摘要 电气化铁路同相牵引供电系统取消了牵引变电所出口电分相,当单相牵引功率较大的交直交车型运行时,往往会导致电网侧公共连接点产生较大电压不平衡度。为改善这一状况,该文结合旋转潮流控制器的连续调节特性,提出一种并联型旋转负序补偿器(PRNC)拓扑电路。首先通过分析PRNC特殊接线,研究PRNC工作原理;其次结合PRNC输出的负序补偿电流特性构建同相牵引供电系统,提出基于双dq旋转坐标系锁相环的负序补偿策略,以线路电气量的正负序作为数字信号处理器输入,运算处理后输出调节信号改变PRNC移相角,大幅降低电力机车在供电线路产生的负序电流;然后针对PRNC同相牵引供电应用场景,在计算定转子绕组每相电流的基础上提出PRNC容量设计方法;最后通过仿真和实验验证所提拓扑及控制的有效性,结果表明同相牵引供电系统中PRNC能在恒定负载和波动负载情况下显著降低电网侧三相电压不平衡度。
关键词:同相牵引供电系统 并联型旋转负序补偿器 负序补偿 容量设计
目前单相工频交流制供电制式广泛应用于我国电气化铁路,其中采用四象限脉宽调制(Pulse Width Modulation, PWM)控制的交直交型电力机车逐渐成为主要车型[1]。该车型的供电系统在一定程度上缓解了无功功率和低次谐波问题,但牵引功率的提升加剧了以负序为主的电能质量问题[2]。为降低牵引负荷在电力系统公共连接点(Point of Common Coupling, PCC)造成的三相电压不平衡,现行牵引供电系统通常采用轮换相序、分区供电的方案[3],并且在牵引变压器出口处和分区处的接触网上设置电分相。电分相是牵引网的薄弱环节,列车过分相时存在失电、过电压等安全问题[4],因此需要对既有牵引供电系统进行技术革新。
同相供电技术由西南交通大学李群湛教授率先提出,该技术能在减小电分相的同时兼备负序治理功能[5]。由于同相供电系统在牵引变电所采用同一电压端口供电,因而采用牵引变压器和同相补偿装置配合的组合式同相供电技术实现电能质量问题治理,其中同相补偿装置主要分为无功型补偿装置和有功型补偿装置两类[6]。静止无功发生器(Static Var Generator, SVG)作为典型的无功型补偿装置有许多优点[7-8]。文献[9-11]结合SVG和牵引变压器提出电气化铁路同相牵引供电综合补偿方案及控制策略,实现PCC负序补偿。不同于无功型补偿装置,有功型补偿装置主要利用有功功率实现负序电流的补偿,包含铁路功率调节器(Railway Power Conditioner, RPC)和同相供电装置等[12]。文献[13-14]针对RPC高昂的成本进行容量方面优化,并结合既有牵引网研制了一种新型同相供电系统,综合性地治理负序和电分相问题。上述组合式同相供电技术针对既有牵引变电所进行改造,工程价值和实践意义较高。此外,柔性直流技术在同相供电中也展现出良好的应用前景,该技术使用全控型功率器件灵活地进行公共电网与牵引网之间的功率交换,实现全线贯通且解决了列车引起的电能质量问题[15-16]。文献[17-18]研究了贯通同相供电系统中柔性直流技术的特点和控制策略,指出该技术具有优异的性能,但其经济性和供电可靠性有待进一步探索。
当下同相供电技术方案主要基于电力电子变流器开展讨论[19-20],而鲜有电磁型补偿器的相关研究。基于旋转移相变压器(Rotary Phase Shifting Transformer, RPST)的旋转潮流控制器(Rotary Power Flow Controller, RPFC)作为一种柔性交流输电装置被美国GE公司提出[21]。它可以调节旋转角得到幅值和相位连续可调的输出电压,在相同的设计容量下较电力电子换流器具有更低的成本[22],有望解决电气化铁路负序及同相牵引供电的技术问题。文献[23]指出RPFC在响应速度上逊于电力电子器件,但是RPFC的运行维护成本较低,并且其电磁型结构能较好地承受合闸的涌流,具有一定的综合性价比优势。文献[24]针对高比例光伏并网引起的用户侧电压越限问题,对比分析RPFC与RPST的调压方式,验证了RPFC实现用户侧电压调控的可信性和有效性。文献[25]借鉴电压源换流器和RPFC提出一种无功补偿器的新拓扑,为无功补偿装置及其控制策略提供了新思路。RPFC的研究前景较为广阔,有必要探索RPFC在电气化铁路同相牵引供电技术中的应用方案。
本文在现有文献研究的成果基础上,首先提出一种基于旋转移相变压器的并联型旋转负序补偿器(Parallel Rotary Negative Compensator, PRNC)新拓扑,并介绍其工作原理;其次,研究PRNC实现同相牵引供电的控制策略,进行该场景下的容量设计,并搭建仿真模型验证;最后通过380 V/40 kV·A实验样机完成实验验证。
PRNC使用2台RPST,其拓扑结构如图1所示。双分裂绕组变压器的高压绕组将电网侧三相电压变换至两个低压分裂绕组为PRNC供电,两个分裂绕组额定电压和容量相同,匝数相等。2台RPST的转子绕组为一次绕组,其输入端口用Xi、Yi、Zi(i=1,2)表示,X1与X2、Y1与Y2、Z1与Z2并联后接入双分裂绕组二次侧a1、b1、c1相出线获得励磁,定义转子绕组的这种接线方式为正序接线。定子绕组作为二次绕组,其输入端口用xi、yi、zi(i=1,2)表示,输出端口用ui、vi、wi(i=1,2)表示。RPST1定子绕组输出端口u1、v1、w1依次与RPST2定子绕组输入端口x2、y2、z2连接,RPST2定子绕组输出端口u2、v2、w2与三相电容器Cs连接。2台RPST定子绕组与三相电容形成串联结构后,RPST1定子绕组输入端口x1、y1、z1接入双分裂绕组二次侧a2、c2、b2相出线,定义定子绕组的这种接线方式为负序接线。a1和a2分别为2台RPST定转子的移相角。
图1 PRNC拓扑结构
Fig.1 Topology structure of PRNC
根据电磁感应原理,RPST定子侧输出一个幅值不变。相位360°可调的负序电压相量,两组电压相量合成一个幅值、相位均可调节的串联负序电压。在静止时RPST类似于变压器,其定子绕组和转子绕组的电压幅值存在一定的比值关系,相位差与绕组间的机械角有关。对于多对级RPST,控制过程中只需要伺服电机驱动转子绕组转动很小的机械角度即可实现移相角的显著调节。若忽略磁化电流,RPST不会产生谐波[25],同时RPST不存在滑动触头,转子绕组旋转过程较为安全可靠。
PRNC的主电路如图2所示。图2中,
和
分别为PRNC转子绕组和定子绕组的端口电压;
和
分别为两个定子绕组电压;
为两个定子绕组的串联输出电压;
为定子侧电容两端电压降落;
和
分别为PRNC转子绕组和定子绕组电流;
和
分别为两台RPST转子绕组电流;k1和k2分别为两台RPST定转子的有效匝数比。
图2 PRNC主电路
Fig.2 Main circuit schematic diagram of PRNC
考虑到完全补偿后高压输电线路负序电压被消除,并且RPST定子绕组为负序接线,在两个低压分裂绕组参数相同的情况下,RPST转子绕组和定子绕组端口电压
和
相等,仅含正序分量
和
,RPST定子绕组电压
和
仅含负序分量
和
,此时一、二次电压分量的关系为
(1)
认为两台RPST定转子的有效匝数比相等,即k1=k2=kp,定子侧串联负序电压
表达式为
(2)
忽略RPST定子阻抗,定子侧串联负序电压
全部降落在电容Cs上,其在定子侧绕组产生的负序电流
为
(3)
式中,ω为角频率,ω=2πf,f为电网电压频率。
在RPST负序接线的影响下,其定子侧正序电流
决定转子侧负序电流
和
为
(4)
故PRNC转子绕组负序电流
可以表示为
(5)
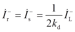
结合式(3)和式(5)可得,PRNC定子侧负序电流等于转子侧负序电流,若双分裂绕组变压器电压比为1:kd,则PRNC向电网侧发出的负序电流
为
(6)
式(6)表明通过调节2台RPST的移相角可改变注入线路的负序电流,并且转子绕组和定子绕组各自分担一半的负序电流。
基于PRNC的同相供电系统拓扑结构如图3所示,SSi(i=1,2,···,n)为n个牵引变电所,定义这n个牵引变电所为1个牵引变电所群。该牵引变电所群通过单相变压器从高压专用输电线路获取电能,同时高压专用输电线路外部电源进线可追溯至电网侧三相输电线PCC处。采用该同相牵引供电系统后,高压专用输电线从电网侧输电线的其中两相获取电能,为缓解牵引变电所群电力机车产生的不平衡问题,在PCC处增设单台PRNC进行负序电流补偿。
图3 基于PRNC的同相供电系统拓扑结构
Fig.3 Schematic diagram of a PRNC-based co-phase power supply system topology
n=2时同相供电系统拓扑结构如图4所示。单相变压器为二次侧中点抽出式,牵引变电所SS1、SS2中牵引变压器一次侧连接高压专用输电线,二次侧分别连接接触线T、钢轨R、负馈线F。图4中,AT代表AT(Autotransformer)所,SP代表分区所,当两个牵引变电所输出同相位电压时,可闭合分区所实现牵引变电所群全线贯通。
图4 n=2时同相供电系统拓扑结构
Fig.4 Schematic diagram of a co-phase power supply system topology for n=2
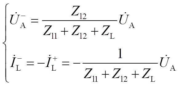
假设牵引变压器进线均为BC相,电力机车等效至电网侧的阻抗为ZL,输电线路正序阻抗为Zl1,负序阻抗为Zl2,牵引供电等效序网图如图5所示。
图5 牵引供电等效序网图
Fig.5 Equivalent sequence network diagram of traction power supply
结合牵引供电等效序网图,可得变电所处负序电压
与负序电流
的表达式为
(7)
PRNC的控制程序由数字信号处理器实现,其中采用dq坐标变换的锁相环在三相不平衡场景下误差较大,需要采用精度较高的双dq坐标变换提取电气量正负序,双同步参考坐标变换相量图如图6所示。
图6 双同步参考坐标变换相量图
Fig.6 Bilateral synchronous reference coordinate transformation phasor diagram
当正序旋转坐标系dq+的d轴与正序电压矢量保持重合时,即可通过坐标系dq+的频率和相位获得正序电压的频率和相位信息,实现锁相功能。
此时可获得负序电压在负序旋转坐标系dq-上的分量
和
,进行运算获得负序电压的幅值和初相位;结合锁相环输出的相位,可获得负序电压的相位,负序电压检测结构如图7所示。
图7 负序电压检测结构
Fig.7 Negative sequence voltage detection schematic
同理可实现其他电气量的正负序提取,作为输入进入数字信号处理器相关运行程序。
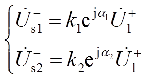
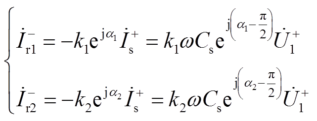
移相角控制属于PRNC的特有环节,伺服电机采用PWM控制两台RPST转动移相,通过调节占空比可改变RPST的转速。下面对两台RPST移相角的设定值进行分析,若实现牵引负载负序电流的完全补偿,PRNC转子绕组和定子绕组的负序电流应满足
(8)
定子侧串联负序电压
与电容两端电压
大小相等,相位差180°,从而可计算串联负序电压的参考值为
(9)
PRNC移相角分析相量图如图8所示。结合图8分析PRNC移相角与串联负序电压关系,以电网侧A相正序电压为参考相量,在
的幅值
和相位js_ref已知的情况下,根据旋转矢量合成方法可求出两台RPST移相角设定值a1_ref和a2_ref为
(10)
图8 PRNC移相角分析相量图
Fig.8 Phase angle analysis phasor diagram of PRNC
通过式(10)计算得到两台RPST移相角设定值作为数字信号处理器的输出信号,以PWM波的形式传递给伺服电机,驱动转子绕组转动使移相角到达指定电气角度。
当两台RPST均到达移相角所对应的机械位置时,定子绕组和转子绕组产生的负序电流之和能抵消电力机车产生的负序电流,降低电网侧PCC电压不平衡度。按照电能质量的相关要求[6],电压不平衡度
可按照式(11)计算。
(11)
式中,
为PCC处负序电流值;Sd为PCC处三相短路容量;Ud为三相电力系统线电压。
当a1和a2相等时,由式(6)可知补偿电流
有最大值
,即
(12)
式(12)表明PRNC提供的最大补偿电流受限于定子侧电容值,需要对电容Cs进行设计以满足负序补偿需求,假设电力机车负载能产生的最大负序电流为
,容值裕度为
,可求得电容的最小容值Csmin为
(13)
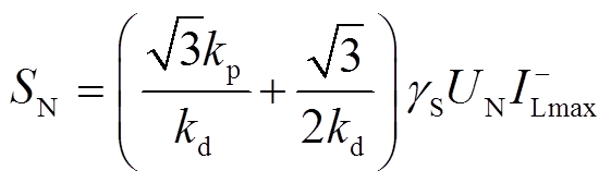
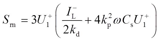
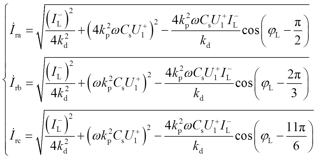
PRNC的定转子绕组在补偿过程中同时存在正序和负序电流,因此PRNC三相电流不平衡。下面将分析PRNC定转子三相电流在电流有效值上的分布情况,为负序补偿器的容量设计提供数据支撑。
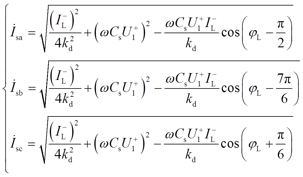
对于PRNC定子绕组,正负序电流表达式为
(14)
以
为参考相量,
相位为jL,则定子绕组三相电流有效值可由余弦定理求得,有
(15)
负载负序电流的相位满足
(16)
在jL=5p/6时,定子绕组的c相电流
取到最大值,定义该最大值Isn为定子绕组标称电流,其表达式为
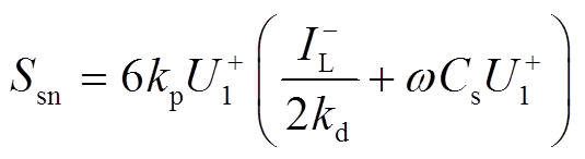
(17)
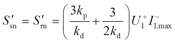
标称电流下定子绕组的视在功率Ssn为
(18)
对于PRNC转子绕组,正负序电流表达式为
(19)
求得转子绕组三相电流有效值为
(20)
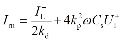
在jL=5p/6时,转子绕组的c相电流
取到最大值,定义该最大值Irn为定子绕组标称电流,其表达式为
(21)
标称电流下转子绕组的视在功率Srn为
(22)
设计时按照容抗最大的原则确定定子侧电容值,以减小PRNC定子绕组中的正序电流。将式(13)分别代入式(18)和式(22),可求得当前定转子绕组视在功率为
(23)
取PRNC容量裕度为gS,额定电压为UN,则PRNC容量表达式为
(24)
利用Matlab软件验证所提PRNC拓扑及控制策略的有效性,根据图3搭建同相牵引供电系统进行仿真分析。按照BC相负载最大视在功率10 MV·A与裕度1.1计算定子侧电容容值与PRNC容量,系统仿真参数见表1。
表1 同相牵引供电系统仿真参数
Tab.1 Simulation parameters for the co-phase power supply system
参数数值 系统短路容量/(MV·A)200 电网侧电压/kV110 双分裂绕组变压器电压比110 kV:10 kV:10 kV 单相牵引变压器电压比110 kV:55 kV AT变压器电压比55 kV:27.5 kV 定子侧电容容值/mF74 PRNC额定容量/(MV·A)16 PRNC额定电压/kV10 RPST定转子电压比1 移相角额定转速/(rad/s)1.3
PRNC在电网侧提供的负序补偿电流与其移相角有关。当两台RPST的移相角相差弧度为p时,定子侧电容两端负序电压最小,注入电网的负序电流最小;当两台RPST的移相角相等时,注入电网的负序电流最大(
)。定义移相角a1和a2相减的结果为移相角差d,根据表1参数可得PRNC负序电流补偿范围如图9所示。
图9 PRNC负序电流补偿范围
Fig.9 Negative sequence current compensation range of PRNC
图9说明负序补偿电流的大小与移相角差d相关,当移相角差d=0时,PRNC输出的负序补偿电流最大;当移相角差d=±p时,PRNC输出的负序补偿电流最小,因而在补偿范围内通过调节移相角差即可实现负序补偿电流大小的连续调节。
为验证PRNC在额定补偿范围内的连续补偿能力,通过改变电力机车功率将仿真分为三种工况:工况1——PL1+jQL1=(2+j0.2)MV·A;工况2——PL2+jQL2=(4+j0.4)MV·A;工况3——PL3+jQL3=(6+ j0.6)MV·A。
负载功率波动时,在0.1 s启动PRNC进行补偿,启动前后电网PCC处仿真结果如图10所示。由图10可得,在不同工况下所提方案均可控制PCC三相电压不平衡度在2%以下,满足相关国标要求。工况发生变化后,认为电压不平衡度低于0.3%时PRNC的负序补偿达到稳态,仿真结果表明该同相牵引供电系统在负载动态变化下达到新的稳态所需时间约为180 ms,从而能快速实现牵引供电系统的负序电流补偿。

图10 PRNC补偿仿真结果
Fig.10 Compensation simulation results of PRNC
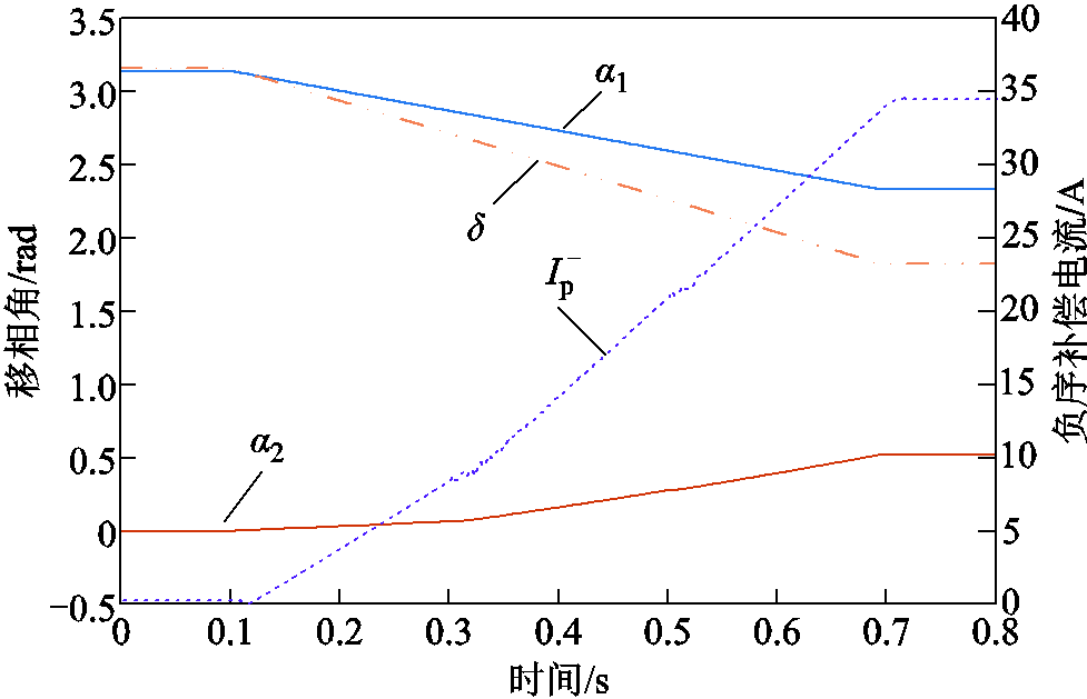
启动PRNC进行负序补偿时,两台RPST的移相角波形如图11所示。两台RPST的移相角a1和a2初始值分别为p和0,移相角差d为p,PRNC向电网侧注入的负序电流为0,随着电力机车功率的逐渐增大,PRNC移相角差d趋于0以获得更大的补偿电流,进而减小PCC处不平衡电流。
为进一步验证本文所提PRNC拓扑和控制策略的有效性,搭建380 V的PRNC样机实验平台,实物装置如图12所示,实验参数见表2。实验采用三相负载柜中的BC相负载模拟电力机车,PRNC转子绕组和定子绕组直接并入主线路进行相关负序补偿。
图11 PRNC移相角和输出负序补偿电流波形
Fig.11 Phase shifting angle and output negative sequence current waveforms of PRNC
图12 PRNC实验装置
1,2—RPST 3—DSP处理器 4—示波器 5,6—RPST的伺服电机 7,8—传动齿轮 9—PRNC整体结构 10—负载柜 11—定子侧电容 12—PRNC并网点
Fig.12 Structure diagram of PRNC experimental device
表2 PRNC实验参数
Tab.2 Experimental parameters of PRNC
参数数值 系统短路容量/(kV·A)15 PRNC额定容量/(kV·A)40 电网侧电压/V380 定子绕组输出电压/V100 RPST定转子电压比3.8
(续)
参数数值 RPST极对数1 定子侧电容容值/mF16 伺服电机额定转速/(r/min)2 400
PRNC提供的负序补偿电流与移相角差有关,由表2可计算该样机的最大负序补偿电流为1.16 A,以移相角差初始值d为p连续调节RPST移相角a1和a2,实验结果如图13所示。
图13 PRNC样机补偿范围
Fig.13 Compensation range of PRNC prototype
图13中两台RPST移相角a1和a2分别从初始值p/2和-p/2连续变化至0,移相角差d由p连续变化至0,定子侧电容两端的负序电压逐渐到达最大值,注入线路的负序补偿电流由0增至1.182 A,与理论值接近且连续可调。
参照PRNC样机的最大负序补偿电流,设置三相负载柜BC相功率如下:工况1中PBC1+jQBC1= (200+j0)V·A;工况2中PBC2+jQBC2=(400+j200)V·A。
采用DL850示波器对线路三相电流进行采集,通道4、5、6分别对应PCC处A、B、C相电流。BC相功率变动时,PRNC负序补偿实验波形如图14所示。
图14 PRNC样机补偿结果
Fig.14 Compensation results of PRNC prototype
由图14可得,PRNC样机分别在2 s和30 s对工况1和工况2启动补偿,受RPST极对数、转子质量和伺服电机转速等客观条件限制,实验样机的响应速度相较于仿真结果偏慢。当前实验条件下PRNC能在12 s内驱动两台RPST的移相角到达指定位置,从而平衡线路三相电流,控制PCC电压不平衡度在2%以下。并且补偿前后PCC各相电流谐波未发生较大变化,该结果表明PRNC几乎不会向系统注入谐波。
图15为PRNC样机移相角波形,两台RPST的移相角a1和a2初始值分别为p和0,PRNC向电网侧注入的负序电流为0。随着线路BC相负荷的增加,两台RPST移相角差d逐渐减小,进而输出连续增大的负序电流进行补偿。在当前实验条件下移相角的额定转速为0.09 rad/s,负序补偿电流增速相较于仿真结果偏慢,但仍能从原理上验证本文所提控制策略的有效性。
图15 PRNC样机移相角波形
Fig.15 Phase shifting angle and output negative sequence current waveforms of PRNC prototype
上述研究表明PRNC在同相供电系统中能降低PCC处三相电压不平衡度,目前具备相关功能的典型设备还包括SVG[26]和RPC[27-28]。RPC、SVG与PRNC的经济对比[23,29-30]见表3。表3中,“√”为数据较低,“√√”为数据中等,“√√√”为数据较高。
表3 SVG、RPC与PRNC经济性对比
Tab.3 Experimental parameters of SVG, RPC and PRNC
特性RPCSVGPRNC 单位容量成本√√√√√√ 使用年限√√√√√√ 运维成本√√√√√
由此可见,传统RPC作为绝缘栅双极型晶体管构成的一种单相背靠背AC-DC-AC变换器,单位容量成本较高;PRNC主要结构为旋转移相变压器,单位容量成本较低;基于电压源换流器的SVG单位容量成本介于二者之间。三者在使用年限上相近,但SVG和RPC的运维主要集中在电力电子元器件及其保护装置,维护周期较短、运维成本较高;而PRNC主要维护对象包括RPST和伺服电机,其维护可参考传统机械式变压器,主要是对其机械结构进行检修和维护,其维护周期长、运维成本较低。
本文提出了一种基于RPST的并联型旋转负序补偿器(PRNC)拓扑结构,并结合同相牵引供电系统分析其负序电流补偿策略及进行相关容量设计。研制了一台小容量PRNC样机,在380 V电压等级下搭建运行场景,仿真与实验证明了PRNC的负序补偿效果,得到如下结论:
1)基于PRNC和单相变压器的电气化铁路同相牵引供电方案可取消相序轮换,并降低PCC三相电压不平衡度。PRNC采用两台RPST转子绕组正序接线、定子绕组负序接线方式,调节其移相角大小,实现电网侧负序电流连续调节。
2)根据PRNC提供补偿电流大小与移相角的关系确定定子侧电容容值,应用于同相牵引供电场景分析PRNC定转子绕组的电流,从而在已知电力机车最大功率的情况下确定PRNC所需容量。
3)当电力机车负载功率变动时,PRNC通过调节移相角差连续调节负序补偿电流,降低牵引负荷在PCC处产生的不平衡电流,具有较好的控制效果。同时本文提出的PRNC拓扑属于电磁式设备,单位容量成本优势明显,为同相牵引供电系统的实现提供了新方案。下一步将优化PRNC样机参数,提高其响应速度,以更好地应对电气化铁路负荷的时变性和冲击性。
参考文献
[1] 孟昭斐, 胡海涛, 周毅. 电力机车运行工况对车网系统低频振荡的影响规律研究[J]. 电气工程学报, 2022, 17(2): 131-141. Meng Zhaofei, Hu Haitao, Zhou Yi. Study on the influence law of electric vehicle on low frequency oscillation of vehicle-network system under operating condition[J]. Journal of Electrical Engineering, 2022, 17(2): 131-141.
[2] Chen Yinyu, Chen Minwu, Cui Mingjian, et al. Voltage unbalance probability pre-assessment of electrified railways with uncertain traction load[J]. IEEE Transactions on Transportation Electrification, 2023, 9(1): 1509-1520.
[3] 钟帆, 解绍锋, 黄大锐, 等. 无功补偿型贯通同相供电系统谐振特性研究[J]. 电网技术, 2023, 47(8): 3302-3313. Zhong Fan, Xie Shaofeng, Huang Darui, et al. Harmonic resonance characteristics of reactive power compensation-typed continuous co-phase power supply system[J]. Power System Technology, 2023, 47(8): 3302-3313.
[4] Bu H, Lee Yejun, Cho Y, et al. Neutral section passing strategy preventing inrush current for electric railway solid-state transformers[J]. Journal of Power Electronics, 2021, 21(8): 1135-1143.
[5] 李群湛, 彭友, 黄小红, 等. 电气化铁路贯通供电系统穿越功率的治理措施[J]. 西南交通大学学报, 2024, 59(6): 1245-1255. Li Qunzhan, Peng You, Huang Xiaohong, et al. Crossing power governance approach of continuous power supply system in electrified railway[J]. Journal of Southwest Jiaotong University, 2024, 59(6): 1245-1255.
[6] 崔晓, 熊宇, 柳贵东, 等. 基于RPC的同相供电系统供电运行能量多维控制研究[J]. 电源学报, 2024, 22(5): 213-219. Cui Xiao, Xiong Yu, Liu Guidong, et al. Multi-dimensional control of power supply operation energy in cophase power supply system based on RPC[J]. Journal of Power Supply, 2024, 22(5): 213-219.
[7] 熊小玲, 罗博晨, 刘京波, 等. 计及SVG的双馈风电场高频阻抗建模及振荡分析[J]. 电网技术, 2023, 47(7): 2905-2917. Xiong Xiaoling, Luo Bochen, Liu Jingbo, et al. High frequency impedance modeling and oscillation analysis of DFIG-based station considering SVG[J]. Power System Technology, 2023, 47(7): 2905-2917.
[8] 唐英杰, 查晓明, 田震, 等. 弱电网条件下虚拟同步机与SVG并联系统的暂态稳定性分析[J]. 电网技术, 2022, 46(10): 4020-4034. Tang Yingjie, Zha Xiaoming, Tian Zhen, et al. Transient stability analysis of virtual synchronous generator and SVG parallel system under weak grid conditions[J]. Power System Technology, 2022, 46(10): 4020-4034.
[9] 张丽艳, 韩笃硕, 王辉, 等. 牵引变电所群贯通供电系统负序补偿模型及控制策略[J]. 电力系统自动化, 2021, 45(22): 146-156. Zhang Liyan, Han Dushuo, Wang Hui, et al. Negative sequence compensation model and control strategy for interconnected power supply system of traction substation group[J]. Automation of Electric Power Systems, 2021, 45(22): 146-156.
[10] 王辉, 李群湛, 解绍锋, 等. 基于Vv-SVG的电气化铁路同相供电综合补偿方案及控制策略[J]. 铁道学报, 2021, 43(9): 46-55. Wang Hui, Li Qunzhan, Xie Shaofeng, et al. Comprehensive compensation scheme and control strategy of cophase power supply for electrified railway based on Vv-SVG[J]. Journal of the China Railway Society, 2021, 43(9): 46-55.
[11] 张宇, 王辉, 李群湛, 等. 基于Dd匹配变和SVG的牵引变电所群贯通供电系统负序治理方案及控制策略[J]. 高电压技术, 2021, 47(1): 150-158. Zhang Yu, Wang Hui, Li Qunzhan, et al. Negative sequence treatment and control strategy for the co-phase interconnected power supply system of traction substation group based on dd transformer and SVG[J]. High Voltage Engineering, 2021, 47(1): 150-158.
[12] Wang Lei, Pang Ying, Lao Kengweng, et al. Design and analysis of adaptive impedance structure for cophase railway traction supply power quality conditioner[J]. IEEE Transactions on Transportation Electrification, 2020, 6(3): 1338-1354.
[13] 邓文丽, 戴朝华, 陈维荣, 等. 铁路功率调节器研究进展[J]. 中国电机工程学报, 2020, 40(14): 4640-4655, 4742. Deng Wenli, Dai Chaohua, Chen Weirong, et al. Research progress of railway power conditioner[J]. Proceedings of the CSEE, 2020, 40(14): 4640-4655, 4742.
[14] 罗隆福, 周颖启, 邹津海. 基于V/v变压器同相牵引供电的新型补偿系统[J]. 电力自动化设备, 2018, 38(12): 86-93. Luo Longfu, Zhou Yingqi, Zou Jinhai. A new compensation system for V/v co-phase traction power supply[J]. Electric Power Automation Equipment, 2018, 38(12): 86-93.
[15] 王鑫, 郭祺, 涂春鸣, 等. 考虑架构灵活重构的混合式贯通牵引供电装置应急管控与故障恢复策略[J]. 电工技术学报, 2024, 39(13): 4052-4065. Wang Xin, Guo Qi, Tu Chunming, et al. Emergency control and fault recovery strategy of hybrid advanced traction power supply device considering flexible reconfiguration[J]. Transactions of China Electro-technical Society, 2024, 39(13): 4052-4065.
[16] 次凯旋, 解绍锋, 王辉, 等. 贯通同相供电系统建模及运行特性分析[J]. 电力自动化设备, 2024, 44(10): 201-207. Ci Kaixuan, Xie Shaofeng, Wang Hui, et al. Modeling and operation characteristic analysis of continuous co-phase power supply system[J]. Electric Power Automation Equipment, 2024, 44(10): 201-207.
[17] 祁忠永. 电气化铁路贯通式同相供电系统方案及控制策略[J]. 铁道工程学报, 2024, 41(5): 67-72. Qi Zhongyong. Study on scheme and control strategy of through co-phase power supply system for electrified railway[J]. Journal of Railway Engineering Society, 2024, 41(5): 67-72.
[18] 田旭, 周子博, 李兴城. 基于改进下垂控制的贯通同相系统负荷分配方法[J]. 电力系统自动化, 2022, 46(15): 178-186. Tian Xu, Zhou Zibo, Li Xingcheng. Load distribution method of interconnected co-phase power supply system based on improved droop control[J]. Automation of Electric Power Systems, 2022, 46(15): 178-186.
[19] 张丽艳, 梁世文, 李鑫, 等. 新型电缆贯通供电系统运行特性分析[J]. 中国电机工程学报, 2020, 40(16): 5229-5239. Zhang Liyan, Liang Shiwen, Li Xin, et al. Operation characteristic analysis on new continuous cable power supply system[J]. Proceedings of the CSEE, 2020, 40(16): 5229-5239.
[20] Wang Xin, Guo Qi, Tu Chunming, et al. A novel hybrid advanced cophase power supply equipment with its operation control strategy[J]. IEEE Transactions on Industrial Electronics, 2024, 71(11): 13910-13920.
[21] 颜湘武, 邵晨, 彭维锋, 等. 基于旋转式潮流控制器的有源配电网柔性合环及紧急功率控制方法[J]. 中国电机工程学报, 2023, 43(16): 6192-6205. Yan Xiangwu, Shao Chen, Peng Weifeng, et al. Flexible loop closing and emergency power control method for active distribution network based on the rotary power flow controller[J]. Proceedings of the CSEE, 2023, 43(16): 6192-6205.
[22] Khan U N, Sidhu T S. Protection of standard-delta phase shifting transformer using terminal currents and voltages[J]. Electric Power Systems Research, 2014, 110: 31-38.
[23] 谭振龙, 张春朋, 姜齐荣, 等. 旋转潮流控制器与统一潮流控制器和Sen Transformer的对比[J]. 电网技术, 2016, 40(3): 868-874. Tan Zhenlong, Zhang Chunpeng, Jiang Qirong, et al. Comparative research on rotary power flow controller, unified power flow controller and Sen transformer[J]. Power System Technology, 2016, 40(3): 868-874.
[24] 颜湘武, 邵晨, 吴鸣, 等. 基于电磁式旋转潮流控制器的有源配电网多场景控制[J]. 电工技术学报, 2023, 38(增刊1): 44-55. Yan Xiangwu, Shao Chen, Wu Ming, et al. Multi-scene control method of active distribution network based on electromagnetic rotating power flow controller[J]. Transactions of China Electrotechnical Society, 2023, 38(S1): 44-55.
[25] 颜湘武, 郭燕, 彭维锋, 等. 基于旋转移相变压器的电压源型无功补偿器及其控制策略[J]. 电工技术学报, 2023, 38(16): 4448-4464. Yan Xiangwu, Guo Yan, Peng Weifeng, et al. Voltage source var compensator based on rotary phase shifting transformer and its control strategy[J]. Transactions of China Electrotechnical Society, 2023, 38(16): 4448-4464.
[26] 徐衍会, 任晋, 田鑫, 等. 综合提升新能源高占比受端电网小干扰和暂态电压稳定性的SVG优化配置方法[J]. 电力系统保护与控制, 2024, 52(19): 119-130. Xu Yanhui, Ren Jin, Tian Xin, et al. An SVG optimal configuration method for enhancing small disturbance and transient voltage stability in a receiving-end power grid with a high proportion of renewable energy[J]. Power System Protection and Control, 2024, 52(19): 119-130.
[27] 颜湘武, 李秉桢, 吴炜林, 等. 基于单相双旋转移相变压器的高速铁路系统负序补偿方法[J]. 电工技术学报, 2024, 39(15): 4643-4653. Yan Xiangwu, Li Bingzhen, Wu Weilin, et al. Single-phase dual rotary phase shifting transformer based negative sequence compensation method for high-speed railway systems[J]. Transactions of China Electrotechnical Society, 2024, 39(15): 4643-4653.
[28] 胡海涛, 陈俊宇, 葛银波, 等. 高速铁路再生制动能量储存与利用技术研究[J]. 中国电机工程学报, 2020, 40(1): 246-256, 391. Hu Haitao, Chen Junyu, Ge Yinbo, et al. Research on regenerative braking energy storage and utilization technology for high-speed railways[J]. Proceedings of the CSEE, 2020, 40(1): 246-256, 391.
[29] 李生虎, 胡涛, 常雅玲. 计及异常状态和定期检修的UPFC可靠性评估[J]. 电力自动化设备, 2022, 42(5): 90-96, 103. Li Shenghu, Hu Tao, Chang Yaling. Reliability evaluation to UPFC with abnormal state and routine test[J]. Electric Power Automation Equipment, 2022, 42(5): 90-96, 103.
[30] 林延生. 电力变压器的检修维护技术分析[J]. 电子技术, 2023, 52(9): 196-197. Lin Yansheng. Analysis of maintenance techniques for power transformers[J]. Electronic Technology, 2023, 52(9): 196-197.
Abstract Single-phase industrial frequency AC power supply is widely used in China's electrified railways. Negative sequence currents from electric locomotives and phase separation from phase rotation threaten the safe operation for traction power supply systems. Co-phase power supply technology can address these issues. However, most solutions are based on power electronic converters, with few studies on electromagnetic compensators for co-phase power supply. A parallel rotary negative compensator (PRNC) based on two sets of rotary phase shifting transformers (RPSTs) can output voltages with continuously adjustable amplitude and phase, offering significant cost advantages per unit capacity and showing promise for addressing negative sequence and co-phase power supply challenges in electrified railways.
The PRNC mainly consists of two RPSTs, with rotor windings connected in positive sequence and stator windings connected in negative sequence. By driving the rotor winding with a servomotor, the phase difference between the stator and rotor voltages can be adjusted. The stator voltages of the two RPSTs synthesize a series negative sequence voltage with continuously adjustable amplitude and phase, thereby adjusting the negative sequence compensation current injected by the PRNC into the line.
First, the relationship between the phase shifting angles of the two RPSTs and the negative sequence compensation current was derived based on the PRNC topology. Next, a traction substation system with co-phase power supply and a dedicated high voltage transmission line was proposed, using a single-phase transformer with a center tap on the secondary side as the traction transformer, along with centralized compensation by the PRNC at the point of common coupling (PCC). Then, two dq transformations were used to extract positive and negative sequence components of electrical quantities, calculate the set values of the two RPSTs, and control the RPSTs to reach corresponding mechanical positions to compensate for load negative sequence currents. Additionally, the PRNC equipment was designed by calculating the per phase currents of the stator and rotor windings, thereby determining the stator side capacitance and device capacity. Finally, the effectiveness of the proposed topology and control strategy was verified through simulation and experimentation. The results showed that the PRNC can significantly reduce three phase voltage unbalance on the grid side under both constant and fluctuating load conditions in a co-phase traction power supply system.
The main contributions and conclusions are as follows: (1) The PRNC uses two RPSTs with rotor windings connected in positive sequence and stator windings connected in negative sequence. By adjusting the phase shifting angles, it enables continuous regulation of grid side negative sequence currents. (2) The stator side capacitance is determined based on the relationship between the compensation current provided by the PRNC and the phase shifting angle. The PRNC capacity is determined based on the maximum power of the electric locomotive. (3) The co-phase traction power supply scheme for electrified railways based on the PRNC and single-phase transformers can eliminate phase rotation and reduce three phase voltage unbalance at the PCC, offering a new solution for co-phase traction power supply systems. Future work will focus on optimizing the PRNC prototype parameters to improve its response speed and better address the time varying and impulsive nature of electrified railway loads. It is expected that these improvements will further enhance the reliability and efficiency of the co-phase power supply system in practical applications.
Keywords:Co-phase power supply system,parallel rotary negative compensator, negative sequence compensation, capacity
DOI: 10.19595/j.cnki.1000-6753.tces.250159
中图分类号:TM922.3
国家自然科学基金资助项目(52207102)。
收稿日期 2025-01-23
改稿日期 2025-04-26
颜湘武 男,1965 年生,教授,博士生导师,研究方向为新能源电能质量分析与控制、现代电力变换、新型储能与节能技术。E-mail:xiangwuy@ncepu.edu.cn
贾焦心 男,1991 年生,博士,讲师,研究方向为电能质量分析与控制、新能源发电系统建模和控制。E-mail:jiajx33@163.com(通信作者)
(编辑 赫 蕾)