摘要 针对冲击性负荷接入弱电网引起的电压快速波动问题,该文研发了一种含超级电容储能的电压波动抑制电路,并提出电压波动量负反馈与负荷波动功率前馈相结合的复合电压控制策略。通过含超级电容的DC-DC升压变换器实现直流母线电压稳定,进而借助设备有功功率的直流分量调节实现超级电容平均电压稳定,同时通过所提复合电压控制调节功率波动分量抑制并网点电压波动。此外,建立了并网点电压波动模型及系统直流电压波动模型,通过对根轨迹及频率响应的分析,证明了所提方法在维持直流母线稳定的同时,相比于传统方法对快速电压波动具有更好的抑制能力。最后,通过仿真与实验进一步验证了所提电压快速波动抑制策略的有效性。
关键词:电压波动 复合控制 超级电容 并网变流器
近年来,工业供电系统中如电弧炉、电焊机、冲压机床等冲击性负荷的容量快速增长[1]。冲击性负荷频繁投切可造成供电线路末端大幅度、快速电压波动。在极端情况下[2],快速电压波动的频率可从数赫兹到数十赫兹,波动幅度高达 15% 以上,对供电安全性和可靠性造成严重危害,亟待研发新型电压调节装置及控制系统来抑制快速电压波动。
目前电压调节装置主要分为串联型与并联型两大类,其中串联型电压调节装置在节点电压波动时有着更广泛的应用。文献[3]提出了基于串联变流器柔性调节的电压补偿方法,但该方案直流侧为悬浮电容,在动态电压补偿过程中维持直流电压稳定的难度大。文献[4-6]提出了基于串并联混合统一电能质量调节器(Unified Power Quality Conditioner, UPQC)电压补偿方法,但该方法成本高、控制复杂,且串联补偿仅能治理单个节点电压波动,冲击性负荷潮流仍可对配电网内相邻节点电压造成严重冲击。文献[7]提出了基于串联耦合变换器的动态电压恢复器,可实现高性能电压快速调节,但受超级电容容量限制,仅适用于对短时电压暂降与电压中断进行补偿,难以应对电网中长期电压波动。
在并联型电压调节装置方面,文献[8-12]提出了基于晶闸管投切电容器(Static Var Compensator, SVC)和静止无功发生器(Static Var Generator, SVG)电压调节方法,其具有低成本、高效率等优势。但无功电压补偿在低压高阻感比配电网中的补偿效果差[13]。文献[14-15]提出了基于分布式储能灵活充放电调节的末端电压补偿方法,但仅基于静态电压负反馈调节,难以兼顾补偿动态速度和精度的要求。
为了克服传统方法的不足,本文研发了一套含储能元件的电压快速波动抑制装置,其中超级电容因其高功率密度与长循环寿命,更适合应对当前场景下频繁、短时的快速功率波动,故所提装置采用超级电容作为储能元件。利用含超级电容的直流侧DC-DC升压变换器稳定直流母线电压;通过并网侧DC-AC变换器对有功功率直流分量及波动分量的精确调节,采用不同的控制策略进行协同控制,分别实现超级电容平均电压稳定与并网点电压波动的有效抑制,以及两者控制之间的解耦。为了满足电压快速补偿的要求,本文提出了电压波动量负反馈控制与负荷波动功率前馈相结合的复合电压控制策略,其具有响应快、鲁棒性好、电压波动抑制能力强等优势。最后,通过仿真与实验验证了所提控制策略的有效性。
在讨论所提电压波动抑制策略之前,首先介绍传统无功调压控制方法。利用SVG无功功率调节并网点电压有效值的方法已在文献[9-12]中有所描述,如图1所示。
图1 传统无功调压系统整体结构
Fig.1 Diagram of traditional reactive power voltage regulation system
该控制系统主要包括有功直流稳压控制与无功交流调压控制。有功直流稳压控制通过调节SVG输出的有功功率实现直流母线电压恒定,无功交流调压控制通过控制SVG输出的无功功率实现并网点电压有效值的稳定,即
(1)
式中,Gc(s)为无功交流调压控制器;kpc和kic分别为控制器的比例系数与积分系数;E、
分别为并网点交流线电压及其参考值。
虽然传统无功调压系统已在各种电压控制场合得到了广泛应用,但是由于其控制环带宽的限制,难以有效抑制电压快速波动。此外,无功调压系统主要应用于中高压系统,其线路阻感比较低,而低压系统中线路阻抗阻性较强,此时无功调压系统无法有效地对并网点电压进行调节[16-17]。
含超级电容储能的电压波动抑制系统拓扑结构如图2上半部分所示,其系统结构包括并网侧的双向DC-AC变换器以及直流侧DC-DC升压变换器,连接超级电容与电网。图2中,iL1为变流器侧输出电流,io为网侧输出电流,ib为直流侧电流,vdc为直流母线电压,vsc为超级电容电压,iload为负载侧电流,vpcc为并网点交流电压;Csc为超级电容器容量,Cdc为直流电容容量,L1、L2分别为DC-AC侧滤波器电感,Cf为DC-AC侧滤波电容,Lb分别为DC-DC侧滤波器电感,Zg为电网侧等效阻抗,Zg包含电网侧等效电阻Rg以及电网侧等效电感Lg。
图2 含超级电容储能的电压波动抑制系统整体结构
Fig.2 Diagram of voltage fluctuation suppression system using supercapacitor energy storage
在不使能主动控制的原供电系统中,冲击性负载接入弱电网下的并网点,由电网供电。由于弱电网短路比较小,电网侧等效阻抗较大,冲击性负载的波动功率会在电网阻抗上产生较大的波动压降,同时考虑到电网背景扰动,在并网点将会出现较大的电压波动。
为了克服这一挑战,所提系统中DC-DC变换器稳定直流母线电压,DC-AC变换器通过所提复合电压控制,利用超级电容的容量,提供并网侧波动功率,从而抑制负载冲击功率以及电网背景扰动带来的电压波动。具体实现方式如图2下半部分所示。
系统控制框图包含波动功率前馈控制、电压波动反馈控制、超级电容稳压控制、电流内环以及直流母线稳压控制五部分。其中,由波动功率前馈与电压波动反馈构成复合电压控制,通过控制并网侧输出功率波动分量抑制电压波动;超级电容稳压控制与直流母线稳压控制利用其动态响应时间的差别,实现两侧直流电压的控制。
波动功率前馈控制是通过提取负载功率的波动分量,从而得到DC-AC变流器输出电流参考波动分量前馈iff_ripple,进而通过DC-AC变流器的并网侧输出电流调节来吸收负载的有功与无功功率的波动分量,并抑制其在电网阻抗上引起的电压波动,具体控制框图如图3所示。
图3 波动功率前馈控制框图
Fig.3 Diagram of fluctuating power feedforward
首先,负载的有功功率Pload及无功功率Qload由式(2)计算得到。
(2)
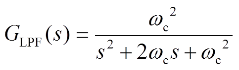
然后,通过波动提取环节提取负载功率的波动分量。由于冲击性负载的功率大部分以较低的频率波动,故先利用二阶低通滤波器得到负载功率直流分量,滤波器传递函数为
(3)
式中,wc为截止频率。将负载功率瞬时值与其直流分量做差,得到负载有功、无功功率波动分量为
(4)
式中,Gh(s)为波动提取环节的传递函数。由上述功率波动分量PL,ripple及QL,ripple,经过电流计算环节,可得电流参考的前馈波动分量iff_ripple为
(5)
首先提取电压波动分量,通过电压波动反馈调节器得到输出电流参考的反馈波动分量ifb_ripple(αβ),进而通过电流闭环控制实现高带宽电流跟踪,具体控制框图如图4所示。
图4 电压波动反馈控制框图
Fig.4 Diagram of voltage fluctuation control
采用如式(4)所示波动提取环节提取并网点电压有效值E的波动分量Eripple。经过负反馈闭环控制,得到d轴上的反馈控制分量ifb_ripple,d为
(6)
式中,Gripple(s)为电压波动控制器;kp和ki分别为电压波动控制器的比例系数与积分系数。
根据锁相环输出相角
,由坐标系变换得到静止坐标系下的参考ifb_ripple,具体表达式为
(7)
通过波动功率前馈控制快速跟踪补偿负载波动功率与电压波动反馈控制修正剩余扰动引起的电压偏差相结合,快速准确地抑制并网点电压波动。
由于超级电容容量远大于直流母线电容,其电压动态响应时间常数也远大于后者,故所提系统可先通过直流母线稳压控制快速稳定母线电压,在电压稳定后,直流侧DC-DC变换器与并网侧DC-AC变换器有功功率可视为近似相等,进而可通过调控DC-AC变换器有功功率的直流分量,在更长的时间尺度下,调节超级电容的平均电压。当系统运行以抑制周期性电压波动时,超级电容因承担功率波动呈现电压波动。为避免过充、过放风险,需将超级电容平均电压约束于合理区间内,从而实现系统容量尽限输出。此时d轴上的基波电流参考iref_f,d表达式为
(8)
式中,Gsc(s)为超级电容电压控制器;vsc_ref为超级电容平均电压参考;kps和kis分别为超级电容电压控制器的比例系数与积分系数。为了避免超级电容稳压控制的输出对输出电流参考波动分量iref_ripple产生干扰,应使其控制环带宽小于iref_ripple的波动频率。
电流控制环的框图如图2所示。将上述波动功率前馈控制、电压波动反馈控制以及超级电容稳压控制输出的电流参考叠加,作为所提系统输出电流在静止坐标系下的电流参考值,其表达式为
(9)
在静止坐标系下采用比例谐振(PR)控制器,控制所提系统的输出电流。电流控制环的输出经过坐标变换后,生成所提系统的三相电压调制波。其中,比例谐振控制器的详细表达式为
(10)
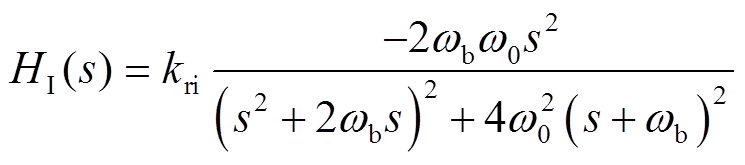
式中,wb为中心频率处的带宽;w0为基波角频率;kpi为比例系数;kri为谐振系数。
由于超级电容容量较大,且其稳压控制环的带宽较小,使其控制的动态响应时间与电压波动周期相差极大,所以当超级电容稳压控制输出的电流参考基波分量iref_f与复合电压控制输出的电流参考波动分量iref_ripple在电流内环中直接相加作为电流参考时,可以认为其相互解耦、互不干扰,通过对并网侧DC-AC变流器输出电流的控制,同时实现超级电容电压的稳定与并网点电压波动的抑制。
含超级电容的直流侧升压变换器通过双环控制快速稳定直流母线电压,从而在并网侧输出波动功率时将系统输出的波动功率转由超级电容提供,如图2中DC-DC控制器部分所示。其中,直流电压外环为
(11)
式中,
为直流侧电流参考值;Gvdc(s)为直流母线电压控制器;vdc_ref为直流母线电压参考;kpvd和kivd分别为直流母线电压控制器的比例系数与积分系数。
直流电流内环为
(12)
式中,Gidc(s)为直流母线电压控制器;kpd和kid分别为直流母线电压控制器的比例系数与积分系数;vout1为输出直流电压参考。
本文聚焦扰动引发的电压波动,占系统额定电压的总比例较低,扰动发生后仍可用同一数学模型描述,故通过建立并网点电压波动小扰动模型展开分析[18]。考虑到并网点电压波动主要受所提系统并网侧控制算法影响,且直流母线电压由 DC-DC 变换器调节,在本节讨论中假定直流母线电压稳定。
由图2中系统拓扑及电流控制环路,建立静止坐标系下电流控制环路传递函数框图,如图5所示。
图5 电流控制环路的传递函数框图
Fig.5 Diagram of the transfer function for the current control loop
对图5所示的电流控制框图进行简化,可得输出电流io(ab)的闭环响应为
(13)
式中,Gi(s)为电流控制环路增益;
为并网点电压;Zeq(s)为等效阻抗。Gi(s)和Zeq(s)详细表达式为
(14)
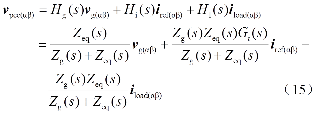
根据式(14),建立系统简化等效电路模型,如图6所示。由电路模型可得并网点电压vpcc(ab)表达式为
式中,vg(ab)为电网电压;Hg(s)、Hi(s)、Hl(s)分别为并网点电压vpcc(ab)对vg(ab)、iref(ab)、iload(ab)的传递函数。

图6 电压波动抑制系统的简化等效电路
Fig.6 Simplified equivalent circuit of voltage fluctuation suppression system
为了分析并网点电压线电压有效值E对不同扰动源的响应特性,需建立并网点交流电压有效值波动的数学模型。首先,定义变换矩阵Tpq为
(16)
进而得到并网点交流电压线电压有效值E为
(17)
定义负载的有功与无功电流分别为
(18)
将式(18)代入式(4)与式(5),得到
(19)
同样地,式(7)可以表示为
(20)
式(15)~式(20)描述了所提系统并网点交流电压有效值的数学模型。将式(16)~式(20)代入式(15),并考虑到
,可将所得方程在工作点线性化[19],建立并网点电压有效值波动的数学模型为
(21)
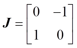
式中,算子Δ表示系统平衡点附近的小扰动;I为单位矩阵;J为变换矩阵,即
(22)
由于iref_f的动态响应时间远大于波动周期,其与电流波动分量之间相互解耦,故可在后续波动模型的推导中省略Δiref_f,将式(21)化简,得到并网点电压有效值波动对不同扰动源的表达式为
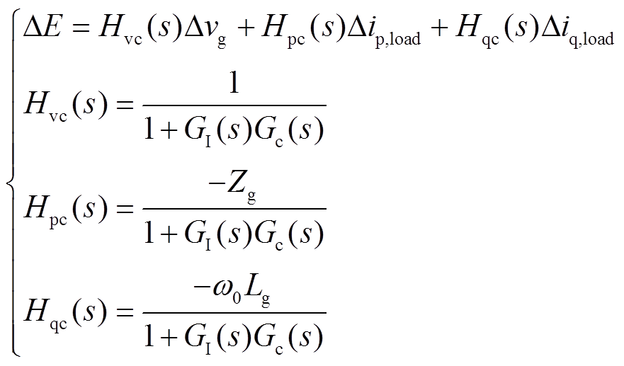
(23)
可以注意到,式(23)为三个独立项之和,每个独立项代表并网点交流电压有效值的波动ΔE对一种扰动源的响应。具体地说,第一项代表了电网电压波动引起的并网点交流电压波动;第二项与第三项则分别代表了负载功率波动的有功分量与无功分量对并网点交流电压有效值的具体影响。上述三个独立项的扰动传函的具体表达式分别为
(24)
(25)
(26)
其中,传递函数GR(s)、GI(s)由系统的控制参数以及电路参数决定,其表达式见式(27)和式(28)。
(27)
(28)
其中
(29)
(30)
根据图1所描述的无功交流调压控制框图,同理可以得到在传统无功调压系统中并网点交流电压有效值波动的数学模型为
(31)
式中,Hvc(s)、Hpc(s)、Hqc(s)分别为在传统无功调压系统中并网点交流电压有效值的波动对电网电压波动Δvg、负载有功功率波动Δip,load以及负载无功功率波动Δiq,load的扰动传递函数。
在通常情况下,电压波动的扰动源信号可视为不同时刻的阶跃函数的叠加。通过所提系统阶跃响应的调节时间,可分析扰动出现时并网点电压的动态响应速度。所建立的电压波动闭环响应的传递函数为高阶系统,为了简化分析仅示出了主导极点轨迹,如图7所示。
图7 所提系统主导极点根轨迹
Fig.7 The dominant pole root locus of the proposed system
当kp增加时,主导极点
远离虚轴,而主导极点
则朝向虚轴移动。当ki增加时,主导极点
与
由实数根变为复数根,系统阻尼比减少,导致系统由过阻尼状态变为欠阻尼状态。
当ki在2~50之间变化时,系统主导极点实部在-28~-22之间变化,调节时间变化较小。而参数kp从2增长到50时,主导极点实部变化范围为 -40~-10,表明系统的调节时间对参数kp更为敏感。为了让系统呈现过阻尼状态的同时使得其阶跃响应的调节时间尽量小,可以选取kp=6,ki=15。传统无功调压系统的参数也可依此分析,在此不过多赘述。
由于并网点快速电压波动特性主要为低频周期性脉冲,其频谱特征覆盖范围广,根轨迹分析不能完全反映系统应对这一类型扰动时的稳态宽频带偏差,可以将控制参数kp、ki代入模型,以幅频响应图分析上述系统对电压波动的抑制效果。
图8为采用不同控制方法下并网点电压波动ΔE的幅频响应图。当无主动控制时,电压波动ΔE对于电网电压扰动Δvg以及无功扰动Δiq,load的幅频响应为一条接近于0dB的水平线,而对于负载有功扰动Δip,load的幅频响应为随频率单调升高的曲线。可见在无主动控制时,在中低频区间内,扰动源会对并网点电压波动产生很大的影响。传统无功调压系统接入后,尽管在一定程度上降低了并网点电压波动对不同扰动源的幅频响应,然而其抑制效果有限。相对于无功调压系统,应用所提电压波动抑制系统后的并网点电压对于电网电压扰动、负载有功、无功扰动均具有更好的抑制能力。
图8 并网点电压波动ΔE对不同扰动源的幅频响应图
Fig.8 Amplitude response of ΔE to disturbance sources
本节在第4节中并网点电压波动模型的基础上,进一步探讨使能所提复合电压控制后不同扰动源对直流电压波动的影响,通过建立其小扰动模型,分析其对不同扰动源的响应特性。
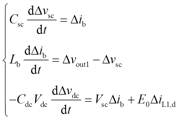
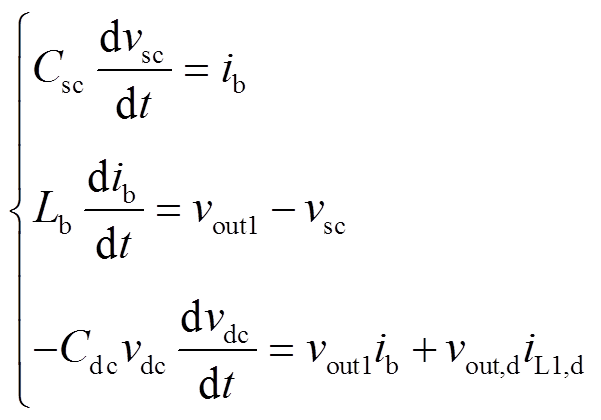
根据图2中所提系统DC-DC部分的电路拓扑,忽略逆变器开关以及死区的非线性环节,可以得到系统DC-DC部分的电路方程为
(32)
将所得电路方程在工作点线性化,可以建立系统DC-DC部分电路的扰动模型为
(33)
所得电路模型结合图2中直流母线稳压控制与超级电容稳压控制的框图描述了所提系统直流电压的数学模型,考虑到iL1,d≈io,d,将式(8)~式(14)及式(19)代入式(33),略去电压参考波动Δvdc_ref与Δvsc_ref,建立直流电压波动的数学模型为
(34)
式中,
为所提系统输出电流波动分量,其具体表达式为
(35)
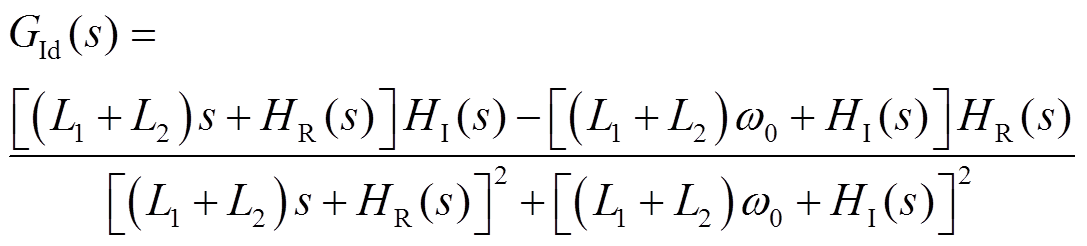
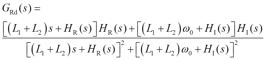
式中,传递函数GRd(s)、GId(s)及分母Hden(s)由系统控制参数及电路参数决定,其表达式为
(36)
(37)
(38)
基于第4节所述并网点电压波动模型,将式(6)、式(23)及式(35)代入式(34),得到直流电压波动对不同扰动源的表达式为
(39)
式中,Hvd(s)、Hpd(s)、Hqd(s)为直流母线电压波动Δvdc对不同扰动源的扰动传函;Hvs(s)、Hps(s)、Hqs(s)为超级电容电压波动Δvdc对不同扰动源的扰动传递函数,其具体表达式分别为
(40)
(41)
综合上述分析,可以归纳出所提系统波动模型为
(42)
与4.4节类似,可以通过幅频响应图来分析系统使能所提复合电压控制时,直流母线电压对不同扰动源的稳态宽频带响应特性。
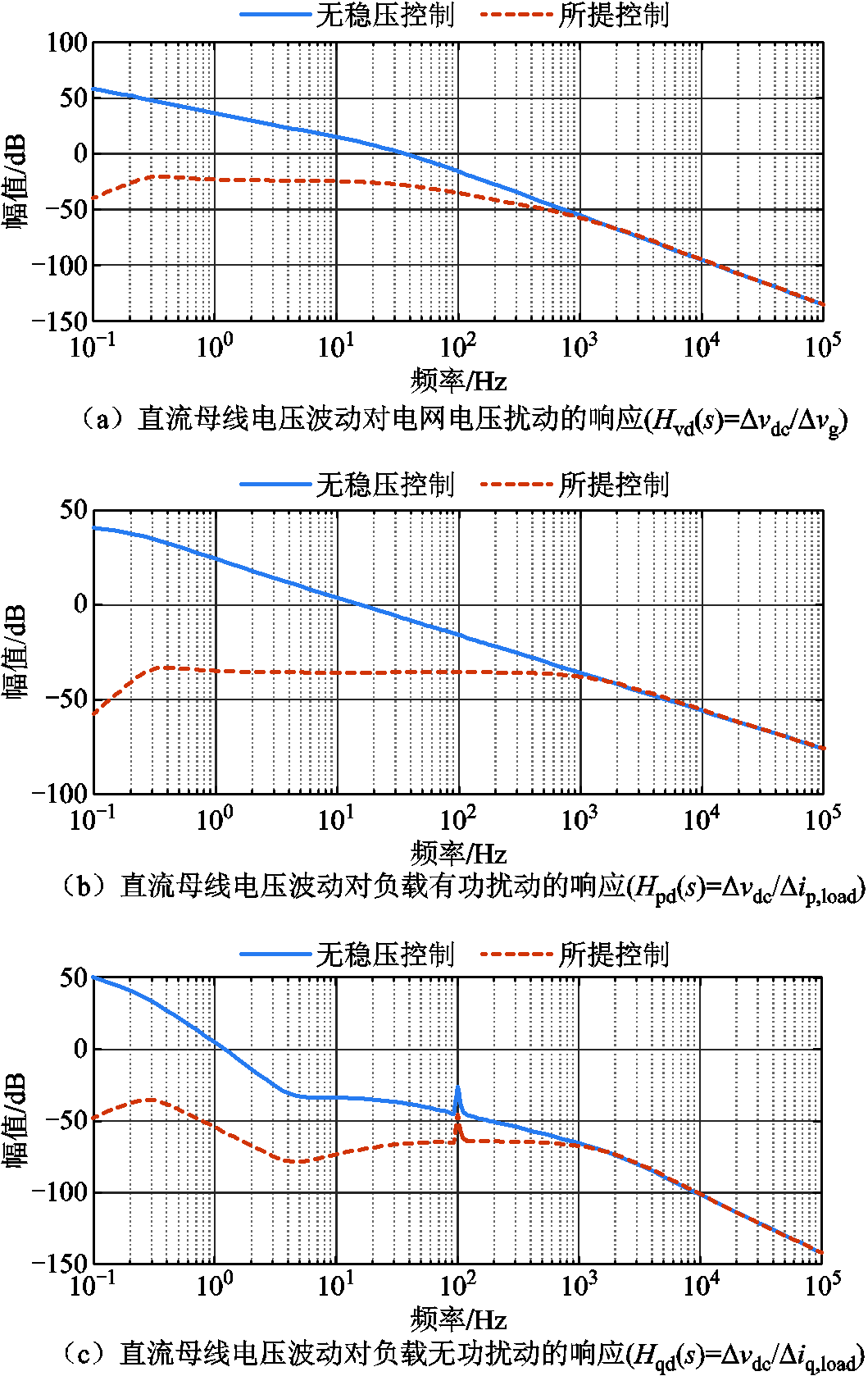
图9为使能所提复合电压控制时直流母线电压波动Δvdc对不同扰动源的幅频响应。当无稳压控制时,直流母线电压波动Δvdc对于电网扰动Δvg以及有功扰动Δip,load的幅频响应为随频率单调降低的曲线,频率越低,扰动源会对直流母线电压波动产生的影响越大;而对于负载无功扰动Δiq,load的幅频响应曲线斜率更大,其在1 Hz以下的低频段的影响更为突出。在使能直流母线稳压控制后,直流母线电压波动Δvdc对于电网扰动Δvg以及有功扰动Δip,load的幅频响应在中低频区间内抑制到了-35 dB左右,同时对于无功扰动Δiq,load,其幅频响应在 1 Hz以上的频段被进一步抑制到了-65 dB以下。所提系统在使能复合电压控制输出波动功率时,通过直流母线稳压控制稳定了直流母线电压,有效抑制了宽频带扰动源对直流母线的干扰作用。
图9 直流母线电压波动
对不同扰动源的幅频响应
Fig.9 Amplitude response of
to disturbance sources
通过以上直流母线电压对不同扰动源的稳态响应特性对比分析可知,负载无功扰动Δiq,load引发的直流母线电压波动显著低于负载有功扰动Δip,load及电网扰动Δvg的影响,结合电网电压扰动Δvg在实际情况中通常处于有限的波动范围,其对直流电压的影响常不如有功扰动Δip,load明显。故可以通过分析直流母线电压波动Δvdc与超级电容电压波动Δvsc对于负载有功扰动Δip,load的阶跃响应来分析直流电压对于扰动源的动态响应特性。
图10为直流电压对于负载有功扰动的阶跃响应波形。图10a为直流母线电压波动的动态响应波形,当负载侧出现有功扰动时,由于系统并网侧变流器输出波动功率,直流母线电压先出现快速降落,随即系统DC-DC侧变流器通过直流母线进行稳压控制,在20 ms内将直流母线电压调节回额定电压,实现直流母线电压的快速稳定。图10b为超级电容电压的动态响应波形,在0.55 s之前,由于超级电容稳压控制的动态响应速度较慢,超级电容持续放电,为直流母线提供能量;在0.55 s之后,由于此时负载有功扰动为阶跃信号,其经过所述波动提取环节的输出逐渐衰减至0,此时系统通过超级电容稳压控制以秒级的响应速度缓慢调节并网侧输出功率,实现系统超级电容电压的稳定。
图10 直流电压动态响应波形
Fig.10 The dynamic waveform of DC voltage
为验证本文所提快速电压波动抑制策略的有效性和优势,在仿真软件中搭建模型并进一步搭建了实验平台进行验证,仿真和实验参数见表1。
表1 仿真与实验参数
Tab.1 Parametres of simulation and experiment
参数数值 额定电网电压(三相有效值)/V380(仿真参数)190(实验参数) 设备额定功率/(kV·A)30(仿真参数)7.5(实验参数) 直流母线电容Cdc/mF5 000 超级电容Csc/F10 机侧滤波电感L1/mH0.5 网侧滤波电感L2/mH0.05 滤波电容Cf /μF60 直流侧滤波电感Lb/mH0.1 线路电感Lg/mH1.5 线路电阻Rg/Ω0.5 开关频率fs/kHz10 电压波动周期Tl/s0.2
根据分布式电源接入电网技术规定,当短路比小于10时认定为弱电网[20]。通过表1参数可计算得到在仿真与实验场景下短路比都为7.044 1,表明仿真与实验皆为弱电网场景。
搭建了无功调压系统与所提电压波动抑制系统的仿真模型,通过仿真结果验证了所提控制对于冲击性负荷接入弱电网的快速电压波动抑制的有效性和优越性。
使能传统无功调压控制时的并网点电压及其有效值的仿真结果如图11所示。在蓝线左侧,图为无主动控制时的并网点电压仿真结果,其并网点电压随着电网电流以0.2 s的波动周期的快速冲击出现 5 Hz的快速电压波动,其有效值波动量达24.6 V,波动率为11.2%;在蓝线右侧,图为系统使能所提传统无功调压控制下的并网点电压仿真结果,其有效值波动量在使能传统控制后降至15.6 V,波动率降至7.1%。
图11 使能传统控制前后并网点电压及其有效值特性
Fig.11 Performance of the voltage at the point of common coupling and its effective value before and after enabling the traditional control
使能所提复合电压控制时的并网点电压及其有效值的仿真结果如图12所示。在使能所提控制后,并网点电压有效值波动量的仿真结果从24.6 V抑制到3.9 V,波动率降至1.8%。相较于传统无功调压控制,使能所提控制后电压波动率降低了5.3个百分点。对比结果表明,所提控制能够更有效地抑制快速电压波动。
图12 使能所提控制前后并网点电压及其有效值特性
Fig.12 Performance of the voltage at the point of common coupling and its effective value before and after enabling the proposed control
搭建了含超级电容储能的电压波动抑制系统的实验平台,对所提控制策略进行实验验证。其中扰动源为可控硅投切的电阻负载,弱电网阻抗通过外接电抗和电阻来模拟。平台的控制系统采用TI公司的TMS320F28335作为系统的主控芯片。实验平台如图13所示。
图13 实验平台
Fig.13 Experiment platform
使能所提电压波动抑制控制时的并网点电压及电网电流实验结果如图14所示。在红线左侧,图为系统不运行时的并网点电压与电网电流波形,其并网点电压随着电网电流的快速冲击而波动,电压波动率达10.6%;在红线右侧,图为系统使能所提电压波动抑制控制下的并网点电压与电网电流波形,实验结果表明,当使能所提电压波动抑制策略后,并网点电压波动由10.6%快速衰减到1.7%。
图14 使能所提控制前后并网点电压及电网电流特性
Fig. 14 Performance of the voltage at the point of common coupling and the grid current before and after enabling the proposed control
使能电压波动抑制控制后所提系统变流器侧输出电流的波形,其分为输出电流突升、输出电流突降以及输出电流维持三个阶段,如图15所示。图15a为大时间尺度下的波形,而图15b、图15c、图15d为小时间尺度下的三个阶段的详细电流波形。实验结果表明,所提系统能够快速改变输出电流有效值与相位,从而实现对电压波动的快速响应。
图15 使能所提控制时变流器侧输出电流特性
Fig.15 Performance of the output current of converter when the proposed control is applied
使能所提电压波动抑制控制后,设备中超级电容电压及直流母线电压响应如图16所示。可见,直流母线电压维持在375 V,其波动量为±4 V。同时,超级电容电压维持在75 V,其波动量为±2 V。
图16 使能所提控制时超级电容及直流母线电压特性
Fig.16 Performance of the super capacitor and DC bus voltage when the proposed control is applied
针对周期性冲击负荷接入弱电网引起的并网点电压快速波动难题,本文提出了一种新型电压波动抑制设备及策略,其具有如下特征和优势:
1)通过电压波动量负反馈控制与负荷波动功率前馈相结合的复合电压控制,实现了对并网点电压波动快速响应和高效抑制。相比于传统无功调压控制,所提控制具有对不同扰动源引起的快速电压波动更好的抑制能力。
2)利用超级电容稳压控制与直流母线稳压控制动态响应时间的差别,通过含超级电容的DC-DC升压变换器快速稳定了直流母线电压,进而通过设备输出有功功率的直流分量调节稳定了超级电容电压,防止了直流母线电压波动造成的网侧谐波电流放大、超级电容过充、过放引发的设备损坏等问题的同时,实现了超级电容稳压控制与复合电压控制输出的解耦。
参考文献
[1] 何晋伟, 孟维奇, 蒋玮, 等. 新能源配电网电能质量典型问题分析及应对策略[J]. 高电压技术, 2023, 49(7): 2983-2994. He Jinwei, Meng Weiqi, Jiang Wei, et al. Power quality problems in renewable energy power distribution systems: analysis and solutions[J]. High Voltage Engineering, 2023, 49(7): 2983-2994.
[2] Geiger D L, Halpin S M. Assessing voltage fluctuations and lamp flicker using RMS voltages[J]. IEEE Transactions on Power Delivery, 2017, 32(6): 2481-2488.
[3] Lu Yong, Xiao Guochun, Lei Bo, et al. A transformerless active voltage quality regulator with the parasitic boost circuit[J]. IEEE Transactions on Power Electronics, 2013, 29(4): 1746-1756.
[4] 倪福银, 李正明. 统一电能质量调节器的研究发展综述[J]. 电力系统保护与控制, 2020, 48(20): 177-187. Ni Fuyin, Li Zhengming. Overview of unified power quality conditioner research development[J]. Power System Protection and Control, 2020, 48(20): 177-187.
[5] 马兰, 曹晓琦, 张影, 等. 单相统一电能质量调节器二次纹波补偿及抑制策略[J]. 电工技术学报, 2024, 39(22): 7197-7212. Ma Lan, Cao Xiaoqi, Zhang Ying, et al. Secondary ripple compensation and suppression strategy for single-phase unified power quality conditioner[J]. Transactions of China Electrotechnical Society, 2024, 39(22): 7197-7212.
[6] 孟维奇, 何晋伟, 韩俊飞, 等. 非隔离型单相三桥臂统一电能质量控制器直流侧电压灵活调节与波动抑制技术[J]. 电工技术学报, 2024, 39(20): 6517-6525. Meng Weiqi, He Jinwei, Han Junfei, et al. DC-link voltage flexible regulation and fluctuation suppression technology of single-phase transformerless three-leg UPQC[J]. Transactions of China Electrotechnical Society, 2024, 39(20): 6517-6525.
[7] 涂春鸣, 孙勇, 郭祺, 等. 适用于动态电压恢复器的最小能量柔性切换控制策略[J]. 电工技术学报, 2019, 34(14): 3035-3045. Tu Chunming, Sun Yong, Guo Qi, et al. The minimum energy soft-switching control strategy for dynamic voltage restorer[J]. Transactions of China Electro-technical Society, 2019, 34(14): 3035-3045.
[8] Zhang Jing, Wen J Y, Cheng S J, et al. A novel SVC allocation method for power system voltage stability enhancement by normal forms of diffeomorphism[J]. IEEE Transactions on Power Systems, 2007, 22(4): 1819-1825.
[9] Chen Dongdong, Hong Weidong, Zhang Shengqi, et al. A high power density low voltage static var generator based on wide band gap semiconductor devices[J]. IEEE Access, 2023, 11: 141753-141763.
[10] Ahmed T, Noro O, Hiraki E, et al. Terminal voltage regulation characteristics by static var compensator for a three-phase self-excited induction generator[J]. IEEE Transactions on Industry Applications, 2004, 40(4): 978-988.
[11] 赵国鹏, 韩民晓, 刘进军. 基于间接电流控制方法下系统稳定性的静止无功发生器参数设计[J]. 电工技术学报, 2012, 27(9): 17-24. Zhao Guopeng, Han Minxiao, Liu Jinjun. Design of parameters in static synchronous compensator with indirect current control based on the system stability[J]. Transactions of China Electrotechnical Society, 2012, 27(9): 17-24.
[12] 闻杰杰, 曼苏乐. 基于有源电力滤波器的SVC综合补偿系统研究[J]. 电力电子技术, 2017, 51(10): 77-81.Wen Jiejie, Man Sule. Research on SVC Comprehensive compensation system based on active power filter[J]. Power Electronics, 2017, 51(10): 77-81.
[13] 黄萌, 舒思睿, 李锡林, 等. 面向同步稳定性的电力电子并网变流器分析与控制研究综述[J]. 电工技术学报, 2024, 39(19): 5978-5994. Huang Meng, Shu Sirui, Li Xilin, et al. A review of synchronization-stability-oriented analysis and control of power electronic grid-connected converters[J]. Transactions of China Electrotechnical Society, 2024, 39(19): 5978-5994.
[14] Lee S J, Kim J H, Kim C H, et al. Coordinated control algorithm for distributed battery energy storage systems for mitigating voltage and frequency deviations [J]. IEEE Transactions on Smart Grid, 2016, 7(3): 1713-1722.
[15] 李娟, 魏亚龙, 张世乾, 等. 具备不平衡电压补偿功能的台区储能装置控制策略[J]. 电气传动, 2025, 55(3): 48-53. Li Juan, Wei Yalong, Zhang Shiqian, et al. Control strategy for energy storage devices in substation areas with unbalanced voltage compensation function[J]. Electric Drive, 2025, 55(3): 48-53.
[16] Krein P T, Galtieri J A. Active management of photovoltaic system variability with power electronics [J]. IEEE Journal of Emerging and Selected Topics in Power Electronics, 2020, 9(6): 6507-6523.
[17] 周剑桥, 张建文, 席东民, 等. 基于SOP有功-无功协同的低压配电网末端电压越限治理[J]. 电力系统自动化, 2023, 47(6): 110-122. Zhou Jianqiao, Zhang Jianwen, Xi Dongmin, et al. Terminal voltage overlimit mitigation for low-voltage distribution network based on coordinated active and reactive power control of soft open point[J]. Automation of Electric Power Systems, 2023, 47(6): 110-122.
[18] Kundur P, Balu N J, Lauby M G. Power System Stability and Control [M]. NewYork: McGraw-Hill, 1994.
[19] Wang Xiongfei, Harnefors L, Blaabjerg F. Unified impedance model of grid-connected voltage-source converters[J]. IEEE Transactions on Power Electronics, 2017, 33(2): 1775-1787.
[20] 国家电网公司. 分布式电源接入电网技术规定: Q/GDW 480—2010[S]. 北京: 中国电力出版社, 2011.
Abstract With the widespread application of impactive loads in industrial power supply systems, the problem of rapid voltage fluctuations in weak grid environments caused by their frequent switching has become increasingly prominent. This paper develops a voltage fluctuation suppression circuit with supercapacitor energy storage. Aiming at the defects of traditional reactive power voltage regulation control methods, such as insufficient dynamic response and limited regulation bandwidth when dealing with such problems, a composite voltage control strategy combining negative feedback of voltage fluctuation quantity and feedforward of load fluctuation power is proposed. Specifically, the system adopts the coordinated control of the DC side DC-DC boost converter and the grid-connected side DC-AC converter. The DC bus voltage is stabilized through the DC-DC boost converter with supercapacitor. Then, the average voltage of the supercapacitor is stabilized by adjusting the DC component of the active power of the device. At the same time, the power fluctuation component is adjusted through the proposed composite voltage control to suppress the voltage fluctuation at the point of common coupling (PCC). In addition, a voltage fluctuation model at the PCC and a DC voltage fluctuation model of the system are established. Through the analysis of the root locus and frequency response, it is proved that the proposed method can maintain the stability of the DC bus and has a better ability to suppress rapid voltage fluctuations compared with traditional methods.
The simulation results show that in the weak grid scenario with a short-circuit ratio of 7.04, the proposed voltage fluctuation suppression control reduces the voltage fluctuation rate from 10.6% to 1.7%, which is 5.4% lower than the traditional reactive power voltage regulation control. The experimental results indicate that in terms of the dynamic performance of the DC voltage, the DC bus voltage fluctuation is controlled within ±0.5%, and the supercapacitor voltage fluctuation amplitude is maintained at ±2.7%. It can be seen that the DC bus voltage of the proposed system can effectively avoid the influence of the disturbance source on the grid side. Both the simulation and experiment verify the effectiveness and superiority of the proposed voltage fluctuation suppression control.
The voltage fluctuation suppression device and strategy proposed in this paper achieve a rapid response and efficient suppression of the voltage fluctuation at the PCC through the composite voltage control combining the negative feedback control of the voltage fluctuation quantity and the feedforward of the load fluctuation power. Compared with the traditional reactive power voltage regulation control, the proposed control has a better ability to suppress rapid voltage fluctuations caused by different disturbance sources. At the same time, the proposed system takes advantage of the difference in the dynamic response time between the supercapacitor voltage regulation control and the DC bus voltage regulation control. The DC bus voltage is quickly stabilized through the DC-DC boost converter with supercapacitor, and then the supercapacitor voltage is stabilized by adjusting the DC component of the output active power of the device. This prevents problems such as the amplification of harmonic currents on the grid side caused by the DC bus voltage fluctuation and the damage to the equipment caused by overcharging and over-discharging of the supercapacitor, and realizes the decoupling of the supercapacitor voltage regulation control and the output of the composite voltage control.
Keywords:Voltage fluctuation, compound control, supercapacitor, grid-connected converter
DOI: 10.19595/j.cnki.1000-6753.tces.250279
中图分类号:TM761
国家自然科学基金资助项目(52425705)。
收稿日期 2025-02-21
改稿日期 2025-05-08
陈 熙 男,2000年生,硕士研究生,研究方向为低压配电网电能质量问题治理。E-mail:2022234001@tju.edu.cn
何晋伟 男,1983年生,教授,博士生导师,研究方向为微电网和分布式发电、电能质量、大功率电力电子变流技术。E-mail:jinwei.he@tju.edu.cn(通信作者)
(编辑 郭丽军)