摘要 电力系统呈现高比例新能源和电力电子设备的发展趋势,大容量远距离的风电外送结构给电网带来了振荡风险。针对直驱风电场经柔性直流(简称柔直)输电外送系统存在的振荡问题,其内部环节间交互作用对系统稳定特性的影响尚未明确。该文首先建立互联系统的小信号模型,通过参与因子确定各模态的主导模块及引发振荡的关键因素;其次,建立考虑带宽约束条件的阻抗模型,解析系统间交互作用产生振荡的机理;最后采用开环传递函数因子分解法将阻抗模型转换为控制器因子相乘的形式,推导出可以显式表述控制环节交互作用本质的系统阻抗解析表达式,进而揭示风机锁相环、各控制环节与柔直控制间的交互作用对次同步及中频振荡的失稳机理,同时分析有功功率以及主电路参数对控制环节交互作用的影响效果,并利用PSCAD/EMTDC仿真验证阻抗模型及机理分析的正确性。
关键词:直驱风电场 柔性直流输电 阻抗模型 稳定性评估 交互作用
近年来,我国电力行业绿色低碳转型持续推进,风电发展实现“三连跳”,根据国家能源局发布的2024年全国电力工业统计数据,全国并网风电装机规模从2023年底的4.4亿kW,到2024年底达到4.9亿kW,同比增长19.2%。高比例新能源发电接入电网带来的风险之一是新能源机组和电力电子设备之间的振荡问题[1-2]。例如:2015年,厦门柔性直流输电工程出现的23.6 Hz次同步振荡,造成变流器两侧功率不平衡和电流波动,使系统振荡电流发散;2020年,在调试张北风电柔直工程的孤岛送电端康保站时,出现了1 500 Hz左右的高频振荡现象;2021年底,如东海风柔直工程接入海上风场时也发生了频率在100~500 Hz间的中频振荡,导致部分风电机组停机。由以上实际工程振荡现象可知,风电经柔直外送存在较高的振荡风险。文献[3]表明,此类振荡是由于忽略了风机和柔直系统的交互影响,参数设计不合理导致控制环节之间相互作用,从而对稳定性产生影响,在某个振荡频率下的阻尼小于0时会造成系统发生振荡事故[4]。因此,亟须揭示系统的振荡机理和控制环节之间交互作用规律,评估并网系统的稳定性。
随着风电装机容量与工程规模的快速扩大,以及柔性直流输电技术的接入,风电并网系统在时间维度上展现出多模态的振荡特征[5],在空间维度上表现出多设备间的相互作用,振荡发生机理及稳定性的影响因素均与传统电力系统存在显著差异。目前,针对电力系统振荡问题的分析可划分为线性理论方法和非线性理论方法,并按时域/频域维度进行分类。时域分析以数值仿真为主,频域分析有特征值分析法[6-9]、阻抗分析法[10-11]、复转矩系数法[12-13]、开环模态分析法[14-15]和幅相动力学分析法[16-17]。文献[18]基于状态空间建模法,建立了考虑柔直内部动态和锁相环动态的网侧电压源型换流器小信号模型,指出了直驱风机网侧换流器呈现负电导正电纳特性,易与呈现电感特性的基于电压源换流器的高压直流输电(Voltage Source Converter based High Voltage Direct Current Transmission, VSC-HVDC)交互作用,造成互联系统发生振荡。文献[19]采用阻抗分析方法,指出直驱风机网侧换流器与柔直系统换流站交互作用,q轴相位裕度较低是次同步振荡产生的原因。文献[20]则认为风电场阻抗幅值减小会导致系统幅值裕度降低,由此引发系统的次同步振荡(Subsynchronous Oscillation, SSO)振荡现象。文献[21]构建了一种基于实测数据的直驱风机序谐波阻抗模型,解析实际运行工况下机组的谐波特征,但未探讨不同运行场景下阻抗特性的变化规律。文献[22]基于阻抗法揭示了风机接入柔直场景下次同步振荡产生机理,指出特定工况下风机呈现感性电抗特性,与柔直系统的容性电抗特性耦合形成等效负电阻谐振电路,但缺乏对多频段阻抗耦合效应的系统性研究。文献[23]分析了直驱风场与柔直参数对中频振荡特性的影响规律,但未揭示互联系统跨控制环节间交互作用引发的复杂振荡机理。综上所述,虽然已有研究探讨直驱风电场(Direct-Drive Wind Forms, DDWFs)并入柔性直流系统的稳定性问题,但针对系统振荡特性及其内部交互机理的深入分析仍显不足[24]。此外,上述振荡特性的机理分析主要基于现象观测,通过对特定系统量化分析确定影响稳定性的关键要素。这些分析基于某种计算结果,未涉及内部控制环节的动态交互过程,通过数值解析振荡机理的方法存在局限性,系统振荡产生的本质原因需要进一步探讨。
针对风电并网系统振荡特性的机理分析,本文以直驱风电场经柔直送出系统为研究对象,首先构建互联系统的小信号模型,利用特征值法定位引发振荡的关键环节,重点分析呈现负阻尼的次同步及中频振荡模态;其次提出基于传递函数的阻抗建模方法,综合考虑锁相环动态特性对直驱风机阻抗模型的影响及带宽约束条件下控制器的参数整定,推导得到以带宽为直接参数的阻抗模型;最后拆分系统阻抗解析表达式,从物理层面分析系统内部环节的交互过程,揭示各控制带宽参数对次同步及中频模态振荡特性的影响机制,并解析交互作用产生的本质原因,分析有功功率大小以及主电路参数对内部控制环节交互作用的影响,为进一步依据带宽模型评估互联系统的稳定性提供了新思路。
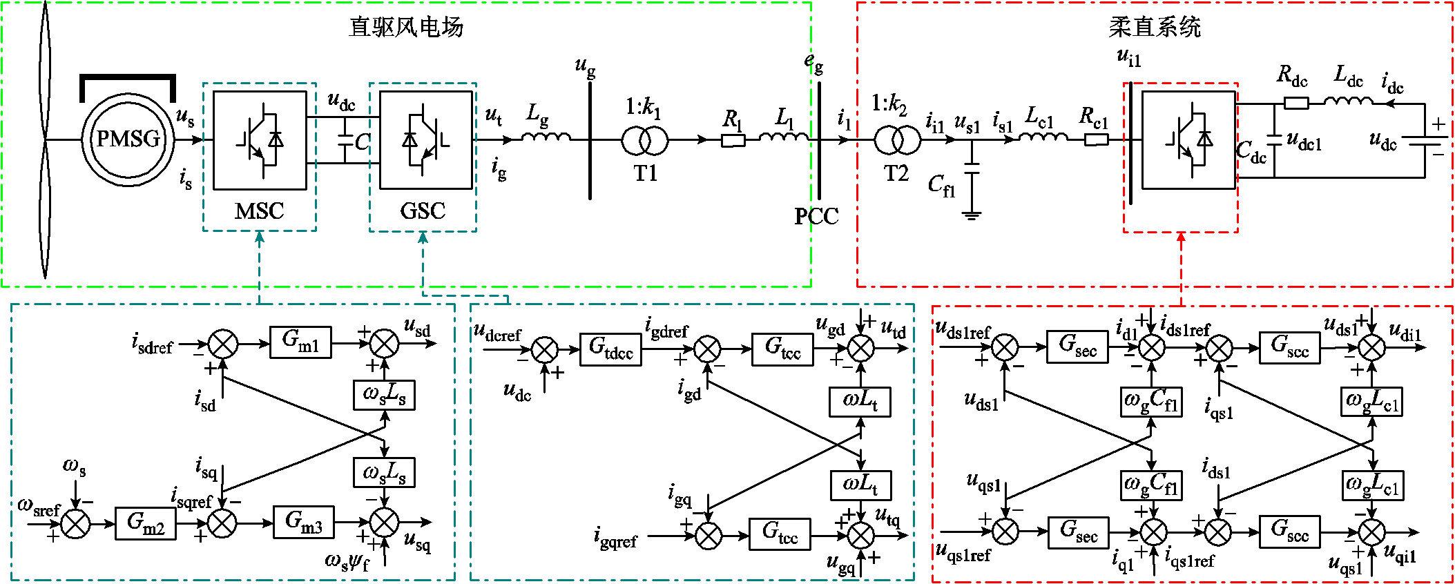
图1为直驱风电场经VSC-HVDC并网系统的拓扑结构,并网系统为50 Hz,参数见附表1、附表2。风力机直接连接永磁同步发电机(Permanent Magnet Synchronous Motor, PMSG),经机侧和网侧换流器后由变压器T1升压至35 kV,通过输电线路连接至公共连接点(Point of Common Coupling, PCC);直驱风电场经过变压器T2接入柔直系统。本文着重探讨风电场接入VSC-HVDC后内部控制环节间的交互作用关系,以单台风机的聚合等值模型代替含40台额定容量为5 MW风机的风电场子系统。直驱风力发电机采用全功率变流器。图1中各变量的含义见表1。为简化研究,假设交流电网具备较强的稳定性,与之相连的柔直受端换流站用直流电源近似替代。
互联系统包括直驱风电场和柔直系统两部分,其中直驱风电系统由轴系、永磁同步发电机、机侧换流器(Machine Side Converter, MSC)和网侧换流器(Grid Side Converter, GSC)、锁相环(Phase- Locked Loop, PLL)以及风电并网线路模型组成,详细建模过程及公式推导参考文献[7]。风机轴系采用单质量块模型;发电机定子绕组采用电动机惯例,规定同步旋转坐标系的d轴方向为永磁体产生的磁场方向,q轴方向超前d轴90°;MSC采取基于转子磁链定向的控制策略;GSC采取基于电网电压定向的控制策略,采用内外环双闭环控制。
图1 直驱风电场经VSC-HVDC并网系统拓扑结构
Fig.1 Structural diagram of direct-drive wind farm via VSC-HVDC system
表1 直驱风电场经VSC-HVDC并网系统变量
Tab.1 Variables of direct-drive wind farm via VSC-HVDC system
变量名称含义 发电机出口电压、定子电流 直流侧电压 网侧换流器出口电压、电流 PCC母线电压、电流 VSC交流系统线路电流 VSC送端端口交流电压 VSC直流侧电压、电流 PMSG直流侧电容 网侧滤波电感 输电线路等效电阻和电感 VSC送端线路电阻、电抗器 VSC送端侧滤波电容 直流侧电阻、电感和电容
柔直系统动态模型包括交流输电线路、送端整流器及直流系统,详细建模过程及公式推导参考文献[7]。柔直侧送端整流器(Wind Farm Side Converter, WFSC)采用定交流电压控制方式,为风机提供交流电压与频率支撑[6]。
采用模块化建模方法建立风机经VSC-HVDC送出系统的状态空间模型,在稳态运行点线性化后可得全系统小信号模型为
(1)
式中,
为状态变量;
为输入变量;
为输出变量;A为状态矩阵;B为输入矩阵;C为输出矩阵;D为传递矩阵。
本文建立的小信号模型状态方程共28阶,其中直驱风机的状态变量为前18个:

;柔直系统的状态变量为:
。各状态变量的含义见附表3。
互联系统的主要振荡模态见表2。
表2 互联系统振荡模态
Tab.2 The oscillation mode of the system
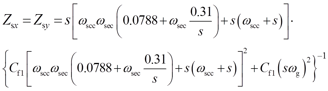
振荡模式特征值振荡频率/Hz阻尼比模式分类 -19±22 217i3 536.10.000 8高频振荡 -16±3 651i581.10.004高频振荡 -82.4±150i2400.054中频振荡 -12±892i1420.014中频振荡 87.7±730i116.2-0.119中频振荡 11.1±88.56i14.09-0.124次同步振荡 -458±48.4i7.70.994次同步振荡 -0.004±0.3i0.0430.147低频振荡
由表2可知,互联系统共有8个振荡模态,包括2个高频、3个中频、2个次同步和1个低频振荡模式,其中SSO模式(
)和中频模式(
)呈现负阻尼[25],其归一化参与因子如图2所示。
图2 次同步及中频振荡模式的参与因子
Fig.2 Participation factors of SSO and intermediate-frequency oscillation modes
根据图2可知,对于次同步和中频段振荡模态,由于直流电容等效解耦了风机机侧换流器与网侧换流器的动态特性,机侧响应时间集中于s级范围,可以假定输出功率恒定不变,符合并网换流器的电流源特性[5,18,23],且参与因子计算结果显示风力发电机和机侧换流器的参与度近似为0,故后续阻抗建模时可将其等效为受控电流源简化分析。SSO模式和中频振荡模式与D-PMSG发电系统和VSC-HVDC系统均相关,其中SSO模式由柔直内外环控制和风机锁相环部分主导;中频振荡模式由风机电流内环与柔直内外环部分主导。为了分析D-PMSG和VSC-HVDC动态交互作用导致的系统振荡机理,并评估上述主导因素对稳定性的影响,需进一步建立系统阻抗模型。
从阻抗角度出发,对风机控制系统和主电路分别建立dq和xy坐标系下的小信号模型,采用传递函数法推导出直驱风电场和柔直换流器的阻抗模型,进而利用Bode图绘制互联系统的幅频特性与相频特性,对系统振荡现象进行机理分析。
在进行风机系统阻抗建模时,PLL通过追踪电网电压
建立与电压矢量同向的控制系统相位
,而风机控制系统与主电路间会因PLL的动态特性产生坐标系的相位偏差[26],因此电流
与电压
、
的坐标变换均基于PLL跟踪相位
。
由系统实际相位构建的xy坐标系中,x轴坐标方向以图1中电网电压的基波分量
为基准,y轴超前x轴90°。GSC控制系统采用PLL建立的dq坐标系,规定d轴方向为PLL输出的电网电压方向,q轴超前d轴90°。D-PMSG发电系统PLL控制框图如图3所示,借助PLL给出电压、电流变量在xy与dq坐标系之间的转换方法。
图3 D-PMSG发电系统PLL控制框图
Fig.3 Control block diagram of PLL in D-PMSG system
定义比例积分控制器的传递函数
为
(2)
当电网电压出现小扰动,且考虑PLL动态影响时,实际电网相位
与PLL输出相位
的相位差为
,即为两坐标系的相位差。
坐标系转换关系如图4所示。由图4列写xy与dq坐标系的动态转换关系为
(3)
式中,
、
分别为dq和xy坐标系下的电网电压分量变化量;
、
分别为dq和xy坐标系下的电网电压初始值;
为坐标变换矩阵。

图4 坐标系转换关系
Fig.4 The relationship of coordinate system transformation
进行小信号线性化处理后得到
(4)
结合式(3)、式(4)并忽略高阶量,可推导出电网电压
在dq与xy坐标系下的线性化转换关系为
(5)
根据图3控制框图,将PLL小信号模型的输入输出分别设置为
和
,可以得到
(6)
式中,
为PLL的闭环传递函数,有
(7)
若将锁相环设计为二阶系统特性,即
(8)
式中,
为PLL传递函数的阻尼比;
为PLL的自然振荡频率。则
,
。
2.1.1 直驱风机控制系统及带宽整定
风机控制系统涵盖电流内环及直流电压外环,图1 GSC中
和
分别为内环和外环PI控制器的传递函数,有
(9)
(10)
根据图1给出电流内环及内环控制对象(风电并网电感)的表达式分别为
(12)
推导出电流内环的闭环传递函数
为
(13)
式中,
、
和
、
分别为风机出口处和GSC输出电压的d、q轴分量;
为工频角频率;
和
分别为包含滤波电感
和经变压器T1折算后的输电线路连接阻抗。
将
整定为一阶滞后环节[27],有
(14)
式中,
为
的闭环控制带宽。则
。
风机电压外环为
(15)
将直流电压环的闭环传递函数设计为二阶惯性环节,则
,
为电压外环阻尼比,
为自然振荡频率。令二阶闭环传递函数的绝对值为0.707,控制闭环的自然振荡频率与其带宽之间的关系为
(16)
2.1.2 以带宽为参数的直驱风电场阻抗模型
因为风机主电路和控制系统分别以xy和dq坐标系为基础,因此需统一两个坐标系中的变量。以主电路坐标系为参考坐标系,将控制系统模型转换至xy坐标系下。互联系统接口处电压
及电流
由xy坐标系向dq坐标系变换,GSC输出电压
由dq坐标系向xy坐标系变换,由此完成风机主电路与控制系统坐标系统一。
的坐标系转换关系参照式(3)~式(5),结合PLL的
,可得线性化后矩阵形式的电网电压坐标变换式为
(17)
电流
和网侧指令电压
的线性化过程类似,即
(18)
(19)
式中,
、
、
为接口处电压电流变量的坐标变换矩阵。
将式(11)、式(12)在平衡点线性化,以矩阵形式表示电流内环及输电线路在dq坐标系下的端口电压电流关系为
(20)
(21)
式中,
为电流内环输入电流和端口电压的关系矩阵;
为输电线路端口电流和电压的关系矩阵。
将式(15)在平衡点线性化,以矩阵形式表示电压外环在dq坐标系下的直流侧电压与电流参考值关系为
(22)
式中,
为电压外环端口电压和电流参考值的关系矩阵。
图1中直流电容部分的功率交换可表示为
(23)
式中,
和
分别为直流电容与GSC端口电压和电流的关系矩阵。
根据式(17)~式(22)的输入输出关系,按照系统拓扑结构连接,图5为统一坐标系下直驱风机的传递函数模型。红色虚线区域为主电路部分,绿色点划线区域为dq坐标系下的控制系统部分,接口处电压电流变量通过传递函数矩阵进行坐标转换。
图5 统一坐标系下风机的传递函数模型
Fig.5 Wind turbine transfer function model in unified coordinate system
基于阻抗定义求得风机等效阻抗
。
(24)
考虑风机系统中各控制环节的带宽约束条件,依据一阶或二阶惯性系统设计理念构建相应的闭环传递函数。可推导出直驱风机各控制环节的带宽整定原则见附录式(A1),得到考虑带宽约束条件的风电场阻抗模型为
(25)
式中,k为考虑变压器T1、T2及风机并网台数的阻抗等效系数。
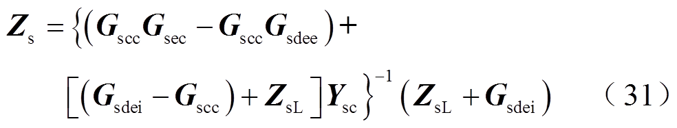
如图1所示,柔直外环采用定交流电压控制策略。由于柔直系统主电路和控制部分的输入与输出均建立在同一坐标系下(下文称其为xy坐标系),建模过程较简便,直接列出矩阵形式的电流内环与电压外环模型式(27)~式(30),整理得到柔直系统的传递函数阻抗表达式(31),其中
、
为内外环传递函数矩阵;
、
分别为线路阻抗和导纳矩阵;
、
为控制环节耦合项。
的带宽整定原则见附录式(A1),其中电流内环整定为一阶滞后环节,定交流电压外环整定为二阶惯性环节。
(27)
(28)
(29)
(30)

式中,
为联结变压器高压侧的x、y轴电压变化量;
为VSC交流侧x、y轴电压变化量;
为VSC交流系统x、y轴电流变化量;
为联结变压器高压侧的x、y轴电流变化量。
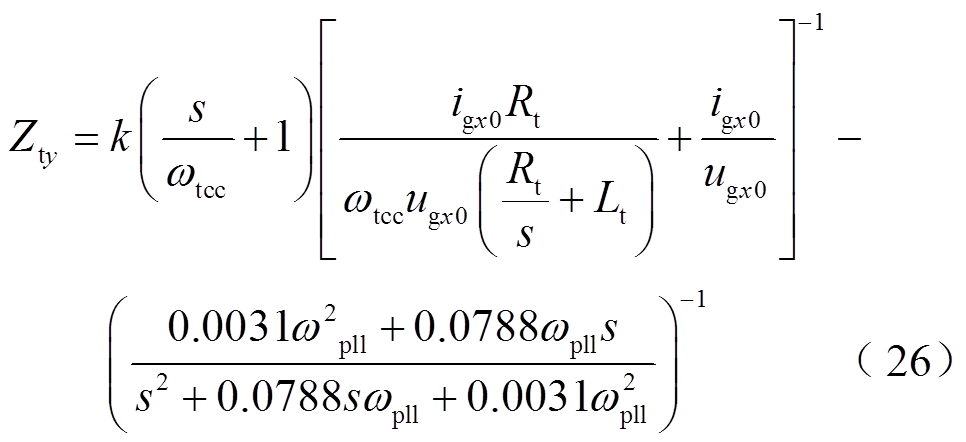
采用带宽参数代替传统内外环控制的比例与积分系数,得到考虑带宽约束条件的柔直系统阻抗模型式(32),阻尼系数
设置为典型值0.707[27]。
(32)
式中,
为工频角速度。
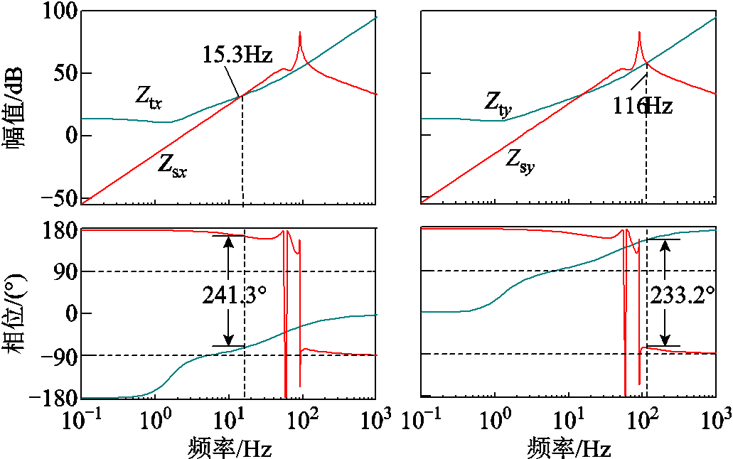
根据式(25)、式(26)及式(32),作出直驱和柔直系统阻抗模型的幅频特性曲线如图6所示,各控制器带宽见附表4。
图6 系统阻抗特性曲线
Fig.6 Impedance characteristic curve of the system
由图6可知,风机和柔直的幅频特性曲线分别在15.3 Hz和116 Hz处产生交点。其中15.3 Hz对应的x轴阻抗相位差为241.3°,超过180°,在次同步频段柔直呈现感性负阻尼特性,直驱x轴阻抗为容性正阻尼特性,二者发生交互作用而失稳,不稳定因素为柔直系统。中频116 Hz对应的y轴阻抗相位差为233.2°,在中频段直驱风机y轴阻抗呈现感性负阻尼特性,柔直为容性正阻尼特性,二者发生交互作用而失稳,不稳定因素为风机系统。
在PSCAD/EMTDC中搭建图1直驱风电场经柔直外送系统的时域仿真模型,风速设置为8 m/s,在附表4初始条件下系统为稳定状态,保持其余参数不变,3 s时分别增大直驱风机电压外环带宽和机侧单位功率因数控制系数,图7为施加参数扰动前后直流电压与定子电流d轴分量波形。
图7 电压和电流波形
Fig.7 Voltage and current waveform
由图7可知,系统在受到扰动后,电压与电流波形呈现明显的振荡现象,振荡频率分别为15.4 Hz和116.2 Hz。阻抗模型和特征值分析所得结论与时域仿真结果一致,验证了本文所提带宽模型能够有效地反映系统的频率响应特征。
风电机组经柔直外送系统在次同步和中频段均存在振荡风险,振荡特性受直驱风机与柔直间动态交互作用的影响。本节通过对系统阻抗模型进行数学分解,量化各控制环节对于稳定性的作用。
数学分解的本质是基于开环传递函数因子在阻抗解析表达式中的位置,对阻抗进行合理拆分[27],从而获取系统阻抗幅值频率特性的成因,以研究互联系统内部多控制环节间的交互作用。为了明确辨识影响系统稳定性的核心要素,需要对原始阻抗模型进行降阶与简化。
对于直驱风机x轴阻抗式(25),在中频范围内,GSC滤波器、连接线路的等效参数影响较小,且高压输电线路中电抗远大于电阻,因此忽略等效电阻的影响,简化整理为因子相乘的形式,有
(33)
因
中包含附加项
,现结合伯德图分析其幅频特性,如图8所示,附加项仅对第一个转角频率前的幅频特性产生影响,加入附加项后起始段渐近线斜率由+40 dB/dec减小为0 dB/dec,不会影响各转角频率和其他频段的渐近线斜率。

图8 是否考虑附加项时
的伯德图
Fig.8 Consider the Bode plot when additional terms are included in 
根据式(33)及伯德图分析可得
中各因子排序见表3。推导出
幅频特性曲线示意图如图9a所示。
表3
因子排序表
Tab.3 Factor sorting table of 
序号因子转角频率/(rad/s)斜率/(dB/dec) 1只影响第一个转角频率前的幅频特性曲线,加入后初始斜率变为0 2—+40 3—0 4+20 5+40
对于直驱风机y轴阻抗式(26),化简整理为因子相乘的形式,有
(34)
通过分析式(34)并依据系统稳态平衡点的判定条件,
中各传递函数因子的排序情况见表4。
推导出
幅频特性曲线如图9b所示。由于前两个转折频率过于接近且均为锁相环作用环节,因此将二者合并为一点,在伯德图上作用效果为渐近线斜率增加20 dB/dec。
表4
因子排序表
Tab.4 Factor sorting table of 
序号因子转角频率/(rad/s)斜率/(dB/dec) 1—0 2-20 3+20 4+40
图9 幅频特性曲线示意图
Fig.9 Amplitude-frequency characteristic curve diagram
对于柔直系统阻抗式(32),其化简整理后的因子相乘形式为
(35)
图10和图11分别为不同电压外环带宽和电流内环带宽下柔直阻抗的伯德图。
图10 电压外环带宽对柔直阻抗的影响
Fig.10 The effect of voltage outer loop bandwidth on VSC-HVDC impedance
由图10和图11可以分析得到:
1)
为系数部分,其中分子
决定初始斜率为+40 dB/dec,分母影响初始幅值。
图11 电流内环带宽对柔直阻抗的影响
Fig.11 The effect of current inner loop bandwidth on VSC-HVDC impedance
2)转角频率取决于因子
,由柔直电压外环带宽决定,理论计算得到转角频率为413.1 rad/s。因子
对整体特性影响较小。
3)转角频率随带宽增大而右移,且系数部分中柔直内外环带宽的作用效果只对转角频率前的幅值曲线(次同步频段)产生较大影响,因其所在位置为分母,在系统其他参数及运行状态保持不变的情况下,内外环控制带宽越小,柔直阻抗的初始幅值越大,对应系统稳定裕度越小,即随着控制器带宽减小阻抗幅值明显增加;对于转折频率后的中频段,内外环带宽减小时阻抗幅值下降,与次同步频段呈现相反趋势,但影响较小。
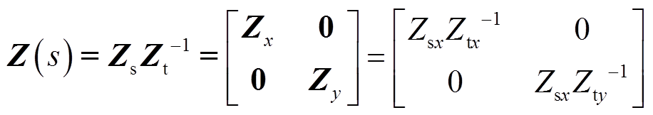
基于互联系统PCC处的电压电流调控原理,构建用于评估阻抗稳定性的等效阻抗示意图如图12所示。
图12 互联系统等效阻抗
Fig.12 Equivalent impedance of interconnected systems
为统一系统稳定性的判定标准,将其转换为评估等效开环传递函数
的稳定性。直驱风机和柔直阻抗模型进行带宽整定后耦合项为0,视柔直侧为源子系统,风机侧为负载子系统,推导出系统阻抗的矩阵表达式为
(36)
式中,
为互联系统的输出阻抗;
为互联系统的输入阻抗。
风机输出功率增加会引起系统振荡,在输出功率较小时系统稳定性增强,Middlebrook教授提出了更为保守的稳定性分析准则,阐述了复平面上互联系统稳定区域外的禁区概念。为确保系统稳定,需将最小环路增益
的奈奎斯特曲线约束在复平面的单位圆内部[28],这要求满足
(37)
式中,G为系统幅值裕度。映射在伯德图上体现为源网阻抗比幅值小于1,通过确保幅值裕度大于0来避免奈奎斯特曲线包围
点,从而保障互联系统的稳定性;当幅值裕度减小时则说明系统稳定性降低,振荡发生的风险增加。根据图6,互联系统的相位差在次同步和中频段内始终满足大于180°的不稳定条件,因此可以根据幅值裕度进行稳定性评估。本节在系统稳定状态下进行控制环节的交互作用分析,当风机输出功率较小时系统稳定,通过研究系统阻抗幅值特性曲线与0 dB线的距离评估系统稳定性。
由于直驱风机x、y轴阻抗的表现形式相同,幅频特性曲线的第一个转折频率分别取决于直驱风机电压外环带宽及PLL带宽。实际上,为确保由直驱风机内外环调控所构成的串联控制结构动态解耦,通常电压外环带宽远小于电流内环带宽(同时参与因子分析中电压外环参与度很小),因此在后续建模和分析过程中忽略电压外环的响应,考虑PLL与其他控制环节的交互作用,基于系统y轴阻抗特性曲线进行振荡机理解析。
系统阻抗
由柔直y轴阻抗
与风机y轴阻抗
的倒数相乘得到,根据各因子排序推导其幅频特性曲线如图13所示,其中起始位置幅值以符号X表示,三个转角频率以字母A、B、C表示。
基于1.1节中并网场景代入稳态平衡点参数,使系统在小功率无扰动下处于稳定状态。根据式(34)、式(35)及图13的综合分析,可以得出
的幅频特性曲线具备以下特性:
1)
幅频特性曲线的低频段位置由式(38)确定,风机输出功率越大、并网点电压幅值越低、柔直侧滤波电容越小、柔直内外环带宽越小,
幅频特性曲线在
=1 rad/s处的幅值越大。

图13
幅频特性曲线示意图
Fig.13 Amplitude-frequency characteristic curve of 
2)幅频特性曲线在[0,A]区间的斜率为40 dB/dec,由PLL因子决定,其作用范围取决于锁相环的带宽;在[A,B]区间的斜率为20 dB/dec,由风机电流内环决定,作用范围取决于内环的带宽。
3)在柔直外环控制带宽
处,
幅频特性曲线斜率由正变负,系统阻抗幅值整体呈现先增后减的趋势,在
处达到最大,当
减小时该最大幅值会相应增大。
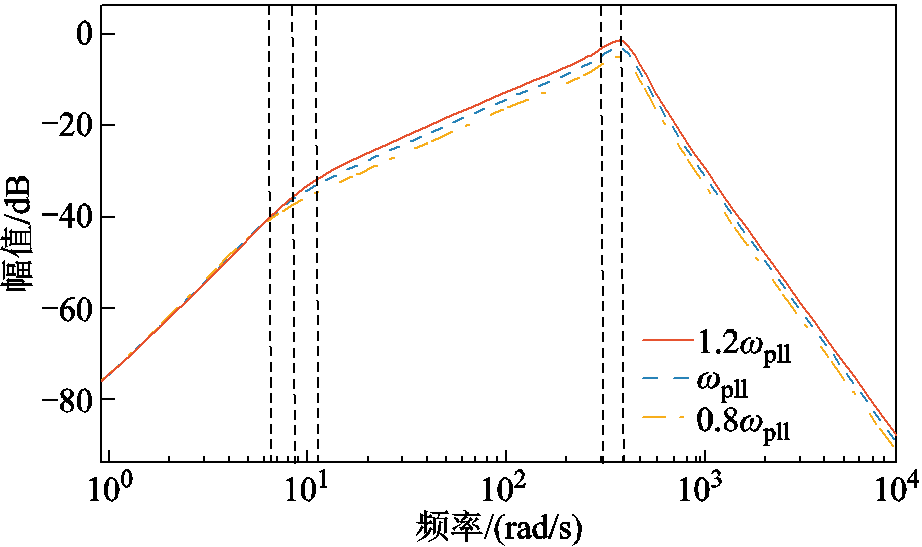
系统稳定时
在不同PLL带宽下的伯德图如图14所示。幅频曲线中各频段的渐近线斜率与图13中理论分析结果相吻合,且
仅影响第一个转角频率,PLL带宽增加会使转角频率右移,
范围的幅频特性曲线平行上移,对初始幅值和其他转角频率均无影响,由此证明了因子分解方法的正确性。
图14 不同PLL带宽
下
的Bode图
Fig.14 Bode diagrams of
with different PLL
基于阻抗因子分解法,可以评估控制环节带宽参数对系统稳定性的影响,揭示不同频段系统控制环节间的动态交互作用。下面分别围绕SSO模态和中频振荡模态开展交互作用理论分析与仿真验证。
3.3.1 SSO模态控制环节交互机理
由1.2节分析可知,SSO主导因素为柔直内外环和风机PLL。由图13可知,与柔直内外环相关的因子在系数部分,决定系统阻抗低频段位置;直驱风机PLL带宽决定幅频特性曲线的第一个转角频率,均对次同步频段的阻抗特性产生影响。PLL与柔直控制之间存在交互作用关系,具体表现为:一方面,当柔性直流系统的内外环带宽增大,逐渐靠近风机PLL带宽时,系统阻抗在起始阶段的幅值会减小,导致整个幅频特性曲线向下偏移,距离0 dB线更远,从而使系统幅值裕度增大,稳定性增强。相反,若柔性直流系统的内外环带宽减小,逐渐远离PLL带宽,则系统幅值裕度减小,振荡风险提高。
另一方面,当风机PLL的带宽增大,逐渐远离柔直内外环带宽时,幅频特性曲线的第一个转角频率增大,
中渐近线斜率为40 dB/dec的递增区间范围增大,阻抗曲线在次同步频段更容易趋近0 dB线,导致系统稳定性减弱;相反,减小PLL带宽会增强系统稳定性。综上所述,对于SSO中参与度较大的柔直内外环和风机PLL,在
的限制条件下,二者带宽越接近,系统稳定性越强;带宽距离越大,内部控制环节之间越容易发生交互作用,进而引发系统振荡。以上分析从机理层面解释了系统发生SSO时控制环节间的交互作用。
为验证前述理论的正确性,基于风机并网系统进行算例分析。应用式(39)伯德图稳定判据。
(39)
式中,
为系统稳定裕度,即幅值裕量,
>0时系统稳定。
不同控制器带宽距离和功率运行水平下系统的稳定裕度计算结果如图15所示。
图15 系统稳定裕度随带宽距离和功率水平的变化
Fig.15 System stability margin changes with bandwidth distance and power level
由图15可知,不同输出功率下系统的稳定性不同,稳定裕度随着输出功率的增加而减小。同时控制器带宽距离越大,系统稳定裕度越小,在功率较高时,稳定裕度会小于0,系统在次同步频段出现振荡现象,且振荡程度与带宽距离呈正相关。
以图1所示风电经柔直并网系统为例,验证控制带宽对次同步频段稳定性的影响规律。图16为不同控制器带宽下,参数摄动后直流电压波形。
图16 不同带宽设计下电压响应
Fig.16 Voltage response at different bandwidth designs
图16中红色、绿色和蓝色曲线分别为原始带宽参数,带宽靠近时(柔直控制环与PLL带宽距离为0.8(pu))以及带宽远离时(带宽距离为1.2(pu))的电压响应。仿真结果表明,当功率运行水平及主电路参数固定时,PLL带宽和柔直内外环带宽越靠近,系统次同步振荡的幅值越小,稳定性越强,有振荡减弱的趋势;二者带宽越远离,交互作用程度越深,系统振荡幅值越大,有振荡放大的趋势,与因子分解方法得到的分析结果一致。
考虑到系统出现频率波动时,设备级瞬时调节响应时间在0.1~0.5 s内。图17为SSO模式下系统受扰后0.3 s左右,直流电压振幅随带宽距离的变化趋势,振幅标幺值以原始带宽下的振幅为基准值。
图17 SSO模式振幅随带宽距离的变化趋势
Fig.17 Amplitude variation trend of SSO mode with bandwidth distance
由图17可知,SSO模式振幅特性表现为:随带宽距离的增加,振幅响应初期呈线性增长趋势,随后逐渐进入饱和阶段。进一步分析表明,PLL带宽和柔直内外环带宽距离增大对SSO的影响存在阶段性特征,当带宽距离趋于1.4(pu)时,对振幅的影响基本不变。基于此规律,从降低系统SSO风险的角度出发,应选择较小的带宽间距设计方案,但经仿真表明,带宽距离不宜小于0.6(pu),否则系统稳态运行中将产生显著的谐波畸变。
3.3.2 中频振荡模态控制环节交互机理
中频振荡模态的主导因素为风机电流内环和柔直内外环控制,其中风机电流内环带宽和幅频特性曲线的第二个转角频率正相关;柔直外环带宽和第三个转角频率正相关,且柔直内外环相关因子会对中频段的阻抗特性产生影响,随着内外环带宽减小系统阻抗幅值下降。结合图13,柔直内外环与风机电流内环控制之间存在交互作用关系,具体表现为:一方面,随着风机电流内环带宽增大,幅频特性曲线的第二个转角频率增大,
幅频渐近线斜率为20 dB/dec的递增区间范围增大,阻抗曲线上移,在中频段更容易接近0 dB线,系统稳定性减弱。相反,内环带宽越小则系统越稳定。
另一方面,柔直内外环带宽越大,幅频特性曲线的第三个转角频率越大,
的幅频渐近线斜率为40 dB/dec的递增区间范围越大,同时随着内外环带宽增加中频段幅值增加,阻抗曲线在中频段更容易接近0 dB线,对应系统稳定性减弱。相反,柔直内外环带宽越小,系统幅值裕度越大,稳定性越强。综上所述,对于中频振荡模态中参与度较大的风机电流内环和柔直内外环控制,在
的限制条件下,二者带宽协同增加,系统稳定性越弱,越容易发生交互作用失稳;带宽协同减小,系统稳定性增强,从机理层面解释了系统发生中频振荡时控制环节间的交互作用。
不同控制器带宽和功率运行水平下系统的稳定裕度计算结果如图18所示。由图18可知,不同输出功率时系统表现的稳定性不同,稳定裕度随着输出功率的增加而减小。同时控制器带宽协同增加会使系统稳定裕度减小,在功率较高时,稳定裕度小于0,系统在中频段出现振荡现象,且振荡程度与各控制器带宽呈正相关。
图19为不同控制器带宽设计下,参数摄动后风机定子电流的波形。图19中红色、蓝色和绿色曲线分别为原始带宽、带宽协同减小(柔直内外环与风机电流内环带宽减小至0.9(pu))以及带宽协同增加(两者带宽增加至1.1(pu))时的电流响应。由图19可知,直驱电流内环带宽和柔直内外环带宽越小,系统中频振荡的幅值越小,稳定性越强;二者带宽设计越大则交互程度越深,系统振荡幅值越大,有振荡放大趋势,与上述理论分析结果一致。
图18 系统稳定裕度随带宽和功率水平的变化
Fig.18 System stability margin changes with bandwidth and power level
图19 不同带宽设计下电流响应
Fig.19 Current response at different bandwidth designs
图20为中频振荡模式下系统受扰后0.3 s左右,定子电流振幅随控制器带宽的变化趋势。
图20 中频振荡模式振幅随带宽的变化趋势
Fig.20 Amplitude variation trend of intermediate frequency oscillation mode with bandwidth
由图20可知,中频振荡模式振幅特性表现为:随风机电流内环带宽和柔直内外环带宽的增加,振幅响应初期呈现快速上升趋势,随后增长速率减慢,最终进入饱和状态。基于此规律,从降低系统中频振荡风险的角度出发,应尽量降低控制器带宽,但经验证带宽不宜小于0.8(pu),否则会导致定电压电流控制效果减弱,降低系统小干扰稳定性。
3.3.3 有功功率大小及滤波电容对交互作用的影响
观察表4及图13可知,风机输出有功功率大小(表现为
)与柔直滤波电容
在次同步与中频段范围呈现出相似的影响趋势,均通过改变系统阻抗初始幅值影响控制环节间的交互作用。风机输出功率增大,
(j1)增加,
的幅频特性曲线向上偏移,控制环节间交互作用导致失稳的风险增大。而
与系统稳定性之间呈负相关,
越大,
(j1)越小,
的幅频特性曲线会向下移动,系统稳定程度增强,振荡幅值减小。
图21为不同功率运行水平下,参数摄动后直流电压和风机输出电流的波形。随着风机输出功率增加,次同步和中频振荡幅值增加,系统稳定性减弱,与理论分析结果一致。
图21 不同功率运行水平下电压电流响应
Fig.21 Voltage and current responses at different power operating levels
图22为不同
下,参数摄动后直流电压和风机输出电流波形。随着
减小,次同步和中频振荡幅值增加,系统稳定性减弱,与理论分析结果一致。

图22 不同滤波电容
下电压电流响应
Fig.22 Voltage and current response at different
3.3.4 控制环节带宽设计原则
本文提出的次同步及中频振荡交互作用分析方法可对控制器带宽设计提供指导,系统振荡的一个重要原因是电力电子换流器间会产生交互作用,参数设计不合理导致交互程度加深,为次同步及中频振荡创造条件。减小PLL带宽可有效提升系统次同步频段的稳定性,从稳态角度考虑设计PLL带宽越小越好,但带宽减小会牺牲响应速度,导致系统在电网频率或相位突变时(如故障、负载切换等工况)的跟踪能力下降,引发较大的相位误差,影响系统动态性能。类似地,减小风机电流内环带宽可增强系统中频段的稳定性,但也需兼顾动态性能;柔直内外环带宽减小虽有利于中频段的稳定,但会提高次同步振荡风险。因此,控制器带宽设计需结合系统实际运行特性,通过合理选择带宽,在确保各频段稳定性的同时满足系统动态响应需求。
本文结合模态分析法与阻抗分析方法,建立了考虑带宽约束条件的系统阻抗模型,针对直驱风机经柔直外送系统的控制环节交互作用机理进行深入探讨,所得结论如下:
1)直驱风电场经柔直外送系统存在低频、次同步、中频和高频振荡模态,其中失稳的SSO模态由柔直内外环控制和风机PLL主导,中频振荡模式由风机电流内环和柔直内外环主导。进一步提出了一种考虑带宽约束的系统阻抗模型,为揭示风机与柔性直流控制系统间的振荡机理提供了新的视角。
2)开环传递函数因子分解方法适用于并网系统的交互作用机理分析。深入探讨了风机锁相环与柔性直流系统电压外环、电流内环间交互作用引起并网系统失稳的数学机理。在SSO模态下,锁相环带宽和柔直内外环带宽越靠近,系统稳定性越强,二者带宽远离将加剧系统间的动态交互作用,削弱系统的稳定性;而对于中频段振荡,直驱电流内环带宽和柔直内外环带宽协同增加时,交互作用程度加深,不利于互联系统的稳定性。
3)风机输出有功功率与柔直滤波电容在次同步与中频段范围呈现出相似的影响趋势,通过改变幅频特性曲线的低频段起始位置影响控制环节间的交互作用。风机输出功率越大,滤波电容取值越小,控制环节则越容易发生交互作用导致系统失稳。
附 录
附表1 PMSG系统参数
App.Tab.1 PMSG system parameters
参数数值 风轮半径58 空气密度1.225 基准频率10 永磁体磁链0.041 7 极对数12 定子等效电感0.012 08 单位功率因数控制1,5 定转子转速外环0.4,2.5 定转子转速内环1,5 直流电容12 000 定直流电压外环0.2,20 定直流电压内环0.6,2.5 定无功功率控制0.6,2.5 锁相环控制5,9 滤波电感0.002 输电线路电阻1.134 输电线路电感0.001 升压变压器电压比35/3 联接变压器电压比110/35
附表2 VSC-HVDC系统参数
App.Tab.2 VSC-HVDC system parameters
参数数值 滤波器电容3.5 送端电阻1 相电抗器0.02 89.815,0 定交流电压控制内环,2.5,125 定交流电压控制外环,0.002 9,1.2 直流侧电阻0.006 平波电抗器0.000 5 直流侧电容150 等效直流电压源160
附表3 各状态变量含义
App.Tab.3 Meaning of each state variable
状态变量含义 风力机转子角速度 定子电流d、q轴分量 MSC控制器状态变量 GSC控制器状态变量 风机直流侧电压 锁相环状态变量 GSC出口d、q轴电流 T1低压侧d、q轴电压 输电线路d、q轴电流 T2高压侧d、q轴电压 VSC线路d、q轴电流 VSC直流侧电流、电压 VSC送端换流站状态变量
附表4 系统控制器带宽参数
App.Tab.4 System controller bandwidth parameter
控制器带宽参数数值/(rad/s) 直驱风机电流内环带宽300 直驱风机电压外环带宽211 锁相环带宽156 柔直电流内环带宽125 柔直电压外环带宽105
(A1)
参考文献
[1] Wang Luping, Xie Xiaorong, Liu Huakun, et al. Review of emerging SSR/SSO issues and their classifications[J]. The Journal of Engineering, 2017, 2017(13): 1666-1670.
[2] 吕敬, 董鹏, 施刚, 等. 大型双馈风电场经MMC-HVDC并网的次同步振荡及其抑制[J]. 中国电机工程学报, 2015, 35(19): 4852-4860. Lü Jing, Dong Peng, Shi Gang, et al. Subsynchronous oscillation and its mitigation of MMC-based HVDC with large doubly-fed induction generator-based wind farm integration[J]. Proceedings of the CSEE, 2015, 35(19): 4852-4860.
[3] 魏伟, 许树楷, 李岩, 等. 南澳多端柔性直流输电示范工程系统调试[J]. 南方电网技术, 2015, 9(1): 73-77. Wei Wei, Xu Shukai, Li Yan, et al. The system commissioning of Nan’ao VSC-MTDC demonstration project[J]. Southern Power System Technology, 2015, 9(1): 73-77.
[4] Song Yujiao, Breitholtz C. Nyquist stability analysis of an AC-grid connected VSC-HVDC system using a distributed parameter DC cable model[J]. IEEE Transactions on Power Delivery, 2016, 31(2): 898-907.
[5] 高本锋, 王义, 范辉, 等. 基于阻尼路径的新能源经LCC-HVDC送出系统次同步交互作用分析方法[J]. 电工技术学报, 2023, 38(20): 5572-5589. Gao Benfeng, Wang Yi, Fan Hui, et al. A sub-synchronous interaction analysis method of renewable energy generations integrated with LCC-HVDC system based on damping path[J]. Transactions of China Electrotechnical Society, 2023, 38(20): 5572-5589.
[6] 赵书强, 沈俊铃, 邵冰冰. 直驱风电场经柔直并网系统全运行区域次同步振荡特性分析[J]. 太阳能学报, 2021, 42(12): 163-173. Zhao Shuqiang, Shen Junling, Shao Bingbing. Subsynchronous oscillation characteristics analysis of grid-connected direct-drive wind farms via VSC-HVDC system under whole operation regions of d-pmsg[J]. Acta Energiae Solaris Sinica, 2021, 42(12): 163-173.
[7] 邵冰冰, 赵书强, 裴继坤, 等. 直驱风电场经VSC-HVDC并网的次同步振荡特性分析[J]. 电网技术, 2019, 43(9): 3344-3355. Shao Bingbing, Zhao Shuqiang, Pei Jikun, et al. Subsynchronous oscillation characteristic analysis of grid-connected DDWFs via VSC-HVDC system[J]. Power System Technology, 2019, 43(9): 3344-3355.
[8] 季一宁, 王海风. 包含串补的并网直驱风电场振荡稳定性及可行域分析[J]. 电工技术学报, 2024, 39(3): 686-698. Ji Yining, Wang Haifeng. Analysis of oscillation stability and feasible region of parameters in grid-connected direct-drive wind farm with series compensation[J]. Transactions of China Electrotechnical Society, 2024, 39(3): 686-698.
[9] 高本锋, 刘培鑫, 刘王锋, 等. 直驱风电场并网对火电机组次同步谐振影响[J]. 电工技术学报, 2024, 39(11): 3308-3322. Gao Benfeng, Liu Peixin, Liu Wangfeng, et al. Influence of grid connected direct drive wind farm on subsynchronous resonance of thermal power units[J]. Transactions of China Electrotechnical Society, 2024, 39(11): 3308-3322.
[10] 罗永捷, 黄鹏, 段修超, 等. 考虑海上风电与MMC阻抗耦合的柔性直流送出系统等效阻抗建模方法[J]. 中国电机工程学报, 2024, 44(7): 2655-2670. Luo Yongjie, Huang Peng, Duan Xiuchao, et al. Equivalent impedance modeling method for MMC-HVDC considering coupling of offshore wind power and MMC impedance[J]. Proceedings of the CSEE, 2024, 44(7): 2655-2670.
[11] 高本锋, 邓鹏程, 梁纪峰, 等. 光伏电站与弱交流电网间次同步交互作用路径及阻尼特性分析[J]. 电工技术学报, 2023, 38(24): 6679-6694. Gao Benfeng, Deng Pengcheng, Liang Jifeng, et al. Analysis of path and damping characteristics of subsynchronous interaction between photovoltaic plant and weak AC grid[J]. Transactions of China Electrotechnical Society, 2023, 38(24): 6679-6694.
[12] 马燕峰, 程有深, 赵书强, 等. 双馈风电场并网引起火电机组多模态次同步谐振机理分析[J]. 电工技术学报, 2025, 40(5): 1395-1410. Ma Yanfeng, Cheng Youshen, Zhao Shuqiang, et al. Mechanism analysis of multi-mode SSR of thermal power unit caused by doubly fed wind farm integration[J]. Transactions of China Electrotechnical Society, 2025, 40(5): 1395-1410.
[13] 王一珺, 杜文娟, 王海风. 基于改进复转矩系数法的多风电场接入引发多机电力系统次同步振荡机理分析[J]. 中国电机工程学报, 2021, 41(7): 2383-2395. Wang Yijun, Du Wenjuan, Wang Haifeng. Analysis of subsynchronous oscillation in multi-machine power system caused by the integration of multiple wind farms based on improved complex torque coefficient method[J]. Proceedings of the CSEE, 2021, 41(7): 2383-2395.
[14] 陈晨, 杜文娟, 王海风. 近似强开环模式谐振条件下风电场接入引发电力系统次同步振荡分析方法[J]. 电网技术, 2018, 42(9): 2778-2788. Chen Chen, Du Wenjuan, Wang Haifeng. An examination of SSOs induced by grid-connected wind farms in power systems under near strong open-loop modal resonance[J]. Power System Technology, 2018, 42(9): 2778-2788.
[15] 甄自竞, 杜文娟, 王海风. 近似强模式谐振下高压直流输电系统引起的次同步振荡仿真研究[J]. 中国电机工程学报, 2019, 39(7): 1976-1985. Zhen Zijing, Du Wenjuan, Wang Haifeng. The simulation study on SSOs caused by the HVDC under the condition of near strong modal resonance[J]. Proceedings of the CSEE, 2019, 39(7): 1976-1985.
[16] Yang Ziqian, Mei Cong, Cheng Shijie, et al. Comparison of impedance model and amplitude-phase model for power-electronics-based power system[J]. IEEE Journal of Emerging and Selected Topics in Power Electronics, 2020, 8(3): 2546-2558.
[17] Shair J, Xie Xiaorong, Wang Luping, et al. Overview of emerging subsynchronous oscillations in practical wind power systems[J]. Renewable and Sustainable Energy Reviews, 2019, 99: 159-168.
[18] 李云丰, 赵文广, 孔明, 等. 直驱风电场经柔直并网的虚拟并联阻抗次同步振荡抑制策略[J]. 中国电机工程学报, 2022, 42(17): 6326-6338. Li Yunfeng, Zhao Wenguang, Kong Ming, et al. Virtual paralleled-impedance control strategy of flexible HVDC connecting to the PMSG-based wind farm for sub-synchronous oscillation suppression[J]. Proceedings of the CSEE, 2022, 42(17): 6326-6338.
[19] Amin M, Molinas M. Understanding the origin of oscillatory phenomena observed between wind farms and HVdc systems[J]. IEEE Journal of Emerging and Selected Topics in Power Electronics, 2017, 5(1): 378-392.
[20] 吕敬, 蔡旭. 提高风场柔直并网系统稳定性的控制器参数优化设计[J]. 中国电机工程学报, 2018, 38(2): 431-443, 674. Lü Jing, Cai Xu. Controller parameters optimization design for enhancing the stability of wind farm with VSC-HVDC system[J]. Proceedings of the CSEE, 2018, 38(2): 431-443, 674.
[21] 张磊, 孙媛媛, 李亚辉, 等. 基于实测数据的直驱风电机组谐波特性分析及建模方法[J]. 电力系统自动化, 2025, 49(3): 82-92. Zhang Lei, Sun Yuanyuan, Li Yahui, et al. Measurement data based analysis and modeling method for harmonic characteristics of direct-drive wind turbine[J]. Automation of Electric Power Systems, 2025, 49(3): 82-92.
[22] 孙焜, 姚伟, 文劲宇. 双馈风电场经柔直并网系统次同步振荡机理及特性分析[J]. 中国电机工程学报, 2018, 38(22): 6520-6533. Sun Kun, Yao Wei, Wen Jinyu. Mechanism and characteristics analysis of subsynchronous oscillation caused by DFIG-based wind farm integrated into grid through VSC-HVDC system[J]. Proceedings of the CSEE, 2018, 38(22): 6520-6533.
[23] 孙焜, 姚伟, 周毅, 等. 基于SISO序阻抗的直驱风场经柔直输电系统中频振荡机理分析及抑制[J]. 中国电机工程学报, 2023, 43(2): 442-454. Sun Kun, Yao Wei, Zhou Yi, et al. Mechanism analysis and suppression of medium-frequency oscillation based on the SISO impedance in a PMSG-based wind farm when connected to a VSC-HVDC[J]. Proceedings of the CSEE, 2023, 43(2): 442-454.
[24] 谢小荣, 刘华坤, 贺静波, 等. 电力系统新型振荡问题浅析[J]. 中国电机工程学报, 2018, 38(10): 2821-2828, 3133. Xie Xiaorong, Liu Huakun, He Jingbo, et al. On new oscillation issues of power systems[J]. Proceedings of the CSEE, 2018, 38(10): 2821-2828, 3133.
[25] Hatziargyriou N, Milanovic J, Rahmann C, et al. Definition and classification of power system stability–revisited & extended[J]. IEEE Transactions on Power Systems, 2021, 36(4): 3271-3281.
[26] 李景一, 毕天姝, 张鹏. 基于两输入/输出闭环传函的PMSG网侧变流器次同步频率分量响应特性分析[J]. 电网技术, 2018, 42(12): 3910-3919. Li Jingyi, Bi Tianshu, Zhang Peng. Analysis of response characteristics of PMSG-GSC controller to subsynchronous frequency component based on TITO closed loop transfer function[J]. Power System Technology, 2018, 42(12): 3910-3919.
[27] 吴广禄, 周孝信, 王姗姗, 等. 柔性直流输电接入弱交流电网时锁相环和电流内环交互作用机理解析研究[J]. 中国电机工程学报, 2018, 38(9): 2622-2633, 2830. Wu Guanglu, Zhou Xiaoxin, Wang Shanshan, et al. Analytical research on the mechanism of the interaction between PLL and inner current loop when VSC-HVDC connected to weak grid[J]. Proceedings of the CSEE, 2018, 38(9): 2622-2633, 2830.
[28] 陈新, 王赟程, 龚春英, 等. 采用阻抗分析方法的并网逆变器稳定性研究综述[J]. 中国电机工程学报, 2018, 38(7): 2082-2094, 2223. Chen Xin, Wang Yuncheng, Gong Chunying, et al. Overview of stability research for grid-connected inverters based on impedance analysis method[J]. Proceedings of the CSEE, 2018, 38(7): 2082-2094, 2223.
Abstract The power system shows the development trend of high proportion of new energy and power electronic equipment, and the large-capacity long-distance wind power transmission structure brings the risk of oscillation to the power grid. With the rapid expansion of wind power installed capacity and project scale, as well as the integration of voltage source converter based high voltage direct current transmission(VSC-HVDC) transmission projects, grid-connected wind power systems exhibit multi-mode oscillation characteristics that vary over time and involve interactions between multiple devices across space. These characteristics differ significantly from the oscillation mechanisms of traditional power systems and fundamentally alter the factors influencing stability.
Focusing on the mechanism analysis of these oscillation characteristics in grid-connected wind power systems, this paper investigates a VSC-HVDC connected direct-drive wind farm. First, a state-space model of the interconnected system is constructed, and the eigenvalue method is used to classify the oscillation modes and locate the key links that cause oscillation in the system. Secondly, an impedance modeling method based on transfer function is proposed, considering the influence of phase-locked loop (PLL) dynamic characteristics on the impedance model of direct-drive wind farm, and further tuning the controller parameters according to the bandwidth constraint conditions, and the impedance model with bandwidth as the direct parameter is obtained. Finally, the impedance analytical expression of the system is decomposed, and the interaction process of the internal components is analyzed from a physical perspective. The influence of each control bandwidth parameter on oscillation characteristics is revealed, the underlying cause of interaction is analyzed, and the relationship between active power/main circuit parameters and internal control component interaction is systematically described. This provides a novel approach to evaluate the stability of interconnected systems based on a bandwidth model.
The main conclusions of this paper are as follows: (1) There are sub-synchronous oscillation modes and intermediate frequency oscillation modes in the system of VSC-HVDC connected direct-drive wind farm, both of which are related to D-PMSG power generation system and VSC-HVDC system. Further, a transfer function impedance model considering bandwidth constraints is proposed from the perspective of system impedance, and the Bode diagram method is used to demonstrate the interaction mechanism between the D-PMSG and VSC-HVDC control system. (2) The mathematical mechanism of the instability of grid-connected system caused by the interaction between PLL, voltage outer loop and current inner loop of VSC-HVDC system is discussed. The greater the distance between the PLL bandwidth and the VSC-HVDC inner and outer loop bandwidths, the stronger the interaction between them, increasing the tendency for oscillation amplification. (3) We reveal that the essential reason for mid-frequency band instability in the system is the interaction between the wind turbine side's current loop bandwidth and the VSC-HVDC inner and outer loop control. When the direct-drive current's inner loop bandwidth and the VSC-HVDC's inner and outer loop bandwidths increase cooperatively, the interaction intensifies, which is detrimental to the stability of the interconnected system. (4) The output active power of the D-PMSG and the VSC-HVDC filter capacitance exhibit a similar influence trend in the sub-synchronous and mid-frequency range, and the interaction between the control links is affected by changing the starting position of the low frequency band of the amplitude-frequency characteristic curve.
keywords:Direct drive wind farm, voltage source converter based high voltage direct current transmission (VSC-HVDC), impedance model, stability assessment, interaction mechanism
DOI: 10.19595/j.cnki.1000-6753.tces.250460
中图分类号:TM712
国家重点研发计划资助项目(2023YFB2406800)。
收稿日期 2025-03-22
改稿日期 2025-04-30
马燕峰 女,1978年生,博士,副教授,研究方向为电力系统分析运行与控制。E-mail:ma_yanfeng01@163.com(通信作者)
韩珊珊 女,2002年生,硕士研究生,研究方向为电力系统运行与控制。E-mail:hanshanshan2022@163.com
(编辑 赫 蕾)