摘要 基于匹配控制的构网型直驱风电机组(GFM-DDWT)接入跟网型直驱风电机组(GFL-DDWT)并网系统后,GFM-DDWT对形成的混合风电场的阻抗特性与次/超同步振荡的影响机理尚不明确,相关影响因素也尚不明晰。针对该问题,该文首先建立基于匹配控制的GFM-DDWT、GFL-DDWT和交流电网的序阻抗模型,并通过阻抗扫频验证解析模型的准确性;其次推导考虑线路阻抗时阻抗网络的稳定性判定条件,并从阻抗角度揭示GFM-DDWT对混合风电场并网系统次/超同步振荡的影响机理;最后分析不同运行参数下系统稳定性的变化情况。结果表明:接入GFM-DDWT能够通过影响电网等效阻抗降低混合风电场互联系统发生次/超同步振荡的风险;在GFM-DDWT固定占比下,改变GFL-DDWT锁相环带宽、电压环控制带宽等关键控制参数能够进一步降低次/超同步振荡风险。
关键词:匹配控制 混合直驱风电场 阻抗分析法 并网稳定性
随着“双碳”战略目标的提出,可再生能源渗透率不断增大,交流电网呈现低短路比、弱惯量的特征。传统的跟网型直驱风电机组(Grid-Following Direct-Drive Wind Turbines, GFL-DDWT)在电网强度较弱时,极易引发次/超同步振荡问题,国内外均发生过此类由风电并网引发的振荡事故[1-2],给电网的安全稳定运行带来严峻挑战。与GFL-DDWT不同,构网型直驱风电机组(Grid-Forming Direct-Drive Wind Turbines, GFM-DDWT)具备良好的电压、频率支撑能力[3-4],在极弱电网中仍能保持稳定运行。凭借其良好的弱电网稳定性,GFM-DDWT逐步成为国内外众多研究者的关注焦点[5-7]。GFL-DDWT和GFM-DDWT混合运行成为未来风电场建设的一个具有技术优势的方案,其并网系统的小干扰稳定性问题备受关注。
构网型控制主要包括匹配控制、虚拟同步发电机(Virtual Synchronous Generator, VSG)控制、下垂控制等方式[8],本质上可以等效为电压源,克服了跟网型控制低惯量、弱阻尼的问题。下垂控制和虚拟同步机控制直接反映了同步发电机的功角运动特征,而匹配控制(也称惯性同步控制)通过直流母线电压匹配电网相位并间接调节功率,对电网具有更好的适应性[9-11]。当前研究中针对各控制方式在风电系统中的应用各有侧重。对于VSG控制,多针对其低频振荡特性进行研究,而次同步振荡问题研究较少[12-15]。对于匹配控制,其次同步振荡特性受到关注。文献[16]采用特征值法分析基于匹配控制的GFM-DDWT并网系统的模态和参与因子,表明系统在弱电网中能稳定运行,而在强电网中存在次同步振荡风险。文献[17]分析匹配控制型直驱风机与电网的交互稳定性,提出了一种抗干扰控制策略,使其具有良好的强、弱电网适应能力。以上研究表明,基于匹配控制的GFM-DDWT在弱电网并网条件下具有良好的适应性。
对于构网型机组衍生的混合系统的小干扰稳定性问题,现有研究主要围绕VSG控制策略展开,缺乏针对匹配控制的研究。文献[18]研究VSG换流器与双馈风电场并联系统的小信号稳定性问题,结果表明VSG电压控制与双馈风机电流控制存在环路开环模态谐振现象。文献[19]通过特征值分析VSG控制GFM-DDWT对GFL-DDWT的影响,结果表明VSG控制能够有效地降低次同步振荡风险,但缺乏物理层面的解释。文献[20-21]分别研究了VSG控制GFM-DDWT占比变化时,混合风电场的稳定域和临界等效短路比的变化,结果表明增大GFM风机占比能够提高混合风电场的弱电网适应性。文献[22]在弱电网场景下,研究构网型和跟网型变流器容量配比的估算方法,并给出了适应实际工程的配比典型值范围。文献[23]研究了基于VSG的构网型变流器改善跟网型变流器次/超同步振荡稳定性的机理,结果表明构网型变流器的“正电阻”能够削弱跟网型变流器引入的负阻尼特性。但并未对相关影响因素进行深入分析。鉴于匹配控制和VSG控制在结构上存在差异,现有文献对匹配控制型GFM-DDWT影响混合风电场次/超同步振荡的研究参考价值有限,因此有必要针对该问题展开研究。
目前针对构网/跟网次/超同步振荡的研究方法主要有特征值分析法、阻抗分析法等,其中阻抗分析法是一种基于系统端口阻抗模型的分析方法,具有明确的物理意义,可应用于解释系统振荡的发生机理[24-27]。国内外多篇文献建立了跟网型和VSG控制的构网型变流器、直驱风机、模块化多电平变流器等设备的序阻抗模型[28-31],并对其稳定性展开研究。然而,对于由GFL-DDWT和基于匹配控制的GFM-DDWT构成的混合风电场的阻抗特性和次/超同步振荡问题,尚未有研究涉及。鉴于此,本文采用阻抗分析法,通过推导混合风电场等值阻抗网络的阻抗稳定性判据,揭示基于匹配控制的GFM-DDWT接入对传统GFL-DDWT并网系统次/超同步振荡的影响机理,并深入分析GFM-DDWT容量、线路长度以及GFL-DDWT控制参数对系统次/超同步振荡特性的影响。
本文采用阻抗分析法分析混合风电场的阻抗特性,并对其次/超同步振荡机理展开研究。首先,介绍所采用的匹配控制、跟网型控制以及待研混合风电场拓扑结构;其次,采用谐波线性化方法建立混合风电场并网系统各端口阻抗模型;然后,建立考虑线路阻抗时并网系统阻抗网络的阻抗稳定性判定条件,并从阻抗角度揭示匹配控制型GFM-DDWT对混合风电场并网系统次/超同步振荡的影响机理;最后,从阻抗特性和电磁暂态时域响应两个角度,分析不同运行参数下系统稳定性的变化。
含GFL-DDWT和GFM-DDWT的混合直驱风电场并网系统结构如图1所示。
图1 混合直驱风电场模型示意图
Fig.1 Schematic diagram of hybrid direct drive wind farm model
GFL-DDWT和GFM-DDWT分别由单台额定容量为2.5 MW的直驱风机采用单机聚合等值构成。两台等值风电机组出口经升压变压器升至35 kV,并通过35 kV集电线路连接至公共连接点(Point of Common Coupling, PCC),在PCC处经35 kV/110 kV升压站升压至110 kV,再经过风电场并网点并入110 kV电网。电网侧由理想电压源串联等值阻抗表示。
图1中,R1、R2表示集电线路电阻,L1、L2表示集电线路电抗,Rg、Lg分别表示电网等值电阻和等值电感。
本文以短路比(Short Circuit Ratio, SCR)[23]反映电网强度,表示为
(1)
式中,SN为系统输送容量;UN为电网额定电压;Zg为交流系统等值阻抗。
GFL-DDWT和GFM-DDWT的拓扑结构和控制策略具体如图2所示。
GFL-DDWT网侧变流器采用电网电压定向的矢量控制,利用锁相环跟踪交流电网电压的频率和相位来实现与电网的同步,再通过直流电容电压外环、电流内环生成调制信号参考值,最终输出至IGBT开关信号。GFM-DDWT采用基于匹配控制的构网型控制方式。匹配控制基于直流电容电压动态方程与同步发电机转子动态方程的相似性,通过类比控制使新能源机组对电网呈现同步机“电压源”外特性,并跟踪电网相位。采用无功功率控制外环、电压电流双环控制生成调制信号。
图2 混合直驱风电场拓扑结构及控制策略
Fig.2 Topology and control strategy of hybrid direct drive wind farm
图2中,N1、N2分别为跟网型直驱风机和构网型直驱风机的台数;Cdc1、Cdc2、vdc1、vdc2分别为直流母线电容、电压;Lf1、Lf2为电感滤波器的等效电感;k1、k2、k3分别为箱式变压器和二级变压器的电压比;vabc1、vabc2和iabc1、iabc2分别为滤波器处三相电压和电流;viabc1、viabc2为网侧变流器出口的三相交流电压;mabc1、mabc2为控制输出的电压调制信号;qpll为锁相环输出相位;qpp为匹配控制输出相位;Q为vabc2点测得无功功率;vn为并网点额定相电压;vdc0为稳态时直流母线电压;wn为电网额定角速度。控制环节均在dq轴下使用PI控制,下标ref、dq分别用于表示参考值、dq坐标下的参数。
为分析GFM-DDWT接入对GFL-DDWT并网系统稳定性的影响,采用谐波线性化方法[17]分别建立基于匹配控制的GFM-DDWT、GFL-DDWT和等值电网在35 kV侧的端口序阻抗模型。
基于PSCAD/EMTDC电磁暂态仿真平台搭建混合风电场并网系统仿真模型,对各子系统分别进行阻抗扫频验证。主电路参数和控制参数见附表1。
基于匹配控制的GFM-DDWT的阻抗建模主要包括主电路建模、直流母线建模、匹配控制环节建模以及控制环节建模。首先需要建立各电气量的稳态频率向量和小信号频率向量。以A相电压为例,在并网点处施加频率为fp的正序小信号电压扰动,将A相电压各稳态分量按稳态频率序列-2f1、-f1、0、f1、2f1的顺序排列成5行列向量,小信号分量按小信号频率序列fp-2f1、fp-f1、fp、fp+f1、fp+2f1的顺序排列成5行列向量,其稳态分量和小信号分量表示为
(2)
(3)
式中,Va2为A相并网点电压稳态列向量;
为交流电压频率为f1的稳态分量,其大小为基频相电压的幅值的
,初相位为0°;va2为A相并网点电压小信号分量,列向量中各变量对应各频率分量。A相并网点电流、A相调制电压、A相变流器出口电压和直流母线电压对应稳态分量和小信号分量定义与之类似,具体表达式见附录式(A1)和式(A2)。
将风力发电机和机侧变流器等效为理想电流源Idc,根据交、直流端口功率平衡关系,得到直流母线频域小信号模型为
(4)
式中,s为拉普拉斯算子,s=j2πfp,后续公式中s含义相同;
为卷积运算。
整理得到直流母线电压、调制电压和交流电流的小信号之间关系的矩阵表达式为
(5)
式中,B1、B2为五阶方阵,B1和B2分别反映电压小信号和电流小信号产生的直流母线电压小信号。限于篇幅,矩阵B1、B2的具体表达式见附录式(A3)和式(A4),本节中相关矩阵的具体表达式均在附录中给出。
由图2可知,via2和va2的压差作用于滤波电感Lf2,产生并网点电流ia2,由此得到主电路A相频域小信号模型为
(6)
式中,ZLf2为小信号频率序列下交流滤波电感阻抗,ZLf2=j2πLf2·diag[fp-2f1, fp-f1, fp, fp+f1, fp+2f1]。
由图2得到匹配控制输出相位小信号分量qpp的表达式为
(7)
式中,Gpp(s)为匹配控制传递函数,Gpp(s)=ωn/(svdc0);s1=j2π(fp-f1),后续公式中s1含义相同。
由PWM调制原理可得A相调制电压的小信号表达式为
(8)
式中,Km为调制系数,Km=1/vdc0。
根据派克逆变换公式,得到A相调制信号的表达式为
(9)
式中,F2、F3、F4为五阶方阵,具体表达式见附录式(A5)~式(A7)。
联立式(7)、式(8)和式(9),得到A相调制电压的小信号表达式及其中各矩阵表达式为
(10)
式中,F5、F6、F7为五阶方阵,具体表达式见附录式(A8)。
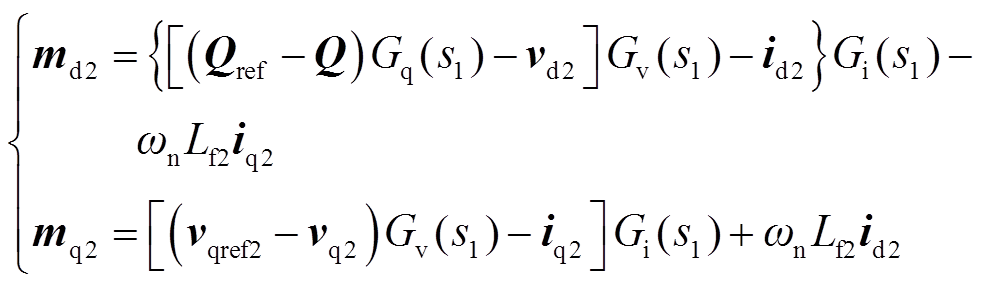
由图2所示控制结构得到dq轴电压调制信号的小信号分量的表达式为
(11)
式中,Gq(s)、Gv(s)和Gi(s)分别为无功控制、电压控制和电流控制中PI控制传递函数,Gq(s)=kpq+kiq/s、Gv(s)=kpv+kiv/s、Gi(s)=kpi+kii/s。
将式(11)进一步整理为矩阵的形式,得到dq轴调制信号md、mq与dq轴电压、电流的关系式为
(12)
式中,矩阵H的具体表达式见附录式(A10)。
根据派克变换,得到交流电流和电压的dq轴小信号向量表达式为
(13)
(14)
式中,id0、iq0分别为d、q轴电流初始值;vd0、vq0分别为d、q轴电压初始值。矩阵C2和C4的表达式具体见附录式(A11)和式(A12)。
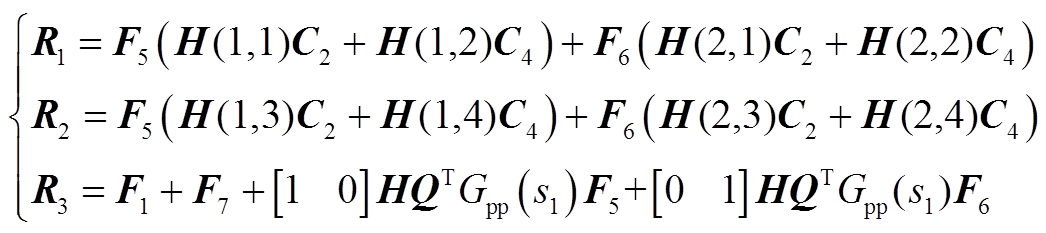
将式(13)和式(14)代入式(12)后与式(10)联立,得到A相调制电压的小信号表达式为
(15)
式中,R1、R2、R3为五阶方阵,R1和R2分别为并网点电压、电流到变流器出口电压的传递关系矩阵,R3反映直流母线电压小信号到变流器出口电压小信号的传递关系,具体表达式见附录式(A13)。
联立式(5)、式(15)和式(6),化简得到GFM-DDWT的端口导纳矩阵为
(16)
式中,I为单位矩阵。
根据矩阵对应的频率分量,可以得到GFM-DDWT的正序阻抗为
(17)
GFM-DDWT单台机组阻抗的扫频值与理论模型的阻抗特性曲线对比如图3所示。

图3 GFM-DDWT阻抗特性曲线对比
Fig.3 Verification of GFM-DDWT impedance analysis model
由图3可知,理论曲线与阻抗扫频点吻合良好,验证了GFM-DDWT阻抗解析模型的正确性。此外,GFM-DDWT阻抗幅值特性曲线在基频处存在谐振峰,相位特性曲线全频段基本呈感性,部分次/超同步频段呈容性,不存在容性负阻尼区域。
由于文献[31]已经对GFL-DDWT的阻抗模型进行了详细推导,故本文不再展开。按文献[31]的建模过程,根据GFL-DDWT的主电路和控制结构,推导得到GFL-DDWT交流端口导纳矩阵可表示为
(18)
式中,U为单位矩阵;其余各矩阵的表达式见附录式(A14)~式(A18)。
根据矩阵对应的频率分量,可以得到GFL-DDWT的正序阻抗为
(19)
GFL-DDWT单台机组的扫频值与理论推导的阻抗特性曲线对比如图4所示。

图4 GFL-DDWT阻抗特性曲线对比
Fig.4 Verification of GFL-DDWT impedance analysis model
由图4可知,理论曲线与阻抗扫频点吻合良好,验证了GFL-DDWT阻抗解析模型的正确性。此外,GFL-DDWT幅值特性曲线存在50 Hz的谐振峰,相位特性曲线整体呈感性,但在部分次/超同步频段呈容性,且在频段41~49 Hz、频段60~78 Hz内存在容性负阻尼。
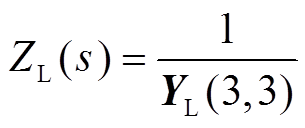
外部电网可等效为理想电压源串联阻抗的形式,其阻抗可表示为
(20)
式中,Rg、Lg分别为外部电网等效电阻、电感。
外部电网的阻抗特性主要呈阻感性,其幅值和相位随频率的增加而增加。
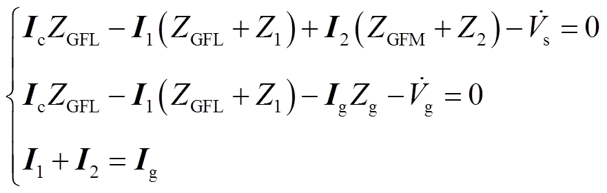
图1中GFL-DDWT和GFM-DDWT共同接入的混合直驱风电场并网系统可以等效为如图5所示的等值阻抗模型。GFL-DDWT对外等值为电流源,因此采用诺顿电路将其等效为电流源与阻抗并联的形式;GFM-DDWT对外等值为电压源,因此采用戴维南电路将其等效为电压源与输出阻抗串联的形式。混合风电场并网系统的稳定性由GFL-DDWT、GFM-DDWT和外部电网共同决定。
图5 混合风电场并网系统等值阻抗模型
Fig.5 Equivalent impedance model of hybrid wind farm grid connected system
图5中,I1为GFL-DDWT输出电流;I2为GFM-DDWT输出电流;Ig为混合风电场流入电网的电流;ZGFL表示N1台GFL-DDWT并联后的等值阻抗,ZGFL=ZL/N1;ZGFM表示N2台GFM-DDWT并联后的等值阻抗,ZGFM=ZM/N2;Z1和Z2分别表示GFL-DDWT和GFM-DDWT并网35 kV集电线路等值阻抗;Zg表示电网等值阻抗;Ic表示GFL-DDWT等效电流源;Vs表示GFM-DDWT等效电压源。
根据阻抗网络电路模型,以I1为分析目标,分析GFM-DDWT接入对GFL-DDWT并网系统稳定性的影响。由图5可知,根据基尔霍夫电压定律得到各支路电流的关系式为
(21)
整理得到I1与各子系统阻抗的关系可以表示为
(22)
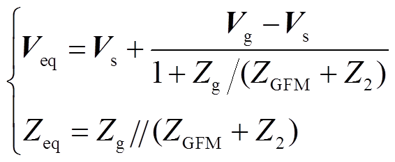
式中,
为GFM-DDWT单独并网时的并网点电压;Zeq为网侧等值阻抗。具体表达式为
(23)
式(22)可视为三个闭环传递函数相乘,将其分别记为
(24)
I1的稳定性就由TF1、TF2和TF3共同决定,即当且仅当TF1、TF2和TF3极点均位于左半平面时,系统稳定。
对于TF1,以理想电网下GFL-DDWT稳定运行为既定条件,则Ic、1/ZGFL极点均位于左半平面。因此,TF1稳定性取决于Veq。而由式(23)可知,Veq的物理意义为GFM-DDWT单独并网时的并网点电压。因此,当GFM-DDWT单独并网稳定时,Veq极点均位于左半平面,进而TF1所有极点均位于左半平面。由对TF1的分析可知,当GFL-DDWT在理想电网下稳定运行、GFM-DDWT单独并网时稳定运行时,传递函数TF1稳定。
TF2和TF3均为前向增益为1的闭环传递函数,其稳定性可以通过对其开环传递函数应用Nyquist判据进行判断。对于TF2,当开环传递函数Z1/ZGFL满足Nyquist判据时,TF2所有极点均位于左半平面。对于TF3,当开环传递函数Zeq/(ZGFL+Z1)满足Nyquist判据时,TF3所有极点均位于左半平面。
综上所述,由式(22)分析得到当且仅当混合风电场并网系统同时满足以下条件时,I1稳定:①GFL-DDWT在理想电网下能稳定运行;②GFM-DDWT单独并网时稳定运行;③阻抗比Z1/ZGFL满足Nyquist稳定性判据;④阻抗比Zeq/(ZGFL+Z1)满足Nyquist稳定性判据。
根据第2节的阻抗特性分析,在弱电网并网条件下,当GFL-DDWT与电网阻抗幅值特性曲线交点位于其容性负阻尼区间时,系统存在次/超同步振荡风险;而若GFM-DDWT阻抗特性曲线不存在容性负阻尼区间,则不存在与感性弱电网发生振荡的风险,即GFM-DDWT单独并网时能够稳定运行,可以满足条件②。
条件③阻抗比Z1/ZGFL是否满足Nyquist稳定性判据可以通过Z1和ZGFL的阻抗伯德图判断,具体如图6所示。由图6可知,由于传输线路阻抗较小,阻抗比Z1/ZGFL相当于GFL-DDWT单独接入强交流电网时的稳定性,此时二者幅频特性曲线不存在交点,因此阻抗比Z1/ZGFL稳定,即满足条件③。
图6 线路阻抗与GFL-DDWT阻抗伯德图
Fig.6 Bode plot of line impedance and GFL-DDWT impedance
综上所述,当混合风电场接入弱交流电网时,系统的稳定性取决于阻抗比Zeq/(ZGFL+Z1)是否满足Nyquist稳定性判据。该稳定性判据从物理意义的角度可以解释为:由于GFM-DDWT对外表现为电压源,当其接入GFL-DDWT并网系统时等效于在电网侧并联了阻抗ZGFM+Z2。GFM-DDWT通过影响网侧等值阻抗的阻抗特性对GFL-DDWT并网系统的稳定性产生影响。
令Zgfl=ZGFL+Z1,则Zgfl与Zeq的Nyquist稳定性判据可以等效转变成阻抗伯德图判据:若二者阻抗幅值特性曲线交点频率处相位差大于180°,即相位裕度小于0,则系统振荡失稳。
本小节首先采用阻抗分析法对GFL-DDWT和GFM-DDWT单独并网时的次/超同步振荡特性进行分析,然后基于第3节所建立的三端口阻抗网络稳定性判据分析不同容量的GFM-DDWT并网对于混合风电场并网系统次/超同步振荡的影响机理。本小节所用分析模型同样采用单机倍乘得到,单机容量均为2.5 MW。
根据附表1所示参数得到GFL-DDWT单独并网的阻抗特性曲线如图7所示,其中GFL-DDWT的并网台数N1=100,弱电网SCR=2.87、强电网SCR= 5.16。
图7 GFL-DDWT单独并网的阻抗特性曲线
Fig.7 Impedance characteristic curve of GFL-DDWT separately connected to the grid
由图7可知,GFL-DDWT和感性弱电网阻抗幅值特性曲线在72 Hz处存在交点,对应相位差为197°,相位裕度为-17°。由于相位裕度小于零,系统在该频率下呈现容性负阻尼,因此GFL-DDWT单独并入弱交流电网时会存在以72 Hz为主的次/超同步振荡现象,系统振荡失稳。当GFL-DDWT单独并入强交流电网时,二者幅值交点频率处对应相位裕度大于零,系统能够保持稳定。
在相同并网条件下得到GFM-DDWT单独并网的阻抗特性曲线如图8所示。
图8 GFM-DDWT单独并网的阻抗特性曲线
Fig.8 Impedance characteristic curve of GFM-DDWT separately connected to the grid
对于GFM-DDWT,由于其阻抗相位特性曲线不存在容性负阻尼区域,因此其接入感性电网时失稳风险较低。由图8可知,GFM-DDWT单独并网时与电网的幅值特性曲线在60 Hz左右存在交点,但对应频率的相位差小于180°,相位裕度大于0,系统仍可以保持稳定运行,即电网强度发生变化时不存在发生振荡的风险。
由上述分析可知,在弱电网并网条件下,GFM-DDWT的阻抗特性更具有优势,系统振荡风险小,而GFL-DDWT发生次/超同步振荡的风险较高。结合工程实际,在高比例新能源发电的新型电力系统中系统短路比较低,电网强度较弱。因此,本文后续以弱电网为典型场景分析GFM-DDWT接入对传统GFL-DDWT并网系统稳定性的影响。
4.2.1 GFM-DDWT接入对系统振荡的影响机理
基于第3节推导得到的阻抗稳定性判据对GFM-DDWT接入后GFL-DDWT并网系统的稳定性影响展开研究。在满足条件①~③的前提下,可以通过阻抗比Zeq/Zgfl是否均满足Nyquist判据来分析混合风电场并网系统的稳定性。根据阻抗稳定判据,Zeq与Zgfl幅值交点所对应的相位差在180°附近即存在振荡风险。
向GFL-DDWT并网系统中并联接入N2=30台GFM-DDWT后,得到混合场站的阻抗特性曲线如图9所示。
图9 N2=30时,混合风电场并网系统阻抗特性曲线
Fig.9 Impedance characteristic curve of hybrid wind farm grid connected system at N2=30
由图9可知,GFM-DDWT接入后,电网侧等值阻抗Zeq的幅值特性曲线在次/超同步频段内降低,相位特性曲线在部分超同步频段内降低。当其与GFL-DDWT并联时,二者幅值特性曲线的交点频率增大,对应相位差由197°减小为159°,系统由次/超同步不稳定状态变为稳定状态。
GFM-DDWT抑制GFL-DDWT次/超同步振荡的作用机理为:接入GFM-DDWT后电网侧等效阻抗的幅值在次/超同步频段内降低,谐振频率发生偏移使得GFL-DDWT和等值电网间的相位裕度增加,系统稳定性提高。同时从物理意义的角度,由于GFM-DDWT对外等效为电压源,因此网侧相当于由两个电压源串联等值阻抗后并联构成,等效为电网强度增强,更有利于GFL-DDWT稳定运行。
4.2.2 GFM-DDWT占比对系统振荡的影响
为进一步分析GFM-DDWT占比对系统稳定性的影响,从GFL-DDWT容量不变和混合风电场总容量不变两方面进行详细研究。
在保持GFL-DDWT容量不变的条件下,分别设置N2为10、20、30、40(对应附表2工况2~5),得到不同条件下混合风电场的阻抗特性曲线如图10所示。
图10 GFM-DDWT容量对系统阻抗特性的影响
Fig.10 The influence of GFM-DDWT capacity on system impedance characteristics
据图10分析可知,随着GFM-DDWT台数的增加,Zeq受GFM-DDWT阻抗特性影响的程度增强。Zeq的幅值特性曲线降低,其与GFL-DDWT阻抗幅值特性曲线交点频率增大,对应相位差由183.45°减小到154.8°,相位裕度增大。阻抗特性曲线的变化说明,随着GFM-DDWT容量的增加,混合风电场并网系统的次/超同步稳定性提高。
在保持风电场总容量(N1+N2=100)不变的条件下,设置N2为10、20、30、40(对应附表2工况6~9),得到不同条件下混合风电场的阻抗特性曲线如图11所示。
据图11分析可知,在风电场容量不变的条件下,随着GFM-DDWT台数的增加,GFL-DDWT的台数相应减小。混合风电场并网系统的阻抗特性曲线的变化体现在两方面:①ZGFL的幅值在次/超同步频段增加,相位特性曲线基本保持不变;②Zeq在风险频段内阻抗幅值特性曲线降低,相应频段内相位减小。因此,二者阻抗幅值特性曲线交点频率增大、对应相位差减小、相位裕度由负变为正,且GFM-DDWT占比越大,相位裕度越大。即随着GFM-DDWT占比增大,混合风电场并网系统的次/超同步稳定性提高。
图11 GFM-DDWT占比对系统阻抗特性的影响
Fig.11 The influence of GFM-DDWT proportion on system impedance characteristics
为了验证上述理论分析的正确性,本小节基于PSCAD/EMTDC电磁暂态仿真平台进行时域仿真验证,主电路及控制参数见附表1。
4.3.1 GFM/GFL风电机组单独并网仿真
对于GFL-DDWT单独并网的情况,设置电网的SCR在4 s时由5.16切换至2.87,模拟交流电网强度变化。此时PCC处三相交流电压vpcc_abc和GFL-DDWT输出有功功率P(后续波形中vpcc_abc和P含义相同)的时域波形及快速傅里叶变换(Fast Fourier Transform, FFT)分析结果如图12a~图12d所示。
由图12a和图12b可知,GFL-DDWT单独并网条件下,电网由强电网变为弱电网时,并网点处三相电压和机组输出有功功率均出现振荡发散的现象。对其振荡部分进行FFT分析得到对应频谱图分别如图12c和图12d所示。并网点A相电压vpcc_a存在以72 Hz为主的谐波分量,同时还存在28 Hz的耦合分量。P中存在频率为22 Hz的谐波分量,其频率与vpcc_a谐波频率关于基频对称。时域仿真结果与4.1节中理论分析结果一致。

图12 GFL-DDWT单独并网的时域仿真波形
Fig.12 Time domain simulation waveform of GFL-DDWT separately connected to the grid
对于GFM-DDWT单独并网的情况,同样设置电网的SCR在4 s时由5.16切换至2.87,模拟交流电网强度变化。此时时域仿真结果如图13所示。
图13 GFM-DDWT单独并网的时域仿真波形
Fig.13 Time domain simulation waveform of GFM-DDWT separately connected to the grid
图13仿真结果说明,GFM-DDWT单独并网的条件下时,当电网强度变化时,并网点电压、相电流保持稳定。实验仿真结果与4.1节理论分析结果一致。
4.3.2 混合风电场并网仿真
对于混合直驱风电场接入弱交流电网的情况,设置电网SCR在4 s时由5.16切换至2.87。分别在GFL-DDWT容量不变和风电场总容量不变的条件下,设置GFM-DDWT的台数N2=0、10、20、30,得到PCC处A相交流电压vpcc_a和有功功率P的时域波形如图14所示。
图14 混合风电场并网的时域仿真波形
Fig.14 Time domain simulation waveform of hybrid wind farm grid connection
根据图14所示,在GFL-DDWT容量保持不变和风电场总容量不变的两类工况仿真中,反映出的共性是:随着GFM-DDWT占比的增加,系统并网点处的有功功率响应表现为由振荡发散逐渐过渡到振荡收敛,并最终趋于稳定。在本文算例中对比两类工况可知,当GFL-DDWT容量保持不变时,GFM-DDWT占比在20%左右能够实现良好的振荡抑制效果;而在风电场总容量不变的情况下,GFM-DDWT占比在10%左右即可有效抑制系统振荡,且随着占比的提升,收敛速度加快,系统稳定性提高。这表明,采用跟网型机组改造为构网型机组的方式相较于新增构网型机组更有利于降低系统发生次/超同步振荡的风险。时域仿真结果与4.2节理论分析一致。
由振荡机理分析可知,GFM-DDWT接入后混合风电场并网系统的稳定性主要由GFL-DDWT并网点输出阻抗与网侧等效阻抗的阻抗特性所决定。由于阻抗特性曲线与稳态工作点、一次回路中的电气参数和二次回路中的控制参数关系密切,因此本小节讨论在GFM-DDWT台数(N2=10)一定时,相关参数对于混合风电场并网系统稳定性的影响,结合工程经验选取参数:跟网型控制中的锁相环、电压环和电流环参数,构网型控制中的功率环参数,GFM-DDWT并网线路阻抗以及电网短路比的大小。
按附表1所示参数设置混合风电场并网系统仿真模型,仅改变GFM-DDWT的无功环比例系数kpq,得到并网系统的阻抗特性如图15所示。
图15 kpq对系统阻抗特性的影响
Fig.15 The influence of kpq on the impedance characteristics of the system
由图15可知,随着kpq的增大,电网等效阻抗的幅值特性曲线在次/超同步频段内下降,其与GFL-DDWT阻抗幅值特性曲线的交点频率增大,对应频率下阻抗相位差减小,系统阻尼提高,混合风电场并网系统稳定性增强。
基于PSCAD/EMTDC仿真平台验证:在4 s时通过减小SCR激发系统振荡,仅改变GFM-DDWT中的无功环比例系数kpq,分别选取kpq=1、kpq=3、kpq=9三组进行仿真。以GFL-DDWT输出的有功功率P为观测对象,仿真结果如图16所示。
图16 改变kqp时P的时域波形
Fig.16 Time domain waveform of P when changing kqp
由图16可知,GFM-DDWT中的无功环比例系数kpq的增大使得P的振幅逐渐减小,系统表现出由振荡发散状态向稳定收敛的过渡。当kpq增加至9时,振荡由不稳定的发散状态转变为逐步收敛至稳定的状态。该仿真结果与图15理论分析结果一致。因此,通过适当增大GFM-DDWT中的kpq参数,可以有效提升系统阻尼。并且当kpq值合理时,能够抑制振荡的发散,使系统从振荡发散转为逐渐收敛的稳定状态,从而降低混合风电场出现次/超同步振荡的风险。
由式(24)可知,GFM-DDWT并入35 kV变电站的集电线路阻抗对系统稳定性存在影响。保持其他参数不变,设置线路阻抗分别为Z2、2Z2、5Z2和10Z2,得到系统阻抗特性曲线如图17所示。
图17 Z2对系统阻抗特性的影响
Fig.17 The influence of Z2 on the impedance characteristics of the system
由图17可知,随着线路长度的增加,电网等值阻抗特性曲线的幅值上升,与GFL-DDWT的幅值交点频率减小,对应相位差略微增大。因此,GFM-DDWT以短线路接入电网更有利于系统的稳定运行。从物理意义上来说,线路越短,GFM-DDWT阻抗对电网侧的影响越明显,与GFL-DDWT的交互作用越强,因此越有利于系统的稳定。但由于线路阻抗本身较小,线路长度对系统稳定性的影响程度有限。
基于PSCAD/EMTDC仿真平台验证:仅改变GFM-DDWT侧35 kV集电线路阻抗Z2的值,分别选线路阻抗为Z2、2Z2、5Z2三组进行仿真。以GFL-DDWT输出的有功功率P为观测对象,仿真结果如图18所示。
图18 改变Z2时P的时域波形
Fig.18 Time domain waveform of P when changing Z2
由图18可知,GFM-DDWT侧35 kV集电线路增长,P的振幅轻微增大,仍呈振荡发散状态。从仿真中可以看出,线路长度对系统稳定性影响较弱,与图18的理论分析结果一致。为提升系统阻尼,GFM-DDWT接入系统时适宜采用较短线路,降低混合风电场发生次/超同步振荡的风险。
对于GFL-DDWT的控制参数,以控制带宽描述各主要控制环节对其阻抗特性的影响,主要包括锁相环控制带宽fpllp、电压环控制带宽fvp、电流环控制带宽fip。保持其余参数不变,分别改变各控制环节带宽,得到阻抗特性曲线如图19所示。
图19 GFL-DDWT控制带宽对系统阻抗特性的影响
Fig.19 The influence of GFL-DDWT control link bandwidth on system impedance characteristics
由图19a可知,随着锁相环控制带宽的增大,幅值特性曲线交点频率减小,对应相位差增大,系统稳定性降低;由图19b可知,随着电压环控制带宽的减小,幅值特性曲线对应交点频率略微增大,阻抗相位差减小,系统稳定性提升;由图19c可知,随着电流环控制带宽的增大,幅值特性曲线交点频率增大,对应相位差减小,系统稳定性提高。
基于PSCAD/EMTDC仿真平台验证:分别改变GFL-DDWT中的锁相环控制带宽fpllp、电压环控制带宽fvp和电流环控制带宽fip,以GFL-DDWT输出的有功功率P为观测对象,仿真结果如图20所示。其中,图20a为分别设置fpllp=10 Hz、fpllp=15 Hz、fpllp=20 Hz的仿真结果,图20b为分别设置fvp=30 Hz、fvp=15 Hz、fvp=10 Hz的仿真结果,图20c为分别设置fip=100 Hz、fip=120 Hz、fip=140 Hz的仿真结果。
图20 改变GFL-DDWT控制带宽时P的时域波形
Fig.20 Time domain waveform of P when changing the bandwidth of GFL-DDWT control loop
由图20可知,随着锁相环带宽的减小,有功功率的振荡幅值减小,发散速度减慢,由振荡发散变为振荡收敛,仿真结果与图19a理论分析结果一致;随着电压环控制带宽的减小,有功功率的振荡幅值降低,由振荡发散转变为振荡收敛,仿真结果与图19b理论分析结果一致;随着电流环控制带宽的增加,有功功率由振荡发散变为振荡收敛,且随着带宽的增大,收敛速度增加,仿真结果与图19c理论分析结果一致。因此,通过减小fpllp、减小fvp、增大fip能进一步降低混合风电场发生次/超同步振荡的风险。
在其他条件不变的情况下,改变电网SCR,得到系统阻抗特性曲线如图20所示。
图21 电网SCR对系统阻抗特性的影响
Fig.21 The Influence of power grid SCR on system impedance characteristics
由图21可知,随着电网强度的增大,GFM-DDWT接入对电网侧阻抗的影响减弱,并且强电网条件下,GFL-DDWT与电网阻抗幅值特性曲线的交点频率增加,对应相位裕度增大,系统由不稳定状态变为稳定状态。图20说明GFM-DDWT主要能够改善弱电网条件下GFL-DDWT并网的次/超同步振荡问题,而强电网条件下,电网与GFL-DDWT发生次/超同步振荡的风险本身较低,且GFM-DDWT对电网等效阻抗的影响也较小。
基于PSCAD/EMTDC仿真平台验证:设置电网SCR在3 s时由5.16变为3.86,在4 s时由3.86变为2.83,以GFL-DDWT输出的有功功率P为观测对象,仿真结果如图22所示。
图22 改变SCR前后P的时域波形
Fig.22 Time domain waveform of P before and after changing SCR
由图22可知,当电网SCR发生变化时,有功功率P出现振荡。在强电网条件下,P振荡后迅速收敛至稳定状态;在弱电网条件下,P振荡后发散,系统失稳。仿真结果与图21的理论分析结果一致。
综上所述,增大GFM-DDWT无功外环比例系数、减小GFM-DDWT集电线路长度、减小GFL-DDWT锁相环控制带宽、电压环控制带宽、增大GFL-DDWT电流环控制带宽有利于提升混合风电场并网系统的稳定性,降低次/超同步振荡风险。各参数的影响程度有所区别,在次/超同步频段中各参数的影响程度汇总见附表3。
本文基于GFM-DDWT和GFL-DDWT的阻抗模型,推导了混合风电场并网系统的阻抗稳定性判据及应用条件,研究了基于匹配控制的GFM-DDWT接入对于传统的GFL-DDWT并网系统次/超同步振荡的影响机理,并且通过分析相关参数对系统稳定性的影响得到降低系统次/超同步振荡风险的相应对策,所得主要结论如下:
1)GFM-DDWT接入能够有效降低GFL-DDWT接入弱交流电网时发生次/超同步振荡的风险。随着GFM-DDWT容量的增加,系统的次/超同步振荡风险逐渐减小。
2)GFM-DDWT改善混合风电场并网系统稳定性的机理为:GFM-DDWT与电网并联后的阻抗相较于原电网阻抗的幅值降低,相位减小,谐振频率处相位裕度增加,避免了与GFL-DDWT构成负阻尼振荡电路。
3)控制环路参数是混合直驱风电场并网系统稳定性好坏的关键影响因素。在一定范围内,减小GFM-DDWT无功外环比例系数、减小GFL-DDWT锁相环控制带宽、减小电压环控制带宽、增大GFL-DDWT电流环控制带宽能够降低混合风电场并网系统发生次/超同步振荡的风险。
本文针对基于匹配控制的构网型机组对混合直驱风电场的阻抗特性和次/超同步振荡稳定性的影响展开研究。在GFM-DDWT单独并网稳定和GFL-DDWT在理想电网中稳定运行的条件下,所得稳定性分析结论适用于混合风电场单独并网系统或跟网型和构网型风电场同时并网系统。对于构网型机组接入对含多类型机组的多风电场的并网系统稳定性的影响有待进一步研究。
附 录
1. 系统参数说明
附表1 主拓扑参数和控制器参数
App.Tab.1 Main topology parameters and controller parameters
系统参数数值 主拓扑参数跟网型风电场直流电容Cdc1/μF12 000 滤波电感Lf1/mH0.075 线路电阻R1/Ω0.063 线路电感L1/mH0.356 变压器电压比k1(kV/kV)0.69/35 匹配构网型风电场直流电容Cdc2/μF12 000 滤波电感Lf2/H0.002 线路电阻R2/Ω0.05 线路电感L2/mH0.283 变压器电压比k2/(kV/kV)3/35 交流线路变压器电压比k3/(kV/kV)35/110 线路电阻Rg/Ω3.67 线路电感Lg/H0.048 4 控制器参数跟网型风电场PLL比例系数kppll115 PLL积分系数kipll3 725 电压外环比例系数kpvl9.2 电压外环积分系数kivl596 电流内环比例系数kpil0.032 4 电流内环积分系数kiil6.99 直流电压给定vdcref1/kV5 角速度额定值ωn/(rad/s)100 π 匹配构网型风电场电压外环比例系数kpv0.25 电压外环积分系数kiv1 电流内环比例系数kpi2 电流内环积分系数kii2.5 无功给定Qfref/kvar0 无功外环比例系数kpq1 无功外环积分系数kiq10
2. GFM-DDWT/GFL-DDWT阻抗模型
1)基于匹配控制的GFM-DDWT阻抗模型
(A1)
(A2)
式中,Ia2为A相并网点电流稳态列向量;Ma2为A相调制电压稳态列向量;Via2为A相变流器出口电压稳态列向量;Vdc2为直流母线电压稳态列向量;列向量中各变量为对应频率的稳态分量。ia2为A相并网点电流小信号分量;ma2为A相调制电压小信号分量;via2为A相变流器出口电压小信号分量;vdc2为直流母线电压小信号分量;列向量中各变量为对应各频率分量。
式(A3)~式(A7)、式(A9)、式(A11)和式(A12)为过程参数矩阵,各矩阵均为五阶方阵,除所列元素外其余元素为0。
(A3)
(A4)
(A5)
(A6)
(A7)
式中,md0、mq0分别为dq轴电压调制信号的初始值。
(A8)
(A9)

(A11)
(A12)
(A13)
式中,QT=[iq0 -id0 vq0 -vd0]T。
2)GFL-DDWT阻抗模型
式(A14)~式(A18)均为五阶方阵,除所列元素外其余元素为0。
(A14)
(A15)
(A16)
(A17)
(A18)
式中,
、
、
和
分别为PLL控制器、直流电压控制器、交流电流控制器和PLL的传递函数
、
、
、
。
3. 工况设置
附表2 工况设置
App.Tab.2 Working condition setting
组别跟网N1/台构网N2GFM-DDWT占比(%) 工况110000 工况2100109.9 工况31002016.7 工况41003023.1 工况51004028.6 工况6901010 工况7802020 工况8703030 工况9604040
4. 相关参数对系统阻抗影响程度汇总
附表3 相关参数对系统阻抗影响程度汇总
App.Tab.3 Summary of the impact of relevant parameters on system impedance
参数影响程度 GFL-DDWT锁相环参数中 GFL-DDWT电压环参数大 GFL-DDWT电流环参数大 GFM-DDWT功率环参数中 GFM-DDWT并网线路参数小
参考文献
[1] 谢小荣, 刘华坤, 贺静波, 等. 直驱风机风电场与交流电网相互作用引发次同步振荡的机理与特性分析[J]. 中国电机工程学报, 2016, 36(9): 2366-2372. Xie Xiaorong, Liu Huakun, He Jingbo, et al. Mechanism and characteristics of subsynchronous oscillation caused by the interaction between full-converter wind turbines and AC systems[J]. Proceedings of the CSEE, 2016, 36(9): 2366-2372.
[2] 康佳乐, 余浩, 段瑶, 等. 风电场次同步振荡等值建模方法研究[J]. 发电技术, 2022, 43(6): 880-891. Kang Jiale, Yu Hao, Duan Yao, et al. Equivalent modeling method of sub-synchronous oscillation in wind farm[J]. Power Generation Technology, 2022, 43(6): 880-891.
[3] 周琰. 构网型换流器同步频率振荡特性分析及抑制策略研究[D]. 北京: 华北电力大学, 2023.Zhou Yan. Analysis suppression strategy of synchronous frequency resonance for grid-forming converter[D]. Beijing: North China Electric Power University, 2023.
[4] 郭贤珊,张国华,李健栋,等. 构网型变流器技术发展现状与工程应用[J]. 电力系统自动化, 2025, 49(22): 1-19. Guo Xianshan, Zhang Guohua, Li Jiandong, et al. Development status and engineering application of grid-forming converter technology[J]. Automation of Electric Power Systems, 2025, 49(22): 1-19.
[5] Roscoe A, Knueppel T, Da Silva R, et al. Response of a grid forming wind farm to system events, and the impact of external and internal damping[J]. IET Renewable Power Generation, 2020, 14(19): 3908-3917.
[6] Strunz K, Almunem K, Wulkow C, et al. Enabling 100% renewable power systems through power electronic grid-forming converter and control: system integration for security, stability, and application to Europe[J]. Proceedings of the IEEE, 2023, 111(7): 891-915.
[7] 秦世耀, 齐琛, 李少林, 等. 电压源型构网风电机组研究现状及展望[J]. 中国电机工程学报, 2023, 43(4): 1314-1334. Qin Shiyao, Qi Chen, Li Shaolin, et al. Review of the voltage-source grid forming wind turbine[J]. Proceedings of the CSEE, 2023, 43(4): 1314-1334.
[8] 刘辉, 于思奇, 孙大卫, 等. 构网型变流器控制技术及原理综述[J]. 中国电机工程学报, 2025, 45(1): 277-297. Liu Hui, Yu Siqi, Sun Dawei, et al. An overview of control technologies and principles for grid-forming converters[J]. Proceedings of the CSEE, 2025, 45(1): 277-297.
[9] Yang Renxin, Shi Gang, Cai Xu, et al. Voltage source control of offshore all-DC wind farm[J]. IET Renewable Power Generation, 2019, 13(16): 2986-2993.
[10] 李建林, 丁子洋, 刘海涛, 等. 构网型储能变流器及控制策略研究[J]. 发电技术, 2022, 43(5): 679-686. Li Jianlin, Ding Ziyang, Liu Haitao, et al. Research on gridforming energy storage converters and control strategies[J]. Power Generation Technology, 2022, 43(5): 679-686.
[11] Yang Renxin, Shi Gang, Cai Xu, et al. Autonomous synchronizing and frequency response control of multi-terminal DC systems with wind farm integration [J]. IEEE Transactions on Sustainable Energy, 2020, 11(4): 2504-2514.
[12] Huang Linbin, Xin Huanhai, Wang Zhen. Damping low-frequency oscillations through VSC-HVDC stations operated as virtual synchronous machines[J]. IEEE Transactions on Power Electronics, 2019, 34(6): 5803-5818.
[13] 孙正龙, 郝舒宇, 李明达, 等. 含构网型双馈风电的电力系统低频振荡能量结构分析方法[J]. 电工技术学报, 2025, 40(5): 1411-1426. Sun Zhenglong, Hao Shuyu, Li Mingda, et al. Low frequency oscillation analysis method for grid-forming doubly-fed wind power systems based on energy structures[J]. Transactions of China Electro-technical Society, 2025, 40(5): 1411-1426.
[14] 薛翼程, 张哲任, 徐政, 等. 构网型变流器对交流系统低频振荡的影响分析与阻尼控制[J]. 电力系统自动化, 2023, 47(16): 103-113. Xue Yicheng, Zhang Zheren, Xu Zheng, et al. Impact analysis and damping control of grid-forming converter for low-frequency oscillation of AC system [J]. Automation of Electric Power Systems, 2023, 47(16): 103-113.
[15] Fu Siqi, Sun Yao, Li Lang, et al. Power oscillation suppression of multi-VSG grid via decentralized mutual damping control[J]. IEEE Transactions on Industrial Electronics, 2022, 69(10): 10202-10214.
[16] 高本锋, 邓鹏程, 孙大卫, 等. 基于匹配控制的构网型直驱风电场次同步振荡机理与特性研究[J]. 电工技术学报, 2024, 39(9): 2755-2770. Gao Benfeng, Deng Pengcheng, Sun Dawei, et al. Mechanism and characteristics of subsynchronous oscillation of grid-forming direct-drive wind farm based on matching control[J]. Transactions of China Electrotechnical Society, 2024, 39(9): 2755-2770.
[17] 桑顺, 徐婷, 齐琛, 等. 惯性同步构网型变换器定量感知电网频率的机理及抗干扰控制策略[J]. 电网技术, 2023, 47(4): 1395-1408. Sang Shun, Xu Ting, Qi Chen, et al. Mechanism of quantitatively sensing grid frequency and anti-disturbance control strategy for the grid-forming converter[J]. Power System Technology, 2023, 47(4): 1395-1408.
[18] Sun Peng, Xu Hao, Yao Jun, et al. Dynamic interaction analysis and damping control strategy of hybrid system with grid-forming and grid-following control modes[J]. IEEE Transactions on Energy Conversion, 2023, 38(3): 1639-1649.
[19] 罗澍忻, 韩应生, 余浩, 等. 构网型控制在提升高比例新能源并网系统振荡稳定性中的应用[J]. 南方电网技术, 2023, 17(5): 39-48. Luo Shuxin, Han Yingsheng, Yu Hao, et al. Application of grid-forming control in improving the oscillation stability of power systems with high proportion renewable energy integration[J]. Southern Power System Technology, 2023, 17(5): 39-48.
[20] 苟少云, 郭春义. 构网型与跟网型混合直驱风电场并网稳定域分析[J]. 电力系统自动化, 2025, 49(2): 73-83. Gou Shaoyun, Guo Chunyi. Grid-connection stability domain analysis for wind farms with hybrid direct-drive grid-forming and grid-following wind turbines [J]. Automation of Electric Power Systems, 2025, 49(2): 73-83.
[21] 王奕宁, 向往, 张浩博, 等. 构网型直驱风力发电机组比例优化配置分析[J]. 电网技术, 2025, 49(2): 490-500. Wang Yining, Xiang Wang, Zhang Haobo, et al. Analysis of optimal proportion configuration of grid forming direct drive wind turbine[J]. Power System Technology, 2025, 49(2): 490-500.
[22] 辛焕海, 王宇轩, 刘晨曦, 等. 提高新能源场站稳定性的构网型与跟网型变流器容量配比估算[J]. 中国电机工程学报, 2024, 44(14): 5463-5473. Xin Huanhai, Wang Yuxuan, Liu Chenxi, et al. Estimation of capacity ratios between grid-forming and grid-following converters for improving the stability of renewable energy stations[J]. Proceedings of the CSEE, 2024, 44(14): 5463-5473.
[23] 刘朋印, 谢小荣, 李原, 等. 构网型控制改善跟网型变流器次/超同步振荡稳定性的机理和特性分析[J]. 电网技术, 2024, 48(3): 990-997. Liu Pengyin, Xie Xiaorong, Li Yuan, et al. Mechanism and characteristics of grid-forming control for improving sub/super synchronous oscillation stability of grid-following-based grid-connected converter[J]. Power System Technology, 2024, 48(3): 990-997.
[24] 陈新, 王赟程, 龚春英, 等. 采用阻抗分析方法的并网逆变器稳定性研究综述[J]. 中国电机工程学报, 2018, 38(7): 2082-2094, 2223. Chen Xin, Wang Yuncheng, Gong Chunying, et al. Overview of stability research for grid-connected inverters based on impedance analysis method[J]. Proceedings of the CSEE, 2018, 38(7): 2082-2094, 2223.
[25] 张占俊, 李建文, 董耀, 等. 弱电网下多逆变器并网谐振失稳分析方法[J]. 电气技术, 2020, 21(10): 21-28. Zhang Zhanjun, Li Jianwen, Dong Yao, et al. Method of resonance instability analysis of multiple grid-connected inverters in weak grid[J]. Electrical Engineering, 2020, 21(10): 21-28.
[26] 刘欣, 袁易, 王利桐, 等. 柔性直流输电系统三端口混合参数建模及其稳定性分析[J]. 电工技术学报, 2024, 39(16): 4968-4984. Liu Xin, Yuan Yi, Wang Litong, et al. Three-port hybrid parameter modeling and stability analysis of MMC-HVDC system[J]. Transactions of China Electrotechnical Society, 2024, 39(16): 4968-4984.
[27] Sun Jian, Liu Hanchao. Sequence impedance modeling of modular multilevel converters[J]. IEEE Journal of Emerging and Selected Topics in Power Electronics, 2017, 5(4): 1427-1443.
[28] Shi Kai, Wang Yu, Sun Yuxin, et al. Frequency-coupled impedance modeling of virtual synchronous generators[J]. IEEE Transactions on Power Systems, 2021, 36(4): 3692-3700.
[29] 陈建, 任永峰, 孟庆天, 等. 含UDE附加阻尼支路的构网型直驱永磁同步风电机组次同步振荡抑制策略[J]. 电工技术学报, 2024, 39(7): 1985-2000. Chen Jian, Ren Yongfeng, Meng Qingtian, et al. Sub-synchronous oscillation suppression strategy for grid-forming direct-drive permanent magnet synchronous generator with uncertainty and disturbance estimator supplementary damping branch[J]. Transactions of China Electrotechnical Society, 2024, 39(7): 1985-2000.
[30] 高本锋, 沈雨思, 宋瑞华, 等. 虚拟同步机控制模块化多电平变流器阻抗建模及次/超同步振荡稳定性分析[J]. 电工技术学报, 2025, 40(2): 559-573.Gao Benfeng, Shen Yusi, Song Ruihua, et al. Impedance modeling and sub/super synchronous oscillation stability analysis of modular multilevel converter under virtual synchronous generator control[J]. Transactions of China Electrotechnical Society, 2025, 40(2): 559-573.
[31] 高本锋, 郑展翔, 邓晓洋, 等. 计及不同强度电网的直驱风电机组控制参数稳定域分析[J/OL]. 华北电力大学学报(自然科学版), 2024: 1-15. (2024-04-04). https://kns.cnki.net/KCMS/detail/detail.aspx? filename=HBDL20240330001&dbname=CJFD&dbcode=CJFQ. Gao Benfeng, Zheng Zhanxiang, Deng Xiaoyang, et al. Stability region analysis of control parameters of direct drive wind turbines with different power grids[J/OL]. Journal of North China Electric Power University (Natural Science Edition), 2024: 1-15. (2024-04-04). https://kns.cnki.net/KCMS/detail/detail. aspx?filename=HBDL20240330001&dbname=CJFD&dbcode=CJFQ.
Abstract With the increasing penetration rate of renewable energy, the AC power grid exhibits characteristics of low short-circuit ratio and weak inertia. Grid following direct drive wind turbines (GFL-DDWT) are prone to sub/super synchronous oscillations when the power grid strength is weak. In contrast, grid forming direct drive wind turbines (GFM-DDWT) based on matching control have strong voltage and frequency support capabilities and good adaptability to grid strength. Therefore, the mixed operation of GFL-DDWT and GFM-DDWT has become a technically advantageous solution for future wind farm construction. However, the impedance characteristics and sub/super synchronous oscillation mechanism of the mixed wind farm formed by the GFM-DDWT connection based on matching control are not yet clear, and the relevant influencing factors are also not yet clear.
This paper uses impedance analysis to investigate the impedance characteristics of hybrid wind farms and studies the mechanisms of sub/super-synchronous oscillations. Firstly, the harmonic linearization method is used to establish sequence impedance models for GFM-DDWT, GFL-DDWT, and AC power grid based on matching control, and the accuracy of the analytical models is verified through impedance sweep; Secondly, based on the equivalent impedance model of the hybrid wind farm grid connected system, the impedance stability judgment conditions of the grid connected system impedance network considering line impedance are derived, and the impact mechanism of the matched control type GFM-DDWT on the sub/super synchronous oscillation of the hybrid wind farm grid connected system is revealed from the impedance perspective; Finally,the variation of sub/super-synchronous stability of the system under different parameters is analyzed from both the impedance characteristics and the electromagnetic transient time-domain response perspectives.
According to the derived impedance stability criterion,the stability of the system can be determined by whether the equivalent impedance on the grid side and the impedance on the GFL-DDWT side meet the Nyquist stability criterion, under the conditions of stable grid connection of GFM-DDWT and stable operation of GFL-DDWT in an ideal power grid. According to the analysis of impedance characteristics, it can be concluded that after connecting GFM-DDWT, the amplitude of the equivalent impedance on the grid side decreases in the sub/super synchronous frequency band, and the resonance frequency shifts, resulting in an increase in the phase margin between GFL-DDWT and the equivalent grid, and an improvement in system stability. Moreover, as the proportion of GFM-DDWT increases, the sub/super synchronization stability of the hybrid wind farm grid connected system improves.
The main conclusions of this paper are as follows: (1) Connecting GFM-DDWT can effectively reduce the risk of sub/super synchronous oscillations when GFL-DDWT is connected to weak AC power grids, and as the capacity of GFM-DDWT increases, the risk of sub/super synchronous oscillations in the system gradually decreases. (2) The mechanism by which GFM-DDWT improves the stability of hybrid wind farm grid connected systems is that, compared to the original grid impedance, the impedance amplitude and phase of GFM-DDWT connected in parallel with the grid decrease, and the phase margin at the resonant frequency increases, avoiding the formation of negative damping oscillation circuits with GFL-DDWT. (3) The control loop parameters are a key factor affecting the stability of the grid connected system of hybrid direct drive wind farms. Within a certain range, reducing the reactive power outer loop ratio coefficient of GFM-DDWT, reducing the control bandwidth of GFL-DDWT phase-locked loop and voltage loop, and increasing the control bandwidth of GFL-DDWT current loop can effectively reduce the risk of sub/super synchronous oscillation in the grid connected system of hybrid wind farms.
Keywords:Matching control, hybrid direct drive wind farm, impedance analysis method, grid stability
DOI: 10.19595/j.cnki.1000-6753.tces.250475
中图分类号:TM712
国家电网有限公司总部管理科技项目资助(5230HQ25000X-043-ZN)。
收稿日期 2025-03-24
改稿日期 2025-04-14
高本锋 男,1981年生,副教授,研究方向为高压直流输电和电力系统次同步振荡。E-mail:gaobenfeng@126.com
马 龙 男,1988年生,博士,研究方向为电网络理论、分数阶微积分理论、现代电力电子技术等。E-mail:mayida1988@163.com(通信作者)
(编辑 郭丽军)