摘要 现有对电触头电弧烧蚀特性的探测研究多集中于高速相机拍摄燃弧动态演变过程,尚缺乏针对弧后瞬态场的观测分析,而触头电弧烧蚀这一物理过程会引起触头周围流场的剧烈扰动,研究弧后瞬态场演化特性及其与触头耐烧蚀性能的关系具有重要意义。该文搭建了可观测电触头烧蚀弧后瞬态场的高速纹影系统,通过分析瞬态场演化特性与烧蚀机理的内在联系提出耐烧蚀性能评估表征量;并且建立了石墨烯/铜钨触头的动态冷却速率模型,根据弧后瞬态场变化特征量揭示了石墨烯增强铜钨合金耐烧蚀性能的机制。结果表明,掺杂质量分数为0.15%石墨烯的CuW80Gr触头,电弧烧蚀剧烈程度显著降低,表现为其纹影图像灰度差绝对均值数据的平均值为CuW80触头的64%,气体密度恢复至常态的时间显著缩短,仅为CuW80触头的58%;燃弧后CuW80Gr触头弧隙表层温度始终低于CuW80触头,其弧隙气流柱轴心温度数据均值仅为CuW80触头的71%,可以更有效地抵抗电弧侵蚀。石墨烯对铜钨合金触头的增强机制体现为石墨烯掺杂改性促进材料表面热量向内部快速扩散,从而提升了复合材料的散热性能。研究结果可为设计具备更高耐烧蚀性能的石墨烯改性电触头材料提供参考。
关键词:石墨烯/铜钨触头 弧后瞬态场 烧蚀剧烈程度 表层温度 耐烧蚀性能 增强机制
特高压电网已成为能源传输的关键载体,我国目前已实现了“西电东送、北电南供”,助力国家实现“双碳”目标。构建以新能源为主体的新型电力系统对输变电设备的稳定性提出了更高要求。高压断路器在大电网安全运行中至关重要,而触头材料的耐烧蚀性能是影响其使用寿命的主要因素[1-4]。
石墨烯作为新型纳米增强相,凭借其多维度的卓越特性在金属基复合材料领域展现出独特优势,近年来,该材料已在提高金属综合性能方面得到广泛应用[5-6]。韩智云等通过动力学模拟与微观表征,引入双温模型-分子动力学方法,揭示了石墨烯的增强机制及其对耐烧蚀性能的影响[7]。Dong Longlong等制备了石墨烯/W70Cu30复合材料,研究表明石墨烯的引入显著提高了材料的硬度、电导率、润湿性和耐电弧烧蚀能力[8]。李俊科等建立了介观尺度的CuW80电弧烧蚀元胞自动机模型,并提出了烧蚀速率、完全烧蚀热流等评估参数,揭示了石墨烯的增强机制[9]。以上研究从模拟仿真和材料制备检测方面探讨了石墨烯对铜钨合金触头的增强作用,然而目前尚缺少相关研究能够基于燃弧实验瞬态现象,对石墨烯掺杂改性的铜钨触头进行耐烧蚀性能评估,并深入探究其增强机制。
电弧烧蚀是一种在ms级时间尺度下、极小空间内发生的剧烈复杂物理过程[10],涉及热吸收、热传导、晶体蒸发气化、熔化凝固等多种复杂相变,同时伴随材料高温熔融、液滴飞溅等多种动态变化。这一过程会引起触头周围流场的剧烈扰动,因此,对弧后瞬态场进行观测,并且分析其演化特性与烧蚀机理之间的联系,对探究材料的耐烧蚀性能具有重要意义。使用高速相机直接拍摄仅可以看到电弧的光学形态,难以对烧蚀引起的周围流场扰动等现象进行观测[11]。因此,亟须一种能够观测烧蚀弧后瞬态场演变全过程的探测技术,进而开展电弧烧蚀弧后瞬态场观测与耐烧蚀性能评估。
纹影技术作为一种非接触式光学测量方法,通过将气体密度分布的非均匀性转换为图像中的亮度差异,能够在不干扰样品的情况下直观地获取流场数据[12]。Toepler透射式纹影系统逐渐用于长空气间隙放电的流注茎和先导通道的观测中[13-14],并以此对其气体运动特性与密度恢复特性展开分析[11,15-16]。袁涛等[17]利用高速纹影技术研究了半密闭腔室内冲击闪络电弧演变及弧后气体逸散特性,发现U型电极较球形电极更能加速电弧运动,且半密闭腔室具有主动“吹弧”作用。采用纹影技术可以清晰地捕捉触头材料烧蚀过程及其导致的气体密度变化、金属液滴飞溅等现象,为本研究提供了可行的探测手段。
因此,本文搭建了用于观测触头材料样品电弧烧蚀弧后瞬态场的高速纹影系统,对弧后瞬态场进行观测,并分析其演化特性与烧蚀机理之间的联系,根据所获得的实验参量对石墨烯掺杂改性触头耐烧蚀性能展开评估,进一步探究石墨烯对铜钨触头的增强机制。
本文搭建了一种基于透射式纹影系统的电触头材料样品电弧烧蚀观测平台,如图1所示,其可分为触头材料电弧烧蚀系统和高速纹影观测系统两部分。
触头材料电弧烧蚀系统主要由能量供给单元、控制模块和测量系统构成。能量供给单元包含充电装置和储能电容,并配备阻尼电感以抑制并联充电时可能出现的电容器短路浪涌电流。系统采用大通流能力的气体间隙开关作为主控开关,配合泄能电阻和触发控制台实现精确控制。测量系统配置Tektronix P6 015A高压探头(衰减比为1 000:1,量程为20 kV)和PEM CWT1 500型电流互感器(灵敏度为0.02 mV/A,量程为300 kA),分别用于实时监测烧蚀平台的电压和电流参数。为确保测量安全,通过隔离变压器使示波器对地悬空,有效地避免高压回路对测量设备的潜在损害。烧蚀平台腔体两侧配备可拆卸的直径为300 mm的K9材质玻璃观测窗,其具有高透光率和低色散特性,适用于光学观测和高精度测量。
图1 基于透射式纹影系统的电触头材料样品电弧烧蚀观测平台
Fig.1 Arc ablation observation platform for electrical contacts material samples based on transmission schlieren system
纹影系统的基本原理是将透明流体介质的扰动转换为纹影图像上灰度值的变化,从而实现区域密度变化的可视化[16],因此该方法非常适用于触头电弧烧蚀弧后瞬态场的观测。为防止色散并增强观测对象的对比度,高速纹影观测系统由中心波长为530 nm的大功率LED光源、聚光镜组、狭缝光阑、两块相同的凸透镜(准直透镜和聚焦透镜)、刀口和高速相机共轴排列组成。为了提高系统的灵敏度,设计准直透镜和聚焦透镜的通光口径和焦距分别为130 mm和1 300 mm,均采用K9型号玻璃加工制作;聚光镜组与纹影准直透镜构成开普勒望远镜结构,光源光束经聚光镜后汇聚于狭缝光阑上,以获得规则、均匀、可调整的二次光源。聚光镜组孔径角与纹影准直镜的孔径角相等,焦距为100 mm,聚光镜相对孔径D/f=1/8(D为通光口径,f为焦距)。高速相机为Photron FASTCAM Mini UX100,最高拍摄帧率为204 800帧/s。触头材料电弧烧蚀弧后瞬态场动态演化过程持续约200 ms,为满足分析需求,将高速相机的拍摄帧率调至6 250帧/s,即纹影系统的时间分辨率为160 μs,单帧纹影图像的曝光时间设置为50 μs,对应的空间分辨率为90 μm/pixel。通过系统校准与灰度均匀性检测,所拍摄无扰动时的纹影图像灰度标准差为2.70,表明图像灰度分布较为均匀,可满足实验观测及分析要求。
参考文献[7]中石墨烯掺杂铜钨触头的最优比例,本文采用高温烧结熔渗法制备了两种触头材料样品:常规CuW80合金与含质量分数为0.15%石墨烯的CuW80Gr复合材料,样品均为直径为30 mm、高度为20 mm的圆柱体,具体形貌如图2a所示。在电弧烧蚀实验中,触头样品以70 μm的固定间隙平行安装在烧蚀平台的铜制基座上,烧蚀平台基座如图2b所示。实验在室内开展,室温为288 K,相对湿度为52%,气压为102 200 Pa,电流波形选为脉冲波形,电容器充电电压为1 kV,分别对两种触头材料开展电弧烧蚀实验。
图2 触头材料样品与烧蚀平台基座
Fig.2 Contact material samples and ablation base
1.2.1 瞬态场气体密度演化特性表征方法
根据纹影系统的成像原理,观测区域内气体密度或温度的空间非均匀分布会引起气体折射率的变化,进而形成灰度分布不均的纹影图像。对比电弧产生前后的纹影图像,可直观地发现弧后瞬态场气体密度在时空上的恢复演化规律。当气体密度分布不均匀时,会同时存在低密度与高密度区域,加之刀口切割作用,灰度值出现亮暗不均现象。若采用平均灰度值进行表征,则低密度和高密度区域相互抵消,无法准确地反映密度变化的真实特征。为此,本文采用纹影图像灰度差绝对均值ΔG作为评价气体密度变化剧烈程度的指标,基于气体-环境密度差异的检测原理,避免灰度变化相互抵消。ΔG表达式为
(1)
式中,N为选定区域内像素点的总数;Gi为处理图像中第i个像素点的灰度值;Gbg,i为无扰动时图像中第i个像素点的灰度值。但ΔG主要反映气体密度变化的剧烈程度,难以直观显示出其演变情况,为进一步定量描述气体密度演化情况[15],定义气体密度恢复程度K,表达式为
(2)
式中,ΔGt为t时刻纹影图像中所选区域的灰度差绝对均值;ΔGs为烧蚀发生前同一区域的灰度差绝对均值;ΔGm为参考值,选取流场变化较为剧烈的时间点m对应的ΔG值。根据式(2),当0≤t≤m时,K值从1减少到0,表示气体密度从烧蚀发生前变化到弧后剧烈扰动状态;当t>m时,K值开始恢复至1,表明气体密度逐渐恢复至烧蚀前的状态;当烧蚀前后各像素点灰度值完全相同时,K=1。
1.2.2 定量纹影系统瞬态温度反演方法
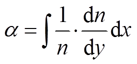
纹影系统是一种基于刀口阴影法设计的温度场分布测量仪,通过刀口部件对低频分量进行空间滤波来展示待测区域的细节,从而达到可视化效果[18]。纹影系统光路原理示意图如图3所示,光源发出的光经过准直透镜形成平行光束,穿过触头烧蚀扰动区域。由于温度变化会导致温度场的折射率梯度发生变化,使光线发生微小的偏转,形成偏折角α,定量纹影法的成像灰度变化与气体折射率n分布的一阶导数成正比,在此条件下定量纹影法具有很好的测量灵敏度。接着,光束通过聚焦透镜在其焦点处聚焦成光斑,刀口部件位于透镜的焦平面上,通过切割光斑调节光线透过量。
图3 纹影系统光路原理示意图
Fig.3 Schlieren system optical path schematic diagram
当扰动流场在y方向有折射率梯度且dn/dy<0时,沿x方向入射的光会向-y方向偏折,偏折角为
(3)
若温度场关于z轴对称,光线沿平行于x轴方向传播,温度场半径为R,则在z轴的某横截面内,光在轴对称温度场的偏折如图4所示,y轴方向的折射率梯度为径向距离r的函数,且大于R位置的折射率均匀分布,则对于任意通过0≤y≤R的光线,其偏折角α [19-20]为
图4 光在轴对称温度场的偏折
Fig.4 Deflection of light in an axisymmetric temperature field
(4)
式中,n0为环境气体的折射率。式(4)为典型Abel方程,对其逆变换得到径向的折射率分布[21-22]为
(5)
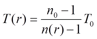
再由格拉斯通-戴尔(Gladstone-Dale)定律与理想气体状态方程和气体密度定义推导可知,当压力一定时,径向温度分布与折射率关系为
(6)
式中,T(r)为轴对称温度场温度径向分布;T0为实验时的环境温度。
从以上原理可看出,纹影法反演温度场的关键在于获取其中的光线偏折角α,根据图3中的纹影系统光路,当光线穿过烧蚀扰动区域后会发生偏转,其偏折角为α,由于聚焦透镜的汇聚作用,发生偏折后光线在刀口位置处产生一定的偏移量Δa,根据焦平面的性质得出偏折角与光线在刀口处偏移量关系为
(7)
式中,
为聚焦透镜的焦距。本实验平台中,
已知为1 300 mm,故测量出刀口偏移量Δa即可根据式(7)简单地计算获取光线偏折角。
由于纹影图像反映了光线穿过测试区域后的灰度变化,因此需要将图像灰度值与光线偏移量Δa相关联,对此采用定标纹影法[23]。具体实施过程为:确保整个光路处于无扰动状态,刀口从未遮挡光斑的位置开始,以恒定步距切割光斑并同步采集图像,获得亮度梯度均匀的灰度分布图像。基于纹影图像有效区域像素灰度的平均值,建立了如图5所示的标定曲线;在烧蚀实验中,刀口切割于光斑中心,可以最大化系统的动态测量范围,并且确保灰度变化具有良好的线性特性[24]。
根据标定曲线使用插值函数即可将横截面灰度值转换为对应的刀口切割量。光线在刀口面上偏移导致纹影图像灰度值变化,而刀口切割光斑面积的改变也同样会导致灰度值发生相应变化,因此标定曲线中的刀口切割量与纹影光路中的光线偏移量Δa为等价关系[25]。
图5 标定曲线与参考位置
Fig.5 Calibration curve and reference position
2.1.1 弧后瞬态场纹影图像
本文进行了多次实验,结果具有良好的一致性,选取其中一组典型的石墨烯/铜钨触头电弧烧蚀及弧后瞬态场纹影观测结果进行展示,如图6所示。由于高速相机直径100 mm的圆形视场限制,因此重点捕捉并呈现了具有显著特征的触头下方区域,清晰地记录了电弧烧蚀弧后瞬态场的动态演化过程。本文将两触头间隙击穿时刻发光的第1帧图像设为时间零点,燃弧期间,触头间隙发出强烈的光芒,持续约1.60 ms。图像清晰地捕捉到了高温燃弧导致的高温金属液滴的喷溅,17.12 ms时刻液滴碰撞烧蚀平台基座底部并发生回弹的现象尤为明显,同时发现在20.00 ms后,触头材料基本不再产生新的金属液滴。在烧蚀过程中,高温气流从弧隙孔迅速喷出并向两边扩散而形成高温气流柱,该气流柱结构近似满足轴对称,在0~68 ms时间内变化明显,而在68 ms之后,该气流柱的演化速度逐渐减缓;此外,触头下方区域的不规则高温气流在0~17 ms内表现出极为剧烈的演化,随着时间的推移,演化剧烈程度逐渐减弱,直至完全恢复至常态。本实验条件下放电电压与电流波形如图7所示,实验电流持续1.56 ms,峰值为18 kA,其电压为触头材料两端的电压。
图6 石墨烯/铜钨触头电弧烧蚀及弧后瞬态场的纹影观测图像
Fig.6 Schlieren observation images of arc ablation and post-arc transient field of graphene/copper tungsten contacts
2.1.2 气体密度演化过程
触头电弧烧蚀过程中,触头材料需承受瞬态冲击电流的直接作用,高能燃弧作用下伴随着热吸收、热传导、晶体蒸发气化、融化凝固等剧烈且复杂的物理变化。具体而言,电弧高温使触头表面材料熔化发生液滴溅射,进一步蒸发形成金属蒸气,金属蒸气会在电弧中被电离形成更多的等离子体,这些等离子体与触头表面相互作用,传递能量,加剧材料烧蚀,这不仅会造成触头表面形貌的巨大变化,还会引发严重的结构损伤[26-27]。而这一过程恰恰会使触头周围流场发生明显扰动,且流场扰动程度与电弧烧蚀的剧烈程度呈现明显的正相关关系。具体而言,材料的导电性、热导率和熔点等物理特性直接影响电弧烧蚀这一过程。抗电弧侵蚀能力越低的材料,其熔融、气化过程越剧烈,触头周围气体密度的变化也越显著,因此,弧后瞬态场气体密度的变化特性直接反映了电弧烧蚀这一物理反应的剧烈程度,并间接地表征了强电流作用下触头材料的损伤程度。
图7 触头材料样品放电的典型电压电流曲线
Fig.7 Typical voltage-current curves for contact material sample discharges
选取图6中8.48 ms图像中虚线红框所示触头材料下方的两个18 mm×7 mm矩形标记区域进行分析,该区域内扰动明显,具有代表性,能够有效地反映弧后瞬态场气体密度的动态变化特性。考虑到燃弧过程中强烈的光会导致图像灰度值变化,为确保数据的可靠性,选择1.60 ms之后(燃弧结束)的图像进行处理。根据式(1)计算得到所选区域内石墨烯/铜钨触头弧后纹影图像灰度差绝对均值ΔG随时间变化的数据,具体结果见表1。
表1 纹影图像灰度差绝对均值
Tab.1 Absolute mean of grayscale difference of Schlieren image
时间/msΔG CuW80CuW80Gr 1.6024.5914.79 2.7231.2823.17 4.0034.1021.30 8.4826.4615.14 17.1220.1313.02 27.2014.347.41 40.1611.686.55
(续)
时间/msΔG CuW80CuW80Gr 54.568.826.45 68.9611.596.19 97.7611.917.40 120.809.735.60 156.806.273.80 197.446.703.26 220.644.792.90
由表1可知,所选区域内纹影图像的灰度差绝对均值在初期迅速增大然后逐渐减小,最终接近燃弧前的状态。为了更直观地呈现两种材料气体密度的演化过程,绘制了基于式(2)计算得出的气体密度恢复程度K值曲线,如图8所示。参考时间均设置为变化剧烈的4.00 ms时刻。
图8 气体密度恢复程度K值曲线
Fig.8 Gas density recovery degree K value curve
图8中曲线展示了触头材料电弧烧蚀弧后瞬态场气体密度演化的共性规律,整体过程可分为三个阶段。第一阶段——迅速下降:电弧烧蚀发生后的初期,K值迅速下降至最低点,气体密度急剧偏离基准状态,这一现象归因于电弧烧蚀过程中高温气体的瞬时产生与扩散,以及大量金属液滴的喷溅;第二阶段——快速恢复:K值下降至最低点后开始迅速回升,这一阶段高温气体开始消散和冷却,材料内部的热传导及金属液滴喷溅现象减少也使得气体密度开始恢复;第三阶段——缓慢恢复:此时K值恢复速率明显减缓并出现细微波动,最终恢复至90%以上,气体密度逐渐接近基准状态,流场趋于稳定,可大致认为当K值达到90%时区域内气体密度已恢复至常态。这三个阶段清晰地展示了电弧烧蚀后高温气体和金属液滴的生成、扩散及消散过程。
2.1.3 弧隙气流柱温度变化过程
影响电弧烧蚀的一个重要因素是触头材料的温度。触头燃弧瞬间,强电流作用于触头材料表面,使能量集中在较小区域内,温度迅速攀升导致金属气化产生金属蒸气,并且分散在触头间隙之间进而形成电弧[28]。显然,触头材料在燃弧过程中承受的极端高温不仅延长了放电时间,还加剧了对材料的烧蚀破坏,文献[9]也指出触头材料温度的降低可以有效地减缓电弧侵蚀速率。因此,高能燃弧导致的触头材料表面高温是电弧烧蚀材料损伤的重要因素,通过分析弧隙高温气流柱温度数据,可以有效地反映触头间隙表层的温度变化。
在2.1.1节纹影图像中观察到,烧蚀后约8 ms时刻在弧隙下方形成了稳定的高温气流柱,然而,金属液滴飞溅会引起图像灰度扰动,进而影响反演结果。20 ms后,高温金属液滴的飞溅现象基本消失,至120 ms后弧隙气流柱结构消散,不再符合纹影法温度反演所设立的条件。为确保计算精度并尽量贴近触头材料的实际温度,对t=20~120 ms、距离弧隙底部3 mm的弧隙气流柱水平截面进行温度分布反演。提取这一横截面的像素灰度值如图9所示,可见灰度分布呈中心对称,尤其中间区域对称性明显,边缘微小扰动由不规则气流引起,满足温度反演方法的条件。在处理离散偏折角数据时,采用三次样条插值法[29-30],确保Abel逆变换的计算精度。在径向折射率分布计算中,光线偏折角需通过数值计算处理,输入为离散的采样点,其横坐标为各点到高温气流柱对称中心的距离,此数值对数值计算的结果有一定影响,由于光线经过对称轴线时偏折角为零,因此定义气流柱两侧径向边缘点之间光线偏折角为零的位置为中心点,将其作为坐标原点,保留其右侧数据并修正径向坐标。对修正后的偏折角分布进行式(5)的Abel逆变换计算,结合式(6)中折射率与温度的关系,即可得到石墨烯/铜钨触头弧隙高温气流柱径向温度分布,如图10所示。根据纹影系统的空间分辨率,其中横坐标已转换为空间实际距离(单位为mm)。
图9 横截面灰度值变化曲线
Fig.9 Cross-sectional gray value change curve
图10 石墨烯/铜钨触头弧隙高温气流柱径向温度分布
Fig.10 Radial temperature distribution of high-temperature airflow column in the arc gap of graphene/copper tungsten contacts
径向温度分布展示了在同一时刻,弧隙气流柱轴心处的温度最高,随着径向位置的偏离,温度逐渐降低;同时,随着时间的推移,温度数值亦逐步下降。由于气流柱轴心位于弧隙正下方3 mm处,且高温气体喷射迅速,因此该点的温度能更有效地反映触头弧隙表层的温度变化情况。轴心温度随时间的变化如图11所示。从图11可以看出,气流柱轴心温度变化呈现两阶段特征:在阶段一(CuW80持续40 ms,CuW80Gr持续20 ms),温度迅速下降;而在阶段二,降温速率显著减缓。温度的下降过程直观地展示了触头材料烧蚀后的热量转移,反映了在电弧引起的高温环境下触头材料内部热量的快速分布与逐步消散。文献[31-33]模拟了燃弧后触头表面温度的变化过程,整体趋势与本文的结果一致,验证了本文采用反演气流柱轴心温度来反映触头弧隙表层温度变化规律方面的可靠性。
图11 轴心温度随时间的变化
Fig.11 Changes of axis temperature over time
根据2.1.2节的研究结果,CuW80触头的弧后瞬态场气体密度变化更为剧烈,其纹影图像的灰度差绝对均值数据整体显著高于CuW80Gr,峰值分别为34.10和23.17,经计算CuW80Gr纹影图像的ΔG数据平均值仅为CuW80的64%。观察图8气体密度恢复程度K值曲线可以发现,掺杂石墨烯的铜钨触头弧后瞬态场气体密度随时间的恢复程度明显优于未掺杂石墨烯的铜钨触头,具体而言,第二阶段结束时,CuW80Gr的K值已达77%,而CuW80仅为63%;此外,在128 ms时刻,CuW80Gr的瞬态场气体密度已基本恢复至常态,而CuW80则需要再延迟约100 ms,CuW80Gr恢复至常态的时间仅为CuW80的58%。对比分析表明,CuW80触头电弧烧蚀弧后瞬态场表现出更为显著的气体密度变化,反映了其在电弧烧蚀过程中的物理反应更为剧烈。
根据2.1.3节的研究结果,燃弧后CuW80Gr触头弧隙表层温度始终低于CuW80材料。电弧烧蚀后20 ms时刻CuW80和CuW80Gr弧隙气流柱轴心温度分别为2 292 K和1 797 K;120 ms时温度分别下降至450 K和378 K。从图10可以看出,CuW80Gr轴心温度在高温阶段的温度下降速率明显快于CuW80,CuW80Gr由20 ms的1 797 K下降至30.08 ms的1 076 K,降幅为721 K;而CuW80则从20 ms的2 292 K下降至30.08 ms的1 856 K,降幅仅为436 K。图11的对比曲线进一步显示,CuW80Gr弧隙气流柱轴心温度在烧蚀后各时刻均低于CuW80,经计算,CuW80Gr的整体温度均值仅为CuW80的71%。
以上结果表明,相较于铜钨触头,石墨烯掺杂改性的铜钨触头具有更优异的耐烧蚀性能,可以更有效地抵抗电弧侵蚀。
在相同实验条件下,对两种触头材料进行了15次重复烧蚀实验,并对其质量损失进行统计。实验过程中,每隔5次烧蚀对样品进行一次称重,以记录质量损失随烧蚀次数的变化情况,结果如图12所示。两种材料的质量损失均随着烧蚀次数的增加而显著增大,电弧烧蚀第5、10、15次后CuW80Gr触头材料样品的质量损失均低于CuW80样品,分别为CuW80质量损失的65.04%、75.90%和79.00%。采用光学显微镜对烧蚀后触头材料的表面形貌进行观察,两种材料烧蚀中心区域的表面形貌如图13所示。烧蚀后的复合材料表面呈现明显的凹凸不平特征,既存在凹陷的小孔洞,也有大量凸起物。这一现象是由于熔池中溶入气体形成气泡,当温度降低时,气泡逃离熔池表面并破裂,导致触头材料表面的液态金属喷溅,从而在样品表面形成孔洞,而冷却后的金属液滴则成为表面的凸起物。此外,表面还出现了一些裂纹,这可能是由于电弧烧蚀过程中材料受热膨胀产生向外扩张的力,而电弧熄灭后熔池金属冷却产生向内收缩的力,这种反复的剧烈膨胀与收缩作用导致材料疲劳,最终形成裂纹。从图13中可以看出,CuW80样品表面存在明显大尺寸凹坑,这主要是由于电弧侵蚀过程中材料发生剥离脱落所致,相比之下,CuW80Gr样品表面较为平整,未出现类似的大面积结构缺陷。随着光学显微镜倍数的放大,CuW80样品呈现更多的熔融堆积物、大尺寸金属液滴,而CuW80Gr样品表面凸起较少,金属液滴粒径也较小。这说明添加石墨烯的铜钨触头弧后瞬态场温度相较CuW80更低,材料的损伤程度也进一步降低。
图12 触头材料样品损失质量随烧蚀次数的变化
Fig.12 Changes in contacts material sample mass loss with ablation times
图13 触头材料烧蚀后表面形貌的光学显微镜观测
Fig.13 Optical microscope observation of the surface morphology of the contacts material after ablation
石墨烯的引入能够有效地降低铜钨合金的电弧损伤,基于已获得的实验数据,对石墨烯掺杂的铜钨触头耐烧蚀性能的增强机制展开分析。石墨烯/铜钨触头材料的散热性能是其抗电弧烧蚀能力的关键因素,为量化描述电弧烧蚀后触头温度的下降速率,本文提出一种动态冷却速率模型,具体分析如下。
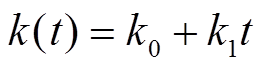
传统的牛顿冷却定律假设冷却速率k为常数,然而在触头材料实际散热过程中,冷却速率往往随时间变化,特别是在高温环境下,散热机制可能因温度变化而动态调整,因此使用动态拟合函数,有
(8)
式中,k0和k1为待拟合参数,分别表示初始冷却速率和冷却速率的变化率,以此能更准确地描述实验数据的变化规律。将式(8)代入牛顿冷却定律得到
(9)
式中,T(t)为随时间变化的数据温度;Tenv为环境温度。这一方程描述了温度随时间变化的动态过程,其中冷却速率不仅依赖当前的温度差,还随时间不断变化。为简化公式表达,模型初始时间t0=0对应所反演温度数据的初始时刻,经推导得此模型温度随时间变化公式为
(10)
式中,T0为初始温度数据。在拟合过程中,采用非线性最小二乘法优化模型参数,通过迭代调整参数值,以最小化模型计算温度与实际测量温度之间的残差平方和S。当参数变化量Δk和残差平方和的减少量ΔS均低于预设的容差阈值(10-12)时停止迭代,表示已达到收敛状态从而得到最终的拟合参数,同时采用决定系数R2对拟合效果进行评估。残差平方和S与决定系数R2的表达式分别为
(11)
(12)
式中,M为数据点数;T(ti)为模型预测的温度值;Texp(ti)为测量温度值;
为测量温度的平均值。采用决定系数R2作为模型拟合效果的评估指标:当R2≥0.95时,表明模型具有优异的拟合精度和较强的解释能力;当R²∈[0.90, 0.95)时,表明模型拟合效果达到可接受水平;当R2<0.90时,则表明模型需要进一步优化和调整。
当触头材料温度较高时,辐射散热作用显著,因而温度会迅速降低,但随着温度降低,辐射散热作用急剧减弱,进而导致材料冷却速率放缓;与此同时,空气流动驱动的散热机制也随之变化。在图11中轴心温度下降的第一阶段,高温气体从弧隙喷出形成强烈的自然对流,迅速带走热量,因此计算的气体温度数据能有效地反映触头材料表层的温度变化。而在第二阶段中,当温度降至一定值时(CuW80为644 K,CuW80Gr为710 K),热驱动力减弱,空气流动速度下降,自然对流强度减弱,此时反演的温度数值受测量位置温度自然消散因素的影响,难以再有效地反映触头材料的温度变化,数据的代表性降低。
因此,仅对阶段一的轴心温度随时间变化数据(CuW80为20~60 ms,CuW80Gr为20~40 ms)进行拟合,以确保数据的代表性。实验中,已知环境温度Tenv=288 K,温度数据初始时刻(电弧烧蚀后20 ms)即为模型中初始时间t0=0,两种材料对应的初始温度值T0分别为T0(CuW80)=2 292 K,T0(CuW80Gr)= 1 797 K,则初始参数k0=0.1 ms-1, k1=0.1 ms-2,得到模型拟合结果如图14所示。拟合结果的决定系数分别为R2CuW80=0.987 9,R2CuW80Gr=0.976 8,表明两组数据的模型拟合效果均非常理想,能够准确地反映触头材料弧隙表层温度的变化。其中,两种材料的拟合参数分别为:k0CuW80= 0.02 ms-1,k1CuW80=0.001 2 ms-2;k0CuW80Gr= 0.06 ms-1,k1CuW80Gr=0.000 5 ms-2。

图14 动态冷却速率模型拟合结果
Fig.14 Dynamic cooling rate model fitting results
拟合结果表明,CuW80Gr触头材料的温度冷却速率显著快于CuW80,其最大冷却速率较GuW80提升了近2倍,体现了更优异的热传导性能和能量分散效果。这是由于石墨烯热传导性能较好,在复合材料中有效地承担了热流传递功能,提升了复合材料基体的热传导效率。石墨烯的引入促使材料表面的热量迅速向材料内部扩散,从而降低了局部高温峰值,使温度分布更加均匀,有效地减轻了材料表面的热侵蚀和损伤。而这一优势又使得燃弧导致的电极材料熔融、气化、液滴飞溅等相变过程剧烈程度减弱,触头周围流场扰动相对变小,因此,2.1.2节中CuW80Gr弧后瞬态场气体密度变化更为平缓,进一步印证了这一结论。
本文构建了基于透射式纹影系统的电触头材料样品电弧烧蚀观测平台,针对石墨烯/铜钨触头电弧烧蚀弧后瞬态场展开观测,评估了材料耐烧蚀性能并深入探讨了其增强机制。得到主要结论如下:
1)搭建了一套时间分辨率为160 μs、空间分辨率为90 μm且具有高灵敏度的电触头烧蚀弧后瞬态场纹影观测平台,通过系统校准与灰度均匀性检测(无扰动时纹影图像灰度标准差为2.70),确保了观测系统在成像质量和测量精度方面的可靠性。
2)掺杂质量分数为0.15%石墨烯的CuW80Gr触头弧后瞬态场气体密度变化更稳定,气体密度恢复至常态的时间显著缩短,为CuW80触头的58%。CuW80Gr弧隙气流柱轴心温度在烧蚀后各时刻均低于CuW80,CuW80Gr的整体温度数据均值仅为CuW80的71%。
3)提出了将瞬态场气体密度变化程度和气流柱轴心温度作为烧蚀程度评估表征量,实现了对触头耐烧蚀性能的评估。相比于CuW80,CuW80Gr电弧烧蚀过程中的物理反应更为平稳,触头弧隙表层温度更低,石墨烯掺杂改性的铜钨触头具有更优异的耐烧蚀性能,可以更有效地抵抗电弧侵蚀。
4)相较于CuW80,CuW80Gr触头温度冷却速率更快,其最大冷却速率较CuW80提升了近2倍,并且在燃弧过程中物理反应表现得更为平缓。石墨烯掺杂改性促进材料表面热量向内部快速扩散,从而提升了复合材料的散热性能。
参考文献
[1] 李庆民, 于万水, 赵继尧. 支撑“双碳”目标的风光发电装备安全运行关键技术[J]. 高电压技术, 2021, 47(9): 3047-3060. Li Qingmin, Yu Wanshui, Zhao Jiyao. Key technologies for the safe operation of wind and solar power generation equipment in support of the “peak CO2 emissions and carbon neutrality” policy[J]. High Voltage Engineering, 2021, 47(9): 3047-3060.
[2] 胡琦, 李庆民, 刘智鹏, 等. 直流电压下玻璃纤维的荷电运动过程及桥接放电现象[J]. 中国电机工程学报, 2022, 42(6): 2386-2396. Hu Qi, Li Qingmin, Liu Zhipeng, et al. Charging movement and bridging discharge phenomenon of glass fibers under DC voltage[J]. Proceedings of the CSEE, 2022, 42(6): 2386-2396.
[3] 李辰辉, 褚继峰, 龙潇, 等. 基于弧触头接触振动特征分析的高压SF6断路器电寿命在线监测方法[J]. 电工技术学报, 2024, 39(15): 4883-4895. Li Chenhui, Chu Jifeng, Long Xiao, et al. Online monitoring method of electrical life of high voltage SF6 circuit breaker based on analysis of arcing contact vibration characteristics[J]. Transactions of China Electrotechnical Society, 2024, 39(15): 4883-4895.
[4] 王海涛, 王彦岭, 李书舸, 等. 不同电流下Ce掺杂AgCuO触头材料转移行为研究[J]. 电工技术学报, 2025, 40(2): 574-586. Wang Haitao, Wang Yanling, Li Shuge, et al. Study of materials transfer behavior of Ce-doped AgCuO contact materials at different current levels[J]. Transactions of China Electrotechnical Society, 2025, 40(2): 574-586.
[5] Hidalgo-Manrique P, Lei Xianzhang, Xu Ruoyu, et al. Copper/graphene composites: a review[J]. Journal of Materials Science, 2019, 54(19): 12236-12289.
[6] Lee Changgu, Wei Xiaoding, Kysar J W, et al. Measurement of the elastic properties and intrinsic strength of monolayer graphene[J]. Science, 2008, 321(5887): 385-388.
[7] 韩智云, 王梦溪, 任瀚文, 等. 石墨烯/铜钨合金触头电弧烧蚀的固–液相变动力学模拟与烧蚀程度微观表征[J]. 中国电机工程学报, 2023, 43(21): 8490-8502. Han Zhiyun, Wang Mengxi, Ren Hanwen, et al. Kinetic simulation of the solid-liquid phase transition and the microscopic characterization of the electric arc ablation of graphene/copper-tungsten alloy contacts[J]. Proceedings of the CSEE, 2023, 43(21): 8490-8502.
[8] Dong Longlong, Chen Wenge, Zheng Chenghao, et al. Microstructure and properties characterization of tungsten-copper composite materials doped with graphene[J]. Journal of Alloys and Compounds, 2017, 695: 1637-1646.
[9] 李俊科, 韩智云, 贾云浩, 等. 石墨烯/铜钨触头电弧烧蚀的元胞自动机模拟方法与应用[J]. 中国电机工程学报, 2025, 45(19): 7785-7798. Li Junke, Han Zhiyun, Jia Yunhao, et al. Cellular automaton simulation method and application of arc erosion of graphene/copper-tungsten contacts[J]. Proceedings of the CSEE, 2025, 45(19): 7785-7798.
[10] 吴佳玮, 韩若愚, 丁卫东, 等. 长寿命铜钨合金气体开关电极的烧蚀形貌[J]. 中国电机工程学报, 2017, 37(8): 2465-2479. Wu Jiawei, Han Ruoyu, Ding Weidong, et al. Surface morphology of Cu-W alloy electrodes in a long lifetime gas spark switch[J]. Proceedings of the CSEE, 2017, 37(8): 2465-2479.
[11] 刘晓鹏, 董曼玲, 邓虎威, 等. 空气间隙击穿后放电通道内的气体运动特性[J]. 电工技术学报, 2021, 36(13): 2667-2674. Liu Xiaopeng, Dong Manling, Deng Huwei, et al. Movement characteristics of the gas in discharge channel after air gap breakdown[J]. Transactions of China Electrotechnical Society, 2021, 36(13): 2667-2674.
[12] 朱德忠. 热物理激光测试技术[M]. 北京: 科学出版社, 1990.
[13] Xiao Pei, He Junjia, Zhao Xiangen, et al. On the stem diameter under positive impulses in long air gaps[J]. Physics of Plasmas, 2019, 26(6): 063501.
[14] Zhao Xiangen, Becerra M, Yang Yongchao, et al. Elongation and branching of stem channels produced by positive streamers in long air gaps[J]. Scientific Reports, 2021, 11: 4120.
[15] 董曼玲, 刘晓鹏, 郭磊, 等. 空气间隙击穿后放电通道内气体密度恢复特性[J]. 高电压技术, 2021, 47(12): 4162-4168. Dong Manling, Liu Xiaopeng, Guo Lei, et al. Recovery characteristics of gas density in discharge channel after air gap breakdown[J]. High Voltage Engineering, 2021, 47(12): 4162-4168.
[16] 刘晓鹏, 赵贤根, 马御棠, 等. 空气间隙击穿后电弧通道的特性分析[J]. 中国电机工程学报, 2023, 43(13): 5302-5311. Liu Xiaopeng, Zhao Xiangen, Ma Yutang, et al. Characteristics of the arc channel during the post-discharge stage in air gap[J]. Proceedings of the CSEE, 2023, 43(13): 5302-5311.
[17] 袁涛, 杨泽文, 司马文霞, 等. 半密闭腔室内冲击闪络电弧观测及弧后气体逸散过程研究[J]. 电工技术学报, 2024, 39(3): 924-934. Yuan Tao, Yang Zewen, Sima Wenxia, et al. Study on impluse flashover arc observation and post-arc gas dissipation process in the semienclosed chamber[J]. Transactions of China Electrotechnical Society, 2024, 39(3): 924-934.
[18] 胡锐, 王伟, 张雄星, 等. 基于纹影法的温度场分布测量方法[J]. 测控技术, 2018, 37(4): 97-100. Hu Rui, Wang Wei, Zhang Xiongxing, et al. Temperature field measurement based on schlieren method[J]. Measurement & Control Technology, 2018, 37(4): 97-100.
[19] 王亦君, 张赫, 刘毅, 等. 水介质预击穿过程液相温度纹影诊断技术研究[J]. 真空科学与技术学报, 2024, 44(2): 132-138. Wang Yijun, Zhang He, Liu Yi, et al. Schlieren diagnosis technology for liquid temperature in the pre-breakdown process of water[J]. Chinese Journal of Vacuum Science and Technology, 2024, 44(2): 132-138.
[20] 杜健鹏, 梁海霞, 魏素花. 基于Abel变换的图像重建自适应方法[J]. CT理论与应用研究, 2017, 26(4): 435-445. Du Jianpeng, Liang Haixia, Wei Suhua. Abel transformation based adaptive regularization approach for image reconstruction[J]. Computerized Tomogra-phy Theory and Applications, 2017, 26(4): 435-445.
[21] Agrawal A K, Albers B W, Griffin D V W. Abel inversion of deflectometric measurements in dynamic flows[J]. Applied Optics, 1999, 38(15): 3394-3398.
[22] Cheng Chen, Liu Lipeng, He Hengxin, et al. Experimental study of the dynamics of leader initiation with a long dark period[J]. Journal of Physics D: Applied Physics, 2020, 53(20): 205203.
[23] 赵贤根, 岳一石, 杨永超, 等. 适用于流注茎温度场测量的定量纹影系统及其图片处理方法[J]. 中国电机工程学报, 2017, 37(23): 7047-7057, 7097. Zhao Xiangen, Yue Yishi, Yang Yongchao, et al. Quantitative schlieren system and image processing method applicable to the measurement of stem temperature field[J]. Proceedings of the CSEE, 2017, 37(23): 7047-7057, 7097.
[24] Martínez-González A, Moreno-Hernández D, León-Rodríguez M, et al. Wide-range average temperature measurements of convective fluid flows by using a schlieren system[J]. Applied Optics, 2016, 55(3): 556-564.
[25] 岳一石. 正极性先导放电温度场测量方法及先导热特性研究[D]. 武汉: 华中科技大学, 2015. Yue Yishi. Research on the measurement method for temperature field of positive leader discharge and its thermal characteristics[D]. Wuhan: Huazhong University of Science and Technology, 2015.
[26] 李庆民, 薛乃凡, 王媛, 等. 交直流输电管道绝缘运行安全关键技术[J]. 中国电机工程学报, 2024, 44(4): 1629-1649. Li Qingmin, Xue Naifan, Wang Yuan, et al. Key technologies for operation safety of AC/DC gas insulated transmission lines[J]. Proceedings of the CSEE, 2024, 44(4): 1629-1649.
[27] 丁一, 祝志祥, 陈新, 等. 石墨烯增强铜钨电触头材料研究进展[J]. 热加工工艺, 2022, 51(14): 14-17, 22. Ding Yi, Zhu Zhixiang, Chen Xin, et al. Research progress of graphene reinforced copper tungsten electrical contact materials[J]. Hot Working Technology, 2022, 51(14): 14-17, 22.
[28] 丁一, 毛光辉, 王树坤, 等. 石墨烯对铜钨合金材料抗烧蚀性能多场数值模拟研究[J]. 功能材料, 2024, 55(12): 12162-12167, 12174. Ding Yi, Mao Guanghui, Wang Shukun, et al. Researchon multi-field numerical simulation of ablation resistance of CuW alloy with graphene[J]. Journal of Functional Materials, 2024, 55(12): 12162-12167, 12174.
[29] 邵华, 朱丹平, 吴毅雄. Abel逆变换的数值算法[J]. 上海交通大学学报, 2005, 39(8): 1375-1378, 1388. Shao Hua, Zhu Danping, Wu Yixiong. Numerical methods of Abel inversion[J]. Journal of Shanghai Jiao Tong University, 2005, 39(8): 1375-1378, 1388.
[30] 朱丹平, 邵华, 吴毅雄. 电弧等离子体光谱诊断中Abel反变换的实现[J]. 上海交通大学学报, 2004, 38(11): 1954-1956. Zhu Danping, Shao Hua, Wu Yixiong. Inverse Abel transform in spectrum diagnosis of arc plasma[J]. Journal of Shanghai Jiao Tong University, 2004, 38(11): 1954-1956.
[31] 刘凌智, 郭晓雪. 电弧作用下触头烧蚀特性的仿真研究[J]. 电工技术, 2023(5): 1-4, 9. Liu Lingzhi, Guo Xiaoxue. Simulation study on contact ablation characteristics under electric arc action[J]. Electric Engineering, 2023(5): 1-4, 9.
[32] Wang Lijun, Jia Shenli, Yang Dingge, et al. Modelling and simulation of anode activity in high-current vacuum arc[J]. Journal of Physics D: Applied Physics, 2009, 42(14): 145203.
[33] Wang Lijun, Zhou Xin, Wang Haijing, et al. Anode activity in a high-current vacuum arc: three-dimensional modeling and simulation[J]. IEEE Tran-sactions on Plasma Science, 2012, 40(9): 2237-2246.
Abstract Graphene, as a new type of nano-reinforcement phase, has been widely used in improving the comprehensive properties of metals. Existing studies have explored the strengthening effect of graphene on copper-tungsten alloy contacts from the aspects of simulation and material preparation and detection. However, there is a lack of relevant work on evaluating the ablation resistance of graphene-doped and modified copper-tungsten contacts based on transient experimental phenomena and exploring its strengthening mechanism. The intense and complex physical process of contact arc ablation will cause severe disturbances in the flow field around the contacts. This paper used the schlieren technique to observe the transient field after the contact arc and analyze the relationship between its evolution characteristics and the ablation mechanism, aiming to explore the strengthening mechanism of graphene on copper-tungsten contacts.
Conventional CuW80 alloy and CuW80Gr composite material containing 0.15% graphene by mass were prepared using high-temperature sintering and infiltration method. Schlieren observation experiments of arc ablation were carried out on the two contact materials respectively. Then, the absolute mean value of gray difference ΔG and the gas density recovery degree K were used to quantitatively describe the evolution characteristics of the gas density in the transient field after the arc, so as to reflect the severity of contact arc ablation. According to the transient temperature inversion method of the quantitative schlieren system, the temperature of the arc gap gas column was calculated, which could effectively reflect the temperature change of the surface layer of the contact arc gap. Subsequently, based on the above two evaluation and characterization quantities, the ablation resistance of the contacts was evaluated, and damage detection was carried out on the samples of the contact materials after ablation. Finally, a dynamic cooling rate model of graphene/copper-tungsten contacts was established, and the temperature data of the axis of the arc gap gas column, which could effectively reflect the temperature change of the surface layer of the contact arc gap, were fitted.
The results show that: Compared with CuW80, CuW80Gr exhibits more excellent performance. The change in gas density in the transient field after the arc of CuW80 is more intense. The ΔG data of its schlieren image is significantly higher than that of CuW80Gr, with peak values of 34.10 and 23.17 respectively. Calculations show that the average value of ΔG of CuW80Gr is only 64% of that of CuW80, and the time for the gas density in the transient field of CuW80 to return to the normal state is about 100 ms later than that of CuW80Gr. The temperature of the axis of the arc gap gas column of CuW80Gr is always lower, and the overall average temperature is only 71% of that of CuW80. Damage detection in the ablation experiment confirms that CuW80Gr has less mass loss and a smoother surface morphology. The fitting effect of the dynamic cooling rate model is ideal (determination coefficients exceeding 0.95), and the maximum cooling rate of CuW80Gr is nearly 3 times that of CuW80.
In conclusion, this experimental analysis establishes that: (1) The degree of change in gas density in the transient field and the temperature of the axis of the gas column are proposed as evaluation and characterization quantities, realizing the evaluation of the ablation resistance of the contacts. It is found that compared with CuW80, the arc ablation of CuW80Gr is less intense, the temperature of the surface layer of the contact arc gap is lower, and the graphene-doped and modified copper-tungsten contacts have more excellent ablation resistance and can resist arc erosion more effectively. (2) Compared with CuW80, the CuW80Gr contact material shows more excellent thermal conductivity and energy dispersion effects, and the physical reaction is more gentle during the arcing process. This is because due to its high thermal conductivity, graphene effectively undertakes the function of heat flow transfer in the composite material, improving the thermal conductivity efficiency of the composite material matrix. The introduction of graphene promotes the rapid diffusion of heat on the material surface to the interior, thus reducing the local high temperature peak, making the temperature distribution more uniform, and effectively reducing the thermal erosion and damage of the material surface.
keywords:Graphene/copper-tungsten contacts, post-arc transient field, ablation severity, surface temperature, ablation resistance, enhancement mechanism
DOI: 10.19595/j.cnki.1000-6753.tces.250454
中图分类号:TM501
国家自然科学基金(52207153)和北京市自然科学基金(L241043)资助项目。
收稿日期 2025-03-22
改稿日期 2025-04-17
贾云浩 男,1999年生,硕士研究生,研究方向为断路器高性能触头材料设计。E-mail:jyhcc1999@foxmail.com
李庆民 男,1968年生,教授,博士生导师,研究方向为高电压与绝缘技术、放电物理等。E-mail:lqmeee@ncepu.edu.cn(通信作者)
(编辑 李 冰)