摘要 短路冲击是导致变压器绕组产生机械故障的重要原因之一,在“双碳”目标推进与新型电力系统构建的背景下,变压器绕组的机械稳定性对电网的安全至关重要。该文针对变压器绕组在短路冲击下的形变-振动特性及其累积效应展开研究,建立变压器电磁-力多物理场耦合模型,系统求解分析绕组在单次及多次短路冲击下的形变与振动特性。引入振动脉冲因子(VPF)、频率能量因子(FCF)和频谱宽度因子(SWF)等多特征振动参量,实现了对绕组累积损伤动态演变的描述。为验证所提方法,搭建变压器短路工况试验平台,对35 kV变压器样机开展多梯度短路冲击试验,并与模型预测结果进行对比分析。研究结果表明,该模型能准确地反映绕组在短路冲击下的瞬时振动响应及绕组机械状态演变规律,可为变压器状态监测与抗短路设计提供新的理论依据和试验支持。
关键词:变压器绕组 振动特性 短路冲击 多特征振动参量 机械状态判别
近年来,推动电力产业向智能化和绿色低碳化转型已成为能源领域的战略性议题。作为电力系统中的关键设备,变压器在发电、输电、变电和配电等环节中发挥着至关重要的作用,其运行状态直接影响电网的安全性与经济性,因此,保证变压器性能与能效的高效发挥,对构建新型绿色电网具有深远的意义[1-5]。然而,变压器在正常运行过程中所产生的振动会对其长期可靠性与稳定性构成潜在威胁,导致机械疲劳及结构性损伤,进而影响其电磁性能[6]。现有研究表明,变压器振动主要源自以下几个方面[7-9]:①主空道处的漏磁场作用在绕组上产生洛伦兹力,进而引发绕组的振动;②交变磁场中的磁致伸缩效应导致铁心硅钢片的振动;③漏磁场作用在硅钢片接缝处及叠片之间产生洛伦兹力,从而引起铁心的振动。当变压器发生短路时,绕组内的短路电流会激增至额定工况下的数十倍甚至百倍,并伴随着漏磁场强度的非线性激增。在这种情况下,绕组的形变和振动幅度明显大于铁心所产生的形变和振动[10-11]。此外,经过多次短路冲击作用后,累积效应会进一步削弱绕组的承载能力。因此,深入研究短路冲击下绕组的形变及振动特性具有重要的理论意义和工程价值。
目前,针对变压器绕组振动特性国内外已开展了广泛的研究,西安交通大学相关团队进行了深入研究,分别构建了绕组轴向及径向振动模型[12-14],阐明了变压器绕组振动数学机理,并给出了仿真标准流程,分析了变压器在不同预紧力、负载电流、温度及老化程度因素影响下的振动表现及信号传递规律;吴晓文等[15]集中研究了负载因素对变压器振动参量的影响,认为负载不平衡、负载容量、功率因数角等因素均会对信号强弱或振动位置产生影响;Pan Chao等[16]研究了△/Y变压器工作在三相不平衡情况下的振动信号,发现不平衡相的电流变化显著,是引起磁通及加速度参量变化的主要原因;P. Witczak等[17]分析了电磁力引起的绕组振动传递到变压器油箱的过程,发现轴向力是油箱表面振动能量的主要来源;A. Ahmad等[18]研究了开关操作导致的极端短路电流下变压器内部产生最大机械应力的问题,并讨论了材料设计参数及性质对应力分布的影响;R. G. Cornelius等[19]构造了短路冲击下的容量为140 kV·A的三维变压器模型,通过仿真得到了绕组的机械应力分布,为绕组结构优化提供了数据支撑;刘家骥[20]构造二维模型计算短路工况下的漏磁及电动力,采用Newmark-β求解高压绕组振动方程得到相关振动参量;Li Zhongxiang等[21]提出一种计算和评价绕组径向稳定性的新方法,得到了变压器径向临界不稳定状态和短路积累特性,同时开展多次短路试验加以验证;张子康等[22]将短路冲击信号的响应谱、Hilbert能量谱和加权熵增量等多种响应参量引入变压器绕组形变判别研究中,改进了绕组振动信号特征提取方法,并通过试验加以验证。
目前关于变压器绕组短路冲击的研究主要集中在以抗短路能力为导向的形变量分析上,而对于形变参量与振动参量二者关联性方面的研究较为匮乏,尤其是忽略了累积效应带来的变化。此外,存在单一振动加速度表征不明确的问题,缺乏辅助振动参量与振动加速度相结合来表征变压器绕组的机械状态。同时,有限元仿真采用的模型通常为二维或简化的三维模型,忽略了绕组内部关键支撑结构如压板、撑条、垫块等的影响,使得这些模型难以有效地反映变压器绕组在实际工况下的电磁-力耦合特性。
针对上述问题,本文在正常工况基础上围绕单次及多次短路冲击下的变压器绕组电磁-力耦合场及振动特性展开深入研究。首先,提出完整的短路冲击下变压器电磁-力多场耦合仿真流程,在此框架下,构建考虑短路冲击影响的绕组动力学以及材料非线性的绕组电磁-力耦合模型,对正常工况与短路冲击工况下的电磁-力耦合特性进行全面的仿真分析;然后,定义振动脉冲因子(Vibration Pulse Factor, VPF)、频率能量因子(Frequency Energy Factor, FCF)、频谱宽度因子(Spectrum Width Factor, SWF)等多特征振动参量,实现对绕组累积损伤的动态表征,揭示塑性形变与振动参量的非线性演变规律及失稳阈值;最后,搭建短路工况试验平台,对一台35 kV的变压器样机开展多梯度短路冲击试验,为短路冲击下绕组机械状态判别提供试验依据,同时与仿真结果进行对比,验证本文所提模型和方法的有效性和准确性。本文研究结果对基于形变及振动特征的变压器状态监测技术具有重要的理论与实践指导意义。
大量理论分析及工程试验数据研究表明,质量分布、阻尼系统、惯性力特性等少数参数是决定振动系统的振动特性和响应因素的关键[23-24]。变压器绕组轴向振动动力学等效模型如图1所示,可视为质量-弹簧-阻尼数学模型。
图1 变压器绕组轴向振动动力学等效模型
Fig.1 Equivalent model of the axial vibration dynamics of transformer windings
图1中,
为绕组顶层压板等效质量,
为绕组底层压板等效质量,
为绕组中第n层线饼的等效质量,
为线饼之间垫块的等效刚度,
为线饼之间的等效黏性阻尼,
为第1个线饼与绕组顶层压板间垫块的等效刚度,
为第1个线饼与绕组顶层压板间垫块的等效黏性阻尼,
为第n个线饼与绕组底层压板间垫块的等效刚度,
为第n个线饼与绕组底层压板间垫块的等效黏性阻尼,
为包含铁心、拉板夹件等在内的顶层压板至底层压板的等效刚度,
为底层压板至地面(包含底部垫脚和油箱底部支撑结构)的等效刚度,
为压板之间的等效黏性阻尼,
为底层压板至地面的等效黏性阻尼。根据该模型可得到系统的动力学方程为
(1)
式中,M、C、K分别为该模型的质量矩阵、阻尼矩阵和刚度矩阵;
、
和x分别为线圈的加速度向量、速度向量和位移向量;
为线圈所受到的随时间变化的力载荷;g为重力加速度;
为加载在绕组线圈上的预紧力。
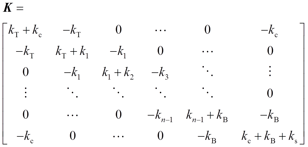
质量矩阵、阻尼矩阵和刚度矩阵可以分别表示为
(2)
(3)
(4)
当线圈上施加的力载荷为短路冲击电流提供的力载荷时,线饼、压板自身重力及预紧力可忽略不计[25],此时动力学方程可改写为
(5)
式中,
为短路电流交流分量幅值;
为初相位;p为电磁力系数;ω为短路电流交流分量的角频率。
为便于求解,作如下假设:①每一层仅受其上下相邻线饼的阻尼力和弹性力影响,忽略更远层的耦合;②忽略绕组线饼外的绝缘纸以及油箱内部的变压器油对振动的影响;③模态之间相互独立,不存在模态耦合。
采用模态分解方法对上述方程进行解耦,定义模态变换为
(6)
其中
(7)
(8)
式中,z为模态坐标向量;V为模态矩阵,由系统的特征向量构成。将模态变换代入上述方程,利用模态正交性将该动力学方程解耦成独立模态方程,表示为
(9)
其中

式中,
为第i阶模态的等效质量;
为第i阶模态的等效阻尼;
为第i阶模态的等效刚度;
为模态坐标下的第i阶模态的位移响应;
为模态坐标下的第i阶模态的速度响应;
为模态坐标下的第i阶模态的加速度响应;
为第i阶模态的固有频率;
为第i阶模态的阻尼比。
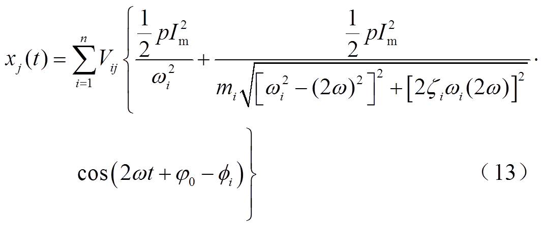
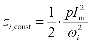
短路电流产生的电磁力包含常数分量及正弦分量两部分,常数分量产生的稳态位移为
(10)
正弦分量产生的位移可表示为
(11)
其中

式中,
为第i阶相位滞后角,由阻尼和频率差决定。
第i阶模态解的总响应为
(12)
逆变换映射至物理坐标可得第j层线饼位移和加速度解分别为

式中,
为第i阶模态对第j层线饼位移的贡献。
变压器电磁-力多物理场仿真流程如图2所示。通过外电路计算得到正常工况下稳态电流及短路冲击电流激励,并将下文所述模型几何参数、材料属性及边界条件作为输入导入磁场模型,进行仿真计算,得到绕组漏磁通及轴向与径向电磁力密度分布。将电磁力密度作为电磁力载荷加载至瞬态结构场模型,设置瞬态结构模块的约束固定位移、预紧力、接触面、迭代步长等参数。其中,在接触设置中,为保证与实际工况的一致性,将层间垫块与绕组之间的接触设置为“有摩擦”,摩擦系数为0.22,层间垫块与撑条之间的接触以及绕组线饼与撑条之间的接触设置为“无滑离”。
图2 变压器电磁-力多物理场仿真流程
Fig.2 Transformer electromagnetic-structure field simulation calculation process
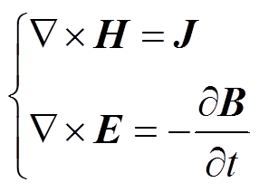
加载在变压器绕组的力载荷主要由电流流经绕组的交流电流与磁场之间的相互作用形成,即洛伦兹力的作用。需求解对应的麦克斯韦方程组以获得变压器在电磁作用下的电流密度分布,进而求得载荷加载过程的力源。计算电磁场时假设不考虑位移电流的影响,将其视为磁准静态电磁场,对应的麦克斯韦方程组可简化为
(15)
式中,B为磁感应强度;E为电场强度;H为磁场强度;J为总电流密度。
场量间存在的材料本构关系为
(16)
式中,
为铁心磁导率;
为铁心电导率。
对式(15)引入矢量磁位A满足
,可得到控制方程为
(17)
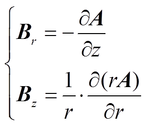
由于本文中模型为轴对称结构,因此圆周方向上的磁感应强度可用x轴及y轴分量合成量表示,轴向方向的磁感应强度用z轴分量表示,因此磁感应强度可表示为
(18)
式中,
为径向磁感应强度;
为轴向磁感应强度。
轴向漏磁场产生径向电磁力
,径向漏磁场产生轴向电磁力
,作用在绕组上的电磁力基本计算式为
(19)
式中,I为导线中的电流;l为导体的长度;N为绕组匝数。
本文研究的变压器样机型号为D-800/35,其类型为单相双绕组油浸式换流变压器。该变压器的全尺寸三维物理模型如图3所示。考虑到本文研究的物理场主要为电磁-力场且研究主体为绕组振动特性,因此有关绕组结构部分的模型应尽可能地贴合实际模型。模型结构包括铁心、高压绕组、低压绕组、撑条、垫块、压板、绝缘纸板、拉板、夹件及油箱等关键部位。其中绕组线圈段数及层间垫块、纵向撑条均按实际模型建立。模型共计72层高压绕组线饼,由上至下标号为1~72;50层低压绕组线饼,由上至下标号为1~50。高压及低压绕组上下压板4块,高压及低压绕组线饼之间层间垫块10块,外侧撑条10根。该换流变压器部分技术及结构参数见表1,主要材料参数见表2。表2中,铁心的铁损采用硅钢片产商给出的B-P曲线表示,其中,P为每kg质量下的功率损耗;垫块的杨氏模量采用应力-应变(
)曲线表示。
图3 变压器三维物理模型
Fig.3 Detailed 3D physical model of the transformer
表1 变压器部分技术及结构参数
Tab.1 Some technical and structural parameters of the transformer
参数数值参数数值 容量/(kV·A)800频率/Hz50 冷却方式油浸自冷电压等级/(kV/kV)35/10.5 铁心直径/mm210铁心窗高/mm640 高压绕组匝数2 933低压绕组匝数2×440 高压额定电流/A22.86低压额定电流/A76.2 高压连接方式并联低压连接方式串联 高压绕组高度/mm440低压绕组高度/mm460
表2 变压器主要部件材料参数
Tab.2 Material parameters of the main components of the transformer
部件参数数值 铁心密度/(kg/m3)7 650 电导率/(S/m)2.22´106 磁导率/(H/m)B-H曲线 铁损/(W/kg)B-P曲线 绕组密度/(kg/m3)8 933 杨氏模量/GPa120 泊松比0.35 撑条密度/(kg/m3)1 190 杨氏模量/GPa1.5 泊松比0.3 垫块密度/(kg/m3)980 杨氏模量/GPa曲线 泊松比0.28 拉板夹件密度/(kg/m3)7 600 杨氏模量/GPa195 泊松比0.30
在结构场模块中,绕组、撑条、垫块部分采用2 mm的四面体网格进行剖分,三者接触部分网格采用加密处理以提高计算精度,顶层压板、底层压板等其他部件采用5 mm的四面体网格剖分。绕组网格剖分细节如图4所示,总计包含12 699 592个单元,最大单元质量为1,最小单元质量为0.423,平均单元质量为0.828,结构场求解区域内电磁力映射精度均在99.5%以上。
图4 绕组网格剖分细节
Fig.4 Detailed view of the winding grid
短路冲击下0.01 s时刻绕组漏磁分布剖面图如图5所示。短路冲击下的主空道处漏磁场的径向磁感应强度及轴向磁感应强度随时间和绕组高度的变化情况如图6所示。可以看出,磁感应强度的轴向分量数值远大于径向分量。在空间分布上,二者皆沿绕组轴向中部呈现对称分布趋势,轴向磁感应强度最大值出现在绕组中部,并向绕组上下端部逐渐递减;径向磁感应强度最大值则相反,在端部处最大,向绕组中间呈递减趋势。在时间分布上,径向磁感应强度与轴向磁感应强度均随着短路电流呈现周期性衰减趋势。
图5 短路冲击下0.01 s时刻绕组漏磁分布剖面图
Fig.5 Leakage flux distribution profile of the winding at 0.01 s under short-circuit impulse

图6 短路冲击主空道内径向磁感应强度及轴向磁感应强度分布
Fig.6 Distribution of radial and axial magnetic density in the main air duct under short-circuit impulse
0.01 s时高压绕组及低压绕组形变如图7所示。短路冲击电流的快速变化和电磁力的非均匀作用导致高压绕组产生复杂形变,高压绕组上下端部翘曲现象加剧,中部呈现向一边凸起趋势,其中高压绕组4号线饼形变量最大,约为0.366 8 mm,低压绕组中部21号线饼形变量最大,约为0.169 5 mm。与低压绕组相比,短路时高压绕组呈现更剧烈的形变。其中高压绕组4号线饼和低压绕组21号线饼轴向振动时域信号如图8所示。
图7 短路冲击0.01 s时变压器绕组形变
Fig.7 Transformer winding deformation at 0.01 s short circuit impulse
提取高压绕组4号、30号、70号线饼振动时域数据和低压绕组2号、21号、47号线饼时域振动数据,得到其相应频谱如图9所示。
图8 短路冲击时绕组轴向振动时域信号
Fig.8 Time-domain signals of winding axial vibration during short-circuit shock
图9 短路冲击时绕组轴向振动频谱
Fig.9 Spectrum of axial winding vibration in the event of a short-circuit surge
由图9中数据可知,短路冲击发生后发生“基频偏移”现象,基频由原来的100 Hz转为50 Hz,这是因为短路冲击电流中同时包含衰减的直流分量与稳定的工频交流分量,二者交叉主导产生了50 Hz的新基频项,导致振动基频向小于100 Hz的方向偏移。同时,由于短路电磁力激发了绕组系统的一阶固有频率,使得绕组遭受短路冲击时的新基频成分得以持续显现。高压和低压绕组振动加速度最大值均出现在上下端部位置,由于短路电流冲击时其瞬态波形接近脉冲信号,所含高频信号能量较弱,更易被油介质阻尼吸收消耗,与正常工况相比单次短路冲击下的瞬时振动信号中所含高倍频分量显著减少,主要集中在100~300 Hz。
变压器短时间内遭受多次短路冲击时,当绕组内应力超过铜导线的弹性极限后,导线的变形将进入塑性阶段[26],此时绕组、撑条垫块等结构的形变导致振动参量的改变将不再是单次短路冲击叠加[27-28]。铜材料弹塑性力学特性如图10所示,横轴为材料形变,纵轴为加载载荷。当绕组导线加载载荷处于比例极限点E点以下时,绕组处于比例变形弹性阶段,遵循胡克定律;当载荷增加至F点时,应力-应变表现为非线性关系,若在F点之前卸载载荷,所产生的形变会沿着OF段原始加载路径返回;超过F点即进入塑性变形阶段,若在此时卸载载荷,形变将不再完全消失。例如,在H点卸载载荷,曲线将以HI路径返回至载荷为零,此时产生数值为OI的残余形变、IH′的弹性形变;若后续继续施加载荷,起始点由O点右移至I点。
图10 铜材料弹塑性力学特性
Fig.10 Elastoplastic mechanical properties of copper materials
短路冲击下绕组模型的材料参数及几何物理模型均会发生改变,为体现累积效应对材料参数和几何参数造成的影响,在多次冲击时将每一次冲击后的几何物理模型作为下一次短路冲击的模型输入直至达到规定短路次数,同时开展如图11所示的短路应力试验,得到垫块在短路应力下的杨氏模量以及绕组线饼的双线性等向强化力学模型。考虑累积效应的电磁-力耦合场计算流程如图12所示。
图11 垫块及绕组线饼短路应力试验
Fig.11 Pad and winding wire cake short circuit stress test
以高压绕组4号线饼为例,单次短路冲击及额定工况造成的等效应力及形变如图13所示,可以看出,在单次冲击作用下,绕组承受的最大冲击应力已超过屈服强度应力,因此在冲击结束后绕组会产生塑性形变,形变量约为0.098 4 mm。
图12 考虑累积效应的电磁-力耦合场计算流程
Fig.12 Flow chart of electromagnetic-force coupled field calculation considering cumulative effect
图13 单次短路冲击及额定工况下线饼等效应力及形变
Fig.13 Equivalent force and deformation of wire cake under single short-circuit impact and rated condition
令短路电流百分比为100%,连续进行10次短路冲击,得到绕组累积形变数据见表3。由表3可以发现,在前8次短路电流冲击下,当次短路冲击后残余形变数值较上一次的数值要低,即当电磁力载荷二次加载时,在同样的电磁载荷作用下,绕组更不易发生塑性变形;而第9次短路电流冲击过后,残余形变净增量骤然升高,认为此时高压绕组发生了失稳现象,即当变压器新增一次数值相同的短路电流的冲击,绕组形变量有跳跃式的显著增加时,绕组发生失稳性断裂或形变。
表3 累积形变数据
Tab.3 Deformation data
短路冲击次数累积塑性形变/mm净增量/mm 10.098 40.098 4 20.160 30.061 9 30.213 10.052 8 40.253 20.040 1 50.286 80.033 6 60.316 50.029 7 70.338 60.022 1 80.353 60.015 0 91.649 71.296 1 103.723 72.074 0
为进一步研究累积效应下的绕组振动加速度变化趋势,将10次短路冲击电流百分比分别设为1次30%、1次60%、4次100%、4次120%,同样取高压绕组4号线饼的响应峰值,得到累积效应下的短路冲击峰值响应曲线如图14所示。
图14 累积效应下的短路冲击峰值响应曲线
Fig.14 Peak response curve of short-circuit impact with cumulative effect
由图14可以看出,短路冲击的累积效应在振动谱中同样存在并逐步加剧,其趋势与形变趋势较为一致。短路冲击初期单次的冲击对振动加速度的影响较为显著,这是因为每次短路冲击都会对变压器绕组及其支撑结构施加一定的机械应力。随着冲击次数的增多,材料会出现疲劳现象,这使得它们的抗振能力逐渐下降,导致振动加速度逐步增大。但这些部分损伤会随着冲击次数的增加而越难发生,使得振动响应增长也趋于平缓甚至出现下降,但在第8次短路冲击过后振动峰值显著提升,此时绕组可能已由微小的永久性变形转变至明显的破坏或断裂。
随着冲击次数的增加,振动系统可能逐渐变得更加复杂和不稳定,尤其是在材料疲劳或结构损伤的影响下。为进一步分析振动疲劳累积过程的动态变化,引入振动脉冲因子(VPF)、频率能量因子(FCF)、频谱宽度因子(SWF)三个振动参量。
振动脉冲因子反映振动信号中的瞬时冲击脉冲成分与整体振动强度之间的关系,表达式为
(20)
式中,amax为振动加速度最大值;arms为振动加速度方均根值;
和
分别为采样的起始和结束时刻;T为采样时间窗口,即总时长。当振动脉冲因子接近1时,说明信号中的振动较为均匀,整体呈平坦趋势;当脉冲振动因子值较大时,说明振动信号含有较强的瞬时冲击成分,表明信号的脉冲强度较大。
频率能量因子可用来表示50 Hz以及100 Hz成分在振动信号频谱中所占的比例,计算式为
(21)
式中,
为特定频率成分
的能量;
为信号所有频率成分的总能量。当频率能量因子接近0时,表示该频率成分对信号总能量贡献较小;当频率能量因子大于0.5时,表示该频率成分在信号总能量中占主导地位。
频谱宽度因子通过分析信号的频谱分布来衡量频率成分的分散程度。对于振动信号来说,频谱宽度因子可以反映变压器绕组在短路冲击过程中的频率成分变化。频谱宽度因子的最小值为0,表示信号为单一频率信号;当频谱宽度因子值越大时,表征振动信号中出现越多频率的信号,频谱越宽。频谱宽度因子计算式为
(22)
式中,μ为频率的均值,计算式为
(23)
对上述连续10次短路冲击后的振动信号进行处理后可得绕组的振动脉冲因子、频率能量因子、频谱宽度因子等振动参量的变化趋势如图15所示。
图15 多特征振动参量变化曲线
Fig.15 Multi-featured vibration parameter variation curves
随着短路冲击次数的增加,振动脉冲因子、频率能量因子、频谱宽度因子呈现不同的变化趋势,振动脉冲因子和频谱宽度因子在短路冲击第7~8次后发生明显转折,频谱能量因子中50 Hz的频率占比逐渐增多并趋于稳定,100 Hz频率占比逐渐降低并趋于稳定,二者仍然为短路冲击过程中的主要频率成分。频谱宽度因子随冲击次数的增加逐渐升高,短路冲击过程的累加使得系统振动模式更加丰富,频谱中出现更多的高倍频分量但频率能量仍集中体现在50 Hz和100 Hz。振动脉冲因子在初期快速上升,达到峰值后迅速下降,可能是由于初期冲击产生的较大脉冲引起系统强烈的振动响应,但随着冲击次数的增加,绕组发生显著变形或断裂导致振动脉冲因子逐步下降并趋于平稳。
额定工况下0.005 s时绕组漏磁分布如图16所示,可以看出在正常运行时的漏磁场数值远小于短路冲击时的漏磁场数值。
图16 0.005 s时刻变压器绕组漏磁分布
Fig.16 Leakage flux distribution in the transformer winding at 0.005 s
此时高低压绕组的形变如图17所示,可以看出绕组的形变不仅与电磁力的直接作用密切相关,还会受到绕组结构、支撑方式及材料刚度等因素的综合影响。具体而言,虽然作用于高压绕组的电磁力相对较小,但由于其较多的匝数和较细的线径,绕组结构较为紧密,可能导致电磁力局部集中,进而放大形变。而低压绕组虽然电磁力较大,但由于其较粗的线径、较少的匝数以及较大的材料刚度,电磁力分布较为均匀,因此其整体形变相对较小。
图17 0.005 s时变压器绕组形变
Fig.17 Transformer winding deformation at 0.005 s
高压绕组4号线饼以及低压绕组22号线饼轴向振动时域信号如图18所示。
图18 额定工况下0.005 s时绕组轴向振动时域信号
Fig.18 Time-domain signals of winding axial vibration during short-circuit shock
提取高压绕组4号、36号、70号线饼及低压绕组6号、22号、47号线饼频谱如图19所示。由图19可知,在额定电流激励下,高压绕组加速度幅值大于低压绕组加速度幅值,且整体趋势均为中部>上端部>下端部,主频均为100 Hz,同时伴有高倍频分量,集中在200~800 Hz,其中200、300、400、500 Hz较为明显,剩余高倍频分量含量较少。
图19 额定工况下0.005 s时绕组轴向振动频谱
Fig.19 Spectrum of axial vibration of the winding at 0.005 s under rated working condition
高压及低压绕组1~5阶的模态数据见表4,可以看出,阶数越高,激发模态所需的频率也就越高,相对应的振型也变得越复杂。绕组的前两阶固有频率分布比较均匀且绕组低阶振型比较光滑简单,主要呈现横向弯曲变形趋势,并无太多叠加现象,但整体动态特性的影响较大,分布较广。随着固有频率不断上升,高阶模态振型变得更为密集,振型也越来越复杂,叠加振型居多,三阶模态呈现水平扭转垂向振动并叠加径向倾斜的趋势,四阶和五阶振型呈现局部呼吸拉伸变形,同时表现出局部动态特性突出的特点。
表4 绕组前五阶的模态频率及振型
Tab.4 First five modal frequencies and mode shapes of the winding
阶数模态频率/Hz振型 146.97 279.22 3146.20 4286.09 5458.56
为验证上述仿真计算方法的准确性,本文搭建了正常工况试验平台及短路冲击试验平台,试验平台及相关传感器接线示意图如图20所示。
图20 试验平台及相关传感器接线示意图
Fig.20 Wiring diagram of test platform and related sensors
试验前在绕组本体上共放置24个分布式光纤振动传感器、24个应力传感器、24个应变传感器、6个磁场传感器。为使测量结果更加准确,振动传感器及应力、应变传感器均固定放置于绕组线饼处,分别位于高压绕组4号、30号、70号线饼,低压绕组2号、21号、47号线饼,沿线饼圆周方向平均分布4个,测量值取绕组线饼圆周平均值。每次短路冲击时间为(100±25)ms,实际短路试验电流设置见表5。
表5 实际短路试验电流设置
Tab.5 Actual short-circuit test current setting
次数短路电流百分比(%)试验电流/A 13093 260188 3100311 4100310 5100315 6100309 7120377 8120381
考虑样机的承受能力及安全性要求,试验累计进行短路冲击8次,每次间隔10 min。试验过程中采样时间为0.1 ms,采样频率为10 kHz,每次间隔中进行绕组电抗值测量,当电抗变化率≥2%时停止试验,否则继续进行,直到累计次数达到8次。
高压绕组4号线饼的累积形变试验值如图21所示,可看出试验测得结果与仿真及理论趋势一致。当试验短路电流值较小时,单次短路过程中产生的弹性形变在结束后消失,即不存在塑性形变;当短路应力达到屈服应力时,绕组除弹性形变外还存在塑性形变,且在绕组失稳前,塑性形变增量呈递减趋势,在绕组失稳时刻,单次形变量显著增加。
图21 多次短路冲击试验塑性形变累积量
Fig.21 Accumulation of plastic deformation in cumulative short-circuit impact test
额定工况及短路冲击时高压绕组中部及上端部的轴向振动时域信号如图22所示,振动峰值曲线及振动频谱如图23、图24所示。其误差主要来源有三:一是试验过程中传感器采集到的振动信号受上下层线饼影响;二是振动信号成分中含有少量经变压器油传递的铁心振动信号;三是仿真过程中忽略了绕组导线外的绝缘纸结构。
图22 额定工况及短路冲击试验绕组轴向振动时域信号
Fig.22 Time-domain signals of axial vibration of windings for rated condition and short-circuit shock test
图23 振动峰值仿真与试验对比
Fig.23 Plot of peak vibration simulation versus test
图24 振动频谱仿真与试验对比
Fig.24 Comparison of vibration spectrum simulation and test
将8次短路冲击后的振动信号进行处理,得到振动脉冲因子、频率能量因子、频谱宽度因子等振动参量的变化趋势如图25所示。
图25 短路冲击试验多特征振动参量变化曲线
Fig.25 Multi-featured vibration parameter variation curves of short-circuit impact test
从图25可以看出,在第8次试验后振动脉冲因子和频谱宽度因子两个特征参量出现较为明显的变化:振动脉冲因子大幅减小,频谱宽度因子增加趋势明显;而50 Hz和100 Hz的频率能量因子在第8次试验后基本保持稳定。此时测得高压绕组电抗变化率为3.17%,结合第7次试验后的电抗变化率1.64%来看,证明在第8次短路冲击后绕组发生失稳现象,终止试验。结合振动频谱数据及上述三种振动特征参量值变化趋势可以全面地描述短路试验中的绕组形变-振动特性。
本文在正常工况的基础上完成了单次及多次短路冲击下的35 kV变压器电磁-力多物理场耦合模型仿真求解及绕组形变-振动特性分析,并进一步研究了考虑累积效应时多次冲击下绕组的形变及振动规律,同时引入了振动脉冲因子、频率能量因子、频谱宽度因子等多特征振动参量实现了对绕组累积损伤的动态表征评价,最后搭建试验平台开展了多梯度短路冲击试验验证。得到以下结论:
1)在正常工况下绕组频谱以100 Hz为主,存在以100 Hz为倍数的高倍频分量,集中分布在200~800 Hz。而绕组在遭受短路冲击时会发生“基频偏移”现象,其频谱以50 Hz和100 Hz为主,存在以50 Hz为倍数的高倍频分量,集中分布在150~300 Hz,高频分量衰减明显,揭示了短路瞬态电磁力与结构动态响应的强耦合机制。
2)多次短路冲击下,绕组形变与振动呈现“渐进损伤—临界失稳”两阶段特性,随着冲击次数的增加,系统振动模式逐渐变得更加复杂和不稳定,失稳前塑性形变增量呈非线性递减趋势,但累积形变量持续增大,在绕组失稳时刻,单次形变量显著增加。
3)通过引入振动脉冲因子、频率能量因子和频谱宽度因子等多特征参量,可以有效地反映绕组振动的动态演变过程。在多次短路冲击过程中,50 Hz和100 Hz的频率成分始终主导振动响应且占比逐渐趋于稳定,振动信号表现出逐渐增大的频谱宽度,并在绕组失稳时急剧增加即出现更多的倍频分量。振动脉冲因子随短路次数增加而增加,当绕组发生失稳产生大变形时表现为下降趋势。多特征参量的协同分析为短路冲击下的绕组状态提供了定量判据。
本文通过分析多次冲击下变压器绕组的电磁-力耦合场及振动特性,揭示了多次冲击下变压器绕组形变和振动规律以及失稳突变特性,为变压器绕组振动监测和失稳状态诊断提供了新的视角,具有一定的工程指导意义。
参考文献
[1] 周利军, 员秀程, 王东阳, 等. 基于电压阻尼振荡的变压器故障绕组识别方法[J]. 电工技术学报, 2024, 39(10): 3218-3231. Zhou Lijun, Yun Xiucheng, Wang Dongyang, et al. Transformer fault winding identification method based on voltage damped oscillation[J]. Transactions of China Electrotechnical Society, 2024, 39(10): 3218-3231.
[2] 国家电网公司.变压器抗短路校核工作总结[R]. 北京: 中国电力科学研究院, 2012.
[3] 欧强, 罗隆福, 李勇, 等. 一种电力变压器短路累积机械损伤评价方法[J]. 电工技术学报, 2024, 39(8): 2578-2590. Ou Qiang, Luo Longfu, Li Yong, et al. An evaluation method for short-circuit cumulative mechanical damage of power transformer[J]. Transactions of China Electrotechnical Society, 2024, 39(8): 2578-2590.
[4] 李鹏, 隋华泽, 张书琦, 等. 基于结构模态试验的变压器绕组饼间阻尼研究[J]. 中国电机工程学报, 2025, 45(14): 5679-5690. Li Peng, Sui Huaze, Zhang Shuqi, et al. Study on inter-disk damping of transformer coils based on structural modal testing[J]. Proceedings of the CSEE, 2025, 45(14): 5679-5690.
[5] 曹辰, 王嘉麟, 李晓龙, 等. 基于电流-频域-振动参量的变压器绕组机械状态诊断方法[J]. 电机与控制学报, 2024, 28(12): 62-72. Cao Chen, Wang Jialin, Li Xiaolong, et al. Diagnosis method of transformer winding mechanical state based on current-frequency-vibration parameter[J]. Electric Machines and Control, 2024, 28(12): 62-72.
[6] 中国电力科学研究院有限公司. 国家电网有限公司变压器类设备专业工作总结[R]. 北京: 国家电网有限公司. 2022.
[7] 王栋, 詹振宇, 王伟, 等. 换流变压器振动噪声问题研究综述[J]. 电工电能新技术, 2022, 41(11): 28-42. Wang Dong, Zhan Zhenyu, Wang Wei, et al. Review on vibration and noise of converter transformer[J]. Advanced Technology of Electrical Engineering and Energy, 2022, 41(11): 28-42.
[8] 党永亮, 张玉焜, 祝令瑜, 等. 基于麦克斯韦力-振动耦合的高压油浸式并联电抗器铁心多倍频振动机理研究[J]. 电工技术学报, 2024, 39(增刊1): 117-126. Dang Yongliang, Zhang Yukun, Zhu Lingyu, et al. Study on multi-harmonic vibration mechanism of high-voltage shunt reactor core based on coupling between Maxwell force and vibration[J]. Transactions of China Electrotechnical Society, 2024, 39(S1): 117-126.
[9] 王丰华, 段若晨, 耿超, 等. 基于“磁–机械”耦合场理论的电力变压器绕组振动特性研究[J]. 中国电机工程学报, 2016, 36(9): 2555-2562. Wang Fenghua, Duan Ruochen, Geng Chao, et al. Research of vibration characteristics of power transformer winding based on magnetic-mechanical coupling field theory[J]. Proceedings of the CSEE, 2016, 36(9): 2555-2562.
[10] 张凡, 汲胜昌, 祝令瑜, 等. 短路冲击下变压器振动频响函数研究[J]. 西安交通大学学报, 2017, 51(2): 97-103, 154. Zhang Fan, Ji Shengchang, Zhu Lingyu, et al. Frequency response function of short circuit vibration for power transformer[J]. Journal of Xi’an Jiaotong University, 2017, 51(2): 97-103, 154.
[11] 聂鸿宇, 欧强, 刘睿, 等. 电力变压器低压侧短路特点分析与可靠性提升策略[J]. 变压器, 2021, 58(5): 10-13, 27. Nie Hongyu, Ou Qiang, Liu Rui, et al. Characteristic analysis and reliability improvement of short-circuit on low voltage side of power transformer[J]. Transformer, 2021, 58(5): 10-13, 27.
[12] 汲胜昌, 张凡, 钱国超, 等. 稳态条件下变压器绕组轴向振动特性及其影响因素[J]. 高电压技术, 2016, 42(10): 3178-3187. Ji Shengchang, Zhang Fan, Qian Guochao, et al. Characteristics and influence factors of winding axial vibration of power transformer in steady-state operation condition[J]. High Voltage Engineering, 2016, 42(10): 3178-3187.
[13] 张凡, 汲胜昌, 师愉航, 等. 电力变压器绕组振动及传播特性研究[J]. 中国电机工程学报, 2018, 38(9): 2790-2798, 2849. Zhang Fan, Ji Shengchang, Shi Yuhang, et al. Research on transformer winding vibration and propagation characteristics[J]. Proceedings of the CSEE, 2018, 38(9): 2790-2798, 2849.
[14] 师愉航, 汲胜昌, 张凡, 等. 变压器绕组多倍频振动机理及特性[J]. 高电压技术, 2021, 47(7): 2536-2544. Shi Yuhang, Ji Shengchang, Zhang Fan, et al. Multi-frequency vibration mechanism and characteristics of transformer windings[J]. High Voltage Engineering, 2021, 47(7): 2536-2544.
[15] 吴晓文, 张壮壮, 祝令瑜, 等. 负载因素对10 kV三相油浸式配电变压器振动特性影响的仿真研究[J]. 高压电器, 2022, 58(10): 106-115. Wu Xiaowen, Zhang Zhuangzhuang, Zhu Lingyu, et al. Simulation research on influence of load factors on vibration characteristics of 10 kV three phase oil immersed distribution transformer[J]. High Voltage Apparatus, 2022, 58(10): 106-115.
[16] Pan Chao, Wang Chengjian, Liu Ziming, et al. Winding vibration analysis of unbalanced transformer based on electromagnetic-mechanical coupling[J]. International Journal of Electrical Power & Energy Systems, 2022, 134: 107459.
[17] Witczak P, Swiatkowski M. Transmission of vibrations from windings to tank in high power transformers[J]. Energies, 2023, 16(6): 2886.
[18] Ahmad A, Javed I, Nazar W, et al. Short circuit stress analysis using FEM in power transformer on H-V winding displaced vertically & horizontally[J]. Alexandria Engineering Journal, 2018, 57(1): 147-157.
[19] Cornelius R G, Lenhard B L, Medeiros L H, et al. Electromagnetic–structural finite element analysis of copper and aluminum windings in power transformers under short-circuit conditions[J]. Energies, 2024, 17(16): 3994.
[20] 刘家骥. 油浸式变压器漏磁场及绕组短路振动分析[J]. 变压器, 2023, 60(8): 13-18. Liu Jiaji. Analysis of leakage magnetic field and windings vibration of oil-immersed transformers[J]. Transformer, 2023, 60(8): 13-18.
[21] Li Zhongxiang, Tan Yanghong, Li Yong, et al. Radial stability evaluation and cumulative test of transformer windings under short-circuit condition[J]. Electric Power Systems Research, 2023, 217: 109112.
[22] 张子康, 耿江海, 汪鑫宇, 等. 基于绕组短路冲击响应时频特性的多特征联合形变判定方法[J]. 电工技术学报, 2024, 39(20): 6564-6576, 6590. Zhang Zikang, Geng Jianghai, Wang Xinyu, et al. Multi-feature joint deformation determination method based on time-frequency characteristics of winding short-circuit impulse response[J]. Transactions of China Electrotechnical Society, 2024, 39(20): 6564-6576, 6590.
[23] García B, Burgos J C, Alonso A. Transformer tank vibration modeling as a method of detecting winding deformations: part I: theoretical foundation[J]. IEEE Transactions on Power Delivery, 2006, 21(1): 157-163.
[24] Hu Jingzhu, Liu Dichen, Liao Qingfen, et al. Electromagnetic vibration noise analysis of transformer windings and core[J]. IET Electric Power Applications, 2016, 10(4): 251-257.
[25] 刘力卿, 马小光, 李雪, 等. 变压器绕组轴向振动模型及固有振动特性影响因素研究[J]. 高压电器, 2023, 59(4): 149-155. Liu Liqing, Ma Xiaoguang, Li Xue, et al. Study on axial vibration model and influence factors of inherent vibration characteristics of transformer winding[J]. High Voltage Apparatus, 2023, 59(4): 149-155.
[26] 张凡, 吴书煜, 徐征宇, 等. 变压器绕组非线性动力学模型及多次短路冲击下的振动特征[J]. 高电压技术, 2022, 48(12): 4882-4892. Zhang Fan, Wu Shuyu, Xu Zhengyu, et al. Nonlinear vibration model of transformer windings and their vibration characteristics during multiple short circuits [J]. High Voltage Engineering, 2022, 48(12): 4882-4892.
[27] 刘君, 陈沛龙, 吕黔苏, 等. 考虑累积效应的电力变压器绕组弹塑性形变分析[J]. 电力科学与技术学报, 2024, 39(4): 255-262. Liu Jun, Chen Peilong, LüQiansu, et al. Elastic-plastic deformation analysis of power transformer windings considering cumulative effect[J]. Journal of Electric Power Science and Technology, 2024, 39(4): 255-262.
[28] 律方成, 汪鑫宇, 王平, 等. 基于振动偏离及加权熵的多次短路冲击下变压器绕组机械形变辨识[J]. 电工技术学报, 2023, 38(11): 3022-3032. Lü Fangcheng, Wang Xinyu, Wang Ping, et al. Mechanical deformation identification of transformer winding under multiple short-circuit impacts based on vibration deviation and weighted entropy[J]. Transactions of China Electrotechnical Society, 2023, 38(11): 3022-3032.
Abstract In actual working conditions, the transformer winding is exposed to a long-term vibrating environment, particularly when subjected to a short circuit impact, which significantly exacerbates the vibration of the winding and increases the likelihood of transformer mechanical failure. In the context of promoting the dual-carbon strategy and constructing a new power system, the mechanical stability of transformers is imperative for grid safety. This paper proposes a multi-physics model of electromagnetic forces to analyse the deformation and vibration characteristics of the winding under short-circuit impact. The subsequent section considers the change in geometric and material parameters under the cumulative effect of multiple short-circuit impacts. This is achieved by constructing a coupled electromagnetic-force field model of the winding under multiple short-circuit impacts, which is then used to analyse the dynamic vibration law of the winding under multiple short-circuit impacts. Furthermore, multi-characteristic vibration parameters such as the vibration pulse factor (VPF), frequency energy factor (FCF) and spectrum width factor (SWF) are introduced to describe the dynamic evolution of the cumulative damage to the winding. To verify the proposed method, a transformer normal operating condition test platform and a short-circuit impact test platform were set up. A 35 kV transformer prototype was subjected to a multi-gradient short-circuit impact test, and the results were compared and analysed with the simulation model results.
The results demonstrate that under normal operating conditions, the winding spectrum is dominated by 100 Hz, with high-order frequency components that are multiples of 100 Hz, concentrated in the range of 200 Hz to 800 Hz. However, when the winding is subjected to a short-circuit impact, the spectrum is dominated by 50 Hz and 100 Hz, with high-order frequency components that are multiples of 50 Hz, concentrated in the range of 150 Hz to 300 Hz. The high-frequency components attenuate significantly, revealing a strong coupling mechanism between the transient electromagnetic force of the short circuit and the dynamic response of the structure. In the case of multiple impacts, the deformation and vibration of the winding manifest a two-stage characteristic of 'progressive damage-critical instability'. With the increase in the number of impacts, the system vibration mode gradually becomes more complex and unstable, and the incremental plastic deformation prior to instability exhibits a nonlinear decreasing trend, whilst the cumulative deformation continues to increase. At the point of winding instability, the single deformation variable increases significantly. The incorporation of multi-feature parameters, such as the vibration pulse factor, frequency energy factor and spectral width factor, has proven effective in reflecting the dynamic evolution process of winding vibration. In the context of multiple short circuit impacts, the frequency components of 50 Hz and 100 Hz invariably dominate the vibration response, gradually stabilising to account for approximately 72% of the total. The vibration signal exhibits an incremental increase in spectral width, reaching a pronounced peak when the winding becomes unstable, concomitant with the emergence of additional multiple frequency components. It has been demonstrated that the vibration impulse factor increases with the number of short circuits, and decreases by approximately 14.7% when the winding undergoes large deformation due to instability. A quantitative criterion for the winding state under short circuit impact is provided by the collaborative analysis of multiple characteristic parameters.
Keywords:Transformer winding, vibration characteristics, short circuit impact, multi-characteristic vibration parameters, mechanical condition discrimination
DOI: 10.19595/j.cnki.1000-6753.tces.250317
中图分类号:TM41
国家重点研发计划项目(2021YFB2401700)和国家电网有限公司科技项目(SGCQDK00NYJS2200215)资助。
收稿日期 2025-02-27
改稿日期 2025-03-20
杨 帆 男,1980年生,教授,博士生导师,研究方向为输变电设备多物理场计算、电力装备数字孪生应用等。E-mail:yangfan@cqu.edu.cn(通信作者)
刘 治 男,2000年生,硕士研究生,研究方向为典型变电设备多物理场仿真计算。E-mail:liuzhi14977@cqu.edu.cn
(编辑 李 冰)