摘要 界面区域作为硅橡胶(HTV)护套与玻璃钢(FRP)芯棒复合绝缘体系中的薄弱环节,易产生初始缺陷诱发复合绝缘子的绝缘损伤。为了厘清界面状态对复合绝缘子轴向绝缘损伤演化的影响机制,该文首先建立了HTV-FRP复合绝缘界面的数值接触模型,分析了不同失效程度、不同空腔内介质环境对界面电场分布的影响;然后,设计并制备了适用于界面局部放电和击穿特性检测的复合绝缘子短试样,通过湿热加速老化获得了不同界面失效程度的样品,测试分析了界面失效对界面局部放电及击穿特性的影响;最后,基于相场方法对HTV-FRP界面绝缘损伤演化进行了分阶段模拟,并开展界面放电劣化试验对相场仿真结果进行了验证。研究结果表明:随着HTV-FRP界面脱粘程度的增加,界面电场畸变程度逐渐加剧,空腔内的水分与表面炭化现象会进一步加剧电场畸变程度;试样的局部放电强度会随着界面区域气隙率的增加而增大,击穿电压则与之相反,水分的存在会对局部放电的幅值和相位分布产生影响;极端情况下HTV-FRP界面在电应力作用下会发生由初始的空腔局部放电到整体界面击穿的绝缘失效演化过程,湿热环境条件会加速这一演化过程。该文研究结论可为进一步研究复合绝缘子酥朽劣化机制以及提升复合绝缘子的长期运行可靠性提供理论基础和实践依据。
关键词:复合绝缘子 界面 绝缘失效 局部放电 空腔
在我国特高压工程建设持续推进过程中,复合绝缘子因具备优异的防污闪性能、较高的机械强度、较轻的质量和易安装等优势,被广泛应用于架空输电线路,在解决电网污闪问题、保障电网安全运行方面发挥了重大作用[1-3]。与此同时,运行中的复合绝缘子也面临着服役寿命不及预期、更换成本高昂、高湿热地区异常发热和断串故障频发等严峻问题,对电力系统的安全稳定运行造成了严重威胁[4-6]。
复合绝缘子主要由高温硫化硅橡胶(High Temperature Vulcanized silicone rubber, HTV)护套、玻璃钢(Fiberglass Reinforced Plastic, FRP)芯棒及端部金具组成,关于酥朽发展影响因素的讨论也大多围绕上述组件的材料失效过程展开。对于硅橡胶护套材料,Cheng Li等[7]从高湿热地区采集了391支退运复合绝缘子进行了老化特性分析,发现长期湿热老化会导致硅橡胶材料的耐电蚀性能大幅降低,材料内微孔的增加为水分入侵提供了通道;沈瑶等[8]利用分子模拟方法模拟了直流电压下含不同缺陷的硅橡胶分子结构变化,通过分析电场作用下的各分子结构键长、键角、原子布局及偶极矩变化规律,探究了复合绝缘子老化后各化学陷阱的特点及发展变化趋势;彭雅楠等[9]通过试验分析了护套填料析出对芯棒酥朽老化的影响,发现析出的氢氧化铝(ATH)填料对芯棒表面老化呈现先增强后抑制的效果。对于玻璃钢芯棒,Yuan Zhikang等[10]对处于酥朽早期的复合绝缘子芯棒进行了微观及理化分析,得出水分入侵是导致FRP芯棒酥朽劣化的主要原因的结论;高坤等[11]通过湿热老化试验探讨了FRP复合材料的老化机制,指出水分入侵对树脂基体溶胀、增塑、化学键和界面化学结合的破坏,以及伴随而来的热应力损伤是造成复合材料力学性能下降的主要因素;高岩峰等[12]通过对芯棒试样开展酥朽模拟试验验证了潮湿条件下的电蚀过程是导致酥朽断裂芯棒中环氧树脂基体降解的直接原因。现有研究表明,高湿、高电场、复杂机械应力是导致复合绝缘子组件材料提前失效进而导致酥朽断串事故发生的关键因素[13]。
相较于复合绝缘子组件本体材料失效,界面区域作为复合绝缘体系中的薄弱环节更易产生初始缺陷进而诱发复合绝缘子的绝缘劣化。无论是复合绝缘子早期的脆断故障还是近年来多发的酥朽断裂故障,其缺陷的产生及演化均与护套和芯棒间的界面失效存在着紧密的联系[14-15]。华奎[16]通过仿真分析了界面缺陷对绝缘子电场分布的影响,结果表明界面处存在的气隙及水隙会对电场产生畸变作用,加剧绝缘子的老化;卢明等[17]对退运500 kV酥朽复合绝缘子进行性能检测及故障分析后得出,绝缘子内部界面缺陷会导致局部放电发热现象,长期作用下会引发芯棒酥朽故障;谢从珍等[18]对含有不同界面缺陷的复合绝缘子短试样开展了湿热老化试验,结果发现湿热条件会导致界面缺陷不断扩大并引发异常发热故障;聂章翔等[19]通过试验发现水分进入界面导致粘接缺陷并加快缺陷的扩展是界面快速老化的主要原因,并提出了界面图像老化率作为新的界面性能评价指标。目前,关于复合绝缘子护套和芯棒间界面绝缘失效的研究大多集中于已失效界面两侧老化芯棒或硅橡胶材料的理化特征分析,缺少绝缘子失效演化进程中界面状态的变化及其对界面绝缘性能影响机制的研究。此外,相较于其他场景下的局部放电监测,针对固-固复合绝缘界面的局部放电监测的难度较大,缺少HTV-FRP界面状态相关的试验分析,尚无硅橡胶护套与玻璃钢芯棒界面气隙空腔的绝缘损伤演化模型。
针对上述问题,本文首先建立HTV-FRP复合绝缘界面的数值接触模型,通过有限元计算分析不同失效程度、不同空腔内介质环境对界面电场分布的影响;然后,设计并制备适用于HTV-FRP界面局部放电和击穿特性检测的复合绝缘子短试样,通过湿热加速老化获得不同界面失效程度的样品,分析不同界面状态对HTV-FRP界面局部放电及击穿特性的影响;最后,基于相场方法对HTV-FRP界面绝缘损伤演化进行分阶段模拟,并且开展界面放电劣化试验对相场仿真结果进行验证,为进一步研究复合绝缘子酥朽劣化机制以及提升复合绝缘子的长期运行可靠性提供基础和依据。
目前注射成形和挤包穿伞是高温硫化硅橡胶复合绝缘子生产制造的主流方式,二者都是在绝缘子的制造过程中通过对硅橡胶施加压力使其紧密附着在涂敷硅烷偶联剂的芯棒表面,一定的注射压力及硅烷偶联剂的化学交联作用保证了复合绝缘子护套与芯棒界面的性能。但在长期服役环境应力的作用下,部分复合绝缘子界面会出现老化失效的现象,原本与FRP芯棒粘接良好的硅橡胶护套会出现不同程度的脱粘,进而引入空腔缺陷,空腔首先会在界面的薄弱点产生(如芯棒表面偶联剂涂敷不均匀处等),而后随着老化程度的加剧逐渐扩展、连接[20]。HTV-FRP界面接触模型如图1所示。
图1 HTV-FRP界面接触模型
Fig.1 Interface contact model of HTV-FRP
基于上述界面老化情况,本文搭建了复合绝缘子HTV-FRP界面接触模型,其中随机表面的生成通过一系列二维三角函数级数的叠加来实现[21],随机表面高度H(x, y)的表达式为
(1)
式中,W为振幅缩放因子;m、n均为整数,分别代表x、y方向的空间频率分量;N为表征随机表面精细程度的正整数;a(m, n)为正态分布的振幅系数;
(m,n)为在[-π,π]范围内均匀分布的相位。
微型空腔与接触点的串联组合构成了HTV-FRP界面的介电模型,如图1所示,外部施加的电压沿界面方向分布为
(2)
式中,Vint为作用在界面上的外部电压;
与
分别为第i个空腔及第j个接触点承担的电压降。
本文首先通过式(1)生成了表面粗糙度Ra=8的随机表面。这一表面粗糙度与测得的实际打磨后的复合绝缘子芯棒表面粗糙度相似。然后通过控制HTV与FRP的界面接触面积得到了不同失效程度的HTV-FRP界面接触模型,如图2所示,其中空腔面积Scav分别占界面总面积Sint的0%(理想无缺陷界面)、5%、20%及50%。
图2 不同失效程度的HTV-FRP界面接触模型
Fig.2 Interface contact model of HTV-FRP with different failure degrees
X射线三维显微镜(显微CT)可以实现材料结构内部孔隙的无损检测。本文使用Xradia 515 Versa型X射线显微镜扫描并重构了由界面粘接不良引起异常发热的现场退运复合绝缘子样品,测试结果如图3b所示。其中空腔面积占重构界面总面积的19.3%,对比本文建立的20%失效界面模型(如图3a所示)发现,二者具有相似的缺陷分布特征。进一步统计了仿真模型与实测界面的空腔尺寸分布情况如图3c所示,二者的空腔尺寸正态分布均值μ和标准差σ的误差分别为0.23%和17.45%,说明二者的尺寸分布具有较好的相似度。上述结果表明,本文建立的界面接触模型可以有效地模拟实际HTV-FRP界面的接触情况。
图3 HTV-FRP界面接触模型有效性对比
Fig.3 Effectiveness comparison of HTV-FRP interface contact model
此外,在不同的环境条件下,复合绝缘子HTV-FRP界面位置空腔内的介质有所差异。为了研究这种差异对界面劣化特性的影响,对空腔内介质设置不同的介电参数进行模拟,具体的材料参数见表1。
表1 界面模型相关材料参数
Tab.1 Interface model related material parameters
材料相对介电常数 HTV3.4 FRP4.2 空腔内介质(空气)1 空腔内介质(水)81
参数设置完成后,对模型垂直HTV-FRP界面的两端面分别施加高压边界条件(φhv=50 V)及接地边界条件(φground=0 V),以模拟实际运行复合绝缘子高压端承受的电场强度(500 kV/m);然后利用有限元分析软件中的静电场模块对HTV-FRP界面的电场分布情况进行仿真计算。
含不同尺寸空腔的HTV-FRP界面电场分布有限元计算结果如图4所示。从图4可以看出,随着界面空腔尺寸的扩大,电场畸变情况逐渐加剧,界面最大电场强度Emax由理想无空腔时的500 kV/m逐渐增大至空腔占比50%时的2 290 kV/m,这一电场强度极易诱发界面空腔内部的局部放电。可以推断,随着HTV-FRP界面的进一步失效,界面的最大电场强度会进一步增大直至界面被击穿。除此之外,随着空腔尺寸的增加,其内部的初始电子出现的概率增加,进而导致放电通道产生的概率提升,对外表征为空腔局部放电的起始电压降低,在相同外部电压下尺寸更大的空腔放电更剧烈[22-23]。
图4 不同空腔尺寸下界面电场分布
Fig.4 Interface electric field distribution under different cavity sizes
我国的气候特征复杂多样,复合绝缘子的运行面临着多种多样气候环境的挑战。目前对复合绝缘子威胁最大的酥朽断裂故障多发于南方和东部沿海高湿地区,说明水分入侵是导致复合绝缘子酥朽故障的主要原因。因此有必要分析水分入侵复合绝缘子并在HTV-FRP界面空腔内积聚对界面电场分布的影响。
在有限元仿真软件中,按表1参数分别将空腔内介质设置为空气与水进行模拟,得到界面空腔中存在不同介质时的电场分布情况如图5所示。图中,εcav为空腔相对介电常数。如图5a所示,当空腔内为空气介质时,由于空气介质的介电常数小于HTV和FRP材料的介电常数,因此在空腔内部会表现出电场增强的效果,使得空腔成为复合材料的绝缘薄弱点,当电场强度达到一定程度时易引发空腔内部的局部放电。如图5b所示,当空腔内为水介质时,其介电常数大于复合材料的介电常数,因此在空腔外部的HTV-FRP接触点区域表现出电场增强的效果,充满水的腔体边缘接触点处的电场强度较干燥空腔可提高5倍以上,此时接触点区域成为主要的承压区域,在长期运行条件下可能会导致复合材料的分子链断裂、局部绝缘劣化。相较于空腔内为空气介质的情况,水分在空腔内积聚会降低空腔内的起晕场强,更易诱发腔内局部放电的发生,进而加速复合绝缘材料的老化。
图5 不同空腔介质条件下界面电场分布
Fig.5 Interface electric field distribution in different cavity media
在高场强条件下,界面空腔内出现局部放电现象时,空腔可近似视为导通状态,此时如果外部电场强度减小,空腔内的绝缘性能仍可恢复。但在长期局部放电的持续作用下,空腔内表面的复合材料逐渐氧化、降解形成炭化通道,此时空腔绝缘性能的丧失是不可逆的。赋予空腔一个较大的相对介电常数以模拟内部导通状态,得到空腔完全导通时的界面电场分布如图5c所示。从图5c可以看出,空腔导通时的界面电场分布形式与水分入侵时的电场分布相似,电场均集中于空腔周围的接触区域,但导通时的电场畸变程度远大于水分入侵时,可能会进一步引起接触点区域的绝缘失效。
为了研究不同界面状态下复合绝缘子的内部局部放电与击穿特性,同时尽可能地减小表面泄漏电流对试验结果的影响,本文制作了内置铜箔电极的复合绝缘子短试样,示意图如图6所示。试样由玻璃钢(FRP)芯棒、高温硫化硅橡胶(HTV)护套及导电铜箔组成,其中玻璃钢芯棒由体积分数约为80%的ECR玻璃纤维(electrical/chemical resistant glass fiber)及双酚A型环氧树脂挤拉成型,直径为18 mm。首先,截取130 mm长的芯棒短试样,在其表面对称贴覆长度为50 mm、厚度为0.15 mm的两段铜箔作为加压电极,铜箔间距设置为10 mm;然后,在表面涂覆硅烷偶联剂,晾干后采用挤包工艺将厚度为3 mm的硅橡胶护套挤压至短试样表面;最后,剥除部分端部护套确保两端各有长度为10 mm的铜箔电极裸露在外,便于后续加压操作。
图6 试样示意图
Fig.6 Schematic diagram of test sample
实际运行复合绝缘子内部劣化多发于电场集中的高压端部。为了验证加压后制得的试样界面区域承担的电场特征与实际500 kV复合绝缘子高压端部界面区域相似,本文对加压后二者的界面电场分布情况进行了仿真计算,结果如图7所示。其中对试样模型施加10 kV工频高压,电场云图中隐藏了部分边界以便于展示界面电场情况。
图7 实际复合绝缘子与短试样的界面电场分布情况
Fig.7 Interface electric field distribution between actual composite insulator and short sample
从图7a可以看出,实际运行中复合绝缘子端部界面区域出现了电场集中的情况,同时电场方向主要为绝缘子轴向方向;图7b所示短试样界面区域的电场集中情况和电场方向与实际复合绝缘子高压端部电场相似,说明本文制作的样品能够近似等效实际绝缘子高压端部易出现绝缘问题的界面区域。
考虑到湿热环境会促进复合绝缘子FRP芯棒与HTV护套间缺陷的产生与加速扩展[18-19],为了获得不同界面状态的老化样品,本文选用湿热老化试验对试样进行预处理。开展湿热老化试验前使用耐高温硅胶套对试样两端进行密封处理,减少水分从端部界面入侵试样,而后将样品放置于电热恒温水浴锅中进行不同时长(10、15、20 d)的100℃水煮老化。
2.2.1 局部放电监测系统
本文采用脉冲电流法测量试样界面处的局部放电,搭建的局部放电检测系统主要由工频高压试验电源、分压器和数字式局部放电综合分析仪(TWPD-2P)组成,其接线示意图如图8所示。试样端部采用夹接导电环及均压电极的加压方式,以减小端部裸露铜箔电晕放电的影响。此外,为了减小背景电磁噪声对测量结果的干扰,上述测量系统及测量试验均在电磁屏蔽室内开展。
图8 局部放电测试接线示意图
Fig.8 Partial discharge test wiring diagram
2.2.2 界面绝缘强度测试
为了测试HTV-FRP界面的绝缘强度,本文选用DDJ-100kV型电压击穿试验仪对不同界面状态试样进行击穿试验。Weibull分布能够有效地描述电击穿电压的分布特性,在绝缘体系的可靠性分析中被广泛使用[24],表达式为
(3)
式中,F为电压小于击穿电压
时的累计失效概率;α为尺度参数,这里表示击穿概率为63.2%时的击穿特征电压;β为形状参数,β值越大表示击穿电压的分散性越小。
2.3.1 界面状态对局部放电的影响
不同水煮时长后复合绝缘子试样界面微观形貌如图9所示。从图9可以看出,未老化的硅橡胶护套和玻璃钢芯棒界面粘接状态良好,未发现明显的脱粘情况;水煮老化10 d后的试样界面出现了局部小区域的脱粘;水煮老化15 d后的试样界面脱粘情况加剧,空腔的尺寸进一步加大;水煮老化20 d后试样界面出现了连续的脱粘现象,部分界面区域出现了完全脱粘。上述结果说明,水煮过程中界面材料的热水解效应引发了硅橡胶护套和玻璃钢芯棒界面的破坏,随着水煮老化时间的增加,HTV-FRP界面的失效程度逐渐增加。
图9 不同水煮时长后试样界面的破坏情况
Fig.9 Damage of sample interface after different boiling time
参考IEC 60034-18-41:2014[25]对试样界面的局部放电起始电压进行测试。对全新未老化试样加压至20 kV仍未检测到明显的放电信号,可以认为全新试样内部界面性能良好,不存在足以引起局部放电的微缺陷。当外加6.2 kV电压时,在水煮10 d干燥后的试样的测试结果中发现了放电信号。假设界面处的局部放电会随着水煮时长的增加而加剧,取6.2×1.5≈10 kV作为本文局部放电测试的工频恒定电压。
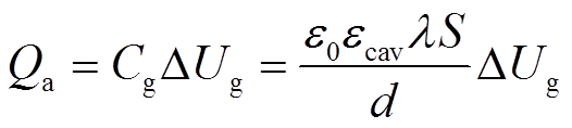
不同界面状态试样的局部放电相位分布(Phase-Resolved Partial Discharge, PRPD)谱图如图10所示。从图10可以看出,放电相位主要集中于PRPD谱图第一象限和第三象限,即电压的上升沿和下降沿。随着老化时间的增加,HTV-FRP界面的气隙率增加,试样的放电幅值增大,局部放电更加剧烈。含空腔界面区域的阻容放电模型如图11所示。图11中,Rg、Cg分别为空腔区域的阻容,Rb、Cb分别为空腔相邻接触区域的阻容,Rb、Cb分别为空腔相邻接触区域的阻容,R1、C1和R2、C2分别为其余区域FRP和HTV的阻容。当空腔内部场强达到其击穿场强时,发生局部放电,导致Cg承担电压下降ΔUg,该过程视在放电量Qa[26]为
(4)
式中,
为真空介电常数;d为空腔长度;S为空腔面积;λS为空腔内的实际放电面积,λ=0~1。由式(4)可知,HTV-FRP界面分布的空腔面积S越大,放电量Qa越大,结合图4仿真结果可知,电场的畸变程度也随着空腔面积S的增加而增大,更易诱发局部放电。

图10 不同界面状态下复合绝缘子短试样界面局部放电情况
Fig.10 Partial discharge at short sample interface of composite insulator under different interface conditions
图11 HTV-FRP界面空腔局部放电模型
Fig.11 Surface temperature rise distribution of composite insulator
同时,随着界面缺陷的增加,PRPD谱图中的放电丛形状逐渐展现出“兔耳”特征,这一特征与空间电荷在空腔中的积累与消散过程相关[27]。如图11a所示,在电压极性未反转时(对应边界条件1),在空腔两端积聚的空间电荷产生的电场Eq与外施电压在空腔内产生的电场E0方向相反,叠加后的有效电场Ec较小,对放电起阻碍作用;当极性反转时(对应边界条件2),若HTV和FRP材料绝缘状态良好,陷阱密度较大,空间电荷的迁移较慢,未耗散的电荷产生的电场Eq会与E0方向相同,叠加后产生较大的有效电场Ec会诱发高幅值放电脉冲。
对比图10a和图10b可发现,当水分入侵界面空腔缺陷内部时会显著影响其局部放电特征,具体表现为HTV-FRP界面气隙缺陷的起始放电电压降低,放电相位分布变宽,放电量幅值提高,放电次数增加。结合图11b界面等效电路模型可知,水分子作为极性分子扩散至空腔内部时,会导致空腔的Cg增大,发生放电时的Qa随之增大[28]。此外,水分扩散至气隙时会附着在其内绝缘材料表面,导致绝缘表面导电性增加,HTV-FRP界面的电阻率降低,载流子迁移过程中受到的阻碍作用减弱,电荷将分布在更大面积的绝缘表面上,实际放电面积λS增大,诱发多点位大量放电脉冲,导致局部放电特征由较为集中的“兔耳”状演变为扩展至其他象限的弥散分布,相位分布变宽[29]。
2.3.2 界面状态对击穿强度的影响
根据2.2.2节所述试验方法对不同界面状态试样的击穿电压进行测试,采用式(3)拟合后的试验结果如图12所示。由图12可知,随着老化时间的增加,HTV-FRP界面的击穿电压不断减小,结合1.2节的仿真结果可知,空腔的增加会导致界面电场畸变,成为绝缘体系中的薄弱点,连续的空腔放电更易形成导通路径,导致界面击穿的发生。此外,随着界面区域空隙率的增加,形状参数β越来越小,表示击穿电压分散度越来越大,即击穿行为更加随机,这可能与界面空腔的随机分布使得击穿路径更为随机有关[30]。
图12 不同界面状态下复合绝缘子短试样界面击穿电压分布
Fig.12 Interface breakdown voltage of composite insulator short sample under different interface states
相场模型通过引入一个与时间t和空间坐标x相关的连续标量场(即相场)η(x, t)来表示材料的损伤状态[31-32]。对于HTV-FRP界面绝缘演化过程而言,相场值η=1代表该区域材料绝缘性能良好;相场值η=0代表该区域材料绝缘性能丧失殆尽,完全击穿;相场值η介于0~1之间时代表该区域仍保留有一定的介电强度。介电击穿后的HTV-FRP界面通常会形成完全导电的电火花通道或炭化通道[33],故在进行数值模拟时可以通过如式(5)所示的退化函数赋予其高介电常数。
(5)
式中,
和εd分别为初始状态下材料的相对介电常数及击穿状态下材料的相对介电常数;;1-f (η)为退化函数,表示由于损伤的存在而导致的击穿能的折减;ε(η)为材料绝缘损伤过程中相对介电常数的演化。
利用相场模型求解材料的绝缘损伤问题时,可以认为材料内的总能量П为静电能Пelec、击穿能Пbreak及梯度能Пi之和,如式(6)所示,电树的生长与演化应满足总能量最小的条件。
(6)
参考Griffith能量判据,电树枝在聚合物材料中的演化是静电能与击穿能之间竞争的结果,当外部能量大于材料击穿的临界静电能密度时,电树就会生成并演化,同时使得系统的总自由能降低[34]。静电场的拉格朗日函数L为
(7)
式中,φ为标量电位;ρ为电荷密度。
结合Gauss定理,对式(7)进行积分可得系统的总静电能Пelec为
(8)
式中,E为场域V中的电场强度;D为场域V中的电位移矢量。
类比线弹性系统的弹性势能,电介质系统的击穿能被用来表示材料击穿前由于电场强度逐渐增加而具有的能量。随着材料逐渐被击穿,这部分能量会随之耗散。基于此,系统的总击穿能Пbreak可以表示为
(9)
式中,wb为临界静电能密度,其大小由电介质材料的临界击穿场强Ecr决定。
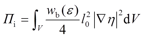
系统的梯度能Пi用来描述相场模型中产生过渡面所耗散的能量,表达式为
(10)
式中,l0为相场模型的特征宽度,用来表征相场弥散区域的大小。
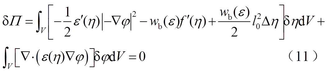
对总能量泛函П(η, φ)执行关于电位变量φ和相场变量η的变分原理,表示为
由于电位变量φ和相场变量η的相互独立性,可由式(11)进一步推导出系统趋于平衡时的欧拉-拉格朗日方程为
(12)
利用有限元计算软件中的PDE模块对上述过程进行建模。需要说明的是,复合绝缘子在工频(50 Hz)下的工作温度较低,因此本文建立的相场模型中的总能量П忽略了热场能量的贡献。此外,为了保证计算的效率及结果的直观性,对含空腔的HTV-FRP模型进行了简化处理,参考交流放电起始电压及交流击穿强度试验结果设置了模型的工频高压边界条件,简化后的界面绝缘损伤相场二维模型如图13所示。
图13 界面绝缘损伤相场二维模型
Fig.13 Two dimensional phase field model of interface insulation damage
结合1.2节和1.3节界面位置电场分布仿真结果可知,由于空气与HTV及FRP材料相对介电常数和介电击穿强度的差异,HTV-FRP界面在电应力作用下的介电击穿过程大致可以分为两个阶段:首先是发生在界面空腔内的电火花放电,当电火花放电加剧或者长期作用导致空腔内部出现炭化通道而导通时,视为空腔失效;随着局部电场的不断增强,绝缘损伤进入第二阶段,即界面接触区域的逐步失效击穿,最终导致导通的空腔被桥接。本文通过对空腔分别设置空气介质(εi=1、η=1)及导通介质(εi=10 000、η=0)的初始材料参数及相场序参量初始值,建立了模拟两阶段击穿过程的相场模型,有限元计算结果如图14、图15所示。
图14 空腔内部绝缘击穿演化过程
Fig.14 Evolution process of insulation breakdown in cavity
图14为HTV-FRP界面空腔内部的流注放电发展过程,可见放电起始于空腔的端部,此处为空气、HTV及FRP三种材料的交界处,同时也是电场畸变最为集中的地方。流注放电初期,击穿路径的发展速度较为缓慢,在静电能的驱动下逐渐加速直至

图15 界面接触区域绝缘损伤演化过程
Fig.15 Evolution of insulation damage in interface contact region
击穿,此阶段中击穿路径上的电场强度大于气体的击穿场强但小于固体介质的击穿场强,故放电局限于空腔内部发展直至导通。
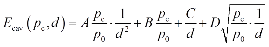
根据Paschen定律[35],空腔内部的临界击穿场强Ecav可以表示为
(13)
式中,p0为标准大气压101.325 kPa;pc为空腔内的压强;A、B、C、D为经验常数,与气体种类和电极材料有关。由式(13)可知,空腔的临界击穿场强随空腔尺寸的增大而减小,因此大空腔比小空腔对界面绝缘性能的威胁更大。
不规则的空腔形状会增大其内部的电场强度[36],对于本文分析采用的椭圆形空腔模型而言,增强因子
可以表示为
(14)
式中,
为空腔周围接触区域复合材料的相对介电常数;k为形状因子,与椭圆形空腔长轴与短轴之比呈正相关,即k随空腔在场强方向上的伸长而增加。由式(13)计算得到的Ecav除以增强因子
即可得到修正后的空腔临界击穿场强计算式。可以看出,沿场强方向畸变的空腔形状以及空腔周围接触区域较大的相对介电常数均会导致空腔临界击穿场强的减小。
当流注通道由椭圆形空腔的某一端点发展至另一端点时,整个空腔会被充满正、负离子混合质的高导电性通道所贯穿。此时若场强进一步增大,空腔内的带电质点会继续从外部电场获得能量,发展成更强烈的电离,使空腔内部带电质点的浓度急剧增长,最终导致空腔完全导通绝缘失效[37-38]。此时可以将失效的空腔域赋予高导电性的介电参数,主要承压区域也由空腔转换为空腔周围的接触点区域,在较高的局部场强下,HTV-FRP界面接触点区域绝缘击穿的发展过程如图15所示。
当界面空腔绝缘失效后,高导电性的空腔会加剧空腔间接触点区域的电场集中,最终导致畸变电场大于复合材料的本征击穿电场诱发绝缘击穿发展。击穿路径主要沿HTV-FRP接触面发展,初始阶段的绝缘击穿发展得较为缓慢,随着击穿路径的不断扩展,导电通道头部的局部电场逐渐增大,对应静电能密度也相应增大,使得导电通道快速发展直至击穿。失效空腔间接触点区域的击穿会导致空腔间的桥接,使得绝缘失效空腔的等效尺寸进一步增大,微观缺陷的不断发展最终会导致复合绝缘子护套-芯棒宏观界面的内击穿。
为了验证相场仿真结果的正确性,复现复合绝缘子内部界面绝缘失效早期的电蚀演化进程,本文搭建了如图16a所示的HTV-FRP界面湿放电老化平台,经过水煮20 d预老化后的样品被固定于恒温恒湿箱中,试样两端裸露的铜箔经夹持的环形电极分别连接工频高压和地。恒温恒湿箱通入去离子水雾以保持95%的高湿环境,待试样稳定吸湿7 d后对试样施加10 kV工频高压,湿放电老化时间设为6 h。
图16 HTV-FRP界面放电过程中的电蚀炭化演化过程
Fig.16 Evolution of electrochemical erosion and carbonization during discharge at the HTV-FRP interface
经过2、4、6 h的放电老化后,剥除试样的HTV护套,在电子显微镜下观察FRP芯棒表面的电蚀特征如图16b所示。从图16b中可以看出,当界面放电老化2 h时,在电应力的持续作用下,界面缺陷附近的环氧树脂基体水解炭化,FRP芯棒表面出现了小范围的电蚀炭化点;随着界面局部放电时间的增加,界面放电老化4 h时炭化点区域在绝缘子轴向方向上进一步扩展,范围增大数量增多;当界面放电老化6 h时,在FRP芯棒表面已经可以观察到轴向扩展的连续炭化通道,这说明该区域的绝缘缺陷已经桥连,界面绝缘损伤进一步加剧,这一过程可以视为相场模拟的宏观表征;继续进行界面湿放电老化试验至最后会发生界面区域的轴向电蚀击穿,导致界面绝缘失效,此时树枝状电蚀通道在界面铜箔电极间贯通,在显微镜下可以观察到芯棒表面电蚀通道区域环氧树脂基体降解、玻璃纤维裸露,与图16c所示实际退运酥朽复合绝缘子端部发现的特征形状相似。据此可以说明本文方法能够对界面失效引起的电蚀现象进行有效模拟。
由于复合绝缘子HTV护套与FRP芯棒间的材料差异性,在其生产过程中需采用偶联剂在两种材料间形成连接界面,该界面的绝缘可靠性直接关系到复合绝缘子的安全稳定运行。在理想情况下,复合绝缘子HTV-FRP界面在服役周期内应始终保持良好的粘接质量。但在生产制造过程中,界面粘接质量可能会受到芯棒表面脱模剂析出[39]、护套注射成型压力及温度变化的影响,呈现不均匀分布,在长期运行过程中受到电晕老化、水分入侵及交变机械载荷的影响,极有可能在界面性能薄弱位置造成交联点的失效,进而导致缺陷的产生[40]。界面脱粘成核过程示意图如图17a所示。
当HTV-FRP界面由于制造工艺不完善等内因或环境应力等外因引入初始缺陷(空腔)后,在电场的作用下可能会引发由初始的空腔局部放电到整体界面击穿的绝缘失效演化过程。结合相场模拟和界面放电老化试验结果,按照发展的时序及特征可分为如图17b所示的三个阶段:
图17 复合绝缘子轴向绝缘失效机制
Fig.17 Axial insulation failure mechanism of composite insulators
阶段Ⅰ为空腔内电晕放电阶段。此阶段初期腔内主要存在电晕放电等预放电过程,局部的电晕放电始于空腔端部HTV、FRP及腔内气体三介质交界的电场集中处,伴随着气体电离释放出一定量的带电离子及辐射光子。随着加压时间的增加以及水分的入侵,空腔内部的电晕放电会由较为均匀稳定的电子崩性质的自持放电转变为不均匀、不稳定的流注性质的自持放电,如图14所示。产生的大量能量作用于空腔内表面聚合物材料会使得其分子链断裂,材料不断降解、炭化。阶段末期,芯棒表面开始出现小范围的电蚀炭化点,如图16b所示。
阶段Ⅱ为接触点绝缘失效阶段。由1.3节仿真结果可知,空腔内高导电性的放电火花及内表面的炭化导通使得界面接触点承受较大的电压降,同时失效空腔端部由于电场集中诱发尖端局部放电产生的大量热及光子会加速接触点区域材料内陷阱电荷的脱陷及传输[41]。此外,放电释放的大量能量进一步作用于绝缘失效空腔两端的聚合物材料,导致分子链断裂,材料持续降解并炭化,如图15所示。最终,接触点区域的材料降解失效,形成炭化通道,桥接相邻的失效空腔,宏观上表现为连续的炭化通道,如图16b所示。
阶段Ⅲ为电蚀放电通道快速发展阶段。伴随着局部放电程度的进一步增强,流经界面连续炭化区域的电流显著增加,积聚的热量产生双重效应:一方面,热量持续烧蚀聚合物材料,使电蚀炭化通道不断拓宽和延伸;另一方面,界面空腔内的气体受热膨胀,产生较大的内压,加速界面的破坏[42]。这一过程会导致更大规模的脱粘现象,进一步加剧放电通道在界面区域的扩展,最终导致复合绝缘子护套与芯棒之间的宏观界面发生内击穿。
本文建立了复合绝缘子HTV-FRP界面的数值接触模型,分析了不同界面状态对电场分布的影响,搭建了局部放电测试平台并制备得到了不同界面失效程度复合绝缘子短试样,进一步研究了不同界面状态对HTV-FRP界面局部放电及击穿特性的影响。基于相场方法对HTV-FRP界面绝缘损伤演化进行了分阶段模拟,开展界面放电劣化试验对相场仿真结果进行了验证,得到主要结论如下:
1)随着HTV-FRP界面空腔尺寸的扩大,电场畸变情况逐渐加剧,界面区域的放电幅值增大,其内部的初始电子出现的概率增加,进而导致放电通道产生的概率提升,对外表现为空腔局部放电的起始电压降低,在相同的外部电压下尺寸更大的空腔放电更剧烈。同时,PRPD谱图中的放电丛形状随界面失效程度的增加逐渐展现出“兔耳”特征,这一特征与空间电荷在空腔中的积累与消散过程相关。
2)随着界面失效程度的增加,HTV-FRP界面的击穿电压不断减小,界面连续的空腔放电更易形成导通路径,导致界面击穿的发生。此外,随着界面区域空隙率的增加,击穿电压分散度越来越大,即击穿行为更为随机,这与界面空腔的随机分布会导致击穿路径更为随机有关。
3)潮湿环境下水分入侵界面空腔时,其介电常数大于复合材料的介电常数。在空腔外部的HTV-FRP接触点区域表现出电场增强的效果,充满水的腔体边缘接触点的电场强度较干燥空腔可提高5倍以上。界面的起始放电电压降低,放电相位分布变宽,放电量幅值提高,放电次数增加,在长期运行条件下可能会导致复合材料的分子链断裂、局部降解炭化。
4)结合相场模拟和界面放电老化的试验结果,复合绝缘子HTV-FRP界面轴向绝缘失效按照发展的时序及特征可分为空腔内电晕放电、接触点绝缘失效和电蚀放电通道快速发展三个阶段,在此过程中,HTV-FRP界面的粘接性能和HTV护套对水分入侵的阻隔性能成为制约复合绝缘子长期安全运行的关键因素。
参考文献
[1] 梁曦东, 仵超, 左周, 等. 高电压有机外绝缘发展综述与展望[J]. 中国电机工程学报, 2024, 44(18): 7412-7426. Liang Xidong, Wu Chao, Zuo Zhou, et al. Review and prospects for development of high voltage outdoor organic insulation[J]. Proceedings of the CSEE, 2024, 44(18): 7412-7426.
[2] 舒印彪, 张文亮. 特高压输电若干关键技术研究[J]. 中国电机工程学报, 2007, 27(31): 1-6. Shu Yinbiao, Zhang Wenliang. Research of key technologies for UHV transmission[J]. Proceedings of the CSEE, 2007, 27(31): 1-6.
[3] 梁曦东, 高岩峰, 王家福, 等. 中国硅橡胶复合绝缘子快速发展历程[J]. 高电压技术, 2016, 42(9): 2888-2896. Liang Xidong, Gao Yanfeng, Wang Jiafu, et al. Rapid development of silicone rubber composite insulator in China[J]. High Voltage Engineering, 2016, 42(9): 2888-2896.
[4] 胡琴, 陈旭烨, 闻君, 等. 强暴雨天气下复合悬式绝缘子交流闪络特性[J]. 电工技术学报, 2025, 40(9): 2970-2981. Hu Qin, Chen Xuye, Wen Jun, et al. AC flashover characteristics of composite suspension insulators under heavy rainstorm[J]. Transactions of China Electrotechnical Society, 2025, 40(9): 2970-2981.
[5] Cheng L, Mei H, Wang L, et al. Research on aging evaluation and remaining lifespan prediction of composite insulators in high temperature and humidity regions[J]. IEEE Transactions on Dielectrics and Electrical Insulation, 2016, 23(5): 2850-2857.
[6] 曹雯, 杨特, 申巍, 等. 变湿度条件下不同老化程度复合绝缘子的红外温升行为及特征分析[J]. 电工技术学报, 2025, 40(17): 5601-5614. Cao Wen, Yang Te, Shen Wei, et al. Infrared temperature rise behavior and characteristic analysis of composite insulators with different aging degrees under variable humidity conditions[J]. Transactions of China Electrotechnical Society, 2025, 40(17): 5601-5614.
[7] Cheng Li, Wang Liming, Guan Zhicheng, et al. Aging characterization and lifespan prediction of silicone rubber material utilized for composite insulators in areas of atypical warmth and humidity[J]. IEEE Transactions on Dielectrics and Electrical Insulation, 2016, 23(6): 3547-3555.
[8] 沈瑶, 刘兴杰, 梁英, 等. 基于硅橡胶分子链陷阱变化的复合绝缘子老化现象[J]. 电工技术学报, 2024, 39(17): 5545-5554. Shen Yao, Liu Xingjie, Liang Ying, et al. Aging phenomenon of composite insulators based on chemical traps’ change of silicone rubber molecular chain[J]. Transactions of China Electrotechnical Society, 2024, 39(17): 5545-5554.
[9] 彭雅楠, 李文栋, 曾世胤, 等. 界面湿放电下护套ATH填料析出对绝缘子芯棒酥朽老化的影响[J]. 高电压技术, 2024, 50(4): 1673-1683. Peng Yanan, Li Wendong, Zeng Shiyin, et al. Effect of HTV housing ATH filler precipitation on decay-like aging of FRP core rod under interfacial wet discharge condition[J]. High Voltage Engineering, 2024, 50(4): 1673-1683.
[10] Yuan Zhikang, Tu Youping, Zhao Yongfei, et al. Degradation behavior and aging mechanism of decay-like fractured GRP rod in composite insulator[J]. IEEE Transactions on Dielectrics and Electrical Insulation, 2019, 26(3): 1027-1034.
[11] 高坤, 史汉桥, 孙宝岗, 等. 湿热老化对玻璃纤维/环氧树脂复合材料性能的影响[J]. 复合材料学报, 2016, 33(6): 1147-1152. Gao Kun, Shi Hanqiao, Sun Baogang, et al. Effects of hydro-thermal aging on properties of glass fiber/epoxy composites[J]. Acta Materiae Compositae Sinica, 2016, 33(6): 1147-1152.
[12] 高岩峰, 梁曦东. 复合绝缘子酥朽断裂研究(二): 酥朽断裂的试验模拟及预防措施讨论[J]. 中国电机工程学报, 2016, 36(18): 5070-5077, 5132. Gao Yanfeng, Liang Xidong. Study on decay-like fracture of composite insulator, part Ⅱ: experimental simulation and preventive method discussion of decay-like fracture[J]. Proceedings of the CSEE, 2016, 36(18): 5070-5077, 5132.
[13] 钟正. 高湿环境下复合绝缘子芯棒酥朽劣化机制及温升特性研究[D]. 北京: 华北电力大学, 2022. Zhong Zheng. Research on decay-like deterioration mechanismand temperature rise characteristics of composite insulator rod under high humidity[D]. Beijing: North China Electric Power University, 2022.
[14] Gao Chao, Peng Yanan, Zhang Shiyao, et al. Mechanism analysis of composite insulators deterioration and decay-like aging caused by internal discharge in transmission lines[J]. IEEE Access, 2023, 11: 114582-114589.
[15] Peng Yanan, Li Wendong, Zeng Shiyin, et al. Reproduction and analysis of decay-like aging development induced by interfacial discharge in composite insulators[J]. IEEE Transactions on Dielectrics and Electrical Insulation, 2023, 30(4): 1858-1867.
[16] 华奎. 复合绝缘子芯棒和护套界面缺陷的影响因素及其发展过程研究[D]. 武汉: 华中科技大学, 2019.Hua Kui. Study on influencing factors and development process of composite insulator core rod and sheath interface defects[D]. Wuhan: Huazhong University of Science and Technology, 2019.
[17] 卢明, 张中浩, 李黎, 等. 复合绝缘子酥朽发热老化的原因分析[J]. 电网技术, 2018, 42(4): 1335-1341. Lu Ming, Zhang Zhonghao, Li Li, et al. Reason analysis of decay-like aging for composite insulator [J]. Power System Technology, 2018, 42(4): 1335-1341.
[18] 谢从珍, 李煜, 苟彬, 等. 湿热环境下含芯棒-护套界面缺陷复合绝缘子的界面老化机制研究[J]. 绝缘材料, 2024, 57(4): 72-81. Xie Congzhen, Li Yu, Gou Bin, et al. Study on interface ageing mechanisms of composite insulators with core-sheath interface defects under hygrothermal environment[J]. Insulating Materials, 2024, 57(4): 72-81.
[19] 聂章翔, 王黎明, 杨翠茹. 复合绝缘子芯棒与护套交界面在水和高温作用下的老化特性[J]. 中国电机工程学报, 2018, 38(15): 4601-4611, 4661. Nie Zhangxiang, Wang Liming, Yang Cuiru. Aging characteristics of interface between core and sheath of composite insulators under water and high temperature [J]. Proceedings of the CSEE, 2018, 38(15): 4601-4611, 4661.
[20] 孟祥龙, 尚瑞琦, 樊浩楠, 等. 湿热环境下脂环族环氧树脂绝缘子和硅橡胶复合绝缘子芯棒-护套界面老化特性研究[J]. 电网技术, 2023, 47(1): 396-403. Meng Xianglong, Shang Ruiqi, Fan Haonan, et al. Aging characteristics of core rod-sheath interface of alicyclic epoxy insulator and silicone rubber composite insulator under humid and hot environment [J]. Power System Technology, 2023, 47(1): 396-403.
[21] Barnsley M F, Devaney R L, Mandelbrot B B, et al. The Science of Fractal Images[M]. New York: Springer, 1988.
[22] Thanua N, Kumbhar G B. Plasma dynamics-based modeling and analysis of partial discharge in voids inside insulation of power transformer[J]. IEEE Transactions on Plasma Science, 2023, 51(1): 284-294.
[23] Niemeyer L. A generalized approach to partial discharge modeling[J]. IEEE Transactions on Dielectrics and Electrical Insulation, 1995, 2(4): 510-528.
[24] 纪多, 李春阳, 杨旭, 等. 表面接枝电压稳定剂改善三元乙丙橡胶界面绝缘性能[J]. 电工技术学报, 2025, 40(15): 4941-4953. Ji Duo, Li Chunyang, Yang Xu, et al. Enhanced interface insulation performance of EPDM by surface grafting of voltage stabilizer[J]. Transactions of China Electrotechnical Society, 2025, 40(15): 4941-4953.
[25] International Electrotechnical Commission. Rotating electrical machines - part 18-41: partial discharge free electrical insulation systems type I) used in rotating electrical machines fed from voltage converters-qualifification and quality control tests: IEC 60034-18-41:2014[S]. Geneva: IEC, 2014.
[26] 潘浩, 殷庆铎, 高文胜. 固体绝缘中气隙尺寸对局部放电过程的影响[J]. 高电压技术, 2008, 34(3): 458-461. Pan Hao, Yin Qingduo, Gao Wensheng. Influence of void dimensions on partial discharge in solid insulation[J]. High Voltage Engineering, 2008, 34(3): 458-461.
[27] 李志辉, 解曾祺, 任瀚文, 等. 高频电应力下温度对复合绝缘界面局部放电特性的影响机制[J]. 中国电机工程学报, 2023, 43(22): 8965-8977. Li Zhihui, Xie Zengqi, Ren Hanwen, et al. Influence mechanism of temperature on partial discharge characteristics of composite insulation interface under high frequency electrical stress[J]. Proceedings of the CSEE, 2023, 43(22): 8965-8977.
[28] 李群, 赵宇民, 金元, 等. 基于水分含量的油纸绝缘气隙缺陷放电特性研究[J]. 变压器, 2018, 55(12): 58-62. Li Qun, Zhao Yumin, Jin Yuan, et al. Research on PD of gas cavity in oil-paper insulation based on moisture content[J]. Transformer, 2018, 55(12): 58-62.
[29] 杜伯学, 姜金鹏. 换流变压器油纸绝缘水分对局部放电行为的影响综述[J]. 高电压技术, 2021, 47(8): 2932-2945. Du Boxue, Jiang Jinpeng. Research progress on influence of water content of oil-paper insulation on partial discharge of converter transformer[J]. High Voltage Engineering, 2021, 47(8): 2932-2945.
[30] 李泽瑞, 周凯, 陶霰韬, 等. 基于介观接触形貌分析的XLPE-SiR界面击穿特性[J/OL]. 中国电机工程学报, 2025: 1-10[2025-03-04]. https://link.cnki. net/doi/10.13334/j.0258-8013.pcsee.241856. Li Zerui, Zhou Kai, Tao Xiantao, et al. Breakdown characteristics of XLPE-SiR interface based on mesoscale contact morphology analysis[J/OL]. Proceedings of the CSEE, 2025: 1-10[2025-03-04]. https://link.cnki.net/doi/10.13334/j.0258-8013.pcsee. 241856.
[31] Zhu Mingxiao, Song Henggao, Li Jiacai, et al. Phase-field modeling of electric-thermal breakdown in polymers under alternating voltage[J]. IEEE Transactions on Dielectrics and Electrical Insulation, 2020, 27(4): 1128-1135.
[32] Shen Zhonghui, Wang Jianjun, Jiang Jianyong, et al. Phase-field modeling and machine learning of electric-thermal-mechanical breakdown of polymer-based dielectrics[J]. Nature Communications, 2019, 10(1): 1843.
[33] 崔建, 张国钢, 陈允, 等. 特高压GIS隔离开关切合短母线过程中对地二次击穿机理仿真研究[J]. 电工技术学报, 2024, 39(19): 6201-6214. Cui Jian, Zhang Guogang, Chen Yun, et al. Simulation study on mechanism of secondary breakdown to encloser in the process of closing short bus-bar in UHV GIS disconnector switch[J]. Transactions of China Electrotechnical Society, 2024, 39(19): 6201-6214.
[34] 张语桐, 吴泽华, 谢宗良, 等. 固体介质内绝缘损伤演化的相场模拟研究[J]. 中国电机工程学报, 2023, 43(17): 6885-6895. Zhang Yutong, Wu Zehua, Xie Zongliang, et al. Phase field simulation for internal insulation damage evolution in solid dielectric[J]. Proceedings of the CSEE, 2023, 43(17): 6885-6895.
[35] Hasheminezhad M, Ildstad E. Application of contact analysis on evaluation of breakdown strength and PD inception field strength of solid-solid interfaces[J]. IEEE Transactions on Dielectrics and Electrical Insulation, 2012, 19(1): 1-7.
[36] Illias H A. Measurement and simulation of partial discharges within a spherical cavity in a solid dielectric material[D]. Southampton: University of Southampton, 2011.
[37] 刘晓鹏, 赵贤根, 马御棠, 等. 空气间隙击穿后电弧通道的特性分析[J]. 中国电机工程学报, 2023, 43(13): 5302-5311. Liu Xiaopeng, Zhao Xiangen, Ma Yutang, et al. Characteristics of the arc channel during the post-discharge stage in air gap[J]. Proceedings of the CSEE, 2023, 43(13): 5302-5311.
[38] Nijdam S, Teunissen J, Ebert U. The physics of streamer discharge phenomena[J]. Plasma Sources Science and Technology, 2020, 29(10): 103001.
[39] 党镇平, 吴亚民. 脱模剂对复合绝缘子产品质量的影响分析[J]. 电网技术, 2006, 30(12): 106-108. Dang Zhenping, Wu Yamin. Influence of mold releasing agent used in production of composite insulator core on quality of composite insulators[J]. Power System Technology, 2006, 30(12): 106-108.
[40] 卢明, 高超, 李子岳, 等. 复合绝缘子酥朽断裂事故的分布规律研究[J]. 高压电器, 2024, 60(2): 133-142. Lu Ming, Gao Chao, Li Ziyue, et al. Study on distribution of decay-like fracture of composite insulator[J]. High Voltage Apparatus, 2024, 60(2): 133-142.
[41] Gao Yu, Yuan Yanqiu, Chen Lingying, et al. Direct fluorination induced variation in interface discharge behavior between polypropylene and silicone rubber under AC voltage[J]. IEEE Access, 2018, 6: 23907-23917.
[42] 王子康, 周凯, 朱光亚, 等. 冷热循环单周期内电缆附件XLPE-SiR界面局部放电演变特性研究[J]. 中国电机工程学报, 2023, 43(15): 6136-6145. Wang Zikang, Zhou Kai, Zhu Guangya, et al. Study on the evolution characteristics of partial discharge at the XLPE-SiR interface of cable accessories under a single thermal cycling[J]. Proceedings of the CSEE, 2023, 43(15): 6136-6145.
Abstract Composite insulators are widely used in China’s overhead transmission lines, playing a significant role in addressing the issues of flashover caused by pollution and ensuring the safe operation of the power grid. At the same time, challenges arise in the operation of composite insulators, including service lives shorter than expected, high replacement costs, and frequent faults due to abnormal heating and string failure in high-humidity and high-temperature areas, which pose severe threats to the safe and stable operation of the power system. The interface region, being a vulnerable link in the composite insulator system of high temperature vulcanized silicone rubber (HTV) sheath and fiberglass reinforced plastic (FRP) core rod, is prone to initial defects that trigger insulation damage. Therefore, it is necessary to study the changes in the interface condition and its effect on interface insulation during the failure evolution process of the insulator.
This paper establishes a numerical contact model for the HTV-FRP composite insulator interface and analyzes the impact of different failure levels and the dielectric environment within different cavities on the electric field distribution at the interface. A short test sample of the composite insulator, suitable for partial discharge and breakdown characteristic testing at the interface, was designed and fabricated. Different interface failure levels were obtained through wet-heat accelerated aging, and the influence of interface failure on partial discharge and breakdown characteristics was tested and analyzed. Finally, phase-field simulations were conducted to model the evolution of HTV-FRP interface insulation damage, and interface discharge degradation experiments were carried out to validate the phase-field simulation results. The research results show that with the increase in the cavity size at the HTV-FRP interface, the distortion of the electric field at the interface gradually intensifies. The moisture inside the cavity and the carbonization of the inner surface materials exacerbate the electric field distortion. As the cavity size at the HTV-FRP interface increases, the electric field distortion intensifies, and the discharge amplitude at the interface increases. This leads to a higher probability of initial electron generation, thereby increasing the likelihood of discharge channel formation. This phenomenon is manifested as a decrease in the initiation voltage for partial discharge in the cavity. At the same external voltage, larger cavities exhibit more intense discharges, and the breakdown voltage of the HTV-FRP interface continually decreases. Continuous cavity discharge at the interface forms conductive paths, facilitating breakdown. The presence of moisture influences the amplitude and phase distribution of partial discharge. In extreme cases, the HTV-FRP interface undergoes an insulation failure evolution process from initial cavity partial discharge to overall interface breakdown under electrical stress, and the wet-heat environment accelerates this process.
In summary, the axial insulation failure of the composite insulator HTV-FRP interface can be divided into three stages based on its development sequence and characteristics: corona discharge within the cavity, contact point insulation failure, and rapid development of the electroerosion discharge channel. During this process, the bonding performance of the HTV-FRP interface and the HTV sheath's ability to prevent moisture intrusion become key factors restricting the long-term safe operation of composite insulators. The conclusions of this study provide a foundation and basis for further research on the degradation mechanisms of composite insulators and improving their long-term operational reliability.
keywords:Composite insulator, interface, insulation damage, partial discharge, cavity
DOI: 10.19595/j.cnki.1000-6753.tces.250348
中图分类号:TM216
国家电网有限公司总部管理科技项目资助(5500-202455305A-1-2-LZ)。
收稿日期 2025-03-06
改稿日期 2025-05-16
张育铭 男,1998年生,博士研究生,研究方向为复合绝缘材料的老化特性、绝缘子检测和外绝缘等。E-mail:120222101036@ncepu.edu.cn
耿江海 男,1980年生,博士,正高级实验师,研究方向为高电压试验技术和外绝缘等。E-mail:gengjianghai@163.com(通信作者)
(编辑 李 冰)