摘要 为满足电缆缺陷的轻量化、精准化和快速化检测需求,该文提出了一种基于脉冲频域反射法的电缆缺陷检测技术。脉冲频域反射法主要包括频带匹配技术和分立判定方法。频带匹配技术根据脉冲信号参数明确了获取的反射系数谱(RCS)的有效频带范围,保证了RCS的可靠性;分立判定方法则通过构建不同诊断函数判断缺陷位置和极性,从而避免了极性变化引起的定位曲线振荡,确保了缺陷定位结果的准确性。仿真与实验结果表明,该文提出的脉冲频域反射法对设备要求低、响应迅速,并且可以准确地定位缺陷并识别极性。此外,在电缆首端阻抗失配的情况下,诊断结果不会产生首端遮蔽区,具备较高的工程实际应用价值。
关键词:电缆缺陷检测 脉冲频域反射法 频带匹配 缺陷定位 极性分析
电缆作为现代工业与能源系统的关键基础设备,承担着信息传递和电能输送的核心功能。然而,由于实际工业生产的需要,电缆经常暴露在高温、辐射、腐蚀等复杂多变的恶劣运行环境中[1-3]。长时间运行于恶劣环境会导致电缆出现局部缺陷,虽然局部缺陷并不会立即使电缆停运,但如果不及时处理,电缆的局部缺陷将转化为永久性故障,严重影响工业与能源系统的安全稳定运行[4-7]。
近年来,行波反射法因为其无损性和高效性被广泛用于电缆检测中。行波反射法的原理是向电缆中主动注入信号,并通过信号处理算法计算缺陷阻抗不匹配点产生的反射信号与入射信号的时延,再结合电缆经验波速确定缺陷所在位置。行波反射法主要有时域反射法、频域反射法、时频反射法和步进频率波形反射法。时域反射法使用脉冲信号作为检测信号,并通过相关性计算确定反射信号的位置[8-9]。该方法原理简单且测量快速,然而由于色散效应和衰减效应,脉冲反射波特别是波头部分容易发生畸变,这会严重影响时域反射法的定位精度。频域反射法使用扫频信号作为检测信号,其原理是通过扫频信号获取电缆的传递函数,并利用时域反演的方法获取缺陷对理想冲击信号的响应[10-12]。根据使用传递函数的不同,频域反射法主要分为宽频阻抗谱(Broadband Impedance Spectrum, BIS)法和反射系数谱(Reflection Coefficient Spectrum, RCS)法。频域反射法可根据电缆长度选择检测信号频带范围,并且可以有效地避免反射信号波头畸变引起的定位误差,因此该方法的定位精度和灵敏度均优于时域反射法。时频反射法使用高斯啁啾信号作为检测信号[13-15],具有窄脉冲宽频带特性的高斯啁啾信号允许使用时频相关计算获取反射信号的时延,这可以大幅度提升缺陷检测的灵敏度。步进频率波形反射法则使用一系列限时触发的正弦脉冲信号作为检测信号[16-19],限时触发的特性使得该方法在评估电缆缺陷严重程度上具备独特优势。
目前已经运用于工程实际中的电缆缺陷检测方法主要为时域反射法和频域反射法;而时频反射法和步进频率波形反射法由于对算法和设备要求较高,目前仍处于理论研究和实验室验证阶段。虽然频域反射法相比时域反射法拥有更高的精度和灵敏度,但在运用于工程实际中时仍存在一系列问题。频域反射法需要频带较宽的扫频信号获取电缆的传递函数[20],并且需要相对复杂的算法对数据进行处理,因此,相比于时域反射法,频域反射法需要更多的信号处理模块和更长的检测时间[21],这制约了频域反射法设备轻量化和快速化的发展。此外,频域反射法对缺陷极性的判定不如时域反射法直观。虽然文献[10, 12]通过构建新型诊断函数的方式能够在频域反射法诊断图中表征缺陷极性,但定位结果在极性开始变化的位置附近出现明显的振荡,严重影响缺陷定位的可靠性。
鉴于传统频域反射法出现的问题,本文首次提出脉冲频域反射法。脉冲频域反射法主要包括频带匹配技术和分立判定方法。其中,频带匹配技术明确了使用脉冲信号获取电缆传递函数的频带范围,保证了传递函数的可靠性;分立判定方法则通过不同诊断函数判断缺陷位置和极性,从而避免了极性变化引起定位曲线的振荡。脉冲频域反射法由于使用窄脉冲作为激励信号,不需要额外的信号处理模块分离入射信号和反射信号,并且因为数据量少可以对电缆进行快速诊断,从而有利于频域反射法设备的轻量化和快速化发展。此外,在电缆首端阻抗失配情况下,脉冲频域反射法的诊断结果中也不会出现首端遮蔽区。本文提出的脉冲频域反射法的有效性在仿真和实验中得到了验证。
传输线理论[22]指出,当信号的波长与电缆长度可比拟时,可以用分布参数模型分析电缆线路。电缆的分布参数模型如图1所示。图1中,U(x)和I(x)分别为距离电缆首端x处的电压和电流;dx、dU和dI分别为电缆长度、电压和电流的微分;R、L、G、C分别为分布参数模型中电缆的单位长度电阻、电感、电导和电容。
图1 电缆分布参数模型
Fig.1 Distributed parameter model of the cable
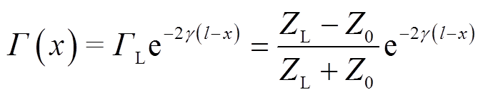
通过电缆分布参数模型得到的传输线电报方程可推导出表征电缆特性的RCS[23],表达式为
(1)
式中,Γ(x)为距离电缆首端x处的RCS;ΓL为电缆末端负载反射系数;Z0为电缆特征阻抗;ZL为负载阻抗;l为电缆长度;γ为传播常数。Z0与γ可分别表示为
(2)
(3)
式中,ω为信号角频率;α为电缆的衰减常数;β为电缆的相位常数。
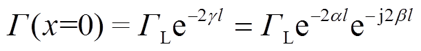
令式(1)中的x=0可得到易于测量的电缆首端RCS,即
(4)
由式(4)可知,当电缆末端负载不匹配(ΓL≠0)时,电缆首端RCS中包含阻抗不匹配点的信息,包括位置和极性。同样当电缆中存在缺陷时,电缆首端RCS中也会包含缺陷的位置和极性信息,因此对电缆首端RCS进行频谱分析即可获取电缆缺陷信息。
电缆首端RCS作为电缆传递函数之一,其包含电缆中阻抗不配点的信息,也是频域反射法的核心分析对象。因此,准确地获取电缆的首端RCS对于采用频域反射法检测电缆缺陷的准确性至关重要。传统频域反射法以扫频信号作为检测信号。为保证检测信号具有较宽的频带范围,扫频信号通常具有较长的持续时间,这意味着入射信号和反射信号在时域上容易混叠,而RCS需要通过计算频域上反射信号和入射信号的比值获得。因此,以扫频信号作为检测信号获取电缆首端RCS时,必然需要在时域中分离入射信号和反射信号[24]。
传统频域反射法获取电缆首端RCS原理示意图如图2所示。其中,扫频信号发生器负责产生扫频信号并将其注入电缆首端;功分器和定向耦合器相互配合,分离入射信号和反射信号;数据采集模块将采集到的入射信号和反射信号数据进行保存;工控机对采集到的数据进行处理得到电缆首端RCS,并对其进行频谱分析得到电缆缺陷诊断结果。
图2 传统频域反射法获取RCS原理示意图
Fig.2 Schematic diagram of obtaining reflection coefficient spectrum using traditional frequency domain reflectometry
传统频域反射法利用扫频信号获取电缆RCS,测试时间通常较长,并且需要功分器和定向耦合器分离入射信号和反射信号,这些因素限制了电缆频域反射法检测设备的轻量化和快速化发展。此外,传统频域反射法无法避免在电缆首端阻抗失配情况下诊断结果中产生遮蔽区的问题[25]。
本节将介绍脉冲频域反射法以解决传统频域反射法存在的问题。
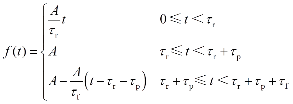
脉冲频域反射法使用的检测信号为梯形脉冲,示意图如图3所示,其在时域中的表达式为
(5)
式中,A为梯形脉冲信号的幅值;τr为上升时间;τp为脉冲宽度;τf为下降时间。

图3 梯形脉冲示意图
Fig.3 Schematic diagram of trapezoidal pulse
不同参数的梯形脉冲时频分布如图4所示。当τr=τp=τf=100 ns和200 ns时,频带主要集中在10 MHz内;当τr=τp=τf=50 ns时,频带主要集中在20 MHz内;当τr=τp=τf=20 ns时,频带主要集中在40 MHz内;当τr=τp=τf=10 ns时,频带主要集中在80 MHz内。由此可见,梯形脉冲的能量分布于全频带上,但主要集中于低频区域,并且随着脉冲持续时间的减少,梯形脉冲的能量逐渐向高频区域偏移。

图4 梯形脉冲时频分布
Fig.4 Trapezoidal pulse time-frequency distribution
图4表明,通过改变梯形脉冲时间参数可以调节梯形脉冲频带范围以满足不同电缆的检测要求。扫频信号的频带同样可以自由调节,但梯形脉冲在时域上的持续时间仅为ns级别,远小于扫频信号,这就意味着梯形脉冲入射信号很难与反射信号发生混叠,即时域上允许分离入射信号和反射信号,这就避免了使用功分器和定向耦合器分离入射信号和反射信号,有利于检测设备的小型化和轻量化发展。
频域反射法的本质是利用电缆的传递函数反演出缺陷对冲激信号的响应。因此,传递函数(如RCS)的频带范围决定反演的缺陷冲击响应的特性。理论上,RCS的频带上限越高,反演的信号固有展宽越小。然而,电缆可以视作低通滤波器,其对高频信号衰减严重[26]。虽然本文使用的梯形脉冲信号能量覆盖全频带,但是高频能量微弱,这就导致通过梯形脉冲获取的高频RCS并不可靠。高频失真的RCS将给电缆缺陷定位结果带来严重的干扰。
为保证RCS的可靠性,本文提出基于脉冲频域反射法的频带匹配技术。频带匹配是指注入电缆检测信号的有效频带必须覆盖用于缺陷诊断传递函数的频带。如图4所示,梯形脉冲信号的频带主要集中在低频区域,随着频率的增加,频带能量间歇性振荡,并出现多个极小值点。考虑到极小值点附近的频带能量很低,用于计算RCS并不可靠。因此,本文提出梯形脉冲信号的有效频带上限选取原则为:频带分布的极大值的5%,并处于第一个极小值前。根据有效频带选取原则,图4中的梯形脉冲可用于计算RCS的频带范围见表1。频带匹配技术的有效性将在本文第3节进行验证。
表1 梯形脉冲信号有效频带范围
Tab.1 Effective bandwidth of trapezoidal pulse signals
上升时间/ns脉冲宽度/ns下降时间/ns有效频带范围/MHz 1010100~46 2020200~23 5050500~9.5 1001001000~4.6 2002002000~2.3
将梯形脉冲信号注入电缆首端后,由于入射脉冲具有较短的持续时间,通常不会与反射信号在时域上发生混叠。因此,可以根据入射信号触发时间和梯形脉冲持续时间分割入射信号和反射信号。通过离散傅里叶变换得到入射信号和反射信号的频域表达式为
(6)
(7)
(8)
式中,Ut为入射信号频域序列;ut为入射信号时域序列;k为频域序列索引;n为时域序列索引;N为序列数;Ur为反射信号频域序列;ur为反射信号频域序列;f为频率序列;Ts为信号采样频率。
根据频带匹配技术,确定梯形脉冲有效频带上限,并将频域中入射信号和反射信号的无效频带截除。将截除后的频域反射信号除以入射信号,可得到电缆首端RCS为
(9)
式中,M为频带匹配技术确定的频率上限索引。通过对梯形脉冲激励得到的电缆首端RCS进行频谱分析,可以得到电缆缺陷的诊断函数为
(10)
式中,C为切比雪夫窗函数;Δf为频率间隔。切比雪夫窗函数[27]可以有效地抑制频谱泄漏带来的旁瓣干扰。诊断函数的本质是通过传递函数反演出窗函数响应的复信号,取诊断函数的实部即可将复信号转换为实信号。实信号虽然同时包含缺陷位置和极性信息,但由于传递函数的频带并非无限长,反演出的缺陷反射信号将出现由极性波动引起的振荡,影响定位结果。因此,本文采用分立判定方法解决这一问题,具体为
(11)
(12)
式中,Dloc为电缆缺陷定位函数,通过取D(x)的模值获得;Dpol为电缆缺陷极性函数,通过取D(x)的实部获得。分立判定方法具体步骤为:先通过电缆缺陷定位函数Dloc确定缺陷的位置;再将缺陷位置信息代入电缆缺陷极性函数Dpol,通过函数符号确定缺陷的极性。分立判定方法可以有效地避免极性波动带来的缺陷定位干扰问题。使用脉冲频域反射法进行电缆诊断的流程如图5所示。
图5 脉冲频域反射法进行电缆诊断的流程
Fig.5 Flow chart of cable diagnosis using pulse frequency domain reflectometry
本节在ADS中构建了带有缺陷的RG58同轴电缆仿真模型,以验证本文提出的脉冲频域反射法的可靠性。ADS构建的RG58电缆的结构参数如图6所示。考虑到电缆的检测长度,设置仿真中使用的梯形脉冲幅值为5 V,上升时间、脉冲宽度和下降时间均为10 ns。
图6 RG58同轴电缆结构参数
Fig.6 RG58 coaxial cable structure parameters
ADS中构建的100 m RG58同轴电缆仿真模型如图7所示,电源内阻ZS = 50 Ω,并联缺陷设置在40 m处:并联电阻Zsh = 50 Ω;串联缺陷设置在70 m处:串联电阻Zse= 50 Ω;电缆末端开路:ZL = ∞。并联缺陷属于负极性缺陷,用于模拟电缆中的受潮、老化、高阻接地等缺陷;串联缺陷属于正极性缺陷,用于模拟电缆中的破损等缺陷。RG58的特征阻抗为50 Ω,因此电缆首端阻抗处于匹配状态。为了使ADS仿真结果符合实际情况,设置仿真中的本底噪声功率密度为300 nV/Hz1/2。在电缆首端注入梯形脉冲信号,并在首端测量入射信号和反射信号。
图7 ADS中构建的RG58同轴电缆仿真模型
Fig.7 Simulation model of RG58 coaxial cable in ADS
基于脉冲频域反射法的仿真电缆缺陷诊断结果如图8所示。由图8a可知,当脉冲检测信号频带与反射系数频带匹配时,通过分立判定方法可以确定两处缺陷的定位分别为40.09 m(负极性缺陷)和70.15 m(正极性缺陷),与预设缺陷的位置与极性一致。

图8 基于脉冲频域反射法的仿真电缆缺陷诊断结果
Fig.8 Simulated cable defect diagnosis results based on pulse frequency domain reflectometry
如图8b所示,当脉冲检测信号频带与反射系数频带失配时,反射系数频带上限过低,虽然也能够较好地定位缺陷并判别其极性,但是缺陷定位曲线展宽严重。这是由于反演的冲激信号需要的传递函数频带不足,严重的展宽将导致临近的缺陷定位出现混叠,不利于缺陷的区分。如图8c所示,当反射系数频带上限过高时,定位曲线和极性诊断曲线出现明显的振荡,这是由于检测信号高频部分衰减严重,获取的高频RCS并不可靠。不可靠的高频RCS将对缺陷定位和极性诊断结果产生严重的干扰。由此可见,本文提出的频带匹配技术和分立判定方法不仅可以保证RCS的可靠性,并且可以精准地定位缺陷以及有效地判定其极性。
为验证提出的脉冲频域反射法的可靠性,本节构建了脉冲频域反射法实验平台。脉冲频域反射法测试原理示意图如图9所示,与图2传统频域反射法的测试系统相比,由于脉冲信号相比扫频信号拥有更短的持续时间,入射信号和反射信号不易混叠,可在时域上自行分割,因此不需要功分器和定向耦合器分离信号。相比于传统频域反射法的测试系统,脉冲频域反射法更易于满足检测设备轻量化和快速化的需求。考虑到电缆的检测长度,设置实验中使用的梯形脉冲幅值为5 V,上升时间、脉冲宽度和下降时间均为10 ns。
图9 脉冲频域反射法测试原理示意图
Fig.9 Test schematic diagram of pulse frequency domain reflectometry
本节实验对象为3根80 m RG58同轴电缆,分别在40 m处设置20 cm绝缘老化缺陷(负极性)、20 cm屏蔽层破损缺陷(正极性)和20 cm受潮缺陷(负极性),电缆末端均为开路。脉冲频域反射法诊断结果如图10所示。
图10 基于脉冲频域反射法的RG58电缆缺陷诊断结果
Fig.10 RG58 cable defect diagnosis results based on pulse frequency domain reflectometry
脉冲频域反射法对于含有绝缘老化缺陷的RG58电缆的诊断结果为40.11 m(负极性);含有屏蔽层破损缺陷电缆的诊断结果为40.06 m(正极性);含有受潮缺陷电缆的诊断结果为39.91 m(负极性)。从诊断结果可以看出,本文提出的脉冲频域反射法对真实电缆缺陷的定位和极性判定都比较准确。
本节实验对象为1根75 m 10 kV配电电缆,并在51 m处设置了20 cm的破损缺陷,电缆末端开路。10 kV配电电缆的特征阻抗为35 Ω,因此电缆首端阻抗处于不匹配状态。分别使用脉冲频域反射法、BIS法和RCS法对电缆进行诊断并记录检测时间,结果如图11和表2所示。其中BIS和RCS使用的扫频信号频带范围为300 kHz~50 MHz。
Fig.11 脉冲频域反射法、BIS法和RCS法对10 kV配电电缆缺陷检测结果
Fig.11 10 kV distribution defect cable diagnosis results based on pulse frequency domain reflectometry, BIS method and RCS method
图11和表2表明,脉冲频域反射法、BIS法和RCS法均可以准确地定位10 kV配电电缆破损缺陷,但脉冲频域反射法检测时间不到1 s,而BIS法和RCS法的检测时间分别为72.4 s和6.4 s,均需要较长时间。对于电缆首端阻抗不匹配的情况,BIS法和RCS法在首端出现遮蔽区,而脉冲频域反射法不会出现。在极性判定方面,由于采用了分立判定方法,使用脉冲频域反射法进行缺陷定位和极性判定不会受到曲线振荡的影响,而BIS法和RCS法由于使用同一诊断曲线进行缺陷定位和极性判定,定位结果将受到极性振荡的影响。此外,由于脉冲频域反射法使用时间长度较短的脉冲信号作为检测信号,并不需要功分器和定向耦合器分离入射信号和反射信号,但RCS法使用的检测信号为扫频信号,因此需要额外的信号分离模块。由此可见,相比于BIS法和RCS法,本文提出的脉冲频域反射法更易于满足电缆缺陷检测的轻量化、精准化和快速化需求。
表2 脉冲频域反射法、BIS法和RCS法对10 kV配电电缆缺陷检测结果比较
Tab.2 Comparison of defect detection results for 10 kV distribution cable using pulse frequency domain reflectometry, BIS method and RCS method
检测方法缺陷检测位置/m检测时间/s首端遮蔽区功分器和定向耦合器极性振荡干扰 脉冲频域反射法51.470.8无不需要无 BIS法51.5572.4有—有 RCS法51.236.4有需要有
本文提出了一种基于脉冲频域反射法的电缆缺陷检测技术,主要包括频带匹配技术和分立判定方法,旨在满足电缆缺陷检测的轻量化、精准化和快速化需求。并且通过仿真和实验验证了本文提出的脉冲频域反射法的有效性,具体结论如下:
1)为保证脉冲频域反射法获取电缆的RCS的可靠性,提出频带匹配理论以建立梯形脉冲参数和有效频带之间的联系,并明确RCS的有效频带范围。仿真结果表明,当RCS频带与检测信号有效频带一致时,检测效果最好;当RCS频带过高或者过低时,将造成诊断结果的畸变和展宽。
2)为避免传统行波反射法缺陷定位与极性判别出现的由极性波动引起的振荡问题,提出分立判定方法,通过分别构建缺陷定位函数和极性诊断函数,并先进行缺陷定位后进行极性判别从而避免极性振荡引起的定位干扰。仿真和实验结果表明分立判定方法可以准确地定位缺陷位置并识别缺陷极性。
3)与传统频域反射法RCS和BIS相比,本文提出的脉冲频域反射法在准确定位缺陷的同时,不受极性振荡的干扰,并且检测时间短,对设备要求低,有利于满足电缆缺陷检测轻量化、精准化和快速化的需求。此外,本文提出的脉冲频域反射法在电缆首端阻抗失配情况下的诊断结果不会产生遮蔽区。
参考文献
[1] 段肖力, 刘雨丰, 刘三伟, 等. 高压XLPE电缆缓冲层烧蚀机理及检测方法综述[J]. 电工技术学报, 2025, 40(5): 1540-1558. Duan Xiaoli, Liu Yufeng, Liu Sanwei, et al. Review on ablative mechanism of the buffer layer in high voltage XLPE cable and associated detection methods [J]. Transactions of China Electrotechnical Society, 2025, 40(5): 1540-1558.
[2] 徐海松, 张大宁, 胡冉, 等. 基于谐波分量的配电电缆绝缘劣化状态带电检测技术[J]. 电工技术学报, 2024, 39(7): 2161-2173. Xu Haisong, Zhang Daning, Hu Ran, et al. A live detection technology of distribution network cable insulation deterioration state based on harmonic components[J]. Transactions of China Electrotechnical Society, 2024, 39(7): 2161-2173.
[3] 胡丽斌, 陈杰, 赖庆波, 等. 高压电缆缓冲层白斑缺陷引发放电的机理研究[J]. 高压电器, 2025, 61(1): 155-164. Hu Libin, Chen Jie, Lai Qingbo, et al. Study on discharge mechanism by white spot defect in cable buffer layer[J]. High Voltage Apparatus, 2025, 61(1): 155-164.
[4] 程序, 陶诗洋, 王文山. 一起110kV XLPE电缆终端局放带电检测及解体分析实例[J]. 中国电机工程学报, 2013, 33(增刊1): 226-230. Cheng Xu, Tao Shiyang, Wang Wenshan. The partial discharge detection and location as well as dissection of 110 kV XLPE cable terminal[J]. Proceedings of the CSEE, 2013, 33(S1): 226-230.
[5] 李国倡, 梁箫剑, 魏艳慧, 等. 配电电缆附件复合绝缘界面缺陷类型和位置对电场分布的影响研究[J]. 电工技术学报, 2022, 37(11): 2707-2715. Li Guochang, Liang Xiaojian, Wei Yanhui, et al. Influence of composite insulation interface defect types and position on electric field distribution of distribution cable accessories[J]. Transactions of China Electrotechnical Society, 2022, 37(11): 2707-2715.
[6] 王昊月, 李成榕, 王伟, 等. 高压频域介电谱诊断XLPE电缆局部绝缘老化缺陷的研究[J]. 电工技术学报, 2022, 37(6): 1542-1553. Wang Haoyue, Li Chengrong, Wang Wei, et al. Local aging diagnosis of XLPE cables using high voltage frequency domain dielectric spectroscopy[J]. Transactions of China Electrotechnical Society, 2022, 37(6): 1542-1553.
[7] 刘刚, 刘斯亮, 金尚儿, 等. 基于理、化、电特性的110kV XLPE绝缘电缆剩余寿命的综合评估[J]. 电工技术学报, 2016, 31(12): 72-79, 107. Liu Gang, Liu Siliang, Jin Shanger, et al. Comprehensive evaluation of remaining life of 110kV XLPE insulated cable based on physical, chemical and electrical properties[J]. Transactions of China Electrotechnical Society, 2016, 31(12): 72-79, 107.
[8] 梁栋, 徐丙垠, 谢伟, 等. 基于小波脉冲相关的电缆故障时域反射测距方法[J]. 中国电机工程学报, 2020, 40(24): 8050-8057, 8241. Liang Dong, Xu Bingyin, Xie Wei, et al. A time-domain-reflectometry cable fault location method using wavelet pulses and cross-correlation[J]. Proceedings of the CSEE, 2020, 40(24): 8050-8057, 8241.
[9] 叶源, 胡晓. 计及双界面的电缆绝缘水树缺陷时域反射解析模型[J]. 电工技术学报, 2024, 39(1): 55-64. Ye Yuan, Hu Xiao. A dual interface analytical model for time-domain reflectometry of water tree defects in power cables[J]. Transactions of China Electrotech-nical Society, 2024, 39(1): 55-64.
[10] 饶显杰, 徐忠林, 刘翔宇, 等. 基于反射系数与核函数构建的新型电缆缺陷诊断方法[J]. 电工技术学报, 2024, 39(7): 2184-2192, 2213. Rao Xianjie, Xu Zhonglin, Liu Xiangyu, et al. A new cable defect diagnosis method based on reflection coefficient and kernel function construction[J]. Transactions of China Electrotechnical Society, 2024, 39(7): 2184-2192, 2213.
[11] 李蓉, 周凯, 万航, 等. 基于输入阻抗谱的电力电缆本体局部缺陷类型识别及定位[J]. 电工技术学报, 2021, 36(8): 1743-1751. Li Rong, Zhou Kai, Wan Hang, et al. Identification and location of local defects in power cable body based on input impedance spectroscopy[J]. Transactions of China Electrotechnical Society, 2021, 36(8): 1743-1751.
[12] 单秉亮, 李舒宁, 程俊华, 等. XLPE配电电缆热老化段和集中性缺陷的辨识与定位[J]. 中国电机工程学报, 2021, 41(23): 8231-8241. Shan Bingliang, Li Shuning, Cheng Junhua, et al. Distinguishing and locating thermal aging segments and concentration defects in XLPE distribution cables [J]. Proceedings of the CSEE, 2021, 41(23): 8231-8241.
[13] Zou Xingyu, Mu Haibao, Wang Renjie, et al. An efficient accuracy improvement method for cable defect location based on instantaneous filtering in time-frequency domain[J]. Measurement, 2024, 226: 114178.
[14] Shin Y J, Powers E J, Choe T S, et al. Application of time-frequency domain reflectometry for detection and localization of a fault on a coaxial cable[J]. IEEE Transactions on Instrumentation and Measurement, 2005, 54(6): 2493-2500.
[15] Lim H, Lee Y H, Bang S S, et al. Application of enhanced optimal-detection of time-frequency domain reflectometry on HTS cable with high-resolution[J]. IEEE Transactions on Applied Superconductivity, 2023, 33(5): 1-10.
[16] Giaquinto N, Scarpetta M, Spadavecchia M. Algorithms for locating and characterizing cable faults via stepped-frequency waveform reflectometry [J]. IEEE Transactions on Instrumentation and Measurement, 2020, 69(9): 7271-7280.
[17] Lee Y H, Kwon G Y, Shin Y J. Contactless monitoring technique for live shielded cable via stepped-frequency waveform reflectometry and inductive coupler[J]. IEEE Transactions on Industrial Electronics, 2022, 69(9): 9494-9503.
[18] Lee C K, Kwon G Y, Shin Y J. Condition assessment of I&C cables in nuclear power plants via stepped-frequency waveform reflectometry[J]. IEEE Transactions on Instrumentation and Measurement, 2019, 68(1): 215-224.
[19] Song Ci, Mu Haibao, Zou Xingyu, et al. Application of stepped-frequency waveform reflectometry to locating and characterizing line-like aging faults in cables[J]. Measurement, 2025, 254: 117866.
[20] 单秉亮, 李舒宁, 杨霄, 等. XLPE配电电缆缺陷诊断与定位技术面临的关键问题[J]. 电工技术学报, 2021, 36(22): 4809-4819. Shan Bingliang, Li Shuning, Yang Xiao, et al. Key problems faced by defect diagnosis and location technologies for XLPE distribution cables[J]. Transactions of China Electrotechnical Society, 2021, 36(22): 4809-4819.
[21] 赵书静, 龚梁涛, 詹博博, 等. 电缆局部缺陷的步进频连续波定位方法[J]. 高电压技术, 2023, 49(5): 2121-2130. Zhao Shujing, Gong Liangtao, Zhan Bobo, et al. Location method for local defects of cable based on stepped frequency continuous wave technology[J]. High Voltage Engineering, 2023, 49(5): 2121-2130.
[22] Kwon G Y, Lee C K, Lee G S, et al. Offline fault localization technique on HVDC submarine cable via time-frequency domain reflectometry[J]. IEEE Tran-sactions on Power Delivery, 2017, 32(3): 1626-1635.
[23] 饶显杰, 徐忠林, 陈勃, 等. 基于频域反射的电缆缺陷定位优化方法[J]. 电网技术, 2022, 46(9): 3681-3689. Rao Xianjie, Xu Zhonglin, Chen Bo, et al. Cable defect location optimization based on frequency domain reflection[J]. Power System Technology, 2022, 46(9): 3681-3689.
[24] Tang Zhirong, Zhou Kai, Meng Pengfei, et al. A frequency-domain location method for defects in cables based on power spectral density[J]. IEEE Transactions on Instrumentation and Measurement, 2022, 71: 1-10.
[25] 谢敏, 李烨, 俞骏, 等. 频域反射法阻抗匹配技术及其在电缆衰减补偿与相速度计算中的应用[J]. 电网技术, 2024, 48(4): 1762-1769. Xie Min, Li Ye, Yu Jun, et al. Impedance matching technology for frequency domain reflectometry and its application in cable attenuation compensation and phase velocity calculation[J]. Power System Technology, 2024, 48(4): 1762-1769.
[26] 赵书静, 詹博博, 龚梁涛, 等. 基于调频连续波相位敏感特性的电缆局部缺陷检测方法[J]. 电工技术学报, 2023, 38(11): 3009-3021. Zhao Shujing, Zhan Bobo, Gong Liangtao, et al. Research on cable local defect detection method based on phase-sensitive characteristics of frequency modulated continuous wave[J]. Transactions of China Electrotechnical Society, 2023, 38(11): 3009-3021.
[27] Mu Haibao, Zhang Haotian, Zou Xingyu, et al. Sensitivity improvement in cable faults location by using broadband impedance spectroscopy with dolph-Chebyshev window[J]. IEEE Transactions on Power Delivery, 2022, 37(5): 3846-3854.
Abstract In recent years, the traveling wave reflection method has been widely used in the defect detection of cables to ensure the reliability of cable operation. The traveling wave reflection methods used in engineering practice mainly include time domain reflectometry and frequency domain reflectometry. Time domain reflectometry is simple and easy to implement, and fast to detect, but the defect location accuracy and sensitivity are low. Frequency domain reflectometry has high detection accuracy, but requires high equipment requirements and complex signal processing modules. In addition, the algorithm of frequency domain reflectometry to diagnose and characterize the polarity of defects may cause oscillations in the location curve, which seriously affects the reliability of the detection results.In order to solve the above problems of cable defect detection, this paper proposes the pulse frequency domain reflectometry to meet the demand for lightweight, accurate and fast cable defect detection.
First, the matching frequency band technique is proposed. The matching frequency band technique specifies that the frequency corresponding to 5% of the maximum value of the spectrum of the trapezoidal pulse signal is the upper limit of the effective frequency band of the RCS, and this frequency does not exceed the first local minimum of the spectrum of the trapezoidal pulse signal. The matching frequency band technique ensures that the RCS acquired by the trapezoidal pulse is reliable.
Then, the separate determination method for defect location and polarity diagnosis has been proposed. The separate determination method constructs the cable defect location function and polarity diagnostic function, respectively. The method of determining the defect location and polarity sequentially through different diagnostic functions can effectively avoid the oscillation of the location curve caused by the polarity change using the traditional frequency domain reflectometry.
Finally, the reliability of the pulse frequency domain reflectometry proposed in this paper is verified by simulations and experiments. The simulation results show that the matching frequency band technique and separate determination method are effective. The RCS frequency band is too high or too low, resulting in oscillations and broadening of the location results. The experiment results show that the pulse frequency domain reflectometry is also effective for real defects both in the RG58 cable and 10 kV power cable. Compared to the traditional frequency domain reflectometry, the advanges of the the pulse frequency domain reflectometry include: (1) No additional signal processing module is required to separate incident and reflected signals, which is conducive to the lightweight of defect detection; (2) diagnostic results are not subject to oscillations caused by polarity changes, which is conducive to the accuracy of defect detection; (3) fast detection with less data required is available, which is conducive to the rapidity of defect detection; (4) in case of an impedance mismatch at the head end of the cable, the diagnostic results do not produce a masked area.
In conclusion, the pulse frequency domain reflectometry proposed in this paper is conducive to the lightweight, accurate and fast detection of cable defects, which has certain practical significance in engineering.
keywords:Cable defect detection, pulse frequency domain reflectometry, matchingfrequency band, defect location, polarity analysis
DOI: 10.19595/j.cnki.1000-6753.tces.250453
中图分类号:TM41
收稿日期 2025-03-22
改稿日期 2025-05-16
宋 辞 男,1995年生,博士研究生,研究方向为电缆缺陷检测与行波保护。E-mail:songci@stu.xjtu.edu.cn
穆海宝 男,1982年生,教授,博士生导师,研究方向为电力设备状态检测与评估、电气设备绝缘耐电性能提升、微放电等离子体等。E-mail:muhaibao@xjtu.edu.cn(通信作者)
(编辑 李 冰)