摘要 软磁复合材料因其独特的分布式气隙结构和高饱和磁通密度特性,在电力电子变换器的直流电感等关键磁性元件中具有重要应用价值。准确评估此类材料在复杂励磁状态下的损耗对器件的设计与优化至关重要。该文采用损耗分离法,磁滞损耗部分采用磁滞模型计算,涡流损耗部分采用解析公式计算。极限磁滞回线法Preisach模型使用单一磁滞回线数据建模,方便易用,但其在建模精度上仍存在一定局限性。该文提出多磁滞回线修正方法,将原模型修改为使用多组实测磁滞回线共同建模,提升了模型精度,同时对直流偏置条件下的磁滞损耗计算也表现出优越性能。基于软磁复合材料的微观结构特征,该文将涡流损耗分解为颗粒间与颗粒内涡流损耗两个分量,并提出了一种适用于软磁复合材料涡流损耗计算的特征参数。最后以搭建的Boost变换器和LLC谐振变换器为例,预测了不同励磁方式下的磁心损耗,计算结果与实测结果相吻合,验证了该文所提方法的有效性。
关键词:软磁复合材料 Preisach模型 损耗分离 非正弦励磁
软磁复合材料(Soft Magnetic Composites, SMC)由绝缘包覆的铁磁性粉末经粉末冶金工艺制备而成。近年来,随着材料工程领域研究的不断深入,软磁复合材料的原料磁粉体系日趋多元化,其应用范围也得到显著拓展[1-2]。
相对于软磁铁氧体等高频磁性材料,软磁复合材料因具有高饱和磁通密度和分布式气隙结构的特点,使其适合应用于电力电子变换器中的关键磁性元件制造,例如,直流电感、高频变压器等。然而,在上述应用场景中,高频磁心往往处于复杂的励磁状态[3-5]。目前,磁性材料制造商通常仅提供标准正弦磁化条件下的磁滞回线数据和基础电磁参数,这难以满足电力电子工程师在实际应用中的需求。为准确评估材料在方波等非正弦励磁状态下的适用性,开发复杂励磁条件下的损耗计算方法已成为当前研究的重点方向[6]。
当前,计算非正弦磁化损耗主要采用损耗分离法。为探究谐波含量等对铁损的影响机制,文献[7]基于Bertotti模型引入铁损分量校正因子,构建了一种改进的损耗模型。文献[8]针对Steinmetz经验公式中影响磁心损耗的关键因素,推导了一种新的非正弦激励下的损耗计算模型。文献[9]通过引入仅与方波、梯形波特征参数相关的修正系数,推导出了修正Steinmetz公式的简化解析式。此外,文献[10]针对PWM波激励下的损耗特性展开研究,创新性地提出了采用波形系数和等效频率的计算方法,实现了全占空比范围内磁心损耗的准确预测。
对于应用在DC-DC变换器中的磁性材料,其励磁电流通常为单极性波形,即具有强直流偏置特征[11]。此类工作条件下的磁心损耗计算难点在于,传统公式法难以准确表征由直流偏置导致的磁滞回线畸变。对此,本文依然使用损耗分离计算法,但磁滞损耗部分采用磁滞模型进行计算。
目前,主流应用的磁滞模型有Jiles-Atherton(J-A)模型和Preisach模型[12-14]等。J-A模型基于铁磁材料内部能量平衡理论,通过微分磁化强度表征磁滞特性,可与有限元方法相结合实现考虑磁滞的磁场仿真。该模型具有较多的参数,可借助寻优算法进行参数辨识[15-16]。相比之下,Preisach模型采用磁滞算子模拟材料磁矩转动过程,属于唯象模型范畴,具有较高的模拟精度。该模型的应用关键在于磁矩分布函数的确定。文献[17-18]基于非对称静态极限磁滞回线实验数据,通过数值方法生成一阶回转曲线并建立Everett函数,实现了模型参数辨识。该研究团队还利用矢量磁特性测量平台,对软磁复合材料在旋转激励下的二维磁滞特性进行了系统测量与分析[19]。朱建国教授等提出的极限磁滞回线法实现了仅需一组磁滞回线数据即可构建Preisach模型,避免了确定分布函数本身,提升了模型的实用性[20-21],但该方法对低磁通密度区域的磁滞回线预测精度存在一定局限性。
本文针对复杂励磁下磁滞损耗的计算,基于极限磁滞回线法Preisach模型,提出了一种多磁滞回线修正方法。针对SMC的涡流损耗,给出了一种能描述其微观结构特征的计算公式模型。最后,以Boost变换器和LLC变换器为实验载体,对其上SMC磁心的损耗计算方法进行了验证。
与经典Preisach模型不同,极限磁滞回线法仅需获取磁性材料的单一极限回线数据,通过代数运算即可实现对任意峰值磁通密度下的磁滞回线的建模。该方法认为,对处在变化外磁场中的磁性材料,其在某一时刻的磁化状态M(tn)由历史状态M(tn-1)和磁化强度的改变量Txy共同决定。其中,Txy可通过式(1)进行求解。
(1)
式中,x、y分别为Preisach图上横、纵坐标的磁场强度;Mu和Md分别为在极限磁滞回线上升段和下降段某一时刻的磁化强度,均为已知数据,Hs+与Hs-分别为极限磁滞回线的磁场强度正向峰值与反向峰值。通过解耦x、y得到
(2)
(3)
式中,H为Preisach模型的输入磁场强度值;-H为对输入磁场强度值取反。
关于式(2)和式(3)的详细推导过程以及磁滞回线上升段与下降段的理论分析,可参阅文献[20]中的详细论述。
极限磁滞回线法的主要优势在于其无需预先确定分布函数,仅需基于极限磁滞回线的数值特征即可计算任意峰值磁通密度低于该极限值的磁滞回线。虽然该方法对极限磁滞回线的饱和程度并无严格要求,但考虑到其计算范围仅限于峰值磁通密度低于输入磁带回线峰值的情况,因此在实际应用中通常选择饱和或近饱和磁滞回线作为输入数据。但这也导致了模型对低磁通密度区磁滞回线的预测精度稍差。
根据经典Preisach模型平面图的基本原理,位于Preisach三角形区域原点附近的磁滞算子具有绝对值较小的翻转阈值,这表明该区域主要影响低磁通密度条件下磁滞回线的建模精度。那么可以认为,通过引入实测的低磁通密度磁滞回线数据,对基于极限磁滞回线建立的分布函数在相应区域进行修正,能够提升模型在低磁通密度条件下的计算精度。与传统使用一阶回转曲线的方法不同,本文直接利用磁滞回线确定Preisach平面内各区域的分布函数值。
首先,将Preisach平面离散化为若干网格单元,每个单元内的数值m表征相应区域内的磁滞算子分布密度,如图1所示。
图1 Preisach平面的离散化方法
Fig.1 Discretization method for Preisach diagram
然后,采用网格化方法对Preisach平面进行数值求解。根据网格位置特征,将其划分为三种类型:类型Ⅰ为位于平面斜边边缘的三角形网格;类型Ⅱ和类型Ⅲ为平面内部的四边形网格,区别是前者会与斜边发生接触。为便于网格识别与定位,采用网格右下角顶点坐标作为网格编号,例如A2表示最右侧一列第三个网格。求解方法如图2所示,其核心原理是任意四边形网格的磁化强度数值均可通过若干三角形区域的磁化强度数值的线性组合求得。对于类型Ⅱ网格,可通过3个三角形区域的数值进行求解;对于类型Ⅲ网格,则需通过4个三角形区域的数值进行求解。图2中,不同下标的m表示不同四边形网格内的磁矩分布函数;不同下标的T表示不同三角形网格内的磁化强度;下标为网格编号。
图2 Preisach平面内四边形区域的求解方法
Fig.2 Solving for square regions in Preisach diagram
Preisach平面内任意子三角形区域所对应的磁化强度可通过式(1)进行计算。该计算方法使得平面内所有最小网格单元的磁矩密度均可被系统性地求解。实现了通过单一磁滞回线获得分布函数的数值解的目的。在完成整个平面网格的磁矩计算后,分布函数m可写为矩阵形式,即
(4)
矩阵式(4)作为示例仅对应于图1所示的5×5网格划分,实际应用该方法的过程中,网格划分会更加密集。对于特定磁性材料,若每个网格所描述的磁场强度变化量保持一致,即网格刻度恒定,则不同磁通密度峰值对应的磁滞回线所生成的矩阵m的元素数量将有所不同。具体而言,磁通密度峰值越小,分布函数矩阵的行列数越少。基于低磁通密度磁滞回线实测值修正后的分布函数矩阵记为m*,即
(5)
最后,将Preisach模型基本原理式(6)中的m(x, y)修改为m*(x, y)进行建模计算。本文所提出的多磁滞回线修正方法是基于极限磁滞回线法改进而来,改进之处是增加了原模型对磁滞回线测量数据的输入接口,使之可以通过多组实测数据共同对材料磁特性进行建模。
(6)
式中,M为由Preisach模型计算得到的磁化强度;dxy为Preisach图上 (x, y) 坐标处的磁滞算子;SP为Preisach图上的总积分区域。
本文采用自行制备的软磁复合材料磁环作为实验测量样品。磁心尺寸为40 mm×30 mm×6.4 mm,磁粉原料选用Höganäs公司生产的Somaloy® 700HR 1P粉末。磁特性测量系统如图3所示,其控制软件基于LabVIEW平台编写。在测量过程中,程序控制器通过实时调节励磁控制信号,确保样品磁环内部的磁通波形保持为标准正弦波。整个测量过程遵循IEC 60404-6标准规范。
图3 软磁复合材料磁环样品及磁特性测量系统
Fig.3 SMC sample and magnetic characteristics measurement system
与传统硅钢材料相比,软磁复合材料展现出显著的高电阻率和低磁导率特性。本文针对图3所示磁心的损耗特性进行了分析,发现在50 Hz正弦励磁条件下,磁滞损耗占总损耗比例约为99%。基于这一特征,本文将50 Hz励磁频率下的测量结果作为静态建模数据。本文采用0.1 T的测量间隔,系统测量了样品在0.2~1.5 T磁感应强度范围内的磁滞回线。选取1.5、0.7和0.3 T的数据作为模型输入,其余数据作为验证数据。
此外,本文还开展了静态J-A磁滞模型的对比分析。在模型参数辨识过程中,采用粒子群寻优(Particle Swarm Optimization, PSO)算法,基于1.5、0.7和0.3 T三组磁滞回线数据进行联合参数辨识,并以J-A模型计算值与实测值的方均根作为寻优目标函数。
定义建模误差eB表示测量(mea)与模拟(mod)的磁滞回线间的差异大小。该误差仅用于不同磁滞模型间的横向比较。
(7)
式中,n为磁滞回线一个周期的采样点数;Bi为第i个采样点的磁通密度值;Bmax为该磁滞回线磁通密度的峰值。比较不同磁滞模型的建模结果,误差如图4所示。

图4 三种磁滞模型对不同磁通密度磁滞回线建模误差比较
Fig.4 Comparison of modeling errors of three hysteresis models for different flux density hysteresis loops
根据误差对比结果分析,极限磁滞回线法Preisach模型在仅使用一组1.5 T实测数据作为输入的情况下,能够较好地保持高磁通密度区域的磁特性模拟精度。然而,随着目标回线峰值磁通密度的降低,该模型的建模误差呈显著增大的趋势。相比之下,采用多磁滞回线修正法可有效改善原模型在低磁通密度区域的建模精度。虽然传统J-A模型也表现出较高的磁特性建模精度,但其在材料矫顽力和剩磁的计算精度上不及Preisach模型,这一差异在图5中得到体现。
图5 三种磁滞模型对0.7 T磁滞回线及对应矫顽力、剩磁的计算精度比较
Fig.5 Comparison of the calculation accuracy of three hysteresis models for 0.7 T hysteresis loops and corresponding coercivity and remanence
在电力电子变换器中,采用软磁复合材料的电感或变压器通常工作在非正弦励磁条件下。以Buck或Boost变换器为例,其电感励磁电流具有显著直流偏置的三角波,且可能出现电流断续导通的工作状态。基于磁心损耗的构成,本节将分别探讨磁滞损耗和涡流损耗的计算方法。
磁滞损耗主要源于材料内部磁畴壁运动和磁畴旋转的不可逆性,是材料的固有属性。在直流偏置磁场作用下,磁滞回线的形态会发生变化,不再呈坐标原点对称。这种改变难以用Steinmetz损耗公式等模型描述。相比之下,Preisach模型通过模拟微观磁矩的翻转过程来计算宏观磁化强度,可用于表征复杂励磁状态下的磁化行为。基于此,本文采用磁滞回线包围面积的计算方法来确定磁滞损耗密度Ph(W/kg),表示为
(8)
式中,MP为提出的多磁滞回线Preisach模型,其输入为励磁磁场强度;Area(MP)表示由模型计算出的磁滞回线的面积;f为励磁频率;
为软磁复合材料的密度。
直流偏置实验仍采用图3所示的测量系统。实验过程中,控制器生成带有直流偏置的励磁电流信号,并输入功率放大器。功率放大器设置为电流源输出模式,以对磁心施加直流偏置励磁。励磁信号采用单极性对称三角波,其直流偏置量等于交变分量的幅值,频率设定为50 Hz。表1对比了三种磁滞模型的磁滞损耗计算误差,其中误差值的正负分别表示模型计算值高于或低于实测值。
表1 直流偏置状态下的磁心磁滞损耗计算误差对比
Tab.1 Comparison of hysteresis loss calculation errors for core under DC bias condition
DB/T回线面积实测值/(J/m3)误差(%) 多回线 Preisach极限回线 PreisachJ-A (PSO) 0.7123.71-3.16-34.6216.27 0.688.43-3.31-32.019.45 0.555.04-4.59-24.655.39 0.437.23-6.04-24.59-15.38
对比结果表明,在强直流偏置励磁条件下,多磁滞回线修正方法提升了磁滞损耗的计算精度。虽然在0.5 T时J-A模型也表现出较高的计算精度,但其误差波动范围较大,低磁通密度区间的计算值低于实测值,高磁通密度区间的计算值高于实测值。而Preisach模型则展现出更稳定的计算误差特性。图6所示为磁通密度变化量为0.7 T时的磁特性建模结果,可见本文提出的方法对磁滞回线形状的建模也较为准确。需要说明的是,由于磁环二次侧的感应线圈无法测得磁通密度的直流分量,所以对图6实测结果进行了纵向平移操作,该操作不影响损耗的计算,目的是方便与模型计算值进行比较。
图6 三种磁滞模型对单极性励磁且磁通密度变化量为 0.7 T的磁滞回线建模精度比较
Fig.6 Comparison of hysteresis modeling accuracy of three hysteresis models for hysteresis loop with unipolar excitation and flux density variation of 0.7 T
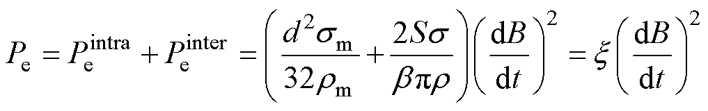
软磁复合材料磁粉颗粒的绝缘包覆工艺是关键制备环节。理论上,若磁粉颗粒间实现完全绝缘,复合材料的宏观电导率应为零。然而,实测结果表明,材料仍表现出一定的宏观导电性,证实了磁粉颗粒间存在导电通路,导致涡流能够穿过绝缘层并产生额外损耗,如图7所示。本文将经典电磁现象引起的涡流损耗分为两部分,颗粒内涡流损耗与颗粒间涡流损耗,并分别建立相应的计算模型。
图7 软磁复合材料的微观结构特征
Fig.7 Microstructural characteristics of SMC
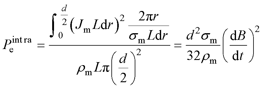
2.2.1 颗粒内涡流损耗的计算
在微观层面,与磁通方向垂直分布的绝缘层不会对涡流形成阻隔。那么,将磁粉颗粒看作圆柱体可简化损耗的分析计算(磁通沿圆柱体磁粉的轴线方向流动)。设圆柱颗粒内某一点到中心轴的距离为r,那么该点处的电流密度Jm为
(9)
式中,Em为该点处的感生电场强度;σm为磁粉铁磁相的电导率。那么复合材料颗粒内涡流损耗密度
(W/kg)为
(10)
式中,d为颗粒平均直径;L为复合材料磁通方向的宏观尺寸;
为磁粉铁磁相的质量密度。
2.2.2 颗粒间涡流损耗的计算
以SiO2绝缘层包覆纯铁粉为例,绝缘层部分的电阻率约为3×1013~2×1014 W·m,铁磁相部分的电阻率约为9.7×10-8 W·m。虽然绝缘层的厚度经显微观测仅占磁粉粒径的很小一部分(约0.1%~1%),但由于两相材料电阻率相差极大,图7中,电阻R1依然远远大于电阻R2。所以可直接从宏观角度计算颗粒间涡流损耗密度
(W/kg),计算公式为
(11)
式中,
为复合材料的均匀化电导率;S为电感磁心的横截面积;
为磁心磁通方向上横截面的形状因子,根据文献[22]可知其计算公式为
(12)
式中,w和h分别为磁心矩形横截面的长度和宽度。
颗粒内涡流损耗的发热全部产生于材料的铁磁相部分;颗粒间涡流损耗的发热全部产生于材料的绝缘层部分。那么,最后可得到软磁复合材料在复杂励磁波下的总瞬态涡流损耗密度为
(13)
式中,
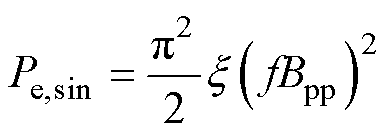
为软磁复合材料涡流损耗特征参数,是仅与磁心自身特性有关的参数。对励磁波形进行分段线性化处理,那么在正弦磁化下,材料内部交变磁通密度峰峰值为Bpp时的涡流损耗密度可化简为
(14)
当励磁电压为方波时,磁心中磁通密度波形为三角波。本文仅讨论双极性电压方波的情况,若对磁心施加单极性方波激励,会因为不满足伏秒平衡原则导致发生磁饱和现象。
已知软磁复合材料的瞬态涡流损耗密度如式(13)所示,那么方波励磁下的周期平均涡流损耗密度可表示为
(15)
式中,D1为励磁电流上升阶段时间t1的占空比;T为励磁周期。与正弦励磁不同,方波励磁下的涡流损耗不仅与磁通密度的交变频率以及峰峰值有关,还与励磁波形的占空比有关,损耗最低点发生在占空比为50%处。当占空比约为28%或72%时,电压方波励磁下的涡流损耗与正弦励磁时相同。在DC-DC变换器的某些工作状态下,会出现励磁电流断续的情况,即电流在一个周期内提前降低到零,那么仅需将式(15)中分母部分的1-D1修改为励磁电流下降段时间t2的占空比D2即可。
Bertotti的损耗统计理论将铁磁材料的总损耗分解为磁滞损耗、经典涡流损耗和剩余损耗,其中剩余损耗的物理机制与磁畴动态行为密切相关[23]。该理论指出,剩余损耗源于交变磁场下磁畴壁的跳跃运动(Barkhausen效应)及其与微观结构缺陷(如晶界、杂质)相互作用产生的能量耗散,其本质可视为磁畴动态重构过程中微观涡流效应的统计累积。数学模型上,剩余损耗表示为
。文献[24]对软磁复合材料的剩余损耗进行了研究,依据Bertotti提出的“磁物”(magnetic object)概念,推导出该系数k可表示为
(16)
式中,G为无取向因子,等于0.135 6;n0为参与磁化过程的“磁物”数量。该文献通过实验推测出软磁复合材料参数n0的数量级在105~106范围内。由此初略计算可知,式(14)所描述的经典涡流损耗系数高于剩余损耗系数约2个数量级。文献[25]对铁基软磁复合材料作功率磁元件应用下的损耗进行了研究,实验表明在1 kHz频率下未观测到明显的剩余损耗。本文将实验测量频率进一步提高到10 kHz,对图3所示磁环采用正弦励磁,磁通密度峰值为0.2 T,损耗测量结果如图8所示。图8中实验测量结果与理论计算值(磁滞损耗与经典涡流损耗之和)的偏差小于3%,且误差随频率变化未呈现明显的规律性分布。基于此,在本文的实验条件下,将忽略软磁复合材料总损耗计算中的剩余损耗分量。

图8 高频励磁下软磁复合材料的损耗构成
Fig.8 Loss composition of SMC at high frequencies
另外,在高频高压应用下,介电损耗通常也需要加以关注。该损耗对磁性元件的潜在影响可归纳为多维度的性能退化。在交变电场作用下,绝缘介质(如绕组层间材料、骨架以及软磁复合材料磁粉间绝缘层等)因电偶极子弛豫产生能量耗散。介电损耗的影响主要表现为:
(1)效率下降。介电损耗功率直接叠加于总损耗,降低功率磁元件能量转换效率。
(2)热稳定性恶化。温度升高导致损耗角正切值提高,进而加剧升温。
(3)高频特性劣化。品质因数的降低将制约谐振电路及滤波器性能,或引发信号传递失真。
(4)绝缘可靠性降低。局部电场集中区域(如高电压梯度层间、气隙附近)易形成热点,加速绝缘材料热老化。
尤其在MHz级以上高频、高功率密度或高温工况下,介电损耗的频变特性成为设计时不可忽略的约束。
软磁复合材料的独特之处在于其固有的分布式气隙结构。与传统EI型、EE型等磁心的集中式气隙结构相比,软磁复合材料的分布式气隙结构能有效降低气隙漏磁场在邻近绕组中引发的涡流损耗,并能降低电磁和声学噪声污染。在磁心中引入气隙的主要目的是提高储能密度或增强抗直流偏置能力,所以软磁复合材料适用于设计高频变换器中的磁性元件。
在DC-DC功率变换器中,磁心的励磁方式根据其电路拓扑及工作模式可分为单端励磁(如Boost、Buck及反激式拓扑等)与双端励磁(如推挽、全桥及LLC谐振拓扑等)两类,其核心差异体现在磁通变化方向及能量传递机制上。单端励磁通过单向磁通变化实现能量存储与释放,励磁电流呈现单向脉动特性并伴随着显著直流偏置分量;双端励磁则驱动磁心在第一与第三象限对称工作,励磁电流近似交流且无净直流分量。鉴于此,本文将分别采用Boost变换器与LLC谐振变换器作为验证软磁复合材料磁心损耗计算的载体。
3.1.1 Boost拓扑
设计Boost变换器的输入电压Vi为24 V,开关频率为30 kHz,负载电阻RL为200 W。将电感处于临界导通模式时的MOS管栅极驱动信号占空比D设定为75%,此时输出电压为96 V。
(17)
根据式(17)计算出所需的最小电感量Lmin为156.25 mH。
电感磁心采用纯铁粉制备,原料粉末平均粒径为75 mm。通过溶胶-凝胶法对铁粉进行表面绝缘包覆,在成型压力为1 500 MPa和退火温度为550℃的工艺参数下制备出尺寸为25 mm×15 mm×5.42 mm的环形电感器磁心。使用直流低电阻测试仪测得磁心的电阻率为0.017 W·m。使用固体密度计测得密度为7 077 kg/m3;使用图3所示磁特性测量系统测得该材料的相对磁导率变化范围为220~170(0.1~0.8 T)。为了实现至少160 mH的电感量,采用双利兹线并绕方式绕制42匝,验证电路如图9所示。
根据式(18)计算,在输出电压为96 V时,该磁心的磁通密度纹波DBL为0.53 T。
图9 SMC直流电感测试电路(Boost拓扑)
Fig.9 SMC DC inductor test circuit (Boost topology)
(18)
式中,N为电感线圈匝数;T为Boost变换器的开关周期。
使用标准正弦磁化下测量得到的1.4、0.7以及0.4 T的磁滞回线构建Preisach模型。通常来说,对于计算无直流分量状态下的磁心损耗,使用逆磁滞模型更为方便,因为目标磁滞回线的磁通密度峰值是明确的,等于DBL/2。但对于本文案例,只能够准确计算磁心工作状态下的磁通密度变化量,无法通过理论公式明确计算其最大值与最小值(由于剩磁的存在,磁通密度与磁场强度不会同时降为零,例如图6所示)。所以本文使用正向Preisach模型,根据电感处于临界电流模式,将磁场强度(式(19))作为模型输入,模型输出为磁通密度(式(20))。H0初始值设定为DBL/200m0(m0为真空磁导率),调整H0并做迭代运算,观察模型输出磁通密度的变化量,以等于DBL为收敛判别条件。
(19)
(20)
最后,计算B(t)与H(t)共同构成的磁滞回线面积,得到磁滞损耗为481.3 W/kg,计算总耗时8.7 s。使用式(15)计算涡流损耗,其中:x=2.406×10-7;Bpp=DBL=0.53 T;D1=0.75;得到结果为324.5 W/kg。本文另外计算了该Boost电路输出48 V和72 V两种情况下的电感损耗。这两种输出下的电感处于断续导通模式(Discontinuos Conduct Mode, DCM),磁通密度上升时间t1和下降时间t2的占空比D1、D2分别为
(21)
(22)
式中,l为电感磁心的等效磁路长度;Vo为变换器输出电压;m为电感磁心的磁导率。表2和表3分别展示了模型计算和实际测量的结果。
表2 不同输出电压下的电感磁心参数计算结果
Tab.2 Calculated results of inductor core parameters at different output voltages
参 数数 值 96 V72 V48 V 总损耗密度/(W/kg)805.8527.8215.7 磁通密度纹波DBL/T0.530.420.24 磁通密度峰峰值Bpp/T0.640.510.30 磁滞损耗密度Ph/(W/kg)481.3308.7107.9 涡流损耗密度Pe/(W/kg)324.5219.1107.8 占空比D1(%)755934
表3 不同输出电压下的电感磁心参数测量结果
Tab.3 Measured results of inductor core parameters at different output voltages
参 数数 值 96 V72 V48 V 总损耗密度/(W/kg)785.1512.9205.8 磁通密度纹波/T0.540.430.23 电感电流纹波/A4.593.251.85 占空比D1(%)766134
3.1.2 LLC谐振拓扑
本文设计的半桥LLC谐振变换器采用与前文Boost电感相同的软磁复合材料磁心,将其制作为环形高频变压器使用。LLC变换器属于调频型变换器,工作频率在谐振频率附近,其谐振腔在调频区间内的增益变化范围较窄,本文采用固定开关频率为30 kHz,大范围改变输入电压的方式实现变压器励磁电流峰值的变化。验证电路如图10所示。
该LLC变换器的谐振电容为680 nF,谐振电感为47 mH,采用全桥整流输出结构,高频变压器一次、二次绕组匝数均为42匝,负载电阻为30 W。半桥驱动器选用EG2104芯片,其10 ns的死区时间相对于励磁周期可忽略不计,因此可认为磁心工作在50%占空比的双端励磁状态下。变压器励磁电流波形是通过同步采集一次、二次电流并进行差分计算获得的,励磁电流为三角波形。表4详细对比了不同输入输出电压下磁心损耗的计算值与实测结果,同时列出了相应电压等级下的磁通密度纹波数据。
图10 SMC环形变压器测试电路(LLC谐振拓扑)
Fig.10 SMC toroidal transformer test circuit (LLC resonant topology)
表4 不同输出电压下的高频变压器磁心损耗计算与测量结果
Tab.4 Calculated and measured results of core losses of high-frequency transformer at different output voltages
参 数数 值 变换器输入电压Vi/V76.459.734.7 变换器输出电压/V362816 总损耗密度计算值/(W/kg)836.1547.3217.8 总损耗密度测量值/(W/kg)812.7526.0209.6 磁通密度纹波DBL/T0.530.420.24
图11对比了本文提出的软磁复合材料损耗计算方法与传统方法在复杂励磁条件下的计算精度。其中,J-A模型同样基于1.4、0.7和0.4 T的磁滞回线数据进行联合训练。研究中的软磁复合材料分别应用于Boost变换器(作为直流电感)和LLC变换器(作为高频变压器),其励磁电流虽同为三角波,但存在差异,前者为单端励磁包含显著直流分量,后者则为双端励磁。精度对比结果表明,本文提出的改进方法在单端励磁条件和低磁通密度下的损耗计算精度较传统方法有显著提升;对于双端励磁条件,尽管传统模型已具备较高精度,但改进方法仍实现了小幅度的精度提升。
图11 本文模型与传统模型对不同励磁状态下的磁心损耗计算误差的比较
Fig.11 Comparison of the calculation error of core loss between the model of this paper and the conventional model for different excitation states
本文提出的改进方法与极限回线Preisach模型相比,增加了分布函数矩阵整合的计算步骤,导致计算时间略有增加。在正弦或三角波双端励磁条件下的磁心损耗计算中,传统方法在允许误差范围内能保持较高的计算效率,适用于快速校核计算。然而,对于存在直流偏置的复杂励磁工况,采用本文改进方法可显著提升计算精度。
本文制备的软磁复合材料宏观电阻率较高,颗粒间涡流损耗占总损耗不足2%。那么,除磁滞模型的计算误差外,本文认为可能的误差来源为颗粒内涡流损耗的计算。在高频励磁下,当电感器两端电压极性发生翻转的瞬间,磁粉颗粒内部的涡流场强度实际上是先降低再重新建立的过程,所以一个周期内,实际的涡流损耗密度会略小于式(15)的计算值。
本文采用的磁环几何参数为外径25 mm、内径15 mm,较大的内外径比导致磁心内部磁通密度分布呈现非均匀性。在此情况下,采用平均磁通密度计算损耗将引入一定误差。鉴于软磁复合材料具有较高的电阻率,可忽略磁粉间微弱涡流场引起的磁通趋肤效应,故假设磁通密度沿磁心径向呈梯度分布。本文认为该计算误差主要影响涡流损耗分量,原因如下,通过图3所示测量方法获得的静态磁滞回线中的B值已代表磁心内部平均磁通密度,因此基于磁滞回线面积计算的磁滞损耗已自动包含磁通密度分布不均匀性的影响。针对涡流损耗的误差,本文以Boost电感为例,采用Ansys有限元仿真分析获得其磁通密度分布如图12所示。当考虑磁通密度不均匀分布时,式(15)的计算结果分别较实际值偏低约1.8%(输出96 V)、2.0%(输出72 V)、2.3%(输出48 V)。该误差计算式为
(23)
式中Bu(u)为沿磁心矩形截面长度方向上各坐标点u处的磁通密度值;B为磁心内的磁通密度均值;取值为5 mm。

图12 Boost电感的有限元仿真模型与其磁心内部的磁通密度分布计算结果(励磁峰值状态时刻)
Fig.12 Finite element simulation model of Boost inductor with calculated magnetic flux density distribution inside its core (moment of peak excitation state)
随着当前材料工程技术的快速发展,高频应用的软磁复合材料更适合使用铁硅铝或铁镍钼等磁粉制备,因为合金材料拥有更高的电阻率,可以实现更低的颗粒内涡流损耗。本例中,磁心选用铁粉制备是因为纯铁具有明确且公认的电磁特性参数,能够对损耗计算方法的准确性进行验证。需要指出的是,基于式(15)的涡流损耗计算精度高度依赖材料基础参数的准确标定,尤其是对于磁粉粒径以及复合材料的宏观电导率。
本文针对复杂励磁条件下的软磁复合材料磁心损耗计算方法问题展开了研究,所得结论如下:
1)本文对磁滞损耗部分的计算使用磁滞模型法。在极限磁滞回线Preisach模型的基础上提出多磁滞回线修正方法。在保持原模型计算效率高的优点同时,提高了对低磁通密度以及大直流偏置下磁滞损耗的计算精度。
2)本文对涡流损耗部分的计算使用的是公式法。根据软磁复合材料的微观结构特征,将经典电磁现象所引起的涡流分解为磁粉颗粒内涡流与磁粉颗粒间涡流,并提出了相应的涡流损耗特征参数计算方法。
3)本文以直流变换器中的直流电感和高频变压器为例,其磁心损耗的计算结果与实测相比误差不大于5%。且该方法能够以程序脚本的形式参与有限元仿真的后处理过程,所以同样适用于对复杂形状磁心的损耗评估。
参考文献
[1] Li Yang, Luo Zhichao, Li Yongjian, et al. Modeling of Fe-based soft magnetic materials for multiphysical analysis of medium-frequency transformers[J]. IEEE Transactions on Power Electronics, 2024, 39(10): 12249-12260.
[2] 刘成成, 杜汉东, 雷刚, 等. 逆变器供电下混合磁心爪极永磁电机的多物理场耦合分析[J]. 电工技术学报, 2025, 40(6): 1758-1770.
Liu Chengcheng, Du Handong, Lei Gang, et al. Multi-physics coupling analysis of permanent magnet claw pole machine with hybrid cores by inverter power supply[J]. Transactions of China Electro- technical Society, 2025, 40(6): 1758-1770.
[3] Wan Zhenyu, Li Yongjian, Wang Haoming, et al. Optimization design of high-frequency matrix transformer for solid-state transformer[J]. IEEE Transactions on Power Electronics, 2024, 39(10): 12384-12396.
[4] 赵志刚, 白若南, 陈天缘, 等. 基于智能优化算法的高频变压器电磁结构优化设计[J]. 电工技术学报, 2024, 39(18): 5610-5625.
Zhao Zhigang, Bai Ruonan, Chen Tianyuan, et al. Optimization design of electromagnetic structure of high frequency transformer based on intelligent optimization algorithm[J]. Transactions of China Electrotechnical Society, 2024, 39(18): 5610-5625.
[5] Li Yang, Zou Jun, Li Yongjian, et al. Prediction of core loss in transformer laminated core under DC bias based on generalized preisach model[J]. IEEE Transactions on Magnetics, 2024, 60(3): 8400405.
[6] Zhou Yan, Zhu Weibo, Tong Guanghui. A core loss calculation method for DC/DC power converters based on sinusoidal losses[J]. IEEE Transactions on Power Electronics, 2022, 38(1): 692-702.
[7] 付裕恒, 李琳. 考虑拉应力对无取向硅钢磁滞特性非单调影响的磁弹性耦合磁滞模型[J]. 电工技术学报, 2025, 40(20): 6407-6421.
Fu Yuheng, Li Lin. Magnetoelastic coupled hysteresis model of non-oriented silicon steel sheet considering the non-monotonic influence of tensile stress[J]. Transactions of China Electrotechnical Society, 2025, 40(20): 6407-6421.
[8] 李慧奇, 廖峪茹, 马光, 等. 考虑应力作用下取向硅钢片的改进损耗分离模型[J]. 电工技术学报, 2025, 40(10): 3097-3106.
Li Huiqi, Liao Yuru, Ma Guang, et al. Improved loss separation model of oriented silicon steel sheets considering the influence of stress[J]. Transactions of China Electrotechnical Society, 2025, 40(10): 3097- 3106.
[9] 赵小军, 肖玉辰, 武欣怡, 等. 考虑磁滞的定点谐波有限元算法在非对称直流偏磁工况下的应用[J]. 电工技术学报, 2025, 40(23): 7485-7497.
Zhao Xiaojun, Xiao Yuchen, Wu Xinyi, et al. Application of fixed point harmonic finite element algorithm considering hysteresis in asymmetric dc- biased magnetic conditions[J]. Transactions of China Electrotechnical Society, 2025, 40(23): 7485-7497.
[10] 赵志刚, 贾慧杰, 刘朝阳, 等. 考虑PWM波形特征的纳米晶磁心损耗模型的研究及验证[J]. 电工技术学报, 2024, 39(6): 1602-1612.
Zhao Zhigang, Jia Huijie, Liu Zhaoyang, et al. Research and verification of nanocrystalline core loss model considering PWM waveform characteristics[J]. Transactions of China Electrotechnical Society, 2024, 39(6): 1602-1612.
[11] Cao Yuliang, Ngo K, Dong Dong. A scalable electronic- embedded transformer, a new concept toward ultra- high-frequency high-power transformer in DC-DC converters[J]. IEEE Transactions on Power Elec- tronics, 2023, 38(8): 9278-9293.
[12] Ren Yuzhan, Wang Youhua, Liu Chengcheng. Low- frequency electromagnetic transient modeling of shell-type transformers based on dynamic Jiles- Atherton hysteresis model[J]. IEEE Transactions on Magnetics, 2024, 60(9): 7300905.
[13] 荆盈, 张艳丽, 王振, 等. 计及Preisach算子状态信息的智能磁滞模型及其分布函数[J]. 电工技术学报, 2026, 41(1): 70-81.
Jing Ying, Zhang Yanli, Wang Zhen, et al. Intelligent Hysteresis model and its distribution function considering the state information of the Preisach operator[J]. Transactions of China Electrotechnical Society, 2026, 41(1): 70-81.
[14] 刘任, 杜莹雪, 李琳, 等. 解析逆Preisach磁滞模型[J]. 电工技术学报, 2023, 38(10): 2567-2576.
Liu Ren, Du Yingxue, Li Lin, et al. Analytical inverse Preisach hysteresis model[J]. Transactions of China Electrotechnical Society, 2023, 38(10): 2567- 2576.
[15] Liu Ren, Gu Chaoyang, Sun Jiangdong, et al. Analytical inverse preisach model and its comparison with inverse Jiles-Atherton model in terms of accuracy and computational speed[J]. IEEE Transa- ctions on Magnetics, 2023, 59(11): TMAG.2023.
[16] 黄文美, 房昱同, 刘雨欣, 等. 计及偏置磁场变化的磁致伸缩逆效应能量平均磁滞模型[J]. 电工技术学报, 2025, 40(9): 2840-2851.
Huang Meiwen, Fang Yutong, Liu Xinyu, et al. Mag- netostrictive inverse effect energy-averaged hysteresis model accounting for bias field variations[J]. Transactions of China Electrotechnical Society, 2025, 40(9): 2840-2851.
[17] 陈彬, 王川源, 刘洋, 等. 基于磁导-电容类比法和解析Preisach模型的铁心动态磁滞建模方法[J]. 电工技术学报, 2024, 39(18): 5576-5587.
Chen Lin, Wang Chuanyuan, Liu Yang, et al. Dynamic hysteresis modeling method for iron core based on permeance-capacitance analogy and analytic Preisach model[J]. Transactions of China Electro- technical Society, 2024, 39(18): 5576-5587.
[18] 李湖胜, 高兵, 赵能桐, 等. 考虑非线性滞后的大功率超磁致伸缩换能器场路耦合瞬态模型[J]. 电工技术学报, 2025, 40(19): 6180-6191.
Li Husheng, Gao Bing, Zhao Nengtong, et al. Transient model of field-circuit coupling for high- power giant magnetostrictive transducer considering hysteresis nonlinearity[J]. Transactions of China Electrotechnical Society, 2025, 40(19): 6180-6191.
[19] 李永建, 李宗明, 利雅婷, 等. 考虑磁-力耦合效应的混合磁滞模型研究[J]. 电工技术学报, 2024, 39(22): 6941-6951.
Li Yongjian, Li Zongming, Li Yating, et al. Study of hybrid hysteresis model considering magnetic-force coupling effect[J]. Transactions of China Electro- technical Society, 2024, 39(22): 6941-6951.
[20] Zhu Jianguo. Numerical modelling of magnetic materials for computer aided design of electro- magnetic devices[D]. Sydney: University of Tech- nology Sydney, 1994.
[21] 马阳阳, 李永建, 孙鹤, 等. 基于深度置信网络算法的面向铁磁材料旋转磁滞损耗的矢量磁滞模型[J]. 电工技术学报, 2023, 38(15): 4063-4075.
Ma Yangyang, Li Yongjian, Sun He, et al. Vector hysteresis model for rotational hysteresis loss of ferromagnetic materials based on deep belief network algorithm[J]. Transactions of China Electrotechnical Society, 2023, 38(15): 4063-4075.
[22] Chiriac H, Lupu N, Tibu M. Design and preparation of new Fe-based bulk amorphous alloys torroids[J]. IEEE Transactions on Magnetics, 2003, 39(5): 3040- 3042.
[23] Bertotti G. General properties of power losses in soft ferromagnetic materials[J]. IEEE Transactions on Magnetics, 1988, 24(1): 621-630.
[24] 丁伟. 铁/钠钙硅酸盐玻璃软磁复合材料的制备与性能研究[D]. 哈尔滨: 哈尔滨工业大学, 2014.
Ding Wei. Study on prepartion and properties of iron/ soda lime silicate glass soft magnetic composites[D]. Harbin: Harbin Institute of Technology, 2014.
[25] Yang Bai, Wu Zhangben, Zou Zhiyu, et al. High- performance Fe/SiO2 soft magnetic composites for low-loss and high-power applications[J]. Journal of Physics D: Applied Physics, 2010, 43(36): 365003.
Abstract Soft magnetic composites (SMCs) have shown significant potential for applications in key magnetic components of power electronic converters (e.g., DC inductors, high-frequency transformers) owing to their distributed air-gap structure and high saturation density. However, the loss characteristics of such materials under complex excitation states (DC bias, non-sinusoidal excitation) are difficult to accurately assess using traditional methods, thereby restricting device design and optimization. This paper proposes an improved Preisach hysteresis model and an eddy-current loss decomposition method for calculating hysteresis and eddy-current losses in soft-magnetic composites.
In hysteresis loss calculation, the traditional limiting-hysteresis-loop Preisach model requires only a single saturated hysteresis loop. Still, its prediction accuracy is limited in the low-density region. This paper proposes a multiple-hysteresis-loop correction method to refine the distribution function of the hysteresis operator in the Preisach plane by incorporating multiple sets of measured hysteresis-loop data, including the low-density region. Specifically, the Preisach plane is discretized into grid cells, and the grid's magnetic moment density distribution matrix is adjusted using measured data to improve the model's accuracy for hysteresis loops at low magnetic densities and under DC bias. The results show that the improved model's error in the range 0.3~1.0 T is lower than that of the original model. It exhibits more stable computational performance under DC bias conditions, outperforming the traditional Jiles-Atherton model in predicting coercivity and remanent magnetization.
For eddy-current loss, this paper decomposes the total eddy-current loss into two components, intra-particle and inter-particle losses, based on the micro structural characteristics of soft-magnetic composites. The local eddy current effect of the magnetic powder in the ferromagnetic phase causes intra-particle loss. The loss density is modeled as a function of the geometric parameter and the magnetic powder's conductivity. At the same time, macroscopic conductive paths generate interparticle losses due to incomplete cladding of the insulating layer, which are quantified by the material's homogenized conductivity and shape factor. The eddy-current loss characteristic parameter x is proposed. It depends solely on material properties and simplifies loss calculations under non-sinusoidal excitation, such as square-wave or triangular-wave excitation.
The energy storage inductor in a Boost converter and the high-frequency transformer in an LLC resonant converter are used as platforms, both designed for a switching frequency of 30 kHz. Pure iron powder cores are prepared by the sol-gel method, and the inductor losses in continuous and discontinuous conduction modes, as well as the core losses of the high-frequency transformer under the same magnetic density ripple, are predicted by combining the multiple-hysteresis-loop Preisach model with the eddy-current loss formula. The experimental results show that the proposed improved method achieves a total loss prediction accuracy of no more than 5% relative to the traditional method in complex excitation scenarios, such as single-ended excitation. In addition, the computational efficiency is high, with a single hysteresis-loss solution taking approximately 8.7 s. It can be integrated into the FEA post-processing workflow and is suitable for loss assessment of complex-shaped cores.
keywords:Soft magnetic composite, Preisach model, loss separation, non-sinusoidal excitation
DOI: 10.19595/j.cnki.1000-6753.tces.250423
中图分类号:TM153
辽宁省科技计划联合计划资助项目(2023JH2/101700266)。
收稿日期 2025-03-17
改稿日期 2025-05-17
史凯萌 男,1995年生,博士研究生,研究方向为电工磁性材料电磁特性测量与模拟。E-mail: dr.shikaimeng@smail.sut.edu.cn
张殿海 男,1984年生,教授,博士生导师,研究方向为电工磁性材料电磁特性测量与模拟,电工装备电磁场数值分析与计算等。E-mail: zhangdh@sut.edu.cn(通信作者)
(编辑 郭丽军)