm apart. This dual-region capability is particularly advantageous for calibrating multiple sensors simultaneously, minimizing crosstalk and enabling more efficient workflows.
Finite-element simulation using Ansys Maxwell confirms the analytical optimization results, validating the coil positions and field distribution. The designed system maintains field uniformity within 4.8×10-5 across each 60mm zone. Sensitivity analysis further indicates that axial coil placement tolerances within ±0.01mm are essential for preserving high uniformity, while deviations of ±0.1mm can degrade performance by an order of magnitude, highlighting the critical importance of precise mechanical fabrication.
To validate the design experimentally, a physical prototype was fabricated by the National Institute of Metrology. The device, measuring approximately 1.3m by 0.6m, was constructed with axial placement precision better than 10µm. Field measurements show a uniformity of 9×10-6 over a 6cm scanning range in both regions, closely aligning with simulation predictions and confirming the effectiveness of the dual-zone design under real-world conditions.
In summary, the proposed method provides a practical and effective solution for dual-zone uniform magnetic field generation in compact devices. The combination of structured coil segmentation and hybrid optimization achieves field performance previously limited to larger systems, with potential applications in multi-sensor calibration, low-field magnetic experiments, and portable magnetic measurement platforms. Future work will explore alternative winding geometries and global optimization techniques to further enhance robustness and manufacturing flexibility.
keywords:Dual-zone uniform magnetic field, multi-coil system, mixed-integer programming, interior-point method
DOI: 10.19595/j.cnki.1000-6753.tces.250507
中图分类号:TM153
国家重点研发计划资助项目(2022YFF0607502)。
收稿日期 2025-03-27
改稿日期 2025-05-10
刘旭菲 女,2000年生,博士研究生,研究方向为电磁计算和无损检测技术。E-mail:liuxf22@mails.tsinghua.edu.cn
伏吉庆 男,1987年生,副研究员,硕士生导师,研究方向为磁学计量测量、磁力仪及磁场控制。E-mail:fujq@nim.ac.cn(通信作者)
黄松岭 男,1970年生,教授,博士生导师,研究方向为电磁测量和无损检测技术。E-mail:huangsling@tsinghua.edu.cn(通信作者)
(编辑 郭丽军)