摘要 “双高”电网背景下的多模态宽频谐波振荡威胁着系统的安全稳定运行,现有的有源和无源阻尼方法对谐振峰幅值的抑制效果有限。该文首先考虑背景谐波及系统的阻抗特性,提出一种新型无源滤波装置——幅频校正器,用于抑制“双高”配电网的宽频谐波振荡;其次结合IEC规定的低压配电网电磁兼容水平,建立了适用于宽频振荡分析的统一量化指标,并利用模态分析法和粒子群算法给出了幅频校正器参数设计的详细步骤;最后通过仿真结果表明:相较于传统无源滤波器,幅频校正器优异的拓扑选型具备更强的宽频振荡抑制能力。实验部分通过逆变器多机并网系统的案例,进一步验证了所提方法对抑制“双高”配电网多模态宽频谐波振荡的一般性和有效性。
关键词:配电网 谐波振荡 电磁兼容 逆变器多机并网系统
随着高比例新能源和大量电力电子设备接入配电网,电力系统呈现低惯量、低阻尼、弱电压支撑等特征[1-2]。宽频背景谐波、高密度逆变器并(离)网、逆变器多种运行状态、传输功率波动性强等因素使得配电网发生扰动后多频段内同时发生谐波振荡的概率增大,造成并网波形的严重畸变[3-4]。当振荡传递到负荷侧会对电气设备产生影响,甚至进一步影响到主网,造成大面积停电事故,威胁电网的安全稳定运行[5-6]。
基于阻抗的建模方法为分析“双高”配电网的稳定性提供了便利,将分布式电源等效为一端口阻抗,进而分析由多个端口阻抗构成网络的谐振特性[7-8],等效阻抗的幅频特性反映系统对于谐波的放大程度[9],等效阻抗的相频特性表征系统的稳定性[10-11]。围绕着幅值和相位对系统的宽频振荡加以抑制,根据方式的不同,分为逆变器内部的有源阻尼法和场站层面并联设备的无源阻尼法[12-13]。有源阻尼法在逆变器控制侧加入比例、微分等环节抑制谐振峰[14-16],或在公共耦合点(Point of Common Coupling, PCC)处并联虚拟阻抗,结合频域无源性理论[17],提升逆变器并网运行的稳定裕度[18-19];针对逆变器多机并网系统,考虑到其控制侧含有较多非线性环节,仅通过优化设备参数、附加控制方法难以针对系统存在的多个谐振峰同时实现有效抑制,目前的研究依旧围绕着特定控制结构进行参数设计[20-22],方法不具备普适性。
无源阻尼法通过在分布式电源并网处并联无源设备实现对系统阻抗的重塑。根据装置类型,常见的有无源滤波器[23-27]、静止无功发生器及变压器绕组[28-30]等,无源滤波器按照阶数又可分为2阶[23-24]、3阶[25-26]、4阶[27]等。然而现有的无源阻尼法多侧重于约束原系统阻抗相位,确保其在谐振峰处的相位跃变不超过180°,系统在受到谐波扰动后不会振荡发散失稳,但由于系统阻尼接近于0其波形畸变程度依旧较深[27-28];文献[30]提出的电感滤波方法能有效转移系统的谐振点,提高系统阻尼,抑制谐振,但所提方法需要重新设计变压器绕组拓扑,制造难度较大。“双高”特性下系统的多模态谐振峰是多个LC无源网络耦合导致的结果,而阻尼能够很好地表征谐振峰幅值的大小,阻尼越小,谐振峰幅值越大,系统的稳定性越弱。若能聚焦于系统端口阻抗的幅频特性,以提高系统阻尼为目标,在场站层面并联无源设备重塑系统阻抗,则能有效地解决由背景谐波与阻抗网络交互引起的宽频谐波振荡。
并联无源装置的核心目标是抑制系统的多模态谐振峰,提高系统的运行稳定裕度,同时需尽量降低其带来的基频损耗。考虑到“双高”配电网中多分布式电源耦合形成的阻抗网络往往包含多个串并联谐振模态,如何选取合适的节点兼顾多个模态的治理是亟须解决的首要问题。传统无源装置受限于拓扑结构难以同时抑制多谐振模态,研制具备宽频调节能力的新型无源装置,以适应复杂工况下的谐波振荡抑制需求是当前的重要研究任务。已知并联无源装置势必会与原系统的阻抗网络交互,传统基于背景谐波电流的参数设计方法难以满足“双高”配电网需求,如何在参数设计中避免引入新的谐振点,同时有效提升系统阻尼,实现对谐振峰的抑制和对阻尼效果的量化,是亟待攻克的关键技术难题。
基于上述背景,本文利用模态分析法对由两台逆变器并网构成的系统进行振荡模态解析,确定治理多振荡模态的关键节点。在对三种常见的无源滤波器进行对比分析的基础上,提出了一种新型拓扑——幅频校正器(Magnitude-Frequency Corrector, MFC),并系统分析了其端口特性和振荡抑制机理,并以降低基频损耗和抑制系统多模态谐振峰为目标,给出了MFC的参数设计方法。结合IEC规定的低压配电网电磁兼容水平,建立了满足宽频振荡分析的统一量化指标,并采用粒子群优化(Particle Swarm Optimization, PSO)算法对MFC参数进行优化设计。仿真结果表明:相较于传统C类滤波器,MFC优异的拓扑选型具备更强的宽频振荡抑制能力,实验部分利用逆变器多机并网系统的案例进一步验证了所提方法对抑制“双高”配电网多模态宽频谐波振荡的一般性和有效性。
典型的LCL型逆变器并网拓扑如图1所示。图1中,L1为逆变器侧电感,C为滤波电容,L2为网侧电感,Lg为电网等效电感,Vdc为逆变器直流侧电压,uinv为逆变器交流侧输出电压,uC为滤波电容电压,uPCC为PCC电压,ug为电网电压,iL1为逆变器侧电感电流,iC为滤波电容电流,iL2为逆变器并网电流。
图1 LCL型逆变器并网拓扑
Fig.1 Topology of LCL grid-connected inverter
基于阻抗分析法[7],将逆变器等效为一端口阻抗。由两台逆变器并网构成的等效电路如图2所示。图2中,两台逆变器的等效电源及并网电流分别用isi、igi(i = 1, 2)表示,等效阻抗分别用Zouti(i = 1, 2)、ZL2表示,二者并联接入节点3,电网等效阻抗用Zg表示。
图2 逆变器多机并网系统等效电路
Fig.2 Equivalent circuit of a multi-inverter grid-connected system
两台逆变器的控制框图及并网系统参数详见附录。结合图2和附图1,推导得到等效电路的参数表达式为
(1)
式中,i1ref、i2ref为两台逆变器闭环控制侧的参考电流;kPWM为桥路增益;k1、k2为有源阻尼环节;G1为比例积分控制器,G1=kp+ki/s;Gd为延时环节,
,Ts为采样时间。
绘制系统阻抗的频率响应曲线,结果如图3所示。
观察图3所示的幅频特性可以发现,逆变器并网系统存在多对谐振峰,按照频率从低至高依次记为p1、z1、p2及z2,其分别对应两台逆变器并网引起的两对并联、串联谐振点,在谐振峰处的幅值远大于其他频带。相应地,若电网中的背景谐波与阻抗网络的多个谐振峰频率匹配时,便会激发阻抗网络的宽频谐波振荡。
图3 逆变器并网系统端口阻抗频率响应曲线
Fig.3 Frequency response curves of equivalent port impedance in grid-connected inverter system
观察图3所示的相频特性曲线可以发现,逆变器并网系统的端口阻抗在宽频域内呈感性,仅在相邻谐振峰处相位会发生跃变,此时端口阻抗呈容性。相应地,若想在外部并联设备实现对系统谐振峰的抑制,则需要其在宽频域内呈容性,将其并联接入,以减弱原系统端口阻抗的宽频感性特性,从而实现对系统多谐振峰的抑制。
利用模态分析法解析系统的振荡模态[31-32],并计算系统各节点对振荡模态的可激励性、可观测性及参与因子,结果见表1。
表1 逆变器并网系统谐振模态解析结果
Tab.1 Resonant modal analysis results of the grid-connected inverter system
参数数值 节点1节点2节点3 模态1(780 Hz)可激励性0.839∠0°0.297∠-0.25°0.457∠-0.05° 可观测性0.839∠0.07°0.297∠-0.19°0.457∠0.13° 参与因子0.7030.0880.208 模态2(3 425 Hz)可激励性0.05∠0°0.917∠0°0.396∠0.03° 可观测性0.05∠0°0.917∠0°0.396∠0.01° 参与因子0.0030.8410.157
观察表1可以发现,图2所示的系统存在两个谐振点,分别为模态1(780 Hz)和模态2(3 425 Hz),模态1对应节点1的参与因子最大,表示节点1对该模态的可激励性与可观测性最强;模态2对应节点2的参与因子最大,表示节点2对该模态的可激励性与可观测性最强。而节点3兼备两个模态的可激励性与可观测性,在节点3处并联设备重塑系统阻抗能够兼顾两个模态的振荡抑制。
为抑制系统的谐波振荡,已有多种无源滤波装置被用于工程实践中,如由RLC构成的2阶滤波器[24],西门子公司提出的3阶滤波器[33],以及被广泛应用于高压直流输电系统的C类滤波器[25-26, 34],其拓扑如图4所示。
图4 用于宽频振荡抑制的常见无源滤波器拓扑
Fig.4 Common passive filter topologies for broadband oscillation suppression
图4a中,电容C1f的主要作用是隔离系统的基频分量,因此其值设置得通常较小,电感L1f和C1f共同构成了串联谐振支路,用以提供谐振频率附近的谐波电流通路。图4b中电容C2f和电感L1f构成并联谐振支路,用于提供谐振频率附近的谐波电压通路。图4c中的电容C2f和电感L1f的调谐频率通常设置在基频附近以减少损耗,因此L1f的数值较大[35]。
无源滤波器参数见表2,代入并绘制三种无源滤波器的频率响应曲线,具体的导纳表达式详见附录,结果如图5所示。
表2 无源滤波器参数
Tab.2 Parameters of the passive filter
参数C1f/μFC2f/μFL1f/mHRf/Ω 数值15810500
图5 三种无源滤波器的频率响应曲线
Fig.5 Frequency response curves of three passive filters
观察图5所示的幅频特性曲线可以发现,图5a和图5c各存在一个谐振峰,对应图4a和图4c拓扑中电感和电容支路构成的串联谐振点;图5b存在两个谐振峰,分别对应图4b拓扑中L1fC1f构成的串联谐振点和L1f(C1f//C2f)构成的并联谐振点。
观察图5所示的相频特性曲线可以发现,三者在低频段均呈容性,图5a和图5c在高频处呈阻性,而图5b呈容性,呈容性的支路会放大高频谐波电流。考虑到逆变器自身作为谐波源会产生较多的高频谐波分量,因此无源装置需在高频处呈阻性,且逆变器多机并网耦合使得系统存在多个串并联谐振点,并联无源装置需要分别提供串并联谐振支路,针对系统的多谐振峰实现同时抑制。基于此,提出一种新的无源装置——幅频校正器,其拓扑和频率响应曲线如图6所示,参数见表3。
图6 幅频校正器拓扑及频率响应曲线
Fig.6 Topology and frequency response curves of the MFC
表3 幅频校正器参数
Tab.3 Parameters of the MFC
参数C1M/μFC2M/μFL1M/mHL2M/mHRM/Ω 数值15810105
观察图6可以发现,MFC由两个电感L1M、L2M,两个电容C1M、C2M,一个电阻RM构成,L1MC1M构成串联谐振支路,L2MC2M构成并联谐振支路,RM提供谐振阻尼。频率响应曲线存在两个谐振峰,在低频段呈容性,两个谐振峰处呈感性,在高频处由容性逐渐过渡至阻性,其端口特性与图3所示的逆变器多机并网系统呈对偶关系,通过合理设计MFC的电感、电容参数,将其并联接入后能够有效地削弱原系统端口阻抗的宽频感性特性,从而实现对系统谐振峰的抑制。MFC的拓扑选型结合了图4b和图4c所示无源装置的优点,接下来将围绕MFC的结构给出其参数设计的详细步骤。
并联MFC的目的是抑制“双高”配电网系统的多模态谐振峰,提高系统阻尼,同时还需考虑将其并联接入后的基频损耗。具体的参数设计应在满足损耗低于设定阈值的前提下,针对系统的宽频谐波振荡实现有效抑制,下面将分别展开论述。
由图6得到MFC的端口阻抗表达式为
(2)
电容C1M的作用主要是隔离系统的基频电流分量,在基频处,可将其阻抗用
近似替代。
令电网等效阻抗为Zg=sLg,则并联MFC后的能量损耗比ηloss为
(3)
若令其损耗比低于1%,则可以确定MFC电容C1M的取值上限为
(4)
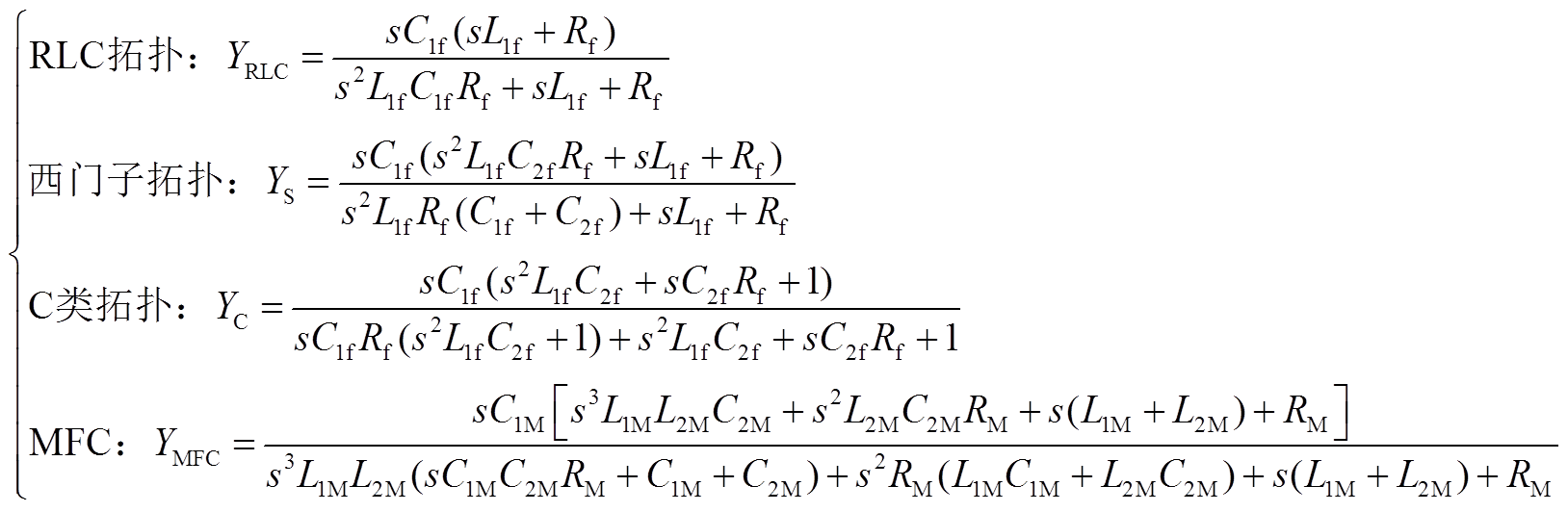
由图6可知,L1M与C1M共同构成了MFC的串联谐振支路,用于提供谐波电流通路。L1M值设定得过大会增加MFC的基频损耗,令L1MC1M支路的谐振频率不小于3次谐波,可以计算L1M的取值上限为
(5)
C1M的取值上限确定后,L1M的取值上限可以相应确定。L2M和C2M共同构成了MFC的并联谐振支路,其取值决定了MFC中高频段的端口阻抗特性,其值不应大于L1M、C1M,以免影响其低频阻抗特性。电阻RM提供了并联谐振支路的阻尼,实现对谐波电流的快速耗散,其值为0时,MFC退化为图4b所示的拓扑;其值较大时,MFC退化为图4c所示的拓扑。因此,RM的取值应结合L1M、L2M、C1M及C2M参数的上下限和系统阻尼综合设定,以保证MFC在中高频对谐振峰的有效抑制。
已知阻尼系数ξ作为表征系统谐振峰幅值的关键参数,能够有效刻画谐振抑制效果的相对强弱。然而,其取值受系统结构、电气参数分布及能量耗散机制的共同制约,难以直接确定统一数值,需要根据实际电网运行工况合理设定。因此,需要建立满足宽频振荡分析的统一量化指标,结合实际低压配电网的电磁兼容水平,提出具备工程可行性的ξ参考值,为后续MFC参数设计提供理论依据。
IEC 61000-2-2和IEC 61000-3-15分别规定了低压配电网的谐波电压限值及分布式电源并网电流的谐波限值[36-37],具体数值见表4。
表4 满足IEC 61000-3-15分布式电源并网电流谐波限值要求的系统临界阻尼系数值
Tab.4 Critical damping coefficient for compliance with DG grid-connected current harmonic limits (IEC 61000-3-15)
谐波次数低压电网谐波限值分布式电源并网电流谐波限值谐波放大倍数Φ1ξ 临界值 22210.5 353060.08 41220.25 56101.70.3 60.5240.125 7571.40.357 80.5240.125 91.553.30.15 100.5240.125 113.530.90.58 120.45824.40.115 133310.5 140.42924.70.107 150.437.50.067 160.40624.90.102 17231.50.333 180.38925.10.097 191.76131.70.294 200.37525.30.094 210.33100.05 220.36425.50.091 230.140 832.10.235 240.35425.60.089 251.27432.40.212 260.34625.80.087 270.23150.033 280.33925.90.085 291.06132.80.177 300.333260.083 310.97533.10.163 320.32826.10.082 330.23150.033 340.32426.20.081 350.83333.60.139
(续)
谐波次数低压电网谐波限值分布式电源并网电流谐波限值谐波放大倍数Φ1ξ 临界值 360.31926.30.08 370.77333.90.129 380.31626.30.079 390.23150.033 400.31326.40.078
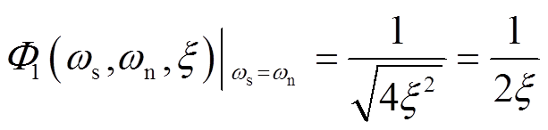
已知逆变器受到谐波扰动后的响应表达式为Φ1[9],其一般形式为
(6)
式中,ωs、ωn分别为谐波激励的角频率、系统特征根对应的自然谐振频率。
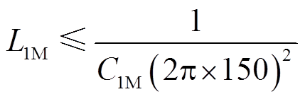
当ωs=ωn时,有
(7)
令电网谐波电压为激励,则分布式电源的并网电流为响应,二者数值的比值即为相应的谐波激励下响应的放大倍数Φ1,进而可求得满足分布式电源并网电流谐波限值要求的临界阻尼系数ξ,结果见表4。
观察表4可以发现,低压配电网中的谐波电压分布呈现一定的规律性,具体表现为:随着谐波次数的增加,谐波含量逐渐减少;相邻的奇数次谐波含量较偶数次更多,3的整数倍奇次谐波含量较少。满足分布式电源并网电流谐波限值的ξ值在奇数次谐波处较大,在偶数次谐波处较小。因此,“双高”配电网系统的极点对应的谐振频率应尽量在偶数次谐波处,且极点对应特征根的ξ≥0.2,以此满足分布式电源并网的谐波限值要求。
根据上述分析,通过合理设定MFC参数上限,可将其引入的基频损耗控制在阈值以下。参数设计应以系统特征根为优化目标,需满足:①并联MFC后系统谐振频率位于偶数次谐波附近(特征根虚部为2π×100的整数倍);②特征根对应的阻尼ξ≥0.2,以确保系统稳定性。
PSO算法作为优化算法,其收敛性较好,搜索时间更短,此前已被多次应用于无源滤波装置的参数设计[35, 38],所以选取其作为MFC参数的优化算法。具体的参数设计一般步骤如图7所示。
图7 幅频校正器参数设计一般步骤
Fig.7 General steps for designing the parameters of MFC
图2所示系统的电网等效电感为1 mH,由此可以计算MFC的参数上限,令其引入的基频损耗低于1%,则其参数上限的计算结果见表5。
表5 幅频校正器参数上限
Tab.5 Upper limit of MFC parameters
参数C1M/μFL1M/mHC2M/μFL2M/mH 数值上限1021110211
通过1.1节的分析可知,在图2所示系统的节点3处并联无源设备能够兼顾两对谐振模态的治理,将系统的节点导纳矩阵Y输入PSO算法,并将MFC的导纳表达式YMFC代入Y的节点3处(YMFC详见附录),设定粒子数为70,迭代次数为100,令C1M、C2M、L1M、L2M及RM参数的上下限分别为:[10-6, 1.02×10-4]F、[10-6, 1.02×10-4]F、[10-4, 0.011]H、[10-4, 0.011]H及[10-1, 103]Ω,设置目标函数为:矩阵Y特征根中所有共轭复根的等效阻尼系数ξ≥0.2,且共轭复根的虚部除以2π×100所得余数n为整数,迭代结果见表6。
表6 MFC参数迭代结果
Tab.6 Iteration results of MFC parameters
参数C1M /μFC2M/μFL1M/mHL2M/mHRM/Ω 数值84829.382.2930.54
为便于对比分析,选取图4c所示的C类拓扑与MFC作比较,将C类拓扑的导纳表达式YC代入PSO算法(YC详见附录),令C1f、C2f、L1f及Rf参数的上下限分别为:[10-6, 1.02×10-4]F、[10-6, 1.02× 10-4]F、[10-4, 0.022]H及[10-1, 103]Ω,其余步骤与MFC的参数迭代过程相同,迭代结果见表7。
表7 C类拓扑参数迭代结果
Tab.7 Iteration results of C-type topology parameters
参数C1f /μFC2f/μFL1f/mHRf/Ω 数值987510.37121.84
分别绘制原系统、并联MFC及并联C类拓扑后系统的频率响应曲线如图8所示。
图8 三种工况下系统的频率响应曲线对比
Fig.8 Comparative frequency response curves of the system under 3 operating conditions
观察图8可以发现,并联MFC和并联C类拓扑均能有效抑制原系统的两对谐振峰,其中长虚线代表的MFC抑制效果更好,其谐振峰幅值更低。计算原系统、并联MFC及并联C类拓扑后系统的特征根、谐振频率及ξ,结果见表8。
表8 三种工况下系统的特征根、谐振频率及阻尼系数ξ解析结果
Tab.8 Characteristic roots, resonant frequencies and damping coefficient ξ of the system under 3 operating conditions
并联谐振串联谐振 谐振特征根谐振频率/Hzξ谐振特征根谐振频率/Hzξ 原系统λ1,2 = -7.67 ± j95.62150.08λ1,2 = -15.63 ± j136.04220.11 λ3,4 = -6.53 ± j4 908.17810.001 33λ3,4 = -1.86 ± j7 269.21 1570.000 26 λ5,6 = -9.76 ± j21 5253 4260.000 45λ5,6 = -6.46 ± j25 1974 0100.000 26
(续)
并联谐振串联谐振 谐振特征根谐振频率/Hzξ谐振特征根谐振频率/Hzξ 并联MFCλ1 = -1.00——λ1 = -1.00—— λ2 = -482.12——λ2 = -481—— λ3,4 = -7.65 ± j95.56150.08λ3,4 = -15.63 ± j136.04220.11 λ5,6 = -753.84 ± j5 020.67990.15λ5,6 = -1 345.4 ± j7 514.61 1960.18 λ7,8 = -1 903.3 ± j21 3763 4020.09λ7,8 = -1 784.2 ± j25 1344 0000.07 λ9 = -190 570—— 并联C类拓扑λ1 = -1.00——λ1 = -1.00—— λ2 = -47.51——λ2 = -47.50—— λ3 = -482.11——λ3 = -481.48—— λ4,5 = -7.66 ± j95.56150.08λ4,5 = -15.63 ± j136.04220.11 λ6,7 = -482.64 ± j4 998.77950.10λ6,7 = -801.54 ± j7 489.61 1920.11 λ8,9 = -1 036.6 ± j21 5063 4220.05λ7,8 = -1 117.6 ± j25 1724 0060.04 λ10 = -759 530——
观察表8可以发现,原系统存在两对串并联谐振点,分别为:781、3 426、1 157、4 010 Hz,且特征根对应的ξ数值较小。并联MFC后,系统的谐振频率转移至799、3 402、1 196、4 000 Hz,均为偶数次谐波,且特征根对应的ξ相较原系统得到了显著提高;并联C类拓扑后,系统的谐振频率转移至795、3 422、1 192、4 006 Hz,特征根对应的ξ相较原系统得到了提高,但低于MFC对系统阻尼的提升效果,这与图8所示的结果相吻合。因此,通过合理设计无源装置的参数均能实现对原系统谐振峰的抑制,提高系统阻尼,而MFC凭借其更优异的拓扑选型,对系统阻尼的提升效果更明显,谐振峰幅值更低,验证了所提方法和算法的有效性。
4.1.1 原系统受到谐波扰动后的运行特性
在Matlab/Simulink平台搭建图2所示的逆变器多机并网系统模型,参数设置见附表1。通过表8的计算结果可知,原系统分别存在两对串并联谐振点,并联谐振点分别为781、3 426 Hz,串联谐振点分别为1 157、4 010 Hz,下面将分别验证。
在图2所示系统的节点3处并联谐波电流源,设置谐波电流的幅值为并网电流额定值的2%,谐波频率分别为781、3 426 Hz,仿真时长为0.5 s,节点1电压uC1、节点2电压uC2及节点3电压uPCC的波形及快速傅里叶变换(Fast Fourier Transform, FFT)结果如图9所示。
图9 原系统受到谐波电流扰动后各节点电压波形及FFT解析结果
Fig.9 Node voltage waveforms and FFT analysis results after harmonic current disturbance in the original system
观察图9可以发现,当电网含有背景谐波电流且频率与网络并联谐振点匹配时,系统各节点的电压波形均出现了不同程度的畸变。其中,uC1波形中的15次谐波得到了显著放大,uC2波形中的69次谐波得到了显著放大,uPCC波形中的15次和69次谐波均得到了放大。这与表1模态分析法所得结果相一致:不同振荡模态在对应参与因子最大的节点处的可激励性及可观测性最强,系统各节点电压波形畸变严重,已不满足分布式电源并网的谐波限值要求。
在电网电压处串联谐波源,设置谐波电压的幅值为电网电压额定值的2%,谐波频率分别为1 157、4 010 Hz,设置仿真时长为0.5 s,图10给出了逆变器1并网电流ig1、逆变器2并网电流ig2和总并网电流ig的波形及FFT结果如图10所示。
图10 原系统受到谐波电压扰动后各支路电流波形及FFT解析结果
Fig.10 Branch current waveforms and FFT analysis results after harmonic voltage disturbance in the original system
观察图10可以发现,当电网含有背景谐波电压且频率与网络串联谐振点匹配时,系统各支路电流波形均出现了不同程度的畸变。其中,ig1波形中的23次谐波得到了显著放大,ig2波形中的80次谐波得到了显著放大,ig波形中的23次和80次谐波均得到了放大。系统各支路电流波形畸变严重,已不满足分布式电源并网的谐波限值要求。
图9和图10的仿真结果验证了阻尼不足的“双高”配电网系统易受小扰动的谐波激励产生严重的宽频谐波振荡,系统的运行稳定性较低。
4.1.2 并联幅频校正器后系统的运行特性
在图2所示系统的节点3处并联幅频校正器,装置拓扑如图6所示,参数见表6。通过表8的计算结果可知,并联幅频校正器后,系统的并联谐振频率转移至799、3 402 Hz,串联谐振频率转移至 1 196、4 000 Hz,下面将分别进行验证。
在图2所示系统的节点3处并联谐波电流源,设置谐波电流的幅值为并网电流额定值的2%,谐波频率分别为799、3 402 Hz,仿真时长为0.5 s,此时uPCC、ig和MFC支路电流iMFC的波形及FFT结果如图11所示。
图11 并联MFC后系统受到谐波电流扰动时
、ig和
的波形及FFT解析结果
Fig.11 Waveforms and FFT analysis results of
, ig and
after harmonic current disturbance with the parallel MFC connected
观察图11可以发现,并联MFC后,当电网含有背景谐波电流且频率与网络并联谐振点匹配时,uPCC和ig均未出现谐波振荡,波形畸变程度较轻,FFT结果显示,uPCC波形中的谐波含量为1.10%,ig波形中的谐波含量为1.69%,满足分布式电源并网的谐波限值要求。观察iMFC可以发现,波形中的谐波含量较为丰富,波形畸变严重,FFT结果显示其基波幅值为6.10 A,谐波含量为15.91%,即电网中的谐波电流大多流进了MFC支路,同时,较小的电容C1隔离了绝大部分的基频电流,使得并联MFC引入的基频损耗较低。
在电网电压处串联谐波源,设置谐波电压的幅值为电网电压额定值的2%,谐波频率分别为1 196、4 000 Hz,仿真时长为0.5 s,此时uPCC、ig和iMFC的波形及FFT结果如图12所示。
图12 并联MFC后系统受到谐波电压扰动时
、ig和
的波形及FFT解析结果
Fig.12 Waveforms and FFT analysis results of
, ig and
after harmonic voltage disturbance with the parallel MFC connected
观察图12可以发现,并联MFC后,当电网含有背景谐波电压且频率与网络串联谐振点匹配时,uPCC和ig均未出现谐波振荡,波形畸变程度较轻,FFT结果显示,uPCC波形中的谐波含量为1.75%,ig波形中的谐波含量为1.74%,满足分布式电源并网的谐波限值要求。观察iMFC可以发现,波形中的谐波含量较为丰富,波形畸变严重,FFT结果显示其基波幅值为6.10 A,谐波含量为12.40%,其提供的高频谐波通路吸收了电网中的绝大部分谐波。由此验证了并联MFC对抑制“双高”配电网系统宽频谐波振荡的有效性:通过对系统振荡模态的数值解析,在关键节点处并联MFC,并合理设计其参数,能在保证基频损耗较低的前提下有效抑制系统的宽频谐波振荡,抑制系统的多模态谐振峰,提高系统阻尼,从而实现对宽频谐波振荡的抑制。
4.1.3 并联C类拓扑后系统的运行特性
在图2所示系统的节点3处并联C类拓扑,装置拓扑如图4c所示,参数见表7。通过表8的计算结果可知,并联C类拓扑后,系统的并联谐振频率转移至795、3 422 Hz,串联谐振频率转移至1 192、4 006 Hz,下面将分别验证。
在图2所示系统的节点3处并联谐波电流源,设置谐波电流的幅值为并网电流额定值的2%,谐波频率分别为795、3 422 Hz,设置仿真时长为0.5 s,此时uPCC、ig及C类拓扑支路电流iCF的波形及FFT结果如图13所示。
图13 并联C类拓扑后系统受到谐波电流扰动时
、ig和
的波形及FFT解析结果
Fig.13 Waveforms and FFT analysis results of
, ig and
after harmonic current disturbance with the parallel C-type topology connected
观察图13可以发现,并联C类拓扑后,当电网含有背景谐波电流且频率与网络并联谐振点匹配时,uPCC和ig出现了不同程度的畸变,uPCC畸变较重,波形中的谐波含量为6.16%,已不满足分布式电源并网的谐波限值要求,ig畸变较轻,波形中的谐波含量为3.55%。观察iCF可以发现,其基波幅值为8.08 A,波形中的谐波含量为26.13%,即电网中的谐波电流大多流进了C类拓扑支路,然而其抑制谐波振荡的能力有限,这与图8和表8的结果相吻合。
在电网电压处串联谐波源,设置谐波电压的幅值为电网电压额定值的2%,谐波频率分别为1 192、4 006 Hz,仿真时长为0.5 s,此时uPCC、ig和iCF的波形及FFT 结果如图14所示。
观察图14可以发现,并联C类拓扑后,当电网电压含有背景谐波且与网络串联谐振点匹配时,uPCC、ig均未出现谐波振荡,波形畸变程度较轻,FFT结果显示,uPCC波形谐波含量为3.49%,ig波形谐波含量为4.50%,满足分布式电源并网电流谐波限值的要求,但其波形中的谐波含量仍然高于并联MFC后的波形,验证了MFC相较传统的无源装置其宽频谐波振荡抑制效果更好。
图14 并联C类拓扑后系统受到谐波电压扰动时
、ig和
的波形及FFT解析结果
Fig.14 Waveforms and FFT analysis results of
, ig and
after harmonic voltage disturbance with the parallel C-type topology connected
为了验证并联MFC对抑制系统宽频振荡的一般性,在图2所示系统的基础上再并联1台逆变器,其控制框图与逆变器2一致,详细参数见附表1,MFC参数见表6。绘制并联MFC前后系统的频率响应曲线,结果如图15所示。
图15 并联MFC前后系统的频率响应曲线
Fig.15 Frequency response curves of the system before and after parallel connection of the MFC
观察图15可以发现,逆变器多机并网系统存在3对谐振峰,且峰值频率间的跨度较大,并联MFC后,3对谐振峰被显著抑制,计算并联MFC前后系统的特征根、谐振频率及ξ,结果见表9。
表9 并联MFC前后系统的特征根、谐振频率及阻尼系数ξ
Tab.9 Characteristic roots, resonant frequencies and damping coefficient ξ of the system before and after parallel connection of the MFC
并联谐振串联谐振 并联谐振特征根谐振频率/Hzξ串联谐振特征根谐振频率/Hzξ 逆变器多机并网系统λ1,2 = -4.68 ± j74.85120.06λ1,2 = -15.63 ± j136.04220.11 λ3,4 = -92.63 ± j5 229.18320.018λ3,4 = -1.86 ± j7 269.21 1570.000 26 λ5,6 = -121.59 ± j13 2822 1140.009λ5,6 = -2.54 ± j15 2752 4310.000 17 λ7,8 = -166.97 ± j23 0013 6600.007λ7,8 = -6.46 ± j25 1974 0100.000 26 λ9 = -265 350—— 并联MFCλ1 = -1.00——λ1 = -1.00—— λ2 = -481.95——λ2 = -481.48—— λ3,4 = -4.68 ± j74.85120.06λ3,4 = -15.63 ± j136.04220.11 λ5,6 = -758.30 ± j5 159.98210.15λ5,6 = -1 295.4 ± j7 062.31 1240.18 λ7,8 = -1 328.2 ± j13 2042 1010.10λ7,8 = -1 402.5 ± j15 2102 4200.09 λ9,10 = -1 781.4 ± j22 7593 6220.08λ9,10 = -1 784.2 ± j25 1344 0000.07 λ11 = -267 280——
观察表9可以发现,逆变器多机并网系统存在3对串并联谐振点,且特征根对应的ξ数值较小。并联MFC后,特征根对应的ξ相较原系统得到了显著提高,这与图15所示的结果相吻合,验证了所提方法对抑制“双高”配电网系统多模态谐振峰的有效性和一般性。
在RT_Lab硬件在环实验平台搭建逆变器多机并网系统模型,系统参数见附表1。基于RT_Lab的硬件在环实时仿真平台如图16所示。
图16 RT_Lab 硬件在环实时仿真平台
Fig.16 RT_Lab hardware-in-the-loop real-time simulation platform
通过表9的计算结果可知,逆变器多机并网系统存在三个并联谐振点,频率分别为:832、2 114、3 660 Hz,并联MFC后,并联谐振频率转移至821、2 101、3 622 Hz。在图2所示系统的节点3处并联谐波电流源,设置谐波电流的幅值为并网电流额定值的1.5%,图17和图18分别给出了并联MFC前、后系统受到谐波电流扰动时uPCC和ig的波形。
图17 原系统受到谐波电流扰动时uPCC和ig的波形
Fig.17 Waveforms of uPCC and ig in the original system under harmonic current disturbance
图18 并联MFC后系统受到谐波电流扰动时uPCC和ig的波形
Fig.18 Waveforms of uPCC and ig under harmonic current disturbance with the parallel MFC connected
观察图17和图18可以发现,原系统受到谐波电流扰动后,uPCC畸变严重,波形中的谐波分量被显著放大,已不满足分布式电源并网的谐波限值要求,ig畸变程度相对较轻,但受uPCC的影响,波形中的谐波含量也较丰富。并联MFC后,uPCC和ig均未出现谐波振荡,波形中的谐波含量较少,波形畸变程度较轻,验证了MFC抑制系统多模态并联谐振点的有效性。
通过表9的计算结果可知,逆变器多机并网系统存在三个串联谐振点,频率分别为1 157、2 431、4 010 Hz,并联MFC后,串联谐振频率转移至1 124、2 420、4 000 Hz。在电网电压处串联谐波源,设置谐波电压的幅值为电网电压额定值的1.5%,并联MFC前、后系统受到谐波电压扰动时uPCC和ig的波形分别如图19、图20所示。
图19 原系统受到谐波电压扰动时uPCC和ig的波形
Fig.19 Waveforms of uPCC and ig in the original system under harmonic voltage disturbance
图20 并联MFC后系统受到谐波电压扰动时uPCC和ig的波形
Fig.20 Waveforms of uPCC and ig under harmonic voltage disturbance with the parallel MFC connected
观察图19和图20可以发现,原系统受到谐波电压扰动后,ig畸变严重,波形中的谐波分量被显著放大,已不满足分布式电源并网的谐波限值要求,uPCC畸变程度相对较轻,但受ig的影响波形中的谐波含量也较丰富。并联MFC后,uPCC和ig均未出现谐波振荡,波形中的谐波含量较少,波形畸变程度较轻。由此验证了MFC抑制系统多模态串联谐振点的有效性及所提方法对抑制“双高”配电网系统多模态宽频谐波振荡的一般性。
本文提出一种新的无源装置——幅频校正器,用于抑制“双高”配电网的多模态宽频谐波振荡。围绕幅频校正器的拓扑、原理,结合IEC规定的低压配电网电磁兼容水平,详细给出了幅频校正器参数设计的一般步骤,通过仿真验证了所提方法抑制系统宽频谐波振荡的可行性,且相较传统的无源装置,幅频校正器具备更强的振荡抑制能力,实验部分通过一个逆变器多机并网的案例验证了所提方法对抑制“双高”配电网谐波振荡的一般性和有效性。具体得到以下结论:
1)建立了满足宽频振荡分析的统一量化指标:低压配电网中偶数次谐波的含量相对较少,系统的谐振频率若均在偶数次谐波附近,则阻尼系数ξ≥ 0.2即可满足分布式电源并网的谐波限值要求。
2)利用模态分析法和PSO算法给出了幅频校正器参数设计的一般步骤:模态分析法作为解析工具可以对系统实现简捷、快速的阻抗建模,遍历系统的谐振点并计算不同节点对谐振模态的可激励性、可观测性,进而确定并联幅频校正器的最佳节点;PSO算法作为优化算法可以针对给定的目标函数快速地给出幅频校正器的参数迭代结果。
3)验证了幅频校正器抑制“双高”配电网宽频谐波振荡的有效性和一般性:设计幅频校正器并联接入系统的关键节点,能够在不影响系统基频工作特性的前提下,显著提升系统的阻尼系数,转移系统的谐振频率,增强系统主动抑制谐波振荡的能力,针对多逆变器接入引起的宽频振荡能够实现有效抑制。
附 录
图2给出了两台逆变器并网的等效电路,现给出其详细的控制框图和逆变器多机并网系统参数,分别见附图1和附表1。
附表1 逆变器多机并网系统参数
App.Tab.1 Parameters of the multi-inverter grid-connected system
参数数值 逆变器1逆变器2逆变器3 L1/mH1.650.61 L2/mH0.4250.360.4 C/μF56715 udc/V400400400 iref/A253030 k110.026 50.028 5 k210.002 50.004 5 kPWM111 G1(s)0.25+1/s0.03+18/s0.15+1/s Lg/mH1 ug/V311 f0/Hz50 Ts/s10-6
1.2节中给出了几种用于系统宽频振荡抑制的无源装置拓扑,现给出其详细的导纳表达式。

附图1 两台不同逆变器的控制框图
App.Fig.1 Control block diagrams of two different inverters
(A1)
参考文献
[1] 康重庆, 姚良忠. 高比例可再生能源电力系统的关键科学问题与理论研究框架[J]. 电力系统自动化, 2017, 41(9): 2-11. Kang Chongqing, Yao Liangzhong. Key scientific issues and theoretical research framework for power systems with high proportion of renewable energy[J]. Automation of Electric Power Systems, 2017, 41(9): 2-11.
[2] 卓振宇, 张宁, 谢小荣, 等. 高比例可再生能源电力系统关键技术及发展挑战[J]. 电力系统自动化, 2021, 45(9): 171-191. Zhuo Zhenyu, Zhang Ning, Xie Xiaorong, et al. Key technologies and developing challenges of power system with high proportion of renewable energy[J]. Automation of Electric Power Systems, 2021, 45(9): 171-191.
[3] Zhao Mingquan, Yuan Xiaoming, Hu Jiabing, et al. Voltage dynamics of current control time-scale in a VSC-connected weak grid[J]. IEEE Transactions on Power Systems, 2016, 31(4): 2925-2937.
[4] Li Chun. Unstable operation of photovoltaic inverter from field experiences[J]. IEEE Transactions on Power Delivery, 2018, 33(2): 1013-1015.
[5] 马宁宁, 谢小荣, 贺静波, 等. 高比例新能源和电力电子设备电力系统的宽频振荡研究综述[J]. 中国电机工程学报, 2020, 40(15): 4720-4732. Ma Ningning, Xie Xiaorong, He Jingbo, et al. Review of wide-band oscillation in renewable and power electronics highly integrated power systems[J]. Proceedings of the CSEE, 2020, 40(15): 4720-4732.
[6] 姜齐荣, 王玉芝. 电力电子设备高占比电力系统电磁振荡分析与抑制综述[J]. 中国电机工程学报, 2020, 40(22): 7185-7201. Jiang Qirong, Wang Yuzhi. Overview of the analysis and mitigation methods of electromagnetic oscillations in power systems with high proportion of power electronic equipment[J]. Proceedings of the CSEE, 2020, 40(22): 7185-7201.
[7] Sun Jian. Impedance-based stability criterion for grid-connected inverters[J]. IEEE Transactions on Power Electronics, 2011, 26(11): 3075-3078.
[8] 陈新, 王赟程, 龚春英, 等. 采用阻抗分析方法的并网逆变器稳定性研究综述[J]. 中国电机工程学报, 2018, 38(7): 2082-2094, 2223. Chen Xin, Wang Yuncheng, Gong Chunying, et al. Overview of stability research for grid-connected inverters based on impedance analysis method[J]. Proceedings of the CSEE, 2018, 38(7): 2082-2094, 2223.
[9] 李戎, 李建文, 李永刚, 等. 结合特征根及模态分析法的逆变器多机并网系统谐波扰动响应分析[J]. 电工技术学报, 2024, 39(14): 4519-4534. Li Rong, Li Jianwen, Li Yonggang, et al. Analysis of harmonic disturbance response of multi-inverter grid-connected system combining characteristic root and modal analysis method[J]. Transactions of China Electrotechnical Society, 2024, 39(14): 4519-4534.
[10] Wang Xiongfei, Blaabjerg F, Loh P C. Passivity-based stability analysis and damping injection for multiparalleled VSCs with LCL filters[J]. IEEE Transactions on Power Electronics, 2017, 32(11): 8922-8935.
[11] Xie Chuan, Li Kai, Zou Jianxiao, et al. Passivity-based stabilization of LCL-type grid-connected inverters via a general admittance model[J]. IEEE Transactions on Power Electronics, 2020, 35(6): 6636-6648.
[12] 张东辉, 陈新. 基于阻抗视角的新能源发电系统宽频振荡抑制技术综述[J]. 中国电机工程学报, 2024, 44(24): 9672-9691. Zhang Donghui, Chen Xin. Overview of broadband oscillation mitigation of new energy generation power system based on impedance perspective[J]. Proceedings of the CSEE, 2024, 44(24): 9672-9691.
[13] 吴翔宇, 张晓红, 许寅, 等. 微电网(群)宽频振荡分析和抑制研究进展与展望[J]. 电网技术, 2023, 47(9): 3727-3745. Wu Xiangyu, Zhang Xiaohong, Xu Yin, et al. Research progress and prospect of wide-band oscillations analysis and suppression for microgrid (clusters)[J]. Power System Technology, 2023, 47(9): 3727-3745.
[14] 高家元, 黄帅, 姜飞, 等. 弱电网下基于比例权重的控制环参数自适应调整并网逆变器稳定性提升方法[J]. 电工技术学报, 2024, 39(24): 7846-7859. Gao Jiayuan, Huang Shuai, Jiang Fei, et al. Stability improvement method of grid-connected inverter based on proportional weight control loop parameters adaptive adjustment under weak grid[J]. Transactions of China Electrotechnical Society, 2024, 39(24): 7846-7859.
[15] 杨树德, 李旺, 徐佳, 等. 基于并网电流谐波微分的有源阻尼策略[J]. 电工技术学报, 2023, 38(23): 6305-6317. Yang Shude, Li Wang, Xu Jia, et al. Research on active damping strategy based on the differentiation of injected grid current harmonics[J]. Transactions of China Electrotechnical Society, 2023, 38(23): 6305-6317.
[16] 徐健, 曹鑫, 郝振洋, 等. 基于电网谐波电压前馈的虚拟同步整流器电流谐波抑制方法[J]. 电工技术学报, 2022, 37(8): 2018-2029. Xu Jian, Cao Xin, Hao Zhenyang, et al. A harmonic-current suppression method for virtual synchronous rectifier based on feedforward of grid harmonic voltage[J]. Transactions of China Electrotechnical Society, 2022, 37(8): 2018-2029.
[17] Harnefors L, Wang Xiongfei, Yepes A G, et al. Passivity-based stability assessment of grid-connected VSCs: an overview[J]. IEEE Journal of Emerging and Selected Topics in Power Electronics, 2016, 4(1): 116-125.
[18] 杨明, 杨倬, 李玉龙, 等. 弱电网下基于电网电压前馈的并网逆变器阻抗重塑控制策略[J]. 电工技术学报, 2024, 39(8): 2553-2566. Yang Ming, Yang Zhuo, Li Yulong, et al. Impedance remodeling control strategy of grid-connected inverter based on feedforward voltage under weak grid[J]. Transactions of China Electrotechnical Society, 2024, 39(8): 2553-2566.
[19] 陈杰, 章新颖, 闫震宇, 等. 基于虚拟阻抗的逆变器死区补偿及谐波电流抑制分析[J]. 电工技术学报, 2021, 36(8): 1671-1680. Chen Jie, Zhang Xinying, Yan Zhenyu, et al. Dead-time effect and background grid-voltage harmonic suppression methods for inverters with virtual impedance control[J]. Transactions of China Electrotechnical Society, 2021, 36(8): 1671-1680.
[20] 谢志为, 陈燕东, 伍文华, 等. 弱电网下多逆变器并网系统的全局高频振荡抑制方法[J]. 电工技术学报, 2020, 35(4): 885-895. Xie Zhiwei, Chen Yandong, Wu Wenhua, et al. A global high-frequency oscillation suppression method for multi-inverter grid-connected system in weak grid[J]. Transactions of China Electrotechnical Society, 2020, 35(4): 885-895.
[21] Ding Dong, Liu Jiang, Song Weizhang, et al. Extended application of improved D-D-Σ current control in synchronous inverter cluster considering N times equivalent impedance[J]. IEEE Transactions on Circuits and Systems I: Regular Papers, 2024, 71(3): 1346-1357.
[22] Liu Jiang, Sun Xiangdong, Chen Zechi, et al. A hybrid multiresonances suppression method for nonsynchronous LCL-type grid-connected inverter clusters under weak grid[J]. IEEE Transactions on Power Electronics, 2024, 39(5): 5386-5399.
[23] 彭意, 郭春义, 杜东冶. 柔性直流输电的阻抗重塑及中高频振荡抑制方法[J]. 中国电机工程学报, 2022, 42(22): 8053-8063. Peng Yi, Guo Chunyi, Du Dongye. Research on medium and high frequency oscillation suppression approach based on impedance tuning in flexible HVDC system[J]. Proceedings of the CSEE, 2022, 42(22): 8053-8063.
[24] 侯延琦, 刘崇茹, 王宇, 等. 柔性直流输电系统高频振荡抑制策略研究[J]. 中国电机工程学报, 2021, 41(11): 3741-3751. Hou Yanqi, Liu Chongru, Wang Yu, et al. Research on the suppression strategy of high-frequency resonance for MMC-HVDC[J]. Proceedings of the CSEE, 2021, 41(11): 3741-3751.
[25] Abdel Aleem S H E, Zobaa A F, Abdel Aziz M M. Optimal C-type passive filter based on minimization of the voltage harmonic distortion for nonlinear loads[J]. IEEE Transactions on Industrial Electronics, 2012, 59(1): 281-289.
[26] Gerçek C Ö, Ermis M, Ertas A, et al. Design, implementation, and operation of a new C-type 2nd harmonic filter for electric arc and ladle furnaces[J]. IEEE Transactions on Industry Applications, 2011, 47(4): 1545-1557.
[27] Zou Changyue, Rao Hong, Xu Shukai, et al. Analysis of resonance between a VSC-HVDC converter and the AC grid[J]. IEEE Transactions on Power Electronics, 2018, 33(12): 10157-10168.
[28] 张东辉, 陈新, 杨舒婷, 等. 含静止无功补偿装置的光伏电站高频谐振分析及抑制策略研究[J]. 中国电机工程学报, 2023, 43(24): 9580-9594. Zhang Donghui, Chen Xin, Yang Shuting, et al. Analysis of high-frequency resonance and suppression strategy of photovoltaic power plant with static reactive power compensation device[J]. Proceedings of the CSEE, 2023, 43(24): 9580-9594.
[29] 张前进, 周林, 李海啸, 等. 考虑SVG补偿装置的大型光伏并网系统振荡分析与抑制[J]. 中国电机工程学报, 2019, 39(9): 2636-2644. Zhang Qianjin, Zhou Lin, Li Haixiao, et al. Oscillation analysis and suppression of large-scale grid-connected photovoltaic system considering SVG equipment[J]. Proceedings of the CSEE, 2019, 39(9): 2636-2644.
[30] Wang Shaoyang, Li Yong, Zhang Mingmin, et al. Harmonic resonance suppression with inductive power filtering method: case study of large- scale photovoltaic plant in China[J]. IEEE Transactions on Power Electronics, 2023, 38(5): 6444-6454.
[31] 徐文远, 张大海. 基于模态分析的谐波谐振评估方法[J]. 中国电机工程学报, 2005, 25(22): 89-93. Xu Wilsun, Zhang Dahai. A modal analysis method for harmonic resonance assessment[J]. Proceedings of the CSEE, 2005, 25(22): 89-93.
[32] 舒万韬, 洪芦诚, 刘宁波, 等. 多逆变器并网谐振特性分析[J]. 中国电机工程学报, 2018, 38(17): 5009-5019, 5298. Shu Wantao, Hong Lucheng, Liu Ningbo, et al. An analysis on resonance characteristics of multi-inverters grid-connected system[J]. Proceedings of the CSEE, 2018, 38(17): 5009-5019, 5298.
[33] Pereira M, Retzmann D, Lottes J, et al. SVC PLUS: an MMC STATCOM for network and grid access applications[C]//2011 IEEE Trondheim PowerTech, Trondheim, Norway, 2011: 1-5.
[34] Zamani M A, Moghaddasian M, Joorabian M, et al. C-type filter design based on power-factor correction for 12-pulse HVDC converters[C]//2008 34th Annual Conference of IEEE Industrial Electronics, Orlando, FL, USA, 2008: 3039-3044.
[35] Das J C. 无源滤波器设计[M]. 于海波, 译. 北京: 机械工业出版社, 2019.
[36] Electromagnetic Compatibility (EMC)-Environment-Compatibility levels for low-frequency conducted disturbances and signalling in public low-voltage power supply systems: DS/EN 61000-2-2: 2002/A2: 2019[S]. Danish Standards, 2019.
[37] Electromagnetic Compatibility (EMC)-Part 3-15: Limits-assessment of low frequency electromagnetic immunity and emission requirements for dispersed generation systems in LV network: IEC/TR 61000-3-15[S]. IEC, 2011.
[38] 袁晓辉, 王乘, 张勇传, 等. 粒子群优化算法在电力系统中的应用[J]. 电网技术, 2004, 28(19): 14-19. Yuan Xiaohui, Wang Cheng, Zhang Yongchuan, et al. A survey on application of particle swarm optimizationto electric power systems[J]. Power System Technology, 2004, 28(19): 14-19.
Abstract In power systems with high renewable penetration and high power-electronics integration (“dual-high”), multi-modal broadband harmonic oscillations pose a serious threat to secure and stable operation. Station-level shunt-based passive damping methods are independent of source-side topology and parameters, providing stronger targeting capability and greater flexibility. However, existing approaches primarily constrain the phase of the original system impedance, with limited impact on suppressing resonance peak magnitudes. Accordingly, directing particular attention to the magnitude–frequency characteristics of the port impedance, with the explicit objective of attenuating resonance peak magnitudes, could enable strategic reshaping of the system impedance via shunt devices, providing a promising means of mitigating broadband harmonic oscillations caused by the interaction between background harmonics and the impedance network.
In “dual-high” systems, multi-modal resonance peaks arise from the coupling of multiple LC passive networks. These peaks correspond to the eigenvalues of the impedance transfer function, and the associated damping coefficients quantitatively characterize the relative strength of the suppression effect. However, damping coefficients are jointly constrained by system structure, electrical parameter distribution, and energy dissipation mechanisms, making it difficult to set a unified value; therefore, they should be determined based on actual operating conditions.
Based on a comparative analysis of three commonly used passive oscillation suppression devices, this paper proposes a novel topology—magnitude–frequency corrector (MFC). The port characteristics of the proposed device are complementary to those of a multi-inverter grid-connected system. Proper design of the inductance and capacitance parameters of the MFC, combined with parallel connection at the system’s key nodes, can weaken the broadband inductive characteristics of the original system’s port impedance, thereby suppressing resonance peaks. In alignment with IEC specified electromagnetic compatibility standards for low-voltage distribution networks, a unified quantitative indicator for broadband oscillation analysis is established and adopted as the objective function for MFC parameter optimization. Modal analysis method is used to identify key nodes for oscillation suppression, and particle swarm optimization (PSO) is applied to optimize parameters. Comparison of the system’s frequency response curves before and after MFC integration demonstrates that the MFC effectively suppresses multi-modal resonance peaks. Simulation results confirm that incorporating the shunt MFC enhances the system’s capability to actively suppress harmonic oscillations. Experiments on a multi-inverter grid-connected system further demonstrate the generality and effectiveness of the proposed method in suppressing multi-modal broadband harmonic oscillations in “dual-high” distribution networks.
The main contributions and conclusions of this paper are as follows:
(1) A unified quantitative indicator for broadband oscillation analysis is established: in low-voltage distribution networks with relatively low even-order harmonic content, if all resonance frequencies are close to even-order harmonics, a damping coefficient of ξ≥0.2 would be sufficient to comply with the harmonic limit requirements for the grid connection of distributed generation.
(2) A parameter design method for the MFC targeting suppression of multi-modal resonance peaks is proposed: modal analysis method identifies key nodes for oscillation suppression, and PSO is employed to obtain optimal parameters for improving the system damping.
(3) The feasibility of reshaping the system impedance based on port impedance magnitude–frequency characteristics using station-level shunt passive devices is verified: connecting the MFC in parallel at the system’s key nodes effectively suppresses multi-modal resonance peaks, significantly improves system damping, and shifts resonance frequencies, all without affecting fundamental-frequency operation. This enables effective suppression of broadband oscillations induced by the integration of multiple inverters.
Keywords:Distribution networks, harmonic oscillations, electromagnetic compatibility, multi-inverter grid-connected system
DOI: 10.19595/j.cnki.1000-6753.tces.250394
中图分类号:TM71
中央高校基本科研业务费专项资金资助项目(2024MS111)。
收稿日期 2025-03-12
改稿日期 2025-05-21
李 戎 男,1998年生,博士研究生,研究方向为变流器谐波劣化分析、宽频振荡抑制等。E-mail:lr_ncepu@163.com
李建文 女,1983年生,博士,副教授,研究方向为新型配电网下电能质量分析与治理,重力储能技术及其在新型电力系统的应用等。E-mail:ljw_ncepu@163.com(通信作者)
(编辑 赫 蕾)