摘要 海上风电低频外送系统是中远海风电送出场景下具有潜力的方案。但是我国仅有一处海上风电低频送出工程,缺乏实际运行经验,研究成果也较少,尚未能系统性地识别其故障穿越所面临的问题。该文对工频/低频侧对称与不对称故障特性进行分析,揭示了低频输电系统故障穿越需要解决的问题,为后续保护与控制策略设计提供参考。除已发现的工频侧对称故障下功率冗余引发桥臂过电压、工频侧在不对称故障下存在功率冗余、桥臂电容电压不均衡且负序分量影响控制性能等问题外,该文还研究了故障穿越所面临的新问题:换流器阀侧在不对称故障下,零序电压会泄漏到对侧;低频侧对称故障下,故障穿越期间模块化多电平矩阵变换器(M3C)存在功率反转、恢复期间低频系统存在过电压问题,但穿越期间M3C电容不存在过电压问题;低频故障期间电压-频率控制切换为矢量控制,低频有功功率与无功功率存在耦合问题;低频侧不对称故障下,故障期间存在桥臂电容电压不均衡、非故障相过电压问题,以及低频侧与风电场网侧同时采取负序抑制为零的策略可能导致的过电压问题。上述这些新问题在以往柔性低频输电故障穿越研究中尚未涉及,是M3C实际运行和未来理论研究亟须解决的问题。
关键词:模块化多电平矩阵变换器 海上风电低频输电系统 故障分析 海上风电
中远海风电资源丰富,已成为海上风电发展的重要趋势[1-2]。但中远海风电并网面临输电距离远(70~200 km)、成本高等挑战。当前研究认为,柔性低频输电方案是中远海风电外送场景的经济方案[3-4]。柔性低频输电方案通过降低海上交流输电系统频率来减小海缆电容效应,提高输电距离,而且交流断路器技术成熟,断路器切断低频交流系统故障比切断直流系统故障电流容易[5-7],同时无需建设海上换流站,降低了建设与运维成本。
柔性低频输电故障穿越(Fault Ride Through, FRT)是未来工程应用需要面临的重要问题。故障过程中需要确保模块化多电平矩阵变换器(Modular Multilevel Matrix Converter, M3C)运行安全,防止M3C过电流、过电压及过容量触发保护动作切除M3C而无法穿越故障。但我国海上风电低频送出系统只有一个近期示范工程,缺少柔性低频输电故障穿越的运行经验[8]。现有文献研究参考柔直输电故障穿越问题[9-15],主要集中于研究柔性低频输电系统故障期间的功率冗余及桥臂电容电压不均衡问题。
对于M3C换流器工频侧故障,文献[10]针对网侧三相对称故障工况下风电场未感知到故障而引起的M3C功率冗余及桥臂电容电压过限问题,提出根据系统有功功率和无功功率需求调整低频侧电压跌落幅度的故障穿越控制策略。文献[11]针对工频侧不对称故障引起的功率冗余以及桥臂电压不均衡问题,改进桥臂间均压控制,引入低频侧与风电场联合电压-频率-功率下垂控制进行风场减载,实现故障穿越,但其并未对故障期间的桥臂电压进行具体解析。文献[12]针对不对称故障下负序电压和负序电流引起桥臂功率不平衡,改进M3C电流控制结构,提出一种基于环流的前馈补偿策略以应对电网不平衡工况。另一方面,对于低频侧故障,文献[13]针对低频线路不对称故障工况,系统存在故障负序电流引发的过电流问题,通过低频动态降压和负序电流抑制避免M3C过电流和过电压。文献[14]针对不对称故障期间子换流器间电容电压不均衡问题,提出一种负序电流给定方法实现故障侧三相子换流器间有功功率均衡。文献[15]针对不对称故障期间M3C电容电压均衡问题,通过引入电流补偿分量,消除不对称故障情况下桥臂功率的不均衡,提出一种通过环流控制实现M3C电容电压均衡的方法。
综上所述,现有研究焦点过度集中于功率冗余及桥臂电容电压不均衡问题,对故障期间系统可能出现的功率反转、功率耦合、频率泄漏等现象缺乏系统性分析。因此,系统性分析柔性低频输电故障穿越中可能面临的问题是后续柔性低频输电应用的关键问题。
本文深入研究了海上风电低频外送系统的故障穿越特性,揭示了M3C实现故障穿越可能面临的新问题。具体如下:
1)换流器阀侧不对称故障下,对侧电压会出现频率泄漏现象,并揭示该现象产生的原因。
2)低频侧对称故障下,故障穿越期间M3C存在功率反转,恢复期间低频系统存在过电压问题,但穿越期间M3C电容不存在过电压问题;低频故障期间电压-频率控制切换为矢量电流控制,低频有功功率与无功功率存在耦合问题。
3)低频侧不对称故障下,故障期间存在非故障相过电压问题,低频侧与风电场网侧同时采取负序抑制为零的策略可能导致过电压问题。
上述这些新问题在以往M3C故障穿越研究中并未涉及,是未来M3C实际运行和故障穿越理论研究迫切需要解决的问题。
海上风电低频外送系统结构如图1所示,主要包括永磁直驱风电场、低频海底电缆、M3C换流站。永磁同步发电机通过全功率背靠背换流器将风能转换为50/3 Hz的交流电,汇集升压后通过海底电缆将电能送入陆上M3C换流站,M3C将低频电能转换为工频电接入陆上电网中。
图1 海上风电低频输电系统结构
Fig.1 Structural diagram of offshore wind power low-frequency transmission system
M3C用来连接两个频率不同的交流系统,即工频(输出侧)和低频(输入侧),基本拓扑结构如图2所示。M3C包含九个桥臂,每个桥臂由桥臂电感L及N个全桥子模块级联。根据桥臂与工/低频侧电源的关系,从工频侧可以将M3C分为子换流器u、v、w,每个子换流器由三个桥臂组成,例如子换流器u由ua、ub、uc桥臂组成。同理,也可从低频侧将M3C分为子换流器a、b、c。
图2 M3C拓扑结构
Fig.2 Topology of the M3C
图2中,Vgx、ix(x=u,v,w)分别为工频侧相电压和相电流,Vly、iy(y=a,b,c)分别为低频侧相电压和相电流,Vyx、iyx分别为桥臂yx的电压和电流。
本文采用双dq坐标系下的数学模型[16],即
(1)
式中,ωg为工频侧电网角频率;idx、iqx分别为各子换流器的dq轴电流分量;udx、uqx分别为各子换流器的dq轴电压分量;ugd、ugq分别为工频侧电压的dq轴分量;uld、ulq分别为低频侧电压的dq轴分量;ud0、uq0、id0、iq0分别为与低频侧系统同频的桥臂电压、电流的零分量。低频侧采用外环电压频率(VF)控制,工频侧采用外环定电容电压和定无功功率控制,控制框图如图3所示。
桥臂电容是M3C的关键储能元件,负责有功功率传输。为确保M3C稳定运行,需保持子模块电容电压稳定于额定值,因此在正常运行控制中还应加入电容电压均衡控制[17]。
对于M3C换流器,当工频侧发生故障导致输出有功功率受阻时,由于M3C控制器实现了工频侧与低频侧的解耦控制,低频侧在故障期间仍能维持稳定的电压频率输出,为风电场提供了可靠的并网支撑。然而,这种解耦控制机制导致风电场无法及时感知工频侧故障,继续保持原有的有功功率输出,致使M3C系统出现功率冗余现象。这种功率冗余会直接导致子模块电容电压的快速上升。由于电容储存的能量正比于其电容值,电容值的大小会直接影响故障后电容电压的变化情况,因此电容值应该合理选取。
图3 M3C控制结构
Fig.3 Control strategy for M3C
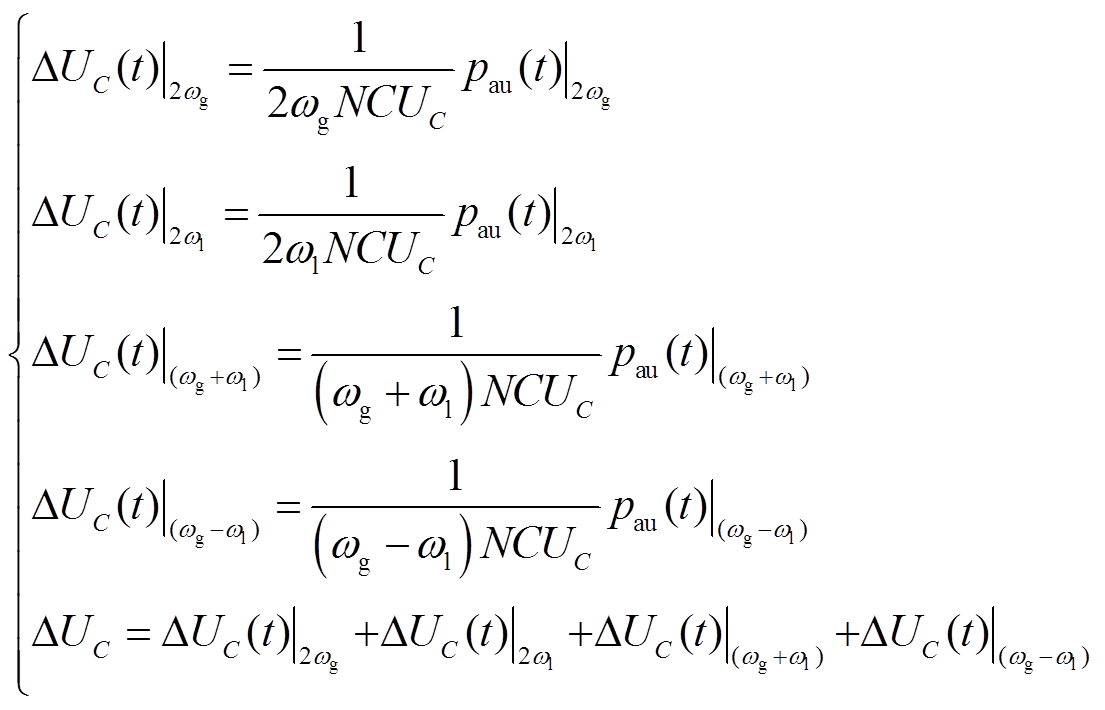
根据文献[18],桥臂的实时功率中含有四个频率的分量,分别为
、
、
、
,其中
为低频侧电网角频率,这些分量大小为
(2)
式中,
;
;
,
为工频侧调制波相位偏移量;

,
为低频侧调制波相位偏移量;
;V1m、I1m分别为工频侧相电压幅值与线电流幅值;φ1、φ2分别为工频侧与低频侧功率因数角;m1、m2分别为工频侧与低频侧电压调制比。
因此,4个频率分量及总的电压纹波幅值为
(3)
式中,
为t时刻子模块电容电压额定值;C为子模块电容值。
根据目前模块化多电平换流器设计要求,一般将纹波幅值限制在5%或10%。根据纹波电压要求,本文中按照纹波电压幅值限制在10%设计子模块电容值为3.7 mF。
本文以永磁直驱风电机组构成的风电场为研究对象。永磁直驱风电机组主要包括风力机、永磁同步发电机、全功率换流器及控制系统。鉴于对每台风电机组单独建模的计算复杂性,本文采用等值聚合方法,使用单台等值风电机组表征整个风电场的动态特性。
本文采用含风速的直驱风机模型,风机拓扑及其控制策略如图4所示。控制策略为:稳态运行时,机侧换流器采用零d轴电流控制及最大功率点跟踪控制,网侧换流器采用定直流电压控制及无功功率控制;低频侧故障时,切换至故障穿越模式,网侧换流器转为矢量电流控制,优先无功电流输出。
图4 风机拓扑及其控制策略
Fig.4 Topology and control strategy of WT
根据GB/T 19963.2—2024[19],当风电场汇集点电压低于标称电压90%时,风电场应能向海上交流系统注入动态无功电流支撑电压恢复。无功电流增量响应风电场汇集点电压变化,并应满足
(4)
式中,Ug1为风电场汇集点电压标幺值;IN为风电场额定电流;k1为风电场动态无功电流比例系数。
在无功电流优先的前提下,受限于换流器最大允许电流Imax,有功电流igd_ref为
(5)
根据1.1节~1.3节所述双dq变换下M3C的数学模型及其控制策略,利用PSCAD/EMTDC搭建仿真模型,对海上风电低频输电系统模型进行验证。
风电场额定容量为800 MW,由两个独立的400 MW永磁直驱风机聚合系统组成。每个系统包含80 台5 MW的永磁直驱风机,其额定风速设定为11.2 m/s。海上风电低频输电系统主电路参数见表1。
表1 海上风电低频输电系统参数
Tab.1 Parameters of low-frequency transmission system for offshore wind power
设备参数数值 M3C换流器额定容量/MW800 子模块电容电压/kV5.45 子模块电容值/mF3.7 桥臂子模块数量/个110 桥臂电感/H0.11 最大允许电流(pu)1.2 工频换流变压器容量/(MV·A)960 电压比/(kV/kV)525 /333 联结组标号YNd 短路阻抗(%)15 低频换流变压器容量/(MV·A)960 电压比/(kV/kV)333 /345 联结组标号YNd 短路阻抗(%)15
(续)
设备参数数值 工频系统额定频率/Hz50 额定电压/kV525 低频系统额定频率/Hz50/3 额定电压/kV345 低频海缆长度/km200 导电层电阻率/(Ω·m)1.68×108 导电层相对磁导率1.0 绝缘层相对介电常数4.1 绝缘层相对磁导率1.0
首先验证1.1节~1.3节建模及控制器设计的正确性。图5为系统稳态运行时的波形。由图5可见,M3C构建的低频电压稳定,工频侧电压电流、低频侧电压电流均为良好的正弦波形,子模块平均电容电压维持在额定值,M3C输入输出有功功率基本相等,稳定在750 MW,M3C工频侧无功功率控制有效,输出无功功率稳定在0 Mvar。综合图5,采用上述控制,M3C可以实现有效的工频、低频侧解耦。
图5 系统稳态运行仿真结果
Fig.5 Simulation results of steady state operation of the system
首先分析海上风电低频外送系统工频故障时存在的功率盈余现象。系统低频侧交流电压由M3C维持稳定,输入M3C的有功功率Pin由风电场输出,M3C无法直接控制;而工频侧交流电压由电网决定,M3C通过调节输出电流控制送出功率Pout的大小。在工频侧发生对称故障时,M3C输出电流I1满足
(6)
式中,U1为工频侧电压;I1max为输出侧电流环限幅值。
式(6)表明,当电压跌落深度浅时,M3C输出侧等效为压控电流源;电压跌落程度深时,M3C输出侧等效为恒流源。
当电压跌落较浅时,M3C可通过增大工频侧电流弥补功率损失,维持Pin=Pout,系统无冗余功率,子模块平均电容电压保持在额定值;当电压跌落较深时,受电流限幅环节的限制,换流站不能无限制地增加输出电流以实现功率平衡,M3C难以完全补偿功率不平衡,导致故障期间盈余功率持续存在,电容电压持续上升。一旦电容电压超过保护设定值,整个系统将停止运行,导致功率传输中断和风电场脱网,需要较长时间才能恢复系统正常运行。
当工频侧发生对称故障时,系统仍能维持工频侧和低频侧的电压、电流三相对称性,且无负序或零序分量产生。工频侧三相功率分布均匀,各相功率保持平衡,Puout=Pvout=Pwout。由于低频侧与工频侧控制相互解耦,工频侧发生故障不会干扰低频侧控制的正常运行。低频侧向各子换流器(a、b、c)注入的有功功率被均匀地分配至u、v、w桥臂,从而保证了低频侧三相有功功率的对称分布,Pain= Pbin=Pcin。在此状态下,各桥臂电容电压保持均衡。
对于上文所述电容电压响应的具体特性,分析如下。
故障前,电容电压储能为
(7)
式中,UCN为故障前子模块电容电压。
故障期间,冗余功率所产生的能量全部由子模块电容储存,电容能量为
(8)
深度跌落下电容电压的响应特性为
(9)
为验证上述分析的正确性,进行算例分析。当t=4.0 s时,在工频网侧分别设置电压跌落至85%与20%的三相接地短路故障,得到的仿真结果如图6、图7所示。
图6 工频网侧85%故障工况下仿真结果
Fig.6 Simulation waveforms of 85% fault condition on fundamental frequency side

图7 工频网侧20%故障工况下仿真结果
Fig.7 Simulation waveforms of 20% fault condition on fundamental frequency side
由图6可见,当工频网侧发生轻度电压跌落时(电压跌落至85%),工频侧电流增加至1.17(pu),使得M3C工频侧输出的有功功率仍然可以维持在正常运行时的大小,M3C低频侧输入的有功功率与工频侧输出的有功功率相等,系统不存在盈余功率。如图6e所示,子换流器(a、b、c)子模块电容电压维持在额定值附近。图6c、图6d分别为M3C低频侧电压电流波形,4 s工频侧发生三相接地故障后,M3C低频侧电压控制稳定,说明工频低频解耦良好,工频侧发生三相接地故障并不会影响低频侧的控制。图6g为子换流器a三相桥臂电流,由于故障轻微,桥臂电流小幅增加至1.08(pu),并未出现过电流现象。
由图7可见,当工频网侧发生深度电压跌落时(电压跌落至20%),由于电流限幅环节的存在,工频网侧电流增加至1.2(pu)。此时,低频侧并未采取减载措施,输入M3C的有功功率不变,仍为750 MW,而M3C输出有功功率降低为180 MW,故障期间存在570 MW的冗余功率,该部分冗余功率会使得子模块电容电压迅速增加,超过子模块电容电压的安全范围。如图7e所示,故障期间桥臂电容电压仍然可以保持均衡,其电容电压迅速上升,超过安全限值。图7g为子换流器a三相桥臂电流,由于工频电流限幅的存在,桥臂电流增加至1.10(pu),并未出现过电流现象。
综上所述,对于网侧发生三相对称故障,如何减小故障期间的冗余功率使得子模块电容电压不超出其安全值是最主要的问题,可通过加装耗能装置或设计M3C与风机换流器协同减载控制策略解决故障期间功率冗余问题。
2.2.1 桥臂电容电压不均衡
不对称故障下,除了M3C功率冗余所导致的子模块电容电压升高,还会出现工频各相间子模块电容电压的偏差。电容电压的变化取决于电容的直流功率,因此,对于不对称故障下的桥臂电容电压不均衡,可以从M3C输出的uvw相直流功率入手。
工频网侧不对称故障后,由于换流变压器为YNd联结,具有隔绝零序的作用,工频阀侧电压电流无零序分量,工频阀侧电压电流瞬时值可表示为
(10)
式中,U+、U-、I+、I-分别为正负序电压、电流的幅值;φ-为负序电压的相位;Φ+为正序电流的相位;Φ-为负序电流的相位。
根据式(10),工频侧每相输出的有功功率直流分量表示为
(11)
由式(11)可知,当工频侧发生不对称故障时,工频侧的三相功率不再对称,即各相功率不再相等,Puout≠Pvout≠Pwout。低频侧和工频侧控制间相互解耦,工频侧故障后,低频侧正常控制,低频侧注入每个子换流器(a、b、c)的有功功率均分给子换流器中的u、v、w桥臂。低频侧三相有功功率仍然对称,Pain=Pbin=Pcin。此时,桥臂输入输出功率不再相等,工频侧子换流器存在功率不平衡,导致桥臂电容电压不均衡。
工频侧子换流器(u、v、w)各自子模块电容电压的平均值为
(12)
式中,UC_u(t)、UC_v(t)、UC_w(t)分别为t时刻工频子换流器u、v、w子模块电容电压平均值;Pu、Pv、Pw分别为故障后u、v、w子换流器输出的有功功率。
为验证上述分析的正确性,进行算例分析。当t=4.0 s时,在工频网侧设置过渡电阻为2 Ω的单相接地短路故障(以u相故障为例),仿真结果如图8所示。
图8 工频网侧u相接地故障工况仿真结果
Fig.8 Simulation waveforms of u-phase ground fault condition on fundamental frequency side
工频网侧发生u相接地故障(接地电阻为2 Ω)其故障相电压跌落至25%。图8c、图8d分别为工频阀侧电压与电流。由图可见,网侧电压经过换流变角度旋转后,工频阀侧v相、w相电压跌落50%;故障后u相、v相电流升高。图8e、图8f分别为低频阀侧电压与电流。由图可见,网侧发生不对称故障后,M3C低频侧仍能构建良好的正弦电压,说明工频侧低频侧解耦良好,低频侧功率仍然对称。图8g为M3C两侧有功功率与无功功率。由图可见,故障导致工频侧输出有功功率减小为480 MW,系统存在270 MW的冗余功率,该部分功率使得图8h所示的u、v、w各子模换流器电容电压平均值迅速升高。由于不对称故障下负序分量的存在导致M3C输出的u、v、w相功率直流分量不再相等,继而使得u、v、w相子换流器电容电压平均值不再相等。图8i为子换流器a桥臂电流,由于负序电流的存在,使得桥臂电流超过了1.1(pu),达到了1.3(pu)。图8g中,M3C工频网侧输出的有功功率、无功功率均存在二倍工频的脉动。
因此,工频侧不对称故障时,桥臂输入输出功率不再相等,工频侧子换流器存在功率不平衡,桥臂电容电压存在不平衡。
2.2.2 故障下产生负序分量影响系统控制性能
图8g为M3C两侧有功功率、无功功率。不对称故障下,M3C工频网侧输出的有功功率、无功功率均存在二倍工频的脉动。由图2及瞬时功率理论[20]可得,在网侧发生不对称故障工况下,M3C工频侧输出的复功率为
(13)
式中,
、
、
、
分别为正、负序同步旋转坐标系下M3C工频侧的电压和电流。
将式(13)写为代数形式,可得有功功率Pout、无功功率Qout为
(14)
式中,P0、P1、P2分别为工频输出有功功率直流量、二倍频功率余弦幅值及二倍频功率正弦幅值;Q0、Q1、Q2分别为工频输出无功功率直流量、二倍频功率余弦幅值及二倍频功率正弦幅值。
由式(14)可知,在不对称故障下,若不对负序分量进行控制,M3C换流器输出的瞬时有功、无功功率中会包含二倍工频量。
针对不平衡工况下不同的运行要求,M3C换流站存在以下三种不同的控制目标:
1)抑制有功功率脉动:通过调节正负序电流,消除工频网侧的二倍频有功功率波动。
2)抑制无功功率脉动:通过调节正负序电流,消除工频网侧的无功功率二倍频波动,从而确保电网电压不平衡的情况下,系统对无功功率的需求。
3)实现电流平衡:通过将负序电流控制到零,确保工频网侧输出三相平衡电流,以满足电网电压不平衡条件下的电流对称性要求。
2.2.3 工频零序电压泄漏到低频侧
在换流变压器采取Ydn联结接法情况下,当M3C工频侧换流变压器阀侧发生不对称故障时,低频侧换流变压器阀侧电压出现50 Hz的漏频;当工频侧换流变压器网侧发生不对称故障时,低频侧换流变压器阀侧电压并未出现50 Hz的漏频。同样地,低频阀侧不对称故障也会出现低频零序电压泄漏到工频侧。
通过对工频和低频换流变压器阀侧电压进行正负零序分解,发现低频侧50 Hz漏频电压的幅值和相位与工频换流变压器阀侧的零序电压一致。这表明,不对称故障下阀侧出现的零序电压是导致漏频现象的主要原因。下面对该现象做具体的解释。
1)零序电压并未参与M3C换流器控制
在理想情况下,零序分量经过dq变换后,其d轴和q轴分量均为零,如式(15)所示。
(15)
这是因为零序分量在三相系统中是同大小、同相位的,不存在相位差,所以在旋转坐标系下无法产生d轴和q轴的分量。本文控制量均是在dq坐标系下进行控制,工频换流变压器阀侧出现零序电压分量,但经过dq变换后其并未进入控制系统,故零序电压并未进入控制系统。
2)由于工频换流变压器与低频换流变压器均采用Ydn联结接法,而M3C是由电容器组成,系统不存在零序回路,故在阀侧不对称故障下,换流变压器阀侧仅存在零序电压,而没有零序电流,零序不流动。因此,工频换流变压器阀侧因不对称故障而产生的零序电压会没有压降地加在低频换流变压器阀侧,工频侧50 Hz零序分量泄漏到低频换流变压器阀侧,与低频侧电压叠加,导致低频阀侧电压波形畸变。
为验证上述分析的正确性,进行算例分析。当t=4.0 s时,在工频阀侧设置过渡电阻为2 Ω的两相接地短路故障(以uv相为例),得到的仿真结果如图9所示。

图9 工频阀侧两相接地故障仿真结果
Fig.9 Simulation waveforms of two-phase ground fault condition on fundamental frequency valve side
图10为工频阀侧电压dq轴分量。其均由直流量与二倍频量叠加,直流量由正序电压dq变换而来,二倍频量由负序分量dq变换而来。零序分量dq变换后并不存在。是否需要对正序、负序和零序电压分别控制也需要进一步研究。
图10 工频阀侧电压dq轴分量
Fig.10 Industrial frequency valve-side voltage dq-axis component
3.1.1 故障穿越期间存在M3C功率反转
在低频海缆发生三相短路故障的情况下,故障点电压显著下降。鉴于低频侧采取的是VF控制策略,M3C会向故障位置注入电流。三相短路故障发生后,风电场的并网点电压亦随之降低,迫使风机进入故障穿越模式。此时,风机网侧换流器的外环控制被冻结,转而采用电流矢量控制模式,向并网点输出相应的有功功率与无功功率。风电场产生的有功功率不再流入M3C,而是直接流向故障点。假设故障阻抗为ZF,则故障点电压UF为
(16)
式中,IF为流入故障点电流,其大小等于风电场侧线路电流IF_wind与M3C低频侧线路电流IF_M3C之和。
值得注意的是,由于M3C低频侧电流控制环节及风机网侧换流器电流控制环节均具有限幅环节,因此故障电流呈现幅值受限特征,可等效为电流源。
由式(16)可知,故障阻抗与M3C低频侧及风机网侧换流器电流限幅值决定故障点电压。故障阻抗越小,故障点电压越低。
假设RF为接地阻抗中的电阻,则流入故障点的有功功率为
(17)
故障点消耗的有功功率主要由风电场与M3C提供,M3C提供的有功功率为
(18)
M3C是实现交交变频的换流站,其本身并不直接产生功率。在电容电压控制在额定值附近的前提下,故障期间M3C提供给故障点的有功功率PF_M3C来自陆上电网。当低频侧遭遇短路故障时,一方面会导致风电功率无法正常输送到陆上电网,进而造成陆上电网出现功率短缺的情况;另一方面由于仍然采取VF控制导致功率反转,低频系统吸收来自陆上电网的有功功率造成陆上电网有功缺额加大,这使得系统面临的稳定性问题更为严峻。由式(18)可知,故障电阻RF越大,故障后M3C功率反转越严重,M3C从陆上电网吸收的有功功率越多,对系统稳定性的影响越大。
为验证上述分析的正确性,进行算例分析。当t=4.0 s时,在低频海缆100 km处分别设置故障电阻为10、25、40 Ω的三相接地短路故障(分别对应17%、25%、40%跌落深度),得到的仿真结果如图11所示。图11表明故障阻抗越大,故障点电压越高;故障电阻越大,故障期间M3C有功功率反转越严重,这与上文的分析一致。只有当接地阻抗为纯感性时才不存在功率反转现象。

图11 不同故障电阻下功率反转情况
Fig.11 Power reversal with different fault resistances
3.1.2 故障期间不存在M3C电容过电压
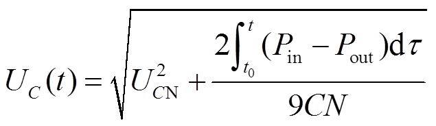
低频侧故障不同于工频侧故障,低频侧故障后,M3C低频侧交流母线电压大幅跌落,海上风电场有功功率输送受阻,输出有功功率大幅减少。由于M3C工频侧采用定电容电压控制,故障期间M3C输送到陆上电网的有功功率随之减少,两侧功率基本平衡,电容电压基本稳定。子模块电容电压在故障过程中与其额定值偏差不大。故障切除后,交流电压恢复正常,系统输出有功恢复正常。
对于低频侧故障期间M3C子模块电容电压的讨论与2.1节类似,由于故障类型为对称故障,故低频侧三相仍然对称,M3C低频侧有功功率均分在子换流器a、b、c中;低频侧和工频侧控制间相互解耦,低频侧注入子换流器(a、b、c)的有功功率均分在子换流器中的u、v、w桥臂。工频侧三相有功功率仍然对称,Puout=Pvout=Pwout。此时,桥臂输入输出功率仍然相等,桥臂电容电压保持平衡。
为验证上述分析的合理性,进行算例分析。按照1.2节所取电容值,考虑最恶劣的情况,当t=4.0 s时,在低频海缆100 km处设置三相接地故障(持续625 ms,跌落深度为20%),仿真结果如图12所示。图12a为低频侧三相短路故障下M3C子模块平均电容电压,低频侧阀侧电压跌落至20%,此时子模块电容电压仍可维持在1.0(pu)附近,故障恢复时电容电压最大值为1.03(pu),子模块平均电容电压并未超过其安全限值1.2(pu)。图12b为低频侧三相短路故障下子换流器a、b、c子模块平均电容电压,故障期间,子换流器a、b、c子模块平均电容电压仍然保持均衡。图12c为低频侧三相短路故障下子换流器u各桥臂(ua、ub、uc)子模块平均电容电压,故障期间,子换流器u子模块平均电容电压保持均衡。这说明,低频侧对称故障下,M3C子模块电容电压仍然保持均衡,对于低频侧对称故障下,M3C故障穿越不存在子模块电容电压的均衡问题。

图12 低频侧20%故障工况下M3C子模块电容电压仿真结果
Fig.12 Simulation results of capacitor voltage of M3C under 20% fault condition on low frequency side
3.1.3 故障恢复期间存在并网点过电压
系统发生三相短路故障时,M3C低频侧电流发生极大的变化。当故障切除后,故障点电压约束关系式(16)不再成立,M3C低频侧VF控制恢复对低频交流电压的控制,被控量超调量较大,长距离海缆线路中的电容较大,随着电压升高海缆提供的无功电流激增,因此导致恢复过程中会产生较大的过电压。M3C低频网侧、线路及风电场汇集母线均会出现过电压,可导致风电场进入高电压穿越模式。
为验证上述分析的合理性,进行算例分析。图13a为4~4.625 s低频海缆100 km处发生三相接地短路(跌落至20%)下M3C网侧、故障点及风电场汇集母线电压有效值仿真结果。由图13可知,故障恢复期间,M3C网侧、故障点及风电场汇集母线电压均存在过电压现象,其中M3C网侧电压过电压最严重,为1.38(pu);同时,M3C网侧电压跌落程度较故障点电压跌落程度更严重,而风电场汇集母线电压由于风电场故障期间的无功补偿,其电压跌落程度较故障点低。图13b为不同海缆长度下,4~4.625 s低频海缆中点处发生三相接地短路(跌落至20%)下M3C网侧电压有效值仿真结果。由图13b可知,故障恢复期间过电压水平与海缆长度相关,海缆长度越长,其过电压水平越高。故障恢复期间,应当采取过电压抑制方案。

图13 故障恢复期间低频侧电压
Fig.13 Voltage amplitude on the low-frequency side during fault recovery
3.1.4 故障期间M3C低频侧转为矢量电流控制,PQ之间存在耦合
跟网型直驱风机网侧换流器故障期间多采用冻结电压/功率外环,转为矢量电流模式,通过控制idref、iqref实现对风机并网点有功、无功功率输出。
当M3C低频侧发生故障后,可类比风机网侧换流器故障穿越控制策略,将VF控制外环切除,转为矢量电流控制,采用无功电流优先,向故障点增发无功电流。故障期间,M3C低频侧及风电机组均相当于压控电流源。M3C低频侧输出功率为
(19)
若故障后仍采用VF控制,M3C低频网侧电压相位不变,Ulq=0,此时,输出有功无功功率仅与Ild、Ilq有关。而对于故障后采用电流矢量控制,M3C低频网侧电压相位发生较大改变,Ulq≠0,M3C低频侧输出的有功无功功率间存在耦合。
图14a为故障期间保持VF控制下故障程度为20%时,保持VF控制与矢量电流控制的M3C低频网侧电压、电流dq轴分量及M3C低频网侧有功功率/无功功率。由图可知,故障期间,Ulq=0,网侧电压相位不变,低频网侧有功功率/无功功率仅与d/q轴电流有关。图14b为故障期间采用矢量电流控制下故障程度为20%时,M3C低频网侧电压、电流dq轴分量及M3C低频网侧有功功率/无功功率。由图可知,故障期间,Ulq≠0,网侧电压相位改变,低频网侧有功功率/无功功率不仅与d/q轴电流有关,还与Ulq有关。
图14 20%故障工况下保持VF控制与矢量电流控制仿真对比
Fig.14 Simulation comparison of holding VF control and vector current control under 20% fault condition
采用矢量电流控制的目的是在故障期间,q轴电流优先,通过增加q轴电流提高故障期间M3C对故障点电压的支撑能力。由于故障期间低频网侧电压相位发生较大改变,Ulq≠0,M3C低频侧的有功/无功功率不再与d/q轴功率成正比。如图14所示,采用矢量电流控制下,M3C并未如预期向低频系统注入无功功率以支撑故障电压。因此,故障期间,转为矢量电流控制并不能达到预期要求。
3.2.1 桥臂电容电压不均衡
与2.2.1节分析类似,低频侧不对称故障下,桥臂电容电压同样存在不平衡问题。
不对称故障后,低频侧子换流器输出到工频侧三相的有功功率相等,低频子换流器(a、b、c)输入/输出的有功功率不均衡,低频子换流器(a、b、c)各自子模块电容电压平均值为
(20)
式中,UC_a(t)、UC_b(t)、UC_c(t)分别为t时刻低频子换流器a、b、c子模块电容电压平均值;Pa、Pb、Pc分别为故障后,输入子换流器a、b、c的有功功率。

图15 a相接地故障期间子换流器a、b、c子模块平均电容电压
Fig.15 Average capacitance voltage of a, b and c subcommutator sub-modules during a-phase ground faults
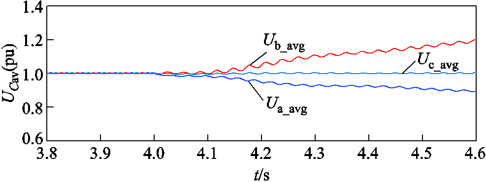
图15为低频侧a相接地故障下子换流器(a、b、c)子模块平均电容电压,故障期间不再均衡且部分相存在过电压问题。
3.2.2 故障穿越过程非故障相过电压
在系统正常运行期间,低频侧采用VF控制,确保低频侧电压幅值和频率保持恒定。然而,当低频侧发生不对称故障时,故障相电压会出现跌落,而低频侧电压参考值保持不变。由于负序电压作用,低频侧电压dq轴分量存在二倍频量,在外环控制有效的情况下,控制器会将低频侧电压q轴分量的直流部分控制到参考值,导致非故障相产生过电压现象。具体而言,在低频侧发生不对称故障后,由于VF控制的作用,M3C低频网侧和风电场汇集母线处的正序电压仍维持在1.0(pu)。以单相接地短路为例,故障后的序网络如图16所示。由于VF控制维持了系统电压为1.0(pu),系统中必然存在正序电流。同时,故障点的正序电流与负序电流相等,因此在故障点两侧均会存在负序电流,进而导致低频网侧和风电场汇集母线处出现负序电压。这一现象不仅会引起非故障相的过电压问题,还会因负序电流的存在导致桥臂出现过电流现象,从而对系统的稳定性和设备安全构成威胁。
图16 低频侧单相接地短路下复合序网络(无负序抑制)
Fig.16 Compound sequence network diagram under single-phase grounded short circuit on low frequency side without negative sequence suppression
图17为单相接地故障(a相为例)工况下,故障点电压、M3C低频网侧电压/电流、风电场网侧电压/电流及其相应的正负序分量。由图17可知,不对称故障后,低频侧电压频率参考值不变,M3C低频网侧、风电场汇集母线处正序电压在VF控制下仍然可以调整到1.0(pu),同时M3C低频网侧、风电场汇集母线处电流均存在负序分量。由于负序电压、负序电流的存在,使得M3C换流器子换流器桥臂存在过电压与过电流问题,严重影响M3C换流器的安全运行。因此,在不对称故障期间,应当适当限制低频系统中的负序分量,同时,应当根据不同的故障类型对VF控制中正序电压进行合理限制,以规避不对称故障下的M3C桥臂过电流与过电压问题。

图17 单相接地故障下仿真结果
Fig.17 Simulation results under single-phase ground fault
3.2.3 M3C低频侧与风机网侧换流器不能同时引入抑制负序电流为零的控制
故障期间,若M3C低频侧与风机网侧换流器均采取抑制负序电流为零的控制策略,则故障期间风机低频侧会出现过电压。以单相接地短路为例,此时序网络如图18所示。故障期间,各序量满足
(21)
图18 低频侧单相接地故障复合序网络(有负序抑制)
Fig.18 Compound sequence network diagram under single-phase grounded short circuit on low frequency side with negative sequence suppression
若将M3C低频侧与风机网侧换流器均采取抑制负序电流为零的控制策略,则
,根据式(21)约束关系则有
(22)
当负序电流抑制到0时,海缆中零序电流也为0,系统中仅存在正序电流,风电场发出的正序电流不再流入故障点,全部流入M3C低频侧。由于流入故障点的零序电流为0,则
。
(23)
因此
,即故障点正序电压与负序电压相反。令
,利用序电压与相电压关系,则故障点各相电压为
(24)
式中,
为旋转因子,
。
故障点故障相电压为0,非故障相电压升高至正序电压的
倍。此时,若正序电压幅值
,则非故障相出现过电压。
为了避免出现不对称故障下非故障相电压过电压问题,在不对称故障穿越期间,若风电场及M3C低频侧均采用负序电流抑制到0的控制策略,则应根据故障类型,对正序电压进行相应的限幅。
此外,根据序网络分析可知,故障期间需满足M3C低频侧与风机网侧换流器注入低频系统的正序电流与负序电流在幅值和相位上均相等。任何偏差均可能导致系统失稳。因此,在不对称故障期间,低频侧控制外环应当保留,以确保系统稳定。
本文对海上风电低频输电系统故障特性进行分析,对实现故障穿越所面临的问题进行总结。通过本文的理论分析与仿真验证可得到如下结论:
1)工频网侧故障
(1)对称故障下,因功率冗余导致M3C电容电压越限是目前面临的主要问题。解决系统的功率冗余问题,是保证故障期间电容电压不越限的前提。
(2)不对称故障下,系统面临功率冗余及故障期间桥臂电容电压不均衡问题,以及故障下负序分量对系统控制性能的影响,可在工频侧系统引入负序分量控制,以实现不同的负序控制目标。
(3)工频阀侧不对称故障下出现工频零序电压泄漏到低频侧的问题,是否在控制系统中增加对零序分量的抑制来解决漏频问题需要进一步研究。低频阀侧在不对称故障下也会出现低频零序电压泄漏到工频侧的问题。
2)低频侧故障
(1)对称故障下,故障穿越期间存在M3C功率反转问题,桥臂电容电压均衡且电容电压在短时间降低后可恢复至正常状态,故障穿越期间不存在M3C电容过电压问题;由于故障恢复期间被控量的超调量及长距离海缆线路中的电容较大,电压升高导致海缆提供的无功电流激增,使得故障恢复期间低频系统存在并网点过电压问题;故障期间将电压-频率控制外环切除,转为矢量电流控制,PQ之间存在耦合,不能通过电流id和iq单独控制有功和无功。
(2)不对称故障下,存在桥臂电容电压不均衡问题、故障穿越过程非故障相过电压问题;故障穿越期间M3C低频侧与风机网侧换流器应该同时采用合理的负序控制策略抑制非故障相过电压问题。
参考文献
[1] 申刘飞, 翟雨佳, 吴星徵, 等. 海上超导风电制氢一体化研究进展与发展趋势[J]. 电工技术学报, 2025, 40(11): 3362-3380. Shen Liufei, Zhai Yujia, Wu Xingzheng, et al. Progress and development trend of integrated research on hydrogen production from offshore superconductingwind power[J]. Transactions of China Electrotechnical Society, 2025, 40(11): 3362-3380.
[2] 赵国亮, 陈维江, 邓占锋, 等. 柔性低频交流输电关键技术及应用[J]. 电力系统自动化, 2022, 46(15): 1-10. Zhao Guoliang, Chen Weijiang, Deng Zhanfeng, et al. Key technologies and application of flexible low-frequency AC transmission[J]. Automation of Electric Power Systems, 2022, 46(15): 1-10.
[3] 黄明煌, 王秀丽, 刘沈全, 等. 分频输电应用于深远海风电并网的技术经济性分析[J]. 电力系统自动化, 2019, 43(5): 167-174. Huang Minghuang, Wang Xiuli, Liu Shenquan, et al. Technical and economic analysis on fractional frequency transmission system for integration of long-distance offshore wind farm[J]. Automation of Electric Power Systems, 2019, 43(5): 167-174.
[4] 王秀丽, 段子越, 孟永庆, 等. 分频输电系统运行特性与控制策略综述[J]. 高电压技术, 2023, 49(9): 3696-3707. Wang Xiuli, Duan Ziyue, Meng Yongqing, et al. Review on operational characteristics and control strategies of fractional frequency transmission systems[J]. High Voltage Engineering, 2023, 49(9): 3696-3707.
[5] 王秀丽, 赵勃扬, 黄明煌, 等. 大规模深远海风电送出方式比较及集成设计关键技术研究[J]. 全球能源互联网, 2019, 2(2): 138-145. Wang Xiuli, Zhao Boyang, Huang Minghuang, et al. Research of integration methods comparison and key design technologies for large scale long distance offshore wind power[J]. Journal of Global Energy Interconnection, 2019, 2(2): 138-145.
[6] 张金辉, 江岳文. 提高海缆输送容量的无功补偿策略[J]. 电气技术, 2019, 20(5): 19-23.Zhang Jinhui, Jiang Yuewen. Reactive power compensation strategy for improving capacity of submarine cable[J]. Electrical Engineering, 2019, 20(5): 19-23.
[7] Liu Shenquan, Wang Xifan, Ning Lianhui, et al. Integrating offshore wind power via fractional frequency transmission system[J]. IEEE Transactions on Power Delivery, 2017, 32(3): 1253-1261.
[8] 郑涛, 康恒. 基于控保协同的柔性低频输电系统电流差动保护性能提升方案[J]. 电工技术学报, 2025, 40(7): 2162-2177. Zheng Tao, Kang Heng. Improvement of current differential protection performance of flexible low-frequency transmission system based on control and protection cooperation[J].Transactions of China Electrotechnical Society, 2025, 40(7): 2162-2177.
[9] 刘昊霖, 贾科, 毕天姝, 等. 接入新能源大基地汇集系统的柔直换流站低电压穿越方法研究[J]. 电工技术学报, 2025, 40(3): 759-770. Liu haolin, Jia Ke, Bi Tianshu, et al. Research on low voltage ridethrough methods for flexible DC converter stations connected to the gathering system of new energy base[J].Transactions of China Electrotechnical Society, 2025, 40(3): 759-770.
[10] 孙玉巍, 王童, 付超, 等. 适用于海上风电分频输电的模块化多电平矩阵变换器故障穿越控制策略[J]. 高电压技术, 2023, 49(1): 19-30. Sun Yuwei, Wang Tong, Fu Chao, et al. Fault ride-through control strategy of modular multilevel matrix converter for fractional frequency transmission system[J]. High Voltage Engineering, 2023, 49(1): 19-30.
[11] 赵勃扬, 王锡凡, 宁联辉, 等. 分频海上风电系统的不对称故障穿越控制[J]. 中国电机工程学报, 2023, 43(12): 4589-4600. Zhao Boyang, Wang Xifan, Ning Lianhui, et al. Ride-through control of fractional frequency offshore wind power system during unsymmetrical grid faults[J]. Proceedings of the CSEE, 2023, 43(12): 4589-4600.
[12] Liu Shenquan, Saeedifard M, Wang Xifan. Analysis and control of the modular multilevel matrix converter under unbalanced grid conditions[J]. IEEE Journal of Emerging and Selected Topics in Power Electronics, 2018, 6(4): 1979-1989.
[13] 高校平, 张晨浩, 宋国兵, 等. 海上风电低频输电系统低频侧不对称故障控制策略[J]. 电力自动化设备, 2023, 43(10): 160-166. Gao Xiaoping, Zhang Chenhao, Song Guobing, et al. Control strategies of offshore wind power low frequency transmission system under asymmetric fault of low-frequency side[J]. Electric Power Automation Equipment, 2023, 43(10): 160-166.
[14] 郑涛, 宋伟男, 吕文轩. 基于M3C的低频输电系统不对称故障穿越控制策略[J]. 电力系统保护与控制, 2023, 51(8): 107-117. Zheng Tao, Song Weinan, Lü Wenxuan. Asymmetric fault ride-through control strategy for a low frequency AC transmission system based on a modular multilevel matrix converter[J]. Power System Protection and Control, 2023, 51(8): 107-117.
[15] 郑涛, 康恒, 宋伟男. 可实现低频输电系统不对称故障穿越的M3C电容电压均衡控制策略[J]. 电力系统保护与控制, 2023, 51(23): 130-140. Zheng Tao, Kang Heng, Song Weinan. Asymmetric fault ride-through control strategy for low-frequency transmission systems realizing the capacitor voltage balance of modular multilevel matrix converters[J]. Power System Protection and Control, 2023, 51(23): 130-140.
[16] 孟永庆, 王健, 李磊, 等. 基于双dq坐标变换的M3C变换器的数学模型及控制策略研究[J]. 中国电机工程学报, 2016, 36(17): 4702-4712. Meng Yongqing, Wang Jian, Li Lei, et al. Research on modeling and control strategy of modular multilevel matrix converter based on double dq coordinate transformation[J]. Proceedings of the CSEE, 2016, 36(17): 4702-4712.
[17] 徐政, 张哲任. 低频输电技术原理之三: M3C基本控制策略与子模块电压平衡控制[J]. 浙江电力, 2021, 40(10): 30-41. Xu Zheng, Zhang Zheren. Principles of low frequency power transmission technology: part 3-basic control strategy for the M3C and sub-module voltage balance control[J]. Zhejiang Electric Power, 2021, 40(10): 30-41.
[18] 李峰, 王广柱. 模块化多电平矩阵变换器电容电压纹波稳态分析[J]. 中国电机工程学报, 2013, 33(24): 52-58, 9. Li Feng, Wang Guangzhu. Steady-state analysis of sub-modular capacitor voltage ripple in modular multilevel matrix converters[J]. Proceedings of the CSEE, 2013, 33(24): 52-58, 9.
[19] 国家市场监督管理总局, 国家标准化管理委员会. 风电场接入电力系统技术规定第2部分:海上风电: GB/T 19963.2—2024[S]. 北京: 中国标准出版社, 2024.
[20] 黄守道, 肖磊, 黄科元, 等. 不对称电网故障下直驱型永磁风力发电系统网侧变流器的运行与控制[J]. 电工技术学报, 2011, 26(2): 173-180. Huang Shoudao, Xiao Lei, Huang Keyuan, et al. Operation and control on the grid-side converter of the directly-driven wind turbine with PM synchronous generator during asymmetrical faults[J]. Transactions of China Electrotechnical Society, 2011, 26(2): 173-180.
Abstract Fault ride-through of flexible low-frequency transmission is an important issue that needs to be addressed in future applications. During the fault process, it is necessary to ensure the safe operation of the modular multilevel matrix converters (M3C), prevent overcurrent, overvoltage and overcapacity from triggering protection actions and cutting off the M3C, which would prevent the system from crossing the fault. There is only one recent demonstration project for low-frequency transmission of offshore wind power in China, and there is a lack of operational experience in fault ride-through of flexible low-frequency transmission. However, existing literature studies on fault ride-through of flexible low-frequency transmission mainly focus on the power redundancy and unbalanced bridge arm capacitor voltage during the fault period, but lack a systematic analysis of other problems faced by the system during the fault period. This paper systematically analyzes the possible problems faced during fault ride-through of flexible low-frequency transmission to provide a reference for the design of subsequent protection and control strategies.
Firstly, the mathematical model and control strategy of M3C are introduced, and a detailed model of the low-frequency transmission system for offshore wind power is established. Secondly, the transient characteristics of M3C are analyzed through simulation of symmetrical and asymmetrical faults on the fundamental frequency side and low-frequency side of M3C. Finally, based on the transient characteristics of the system under fault conditions, the problems faced by the system in achieving fault ride-through are summarized.
The following conclusions can be drawn from the simulation analysis: (1) Under symmetrical faults on the fundamental frequency side, the main problem faced is the over-limitation of M3C capacitor voltage due to power redundancy. Under asymmetrical faults on the fundamental frequency side, the system faces problems of power redundancy and unbalanced bridge arm capacitor voltage during the fault period, as well as the impact of negative sequence components on system control performance during the fault period. Negative sequence component control can be introduced on the fundamental frequency side system to achieve different negative sequence control objectives. (2) Under symmetrical faults on the low-frequency side, during the fault ride-through period, M3C experiences power reversal, and during the recovery period, the low-frequency system experiences overvoltage problems, but the capacitor of M3C does not experience overvoltage during the ride-through period. During the low-frequency fault period, voltage-frequency control switches to vector control, and there is a coupling problem between low-frequency active and reactive power. Under asymmetrical faults on the low-frequency side, during the fault period, there are problems of unbalanced bridge arm capacitor voltage and overvoltage on the non-fault phase during the ride-through period. Moreover, the strategy of simultaneously suppressing the negative sequence to zero on the low-frequency side and the wind farm grid side may lead to overvoltage problems. (3) Under asymmetrical faults, zero-sequence voltage leaks to the opposite side on the valve side of the converter.
keywords:Modular multilevel matrix converters, low-frequency transmission systems for offshore wind power, fault analysis, offshore wind power
DOI: 10.19595/j.cnki.1000-6753.tces.250220
中图分类号:TM614
国家自然科学基金项目(51977098)和新疆维吾尔自治区重大科技专项(2022A01007-1)资助。
收稿日期 2025-02-14
改稿日期 2025-05-14
高晨景 男,1999年生,硕士研究生,研究方向为电力系统分析与控制。E-mail:chenjinggao2025@163.com
陈武晖 男,1974年生,博士,教授,研究方向为电力系统分析与控制。E-mail:chenwuhui@tyut.edu.cn(通信作者)
(编辑 赫 蕾)