摘要 换流变压器通过真空有载分接开关(OLTC)实现不断电调压。直流系统中高比例电力电子器件产生的大量谐波会导致真空OLTC切换电气应力波形复杂、开断电流及恢复电压变化率高、切换难度大。现有研究缺乏对真空OLTC切换暂态特性的全面、系统性分析,现有换流变压器真空OLTC过渡电阻选型方法沿用传统交流选型方法,未考虑过渡电阻对高切换电气应力变化率的影响。因此,该文基于换流变真空OLTC切换电气应力解析方法,计及触发角、换相角及功率因数角间的耦合关系,定量分析各因素及耦合关系对切换暂态特性的作用机制。提出适用于换流变压器真空OLTC的过渡电阻选型方法与电气应力变化率校核方法,并以某一实际±800 kV特高压直流输电工程为算例,实现过渡电阻的灵活选型与校核。
关键词:真空有载分接开关 换流变压器 高压直流输电 切换暂态特性 过渡电阻
有载分接开关(On-Load Tap-Changer, OLTC)是换流变压器(后文简称“换流变”)的唯一可动部件[1],能够补偿交流系统电压变化,控制换流阀触发角运行范围,实现直流系统降压运行[2]。特高压直流输电工程换流变一般采用机械式真空OLTC[3-4],其熄弧能力强、电寿命长、不污染介质[5],已逐步替代其他类型的有载分接开关。真空OLTC根据结构型式不同可以分为组合式与复合式;根据切换拓扑中过渡电路是否具有后备保护可分为“基本型”和“导变型”。“导变型”真空OLTC通过与真空管串联或并联以隔离转换开关,增强过电压防护能力。此外,不同数目真空管和过渡电阻的组合能够衍生出型式各异的真空OLTC切换拓扑。工程中应用最多的真空OLTC型号为德国MR公司VRG型和VRL/ VRS/VRM型、瑞典ABB公司VUCG型和VUCL型、上海华明公司SHZV型。我国服役的换流变有载分接开关主要由这三家公司供应[6-8]。
由于频繁的切换操作,真空OLTC电气寿命需达到30万次以上,远高于常规真空断路器[9-10],因此,确保真空OLTC长寿命、高可靠切换至关重要。真空OLTC依靠真空管实现可靠切换,而触头材料影响真空管开断电流能力,经历了纯钨、铜铋合金、AgWC合金、Cu-W合金等发展阶段,目前,主要采用CuCr合金作为触头材料[11-12]。国内外相关研究指出,真空管开断电流能力与合金材料的构成含量差异有关,当CuCr触头材料中Cr的质量分数为30%时,开断电流能力最强[13-15]。
直流系统中存在大量非线性元件,导致换流变负载电流存在大量谐波[16],电流波形更近似于方波而非正弦波[17],相较于普通电力变压器,其电流变化率更高。主通断触头开断电流等于换流变负载电流,恢复电压为负载电流与过渡电阻的乘积,波形均近似为方波[18];过渡触头的开断电流为负载电流(方波)与分接头间环流(正弦波)的矢量和[2],恢复电压为负载电流在过渡电阻上的压降(方波)与级间电压(正弦波)之和[19]。由此可见,换流变负载电流的高变化率会使真空OLTC切换过程电气应力波形复杂,开断电流与恢复电压变化率高,真空OLTC切换难度更高[20],增加设备故障与结构失效概率[21-24]。因此,开展真空OLTC切换暂态特性分析,能够识别OLTC切换严苛工况、优化OLTC设计,从而提高换流变真空OLTC工作可靠性。
司马文霞等[25]提出了一种换流变真空有载分接开关切换过程电气应力解析方法,充分考虑多因素对换流变负载电流的影响,获取实际负载电流下真空OLTC开断电流变化率及恢复电压变化率解析式,能够精确表征OLTC全切换过程电气应力,可为换流变真空OLTC切换暂态特性分析提供理论依据和计算工具。
在普通电力变压器中,OLTC切换暂态特性的影响因素包括功率因数、负载水平、级间电压、过渡电阻[26]。其中,过渡电阻对主通断触头和过渡触头的开断特性皆会造成影响。增大过渡电阻,能够降低环流,从而减小过渡触头的开断电流,延长其寿命。然而过渡电阻的增大会导致主通断触头和过渡触头的恢复电压增大,增加触头开断难度[27]。通常,普通电力变压器OLTC仅需讨论影响因素对开断电流和恢复电压大小(有效值)的影响,不考虑对开断电流变化率与恢复电压变化率的影响[20]。
区别于普通电力变压器OLTC,换流变用真空OLTC的切换暂态特性还会受到触发角与换相角的影响[25]。因此,在分析换流变用真空OLTC切换暂态特性时,需要全面分析开断电流、恢复电压、开断电流变化率、恢复电压变化率随各种因素变化的规律。现有文献对换流变用OLTC切换暂态特性的分析多为定性分析各影响因素对OLTC某一个或某几个暂态特性参数的影响[28-29],未能全面揭示各因素的定量影响,未考虑触发角、换相角、功率因数角之间的耦合关系。
换流变真空OLTC的合理选型是实现可靠切换的关键,而过渡电阻的选型是重中之重。对普通电力变压器用OLTC过渡电阻进行匹配时,通常设过渡电阻R=npUst/IN,其中,np为过渡电阻匹配系数,Ust为级间电压,IN为变压器额定负载电流。过渡电阻匹配系数的选取遵循三个原则[30]:改善触头切换任务、提高触头电气寿命和确保工作可靠性。由于直流系统的谐波环境会使换流变真空OLTC在切换电气应力波形时产生严重畸变,现有通过匹配系数np直接选取过渡电阻值的匹配方法不再适用。此外,换流变真空OLTC的过渡电阻会对开断电流变化率及恢复电压变化率产生影响[31],因此,应校核过渡电阻取值,确保OLTC在高开断电流变化率与恢复电压变化率下能够可靠开断。然而,现有研究缺少真空OLTC电气应力变化率校核方法。
针对以上问题,本文首先介绍换流变真空OLTC切换过程电气应力解析方法;其次,基于该解析方法,对换流变真空OLTC切换暂态特性影响因素的作用规律进行系统性定量分析,并进一步考虑触发角、换相角、功率因数角之间的耦合关系,揭示三者及其耦合关系对换流变真空OLTC切换的复杂作用;然后,结合现有电力变压器OLTC过渡电阻匹配方法,考虑换流变真空OLTC特殊谐波运行工况,提出换流变真空OLTC过渡电阻选型方法;最后,提出换流变真空OLTC电气应力变化率校核方法,支撑过渡电阻选型后真空OLTC的试验校核。
本文以一种带隔离触头的“三真空管、双电阻”真空有载分接开关作为研究对象,使用真空管替代铜钨触头实现灭弧功能并承担负载电流转移任务。此外,串接的隔离转换开关作为真空管的后备保护单元,承担灭弧失败时分断和闭合负载电流的任务[32]。真空有载分接开关拓扑结构如图1所示。O点连接换流变网侧中性点,主触头MC1、MC2构成通流支路,主通断触头(真空管)V3与辅助触头Z1、Z2构成主通断支路,过渡真空触头V1、V2,过渡电阻R1、R2和隔离触头G1、G2共同构成过渡支路,该过渡支路结构对称[33]。MC1、MC2具备长期承担换流变最大额定电流的能力;V3能够在调压时保护主触头;V1、V2在相邻分接挡位桥接期间,抑制循环电流,防止调压绕组被烧毁;Z1、Z2能保证主触头断开期间输电系统供电连续性;G1、G2作为真空触头的保护开关;R1、R2是阻值相等的过渡电阻。各支路或元件上的电压和电流的符号及含义如图1所示。
图1 真空有载分接开关拓扑结构
Fig.1 The topology of vacuum OLTC
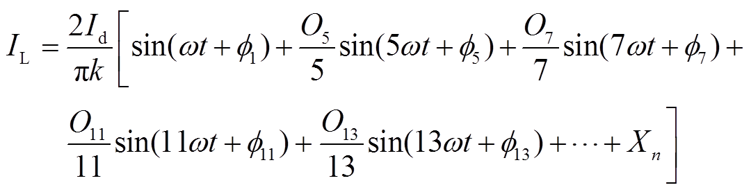
精准表征换流变的负载电流是实现真空有载分接开关切换过程电气应力解析与暂态特性分析的关键。考虑实际换相过程与直流系统晶闸管触发角的影响,通过傅里叶分解可得到换流变负载电流的解析式,由于Y/△型换流变负载电流变化率较Y/Y型更高[34],该工况下OLTC运行条件更严苛,因此本文以Y/△型换流变真空OLTC作为分析对象。Y/△型换流变负载电流IL解析式[25]为
(1)
式中,Id为直流侧电流;k为换流变电压比;ω为角频率;n为谐波次数,n=6m±1(m=1,2,
);
为n次谐波的初相位[35-36],
,
为基波初相位(功率因数角);Xn为n次谐波分量,表示为
(2)
式中,On为n次谐波电流因子,表征触发角α和换相角μ对谐波含量的影响,表达式为
(3)
其中

基波初相位
表达式为
(4)
提取OLTC切换过程十余个步骤的物理电路,通过电路分析,获取主通断触头V3和过渡触头V1的开断电流和恢复电压表达式,见表1。表中,R为过渡电阻阻值,R=R1=R2;级间电压Ust=x%E= x%Emsin(ωt),x%为级电压百分比(分接开关调节步长),E为交流侧相电压,Em为相电压幅值。
表1 开断电流和恢复电压表达式
Tab.1 Expressions of breaking current and recovery voltage
触头开断电流恢复电压 主通断触头V3ILILR 过渡触头V10.5(IL+Ust/R)ILR+Ust
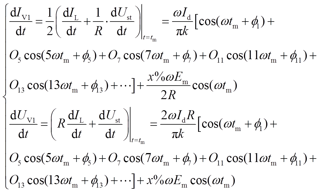
在真空OLTC中,开断电流变化率dIV/dt表示开断电流过零前瞬间的电流变化率[30],恢复电压变化率dUV/dt表示开断电流过零后瞬间对应的恢复电压的变化率。因此,将换流变负载电流解析式(式(1))代入表1后求导,并设td与tm分别为主通断触头V3与过渡触头V1开断电流过零时刻,可以得到主通断触头V3开断电流与恢复电压变化率解析式为
(5)
过渡触头V1开断电流与恢复电压变化率解析式为
(6)
本文以某实际±800 kV特高压直流输电工程[37]为算例,分析图1所示换流变真空OLTC在该直流系统中的切换暂态特性。该±800 kV特高压直流输电系统参数见表2,换流变主要参数见表3。
表2 ±800 kV特高压直流输电系统参数
Tab.2 The system parameters of ±800 kV UHVDC
参数数值 额定直流电压/kV±800 额定功率/MW8 000 额定交流电压(整流侧)/kV500~550
(续)
参数数值 额定直流电流/kA5 额定交流电压(逆变侧)/kV500~550 额定触发角αN/(°)15 触发角α的稳态控制范围/(°)±2.5 额定熄弧角θext/(°)17
表3 换流变主要参数
Tab.3 Main parameters of converter transformer
参数网侧绕组阀侧绕组 整流侧联结形式YY△ 额定相电压/kV306.0099.23171.88 额定容量/(MV·A)405.2405.2405.2 短路阻抗(%)20 分接开关挡位数+23/-5 分接开关调节步长(%)1.25 逆变侧联结形式YY△ 额定相电压/kV303.1192.25159.78 额定容量/(MV·A)376.6376.6376.6 短路阻抗(%)19 分接开关挡位数+25/-5 分接开关调节步长(%)1.25
定义换流变真空OLTC的开断特征参数为开断电流幅值、恢复电压幅值、开断电流变化率、恢复电压变化率。
由第1节提到的换流变真空有载分接开关切换过程电气应力解析与文献[25]可知,主通断触头V3与过渡触头V1的开断特征参数均会受到直流侧电流Id、触发角α及换相角μ的影响。此外,过渡电阻R会对主通断触头的恢复电压UV3产生影响,过渡触头开断电流IV1和恢复电压UV1还会受到级间电压Ust与功率因数角
的影响。
由于负载水平Id、过渡电阻R、级间电压Ust对真空OLTC切换暂态特性的影响较为简单直观,而直流系统换相参数触发角α、换相角μ和功率因数角
之间存在耦合关系,对真空OLTC的影响较为复杂,因此本节定量分析了三者作为独立变量时对真空OLTC的影响,并进一步考虑三者间的耦合关系,分析其对真空OLTC切换暂态特性的作用机制。
文献[38]提出了换流变负载电流n次谐波含有率表达式为Yn=On/n×100%,该式定量解析了α及μ对换流变负载电流n次谐波含量的影响。由第1节解析计算可知,换流变负载电流是真空OLTC主通断触头与过渡触头的开断电流及恢复电压的重要组成部分,因此,触发角及换相角会对真空OLTC开断电流与恢复电压的谐波含量产生影响,从而影响开断电流与恢复电压的幅值与变化率。
直流输电系统正常运行时,α=10°~20°,μ= 15°~20°。当整流侧交流电压为530 kV、负载水平为1.0(pu)、过渡电阻R=4.3 Ω、α=10°~20°、μ= 15°~20°时,绘制真空OLTC开断电流幅值、恢复电压幅值、开断电流变化率、恢复电压变化率随α及μ的变化关系。触发角α和换相角μ对真空OLTC开断电流及恢复电压的影响如图2所示。过渡触头V1的开断电流幅值IV1m和恢复电压幅值UV1m均随α及μ的增大而减小。主通断触头V3的开断电流幅值IV3m和恢复电压幅值UV3m随μ的增大而减小,但IV3m和UV3m基本不随α变化而变化。触发角α和换相角μ对真空OLTC开断电流变化率及恢复电压变化率的影响如图3所示。由图3可知,V1开断电流变化率dIV1/dt、恢复电压变化率dUV1/dt、V3开断电流变化率dIV3/dt及恢复电压变化率dUV3/dt均随着α和μ的增大而减小。相较于触发角α,换相角μ对dIV3/dt及dUV3/dt的影响明显更大。
图2 α、μ对开断电流和恢复电压幅值的影响
Fig.2 The influence of α and μ on amplitudes of breaking current and recovery voltage
真空OLTC开断电流与恢复电压幅值的运行边界见表4。由表4可知,α和μ对开断电流及恢复电压幅值的影响均较小。在直流系统正常运行时,开断电流和恢复电压幅值的最大波动范围不超过3.86%。

图3 α、μ对开断电流变化率和恢复电压变化率的影响
Fig.3 The influence of α and μ on change rates of breaking current and recovery voltage
表4 开断电流和恢复电压幅值的运行边界
Tab.4 The operating boundaries of amplitudes of breaking current and recovery voltage
开断特征参数最大值最小值 IV1m/kA1.1041.063 UV1m/kV9.4909.142 IV3m/kA0.9510.946 UV3m/kV4.0894.068
真空OLTC开断电流与恢复电压变化率的运行边界见表5。由表5可知,不同于开断电流和恢复电压幅值,α和μ对开断电流变化率及恢复电压变化率的影响较大。在直流系统正常运行时,开断电流和恢复电压变化率的最大波动范围可达120.95%。
表5 开断电流和恢复电压变化率的运行边界
Tab.5 The operating boundaries of change rates of breaking current and recovery voltage
开断特征参数最大值最小值 dIV1/dt/(kA/s)639.85289.75 dUV1/dt/(kV/s)5 505.632 491.84 dIV3/dt/(kA/s)1 158.45838.33 dUV3/dt/(kV/s)4 981.353 604.83
过渡触头V1的开断电流和恢复电压的乘积项均含换流变负载电流IL与循环电流IC(IC=Ust/(2R))的矢量和,而换流变负载电流IL与级间电压Ust之间存在相位差,即功率因数角,因此过渡触头V1的开断电流和恢复电压还需考虑功率因数角的影响。主通断触头的开断电流和恢复电压仅与换流变负载电流有关,而与级间电压无关,因此功率因数角的变化并不会引起主通断触头开断电流幅值、恢复电压幅值、开断电流变化率、恢复电压变化率的变化。
假设其他影响V1开断电流和恢复电压的参数均不变,仅功率因数角变化。当整流侧交流电压为530 kV、负载水平为1.0(pu)、过渡电阻R=4.3 Ω、触发角为10°、换相角为15°、功率因数角在0°~90°范围内变化时,绘制真空OLTC开断电流幅值、恢复电压幅值、开断电流变化率、恢复电压变化率随功率因数角变化的关系,如图4a~图4d所示。
图4 功率因数角对开断电流和恢复电压的影响
Fig.4 The influence of power factor angle on breaking current and recovery voltage
在普通电力变压器OLTC中,当功率因数为1时,过渡触头的切换任务最重(开断电流与恢复电压幅值最大)[39]。然而,观察图4a和图4b可知,cos
= 1(
=0°)时并不是IV1m和UV1m达到最大值的时刻,说明在换流变真空OLTC中,过渡触头并不在cos
=1时切换任务最重。
当功率因数角
=0°~90°时,绘制真空OLTC开断电流有效值和恢复电压有效值随
的变化关系如图4e和图4f所示。图中,IV1rms和IV3rms分别表示V1和V3的开断电流有效值,UV1rms和UV3rms分别表示V1和V3的恢复电压有效值。观察图4e和图4f发现,V1开断电流有效值与恢复电压有效值随
的增大单调减小,且cos
=1(
=0°)时IV1rms和UV1rms最大,这与普通电力变压器OLTC中的情况一致。
本文在2.3节与2.4节中详细分析了触发角α、换相角μ、功率因数角作为独立影响因素时对真空OLTC切换过程电气应力的影响。然而,在实际工程中,触发角α、换相角μ、功率因数角之间存在耦合关系,如式(4)和式(7)所示[38]。
(7)
式中,Lr为换流变每相的等值换相电感;UL为交流侧线电压有效值。由式(7)可知,在某一实际特定直流工程系统中,当Lr、Id、UL不变时,μ的值取决于α。额定条件(Id=IdN,UL=UN,IdN和UN分别为直流侧电流和交流侧线电压额定值)下,触发角α随换相角μ变化的曲线如图5所示,可见随着触发角α的增大,换相角μ单调减小。

图5 μ随α变化曲线
Fig.5 The μ curve following α
因此,本节考虑触发角α、换相角μ、功率因数角间的耦合关系,分析真空OLTC切换暂态特性。
假设其他影响真空OLTC切换暂态特性的参数均不变,计及式(4)、式(7)的耦合关系,当整流侧交流电压为530 kV、负载水平为1.0(pu)、过渡电阻R=4.3 Ω、触发角α=0°~90°时,忽略17次以上谐波,真空OLTC开断特征参数变化情况如图6和图7所示。

图6 考虑耦合关系时真空OLTC的开断电流与恢复电压
Fig.6 The breaking current and recovery voltage of vacuum OLTC considering the coupling relationship
图7 考虑耦合关系时真空OLTC开断电流变化率与恢复电压变化率
Fig.7 The changing rates of the breaking current and the recovery voltage of vacuum OLTC considering the coupling relationship
相较于图2和图3中以触发角和换相角作为独立变量时的分析结果,考虑耦合关系时,真空OLTC开断电流与恢复电压幅值的变化并不是单调的。区别于功率因数角作为独立变量时的分析结果,由于触发角和换相角会影响谐波电流因子和功率因数角,从而会影响真空OLTC开断特征参数。因此,当考虑三者的耦合关系时,其对真空OLTC的开断特征参数的作用机制体现在两个方面:一是通过触发角和换相角直接影响开断电流和恢复电压的谐波电流因子,导致谐波含量变化;二是会引起功率因数角的变化。由于触发角、换相角、功率因数角深度耦合,这两个方面的影响无法单独分开讨论。
过渡电阻的合理选型是真空OLTC可靠切换的关键。换流变真空OLTC过渡电阻的匹配原则与普通电力变压器OLTC相同,共三条[30]:①改善触头切换任务;②提高触头电气寿命;③确保真空OLTC的工作可靠性。其中核心原则是确保真空OLTC的工作可靠性。然而,由于直流系统中换流变真空OLTC切换波形的特殊性,其过渡电阻匹配同样具有特殊性[2]。
3.1.1 改善触头切换任务
为改善真空OLTC触头切换任务,保证真空OLTC能够可靠开断,应使真空OLTC的开断电流和恢复电压尽可能小。由表1中解析式分析可知,当过渡电阻R较小时,真空OLTC的恢复电压较小。然而,过渡电阻值减小会导致过渡触头的开断电流增大,加剧过渡触头切换的难度,R的取值无法同时满足低开断电流和低恢复电压的要求。为平衡R对开断电流和恢复电压的影响,需计算真空OLTC的切换容量,求解使真空OLTC总切换容量最小的过渡电阻值。
通过第1节的解析方法可以计算得到换流变OLTC各触头的切换容量及总切换容量。真空触头的切换容量为触头的开断电流有效值与恢复电压有效值的乘积。相较于普通电力变压器的正弦负载电流,换流变谐波负载电流畸变严重,计算其有效值时需考虑各次谐波的影响,由此计算所得OLTC开断电流与恢复电压有效值也区别于普通电力变压器OLTC的结果。
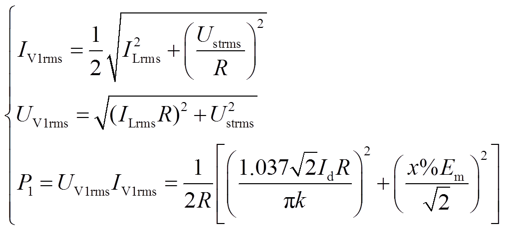
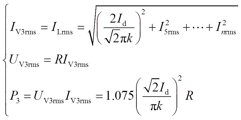
由表1和解析式(1)可知,主通断触头V3开断电流IV3=IL,在本节计算过程中,取极端工况On=1(μ=0°),并忽略17次及以上谐波。因此,可以求解主通断触头V3的开断电流有效值IV3rms、恢复电压有效值UV3rms、切换容量P3,表达式为
(8)
式中,
为
的有效值;Inrms为IL中n次谐波的有效值。
由于换流变负载电流IL与环流之间存在相位差
,当功率因数cos
=1(
=0°)时,对IV1rms条件最恶劣,因此,在本节的计算中,取cos
=1。同理可得过渡触头V1的开断电流有效值IV1rms、恢复电压有效值UV1rms、切换容量P1表达式为
(9)
式中,Ustrms为级间电压Ust的有效值。
因此,真空OLTC的总切换容量P为
(10)
3.1.1 提高触头电气寿命
过渡电阻影响过渡触头开断电流的大小,从而影响过渡触头的烧蚀程度。在真空OLTC中,只要其中一个真空触头烧损完结,则认为OLTC触头的电气寿命完结。因此,为提高真空OLTC的电气寿命,应匹配合适的过渡电阻值,使主通断触头和过渡触头的烧损尽可能均匀,也就是使二者的烧损量尽可能相等。触头烧损量A可表示[30]为
(11)
式中,N为真空OLTC切换次数;Km为触头材料常数;IVrms为真空触头开断电流有效值;γ为常数, 1≤γ≤2;
为触头燃弧平均时长。
当真空OLTC切换N次时,主通断触头V3切换N次,开断电流始终为IL。考虑到分接变换是往复进行的,当N足够大时,由统计分布规律分析可知,过渡触头开断电流分别为IV1a=(IL+Ust/R)/2和IV1b= (IL-Ust/R)/2的切换次数均为N/2[2],其中,IV1a表示由奇数分接挡位转换到偶数分接挡位时过渡触头的开断电流,IV1b表示由偶数分接挡位转换到奇数分接挡位时过渡触头的开断电流。IV1a的有效值IV1arms等同于式(9)中的IV1rms,同理可以计算IV1b的有效值IV1brms为
(12)
假设主通断触头和过渡触头的触头燃弧平均时间tr相等,则主通断触头和过渡触头的烧损量相等时应满足
(13)
整理计算可得
(14)
由于换流变OLTC开断电流与恢复电压有效值计算结果与普通电力变压器OLTC结果不同,所以主通断触头和过渡触头烧损量相等的过渡电阻匹配值也不相同。
3.1.3 确保真空OLTC的工作可靠性
过渡电阻匹配时,应使主通断触头上需要的开断容量小于两倍额定级容量[34],而主通断触头应具备在两倍最大额定负载电流和相关额定级电压下的开断容量。因此过渡电阻R应满足
(15)
式中,UstN为额定级电压。则有
(16)
由第1节解析计算结果可知,过渡电阻R越小,过渡触头开断电流越大,而过渡触头开断电流应小于换流变的短期急救负载电流的限值1.5(pu)[40],即
(17)
3.1.4 过渡电阻R的选型方法
由第1节分析可知,过渡触头开断电流变化率、过渡触头恢复电压变化率、主通断触头恢复电压变化率均受过渡电阻的影响,因此,应计算相应的开断电流变化率和恢复电压变化率数据来校核过渡电阻值。根据3.1.1~3.1.3节提出的三条过渡电阻匹配原则,结合工程需求以及真空OLTC电气应力变化率校核方法(详见第3.2节),提出真空OLTC过渡电阻选型方法,如图8所示。具体步骤如下:
1)获取直流系统参数。
2)根据改善触头切换任务匹配原则,计算主通断触头和过渡触头切换容量,以总切换容量为约束计算过渡电阻匹配值。
3)根据提高触头电气寿命匹配原则,以触头烧损量平衡为约束,基于不同触头材料计算过渡电阻匹配值。
4)根据确保真空OLTC的工作可靠性核心原则,以额定级容量和换流变短期急救负载电流限值为约束,计算过渡电阻匹配值。
5)根据不同工程需求,在满足真空OLTC的工作可靠性核心原则的前提下,选定过渡电阻值。
6)基于真空OLTC电气应力变化率校核方法对所选过渡电阻值进行校核验证,若校验成功,则获取真空OLTC在该直流系统下的过渡电阻值;若校验失败,检查并重复步骤1)~步骤5)。
图8 过渡电阻选型方法
Fig.8 Type selection method of transition resistance
以2.1节中±800 kV直流输电系统为例,对过渡电阻进行选型。为改善触头切换任务,在换流变额定负载电流IN和额定级电压UstN下,由式(10)、式(8)、式(9)绘制真空OLTC总切换容量P、主通断触头切换容量P3及过渡触头切换容量P1随过渡电阻R的变化关系,如图9所示。此时,IN=IdN,Ustrms=UstN=x%EN,EN为换流变额定相电压。
图9真空OLTC切换容量
Fig.9 Switching capacities of vacuum OLTC
由图9可知,P3随过渡电阻的增大而线性增大,P1和P随过渡电阻R的变化均存在极小值。当R= 5.835 Ω时,P1达到极小值。当R=Rm=3.369 Ω时,真空OLTC总切换容量P达到极小值。根据改善触头切换任务的匹配原则,当总切换容量最小时,过渡电阻R的匹配值应为3.369 Ω。
为提高触头寿命,满足主通断触头与过渡触头烧损量相同的条件,应在额定条件下由式(14)计算R的匹配值。其中,γ的取值由触头材料决定。触头材料为电解铜(E-Cu)时,γ=1[2],计算得R的匹配值为2.895 Ω;触头材料为Cu-W时,γ=2,此时R的匹配值应为2.917 Ω。
为确保真空OLTC的工作可靠性,使主通断触头上需要的开断容量小于两倍额定级容量,由式(16)得到R<5.835 Ω。限制过渡触头开断电流小于换流变短期急救负载电流限值,将式(9)中的恢复电压有效值IV1rms代入式(17)中得到R>2.063 Ω。
确保真空OLTC的工作可靠性是真空OLTC过渡电阻选型的核心原则,因此过渡电阻R的推荐取值范围为2.063 Ω<R<5.835 Ω。基于第①条和第②条匹配原则计算得到的R值均在上述范围内。
在选定过渡电阻值之后,进一步计算该选型结果下真空OLTC相应的开断电流变化率和恢复电压变化率校核数据,用于校验在此高电气应力变化率下OLTC能否可靠开断。
通过第1节换流变真空有载分接开关切换过程电气应力解析方法计算得到2.1节中±800 kV直流输电系统的开断性能校核曲线。在额定条件(Id=IdN,Ust= x%EN)下,根据3.1节过渡电阻推荐取值范围,作过渡电阻R为2.063、3.369、4.3、5.835 Ω时,真空OLTC的开断电流变化率与恢复电压变化率校核曲线,分别如图10、附图1~附图3所示。并列出四种过渡电阻匹配条件下,开断电流变化率与恢复电压变化率取值,分别见表6、附表1~附表3。
图10 开断电流变化率与恢复电压变化率校核曲线(R=2.063 Ω)
Fig.10 Curves of change rates of breaking current and recovery voltage (R=2.063 Ω)
由结果可知,与过渡电阻取值无关,随着α的增大,V3开断电流变化率dIV3/dt与恢复电压变化率dUV3/dt均增大。当α较大(α≥80°)时,dIV3/dt(dUV3/dt)随α的变化趋于平缓。由2.3节可知,在直流系统正常运行工况下,当α作为单独变量分析时,它的增大会导致dIV3/dt(dUV3/dt)减小,但dIV3/dt(dUV3/dt)对α的变化并不敏感。
另一方面,当α增大时,μ减小。由2.3节分析得知,dIV3/dt(dUV3/dt)关于μ的灵敏度远大于dIV3/dt(dUV3/dt)关于α的灵敏度,dIV3/dt(dUV3/dt)对μ的变化更敏感,且dIV3/dt(dUV3/dt)随μ的减小而增大。因此,α增大导致μ的减小是使dIV3/dt(dUV3/dt)随α的增大而增大的决定性因素。随着α的增大,过渡触头V1开断电流变化率dIV1/dt与恢复电压变化率dUV1/dt的变化并不单一。
表6 开断电流变化率与恢复电压变化率(R=2.063 Ω)
Tab.6 Change rates of breaking current and recovery voltage (R=2.063 Ω)
α/(°)dIV1/dt/(kA/s)dIV3/dt/(kA/s)dUV1/dt/(kV/s)dUV3/dt/(kV/s) 10451.978441 864.821 741.18 15401.27907.911 655.631 873.02 20374.23979.531 544.052 020.78 30450.21 097.911 857.522 264.98 40393.581 174.841 623.922 423.69 50396.971 222.271 637.922 521.54 60648.581 250.972 676.052 580.75 70715.331 267.382 951.442 614.62 80586.021 274.892 417.902 630.10 90376.751 274.791 554.472 629.90
由图10、附图1~附图3可以看出,在过渡电阻推荐取值范围内,dIV3/dt校核曲线始终大于dIV1/dt校核曲线,因此,应以dIV3/dt校核曲线作为最严苛工况对真空OLTC开断性能进行校验。然而,不同于开断电流变化率,在不同R取值下,均存在dUV1/dt>dUV3/dt的工况。因此,在真空OLTC开断性能校验时,不仅应关注主通断触头的开断电流变化率与恢复电压变化率,还应选取dUV1/dt和dUV3/dt中的较大值(max{dUV1/dt, dUV3/dt})作为恢复电压变化率的校核标准。
真空OLTC开断电流变化率(dIV3/dt)不随过渡电阻值变化,但过渡电阻的增大会增大恢复电压变化率(max{dUV1/dt, dUV3/dt})。因此,选取过渡电阻值后,应计算开断电流变化率与恢复电压变化率校核曲线用于OLTC试验校核,从而确保真空OLTC能够在该阻值下可靠开断。
本文基于换流变真空有载分接开关切换过程电气应力解析方法,计及触发角、换相角、功率因数角的耦合关系,对换流变真空OLTC切换暂态特性进行定量分析,提出过渡电阻选型方法与电气应力变化率校核方法,主要得到以下结论:
1)本文系统性地定量分析了触发角、换相角、功率因数角对真空OLTC开断特征参数的影响规律。并且进一步考虑三者之间的耦合关系,揭示了触发角α和换相角μ对真空OLTC切换暂态特性的影响体现在负载电流谐波含量及功率因数角两方面。
2)以某实际±800 kV特高压直流输电工程为算例,对真空OLTC过渡电阻进行灵活配置与校核,确保真空OLTC在最大开断电流变化率与恢复电压变化率下仍能可靠开断。
3)本文提出的方法具有普适性,可通过求解真空OLTC切换过程电气应力表达式,并根据不同直流输电系统参数,实现任意拓扑结构的真空OLTC切换暂态特性定量分析与过渡电阻选型。
附 录
附图1 开断电流变化率与恢复电压变化率校核曲线(R=3.369 Ω)
App.Fig.1 Curves of change rates of breaking current and recovery voltage (R=3.369 Ω)
附图2 开断电流变化率与恢复电压变化率校核曲线(R=4.3 Ω)
App.Fig.2 Curves of change rates of breaking current and recovery voltage (R=4.3 Ω)
附图3 开断电流变化率与恢复电压变化率校核曲线(R=5.835 Ω)
App.Fig.3 Curves of change rates of breaking current and recovery voltage (R=5.835 Ω)
附表1 开断电流变化率与恢复电压变化率(R=3.369Ω)
App.Tab.1 Change rates of breaking current and recovery voltage (R=3.369 Ω)
α/(°)dIV1/dt/(kA/s)dIV3/dt/(kA/s)dUV1/dt/(kV/s)dUV3/dt/(kV/s) 10407.68442 746.442 843.45 15361.56907.912 436.223 058.76 20283.53979.531 910.413 300.05 30208.31 097.911 403.553 698.84 40306.241 174.842 063.433 958.03 50189.841 222.271 279.114 117.82 60329.681 250.972 221.424 214.51 70513.031 267.383 456.814 269.82 80549.261 274.893 700.884 295.1 90465.51 274.793 136.554 294.78
附表2 开断电流变化率与恢复电压变化率(R=4.3 Ω)
App.Tab.2 Change rates of breaking current and recovery voltage (R=4.3 Ω)
α/(°)dIV1/dt/(kA/s)dIV3/dt/(kA/s)dUV1/dt/(kV/s)dUV3/dt/(kV/s) 10418.458443 598.653 629.22 15392.95907.913 379.343 904.03 20341.68979.532 938.444 212 30144.851 097.911 245.734 721 40222.861 174.841 916.615 051.8 502301 222.271 977.975 255.75 60136.121 250.971 170.685 379.17 70380.781 267.383 274.75 449.76 80480.851 274.894 135.285 482.03 90479.411 274.794 122.895 481.61
附表3 开断电流变化率与恢复电压变化率(R=5.835 Ω)
App.Tab.3 Change rates of breaking current and recovery voltage (R=5.835 Ω)
α/(°)dIV1/dt/(kA/s)dIV3/dt/(kA/s)dUV1/dt/(kV/s)dUV3/dt/(kV/s) 10434.768445 073.74 924.77 15431.54907.915 036.145 297.68 20415.28979.534 846.295 715.58 30322.751 097.913 766.536 406.28 40105.421 174.841 230.196 855.18 50187.541 222.272 188.587 131.94 60173.251 250.972 021.827 299.4 701451 267.381 692.27 395.2 80336.641 274.893 928.657 438.98 90412.011 274.794 808.147 438.42
参考文献
[1] Xiahou D, Zhao T, Yi X Q, et al. Electromagnetic transient simulation analysis on electrical fault of vacuum type on-load tap changer in converter transformer[J]. IET Conference Proceedings, 2022, 2021(15): 1314-1319.
[2] 张德明. 变压器真空有载分接开关[M]. 北京: 中国电力出版社, 2015.
[3] Samadi A, Eriksson R, Soder L, et al. Coordinated active power-dependent voltage regulation in distribution grids with PV systems[J]. IEEE Transactions on Power Delivery, 2014, 29(3): 1454-1464.
[4] 李想, 杨骁, 刘伟, 等. 非对称星型混合式有载分接开关切换时序分析及其优化[J]. 电工电能新技术, 2025, 44(1): 10-22. Li Xiang, Yang Xiao, Liu Wei, et al. Switching timing analysis and optimization of hybrid on load tap changer with asymmetric-star topology[J]. Advanced Technology of Electrical Engineering and Energy, 2025, 44(1): 10-22.
[5] 张德明. 真空分接开关技术的论述(1)[J]. 变压器, 2011, 48(8): 54-56.
[6] 高煜, 赵学童, 李刚, 等. 换流变压器用有载分接开关过渡电阻温升的动态仿真[J]. 电工技术学报, 2025, 40(7): 2226-2235. Gao Yu, Zhao Xuetong, Li Gang, et al. Simulation on dynamic temperature rise of transition resistance in on-load tap-changer used in converter transformer[J]. Transactions of China Electrotechnical Society, 2025, 40(7): 2226-2235.
[7] Qian Guochao, Dai Weiju, Hong Zhihu, et al. Electrical stress analysis for vacuum on-load tap-changer transition circuits under the influence of harmonic currents[C]//2023 IEEE International Conference on Power Science and Technology (ICPST), Kunming, China, 2023: 370-375.
[8] 吕玮, 陈羽, 孙超, 等. 分体分步式换流变有载分接开关研制[J]. 高压电器, 2024, 60(1): 154-162. Lü Wei, Chen Yu, Sun Chao, et al. Development of split-step on-load tap-changer for converter transformer [J]. High Voltage Apparatus, 2024, 60(1): 154-162.
[9] 王绍武, 李鹏, 李金忠, 等. 变压器真空有载分接开关研究综述[J]. 中国电机工程学报, 2022, 42(18): 6893-6908. Wang Shaowu, Li Peng, Li Jinzhong, et al. Overview of transformer vacuum-type on-load tap changers[J]. Proceedings of the CSEE, 2022, 42(18): 6893-6908.
[10] 薛振华, 孙继星, 闫胜春, 等. 直流条件下真空断路器开断过程重击穿特性[J]. 电气工程学报, 2025, 20(3): 300-308. Xue Zhenhua, Sun Jixing, Yan Shengchun, et al. Restrike characteristic of vacuum breaker in its open process under DC voltage[J]. Journal of Electrical Engineering, 2025, 20(3): 300-308.
[11] 王季梅. 真空开关的现状及发展趋势[J]. 电力设备, 2005(2): 1-5. Wang Jimei. Present situation and development tendency of vacuum switch[J]. Electrical Equipment, 2005(2): 1-5.
[12] 程显, 白青林, 葛国伟, 等. 真空与气体一体化串联机械开关及其直流快速转移应用[J]. 电工技术学报, 2024, 39(5): 1464-1473. Cheng Xian, Bai Qinglin, Ge Guowei, et al. High speed switch with series-connected vacuum and gas interrupters and its DC fast transfer application[J]. Transactions of China Electrotechnical Society, 2024, 39(5): 1464-1473.
[13] 王海涛, 王彦岭, 李书舸, 等. 不同电流下Ce掺杂AgCuO触头材料转移行为研究[J]. 电工技术学报, 2025, 40(2): 574-586. Wang Haitao, Wang Yanling, Li Shuge, et al. Study of materials transfer behavior of Ce-doped AgCuO contact materials at different current levels[J]. Transactions of China Electrotechnical Society, 2025, 40(2): 574-586.
[14] 夏承东, 田保红, 刘平, 等. CuCr合金触头材料的研究现状[J]. 铸造技术, 2007, 28(1): 139-141. Xia Chengdong, Tian Baohong, Liu Ping, et al. Current research status on CuCr alloy for contact material[J]. Foundry Technology, 2007, 28(1): 139-141.
[15] Li Wangpei, Thomas R L, Smith R K. Effects of Cr content on the interruption ability of CuCr contact materials[J]. IEEE Transactions on Plasma Science, 2001, 29(5): 744-748.
[16] 陈艺煌, 邵振国, 林俊杰, 等. 融合多源量测数据的区间型抗差谐波状态估计[J]. 电工技术学报, 2024, 39(23): 7394-7405. Chen Yihuang, Shao Zhenguo, Lin Junjie, et al. Interval harmonic robust state estimation method based on multi-source measurement data fusion[J]. Transactions of China Electrotechnical Society, 2024, 39(23): 7394-7405.
[17] Kim C K, Sood V K, Jang G S, et al. HVDC Transmission: Power Conversion Applications in Power Systems[M]. New York: Wiley-IEEE Press, 2009.
[18] 沈大中, Axel Kraemer, Dieter Dohnal. 真空有载分接开关在高压直流换流变压器中的运用[J]. 南方电网技术, 2011, 5(1): 25-28. Shen Dazhong, Kraemer A, Dohnal D. Application of vacuum on-load tap-changers in HVDC converter transformers[J]. Southern Power System Technology, 2011, 5(1): 25-28.
[19] Shen Dazhong, Kraemer A, Dohnal D. Vacuum switching technology improves the switching capacity of on-load tap-changers in HVDC applications [C]//2006 International Conference on Power System Technology, Chongqing, China, 2006: 1-6.
[20] 朱英浩, 沈大中. 有载分接开关电气机理[M]. 北京: 中国电力出版社, 2012.
[21] 张长虹, 范广伟, 邓军, 等. 换流变真空有载分接开关谐波电流切换试验技术的研究与分析[J]. 高压电器, 2025, 61(2): 26-34. Zhang Changhong, Fan Guangwei, Deng Jun, et al. Research and analysis on harmonic current switching test technology of vacuum type on-load tap-changer for converter transformer[J]. High Voltage Apparatus, 2025, 61(2): 26-34.
[22] 杨鸣, 赵小涵, 司马文霞, 等. 单相变压器内部短路多尺度故障分析模型构建方法[J]. 电工技术学报, 2025, 40(13): 4085-4099. Yang Ming, Zhao Xiaohan, Sima Wenxia, et al. Construction method of multi-scale fault analysis model for single-phase transformer with internal short circuit[J]. Transactions of China Electrotechnical Society, 2025, 40(13): 4085-4099.
[23] 杨鸣, 黄琳榆, 孙金昊, 等. 变压器类装备电磁暂态模型构建技术综述[J]. 高电压技术, 2025, 51(1): 1-20. Yang Ming, Huang Linyu, Sun Jinhao, et al. Review of transformer modeling technologies for electromagnetic transient analysis[J]. High Voltage Engineering, 2025, 51(1): 1-20.
[24] 闫晨光, 张芃, 徐雅, 等. 换流变压器有载分接开关级间短路故障差动保护动作特性[J]. 电工技术学报, 2023, 38(21): 5878-5888, 5912. Yan Chenguang, Zhang Peng, Xu Ya, et al. Differential protection performance for converter transformer intertap short-circuit faults in on-load tap changers[J]. Transactions of China Electrotechnical Society, 2023, 38(21): 5878-5888, 5912.
[25] 司马文霞, 刘蕙, 厉璇, 等. 换流变压器真空有载分接开关切换过程电气应力解析方法[J]. 中国电机工程学报, 2022, 42(18): 6908-6919. Sima Wenxia, Liu Hui, Li Xuan, et al. Analysis method of electrical stresses during switching process of vacuum on-load tap-changer in converter transformers [J]. Proceedings of the CSEE, 2022, 42(18): 6908-6919.
[26] 吉锋. 变压器的有载分接开关(上)[J]. 变压器, 1986, 23(4): 2-17.
[27] 张德明. 提高ZY1A型有载分接开关可靠性(上)[J]. 变压器, 1990, 27(11): 4-9.
[28] 刘雪丽, 李金忠, 高飞, 等. ±800kV换流变压器用真空式有载分接开关关键技术研究[J]. 中国电机工程学报, 2016, 36(19): 5350-5356, 5417. Liu Xueli, Li Jinzhong, Gao Fei, et al. Key technology research for vacuum type on-load tap-changer of ±800kV direct current convertor transformers[J]. Proceedings of the CSEE, 2016, 36(19): 5350-5356, 5417.
[29] 沈大中, Axel Kraemer, Dieter Dohnal. 真空有载分接开关在高压直流换流变压器中的运用[J]. 电气制造, 2011(3): 52-56.
[30] 张德明. 分接开关过渡电阻匹配的探讨与计算[J]. 上海电器技术, 2006(1): 17-26. Zhang Deming. Discuss and calculate for transition resistance of tap changer[J]. Shanghai Electric Appliance Technology, 2006(1): 17-26.
[31] 国家能源局. 换流变压器有载分接开关使用导则: DL/T 2003—2019[S]. 北京: 中国电力出版社, 2020.
[32] 张德明. 浅论真空有载分接开关研发技术的要素(上)[J]. 变压器, 2014, 51(7): 35-40. Zhang Deming. Brief discussion on key factors of development technology of vaccum on-load tap- changer[J]. Transformer, 2014, 51(7): 35-40.
[33] 李鹏, 李金忠, 汪可, 等. 一种带隔离触头的真空有载分接开关过渡电路及调压方法: CN111986902A [P]. 2020-11-24.
[34] 朱英浩, 沈大中. 换流变压器用有载分接开关[M]. 北京: 中国电力出版社, 2016.
[35] 王兆安, 刘进军, 王跃, 等. 谐波抑制和无功功率补偿[M]. 3版. 北京: 机械工业出版社, 2016.
[36] (奥)George J. Wakileh. 电力系统谐波: 基本原理、分析方法和滤波器设计[M]. 徐政, 译. 北京: 机械工业出版社, 2011.
[37] 国家电网公司. 特高压直流输电技术研究成果专辑(2012年)[M]. 北京: 中国电力出版社, 2015.
[38] 韩民晓, 文俊, 徐永海. 高压直流输电原理与运行[M]. 3版. 北京: 机械工业出版社, 2020.
[39] (德)科雷默尔. 有载分接开关原理和应用[M]. 沈祖俊, 译. 沈阳: 辽宁科学技术出版社, 2006.
[40] 国家质量监督检验检疫总局, 中国国家标准化管理委员会. 电力变压器第7部分:油浸式电力变压器负载导则: GB/T 1094.7—2008[S]. 北京: 中国标准出版社, 2009.
Abstract The vacuum on-load tap-changer (OLTC) enables continuous voltage regulation in converter transformers. In HVDC systems with a high proportion of power electronic devices, the interaction of multiple factors—such as trigger angle, commutation angle, and power-factor angle—generates substantial harmonics, leading to complex transient behavior during vacuum OLTC operation. This results in high rates of change of breaking current and recovery voltage, complicating the switching process. Existing research lacks a systematic analysis of the transient characteristics during vacuum OLTC switching. Moreover, the appropriate selection of transition resistance is essential for reliable OLTC operation. The selection methods for transition resistance in converter transformer OLTCs follow traditional AC approaches, neglecting the influence of resistance on high switching electrical stress.
In this work, the coupling relationship among trigger angle, commutation angle, and power factor angle was investigated, and their collective impact on the transient characteristics of vacuum OLTC switching was revealed. First, based on an analysis method for electrical stresses during the switching process of vacuum on-load tap-changer in converter transformer, the load current of the converter transformer was accurately characterized. A vacuum OLTC with isolated contacts and a “three vacuum tubes, double resistance” configuration was used as the research object, and analytical expressions for breaking characteristic parameters—such as breaking current, recovery voltage, and their rates of change—were derived. Second, a transition resistance selection method tailored for converter transformer vacuum OLTCs was proposed, which specifically considered the influence of the transition resistance on the high rates of change of breaking current and recovery voltage. Based on these analytical expressions, a recommended range for transition resistance was determined, taking the rated step power and short-term emergency load current limit of the converter transformer considered as primary constraints. The transition resistance that minimized the total switching capacity was identified by calculating the switching capacity of main and transition contacts. Under the principle of balanced contact erosion loss, matching resistance values were obtained for different contact materials, allowing flexible selection according to engineering requirements. Finally, the selected resistance was validated using an electrical stress rate-of-change verification method.
Taking an actual ±800 kV UHVDC transmission project as an example, the variation patterns of OLTC breaking characteristics are quantitatively analyzed with trigger angle, commutation angle, and power-factor angle as variables. The coupling effects among these parameters on switching transients are further examined. Results indicate that the trigger angle α and commutation angle μ influence the transient characteristics through both harmonic content in the load current and the power-factor angle. The transition resistance is selected and verified accordingly. To ensure OLTC reliability, the recommended transition resistance range is 2.063 Ω<R<5.835 Ω. When minimizing total switching capacity, R=3.369 Ω is suitable; for E-Cu and Cu-W contact materials, the matching values are 2.895 Ω and 2.917 Ω, respectively. The proposed method offers broad applicability. By solving analytical expressions for OLTC breaking characteristic parameters and selecting the corresponding parameters according to different HVDC systems, quantitative analysis of switching transients and transition resistance selection can be performed for any topology.
Keywords:Vacuum on-load tap-changer, converter transformer, HVDC, switching transient characteristics, transition resistance
DOI: 10.19595/j.cnki.1000-6753.tces.250244
中图分类号:TM403.4; TM721.1
国家重点研发计划资助项目(2021YFB2402100)。
收稿日期 2025-02-18
改稿日期 2025-10-19
柴建龙 男,2000年生,博士研究生,研究方向为变压器/换流变有载分接开关电磁暂态建模与故障防护。E-mail:202311131258@stu.cqu.edu.cn
杨 鸣 男,1987年生,教授,博士生导师,研究方向为交直流电网电磁暂态特性分析与防护、变压器类装备电磁暂态建模与应用、新型直流装备电磁暂态建模与应用。E-mail:cqucee@cqu.edu.cn(通信作者)
(编辑 李 冰)