摘要 近年来,电动汽车(EV)规模快速增长,其所展现的可观调频容量及快速调频能力可以弥补火电机组因爬坡速率限制而无法满足调频容量需求的劣势。针对规模化EV从无序充电到有序参与调控引起的系统调频容量需求变化的问题,该文提出考虑规模化EV参与调控场景下的系统调频容量需求计算方法,考虑到EV快速调频的优势,该文进一步评估了规模化EV相对于火电机组的调频有效性。首先,基于EV个体充放电特性构建“个体-集群”可行域聚合模型,精细化评估不同类型规模化EV可调频能力;其次,基于频率动态响应模型与规模化EV负荷动态建模,结合风光负荷历史数据,建立数据-模型混合驱动的系统调频容量需求评估模型;最后基于此模型,验证了EV调频资源在一定占比下可以减少系统调频容量需求,证明EV比火电机组更有效,但其有效性会随着比例的增加而逐渐下降甚至被火电机组超越。这一结论为EV-火电机组协同调频下系统调频容量的分配提供了参考。
关键词:电动汽车 频率调节 效用评估 调频容量需求 爬坡速率
为了维持系统的有功功率平衡及频率稳定,自动发电控制(Automatic Generation Control, AGC)系统需要足够的二次调频容量[1]。近年来,以风电、光伏为代表的新能源大量接入电力系统,导致调频容量需求大幅增加[2-4]。目前,调频服务主要由火电机组提供,但由于其爬坡速率有限,可能无法快速补充源荷间不平衡的有功功率[5]。与改造比例逐步降低的火电机组的灵活性相比,电动汽车(Electric Vehicle, EV)规模的急速增长[6]表现出了较为可观的调频容量和快速准确的调频响应能力,能够与调频容量大、调频速度慢的火电机组实现优势互补[7],故火电机组-EV联合调频具有广泛的应用前景。
可调频能力的准确表征是开展EV调频研究的基础,为规模化EV参与电力系统调频提供理论依据。文献[8]依据各类EV特性,估算其可控规模,并进一步计算初始能量和实时可调频容量,但并没有考虑EV用户出行的随机性。文献[9]将EV按并网概率与额定参数分组,应用正态概率分布近似求解规模化EV的可调频容量,但分组简化的误差会直接影响模型精度。文献[10-11]提出了基于闵可夫斯基和的可调频容量量化方法,将单体的功率和能量边界求和得到集群功率及能量边界,但随着维度的增加,其计算复杂度呈指数级增长,限制了该方法在大规模EV接入场景中的应用。因此,本文提出了一种基于分块聚合的EV可行域动态演化方法,在时间尺度对规模化EV的可调频能力进行精细化建模。
现阶段系统调频容量需求的评估方法主要有以下两种方法。
1)模型驱动法:将源荷出力波动作为变量输入系统频率动态响应模型,求解系统的频率偏移,从而进一步刻画系统的调频容量需求[12-14]。这一方法的缺点是难以准确刻画规模化EV并网引起的有功波动。
2)数据驱动法:通过建立调频容量、有功波动、调频表现的相关关系求取所需调频容量[15]。文献[16]通过历史数据计算,当调频容量超过某一固定值时,调频表现达到标准的概率,并利用这一概率来确定所需的调频容量。该方法完全依赖历史数据的统计特征,缺乏对频率动态响应模型的调频机理分析,使调频结果可信度降低。
综上所述,以上两种方法各有优劣。EV作为优质调频资源,由于其时耦特性,相邻时段功率和容量互相影响,且受到出行需求的限制,需与常规负荷区分进行建模分析。所以亟须提出一种能够精细化考虑规模化EV并网参与调频背景下,数据与模型混合驱动的系统调频容量需求评估方法。
探讨规模化电动汽车参与调频对系统调频容量需求的影响,以及其相对于传统火电机组的调频效用,有助于指导电网运营商在不同类型调频资源间合理分配系统调频容量。然而,目前相关研究主要集中于如何在电动汽车和火电机组之间分配既定的调频容量,而对电动汽车参与调频对系统整体调频容量需求的影响关注较少。文献[17]以最大化调频商收益为目标,滚动优化EV与火电机组间的调频指令比例。文献[18]提出一种基于经验模态分解(Empirical Mode Decomposition, EMD)和希尔伯特变换方法,将火电机组调频偏差中的低频分量作为EV的参考出力功率,从而实现多能优势互补调频。文献[19-20]提出将系统所需调频容量按一定比例分配给规模化EV,而比例系数受市场、可调频容量等多方面因素的影响,通常由一个服从正态分布的均值表示。
目前也有少数研究聚焦不同类型储能系统及需求侧响应资源调频对系统调频容量需求的影响。美国宾夕法尼亚-新泽西-马里兰州联合电力系统(Pennsylvania-New Jersey-Maryland interconnection, PJM)报告称若在减少系统调频容量的同时,增加储能调频占比,北美电力可靠性委员会(North American Electric Reliability Council, NERC)制定的频率控制性能标准(Control Performance Standard, CPS)中的CPS1及平衡控制误差限值(Balancing Authority ACE Limit,BAAL)标准全年仍可保持稳定水平,证明了储能等快速调频资源占比的增加能够减少系统调频容量需求[21]。文献[22]称储能及需求侧响应等快速爬坡资源比例的增加,使调频容量需求及资源调频成本都有所降低。文献[12]讨论了具有不同能量-功率比的储能系统参与调频对系统调频容量需求的影响,证明了具有更高能量-功率比的电池储能调频效果比飞轮储能优秀,并且飞轮储能占调频资源25%左右时,系统所需调频容量最小。虽然EV具备类似于储能系统的快速调频能力,但其特性与传统储能设备存在显著差异。具体而言,EV出行具有高度随机性,且必须在满足用户需求的前提下参与调控,因此研究规模化EV参与调频对系统调频容量需求的影响,以及其相对于常规火电机组的调频效用十分必要。
综上所述,对EV规模化参与调控对新能源电力系统调频容量影响的研究还存在以下不足:①缺乏一种能够精细化刻画EV规模化参与调频背景下,数据与模型驱动优势相结合的系统调频容量评估方法;②EV作为优质调频资源,其规模化有序响应调频信号对新能源电力系统调频容量的影响未可知。
针对以上两个问题,为了探讨EV规模化参与调控对系统调频容量的影响,本文主要贡献如下:
1)基于EV单体充放电特征,提出一种基于可行域动态推演与分块聚合的规模化EV可调频能力建模方法,实现了对不同类型、不同规模EV可调频容量的精细化评估。
2)建立高比例新能源电力系统的频率响应模型,构建数据与模型混合驱动的系统调频容量需求评估框架,并对比分析了有序充放电与无序充电策略对系统调频需求的影响。
3)提出EV相对调频效果系数,定量评估EV相较于火电机组的调频有效性,为系统调频容量的优化配置及调频资源的合理分配提供量化依据。
在调度过程中,调度计划通常按照计划时间段执行。本文提出的EV调度模型中,每个时段长度为15 min,一天共96个时段。EV的入/离网时段可以分别表达为
(1)
(2)
式中,
和
分别为向上和向下取整函数;
和
分别为一天中第i辆EV接入电网和离开电网时的时段索引序号;
, N为EV的数量;
和
分别为第i辆EV的到达时间和出发时间;
为一个时段的长度。
将EV划分为如图1所示的三种状态。在入、离网状态下EV以额定功率充电,可以在充电/调频状态下选择继续充电或参与调频服务。通过聚合处于充电/调频状态下的EV,可以得到规模化EV可调频容量。
图1 规模化EV状态划分
Fig.1 State classification of electric vehicles
EV通过智能充电桩接入电网后,智能充电桩立即收集此辆EV荷电状态(State of Charge, SOC)、额定容量等相关信息,包括入网SOC值
、期望SOC值
、额定电池容量
、入网时间
、预计离网时间
、最大充电功率
和最大放电功率
。
单辆EV的可行域如图2所示。其中,图2a表示电动汽车在放电至
后再开始充电,图2b则表示尚未放电至
就开始充电。考虑放电深度对电池寿命的影响,设定放电裕度下限为
。DG表示EV入网即从
开始以最大放电功率
放电直至达到
。DE表示EV入网即从
以
充满电。AB表示离网时间前如要达到
,则至少要从
开始以
功率充电方能满足用户意愿。
图2 单辆EV可行域
Fig.2 Feasible operating region of a single EV
对第J个时段内所有处于充电/调频状态的EV的SOC可行域上下限进行求和,可以得到第J个时段内规模化EV可行域上下限,即
(3)
(4)
式中,
为第Jn时段下t时刻的规模化EV的SOC可行域下/上限;NFR,t为当前时段下t时刻处于充电/调频状态的EV数量总和;
为Jn时段内处于充电/调频状态的EV所对应的额定容量和。
从当前时段过渡到下一时段,考虑到不同时段EV所处的状态不同,规模化EV的SOC曲线会发生突变,表达式为

式中,
、
分别为第Jn+1个时段内初始时刻和最后时刻tn的SOC值;
、
分别为第Jn+1时段进入离网和入网时段的EV数量;
、
分别为在第Jn+1时段处于离网和入网状态的第i辆EV在第Jn时段tn时刻的SOC值。
将规模化EV作为一个整体,可以得到其功率上、下限为
(6)
式中,
为规模化EV的最大充、放电功率极限。
为量化规模化EV在特定时间段内可参与调频的最大潜力,本文在满足聚合功率约束和SOC约束的条件下,以最大化规模化EV向上/下可调频容量为目标函数。目标函数及其需要满足的功率和SOC约束为
(7)
式中,
、
分别为电动汽车向下调频和向上调频的可调容量。
1) 聚合功率约束
(8)
(9)
(10)
式中,
为第Jn个时段t时刻的基线功率。
2)聚合SOC可行域约束
(11)
(12)
式中,
为第Jn个时段t时刻规模化EV的总功率;
和
分别为第Jn个时段t时刻的下调频和上调频信号;
为t时刻EV的充/放电效率。
依据式(5)、式(11)、式(12)所计算的规模化EV的SOC可行域必须满足式(13)的约束。
(13)
规模化EV的可行域上下限分别如式(14)、式(15)所示,据此在优化过程对EV可调频容量进行约束。
(14)
(15)
式中,
为充电效率;
为放电效率。
单区域电力系统遭受功率扰动后,惯量响应、负荷频率响应、一次调频响应与二次调频响应相继发生,各频率响应过程的数学模型[23]为
(16)
(17)
(18)
(19)
(20)
式中,H、D分别为新能源电力系统惯量和系统发电机阻尼系数;
为系统频率偏移;
为电磁功率变化量;
为机械功率变化量;
为负荷功率变化量;
为汽轮机气门开度变化量;
为二次调频变化量;R为发电机调差系数;Tc和Tn分别为汽轮机蒸汽容积时间常数和调速器时间常数;KL和Ka分别为负荷频率调节效应系数和二次调频系数。
认为
在扰动发生后其值不变,取值为扰动初始时刻电力系统有功功率缺额
;考虑到汽惯性环节对系统静态稳定性影响很小,忽略调速器控制模块中的一阶惯性部分[24],联立式(16)~式(20)得到电力系统频率动态响应模型为
(21)
(22)
式中,
和
为该二阶微分方程的系数。求解该二阶微分方程得到电力系统遭受功率扰动后的频率偏移时域表达式为
(23)
(24)
式中,
和
分别为该微分方程特征方程解的实部和虚部;C1、C2和C3为常数;
为系统发电机阻尼系数和负荷频率调节效应系数之和。通过设定系统初始运行状态(扰动发生时,系统频率偏移
为0,机械功率变化量
为0)进行求解。
式(21)中的电力系统有功缺额是指传统机组和新能源出力与负荷间的差值,即
(25)
式中,
为t时刻的传统机组出力;
、
分别为风电、光伏与负荷在第k个场景下t时刻的出力;
为采用文献[25]方法生成第k个风光负荷典型场景的概率;K为场景数量。需要注意的是,这里的负荷功率包括电动汽车集群的充放电功率,即
(26)
式中,
为考虑规模化EV调频功率后的负荷变化。
根据频率动态响应方程和规模化EV动态负荷建模结果,本文基于大量风光负荷历史数据,参考文献[25]方法生成风光负荷日前典型场景。如式(26)所示,EV动态负荷建模结果作用于负荷场景曲线,与风光典型场景共同驱动新能源电力系统频率动态响应模型。数据驱动部分用于刻画典型场景不确定性分布,模型驱动部分则模拟频率动态响应行为。基于上述数据-模型融合机制,进一步构建分布鲁棒优化框架,评估满足频率标准及频率控制性能标准CPS1要求的最恶劣场景下系统所需的最小调频容量需求。
2.2.1 系统调频容量需求评估
电力系统频率偏差主要由源荷差造成。本文采用系统频率偏移标准差来衡量系统调频表现,其公式为
(27)
式中,Df sta为系统调频表现考核时间内的频率偏移标准差;Dft为考核时间
内t时刻的频率偏差值,根据频率偏移时域表达式(23)、式(24)进行计算。
在EV与火电机组协同调频过程中,火电机组调频成本主要在于频繁爬坡造成的机组磨损成本及维护成本[26];而EV需要考虑电池反复充放电造成电池老化损耗及实际响应能力与预期容量存在偏差问题,需要设置比火电机组爬坡成本更高的电池寿命补偿成本与损失成本[18]。基于火电机组调频的经济性和可控性,实际情况下电网更倾向于由火电机组完全承担AGC调频容量需求。但由于其出力上下限及爬坡速率限制(如式(28)、式(29)所示),多数情况下还需要EV资源补充。为了验证火电机组调频的局限性,本文计算了火电机组完全响应系统调频需求后仍需EV补充的调频容量。
(28)
(29)
式中,
和
分别为t时刻传统机组的上、下调频容量;
为传统机组爬坡速率;
为传统机组t时刻的出力;
为传统机组最大出力极限;
为传统机组最小出力功率值。
将新能源电力系统所需调频容量定义为保证系统频率偏移标准差,以及AGC调频容量考核标准满足要求所需的最小调频容量。考虑源-荷双侧有功波动带来的场景不确定性,建立基于数据-模型混合驱动的分布鲁棒优化方法(Distributionally Robust Optimization, DRO)的新能源电力系统调频容量需求评估模型为
(30)
(31)
(32)
(33)
(34)
式中,
为系统在第k个场景下
时刻的系统调频容量需求;
、
分别为第k个场景下
时刻内火电机组、EV应承担的调频容量;
为系统允许的频率偏移标准差限值,规定为0.02 Hz;
为场景概率模糊分布的置信集。
所提出的调频容量需求评估模型采用双层优化架构,流程如图3所示,内层问题基于鲁棒优化理论,设置1-范数和∞-范数的综合范数约束,以典型运行场景初始概率为基准构建概率模糊分布置信集,通过最大化系统调频容量需求确定极端工况概率分布[25,27],待优化变量为场景概率
;外层问题则求解满足调频表现和CPS1约束的系统调频容量需求。式(32)为调频表现约束;式(33)表示调频容量约束,即系统调频容量需求小于该时段初始系统不平衡功率的期望值;式(34)表示CPS约束,采用CPS1标准对调频容量需求进行修正。CPS1的计算公式[22]为
(35)
(36)


(37)
(38)
式中,B为该控制区的频率偏差系数,MW/(0.1 Hz);
为互联区域指定的频率边界,
=0.03 Hz[28];
为联络线功率偏差,单区系统可以忽略;
为频率偏差;
为15 min内CF1的平均值;
、
分别为区域控制偏差(Area Control Error, ACE)和频率控制偏差在1 min内的平均值。ACE是指电力系统因负荷波动、发电功率不确定性等因素影响而造成的发电功率与用电负荷之间存在的不平衡偏差。鉴于数据颗粒度有限,本文在评估调频容量需求时采用基于15 min平均频率偏差的CPS1计算公式[16]。
图3 系统调频容量需求评估流程
Fig.3 Flow chart for system frequency regulation capacity requirement assessment
2.2.2 规模化EV相对火电调频有效性评估模型
因各调频资源个体对信号响应特性存在显著个体差异,且响应过程随机性强,难以进行定量建模分析,故本文聚焦于容量替代的量化表征。本节基于2.2.1节提出的调频容量需求评估模型,通过定量评估规模化EV与火电机组对调频容量的替代效应来评估二者调频效能。定义规模化EV承担调频容量需求的比例为
,其余则由火电机组承担。
(39)
变化即规模化EV所承担的系统调频容量变化,会影响模型参数输入的规模化EV调频响应功率部分。如果火电机组
MW的调频容量可以用规模化EV的1 MW替代,同时保证相同的调频效果,本文将
定义为EV对火电机组的调频相对有效性。当规模化EV占比从
增加到
时,系统调频容量需求从
变化到
,定义EV相对调频有效性系数
为规模化EV增加的调频容量与火电机组减少的调频容量之比,即
(40)
式中,
、
分别为不同比例设置下的调频资源出力比例,
、
分别为
、
下对应的系统调频容量需求;
的物理意义为火电机组的1 MW的调频容量可以替换
MW规模化EV的调频资源。
<1表示EV表现优于火电机组;反之亦然。
3.1.1 参数设置
EV的种类一般可分为三种,分别为私人工作用车(Home-Base-Work, HBW)、私人非工作用车(Home-Base-Other, HBO)和非私人用车(Non-Home-Based, NHB)[29]。HBW通常在白天具有稳定的停车时间,可在不影响用户出行的前提下提供相对稳定的可调频容量;而HBO出行较为灵活,充放电时间以夜晚为主;NHB主要指由企业或机构集中调度、统一管理的电动汽车,其虽在市场上占比较低,但由于其单车电池容量大、运行计划明确,因而在夜间具备良好的调频响应潜力。对三类EV进行分类聚合,可以实现规模化EV可调频能力的精确刻画。考虑到用户出行特征,电动汽车出行特征服从正态分布[30],如式(41)、式(42)所示。
(41)
(42)
式中,
分别为EV入、离网时间的期望值;
、
分别为EV入、离网时间的标准差。EV参数设置见表1。
表1 EV参数设置
Tab.1 EV parameter settings
参数HBWHBONHB 5050245 151560 -15-15-60 0.90.90.85 (8,12)(20,12)(23,12) /h(18,12)(8,12)(7,12) (0.3,0.042)(0.3,0.042)(0.3,0.042) N1 0001 000250
本文选择一天24 h作为调控周期,设置优化步长为15 min。采用美国PJM市场某一典型日的AGC调频指示信号[31],AGC采样时间为5 min,以确保调控策略的精确性。
3.1.2 规模化EV可调频能力
采用文献[25]所示的方法生成日前风光负荷典型场景,如附图1所示。依据表2所示分时电价,以用户成本最低为导向得到如图4所示的三种类型EV一天内充放电的基线功率[32],其中HBW、HBO的数量各为1 000辆,NHB的数量为250辆。将总基线功率与净负荷曲线相加,得到EV参与后的等效净负荷曲线,如图5所示。由图5可知,用户更倾向于在低电价时充电,在高电价时放电,大部分用户选择在凌晨时段充电以满足EV第二天的出行需求;而在凌晨4:00开始放电是因为此时规模化EV已经具备了一定的放电电量,为了使收益最大化,愿意参与上调频。但为了满足用户出行需求以及能量要求,用户不能一味地追求低成本而放电。故分时电价引导EV充放电策略可以有效地减小电力系统峰谷差,起到削峰填谷的作用。
表2 EV充放电电价
Tab.2 EV charging and discharging tariffs
时段时段类型EV充放电电价/[元/(15min)] 33~47、60~68、93~96平时段0.3 1~10、25~32谷时段0.14 48~59、69~72、89~92峰时段0.35 11~24低谷时段0.1 73~88尖峰时段0.45
图4 三类EV基线功率
Fig.4 Baseline power of three types of EV
图5 叠加EV前后的净负荷曲线
Fig.5 Consider the net load curve before and after EV integration
图6展示了不同时段规模化EV的SOC上下界以及其实际变化量。可以看出,大部分时段下SOC变化比较平缓,而在6:00—10:00、17:00—20:00及23:00—24:00发生了突变,这是由于在上述时段内有大量EV入/离网造成的。并且SOC曲线始终在SOC上下界之间,并未越界,说明本文的充放电策略能够在满足用户需求的前提下,参与电网调频辅助服务市场。
图6 聚合SOC的变化
Fig.6 Changes of aggregated SOC
通过在Python3.7中调用Scipy库求解1.2节所示的非线性规划问题,得到如图7所示的规模化EV上/下可调频容量。可以看出,在23:00—24:00及0:00—8:00的时间段内,规模化EV可调频容量在25~40 MW,而其余时间段的可调频容量在15~ 20 MW,这是由于额定容量较大的NHB只有在深夜以及凌晨时段入网参与调频,而额定容量较小的HBW和HBO可以覆盖全时段。此外,充电时段的EV可以提供更多的上调频容量,即降低功率或向电网放电。此仿真计算结果可以与3.2节算例结合,评估此规模下的EV能否满足新能源电力系统调频需求。
图7 规模化EV的上下可调频容量
Fig.7 Upward and downward frequency regulation capacity requirements of scaled EV
3.2.1 系统调频容量需求评估结果
为了验证本文所提系统调频容量需求评估方法的有效性,选择真实风光负荷数据进行实例分析。数据来源于比利时国家电网Elia开源平台[33],样本数取500,数据颗粒度为15 min。数据的准确性是场景生成的前提,鉴于数据来源较为复杂,且传感器采集过程易产生数据丢失、延迟传输等现象,原始数据可能存在较多空缺值。因此本文剔除空缺值较多的天数,其他空缺用平均插值法进行补充,并采用扩展卡尔曼滤波算法(Extended Kalman Filter, EKF)对数据进行降噪处理[34]。为更准确地反映风光出力的相关性,避免因电站装机规模差异造成小容量电厂数据被掩盖,对原始风电和光伏出力序列进行了归一化处理[35]。设置火电机组参数见表3。电厂通常会通过历史数据预测日前的火电机组计划出力,设置每台火电机组的最小技术出力和爬坡速率分别取额定容量的40%和10%/(15 min)[36]。根据前文所述,火电机组调频容量受到爬坡速率以及出力上下限的限制,可以得到火电厂的日前计划出力曲线及其上下可调频容量如图8所示。
表3 火电机组参数
Tab.3 Parameters of thermal units
机组型号最大出力/MW最小出力/MW爬坡速率/[MW/(15 min)]数量 1660264662 2300120303 315060152 4502052
图8 火电厂日前计划出力曲线和可调频容量
Fig.8 Day-ahead output curve and adjustable frequency regulation capacity requirements of thermal power plant
针对DRO模型中的非线性约束特性,采用分层求解策略:外层优化问题采用改进粒子群优化算法;内层优化则采用Gurobi数学求解器实现高效求解。这充分发挥了启发式算法处理非线性问题的优势,同时保证了线性规划环节的计算精度与求解效率。根据表4设定的系统频率响应模型参数求解频率偏移标准差,设定每个时段调频表现考核周期为30 s,系统频率采样间隔为1 s,设定1-范数约束和
范数约束置信度分别为0.5和0.99,得到系统96个时段下火电机组和规模化EV分别需要承担的调频容量RG、REV如图9所示,两者之和为系统所需调频容量。
表4 系统频率响应模型参数
Tab.4 System frequency response model parameters
参数数值 系统惯量H/s 4.44 调速器时间常数Tn/s 0.50 汽轮机蒸汽容积时间常数Tc/s0.25 发电机调差系数R0.05 1.00
图9 规模化EV与火电机组所需承担的调频容量
Fig.9 Frequency regulation capacity requirements required by scaled EV and thermal power plant
根据评估结果,1:00—6:00、22:00—24:00时的系统调频容量需求与其余时段符号相反,该时段内负荷需求量较少,因此其功率波动影响较小。凌晨大部分时段风速变化明显,系统需要下调容量,而火电机组受到其爬坡速率以及出力下限的限制,不足以提供全部调频容量,需要EV进行补充。中午及傍晚部分时段为负荷高峰期,负荷波动性较大,同时风光出力急剧变化,因此该时段将产生更大的上调频容量,而火电机组受到出力上限及爬坡速率的限制,同样需要EV进行调频容量的补充。
由图9可知,调频需求分为两种情况。情况一:火电独立调频时段;情况二:火电-EV协同调频时段。根据EV的参与规模,情况二又可进一步划分为两类,一是小规模EV调频时段:当前规模下EV足以与火电机组共同满足调频容量需求;二是扩大EV调频时段:需要增加EV的参与规模,以提升其可调频容量,才能满足调频需求。
为了验证本文所提基于数据-模型混合驱动的系统调频容量需求方法的有效性,对部分上调频容量需求时段(32~80)进行分析(下调频时段同理),并设置以下方法S0~S2进行对比。S0:基于频率响应模型驱动的调频容量需求评估方法[12];S1:基于数据驱动与条件概率的调频容量需求评估方法[15];S2:本文方法。
设置CPS1达标概率为满足CPS1指标(如公式(34)所示)的所有时段占总时段的比例。调频容量需求评估结果对比如图10和表5所示。由图10和表5可知,在实际净负荷总量为8 617.868 MW的前提下,本文所提方法S2与方法S0、S1在设定时段内的上调频容量需求总量为1.291×8 617.868、1.518×8 617.868、0.822×8 617.868 MW,其中,1.291、1.518和0.822为表5中对应上调频容量需求总量除以实际净负荷总量后得到的系数。由此可以看出,S0预留的调频容量裕度过大,会造成不必要的经济损失,且CPS1达标概率不如S2好;而S1预留的调频容量裕度不足,不能满足净负荷偏差,导致CPS达标指数低,不利于系统安全稳定运行。综合以上分析,本文方法评估得到的调频容量需求结果既能满足频率性能控制标准又不会留有较大裕度造成经济损失,验证了本文所提方法的有效性和优越性。
图10 调频容量需求评估结果对比
Fig.10 Comparison of frequency regulation capacity requirements under different methods
表5 调频容量需求评估效果对比
Tab.5 Comparison results of quantification effects for frequency regulation capacity requirements
方法调频容量总需求/MWCPS1达标概率(%) S01.308×10487.8 S17.090×10340.8 S21.291×104100
3.2.2 不同规模EV对系统调频容量需求影响
为了评估EV作为需求响应资源,其规模扩大对
的影响,设置了N1~N5不同规模的规模化EV参数见表6,N5下的EV可调频容量能够满足全时段调频需求。选取2、80两个时段,根据2.1节中的频率响应模型对N1~N5规模下的EV协同火电机组共同调频对系统频率的影响进行分析,结果见表7。可以看出,随着规模化EV规模的扩大,可调频容量不断补充,频率偏移标准差逐渐减小,频率极值得到改善,频率变化更为平缓。
表6 不同规模下EV数量
Tab.6 Number of EV at different scales
规模HHW/辆HBO/辆NHB/辆 N11 0001 000250 N22 0002 000300 N33 0003 000350 N44 0004 000400 N55 0005 000450
表7 火电机组协同不同规模EV调频容量补充后的频率稳定指标对比
Tab. 7 Comparison of frequency stability index after the coordinated frequency regulation capacity requirements replenishment of thermal power units and different EV scales
时段规模频率偏移标准差/Hz频率极值/Hz频率变化率/(Hz/s) 2N10.03150.220.007 N2N3N4N50.0220.0140.0040.00150.15650.09650.03150.010.0050.0030.0020.001 80N10.03749.738-0.009 N2N3N4N50.0270.0180.0080.00349.86749.87349.88249.886-0.007-0.004-0.0020
针对扩大EV调频时段中的所有上调频时段和下调频时段进行仿真分析,不同规模化EV下的多个时段
平均值和标准差如图11所示。可以看出,本文采用的有序充电策略能够减少源荷差,平抑负荷波动,间接减少调频容量;无序充电情况下
则随着电动汽车规模的扩大而增加,原因是无序充电易导致某时段内大量EV同时充放电,造成电力系统短时间内频率出现较大波动,需要提供更多调频容量。
图11 不同EV规模下有序与无序充电对Rres的影响
Fig.11 Impact of ordered and unordered charging on Rres under different EV scales
3.2.3 规模化EV参与新能源电力系统调频有效性评估
图12显示了EV与火电机组两种调频资源在不同的比例组合下所有上调频时段
的平均值和标准差(下调频时段同理)。结果表明,当系统对调频性能的要求提高,即
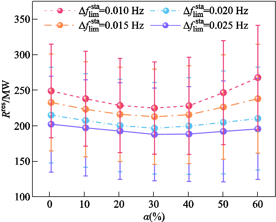
越来越小时,系统所需调频容量随之增加。在EV仅承担较少调频任务的情况下,随着EV占比α的提高,
呈下降趋势,这主要归因于 EV作为虚拟储能单元,相对于火电机组具有更快地响应调频信号的能力,其快速充放电行为能够有效平抑源荷差;但是当α继续上升时,
开始攀升且速度变快,其原因是EV在较高的α下会承担更多的调节功率,更容易放完(充满)电,导致其后续过程中无法继续响应系统调频需求。因此,为确保系统调频性能,需要配置更多的EV可调频容量以弥补其能量限制带来的响应能力下降问题。
图12 不同频率标准差限值下的系统调频容量随α变化的关系
Fig.12 Relationship between frequency regulation capacity requirements (Rres) andα under different frequency standard deviation limits
本文已经证明了适当比例的EV可以减少系统调频容量需求,从另一方面可以将EV视为相较于火电机组更为有效的调频资源。不同
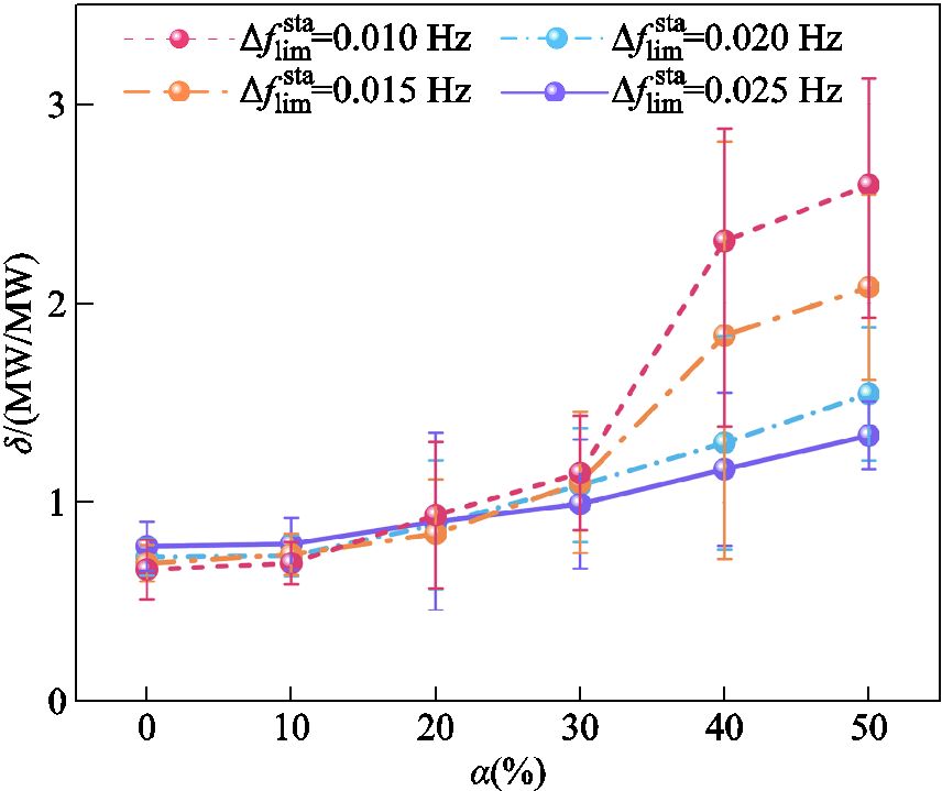
要求下的相对调频效果系数δ随α变化结果如图13所示。从图中可以观察到,当α取值足够小时,1 MW的火电机组调频容量等价于0.7 MW左右的规模化EV的调频容量,在此条件下火电机组表现逊于EV。随着对调频响应性能要求的提高,EV调频优势进一步凸显,火电机组所能等效替代的EV调频容量比例相应降低。然而随着α的增加,可以观察到δ迅速增加。当α在30%左右时,EV的相对调频表现开始劣于火电机组(δ>1)。
图13 不同频率标准差限值下的相对调频效果系数δ随α变化的关系
Fig.13 Relationship between the relative frequency regulation effectiveness coefficient δ and α under different frequency standard deviation limits
为了研究本文所提出的效用评估结果的合理性,选取一种静态比例分配调频容量需求的方案与本文方法进行对比。对比评估采用两个指标:①32~80时段的调频容量需求均值(其他时段同理);②调频成本。其中,火电机组与EV调频成本分别依照文献[26]和文献[18]设置。静态比例分配是指按照固定比例系数β将一定调频资源分配给EV与火电机组,文献[19]设定β服从正态分布
(0.5, 0.01),文献[37]将β设置为0.203。
均取值为0.02 Hz,将两种方法与本文评估方法得到的最优分配比例系数30%进行对比分析,对比结果见表8。
表8 不同方法的调频容量需求及调频成本对比
Tab.8 Comparison of regulation capacity requirements and regulation costs under different methods
方法调频容量需求均值/MW调频成本/元 文献[19]216.4433.430×106 文献[37]213.3142.803×106 本文方法207.0912.278×106
由表8可以看出,本文方法的调频容量需求均值较文献[19]与文献[37]分别减少了4.3%与2.9%,说明本文提出的分配策略能够在满足频率控制性能标准的前提下,更高效地利用调频资源;其次,在调频成本方面,本文方法较文献[19]与文献[37]分别降低了约33.6%和18.7%,有效地降低了系统调频成本。
综上所述,考虑到调频资源的有效性及成本的经济性,适当增加EV等快速响应资源在调频容量中的占比能够有效减少调频容量需求和调频成本。然而,当EV已经在调频容量中占据较大比例时,进一步扩大其规模不仅会增加容量需求,而且会增加调频成本。因此,为了实现更有效、经济的调频效果,应合理控制EV在调频容量中的占比,优化火电机组和EV的协同配置与联合调度,以充分发挥两种资源的性能优势与互补特性。
随着大规模新能源接入电力系统,系统所需调频容量逐渐增大,而传统火电机组受限于爬坡速率,其调频能力已难以满足不断扩大的系统调频需求,亟须以EV为代表的灵活性调频资源加以补充。本文通过构建一种考虑规模化EV参与调控的系统调频容量需求评估方法,验证了EV参与调频的必要性,并提出了一种评估EV调频相对于火电机组有效性的方法,通过算例仿真验证了以下结论:
1)在大部分时段,火电机组难以完全满足系统的调频容量需求,需要规模化EV承担部分调频任务。相比于无序充电策略,实施基于电价引导的有序充放电策略可有效减少源荷偏差,从而降低系统整体调频容量需求,凸显了有序充放电策略的重要性。
2)系统调频容量需求会随着EV参与调频占比的不断提升而呈现先减小后增加的变化趋势。当EV调频容量占比约为30%时,系统调频容量需求最小。此外,系统对频率标准差约束越严格,对应的调频容量需求也越高。
3)EV相对于火电机组调频的有效性会随着其调频容量占比的增加逐渐减小。在频率控制要求较为严格的场景下,EV能够更充分地发挥其快速响应特性,展现出优于火电机组的调频性能。该结果表明:为实现更优的调频效果及调频经济性,需合理配置火电机组与EV两类调频资源的比例,电网运营商也应对EV等高效调频资源在系统中的调频占比进行科学引导与控制。
本文聚焦规模化EV参与调控对系统调频容量需求的影响,并在此基础上定量评估规模化EV相对火电机组调频的有效性,旨在日前场景基础上,通过灵活资源的组合优化提升系统调频效果,验证了规模化EV作为快速调频资源有序充放电参与调频在调频效能以及经济性上的潜力。在未来的研究中,将从日前容量协调机制延伸至实时调频执行层面,重点关注EV与传统火电机组在响应速度与响应时间方面的差异,着重考虑EV响应快速调频信号的动态性能建模,以实现对AGC调频信号的高效、精确响应,在保障电力系统频率稳定性的同时提升不同调频资源调度分配策略的经济性。
附 录
附图1 负荷风光典型场景
App.Fig.1 Typical scenarios for load wind and solar
附表1 源荷双侧出力典型场景对应概率
App.Tab.1 Corresponding probability of typical scenarios for source load bilaterally outflows
场景12345 概率0.120.250.180.160.29
参考文献
[1] Kamwa I, Heniche A, De Montigny M, et al. Long-term statistical assessment of frequency regulation reserves policies in the québec interconnection[J]. IEEE Transactions on Sustainable Energy, 2012, 3(4): 868-879.
[2] Halamay D A, Brekken T K A, Simmons A, et al. Reserve requirement impacts of large-scale integration of wind, solar, and ocean wave power generation[J]. IEEE Transactions on Sustainable Energy, 2011, 2(3): 321-328.
[3] Holttinen H, Meibom P, Orths A, et al. Impacts of large amounts of wind power on design and operation of power systems, results of IEA collaboration[J]. Wind Energy, 2011, 14(2): 179-192.
[4] Makarov Y V, Loutan C, Ma Jian, et al. Operational impacts of wind generation on California power systems[J]. IEEE Transactions on Power Systems, 2009, 24(2): 1039-1050.
[5] Ibraheem, Kumar P, Kothari D P. Recent philosophies of automatic generation control strategies in power systems[J]. IEEE Transactions on Power Systems, 2005, 20(1): 346-357.
[6] 胡俊杰, 潘羿, 徐成明, 等. 基于动态交通推演的电动汽车充电快速引导策略[J]. 电工技术学报, 2025, 40(9): 2880-2896. Hu Junjie, Pan Yi, Xu Chengming, et al. Fast guidance strategy for electric vehicle charging based on dynamic traffic inference[J]. Transactions of China Electrotechnical Society, 2025, 40(9): 2880-2896.
[7] 许梦瑶, 艾小猛, 方家琨, 等. 考虑用户积极性的电动汽车与机组联合调频的两阶段随机优化调度模型[J]. 电网技术, 2022, 46(6): 2033-2041. Xu Mengyao, Ai Xiaomeng, Fang Jiakun, et al. Two-stage stochastic optimal scheduling model for joint regulation of EV and thermal units considering users enthusiasm[J]. Power System Technology, 2022, 46(6): 2033-2041.
[8] 张谦, 李晨, 周林, 等. 计及电动汽车实时可控能量动态变化的负荷频率控制[J]. 电力自动化设备, 2017, 37(8): 234-241. Zhang Qian, Li Chen, Zhou Lin, et al. Load frequency control considering dynamic change of real-time controllable EV energy[J]. Electric Power Automation Equipment, 2017, 37(8): 234-241.
[9] Han S, Han S, Sezaki K. Estimation of achievable power capacity from plug-in electric vehicles for V2G frequency regulation: case studies for market participation[J]. IEEE Transactions on Smart Grid, 2011, 2(4): 632-641.
[10] 詹祥澎, 杨军, 韩思宁, 等. 考虑电动汽车可调度潜力的充电站两阶段市场投标策略[J]. 电力系统自动化, 2021, 45(10): 86-96. Zhan Xiangpeng, Yang Jun, Han Sining, et al. Two-stage market bidding strategy of charging station considering schedulable potential capacity of electric vehicle[J]. Automation of Electric Power Systems, 2021, 45(10): 86-96.
[11] 吴界辰, 艾欣, 胡俊杰, 等. 计及不确定因素的需求侧灵活性资源优化调度[J]. 电力系统自动化, 2019, 43(14): 73-80, 89. Wu Jiechen, Ai Xin, Hu Junjie, et al. Optimal dispatch of flexible resource on demand side considering uncertainties[J]. Automation of Electric Power Systems, 2019, 43(14): 73-80, 89.
[12] Zhang Fang, Hu Zechun, Xie Xu, et al. Assessment of the effectiveness of energy storage resources in the frequency regulation of a single-area power system[J]. IEEE Transactions on Power Systems, 2017, 32(5): 3373-3380.
[13] 黄瀚燕, 周明, 李庚银. 考虑多重不确定性和备用互济的含风电互联电力系统分散协调调度方法[J]. 电网技术, 2019, 43(2): 381-389. Huang Hanyan, Zhou Ming, Li Gengyin. Coordinated decentralized dispatch of wind-power-integrated multi-area interconnected power systems considering multiple uncertainties and mutual reserve support[J]. Power System Technology, 2019, 43(2): 381-389.
[14] 杨策, 孙伟卿, 韩冬, 等. 考虑风电出力不确定的分布鲁棒经济调度[J]. 电网技术, 2020, 44(10): 3649-3655. Yang Ce, Sun Weiqing, Han Dong, et al. Distributionally-robust economic dispatch considering uncertain wind power output[J]. Power System Technology, 2020, 44(10): 3649-3655.
[15] 刘礼恺, 胡泽春, 罗浩成, 等. 基于数据驱动和条件概率的调频容量需求计算方法[J]. 电网技术, 2021, 45(7): 2569-2576. Liu Likai, Hu Zechun, Luo Haocheng, et al. Data-driven based regulation reserve capacity requirement calculation using conditional probability[J]. Power System Technology, 2021, 45(7): 2569-2576.
[16] Yang Y R, Shen C C, Wu C C, et al. Control performance based dynamic regulation reserve allocation for renewable integrations[J]. IEEE Transactions on Sustainable Energy, 2019, 10(3): 1271-1279.
[17] 程杉, 李沣洋, 刘炜炜, 等. 电动汽车协助火电机组参与调频辅助服务优化控制策略[J]. 电力系统保护与控制, 2024, 52(6): 142-151. Cheng Shan, Li Fengyang, Liu Weiwei, et al. Optimal control strategy of thermal power units with electric vehicles participating in frequency regulation auxiliary services[J]. Power System Protection and Control, 2024, 52(6): 142-151.
[18] 袁桂丽, 苏伟芳. 计及电动汽车不确定性的虚拟电厂参与AGC调频服务研究[J]. 电网技术, 2020, 44(7): 2538-2548. Yuan Guili, Su Weifang. Virtual power plants providing AGC FM service considering uncertainty of electric vehicles[J]. Power System Technology, 2020, 44(7): 2538-2548.
[19] Liu Hui, Qi Junjian, Wang Jianhui, et al. EV dispatch control for supplementary frequency regulation considering the expectation of EV owners[J]. IEEE Transactions on Smart Grid, 2018, 9(4): 3763-3772.
[20] Alfaverh F, Denaï M, Sun Yichuang. Optimal vehicle-to-grid control for supplementary frequency regulation using deep reinforcement learning[J]. Electric Power Systems Research, 2023, 214: 108949.
[21] Das S, Acharjee P, Bhattacharya A. Coordinated charging scheduling for electric vehicles and optimal tuning of the controller for frequency regulation under uncertain environment[C]//2021 IEEE Industry Applications Society Annual Meeting (IAS), Vancouver, BC, Canada, 2021: 1-6.
[22] Zhang Guangyuan, McCalley J D. Estimation of regulation reserve requirement based on control performance standard[J]. IEEE Transactions on Power Systems, 2018, 33(2): 1173-1183.
[23] 李东东, 刘强, 徐波, 等. 考虑频率稳定约束的新能源电力系统临界惯量计算方法[J]. 电力系统保护与控制, 2021, 49(22): 24-33. Li Dongdong, Liu Qiang, Xu Bo, et al. New energy power system critical inertia estimation method considering frequency stability constraints[J]. Power System Protection and Control, 2021, 49(22): 24-33.
[24] 刘觉民, 陈明照, 谭立新, 等. 同步发电机原动系统调速器仿真研究[J]. 中国电机工程学报, 2008, 28(8): 132-135. Liu Juemin, Chen Mingzhao, Tan Lixin, et al. Simulation study of prime mover governor of synchronous generator[J]. Proceedings of the CSEE, 2008, 28(8): 132-135.
[25] 童宇轩, 胡俊杰, 刘雪涛, 等. 新能源电力系统灵活性供需量化及分布鲁棒优化调度[J]. 电力系统自动化, 2023, 47(15): 80-90. Tong Yuxuan, Hu Junjie, Liu Xuetao, et al. Quantification of flexibility supply and demand and distributionally robust optimal dispatch of renewable energy dominated power systems[J]. Automation of Electric Power Systems, 2023, 47(15): 80-90.
[26] 张舒鹏, 董树锋, 徐成司, 等. 大规模储能参与电网调频的双层控制策略[J]. 电力系统自动化, 2020, 44(19): 55-62. Zhang Shupeng, Dong Shufeng, Xu Chengsi, et al. Bi-level control strategy for power grid frequency regulation with participation of large-scale energy storage[J]. Automation of Electric Power Systems, 2020, 44(19): 55-62.
[27] Zhao Chaoyue, Guan Yongpei. Data-driven stochastic unit commitment for integrating wind generation[J]. IEEE Transactions on Power Systems, 2016, 31(4): 2587-2596.
[28] Standard BAL-001-2 real power balancing control performance[EB/OL]. (2015-04-24)[2025-03-01]. http: //www.nerc.com/pa/Stand/Reliability%20Standards/BAL-001-2.pdf.
[29] 徐湘楚, 米增强, 詹泽伟, 等. 考虑多重不确定性的电动汽车聚合商参与能量-调频市场的鲁棒优化模型[J]. 电工技术学报, 2023, 38(3): 793-805. Xu Xiangchu, Mi Zengqiang, Zhan Zewei, et al. A robust optimization model for electric vehicle aggregator participation in energy and frequency regulation markets considering multiple uncertainties [J]. Transactions of China Electrotechnical Society, 2023, 38(3): 793-805.
[30] 付卓铭. 集群电动汽车参与新能源电力系统调频效用评估方法研究[D]. 北京: 华北电力大学, 2024. Fu Zhuoming. Research on the utility evaluation method of cluster electric vehicles participating in the frequency regulation of the new energy power system[D]. Beijing: North China Electric Power University, 2024.
[31] PJM electricity market data [EB/OL]. (2020-07-13) [2025-03-01]. https://dataminer2.pjm.com/list.
[32] 韩丽, 陈硕, 王施琪, 等. 考虑风光消纳与电动汽车灵活性的调度策略[J]. 电工技术学报, 2024, 39(21): 6793-6803. Han Li, Chen Shuo, Wang Shiqi, et al. Scheduling strategy considering wind and photovoltaic power consumption and the flexibility of electric vehicles[J]. Transactions of China Electrotechnical Society, 2024, 39(21): 6793-6803.
[33] Elia System Operator. Grid data open platform [EB/OL]. [2025-05-21]. https://www.elia.be/en/grid-data/open-data.
[34] 白斌, 韩明亮, 林江, 等. 含风电和光伏的可再生能源场景削减方法[J]. 电力系统保护与控制, 2021, 49(15): 141-149. Bai Bin, Han Mingliang, Lin Jiang, et al. Scenario reduction method of renewable energy including wind power and photovoltaic[J]. Power System Protection and Control, 2021, 49(15): 141-149.
[35] 段偲默, 苗世洪, 霍雪松, 等. 基于动态Copula的风光联合出力建模及动态相关性分析[J]. 电力系统保护与控制, 2019, 47(5): 35-42. Duan Simo, Miao Shihong, Huo Xuesong, et al. Modeling and dynamic correlation analysis of wind/solar power joint output based on dynamic Copula[J]. Power System Protection and Control, 2019, 47(5): 35-42.
[36] 国家发展改革委, 国家能源局. 关于提升电力系统调节能力的指导意见(发改能源〔2018〕364 号) [EB/OL]. [2019-05-27]. http: // www.ndrc. gov.cn/gzdt/ 201803/t20180323_880128.html.
[37] 李家壮, 艾欣, 胡俊杰. 电动汽车参与电网二次调频建模与控制策略[J]. 电网技术, 2019, 43(2): 495-503. Li Jiazhuang, Ai Xin, Hu Junjie. Supplementary frequency regulation modeling and control strategy with electric vehicles[J]. Power System Technology, 2019, 43(2): 495-503.
Abstract With the large-scale integration of renewable energy sources into the grid, the demand for AGC frequency regulation requirement has gradually increased.The rapid growth in the scale of electric vehicles (EVs) shows a considerable frequency regulation capacity and fast and accurate frequency regulation response ability, which can make up for the disadvantage of thermal power units that cannot meet the requirement due to the ramp rate limitation. Therefore, the system requires a certain scale of EVs to cooperate with thermal power units to participate in frequency regulation.
At present, the research on the frequency regulation capacity requirement of renewable energy power systems under the large-scale participation of EVs in regulation has the following deficiencies: (1) There is still a lack of a system frequency regulation capacity requirement assessment method that can precisely consider the large-scale participation of EVs in frequency regulation based on data and physics driven model. (2) As a high-quality frequency regulation resource, the impact of the fast response ability of EVs to signals on the frequency regulation capacity requirement of renewable energy power systems is unknown.
To address the above issues, the main contributions of this paper are as follows: (1) Through the dynamic derivation from the feasible region of a single EV to the feasible interval of large-scale EVs, and the fine-grained characterization of the frequency-regulation capabilities of different types of large-scale EVs through block aggregation. (2) Based on the frequency response model of high-proportion renewable energy power systems, a data and physics hybrid-driven frequency-regulation requirement assessment model considering the participation of large-scale EVs in regulation is proposed. (3) The relative frequency-regulation effect coefficient of EVs is proposed, which can guide grid operators to regulate the proportion of high-quality frequency regulation resources such as EVs in the frequency regulation requirement.
The main conclusions from the case simulation results are as follows: (1) In most periods, thermal power units can't fully meet the system's frequency regulation capacity requirement demand. Large-scale EVs need to take on some frequency regulation tasks. Compared with disorderly charging, orderly charging can effectively reduce the gap between source and load, and lower the frequency regulation capacity requirement of the system. Thus, it is very crucial to implement the orderly charging and discharging strategy of electric vehicles guided by price. (2) The system's frequency regulation demand first decreases and then increases as the proportion of EVs in frequency regulation rises. When the EV’s proportion is around 30%, the required frequency regulation resource is minimal. Also, stricter frequency standard-deviation limits mean more frequency regulation capacity requirement is needed. (3) The relative frequency regulation utility of EVs compared to thermal power units lessens as the proportion of their frequency regulation capacity requirement increases. Stricter frequency standards enable EVs to better utilize their fast response ability to frequency regulation signals, showing a better regulation effect. This shows that a proper ratio of the two regulation resources is needed for better results, and grid operators should limit the proportion of high-quality resources like EVs in frequency regulation capacity requirement.
keywords:Electric vehicle, frequency regulation, assessment of effectiveness, frequency regulation capacity requirement, ramp rate
DOI: 10.19595/j.cnki.1000-6753.tces.250352
中图分类号:TM761
国家自然科学基金资助项目(52177080)。
收稿日期 2025-03-06
改稿日期 2025-07-23
刘宝柱 男,1974年生,副教授,研究方向为智能电网与交通融合,电动汽车与电网互动。E-mail:bzliu@ncepu.edu.cn
胡俊杰 男,1986年生,教授,博士生导师,研究方向为新能源电力系统与微网,电动汽车与电网互动。E-mail:junjiehu@ncepu.edu.cn(通信作者)
(编辑 赫 蕾)