面向抑制频率波动的新型电力系统调频能力需求评估

安 军1 李可心1 周毅博1 汤 伟2 石 岩1

(1. 现代电力系统仿真控制与绿色电能新技术教育部重点实验室(东北电力大学) 吉林 132012 2. 国家电网公司东北分部 沈阳 110180)

摘要 传统火电调频无法快速跟踪响应新能源出力频繁变化导致的频率波动,从而造成频率越死区现象频发,一次调频设备需要频繁启动,系统的一次调频能力面临严峻挑战。为此,该文提出一种面向抑制频率波动的新型电力系统调频能力需求评估方法。首先,对比了新型电力系统相较于传统系统在频率越限事件中的差异性特征,构建覆盖“功率-能量-时间-速度”的多维度调频能力需求指标体系;其次,基于实测的日频率波动曲线,提取越限频率的“幅值-能积-时间-频次”等多维特征;然后,计及不同调节特性,建立频率波动指标与调频能力需求之间的数学模型,实现了仅由频率的波动曲线定量评估系统的日调频能力需求;最后,基于频率的实测数据及波形,量化了系统现有调频能力的缺口,提取不同时间尺度与调频能力需求之间的关系,揭示了不同调节特性对调频能力需求的影响,为调频资源配置提供指导。

关键词:新型电力系统 频率波动特性 调频能力 需求评估 实测数据

0 引言

自2020年提出“碳达峰、碳中和”目标以来,国家不断加强对能源低碳转型的战略部署,构建新型电力系统已成为发展的必然趋势,在大规模接入风电、光伏等新能源的同时,火电等传统能源将被逐渐替代[1-4]。与同步机能够稳定输出调频功率以维持频率稳定不同,风电等新能源具有间歇性和强波动性,导致新型电力系统中的频率波动日益剧烈,但现有火电等传统调频资源已无法快速跟踪响应频率的高频波动,造成频率越死区现象频发,一次调频设备需要不断动作,严重影响设备的使用寿命和系统的安全运行[5-8]。因此,评估频率波动带来的调频能力需求不仅是维持频率稳定的核心问题,更是优化资源配置、降低运维成本的关键前提。

准确识别频率波动特性是调频能力需求评估的基础。文献[9]研究了北欧电网频率波动的统计特性,结果表明频率波动的标准差将随着风电不断地并网而增大;文献[10-12]采用去趋势波动分析法对不同时间尺度的北欧电网频率波动数据进行分析,指出频率波动在短时间尺度下具有高斯分布特性,而在长时间尺度下不具有高斯分布特性;文献[13]基于频率实测数据分析了不同年份、联网方式下频率的概率分布特性,发现频率概率分布从边缘陡峭的带状分布逐渐变为双峰分布。以上研究仅从频率波动的几何形态上构建特征指标,但忽视了波动背后的功率平衡问题。文献[14-16]从抑制风电功率波动角度出发,定义了一系列风电功率时域及频域特性指标,如功率波动量、功率越限次数、功率状态持续时间等;但上述研究仅针对风电功率本身,未考虑功率波动对频率越限的影响。综上所述,现有研究缺少从频率波动带来的调频需求的角度刻画频率波动特性。

针对电力系统的调频能力需求评估,文献[17]评估了不同调频控制参数下的储能容量需求,并提出了相应的储能容量配置方法;文献[18]以系统总运行成本最小为目标,确定了储能参与调频的容量需求;文献[19]以年化收益最大为目标,计及风电消纳和一次调频需求,提出储能调频容量的优化配置方法。但以上文献评估的均是大扰动下储能的一次调频能力需求。文献[20]基于数据驱动和条件概率,提出一种二次调频容量需求计算方法。文献[21]提出一种基于调度时段内净负荷波动极值可信预测的二次调频容量需求量化方法。可以发现,现有研究缺少从抑制频率波动、减少频率越限的角度定量评估电力系统的一次调频能力需求。

综上所述,本文提出一种面向抑制频率波动的新型电力系统调频能力需求评估方法。首先,对比新型电力系统相较于传统系统在频率越限事件中的差异性特征,从功率、能量、时间及速度等维度构建调频能力需求指标体系;其次,基于实测的日频率波动曲线,提取越限频率的“幅值-能积-时间-频次”等多维特征,表征越限频率的波动特性;然后,构建频率波动特征与系统调频需求的耦合模型,量化系统在日时间尺度下的调频能力缺口;最后,基于频率的实测数据及波形,提取不同时间尺度与调频能力需求之间的关系,揭示不同调节特性对调频能力需求的影响,为后续的调频资源配置提供重要指导。

1 新型电力系统调频能力需求指标体系

传统的电力系统一次调频能力是指当电力系统频率偏离目标频率时,电源通过控制系统的自动反应,调整有功出力,减小频率偏差的能力[22]。为避免一次调频设备频繁响应小幅波动,通常会预设频率死区,只有当频率越过死区时,一次调频设备才会动作。传统一次调频主要面向发电机脱网、大负荷投切、联络线故障等大扰动场景,分析频率的动态特性。

在新型电力系统中,由于风光等新能源的出力与天气、环境的变化息息相关,输出功率呈现随机小幅波动,导致系统频率波动越发严重乃至频繁越限,从而使一次调频设备不断动作。因此新型电力系统还应具备抑制频繁小幅的频率波动、降低一次调频设备动作频次的能力。与传统一次调频的动态分析不同,对频率波动的研究属于准稳态分析。

本文选取调频功率、调频电量、调频持续时间、调频速度作为核心指标,构建覆盖“功率-能量-时间-速度”的多维度新型电力系统调频能力需求指标体系,旨在弥补传统单一指标的缺陷,实现从系统的“瞬时功率平衡”到“全时间尺度能量-寿命协同”。

1.1 调频功率

调频功率直接反映系统补偿功率缺额、减小频率波动幅值的能力。而由新能源出力波动导致的频率波动具有宽频谱、强随机性的特征,传统经验法(如按装机容量的6%配置调频资源)容易导致调频功率冗余或不足,因此需要精确量化频率波动带来的调频功率需求,同时也为配置调频资源功率容量提供依据。

由于系统频率会在额定频率上、下随机波动,所以对调频功率也存在向上、向下调节的需求。当频率越过死区上限fup时,需要系统提供向下调频功率Pre,其值为负表示系统需要减发功率,数值越小表明需减发的功率量越大;而当频率越过死区下限fdown时,则需要系统提供向上调频功率Pin,其值为正表示系统需要增发功率,数值越大表明需增发的功率量越大。

1.2 调频电量

瞬时功率补偿能够抑制频率波动幅值,但无法覆盖持续能量缺口,故而需要评估系统对调频电量的需求。过于保守的调频资源容量配置会提高投资成本;但若调频资源的容量配置不足,则会导致系统缺乏足够的调频能力应对频率波动,因此,调频电量需求是配置调频资源的关键参数。

同调频功率一样,当频率持续越过fup时,需要系统提供向下调频电量Ere,其值为负表示系统需要减少供电,数值越小表明需减少的供电量越大;而当频率持续越过fdown时,则需要系统提供向上调频电量Ein,其值为正表示系统需要增加供电,数值越大表明需增加的供电量越大。

1.3 调频持续时间

评估电力系统对调频持续时间需求的本质是解决电力系统的“时间尺度匹配”,实现调频资源对不同时间尺度下频率波动的全方位覆盖。而且调频持续时间直接影响调频资源的选型和容量配置,如多时间尺度下的功率型储能和能量型储能如何配比。因此,需在调频效果和资源利用率之间寻找最优解,实现“快速响应不超限、持续支撑不断档”的目标。分别用TreTin表示系统的向下调频持续时间需求和向上调频持续时间需求。

1.4 调频速度

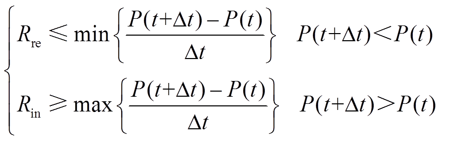
频率不断越死区现象表明传统调频资源难以应对新能源出力频繁波动带来的调频压力,一方面可能是现有火电的调频备用容量不足,但更多反映的是火电无法快速跟踪响应频率的快速变化,导致上一次调频还未结束,新能源的出力再次变化造成频率不断越死区。因此,传统以容量为核心的调频指标难以满足快速响应的需求,而调频速度直接反映了系统对频率变化的响应能力,通过量化调频速度需求,可以更精准地匹配新能源出力快速变化导致的频率波动。分别用RreRin表示系统向下调频时调频速度需求和系统向上调频时调频速度需求。Rre的值为负,数值越小表明需减发功率的速度越快;Rin的值为正,数值越大表明需增发功率的速度越快。

在新能源高渗透背景下,调频功率抑制频率波动的瞬时偏差,调频电量弥补累积能量缺口,调频持续时间优化调频资源动作时序,调频速度缩短频率恢复时间。四类指标构成的新型电力系统调频能力需求指标体系能够填补传统单一指标的局限性,为调频资源的选型、容量配置以及调频死区优化提供参考依据。

2 新型电力系统的频率波动特性

传统的频率特性通常用三个指标来衡量:频率变化率ROCOF、最大频率偏差Δfmax和稳态频率偏差Δfst[23]。但在新能源高渗透系统的高频次小扰动场景下,需重新定义波动特征指标,以适配“功率-能量-时间-速度”的多维调频需求。调频能力需求本质上是由频率波动的“幅值-能积-时间-频次”等多维特征共同驱动的刚性约束,其量化评估需建立在对频率波动特征的提取之上。

图1a为某日的频率波动曲线,若频率在死区范围内,系统有功功率不平衡量较小,对系统的运行安全不构成影响,无需进行频率调节。当频率波动超出死区范围时,有功功率不平衡量较大,会对系统的安全运行构成威胁,其影响不容忽视,系统需要具备充裕的调频能力以恢复频率至正常范围。

width=204.75,height=236.25

图1 日时间尺度下的频率波动与越限特性

Fig.1 The frequency fluctuation and over-limit characteristics at the daily time scale

本研究以死区作为界限,提取并重新绘制越限部分的频率曲线,如图1b所示。基于越限频率曲线,提出下列指标以全面刻画日时间尺度下的频率波动特性。

2.1 越限频率的最大幅值

越限频率的幅值直接映射系统对调频功率的需求,越限频率波动的幅值越大,所需调频功率也越大。越限频率的最大幅值能够直观地反映系统频率波动的最严重程度。越死区上限频率的最大幅值Δfup和越死区下限频率的最大幅值Δfdown分别如式(1)和式(2)所示。Δfup数值为正,数值越大,表明越上限程度越深;Δfdown数值为负,数值越小,表明越下限程度越深。

width=95.1,height=19 (1)

width=108,height=17 (2)

式中,f(t)为电力系统在t时刻的频率。

频率波动幅度大的时间段往往是系统运行的薄弱环节,说明该时间段内存在较大的功率不平衡。通过分析越限频率的最大幅值,可以确定系统有功功率的最大不平衡量,有助于调度人员及时调整系统出力,也可为系统调频功率需求的评估提供直接指导。

2.2 越限频率的能积

越限频率的能积强调越限频率的幅值在时间上的累积效应,能够直接反映系统对调频电量的需求。能积越大,表明系统需投入更多的调频电量将频率恢复至死区内。

width=149.45,height=21.75 (3)

width=171.15,height=21.75 (4)

式中,Qup为越死区上限频率的能积,Hz·min;Qdown为越死区下限频率的能积,Hz·min;T为总量测时间,min;H(·)为阶跃函数,即

width=77.45,height=32.6 (5)

Qup的值为正,数值越大表明频率越死区上限的程度越深或持续时间越长;Qdown的值为负,数值越小表明频率越死区下限的程度越深或持续时间越长。越限频率的幅值仅反映瞬时状态,而能积通过量化频率越限的总体影响,揭示小扰动对系统能量平衡的累积冲击,推动调频策略由传统的以“消除单次越限”为目标向“最小化累积能积”升级。另外,通过分析能积分布,可以定位薄弱节点,有针对性地加强控制。

2.3 越限频率的最大持续时间

将系统频率单次越过死区所持续的最长时间定义为越限频率的最大持续时间,其决定着系统对持续调频时长的最小需求。

width=119.55,height=42.8 (6)

式中,TupTdown分别为越死区上、下限频率的最大持续时间,min;k为频率越过死区的事件次数;width=20.4,height=17.65width=19.7,height=17.65分别为第k次越死区上限事件开始和结束的时间点;width=27.15,height=17.65width=27.15,height=17.65分别为第k次越死区下限事件开始和结束的时间点。

如果越限频率的最大持续时间较长,则说明系统在该时间段内无法迅速地将频率恢复至正常范围,为了应对这种情况,系统需要具备较高的可持续调频能力。参与调频的资源应在长时间内稳定输出或吸收功率,避免因自身限制而中断调频,可以通过混合资源协同控制实现。

2.4 频率越限次数

频率越限次数能够直观地展示出系统越死区的频繁程度。假设有一组时间序列的频率数据{f1, f2, …, fs},fl为第l个时间点的频率,s为时间点总数,定义频率越死区上限次数为Nup,频率越死区下限次数为Ndown,有

width=171.15,height=99.15 (7)

如果NupNdown的数值较大,证明系统频率在不断地穿越死区上、下限,此时需要一次调频设备不断动作,意味着调频设备应具备在较高的动作频次下保持稳定性能和较长使用寿命的能力,并且为避免单一资源频繁动作,需多资源协作分摊调频压力。

2.5 频率波动特征描述矩阵

不同量测时间窗对应的频率波动过程不尽相同,共同构成一个包含时序信息及系统稳定属性的多维集合。参考文献[24-25],设m1, m2,…, mn为系统中的n个量测时间窗,且量测时长相同,则由所有量测时间窗构成的量测空间M

width=89.65,height=17.65 (8)

由所提的频率波动特征指标构成的第i个量测时间窗的频率波动特征描述向量可表示为

width=205.8,height=19.7(9)

式中,Δfupi为第i个量测时间窗内越上限频率的最大幅值;Δfdowni为第i个量测时间段内越下限频率的最大幅值;Qupi为第i个量测时间窗内越上限频率的能积;Qdowni为第i个量测时间段内的越下限频率的能积;Tupi为第i个量测时间窗内越上限频率的最大持续时间;Tdowni为第i个量测时间窗内越下限频率的最大持续时间;Nupi为第i个量测时间窗内频率越上限次数;Ndowni为第i个量测时间窗内频率越下限次数。

可以得到量测空间M的一个n×8的频率波动特征描述矩阵,即

width=220.75,height=102.55 (10)

频率波动特征描述矩阵C可以随着新能源出力、负荷的波动及电网运行方式的改变而变化。通过分析C的行向量,可以洞察每个量测时间窗内的频率越限状况;而观察C的列,则可以追踪某一特定指标随时间的变化趋势。该矩阵有助于预测未来某时间窗内的系统频率波动特性和越限情况。

3 计及频率波动特性的新型电力系统调频能力需求评估

3.1 频率波动指标与调频能力需求的数学模型

与面向大扰动场景的传统一次调频响应建模及分析方法不同,本研究为准稳态分析,因此调频能力需求计算模型也忽略动态调频参数,仅考虑频率稳态值。

电力系统的调频功率需求应满足

width=69.3,height=35.3(11)

式中,K为系统的单位调节功率,width=44.85,height=17width=14.95,height=15.6为第j台参与调频的机组单位调节功率,MW/Hz。

按照调节方向可将调节特性分为单向调节特性和双向调节特性。单向调节特性只考虑某一调频资源在单一方向(向上调频或向下调频)的调节,向下或向上调频时,调频电量需求为

width=206.5,height=57.05 (12)

式中,K(t)为系统的单位调节功率随时间变化的函数。

双向调节特性则是考虑某一调频资源在向上调频或向下调频的状态间反复切换时,一段时间内增发的电量与减少的电量之间存在一定抵消,从而导致对调频电量的需求相较于单向调节特性的保守结果有所降低。储能的响应速度快、运行灵活,是目前比较主流的快速调频资源,在抑制频率的快速波动,减少越限次数方面具备极大优势。在时间区间[0,T]内,储能的电量净需求变化可表示为

width=110.05,height=21.75 (13)

式中,P(t)为充放电功率需求随时间变化的函数。

储能需满足的调频电量净需求为

width=109.35,height=52.3(14)

电力系统的调频持续时间需求应满足

width=56.4,height=35.3(15)

电力系统对调频速度的需求应满足

width=194.25,height=60.45 (16)

式中,Δt为时间间隔,本文设置为1 min。

3.2 电力系统调频能力需求评估方法

构建第i个量测时间窗内的电力系统调频能力需求描述向量为

width=152.15,height=17.65 (17)

式中,PreiPini分别为第i个量测时间窗内系统的下调功率需求和上调功率需求;EreiEini分别为第i个量测时间窗内系统的下调电量需求和上调电量需求;TreiTini分别为第i个量测时间窗内系统的向下调频持续时间需求和向上调频持续时间需求;RreiRini分别为第i个量测时间窗内系统向下调频时调频速度需求和向上调频时调频速度需求。

从而可以得到量测空间M的一个n×8的电力系统调频能力需求描述矩阵为

width=171.85,height=113.45 (18)

矩阵D的行向量代表每个量测时间窗内的电力系统调频能力需求;其列则代表某一特定需求随时间的演进。该矩阵有助于预测未来某时间窗内的电力系统调频能力需求。

由此提出电力系统调频能力需求评估方法如图2所示。

具体步骤如下:

1)对获取的频率实测数据进行预处理,将频率序列划分为n个等时间窗。

2)对每个时间窗内的频率实测数据进行分析统计,寻找越限频率的最大幅值Δfup和Δfdown,计算越限频率的能积QupQdown,确定越限频率的最大持续时间TupTdown,并统计频率越限次数NupNdown

3)根据式(11)计算各时间窗内的调频功率需求,根据式(12)~式(14)计算不同调节特性对应的调频电量需求,分别根据式(15)和式(16)确定调频持续时间需求和调频速度需求。

4)输出频率波动特征描述矩阵以及电力系统调频能力需求描述矩阵,为调频资源的选型、容量配置以及死区参数优化提供指导。

width=207.75,height=363

图2 调频能力需求评估方法的流程

Fig.2 Flowchart of evaluation method for frequency regulation capability requirement

4 实际系统分析

选取某实际区域电网作为算例系统,该系统的最大电力负荷为6×104 MW,最大新能源渗透率为61.13%,频率死区为±0.033 Hz,以1 min作为采样间隔获取该系统连续一个月的频率实测数据。

4.1 日时间尺度下的频率波动特性

系统的负荷和新能源出力在一天之内会经历显著的变化,呈现日变化特性,分析日时间尺度下的频率波动特性,可为日调度计划和频率预测等提供支持。由图1b中某日的越限频率曲线可以看出,该日内越限频率的波动幅度较大,曲线呈锯齿形,频率越死区的频次较高。

算例系统在该月的频率波动特征描述矩阵见附表1。可知在该月内,Δfup的最大值为0.049 Hz,Δfdown的最小值为-0.046 Hz,较大的波动幅值说明系统的功率不平衡量较大。越死区上限的能积最大值为5.90 Hz·min,最小值为1.55 Hz·min;越死区下限的能积最大值为-0.50 Hz·min,最小值为-3.18 Hz·min。较大的能积揭示了频率偏离死区的幅度较大,越限持续时间较长。

还可发现,Tup在15~40 min范围,Tdown在6~35 min范围,越限频率的最大持续时间越长,表明系统对调频持续时间的需求越高。频率越限的总次数最少为511次,最多达671次,说明频率每2~3 min就会越一次死区,意味着一次调频设备每2~3 min就要动作一次,调频动作非常频繁,将极大地加速一次调频设备的寿命消耗。

所提指标体系全面刻画了日时间尺度下的频率越限情况,由指标可以发现日内频率越限问题非常严重。

4.2 日时间尺度下的调频能力需求

电力系统调频能力需求描述矩阵见附表2。该月的Pre最小为-118.55 MW,最大为-59.96 MW;Pin最大为111.23 MW,最小为30.66 MW。统计PrePin的分布情况如图3a所示,可以看出在日时间尺度下,系统对下调功率和上调功率的需求均很高。

width=203.25,height=243

图3 日时间尺度下的系统调频功率和电量需求

Fig.3 Power requirement and energy requirement for power system frequency regulation at the daily time scale

需要注意的是,附表2中的EreEin在计算过程中只考虑了单向调节特性。图3b展示了EreEin的分布情况,该月的Ere最小为-236.03 MW·h,最大为-62.15 MW·h;Ein最大为127.39 MW·h,最小为19.89 MW·h。可以看出在日时间尺度下,系统对下调电量和上调电量同样均具有很高的需求。

若考虑双向调节特性,以储能为例,计算系统的调频电量净需求。通过统计发现,系统下调电量和上调电量的净需求均有明显降低,甚至有9日对上调电量的净需求为0。表明在这9日内,系统的日内下调电量足以抵消对上调电量的需求。总调频电量的净需求分布如图4所示,最高为146.78 MW·h,最低为18.43 MW·h,且主要分布在50~100 MW·h范围内。

width=201,height=108.75

图4 日时间尺度下的系统调频电量的净需求

Fig.4 Net demand of frequency regulation energy for power system at the daily time scale

另外由附表2还可知,系统的持续调频时间不能低于40 min,揭示了系统对持续调频时间的需求已从“min级”向“h级”延伸;同时系统对调频速度(不考虑调频方向)的最大需求为102.54 MW/min,最小需求也达到了36.62 MW/min,意味着系统需配置min级快速调节资源(如储能)应对频率的瞬时突变。上述数据共同揭示了在日时间尺度下,为了抑制频率波动、减少越限次数,电力系统在调频功率、调频电量、调频持续时间以及调频速度等方面均面临着高需求,需重构传统调频体系。

4.3 不同时间尺度下的频率波动特性及比较

由于电力负荷在不同时间尺度上会呈现不同的变化特性,而新能源出力又具有很强的间歇性和随机性,因此不同时间尺度下的系统频率波动特性和调频能力需求也会存在一定差异。本研究在日时间尺度的基础上,另选取4 h和1 h作为时间尺度,参考日时间尺度下的频率波动特征指标体系,分析系统频率的波动特性,并评估调频能力需求。

4.3.1 4 h时间尺度下的频率波动特性

绘制某4 h内的越限频率曲线如图5所示,可以看出波动趋势与日时间尺度下的频率波动非常类似,越限频率的波动幅度较大,曲线呈锯齿形,频率不断越过死区。

统计可知,该月在4 h时间尺度下的Δfup在0.005~0.049 Hz范围,Δfdown-0.046~-0.006 Hz范围。越死区上限的能积最大达1.62 Hz·min,最小为0.028 Hz·min;越死区下限的能积最大为-0.027 Hz·min,最小为-0.95 Hz·min。Tup的最大值为40 min,最小值为3 min;Tdown的最大值为35 min,最小值为1 min。同时越限的总次数最少为57次,最多达148次,说明最快不到2 min频率就会越一次死区,慢则4 min越一次死区。

width=201,height=105

图5 4 h时间尺度下的越限频率波动曲线

Fig.5 The over-limit frequency curve at the 4-hour time scale

上述数据说明,所提指标体系也能够全面地刻画4 h时间尺度下的频率越限情况。由指标可以发现在4 h时间尺度下,频率的越限问题较日时间尺度在整体上有所减轻,但是个别时间窗内的频率越限问题依旧很严重,尤其是越限频次甚至超过了日时间尺度,因此对4 h时间尺度下的调频能力需求的评估同样非常重要。

4.3.2 1 h时间尺度下的频率波动特性

绘制某1 h内的越限频率波动曲线如图6所示。可以看出,越限频率的波动幅度较前两个时间尺度有所减小,但越限频率占比依旧很高。

width=201,height=105.75

图6 1 h时间尺度下的越限频率波动曲线

Fig.6 The over-limit frequency curve at the 1-hour time scale

统计可知,该月在1 h时间尺度下的Δfup在0.001~0.049 Hz范围内,Δfdown-0.046~-0.001 Hz范围内。越死区上限的能积最大达0.665 Hz·min,最小为0.001 Hz·min;越死区下限的能积最大为0,最小为-0.548 Hz· min。Tup的最大值为40 min,最小值为1 min;Tdown的最大值为25 min,最小值为0 min。频率越限的总次数最少为7次,最多达52次,并且有7个时间窗的越下限次数为0。可知1 h时间尺度下的频率越限次数明显减少,在越限次数最少的时间窗内,频率将近8.5 min才越一次死区,但是在频率越限频繁的时间窗内,频率每1 min就会越一次死区。

通过对1 h时间尺度下的频率越限情况的全面刻画可以发现,频率的越限问题较前两个时间尺度在整体上明显减轻,但是不同时间窗内的频率越限情况存在较大差异。部分时间窗内的频率波动指标非常小甚至不存在频率越限情况;但是部分时间窗内的波动指标数值非常大,意味着这些时间窗内的越限问题严重,需要充裕的调频能力。因此在配置1 h时间尺度的调频资源时不应忽视这些越限严重的情况。

4.3.3 不同时间尺度下的频率波动特性比较

表1和表2对比了不同时间尺度下的频率波动特征指标(均为去掉越限方向后的数值)。可以发现长时间尺度下的系统频率波动分散性较小,但频率波动和越限情况更为严重;而短时间尺度下的系统频率波动分散性较大,频率波动和越限情况却有所减轻。这是因为新能源出力和负荷的瞬时变化会导致短时间尺度下的频率波动存在较大的差异,而长时间尺度下的系统负荷和发电量的变化相对稳定,经济调度等长时间尺度措施也有助于减小频率波动的分散性。但同时可以发现,短时间尺度下也存在越限问题严重的情形,故而也需要配备充裕的调频能力,这可以通过配置多类型调频资源实现。

表1 不同时间尺度下的频率波动特征指标最大值

Tab.1 The maximum value of characteristic indicators of frequency fluctuations at different time scales

参数日时间尺度4 h时间尺度1 h时间尺度 Δfup/Hz0.0490.0490.049 Δfdown/Hz0.0460.0460.046 Qup/(Hz·min)5.901.620.665 Qdown/(Hz·min)3.180.950.548 Tup/min404040 Tdown/min353525 Nup/次3858232 Ndown/次3227726

表2 不同时间尺度下的频率波动特征指标最小值

Tab.2 The minimum value of characteristic indicators of frequency fluctuations at different time scales

参数日时间尺度4 h时间尺度1 h时间尺度 Δfup/Hz0.0250.0050.001 Δfdown/Hz0.0130.0040.001 Qup/(Hz·min)1.550.0280.001 Qdown/(Hz·min)0.500.0270 Tup/min1531 Tdown/min610 Nup/次258272 Ndown/次186160

长时间尺度的频率波动特性分析可以为电力系统的长期调度规划和发电计划等提供重要依据;短时间尺度的频率波动特性分析有助于调度运行人员及时发现系统的异常情况,并迅速做出调度决策。并且,对不同时间尺度的频率波动特性的分析还可以为调频设备的检修维护计划提供制定依据。

4.4 不同时间尺度下的调频能力需求及比较

4.4.1 4 h时间尺度下的调频能力需求

统计可知,在4 h的时间尺度下,该月的Pre最小值为-118.55 MW,最大值为-12 MW;Pin最大值为111.23 MW,最小值为8.69 MW。PrePin的分布情况如图7a所示。可以发现,虽然相较于日时间尺度,调频功率的总体需求明显减少,但是个别时间窗内的功率需求仍较大。

width=201,height=242.25

图7 4 h时间尺度下的系统调频功率和电量需求

Fig.7 Power requirement and energy requirement for power system frequency regulation at the 4-hour time scale

同样先只考虑单向调节特性,统计EreEin的分布情况如图7b所示。可以得到该月的Ere最小值为-64.69 MW·h,最大值为-1.12 MW·h;Ein最大值为37.81 MW·h,最小值为1.08 MW·h。与日时间尺度相比,调频电量需求明显减少。

进一步考虑双向调节特性,依旧以储能为例,计算调频电量的净需求。发现有4个时间窗内的下调电量净需求为0,47个时间窗对上调电量净需求为0。通过统计,可知总调频电量的净需求最高为59.63 MW·h,最低为0.57 MW·h,且主要分布在5~30 MW·h范围,分布情况如图8所示。

width=198.75,height=116.25

图8 4 h时间尺度下的系统调频电量净需求

Fig.8 Net demand of frequency regulation energy for power system at the 4-hour time scale

另外还可知,在4 h时间尺度下,系统的持续调频时间不能低于40 min;同时系统对调频速度(不考虑调频方向)的最大需求为102.54 MW/min,最小需求为16.02 MW/min,反映该时间尺度下的系统在部分时段的调频速度需求较低,但仍需要具备快速响应能力。上述数据共同揭示了在4 h时间尺度下,为了抑制频率波动、减少越限次数,系统在调频功率、调频电量、调频持续时长及调频速度等方面均面临着较高需求。

4.4.2 1 h时间尺度下的调频能力需求

统计可知,在1 h的时间尺度下,该月的Pre最小值为-118.55 MW,最大值为-1.37 MW;Pin最大值为111.23 MW,最小值为0 MW。相较于前两个时间尺度,除去部分时间窗内的高需求,总体调频功率需求较小。

只考虑单向调节特性时,该月的Ere最小值为-26.60 MW·h,最大值为-0.05 MW·h;Ein最大值为21.93 MW·h,最小值为0 MW·h;下调电量需求主要在0.05~14 MW·h范围内,而上调电量需求主要在0~8 MW·h范围内。可以发现,1 h的时间尺度下的调频电量需求比前两个时间尺度下的需求小很多。

考虑双向调节特性时,有80个时间窗内的下调电量净需求为0,209个时间窗对上调电量净需求为0。调频电量的净需求最高为26.36 MW·h,最低为0.06 MW·h,且主要分布在0.5~12 MW·h范围内。相比于只考虑单向调节特性,系统对调频电量的净需求降低了很多。

1 h时间尺度下,系统的持续调频时间不能低于40 min;同时系统对调频速度(不考虑调频方向)的最大需求依旧为102.54 MW/min,最小需求只有1.37 MW/min,极宽的调频速度需求范围反映系统需同时应对“缓慢调整”和“快速响应”,需要分层管理调频资源。上述数据共同揭示了在1 h时间尺度下,系统在调频功率和调频电量上的需求有所降低,而对调频持续时长以及调频速度仍存在较高需求。

4.4.3 不同时间尺度下的调频能力需求比较

表3和表4对比了不同时间尺度下的系统调频能力需求(均为去掉越限方向后的数值)。可以发现,各项需求均随着时间尺度的缩减而呈现明显的减小趋势,尤其是在1 h的时间尺度下,系统部分指标的最小值为0。上述结果揭示了系统对调频能力的需求随着时间尺度的缩短而减小。

表3 不同时间尺度下的调频能力需求最大值

Tab.3 The maximum value of frequency regulation capability requirements at different time scales

参数日时间尺度4 h时间尺度1 h时间尺度 Pre/MW118.55118.55118.55 Pin/MW111.23111.23111.23 Ere/(MW·h)236.0364.6926.60 Ein/(MW·h)127.3937.8121.93 Tre/min404040 Tin/min353525 Rre/(MW/min)77.1477.1477.14 Rin/(MW/min)102.54102.54102.54

表4 不同时间尺度下的调频能力需求最小值

Tab.4 The minimum value of frequency regulation capability requirements at different time scales

参数日时间尺度4 h时间尺度1 h时间尺度 Pre/MW59.9612.001.37 Pin/MW30.668.690 Ere/(MW·h)62.151.120.05 Ein/(MW·h)19.891.080 Tre/min1531 Tin/min610 Rre/(MW/min)36.6218.291.37 Rin/(MW/min)36.6216.022.4

不同时间尺度下的调频能力需求影响着调频资源的选型与配置。运行调度人员能够根据需求来制定调度计划和调度策略,从而减少不必要的能源浪费,提高系统的运行效率。

4.5 不同时间尺度下的配置效果比较

分别在不同时间尺度下,按照本文评估的调频能力需求在算例系统中配置相应容量的储能,并计算配置储能后的越限频率的最大幅值、越限频率的最大持续时间、越限频率的能积以及频率越限次数,其与配置储能前的比较见表5。可以发现,按照本文评估结果配置储能,能够有效地减小不同时间尺度下越限频率的最大幅值、能积、最大持续时间,并且将频率越限次数均减少了75%以上。

表5 不同时间尺度下的配置效果比较

Tab.5 Comparison of configuration effects at different time scales

参数日时间尺度4 h时间尺度1 h时间尺度 配置的储能容量/[MW/(MW·h)]90/10080/3060/15 越限频率的最大幅值/Hz配置储能前0.0370.0310.028 配置储能后0.0090.0070.007 越限频率的能积/(Hz·min)配置储能前3.620.950.24 配置储能后0.630.170.04 越限的最大持续时间/min配置储能前18138 配置储能后331 频率越限次数配置储能前61911728 配置储能后93276

但是上述结果是按照每个时间尺度下调频容量评估结果的主要分布进行配置(而非最大值),再随机抽取时间窗进行验证,因此配置效果仍有提升空间,后续研究将在本文研究基础上进一步优化配置。

5 结论

本文针对新型电力系统中频率波动日趋剧烈乃至频繁越限造成一次调频压力过大的现状,提出一种面向抑制频率波动的新型电力系统调频能力需求评估方法,通过算例分析得到以下结论:

1)通过对比新型电力系统相较于传统系统在频率越限事件中的差异性特征,构建了新型电力系统的调频能力需求指标体系。该体系覆盖功率、能量、时间、速度四个维度,能够填补传统单一指标的局限性,为调频资源的选型及容量配置提供参考。

2)基于越限频率波形,提取了越限频率的幅值、能积、时间及频次等多维特征,全面刻画了越限频率的波动特性。通过对频率实测数据和波形的分析,发现频率越限问题非常严重,表现在越限频率的幅值大、能积高、持续时间长、越限次数多,严重时越限频率占比可高达67%。同时揭示了时间尺度与频率波动分散性的反比关系:长时间尺度下,趋势性波动导致频率波动严重且分布集中;短时间尺度下,随机性波动导致频率波动小但分散性强。

3)提出了一种基于频率波动指标的调频能力需求评估方法,仅由越限频率的波形即可定量评估系统的调频能力需求。通过不同时间尺度下的调频能力需求评估,发现系统面临着高功率、大电量、快调频的需求,且持续时间需求已从“min级”向“h级”延伸。同时系统对调频能力的需求随着时间尺度的缩短而减小,而且考虑双向调节特性时系统对调频电量的需求明显低于单向调节特性时的需求。按照本文所评估的调频能力需求配置储能,可以有效地抑制频率波动,将频率越限次数减少了75%以上。

此外,后续工作将研究面向频率波动抑制的多类型调频资源的协同优化配置。

附 录

附表1 日时间尺度下的频率波动特征指标

App.Tab.1 Characteristic indicators of frequency fluctuation at the daily time scale

日期Δfup/HzΔfdown/HzQup/(Hz·min)Qdown/(Hz·min)Tup/minTdown/minNup/次Ndown/次 10.028-0.0374.71-2.492635282244 20.032-0.0374.39-1.861916324234 30.037-0.0314.03-1.543710344225 40.031-0.0375.02-2.352215299252 50.040-0.0314.36-2.681817295284 60.031-0.0313.96-1.971913359262

(续)

日期Δfup/HzΔfdown/HzQup/(Hz·min)Qdown/(Hz·min)Tup/minTdown/minNup/次Ndown/次 70.035-0.0295.27-2.073313307204 80.038-0.0344.27-1.652510320240 90.032-0.0403.97-2.063530369262 100.031-0.0375.90-3.184016263258 110.031-0.0373.62-2.331816324295 120.043-0.0465.45-2.003214322216 130.040-0.0383.82-1.622615346223 140.031-0.0333.82-1.782515350267 150.039-0.0283.45-1.891911329242 160.030-0.0273.07-1.742011258278 170.039-0.0252.53-0.61186385186 180.026-0.0162.40-0.542110354206 190.028-0.0192.37-0.76277334322 200.029-0.0252.98-0.61338356228 210.031-0.0221.75-0.60197294294 220.028-0.0131.85-0.50156332241 230.025-0.0281.99-0.75227311288 240.026-0.0342.97-1.071915268244 250.034-0.0342.04-1.191613303304 260.031-0.0222.48-0.84199312282 270.031-0.0281.55-1.181612357314 280.037-0.0283.23-1.051711320270 290.027-0.0312.52-1.392013332272 300.049-0.0404.75-1.752412325276 310.031-0.0303.68-1.822318309288

附表2 日时间尺度下的调频能力需求指标

App.Tab.2 Indicators of frequency regulation capacity requirements at the daily time scale

日期Pre/MWPin/MWEre/(MW·h)Ein/(MW·h)Tre/minTin/minRre/(MW/min)Rin/(MW/min) 1-67.2889.26-188.3899.652635-65.9259.96 2-76.8089.26-175.6374.331916-44.2348.00 3-89.2674.61-161.1261.503710-42.4251.26 4-74.4089.26-200.9793.832215-68.6543.94 5-96.5874.61-174.52107.121817-58.6051.26 6-74.6174.61-158.4378.811913-58.5946.38 7-84.0069.60-210.6782.743313-52.7658.60 8-91.2081.94-170.7165.972510-51.3153.21 9-76.8096.58-158.9482.523530-58.5967.28 10-74.6188.80-236.03127.394016-62.4064.80 11-74.6189.26-144.7593.251816-58.6068.23 12-103.91111.23-217.9879.963214-48.66102.54 13-96.0091.20-152.8964.652615-51.2748.78 14-74.4079.20-152.9371.002515-55.2850.48

(续)

日期Pre/MWPin/MWEre/(MW·h)Ein/(MW·h)Tre/minTin/minRre/(MW/min)Rin/(MW/min) 15-93.6067.28-137.8875.711911-58.5943.16 16-72.0064.80-122.8069.742011-63.3155.98 17-93.6059.96-101.0224.37186-62.9474.11 18-62.4037.99-95.9121.502110-39.3145.60 19-67.2045.60-94.6430.39277-54.0149.03 20-69.6059.96-119.1724.26338-43.2046.26 21-74.4052.63-69.8924.04197-36.6239.43 22-67.2830.66-73.8019.89156-46.6838.48 23-59.9667.28-79.5829.98227-51.2748.91 24-62.4081.94-118.7242.681915-58.6039.35 25-81.9481.94-81.6047.521613-77.1443.94 26-74.6152.63-99.2833.50199-43.9443.94 27-74.4067.28-62.1547.081612-39.3636.62 28-89.2667.28-129.0842.011711-52.6343.94 29-64.8074.61-100.8755.532013-42.4252.80 30-118.5596.58-189.9770.022412-57.6858.60 31-74.6172.00-147.3072.862318-60.0058.60

参考文献

[1] 胡正阳, 高丙团, 张磊, 等. 风电机组双向支撑能力分析与自适应惯量控制策略[J]. 电工技术学报, 2023, 38(19): 5224-5240. Hu Zhengyang, Gao Bingtuan, Zhang Lei, et al. Bidirectional support capability analysis and adaptive inertial control strategy of wind turbine[J]. Transactions of China Electrotechnical Society, 2023, 38(19): 5224-5240.

[2] 马燕峰, 李金媛, 王子建, 等. 基于量测数据的新能源电力系统区域等效惯量评估方法[J]. 电工技术学报, 2024, 39(17): 5406-5421. Ma Yanfeng, Li Jinyuan, Wang Zijian, et al. Assessment method of regional equivalent inertia of new energy power system based on measured data[J]. Transactions of China Electrotechnical Society, 2024, 39(17): 5406-5421.

[3] 李兆伟, 方勇杰, 吴雪莲, 等. 频率紧急控制中动作时延和措施量对低惯量系统控制有效性的影响[J]. 电工技术学报, 2024, 39(17): 5394-5405. Li Zhaowei, Fang Yongjie, Wu Xuelian, et al. Influence of action delay and amount on the control effectiveness of low inertia systems in frequency emergency control[J]. Transactions of China Electro-technical Society, 2024, 39(17): 5394-5405.

[4] 杨德健, 王鑫, 严干贵, 等. 计及调频死区的柔性风储联合频率控制策略[J]. 电工技术学报, 2023, 38(17): 4646-4656. Yang Dejian, Wang Xin, Yan Gangui, et al. Flexible frequency regulation scheme of DFIG embed battery energy storage system considering deadbands[J]. Transactions of China Electrotechnical Society, 2023, 38(17): 4646-4656.

[5] Li Zhongwen, Cheng Zhiping, Liang Jing, et al. Distributed cooperative AGC method for new power system with heterogeneous frequency regulation resources[J]. IEEE Transactions on Power Systems, 2023, 38(5): 4928-4939.

[6] 李可心, 安军, 石岩, 等. 基于可用调频能量的风电机组综合虚拟惯性控制参数整定[J]. 电工技术学报, 2025, 40(5): 1382-1394. Li Kexin, An Jun, Shi Yan, et al. An integrated virtual inertia control parameter setting method for wind turbine based on available frequency regulation energy[J]. Transactions of China Electrotechnical Society, 2025, 40(5): 1382-1394.

[7] 张祥宇, 胡剑峰, 付媛, 等. 风储联合系统的虚拟惯量需求与协同支撑[J]. 电工技术学报, 2024, 39(3): 672-685. Zhang Xiangyu, Hu Jianfeng, Fu Yuan, et al. Virtual inertia demand and collaborative support of wind power and energy storage system[J]. Transactions of China Electrotechnical Society, 2024, 39(3): 672-685.

[8] 张怡静, 李智, 时艳强, 等. 基于储能惯量支撑的受端电网频率优化控制方法[J]. 电工技术学报, 2024, 39(11): 3556-3568. Zhang Yijing, Li Zhi, Shi Yanqiang, et al. Optimal frequency control method of receiving power grid based on energy storage inertia support[J]. Transactions of China Electrotechnical Society, 2024, 39(11): 3556-3568.

[9] Wolff M F, Schmietendorf K, Lind P G, et al. Heterogeneities in electricity grids strongly enhance non-Gaussian features of frequency fluctuations under stochastic power input[J]. Chaos, 2019, 29(10): 103149.

[10] Meyer P G, Anvari M, Kantz H. Identifying characteristic time scales in power grid frequency fluctuations with DFA[J]. Chaos, 2020, 30(1): 013130.

[11] Rydin Gorjão L, Jumar R, Maass H, et al. Open database analysis of scaling and spatio-temporal properties of power grid frequencies[J]. Nature Communications, 2020, 11: 6362.

[12] Rydin Gorjão L, Vanfretti L, Witthaut D, et al. Phase and amplitude synchronization in power-grid frequency fluctuations in the Nordic grid[J]. IEEE Access, 2022, 10: 18065-18073.

[13] 熊玮, 鄢发齐, 汪旸, 等. 实际电网频率概率分布特性演变及成因分析[J]. 电力系统自动化, 2020, 44(2): 222-227. Xiong Wei, Yan Faqi, Wang Yang, et al. Analysis on variation of frequency probability distribution and causes in actual power grid[J]. Automation of Electric Power Systems, 2020, 44(2): 222-227.

[14] 于鹏, 黎静华, 文劲宇, 等. 含风电功率时域特性的风电功率序列建模方法[J]. 中国电机工程学报, 2014, 34(22): 3715-3723. Yu Peng, Li Jinghua, Wen Jinyu, et al. A wind power time series modeling method based on its time domain characteristics[J]. Proceedings of the CSEE, 2014, 34(22): 3715-3723.

[15] 王琦. 高风电渗透率电力系统调频能力评估及调控策略研究[D]. 哈尔滨: 哈尔滨工业大学, 2023. Wang Qi. Research on frequency regulation capability assessment and regulation strategy of power system with high wind power penetration[D]. Harbin: Harbin Institute of Technology, 2023.

[16] 郑夕炜. 基于时频分析的风电波动平抑及风储联合调度研究[D]. 合肥: 合肥工业大学, 2021. Zheng Xiwei. Research on fluctuation smoothing of wind power and joint dispatching of wind-storage system based on time-frequency analysis[D]. Hefei: Hefei University of Technology, 2021.

[17] 张波, 张晓磊, 贾焦心, 等. 基于惯量支撑和一次调频需求的VSG储能单元配置方法[J]. 电力系统自动化, 2019, 43(23): 202-209. Zhang Bo, Zhang Xiaolei, Jia Jiaoxin, et al. Configuration method for energy storage unit of virtual synchronous generator based on requirements of inertia support and primary frequency regulation[J]. Automation of Electric Power Systems, 2019, 43(23): 202-209.

[18] 王森, 李凤婷, 张高航, 等. 面向新能源高渗透系统调峰和调频的系统级储能容量需求分析[J]. 电力自动化设备, 2024, 44(1): 24-31. Wang Sen, Li Fengting, Zhang Gaohang, et al. Capacity demand analysis of system-level energy storage for peak regulation and frequency regulation of power system with high penetration of renewable energy[J]. Electric Power Automation Equipment, 2024, 44(1): 24-31.

[19] 洪烽, 贾欣怡, 梁璐, 等. 面向风电场频率支撑的混合储能层次化容量优化配置[J]. 中国电机工程学报, 2024, 44(14): 5596-5607. Hong Feng, Jia Xinyi, Liang Lu, et al. Hierarchical capacity optimization configuration of hybrid energy storage for wind farm frequency support[J]. Proceedings of the CSEE, 2024, 44(14): 5596-5607.

[20] 刘礼恺, 胡泽春, 罗浩成, 等. 基于数据驱动和条件概率的调频容量需求计算方法[J]. 电网技术, 2021, 45(7): 2569-2576. Liu Likai, Hu Zechun, Luo Haocheng, et al. Data-driven based regulation reserve capacity requirement calculation using conditional probability[J]. Power System Technology, 2021, 45(7): 2569-2576.

[21] 张小兵, 雷星雨, 刘育明, 等. 基于调度时段内波动极值可信预测的调频容量需求量化方法[J/OL]. 中国电机工程学报, 2024: 1-15[2024-12-26]. https: //link.cnki.net/doi/10.13334/j.0258-8013.pcsee.240898. Zhang Xiaobing, Lei Xingyu, Liu Yuming, et al. Quantization method of frequency modulation capacity demand based on credible prediction of fluctuation extreme value in scheduling period[J/OL]. Proceedings of the CSEE, 2024: 1-15[2024-12-26]. https://link.cnki.net/doi/10.13334/j.0258-8013.pcsee. 240898.

[22] 国家市场监督管理总局, 国家标准化管理委员会. 并网电源一次调频技术规定及试验导则: GB/T 40595—2021[S]. 北京: 中国标准出版社, 2021.

[23] 贾焦心, 赵清帅, 邵晨, 等. 基于功率量测的光伏高占比系统频率时空分布特征分析方法[J]. 电力系统自动化, 2025, 49(2): 96-107. Jia Jiaoxin, Zhao Qingshuai, Shao Chen, et al. Analysis method for frequency spatial-temporal distribution characteristics of high-proportion photovoltaic system based on power measurement[J]. Automation of Electric Power Systems, 2025, 49(2): 96-107.

[24] 张恒旭, 刘玉田. 电力系统动态频率响应时空分布特征量化描述[J]. 中国电机工程学报, 2009, 29(7): 64-70. Zhang Hengxu, Liu Yutian. Quantitative description of space-time distribution features of dynamic frequency responses[J]. Proceedings of the CSEE, 2009, 29(7): 64-70.

[25] 张怡, 张恒旭, 李常刚, 等. 电力系统频率响应模式及其量化描述[J]. 中国电机工程学报, 2021, 41(17): 5877-5887. Zhang Yi, Zhang Hengxu, Li Changgang, et al. Power system frequency responses pattern and its quantitative analysis[J]. Proceedings of the CSEE, 2021, 41(17): 5877-5887.

Frequency Fluctuation Suppression-Oriented Evaluation of Frequency Regulation Capability Requirements for New-Type Power Systems

An Jun1 Li Kexin1 Zhou Yibo1 Tang Wei2 Shi Yan1

(1. Key Laboratory of Modern Power System Simulation and Control & Renewable Energy Technology Ministry of Education Northeast Electric Power University Jilin 132012 China 2. Northeast Branch of State Grid Corporation of China Shenyang 110180 China)

Abstract Traditional thermal power frequency regulation is unable to quickly track the frequency fluctuations caused by the frequent output variations of renewable energy sources, resulting in the phenomenon of crossing deadband has occurred frequently, necessitating frequent activation of primary frequency regulation equipment. Consequently, the primary frequency regulation capability faces significant challenges. Therefore, a frequency fluctuation suppression-oriented evaluation method for frequency regulation capability requirements for new-type power systems was proposed.

Firstly, a comparative analysis was conducted on the distinctive characteristics of frequency over-limit events in new-type power systems versus traditional systems, through which a multidimensional evaluation index system encompassing “power-energy-time-speed” dimensions was established for assessing frequency regulation capability requirements in new-type power systems. Secondly, based on measured daily frequency fluctuation curves, multidimensional features including “amplitude-energy integral-duration-occurrence frequency” of over-limit frequency were extracted. Subsequently, a mathematical model was developed to correlate frequency fluctuation indicators with frequency regulation requirements. This methodology enables quantitative assessment of daily system frequency regulation requirements solely through frequency fluctuation curve analysis. Finally, based on measured frequency data and waveforms, the existing gap in the system's frequency regulation capability was quantified. The relationship between different time scales and frequency regulation capability requirements was established, and the influence of different regulation characteristics on the requirements for frequency regulation capability was revealed, which provides guidance for the allocation of frequency regulation resources.

The proposed method was analyzed and validated in practical power systems, where multidimensional characteristics of overlimit frequency were extracted from the frequency waveforms, including amplitude, energy integral, duration, and occurrence frequency, comprehensively depicting the fluctuation characteristics of overlimit frequency. Analysis of measured frequency data and waveforms revealed severe frequency over-limit issues, characterized by large amplitude, high energy integral, prolonged duration, and frequent occurrences, with the proportion of over-limit frequency reaching up to 67% in extreme cases. Additionally, an inverse relationship between time scale and frequency fluctuation dispersion was revealed: under long time scales, trend-based fluctuations lead to severe and concentrated frequency fluctuations; under short time scales, random fluctuations result in smaller but more dispersed frequency fluctuations. Through evaluating frequency regulation capability requirements across different time scales, the system was found to face requirements for high power, large energy capacity, and fast frequency regulation, with duration requirements extending from “minute-level” to “hour-level”. Furthermore, the system’s requirements for frequency regulation capability decreases as the time scale shortens, and considering bidirectional regulation characteristics, the energy requirements for frequency regulation is significantly lower than under unidirectional regulation. Frequency fluctuations were effectively suppressed and frequency over-limit occurrences were reduced by more than 75% through energy storage configured based on the evaluated frequency regulation capability requirements.

The following conclusions can be obtained through the analysis and verification: (1) The constructed multidimensional frequency fluctuation characteristic index system can comprehensively depict the fluctuation characteristics of over-limit frequency. (2) The proposed frequency regulation capability evaluation method based on frequency fluctuation index enables quantitative assessment of system frequency regulation requirements solely from over-limit frequency waveforms. (3) Configuring energy storage according to the evaluated frequency regulation capability requirements can effectively suppress frequency fluctuations and reduce frequency over-limit occurrences.

keywords:New-type power system, frequency fluctuation characteristics, frequency regulation capability, requirement evaluation, measured data

DOI: 10.19595/j.cnki.1000-6753.tces.250411

中图分类号:TM732

国家自然科学基金重点资助项目(52337004)。

收稿日期 2025-03-17

改稿日期 2025-05-10

作者简介

安 军 男,1978年生,教授,博士生导师,研究方向为含新能源电力系统运行与控制。E-mail:anhuianjun@163.com

周毅博 男,1988年生,讲师,硕士生导师,研究方向为电力系统分析和运行控制。E-mail:zhouyiboaa@126.com(通信作者)

(编辑 赫 蕾)