摘要 对称型双心移相变压器(简称“移相变”)作为一种潮流调控装置,通过改变其接入后线路两侧电压与电流的相位来改变线路潮流分布。其由串联变压器和励磁变压器两部分构成,常规本体保护由多个差动继电器构成,所需电流互感器(CT)数量多且连接关系复杂。为解决该问题,该文在分析移相变本体不同部分电磁耦合关系的基础上,提出了一种基于CT精简配置的移相变新型本体保护方案。该方案将电平衡差动保护与磁平衡差动保护相结合,仅需在移相变三相的输入端、输出端及某一相串联变压器二次侧配置CT,通过4个差动继电器即可反映移相变所有内部故障。进一步,可通过4个差动继电器的动作组态实现故障定位。最后,在PSCAD/EMTDC上构建仿真模型,通过大量仿真实验验证了所提方案的可行性和有效性。
关键词:移相变压器 本体保护 综合差动保护 CT精简配置
近年来为实现“双碳”目标,我国新能源发电发展迅猛,2024年上半年,我国可再生能源新增装机容量达到1.34亿kW,占全国新增装机总量的88%[1]。但新能源的大规模高比例并网,给电力系统带来了一系列问题,例如,会导致线路传输效率下降以及潮流分布不均等[2-5]。因此电力系统须具备灵活的潮流调控能力。潮流控制装置是解决上述问题的重要方式,目前工程中应用的潮流控制装置主要为移相变压器与统一潮流控制器(Unified Power Flow Controller, UPFC)两类。其中UPFC通过向线路注入幅值与相角可控的电压,可独立、灵活地调控线路的有功和无功功率,但其制造成本昂贵,目前国内外应用较少[6-7];移相变压器通过设置励磁单元与串联单元相互耦合的结构和绕组联结方式,实现移相变压器两侧的电压与电流的相位调节,进而控制线路潮流[8]。相对于UPFC,移相变压器具有价格低廉、可靠性高等优势,目前工程上得到较多的应用[9]。
移相变压器在20世纪已在欧美等地得到广泛的应用[10-11],但目前在我国尚未得到大规模应用[12]。关于移相变压器的研究主要集中在其模型构建[13-14]、控制策略[15-19]等方面。继电保护方面的研究,主要集中于移相变压器接入线路后对保护的影响分析[20-21],而针对其本体保护的研究较少。不同于常规电力变压器,移相变压器的结构复杂紧凑,给其本体保护的配置带来困难,因此研究移相变压器本体保护方案,对其安全稳定运行具有重要意义。
现有针对移相变压器本体保护的研究中,文献[22-23]基于常规电力变压器的电平衡差动保护与磁平衡差动保护构建移相变压器的本体保护。文献[22]分别给移相变压器的一次侧、二次侧配置了电平衡差动保护与磁平衡差动保护,但并未对保护范围进行讨论与仿真分析,同时无法识别励磁变压器的匝间故障;文献[23]给出了几种结构的移相变压器的本体保护配置方案,并在文献[22]的基础上,改进了对称双心移相变压器本体保护方案,单独为励磁变压器增加了一套磁平衡差动保护用来识别励磁变压器的匝间故障,但该方案三相共需12个电流互感器(Current Transformer, CT)以及9个差动继电器,配置接线较为繁杂,其中任一元件或接线出现问题,均可能导致本体保护误动或拒动,降低了保护的可靠性,同时并未对差动保护的整定以及励磁涌流等问题进行分析;文献[24]基于移相变压器的三序等效电路构建虚拟阻抗,提出了一种基于方向比较的本体保护方案,通过虚拟阻抗的相位来判别区内故障与区外故障,但该方案无法实现故障定位;文献[25-27]针对对称单心移相变压器以及Sen变压器的本体保护进行了分析,但二者与对称双心移相变压器结构不同,本体保护方案不适用于双心移相变压器。
综上所述,针对目前双心移相变压器本体保护CT配置与接线繁杂、故障定位困难等问题,本文在分析其电磁耦合特性的基础上,提出了一种基于CT精简配置的双心移相变压器本体差动保护方案。该方案将电平衡差动与磁平衡差动保护相结合,仅在移相变压器三相输入、输出端以及某相串联变压器二次侧配置共7组CT,通过4个差动继电器便可覆盖移相变压器所有内部故障,相较于现有常规移相变压器保护方案,极大地减少了CT配置数量,并且可根据4个差动继电器的动作组态实现故障定位功能。最后,基于PSCAD/EMTDC仿真平台搭建了含有双心移相变压器的双端供电系统,并验证了本文所提方案的有效性。
按照本体结构,移相变压器可分为双心移相变压器与单心移相变压器;根据工作原理可分为对称型移相变压器与非对称型移相变压器[28]。本文以工程中常用的对称型双心移相变压器为例进行研究。
对称型双心移相变压器由串联变压器与励磁变压器两部分构成,拓扑结构如图1所示(图1中差动继电器的说明详见第2节)。串联变压器一次绕组串接在线路中,串联变压器二次绕组角形联结,同时每相串联变压器二次绕组首末端分别与其他两相励磁变压器二次绕组首端相连;从串联变压器一次绕组中点引出抽头与励磁变压器一次绕组相连,励磁变压器二次绕组星形联结。图1中,
、
分别为A相串联变压器一次侧左、右两部分的绕组电压;
、
、
分别为三相串联变压器二次绕组电压;
、
分别为A相励磁变压器一、二次绕组电压;
、
分别为B相励磁变压器一、二次绕组电压;
、
分别为C相励磁变压器一、二次绕组电压;
、
分别为串联变压器与励磁变压器电压比;
、
分别为移相变压器输入端与输出端电流;
、
分别为励磁变压器A相一、二次电流。
图1 移相变压器拓扑结构
Fig.1 Topology of the phase-shifting transformer
励磁变压器二次侧设置有载分接开关,基于此种连接方式,通过调节有载分接开关的挡位,改变励磁变压器电压比,从而在串联变压器二次侧产生固定相位的电压,该电压感应到串联变压器一次侧并叠加在输入电压上,可在不改变电压幅值的情况下,调节移相变压器两侧电压的相位。
移相变压器由串联变压器和励磁变压器两台变压器构成,相较于常规电力变压器,其本体结构及电磁耦合关系更为复杂。因此现有移相变压器本体差动保护方案中,通常需采用多套电平衡差动与磁平衡差动相配合,分别对串联变压器与励磁变压器进行保护。
文献[23]中提出的移相变压器本体保护配置,包含一套电平衡差动保护与两套磁平衡差动保护。以A相为例,现有常规移相变压器的本体保护配置如图1所示(以A相为例)。
图1中,KD1A为基于T接连线的电平衡差动保护,可反映串联变压器一次侧与励磁变压器一次侧绕组及引线的接地故障和相间故障;KDA2与常规电力变压器的磁平衡差动保护类似,通过实时获取励磁变压器电压比
,可反映励磁变压器一、二次绕组的匝间故障;KD3A与Y/D联结的电力变压器磁平衡差动保护类似,可反映串联变压器一、二次绕组的匝间故障,以及绕组和引线的接地与相间故障。相关的差动电流表达式见表1。
表1 相关差动电流表达式
Tab.1 The relevant differential current expression
差动保护类型差动电流公式 电平衡差动(KD1A) 励磁变压器磁平衡差动(KD2A) 串联变压器磁平衡差动(KD3A)
现有移相变压器本体保护方案能够覆盖移相变压器内部所有故障类型,但该方案三相共需12组电流互感器及9个差动继电器,配置接线繁杂,其中任一元件或接线出现问题,均可能导致本体保护误动或拒动。因此,亟须研究CT精简配置方案及新型移相变压器本体保护方案,以提高本体保护的可靠性。
为建立移相变压器新型本体保护,首先需对移相变压器内部的磁路耦合关系进行分析。移相变压器的电流关系如图2所示,图2中,
、
分别为移相变压器B、C相的输入端电流;
、
分别为移相变压器B、C相的输出端电流;
、
、
分别为三相的串联变压器二次电流;
、
与
、
分别为B、C相励磁变压器的一、二次电流。
图2 移相变压器电流关系
Fig.2 Current relationship diagram of phase shifting transformer
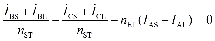
串联变压器二次侧与励磁变压器二次侧有直接的电路连接,由基尔霍夫电流定律可得
(1)
(2)
(3)
根据串联变压器一、二次绕组的安匝平衡,可得串联变压器一、二次电流关系为
(4)
(5)
(6)
根据励磁变压器一、二次绕组的安匝平衡,可得励磁变压器一、二次电流关系为
(7)
(8)
(9)
串联变压器一次侧与励磁变压器一次侧有直接的电路连接,即“T”接,可得串联变压器一次侧与励磁变压器一次侧电流关系为
(10)
(11)
(12)
如图2所示,串联变压器二次绕组采用三角形联结,若已知A相串联变压器二次绕组电流,则由式(1)~式(3)可得B、C相串联变压器二次绕组电流为
(13)
因此仅需在某一相(例如A相)串联变压器二次侧配置CT即可得到三相串联变压器二次绕组电流信息。
同时由式(7)~式(9)可知,励磁变压器二次电流可由励磁变压器一次电流表示。进一步,由式(10)~式(12)可知,励磁变压器一次电流又可由移相变压器输入端、输出端电流表示。故仅需在移相变压器三相的输入端及输出端配置CT,即可同时得到串联变压器一次电流及励磁变压器一、二次电流。
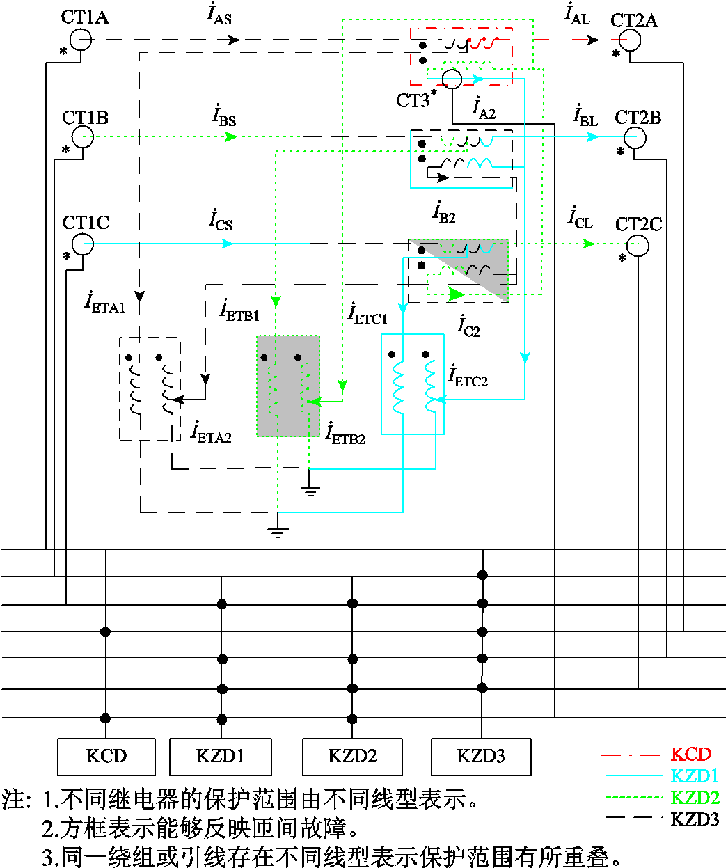
基于上述分析,本文在串联变压器二次侧A相配置CT,与A相串联变压器输入/输出端CT配合,构成A相串联变压器磁平衡差动继电器KCD,可反映A相串联变压器一、二次绕组的匝间及匝地故障。同时,利用移相变压器三相输入端/输出端的CT测量电流,并结合A相串联变压器二次侧CT测量电流,设计并提出了3个综合差动继电器(KZD1~KZD3),与A相磁平衡差动继电器KCD配合,构成了移相变压器新型本体保护方案,可覆盖移相变压器所有内部故障(详见3.3节)。
具体CT配置情况与保护方案构成如图3所示。在移相变压器三相输入端和输出端分别配置6组CT,A相串联变压器二次侧配置1组CT,4个差动继电器分别为1个磁平衡差动继电器KCD与3个综合差动继电器KZD1~KZD3。该方案与现有移相变压器本体保护相比,电流互感器数量从12组减少至7组;差动继电器数量从9个减少至4个,极大地简化了移相变压器的保护配置与接线,提高了保护的可靠性。
图3 CT配置及移相变压器本体保护方案构成
Fig.3 Composition of CT configuration and phase-shifting transformer body protection scheme
移相变压器新型本体保护方案由1个磁平衡差动继电器和3个综合差动继电器构成,各个差动继电器的工作原理和实现分述如下。
3.3.1 串联变压器磁平衡差动继电器(KCD)
根据图3,A相串联变压器的磁平衡差动继电器KCD通过电流互感器CT1A、CT2A与CT3分别采集电流
、
与
。正常运行时,串联变压器一、二次侧满足式(4)的安匝平衡,因此可得磁平衡差动电流为
(14)
当移相变压器正常工作及区外故障时,由式(4)可知差动电流
为零;当A相串联变压器内部故障,例如,一次或二次绕组发生匝间故障或匝地故障时,安匝平衡被破坏,差动电流
不为零,差动继电器KCD动作。
3.3.2 综合差动保护方案
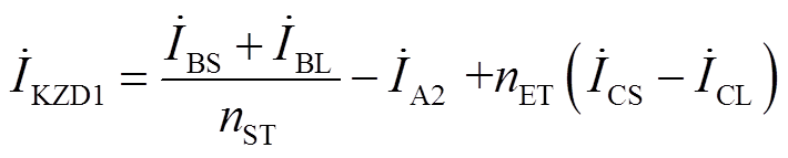
1)综合差动继电器1(KZD1)
根据图3,综合差动继电器KZD1通过电流互感器CT1B、CT1C、CT2B、CT2C与CT3分别采集电流
、
、
、
与
。综合差动继电器KZD1的差动电流推导过程如图4所示。
图4 综合差动继电器KZD1差动电流推导过程
Fig.4 Derivation of the differential current of the integrated differential relay KZD1
如图4所示,首先从C相励磁变压器一、二次绕组的安匝平衡关系式(9)入手,将其中的
用式(3)替换,整理得中间式(a),可反映A相与B相串联变压器二次侧引线故障以及C相励磁变压器内部故障及二次侧引线故障。
将中间式(a)中的
用式(5)替换,整理得中间式(b),可进一步反映B相串联变压器内部故障及一次侧引线故障。
将中间式(b)中的
用式(12)替换,整理得最终式(c),其在中间式(a)和(b)基础上,可进一步反映C相串联变压器与励磁变压器一次绕组或引线的接地或相间故障。
对最终式(c)整理可得综合差动继电器KZD1的差动电流为
(15)
当移相变压器正常工作或区外故障时,综合差动继电器KZD1的差动电流为零。当移相变压器内部发生故障(如图3实线部分所示),差动电流不为零,差动继电器KZD1动作。故KZD1可同时反映A相串联变压器二次侧引线故障、B相串联变压器内部故障、C相串联变压器一次绕组及引线的接地或相间故障、C相励磁变压器的内部故障。
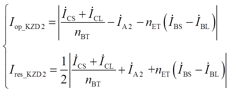
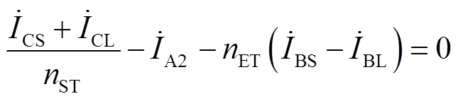
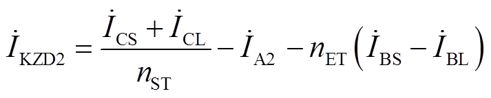
2)综合差动继电器2(KZD2)
根据图3 ,综合差动继电器KZD2通过CT1B、CT1C、CT2B、CT2C与CT3分别采集电流
、
、
、
与
。与KZD1的差动电流推导过程类似,从B相励磁变压器一、二次绕组的安匝平衡关系式(8)入手,分别将式(2)、式(6)与式(11)代入式(8),整理可得
(16)
可得综合差动继电器KZD2的差动电流为
(17)
综合差动保护KZD2保护范围如图3点虚线部分所示,可同时反映A相串联变压器二次绕组的接地或相间故障、B相串联变压器一次绕组及引线的接地或相间故障、B相励磁变压器内部故障、C相串联变压器绕组内部故障以及一、二次侧引线故障。
3)综合差动继电器3(KZD3)
根据图3 ,综合差动继电器KZD3通过电流互感器CT1A、CT2A、CT1B、CT2B、CT1C与CT2C,分别采集电流
、
、
、
、
与
。与KZD1的差动电流推导过程类似,从A相励磁变压器一、二次绕组的安匝平衡关系式(7)入手,分别将式(1)、式(5)、式(6)与式(10)代入式(7),整理可得
(18)
可得综合差动继电器KZD3的差动电流为
(19)
综合差动保护KZD3保护范围如图3短线虚线部分所示,可同时反映A相串联变压器一次绕组及引线的接地或相间故障、A相励磁变压器内部故障、B相串联变压器绕组内部故障及一、二次侧引线故障、C相串联变压器绕组内部故障及一次侧引线故障。
移相变压器通过调节励磁变压器二次侧有载分接开关调节移相角,使得不同挡位下励磁变压器的电压比
不同。故本文所提综合差动保护需实时获取移相变压器的挡位信息[20],以保证不同挡位下差动保护均能正确动作。同时考虑到实际工程中,移相变压器为机械调挡,挡位信息的获取可能存在滞后,故综合差动保护需在挡位调节过程中短时闭锁,以避免该过程中可能存在的差动保护误动的风险。
磁平衡差动继电器KCD及综合差动继电器KZD1~KZD3的保护范围见表2,可覆盖移相变压器三相的所有内部故障。限于篇幅,本文选取移相变压器部分典型故障位置进行仿真分析(即表2中k1~k5),详见本文第4节。
表2 各差动保护的保护范围
Tab.2 The protection range of each differential protection
故障位置相别KCDKZD1KZD2KZD3 区外故障(k1)A、B、C×××× 串联变压器一次或二次绕组匝间故障(k2)A√××× B×√×√ C××√√ 一次绕组接地故障A√××√ B×√√√ C×√√√ 二次绕组接地故障(k3)A√×√× B×√×√ C××√√ 一次侧引线接地故障A√××√ B×√√√ C×√√√ 二次侧引线接地故障A×√×× B×××√ C××√× 一次侧引线相间故障BC ×√√√ AC√√√√ AB√√√√ 二次侧引线相间故障BC ××√√ AC×√√× AB×√×√
(续)
故障位置相别KCDKZD1KZD2KZD3 励磁变压器一次或二次绕组匝间故障(k4)A×××√ B××√× C×√×× 一次侧绕组接地故障A×××√ B××√× C×√×× 二次侧绕组接地故障A×××√ B××√× C×√×× 一次侧引线接地故障(k5)A×××√ B××√× C×√×× 二次侧引线接地故障A×××√ B××√× C×√×× 一次侧引线相间故障BC ×√√× AC×√×√ AB××√√ 二次侧引线相间故障BC ×√√× AC×√×√ AB××√√
注:“√”表示可反映该故障类型,“×”表示不能反映该故障类型。
3.3.3 新型本体保护方案的故障定位
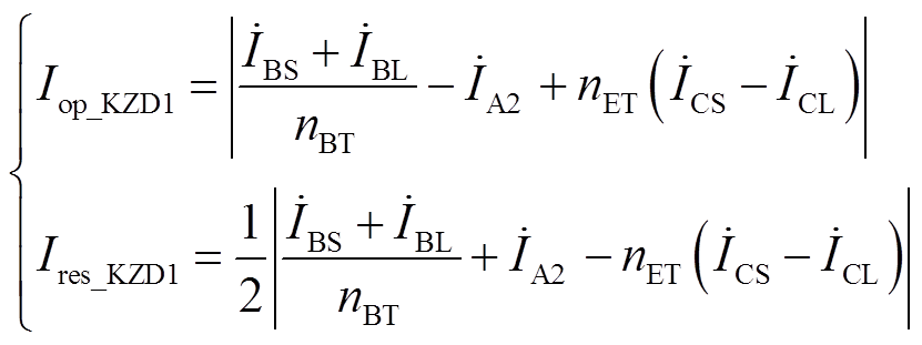
由上述分析可知,差动继电器KCD与KZD1~KZD3相配合,可覆盖移相变压器三相所有内部故障,同时串联变压器二次绕组存在保护范围重叠,因此本文通过四个差动继电器的动作组态来实现故障定位。不同内部故障位置下,差动继电器KCD与KZD1~KZD3的动作组态见附表1。
本文所提综合差动保护方案可采用比率制动的差动保护,通过大量仿真实验,选择外部故障时,将串联变压器的穿越电流作为制动电流。以综合差动继电器KZD1为例,动作电流
与制动电流
为
(20)
KZD2和KZD3动作电流与制动电流表达式见附录式(A1)、式(A2)。
动作特性方程为
(21)
式中,
为动作电流;
为动作门槛值;
为最小动作电流,一般取0.2~0.5
,
为移相变压器额定电流;
为制动特性斜率,实际工程中以运行经验确认,一般取0.4~1.0;
为制动电流;
为制动起始电流;
为起始制动电流,一般取0.6~1.1
。
磁平衡差动继电器KCD的整定可参考常规变压器磁平衡差动保护[28],动作电流与制动电流表达式见附录式(A3),本文不予赘述。
本文以某示范工程中的220 kV双心移相变压器为例,基于PSCAD/EMTDC仿真平台,搭建了含有双心移相变压器的双端供电系统。系统两端等效的电压源参数分别为220 kV∠0°与220 kV∠5°,移相变压器的具体参数见表3。
表3 移相变压器具体参数
Tab.3 Specific parameters of phase-shifting transformer
参数数值 额定电压/kV220 容量/(MV·A)160 串联变压器额定电压比/(kV/kV)48.599×2/314.15 励磁变压器额定电压比/(kV/kV)187.79/187.79 理想移相角/(°)-30~+30 等效阻抗/Ω4.43~10.15
以A相为例,移相变压器典型故障位置如图5所示(k1~ k5与表2对应),其中k1处发生区外故障;k2处发生串联变压器绕组匝间故障(本文以串联变压器一次绕组匝间故障为例);k3处发生串联变压器二次绕组接地故障;k4处发生励磁变压器绕组匝间故障(本文以励磁变压器二次绕组匝间故障为例);k5处发生励磁变压器一次侧引线接地故障。
图5 移相变压器典型故障位置
Fig.5 Typical fault locations of phase-shifting transformers
本文根据大量仿真实验,结合变压器的比率制动差动保护整定方式,选择串联变压器二次侧额定电流为基准电流(104 A),制动特性斜率
,最小动作电流
,起始制动电流
。
设置0.05 s时,k1处发生区外三相短路故障,如图6所示,四个差动继电器的差动电流均为0,保护可靠不动作。
图6 区外故障的差动电流波形(k1)
Fig.6 Differential current waveform of faults outside the area(k1)
4.2.1串联变压器一次绕组匝间故障(k2处)
设置0.05 s时,k2处发生A相串联变压器一次绕组5%匝间故障。四个差动继电器的差动电流如图7a所示,仅差动继电器KCD产生较大差动电流,与表3中理论分析结果一致。制动特性如图7b所示,继电器KCD的动作电流
大于对应的动作门槛
(在计算制动电流基础上根据式(21)得到
),落在比率制动特性的动作区内,保护正确动作。

图7 串联变压器一次绕组匝间故障的相关电流(k2)
Fig.7 Related currents of inter-turn fault in series transformer primary winding (k2)
4.2.2 串联变压器二次绕组接地故障(k3处)
设置0.05 s时,k3处发生A相串联变压器二次绕组的金属性接地故障。四个差动继电器的差动电流如图8a所示,差动继电器KCD与KZD2产生较大差动电流,与表3中理论分析结果一致。制动特性如图8b所示,继电器KCD与KZD2的动作电流大于对应的动作门槛
,落在比率制动特性的动作区内,保护正确动作。
图8 串联变压器二次绕组接地故障的相关电流(k3)
Fig.8 Related currents of winding-to-ground fault in series transformer secondary winding (k3)
4.2.3 励磁变压器二次绕组匝间故障(k4处)
设置0.05 s时,k4处发生A相励磁变压器二次绕组5%匝间故障。四个差动继电器的差动电流如图9a所示,仅差动继电器KZD3产生较大差动电流,与表3中理论分析结果一致。制动特性如图9b所示,继电器KZD3的动作电流
大于对应的动作门槛
,落在比率制动特性的动作区内,保护正确动作。
图9 励磁变压器二次绕组匝间故障的相关电流(k4)
Fig.9 Related currents of inter-turn fault in excitation transformer secondary winding (k4)
4.2.4 励磁变压器一次侧引线故障(k5处)
设置0.05 s时,k5处发生A相励磁变压器一次侧引线的金属性接地故障。四个差动继电器的差动电流如图10a所示,仅差动继电器KZD3产生较大差动电流,与表3中理论分析结果一致。制动特性如图10b所示继电器KZD3的动作电流
大于对应的动作门槛
,落在比率制动特性的动作区内,保护正确动作。
图10 励磁变压器一次侧引线接地故障的相关电流(k5)
Fig.10 Related currents of lead-to-grounding fault in the primary side of excitation transformer (k5)
在不同故障位置、故障相别及故障程度下,各差动继电器的动作电流、动作门槛以及动作情况详见附表2,与第3节理论分析一致, 差动继电器动作情况与表2吻合,验证了本文所提的差动保护方案的正确性。
与常规电力变压器类似,当移相变压器空载合闸时,可能由于铁心饱和而产生励磁涌流,易引起差动保护误动。
移相变压器空载合闸如图11所示。图11中
、
为串联变压器的励磁阻抗;
为励磁变压器的励磁阻抗;
、
分别为A相串联变压器一次侧左、右两部分的绕组漏抗;
、
分别为A相励磁变压器一、二次绕组漏抗;
、
、
分别为三相串联变压器二次绕组漏抗。由于串联变压器二次绕组采用角形接线方式,串联变压器二次侧与励磁变压器二次侧存在电流流通回路,仅串联变压器一次侧右半部分绕组空载。设置0.05 s时刻空载合闸,此时四个差动继电器的差动电流波形如图12所示。磁平衡差动继电器KCD与综合差动继电器KZD1~KZD3产生不同程度的差动电流,可能导致差动保护误动。
图11 移相变压器空载合闸示意图
Fig.11 Schematic diagram of no-load closing of phase-shifting transformer
工程中通常采用二次谐波闭锁方案来避免励磁涌流对差动保护的影响。对于磁平衡差动继电器以及3个综合差动继电器而言,差动电流中的各次谐波含量见表4。其中,二次谐波含量较高,因此同样可采用二次谐波闭锁方案以防止综合差动保护在移相变压器空载合闸下发生误动[29]。
图12 励磁涌流对差动电流的影响
Fig.12 The influence of excitation inrush current on differential current
表4 励磁涌流谐波含量
Tab.4 Harmonic content of excitation inrush current
继电器基波二次谐波三次谐波五次谐波 KCD10077.154.414.2 KZD1KZD210010041.581.331.963.319.427.0 KZD310034.722.712.3
本文基于对称型双心移相变压器的拓扑结构,在分析其磁路耦合关系的基础上,提出了一种基于电流互感器精简配置的移相变压器新型本体保护方案,所得结论如下:
1)本文在分析串联变压器与励磁变压器之间磁路耦合关系的基础上,通过在移相变压器三相的输入、输出端以及A相串联变压器二次侧配置电流互感器,构造了移相变压器新型本体保护方案,该方案将电平衡差动保护与磁平衡差动保护相结合,可覆盖移相变压器所有内部故障。
2)相较于现有保护方案,本文提出的新型本体保护方案使用的电流互感器数量由12组减少至7组,差动继电器数量从9个减少至4个,精简了CT和保护配置并简化了保护接线,从而提高了保护的可靠性。
3)本文提出的新型本体保护方案中,4个差动继电器保护范围不同且有所重叠。通过各差动继电器的动作组态,可缩小故障判别范围。同时对于移相变压器空载合闸的工况,可以采用二次谐波闭锁方案以防止综合差动保护误动。
附 录
附表1 差动继电器的动作组态与故障定位
App.Tab.1 The operation and fault types of differential relays
KCDKZD1KZD2KZD3故障位置 √×××串联变压器一、二次绕组A相匝间故障 ×√××励磁变压器一、二次绕组C相匝间或接地故障、励磁变压器一、二次侧引线C相接地故障、串联变压器一次侧引线C相接地故障、串联变压器二次侧A相引线接地故障 ××√×励磁变压器一、二次绕组B相匝间或接地故障、励磁变压器一、二次侧引线B相接地故障、串联变压器一次侧引线B相接地故障、串联变压器二次侧C相引线接地故障 ×××√励磁变压器一、二次绕组A相匝间或接地故障、串联变压器一次侧引线A相接地故障、串联变压器二次侧B或C相引线接地故障 √×√×A相串联变压器二次绕组接地故障 ×√×√串联变压器一、二次绕组B相匝间故障、串联变压器二次绕组B相接地故障、串联变压器二次侧引线AB相间故障、励磁变压器一、二次侧引线AC相间故障 ××√√串联变压器一、二次绕组C相匝间故障、串联变压器二次绕组C相接地故障、串联变压器二次侧引线BC相间故障、励磁变压器一、二次侧引线AB相间故障 √××√串联变压器一次绕组或引线的A相接地故障 ×√√×串联变压器二次侧引线AC相间故障、励磁变压器一、二次侧引线BC相间故障 ×√√√串联变压器一次绕组或引线的B或C相接地故障、串联变压器一次侧引线BC相间故障 √√√√串联变压器一次侧引线AB或AC相间故障
附表2 不同故障类型下差动电流以及差动继电器的动作情况
App.Tab.2 Differential current and differential relay operation under different fault types
故障位置相别KCDKZD1KZD2KZD3 Iop(pu)Iset(pu)动作情况Iop(pu)Iset(pu)动作情况Iop(pu)Iset(pu)动作情况Iop(pu)Iset(pu)动作情况 区外故障(k1)A、B、C02.51×00.47×00.32×00.32× 串联变压器绕组匝间50% (k2)A11.243.87√00.58×00.55×00.55× B00.56×11.554.01√00.49×11.534.66√ C00.48×00.55×11.534.02√11.554.03√ 绕组匝间10% (k2)A4.931.86√00.4100.72×00.72× B00.70×5.041.88√00.47×5.062.48√ C00.44×00.70×5.061.88√5.061.89√ 绕组匝间5% (k2)A1.390.81√00.55×00.65×00.65× B00.62×1.400.79√00.56×1.431.11√ C00.54×00.63×1.420.79√1.420.80√ 二次绕组匝地(k3)A8.243.51√00.41×16.826.89√00.61× B00.40×8.213.33√00.66×8.373.64√ C00.41×00.40×8.243.40√8.253.31√ 励磁变压器二次绕组匝间50%(k4)A00.30×00.60×00.61×19.627.91√ B00.30×00.59×19.367.66√00.30× C00.30×19.087.69√00.59×00.60× 二次绕组匝间10%(k4)A00.62×00.61×00.60×7.703.29√ B00.42×00.63×7.722.96√00.63× C00.61×7.713.39√00.63×00.64× 二次绕组匝间5%(k4)A00.61×00.59×00.61×2.141.20√ B00.54×00.60×2.150.85√00.61× C00.60×2.151.27√00.60×00.61× 一次侧引线接地(k5)A00.30×00.62×00.59×36.2514.59√ B00.32×00.64×36.1514.34√00.30× C00.30×36.0514.35√00.64×00.64×
注:“√”表示保护动作,“×”表示保护不动作。
(A1)
(A2)
(A3)
参考文献
[1] 国家能源局. 我国风电光伏发电装机规模超过煤电[EB/OL]. (2024-08-02). https://www.nea.gov.cn/2024-08/02/c_1310783697.htm.
[2] 王增平, 林一峰, 王彤, 等. 电力系统继电保护与安全控制面临的挑战与应对措施[J]. 电力系统保护与控制, 2023, 51(6): 10-20. Wang Zengping, Lin Yifeng, Wang Tong, et al. Challenges and countermeasures to power system relay protection and safety control[J]. Power System Protection and Control, 2023, 51(6): 10-20.
[3] 武平, 郭巍, 晋春杰, 等. 浅谈我国电力与能源现状及解决途径[J]. 电气技术, 2018, 19(5): 1-4, 14. Wu Ping, Guo Wei, Jin Chunjie, et al. Analysis on the current situation of electricity and energy in China and its solution[J]. Electrical Engineering, 2018, 19(5): 1-4, 14.
[4] 陈国平, 董昱, 梁志峰. 能源转型中的中国特色新能源高质量发展分析与思考[J]. 中国电机工程学报, 2020, 40(17): 5493-5506. Chen Guoping, Dong Yu, Liang Zhifeng. Analysis and reflection on high-quality development of new energy with Chinese characteristics in energy transition[J]. Proceedings of the CSEE, 2020, 40(17): 5493-5506.
[5] 林超凡, 别朝红. 新型电力系统不确定性静态建模及量化分析方法评述[J]. 电力系统自动化, 2024, 48(19): 14-27. Lin Chaofan, Bie Zhaohong. Review of static modeling and quantitative analysis methods for uncertainties of new power systems[J]. Automation of Electric Power Systems, 2024, 48(19): 14-27.
[6] Wu Xi, Wang Rui, Wang Yifei, et al. A novel UPFC model and its convexification for security-constrained economic dispatch[J]. IEEE Transactions on Power Systems, 2022, 37(6): 4202-4213.
[7] 杨用春, 杜翔宇, 杨鹏, 等. 混合潮流控制器阻抗特性分析及控制策略研究[J]. 电工技术学报, 2024, 39(21): 6720-6733. Yang Yongchun, Du Xiangyu, Yang Peng, et al. Analysis of impedance characteristics and control strategy of hybrid power flow controller[J]. Transactions of China Electrotechnical Society, 2024, 39(21): 6720-6733.
[8] 于继来, 柳焯. 基于移相器统一特性的潮流控制[J]. 中国电机工程学报, 1994, 14(6): 1-5, 10. Yu Jilai, Liu Zhuo. The common character of phase shifter based power flow control[J]. Proceedings of the CSEE, 1994, 14(6): 1-5, 10.
[9] 李东, 丁剑, 王正风, 等. 移相变压器的研究现状及工程应用[J]. 智能电网, 2015, 3(7): 608-616. Li Dong, Ding Jian, Wang Zhengfeng, et al. Research status and engineering application of phase shifting transformer[J]. Smart Grid, 2015, 3(7): 608-616.
[10] Patel B K, Smith H S, Hewes T S, et al. Application of phase shifting transformers for Daniel-McKnight 500 kV interconnection[J]. IEEE Power Engineering Review, 1986, PER-6(7): 49-50.
[11] Thallam R S, Lundquist T G, Gerlach T W, et al. Design studies for the Mead-Phoenix 500 kV AC transmission project[J]. IEEE Transactions on Power Delivery, 1995, 10(4): 1862-1874.
[12] 国网江苏省电力有限公司. 我国首个输电移相器示范工程在扬州投运[EB/OL]. (2023-07-28). http:// www.js.sgcc.cn/html/main/col8/2023-08/03/2023080 3090654619606074_1.html.
[13] 李晓华, 陈镇生, 罗一杰, 等. 基于全绕组拓扑结构的移相变压器建模及应用[J]. 电力自动化设备, 2022, 42(12): 101-106. Li Xiaohua, Chen Zhensheng, Luo Yijie, et al. Modeling and application of phase-shifting transformer based on full winding topology structure[J]. Electric Power Automation Equipment, 2022, 42(12): 101-106.
[14] 陈柏超, 曾永胜, 刘俊博, 等. 基于Sen Transformer的新型统一潮流控制器的仿真与实验[J]. 电工技术学报, 2012, 27(3): 233-238. Chen Baichao, Zeng Yongsheng, Liu Junbo, et al. Simulation and experimental research of a novel unified power flow controller based on Sen transformer[J]. Transactions of China Electrotechnical Society, 2012, 27(3): 233-238.
[15] 贾焦心, 李豪迈, 邵晨, 等. 新型电磁式混合潮流控制器拓扑及控制策略[J]. 电工技术学报, 2025, 40(19): 6085-6100. Jia Jiaoxin, Li Haomai, Shao Chen, et al. Topology and control strategy of new electromagnetic hybrid power flow controller[J]. Transactions of China Electrotechnical Society, 2025, 40(19): 6085-6100.
[16] 杨用春, 杜翔宇, 唐健雄, 等. 基于改进移相变压器的综合调压合环装置及调控策略[J]. 电工技术学报, 2025, 40(8): 2532-2546. Yang Yongchun, Du Xiangyu, Tang Jianxiong, et al. Research on comprehensive voltage regulating and closing ring device and regulation strategy based on improved PST[J]. Transactions of China Electro-technical Society, 2025, 40(8): 2532-2546.
[17] 余梦泽, 李俭, 刘雷, 等. 电磁混合式统一潮流控制器的拓扑结构与控制策略优化[J]. 电工技术学报, 2015, 30(增刊2): 169-175. Yu Mengze, Li Jian, Liu Lei, et al. Topology structure and control strategy optimization of electromagnetic hybrid unified power flow controller[J]. Transactions of China Electrotechnical Society, 2015, 30(S2): 169-175.
[18] 颜湘武, 郭燕, 彭维锋, 等. 基于旋转移相变压器的电压源型无功补偿器及其控制策略[J]. 电工技术学报, 2023, 38(16): 4448-4464. Yan Xiangwu, Guo Yan, Peng Weifeng, et al. Voltage source var compensator based on rotary phase shifting transformer and its control strategy[J]. Transactions of China Electrotechnical Society, 2023, 38(16): 4448-4464.
[19] 邵晨, 颜湘武, 贾焦心, 等. 面向“花瓣型”配电网的旋转潮流控制器两阶段转速功率控制策略[J]. 电工技术学报, 2025, 40(1): 52-63. Shao Chen, Yan Xiangwu, Jia Jiaoxin, et al. Two-stage speed-power control strategy for rotating power flow controller in “petal-shaped” distribution networks [J]. Transactions of China Electrotechnical Society, 2025, 40(1): 52-63.
[20] 陈镇生, 李晓华, 罗一杰, 等. 针对含有移相变压器线路的距离保护策略[J]. 电网技术, 2022, 46(12): 4591-4599. Chen Zhensheng, Li Xiaohua, Luo Yijie, et al. Distance protection strategies for lines containing phase shifting transformers[J]. Power System Technology, 2022, 46(12): 4591-4599.
[21] 冯喜春, 张骥, 于佳旭, 等. 移相变压器接入对距离保护影响及其抑制方案研究[J]. 电网技术, 2025, 49(5): 2167-2175. Feng Xichun, Zhang Ji, Yu Jiaxu, et al. Research on the impact and suppression scheme of distance protection after phase shifting transformer connected [J]. Power System Technology, 2025, 49(5): 2167-2175.
[22] Tziouvaras D A. 138 kV phase shifting transformer protection: EMTP modeling and model power system testing[C]//Eighth IEE International Conference on Developments in Power System Protection, Amsterdam, Netherlands, 2004: 343-347.
[23] 张晓宇, 顾乔根, 文继锋, 等. 典型移相变压器差动保护配置对比分析[J]. 江苏电机工程, 2015, 34(1): 36-39. Zhang Xiaoyu, Gu Qiaogen, Wen Jifeng, et al. Comparative analysis of the differential protection between typical phase shifting transformers[J]. Jiangsu Electrical Engineering, 2015, 34(1): 36-39.
[24] Khan U N, Sidhu T S. A phase-shifting transformer protection technique based on directional comparison approach[J]. IEEE Transactions on Power Delivery, 2014, 29(5): 2315-2323.
[25] 郑涛, 申由, 于佳旭, 等. 基于单芯移相变压器的差动保护配置研究[J]. 电力系统保护与控制, 2024, 52(14): 59-70. Zheng Tao, Shen You, Yu Jiaxu, et al. Differential protection configuration based on a single core phase shifting transformer[J]. Power System Protection and Control, 2024, 52(14): 59-70.
[26] 谢舒帆, 荣娜, 郭西. 基于序故障分量的Sen变压器纵联保护研究[J]. 电网与清洁能源, 2023, 39(5): 56-65. Xie Shufan, Rong Na, Guo Xi. Pilot protection for Sen transformer based on sequence fault components[J]. Power System and Clean Energy, 2023, 39(5): 56-65.
[27] 郑涛, 于佳旭, 眭程曦, 等. 基于磁路耦合的Sen变压器差动保护方案[J]. 中国电力, 2025, 58(3): 108-118. Zheng Tao, Yu Jiaxu, Sui Chengxi, et al. Sen transformer differential protection scheme based on magnetic circuit coupling[J]. Electric Power, 2025, 58(3): 108-118.
[28] 余梦泽, 李峰, 李作红, 等. 移相变压器原理、拓扑、应用及发展[J]. 武汉大学学报(工学版), 2023, 56(10): 1224-1237. Yu Mengze, Li Feng, Li Zuohong, et al. Principle, topology, application and development of phase-shifting transformer[J]. Engineering Journal of Wuhan University, 2023, 56(10): 1224-1237.
[29] 郑涛, 王增平, 翁汉琍, 等. 超/特高压变压器差动保护关键技术与新原理[M]. 北京: 科学出版社 2017.
Abstract Phase shifting transformers are power flow control devices that regulate power flow distribution by adjusting the phase angle between voltage and current on either side of their insertion point in a line. Phase shifting transformers can be classified as either two core or single core based on the number of cores, and as symmetrical or asymmetrical based on their operating principle. This paper focuses on the commonly used symmetrical two core Phase shifting transformer as a case study.
The symmetrical two core Phase shifting transformer (referred to as “phase shifting transformer”) consists of a series transformer and an excitation transformer. Conventional main protection schemes for these transformers employ multiple differential relays, requiring numerous current transformers (CTs) and complex interconnections. To address this challenge, this paper proposes a novel Phase shifting transformer main protection scheme based on a streamlined CT configuration, building upon an analysis of the electromagnetic coupling within the Phase shifting transformer’s various components.
The proposed scheme involves placing CTs at the three-phase input and output terminals of the Phase shifting transformer to obtain the necessary current information. A CT is also placed on the secondary side of one phase of the series transformer to obtain its secondary current. Furthermore, the secondary currents of the other two phases of the series transformer can be calculated based on the delta connection of its secondary windings. Using these measured and calculated currents, the proposed streamlined protection scheme is formed, consisting of one magnetic balance differential protection element (KCD) and three comprehensive differential protection elements (KZD1~KZD3). The magnetic balance differential protection (KCD) utilizes the CT on the secondary side of one series transformer phase, along with the corresponding phase’s input and output CTs. This protection element, based on the ampere-turn balance principle between the transformer’s primary and secondary windings, detects internal faults within that series transformer; KZD1 and KZD2 use the series transformer secondary CT along with the input and output CTs of the other two phases, while KZD3 uses the input and output CTs of all three phases. The underlying principle of the comprehensive differential protections (KZD1~KZD3) is the integration of electrical balance differential protection and magnetic balance differential protection. This is achieved by combining the ampere-turn balance equations for the transformer windings with the Kirchhoff’s current law (KCL) equations for the “T” connection. This allows a single differential relay to detect multiple fault types.
Furthermore, In the proposed novel main protection scheme, the four differential relays have different and overlapping protection zones. By analyzing the operational combinations of these relays, the fault discrimination range can be narrowed. Moreover, the mal operation of the comprehensive differential protection during the no-load switching-in of the Phase shifting transformer can be prevented by second harmonic block of magnetizing inrush current. Finally, a simulation model was developed on the PSCAD/EMTDC platform, and the operation of each differential relay was simulated and analyzed under various fault locations, fault phases, and fault severities. The feasibility and effectiveness of the proposed scheme are verified through extensive simulation experiments.
keywords:Phase-shifting transformers, protection of phase-shifting transformer, integrated differential protection, simplified CT configuration
DOI: 10.19595/j.cnki.1000-6753.tces.250313
中图分类号:TM774
国家自然科学基金联合基金资助项目(U2166205)。
收稿日期 2025-02-27
改稿日期 2025-04-23
郑 涛 男,1975年生,教授,博士生导师,研究方向为电力系统继电保护及其自动化等。E-mail:zhengtao_sf@126.com
于佳旭 男,2001年生,硕士研究生,研究方向为电力系统继电保护。E-mail:yujiaxu000@163.com(通信作者)
(编辑 赫 蕾)