摘要 电力系统故障后电磁暂态期间电气量波形畸变严重、动态变化快速,传统基于傅里叶基底和动态相量的测量方法难以捕捉电气量在时间窗内的局部动态行为,导致暂态期间的同步相量和频率测量结果无意义,且容易发生较大偏差,难以支撑稳定性分析等暂态应用。针对该问题,提出一种基于Takenaka-Malmquist(TM)系统的电力系统暂态电气量测量方法。首先,分析了基于传统傅里叶基底和同步相量的表征方法在暂态电气量测量中的局限性,揭示并证明了暂态期间基于傅里叶基底的动态相量表征存在冗余;其次,定义了形式类似传统相量和频率的TM相量和TM频率,提出了兼容现有同步测量体系的TM表征方法;最后,在表征的基础上,提出了基于自适应傅里叶变换的TM表征量快速计算方法。仿真和现场故障数据测试表明,相比动态基频相量测量方法和宽频相量测量方法,所提方法可以捕捉暂态电气量在时间窗内的局部特征,且支持高精度、无冗余的暂态电气量波形重构,还原更完整的暂态信息。
关键词:同步相量测量 电力系统暂态测量 Takenaka-Malmquist系统 同步相量测量单元
故障后电磁暂态过程中系统平衡点会由于故障蔓延或切除而变化[1],导致电气量的幅值和相位存在频繁且随机的瞬时突变。同时,由于电力电子设备的动态响应与非线性耦合[2-3],电气量波形畸变更加严重,动态变化更加快速[4]。然而,传统傅里叶基底的幅值和频率在测量时间窗内均静态不变,且每个时间窗内只有一个相量计算结果,这导致传统傅里叶变换(Fourier Transform, FT)的方法难以捕捉测量时间窗内的局部特征,不适用于电磁暂态信号的表征与分析。
受测量方法限制,国内外现有相量测量单元(Phasor Measurement Unit, PMU)标准规定暂态期间的同步相量和频率等测量结果不具备参考价值,并通过规定最长过渡时间和最大超调量的方式降低无意义量测对后续应用的影响[5-6]。但该手段未从根本上解决暂态信号表征无意义的问题,且过渡时间和超调量限制设置相对宽松,不完全适用于现有测量装置和应用。
在暂态电气量测量领域,现有方法可分为基于理想阶跃信号模型的实验室测量方法[7-10]和适用于现场故障信号的工业界实用性方法[11-12]。
实验室方法主要基于预设暂态信号模型进行解析求解,相关研究主要有基于多点插值离散傅里叶变换(Discrete Fourier Transform, DFT)的方法[7]和函数基分析(Functional Basis Analysis, FBA)方法[8-10]等。多点插值DFT方法将暂态信号建模为分段信号,通过多个频点的DFT计算结果联立方程组求解信号参数;FBA方法建立了由幅值阶跃、相位阶跃、幅值调制、相位调制等信号模型构成的预设相量矩阵,通过预设相量矩阵与信号频谱的匹配程度估计动态相量。此类方法理论分析严谨,但多用于实验室理想场景,对严重畸变的故障信号适应性较弱,且计算对象仍为动态相量,未对傅里叶基底进行改进。
工业界的实用性方法主要包括两部分:设置暂态故障检测器(Transient Fault Detector, TFD),TFD启动时闭锁[11]或修正[12]不可靠的频率测量结果。文献[11-12]提出了基于时域波形周期性和频域信息熵的TFD。该类方法虽可限制暂态期间的计算超调量,但其处理后的结果为系统额定值,对暂态应用没有较大的参考价值。
此外,还有一些部署于数据主站的状态估计类方法也可对暂态错误量测进行修正,例如,分频器(Frequency Divider, FD)方法[13]和复频率方法[14]。这类方法需要用到网络拓扑和多台PMU的测量数据,对系统感知程度有较高要求。
在动态信号表征领域,以短时傅里叶变换(ShortTime Fourier Transform, STFT)[15]、小波变换(Wavelet Transform, WT)[16]、同步压缩S变换[17-18]为主的时频分析方法虽已在电力系统扰动辨识、次/超同步振荡检测等领域广泛应用,但该类应用场景支持算法以s级时间窗运行,而电力系统电磁暂态过程和同步测量算法的时间窗长一般为10 ms级,较短的时间窗长限制了该类方法中时移因子的有效性,因此该类方法应用于同步测量领域时多作为仅有频移因子起作用的滤波器计算动态相量[19-22],其时频分析功能难以发挥作用。
综上所述,现有暂态电气量测量方法和动态信号表征方法都难以满足多瞬变、快变化的新能源电力系统暂态电气量的表征与实时测量需求,亟须研究电力系统暂态过程电气量表征与测量方法,发掘暂态期间同步测量数据的应用潜力。
Takenaka-Malmquist(TM)系统是一种有理正交系统,该系统基于Blaschke基底建立,当系统中的自由参数均等于零时,该系统退化为仅包含非负幂次的复三角系统,即仅包含非负幂次的傅里叶系统,Blaschke基底也相应地退化为傅里叶基底。因此TM系统可以视为傅里叶系统的一种广义形式,适用于分解更加动态的非平稳信号[23-25]。该系统已在生物医学等领域被广泛应用[26-28]。
本文将TM系统引入电力系统同步测量领域,以动态Blaschke基底替换传统静态正余弦基底,提出了一种基于TM系统的暂态电气量表征方法。本文首先分析了基于FT和同步相量的传统表征方法在暂态测量中的局限性;进一步提出了基于TM系统的电力信号表征方法,定义了形式上类似传统相量和频率的新型TM相量和TM频率;在此基础上,提出了基于自适应FT的TM表征量快速计算方法;最后,通过仿真和现场故障数据测试验证了所提方法的基频分量表征效果和暂态信息还原效果。
电力系统电压、电流时域信号可表示为
(1)
式中,X(t)和φ(t)分别为时变的幅值和相位;f0为基波频率。
传统的傅里叶分析方法将电力信号表征为一系列相量和傅里叶基底乘积的叠加[6],即
(2)
式中,XFT(tk)为由FT得到的tk时刻的信号的表征结果,由C个频率分量叠加而成,每个频率分量均由表征量(相量)乘以基底(由频率和时标确定)的形式组成;c为分量;
为相量;
为傅里叶基底;fc为c分量的频率,XmFTc(tk)为相量幅值;φFTc(tk)为相量相位。
为了将电力信号表征为式(2)的形式,需要对信号进行DFT,以计算每个表征量,有
(3)
式中,x(n)为数据窗内第n个离散电力信号采样值;w(n)为第n个滤波器系数;
为傅里叶算子;fs为采样频率;N为数据窗内采样点总数。
由式(2)可知,影响表征量的有两个主要因素:①傅里叶算子部分
,该部分幅值为1,相位与式(2)中的傅里叶基底相反;②滤波器系数w,或称为窗函数。傅里叶算子与傅里叶基底相关,不可改变,滤波器系数却可以进行灵活调整,事实上,大多数DFT类相量测量算法所针对的问题都可视为不同应用场景下的最优滤波器设计问题[29-30]。
因此,通过FT提取相量的核心在于所采用的滤波器。滤波器的频率响应特性会受到窗长影响,图1列出了几种不同窗长下基于Hamming窗函数的滤波器频率响应。可以看出,当采用有限时间窗进行相量测量时,滤波器频率响应不再是脉冲式,而是具有过渡带,或称为旁瓣,且所用窗长越短,过渡带越明显。
图1 不同窗长基于Hamming窗函数的滤波器频率响应
Fig.1 Frequency response of filters using Hamming window with varying window lengths
滤波器在有限窗长下频率响应非脉冲的特性在某些场景下可以被加以利用,例如,低频振荡[20,29]和次/超同步振荡[29-30]下的基频相量测量问题,已有较多研究通过调整滤波器的通带和阻带增益实现了动态基频分量的提取,这有效地提升了基频相量测量算法的动态性能。然而,无论是稳态还是振荡电力信号,它们都具有规律、稳定的时域波形,在频域上呈现独立、离散的分布,且各个分量相离足够远。稳态电力信号波形及其频谱如图2所示。因此,所采用的有限窗长的滤波器即使频率响应非脉冲,也能不受较大干扰地独立提取想要的频率分量。
图2 稳态电力信号波形及其频谱
Fig.2 Waveform and spectra of steady-state power signals
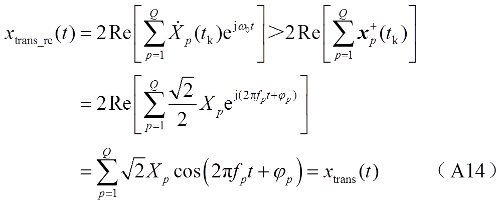
但暂态下情况不同,暂态电力信号存在多点随机突变、谐波间谐波干扰严重、信噪比低等问题,从频谱上看各频率分量相距较近,呈现连续频谱。暂态电力信号波形及其频谱如图3所示。此时,若采用有限窗长滤波器提取相量,等价于将相近频率分量乘以不同衰减系数进行合并,会导致两个问题:①单个合并值会因将多个频率分量进行了混淆而不具备物理意义,且呈现明显的错误值;②如图4所示,计算得到的每个频率下的相量都包括其他频率分量成分,整体表征会存在严重冗余,难以实现波形重构。数学证明见附录。
图3 暂态电力信号波形及其频谱
Fig.3 Waveform and spectra of transient power signals
此外,如图3所示,实际故障信号往往相比标准IEC/IEEE 60255-118-1中的理想阶跃信号畸变更加严重,突变点多且随机,难以通过分段信号模型进行准确的基频相量估计。
因此,本文从新的视角出发,不再局限于对动态相量进行改进,而是将关注点转向基底选择,提出了一种基于Takenaka-Malmquist系统的暂态电气量表征与测量方法,将静态傅里叶基底替换为动态基底,以更有效地捕捉并表征暂态电气量特性。
图4 传统相量在暂态过程表征中引入冗余的机理
Fig.4 Mechanism behind the redundant representation introduced by traditional phasors during transients
基于FT的传统相量表征方法采用的幅值和频率均为静态的基底,限制了其对暂态期间非平稳信号的表征能力,为此,本节将傅里叶基底替换为基于TM系统的动态Blaschke基底,提出了基于Takenaka-Malmquist系统的暂态电气量表征方法。所提方法的表征思路如图5所示。图5中R表示表征结果,
表示表征量,
表示传统傅里叶基底,其幅值为1,频率为恒定的ω0,B(t)表示动态的Blaschke基底,其幅值和频率随时间变化。
图5 传统傅里叶基底与动态Blaschke基底表征暂态电气量的对比
Fig.5 Comparison of transient electrical-quantity representation using conventional fourier basis and dynamic blaschke basis
由式(2)可知,传统表征方法由动态相量
和傅里叶基底
相乘得到电气信号的动态表征,如图5a所示,由于傅里叶基底的幅值与频率恒定,因此在矢量图中表示为围绕单位圆以恒定角速度旋转的青色的矢量,动态相量具有动态的幅值和相位,表示为黄色的矢量,二者合成得到了最终的表征量R,以蓝色箭头表示。而在所提方法中,傅里叶基底被替换成为Blaschke基底,该基底具有动态的幅值和频率,在矢量图中表示为围绕非单位圆以变化角速度旋转的青色的矢量,如图5b所示,因此,所提方法具备了更灵活的表征能力。
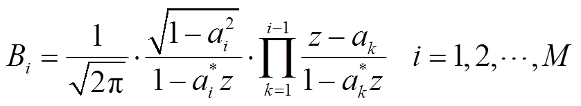
Blaschke基底是一组基于Takenaka-Malmquist系统的有理正交且具备严格数学表达的动态基底[23-24],其表达式为
(4)
(5)
(6)
(7)
式中,Bi为第i次分解时的基底;M为总分解次数;ai为第i次分解时的自由变量a的取值,a为一个模小于1的复数;*表示共轭;z为与信号相位有关的变量;t为信号相位。
基于Blaschke基底,类比式(2),将电力信号表征为一系列相量和Blaschke基底乘积的叠加,即
(8)
式中,XTM(tk)为基于TM系统和Blaschke基底得到的tk时刻的信号的表征结果,由M个分量叠加而成,每个分量同样由表征量(称为TM相量)乘以基底(由自由变量a和时标确定)的形式组成;
为TM相量;XmTMi(tk)为TM相量幅值;φTMi(tk)为TM相量的相位。
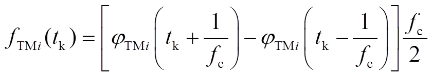
与基于FT的表征方法中的静态基底不同,TM相量借助动态基底实现了窗内信号的时频表征,因此,TM相量对应的频率包括窗间频率和窗内频率两部分。其中,窗间频率的定义与基于FT的表征方法中的频率定义类似,等于TM相量的相位关于时间的导数,即
(9)
式中,fTMi(tk)为tk时刻第i个分量的窗间频率;φTMi(tk+1/fc)和φTMi(tk-1/fc)分别为tk下一计算时刻和上一时刻第i个分量的相位;fc为TM相量计算频率。
窗内频率由动态Blaschke基底决定,有
(10)
式中,fBi(tk)为tk时刻第i个分量的窗内频率;φBi(tk+1/fs)和φBi(tk-1/fs)分别为第i次分解中的Blaschke基底在tk下一采样时刻和上一采样时刻的相位,即
(11)
(12)
最终,合并窗间频率和窗内频率得到完整TM频率为
(13)
式中,fTM-Bi(tk)为tk时刻第i个分量的完整TM频率。值得注意的是,fTMi与fBi的时间颗粒度不同,两者的数量分别由fc和fs决定。具体地,fTMi反映窗间频率的变化,在每个测量时间窗内仅有1个值,fBi反映时间窗内的频率变化,在每个测量时间窗内有Tfs个值,T表示测量时间窗长。显而易见,两者的总数量存在差异,因此计算每个时间窗内的TM频率时,式(13)需改为
(14)
式中,tm为每个计算时间窗的窗中时刻,即TM相量计算时刻。
窗内频率和窗间频率独立地反映TM相量的两部分导致的频率变化,其时间颗粒度不同,总数量存在差异。本文将在第4节中以不同类型电力信号为例分析它们的特性。
本节将介绍如何计算得到第2节中的TM相量和TM频率,所借助的工具为自适应傅里叶变换(Adaptive Fourier Decomposition, AFD)。AFD是一种非平稳信号快速分解方法,利用式(4)中的Blaschke基底对信号进行分解[23-24]。
由式(4)可知,Bi仅受ai影响,在AFD的每次计算中,同样先计算自由变量ai的值,再计算基底Bi,最后计算分解量。因为ai是一个模小于1的复数,因此AFD算法首先以一定分辨率生成一个字典,包括了ai的所有可能取值,如图6所示[25,27]。
图6 ai的取值字典
Fig.6 Dictionary for selection of parameter ai
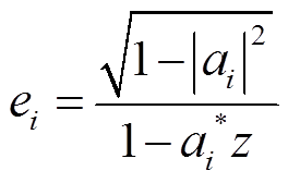
进一步,由ai构成能量评估算子ei为
(15)
由待分解信号和能量评估算子矩阵e计算能量矩阵S为
(16)
式中,Ri为第i次分解时,待分解的信号,它是一组采样点,由原始信号减去前i-1次分解量得到;W为计算权重数组,在本文中被设置为1。
对于字典当中的每一个ai,能量评估算子矩阵e中均有一个ei与之对应,能量矩阵S中的最大值对应的ai是本次分解中的搜索结果,即
(17)
式中,Find为寻找矩阵中最大值对应的坐标的函数。
当ai被确定后,第i次分解的基底Bi和TM相量
即可被确定,Bi由式(4)计算得到,
为
(18)
根据TM相量和基底即可重构本次分解的信号为
(19)
(20)
式中,Di为第i次重构时的中间分量;Sri为第i次重构的实数信号;Sum为矩阵对列求和函数;Re为取实部的函数。
对分解信号求和即可重构原始信号波形,有
(21)
式中,Sr为重构的实数信号。
所提方法的计算流程如图7所示。
图7 AFD算法计算流程
Fig.7 Computational flow chart of the AFD algorithm
可以发现,Blaschke 基底在ai=0(i=1,
,M)时将收敛为基础的傅里叶基底,因此,若
(22)
则第二次AFD计算将等价于FT,FT的频率由所用数据窗长和AFD算法定义的相位范围决定[23-24],即
(23)
式中,fAFD为AFD的FT频率;φd为算法中定义的相位上限。
因此,所提表征量类似于基频相量和宽频相量。根据计算流程,第一次计算是对信号的解析信号求和取平均,所以第一层TM表征量为信号中的直流分量[23-24];当参数设置满足式(23)中AFD频率等于电力系统基频时,第二层TM表征量为稳态电力信号的基频分量或暂态信号中的基频主导分量;更高层表征量为信号中的残余能量,可与前两层表征量组合重构信号波形,还原暂态信号信息。
本节将所提方法的第二层表征量(对应于传统的基频同步相量)与经典相量测量方法计算得到的基频同步相量进行了比较。对比方法分别为:基础的DFT算法、基于Morlet小波的动态相量测量算法、复带通滤波器(Complex Band-Pass Filter, CBPF)算法。其中,基础的DFT算法被广泛应用于国内外商用PMU和电力系统暂态同步稳定性分析、暂态电压稳定性分析、低电压穿越控制等暂态应用中[31-34];基于Morlet小波滤波器的动态相量测量算法是近年来新提出的变种插值DFT方法,系统性测试已经验证了其性能[22];复带通滤波器算法是一种性能优秀的动态相量测量算法,已在源、网、荷等场景进行了广泛的应用与验证[29, 35]。
所提TM方法和DFT方法的时间窗长均为1个周波,以快速计算电力系统基频相量并跟踪暂态过程。为保证Morlet小波方法和复带通滤波器方法的动态性能,两者的时间窗长分别采用2个周波和4个周波。
本节分别采用PSCAD中的仿真故障信号和现场故障录波数据对各类算法进行测试。
4.1.1 仿真故障数据测试
为探究故障期间暂态电气量特性,本文在PSCAD中搭建了跟网型电压源变流器并网系统模型[1-2],系统拓扑及电源侧控制策略如图8所示。系统采用双回交流输电线路结构,故障设置为第二回线路中点发生金属性三相瞬时性接地故障,持续200 ms后切除,数据采集点设置于点G。故障期间,考虑场站级通信延时(30 ms)与低电压穿越(Low Voltage Ride Through, LVRT)检测固有延时(约5 ms)叠加的影响,在故障后约35 ms执行低电压穿越模式切换。
图8 系统拓扑及电源侧控制策略
Fig.8 Topology of the system and control strategy on the power supply side
故障期间波形及各方法对基频相量幅值的测量结果如图9所示。故障初期局部放大图及各方法测量结果如图10所示。故障发生于0.1 s,清除于0.3 s,0.14 s左右低电压穿越控制投入。数据采样频率为 9 600 Hz,各方法计算频率均为50 Hz。图中,TM表示TM测量方法,DFT表示基于DFT的基频相量测量方法,Morlet和CBPF分别表示基于Morlet小波滤波器和复带通滤波器的动态相量测量方法。
图9 仿真故障信号波形及各方法测量结果(完整图)
Fig.9 Simulated fault signal waveforms and measurement results using different methods (full view)
图10 仿真故障信号波形及各方法测量结果(局部图)
Fig.10 Simulated fault signal waveforms and measurement results using different methods (zoomed view)
由图9和图10可知,基于传统同步相量定义的测量方法:DFT方法、Morlet方法、CBPF方法在每个计算间隔内测得的相量幅值均保持恒定,难以反映故障过程中测量时间窗内部信号的动态变化,如0.09~0.11 s之间的幅值突降、0.14 s左右低电压穿越控制投入后的波形畸变。
TM方法在故障发生之前(0.09 s之前)和故障过程中的波形稳定阶段(0.11~0.13 s)测量结果与传统相量测量方法一致,因为此时信号主导分量为基频分量,根据第3节的分析和式(22),此时第二层a的搜索结果为0,Blaschke基底收敛为傅里叶基底,TM分解等效于DFT计算。因此,在稳态场景TM方法维持了与传统同步相量的一致性。
在暂态过程中,波形快速变化,基频分量不占主导,此时TM方法测量结果在时间窗内呈现动态变化,以捕捉信号在时间窗内的局部变化,匹配信号中的主导能量。如0.14 s低电压穿越控制投入时,电压信号幅值突增,TM表征量可以识别该电压幅值波动,但其他方法在时间窗内呈现静态的平均化测量结果,难以跟踪该过程。
因此,TM方法在稳态下维持测量结果与传统相量一致的同时,可以额外捕捉暂态电气量在时间窗内部的快速动态变化。
4.1.2 现场故障录波数据测试
本节选取了一段超高压线路电压故障信号作为分析对象,信号采样率为9 600 Hz,故障发生于0.04 s,清除于0.1 s。故障过程电压信号波形及各方法对基频相量幅值的测量结果如图11所示。
图11 现场故障录波数据波形及各方法测量结果
Fig.11 Field fault recording waveforms and measurement results using different methods
图11中各方法计算结果与图10中类似,其中,TM方法在稳态时与各类相量测量算法结果几乎一致,但在包含波形畸变的时间窗内呈现动态变化,以捕捉信号中的非基频主导分量。
与仿真故障测试中不同的是,该现场故障中电压幅值跌落更加突然而且剧烈,导致采用不同窗长的算法呈现不同的跟踪效果。例如:0.02~0.04 s时间窗内,故障尚未发生,电压幅值尚未跌落,TM方法和DFT方法由于采用了一个周波的短时间窗,测量结果并未受明显影响;但Morlet方法和CBPF方法由于采用了较长的窗长,在此时间窗内的测量结果已经呈现了不同程度的跌落。在0.04~0.06 s时间窗内,DFT算法能够快速跟踪幅值跌落,Morlet算法次之,CBPF算法幅值跌落最慢,因此,相量测量算法的动态跟踪速度与所用窗长成反比。
波形是电气量最原始的表征形式,包含暂态过程电气量的完整信息。本节通过比较所提方法、基频相量测量方法、宽频相量测量方法的波形重构精度,分析各方法的暂态信息还原效果。
对比方法分别为:CBPF方法、基础FFT方法、加Hamming窗的FFT方法、加Morlet窗的FFT方法。其中,CBPF方法采用定制化设计的宽频带复带通滤波器,相比4.1节,将基频测量带宽由45~ 55 Hz拓宽至20~80 Hz,以期通过基频相量观测暂态电气量特征;基础的FFT算法默认叠加矩形窗(FFT Recw),该窗函数具有良好的谐波抑制能力,且完全保留了FFT的正交性,即各分解分量之间的冗余程度最低;加Hamming窗的FFT方法被广泛应用于国内外商用宽频测量装置中,Hamming窗函数提升了动态测量性能,但破坏了FFT的正交性;加Morlet窗的FFT方法用于代表连续小波变换,由于暂态过程持续时间短,因此小波类同步相量测量方法通常将小波函数的时移因子固定,仅改变频移因子,等价于以小波函数为窗函数的FFT。
在算法参数方面,CBPF方法为保证20~80 Hz的测量带宽采用了10个周波数据窗长,TM方法和其他对比方法计算窗长均为1个周波。每个时间窗内FFT算法计算得到的宽频相量数与时间窗内的采样点数相等,即频谱的计算采用了最高原生FFT分辨率。
本节所用数据为现场故障录波数据,与4.1.2节相同,采样率为9 600 Hz。
本文以暂态期间波形重构误差作为衡量波形重构精度的指标,波形重构误差定义为
(24)
式中,ew为波形重构误差;so为原始信号采样值;src2为重构的信号采样值。
各方法的完整波形重构效果如图12所示。故障期间严重畸变时的局部波形重构效果如图13所示。各方法的波形重构误差如图14所示。
图12 各方法波形重构效果(完整图)
Fig.12 Waveforms reconstruction performance of different methods (full view)
图13 各方法波形重构效果(局部图)
Fig.13 Waveforms reconstruction performance of different methods (zoomed view)
图14 各方法波形重构误差
Fig.14 Waveforms reconstruction errors of different methods
由图12~图14可知,即使在稳态时,加Hamming窗的FFT方法也难以实现信号波形重构,这是由于Hamming窗在一定程度上破坏了FFT的正交性,导致计算得到的不同频率的宽频相量之间存在表征冗余,如图4所示。
CBPF方法可以提取20~80 Hz频带内的频谱信息,将其合成宽频带基频相量。从波形重构效果来看,该基频相量在故障前后的稳态过程中可以较好地还原波形,但在故障过程中难以刻画电气量参数突变和波形畸变。这是由于CBPF方法采用的静态基底与单个基频相量相乘的表征组合难以捕捉时间窗内的局部动态变化。
基础FFT方法和加Morlet窗函数的FFT方法重构效果相近,均与原信号波形接近,如图13所示,最大重构误差分别为2%和5%左右,如图14所示。基础的FFT方法具备未被破坏的正交性,在对比方法中具有最小的重构误差和表征冗余性,加Morlet窗函数的FFT方法在一定程度上破坏了FFT的正交性,增大了表征冗余,但冗余效果小于Hamming窗函数。
TM方法由于采用时间窗内动态的表征基底,突破了静态正余弦基底的束缚,在暂态过程的表征中更加灵活,因此,故障全过程中由TM方法计算得到的TM相量组合并重构的波形几乎与原信号完全重合,最大波形重构误差小于1%,可以更加完整地保留并还原暂态信息。
4.2节中各方法主要计算复杂度见表1。其中,K为TM方法字典规模,M为总分解层数,在4.2节中K=20, M =50。
表1 各方法主要计算复杂度
Tab.1 The main computation burdan of different methods
算法名称理论计算复杂度本文中计算复杂度 FFT类O(NlogN)1 454 CBPFO(10N)1 920 TM(稳态)O(K×NlogN)29 126 TM(暂态)O(M×K×NlogN)1 454 560
根据表1,FFT类方法和CBPF方法的计算复杂度相对较低,TM方法的匹配追踪过程虽可由FFT进行加速,但计算量仍超过传统方法10倍有余,计算负担重的问题在暂态过程波形畸变严重时更加突出,对硬件性能和算力调配提出了较高要求。
本文分析了基于傅里叶基底和同步测量的表征方法在故障后暂态期间的局限性,揭示并证明了暂态期间其冗余表征的原因。进一步地,以动态Blaschke基底替换静态傅里叶基底,定义了形式上类似传统同步相量和频率的TM相量和TM频率,提出了基于AFD的TM表征量计算方法,实现了暂态过程的动态表征与测量。仿真故障数据和现场故障数据测试表明,TM表征量在稳态时等价于基频同步相量,在暂态时可以捕捉时间窗内部的局部快速动态变化;同时由多层TM相量组合可以实现几乎无冗余的高精度波形重构,相比动态相量测量方法和宽频相量测量方法显著降低了暂态电气量的表征冗余性,可还原更完整的暂态信息。
下一步工作正在围绕TM表征量的应用展开,主要有基于TM表征量的戴维南等效参数计算、暂态电压稳定性分析、低电压穿越控制、扰动类型识别等。同时,定制化设计字典矩阵,减小搜索规模,降低TM方法计算量也是下一步研究工作的重点。
附 录
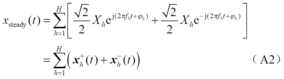
本附录证明了文中第1节基于FT和同步相量的表征方法在暂态电气量表征分解中存在冗余。
图2中的稳态电力信号模型可表示为
(A1)
式中,
、
和
分别为稳态电力信号中第h个分量的幅值、频率和相位;H为稳态频率分量总数。稳态电力信号的频率分量主要为基频分量和谐波分量。
根据欧拉公式,式(A1)可写成极坐标形式,即

式中,
和
分别为第h个频率分量的正频分量部分和负频分量部分。
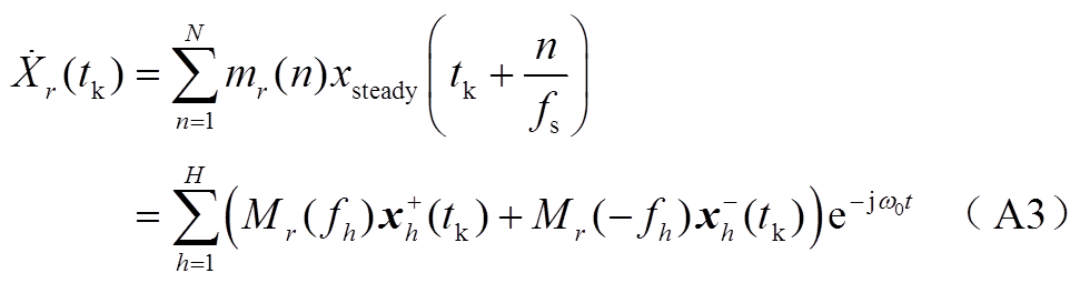
采用滤波器计算第n个频率分量对应的同步相量的过程可表示为

式中,
为计算得到的第r个频率分量对应的同步相量,n=1,2,…, N;
为频带中心在
处的滤波器的系数;
为滤波器
在频率f处的频率响应,滤波器阶数为2N+1(N为正整数);
为系统额定角频率。
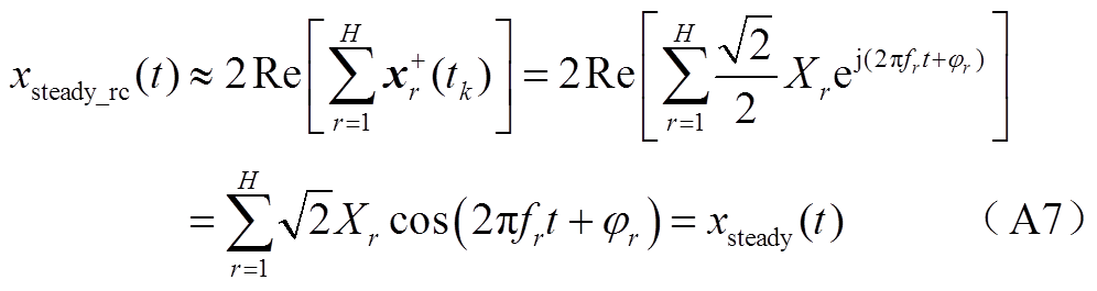
由同步相量重构的原始稳态信号可表示为
(A4)
因为相量测量滤波器可以近似完全保留通带中心的频率分量,同时滤除谐波处的干扰分量[12],因此有
(A5)
式(A3)可化简为
(A6)
式(A4)可简化为

即稳态情况下,传统傅里叶方法可以近似无冗余重构电力信号。
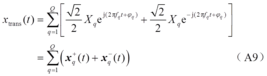
然而当暂态过程发生时,电力信号中将不仅包含基波分量和谐波干扰分量,还包含许多和基波分量频率相距极近的暂态分量,暂态电气量模型可表示为
(A8)
式中,Xq、fq和φq分别为暂态电力信号中第q个分量的幅值、频率和相位;Q为暂态频率分量总数。
相应地,式(A2)~式(A4)可以写为

(A11)
式中,
为第p个频率分量对应的同步相量,p=1,2,…,Q;mp(n)为频带中心在
处的滤波器的系数;Mp( f )为滤波器mp(k)在频率f处的频率响应,滤波器阶数为2N+1(N为正整数)。
因为相量测量滤波器无法完全滤除频率距离频带中心很近的暂态干扰分量,因此式(A5)不再成立,此时有
(A12)
(A13)

因此,基于FT和同步相量的表征方法在暂态电气量表征分解中存在冗余。
参考文献
[1] Xin Huanhai, Liu Xinyu, Zheng Di, et al. Risk assessment of post-fault temporary overvoltage using generalized short-circuit ratio[J]. IEEE Transactions on Power Systems, 2024, 39(1): 1837-1849.
[2] 单永鹏, 刘昕宇, 汪莹, 等. 基于等效同步机的新能源基地同步调相机暂态功角失稳机理和稳定裕度分析[J]. 电工技术学报, 2025, 40(17): 5448-5463. Shan Yongpeng, Liu Xinyu, Wang Ying, et al. Transient power angle instability mechanism and stability margin analysis of renewable energy base co-located with synchronous condenser based on equivalentsynchronous generator[J]. Transactions of China Electrotechnical Society, 2025, 40(17): 5448-5463.
[3] 宫泽旭, 艾力西尔·亚尔买买提, 辛焕海, 等. 新能源电力系统并网设备小扰动稳定分析(二): 导出机理与稳定性分类探讨[J]. 中国电机工程学报, 2022, 42(14): 5126-5140. Gong Zexu, Yaermaimaiti Ailixier, Xin Huanhai, et al. Small signal stability analysis of grid-connected equipment in power system(part Ⅱ): discussion on mechanism derivation and classification of stability[J]. Proceedings of the CSEE, 2022, 42(14): 5126-5140.
[4] North American Electric Reliability Council. Recommended disturbance monitoring for inverter-based resources[R]. NERC Synchronized Measurements Subcommittee (SMS), White Paper, Feb. 2020.
[5] 国家市场监督管理总局, 国家标准化管理委员会. 量度继电器和保护装置第118部分:电力系统同步相量测量: GB/T 14598.118—2021[S]. 北京: 中国标准出版社, 2021.
[6] IEC. Measuring relays and protection equipment-part 118-1: Synchrophasor for power systems-measurements: IEC/IEEE 60255-118-1-2018[S]. Geneva: IEC, 2018.
[7] Wang Kai, Liu Shan, Wang Lanlan, et al. Novel interpolation method of multi-DFT-bins for frequency estimation of signal with parameter step change[J]. IEEE Transactions on Instrumentation and Measurement, 2021, 71: 6500914.
[8] Derviškadić A, Frigo G, Paolone M. Beyond phasors: modeling of power system signals using the Hilbert transform[J]. IEEE Transactions on Power Systems, 2020, 35(4): 2971-2980.
[9] Karpilow A, Derviškadić A, Frigo G, et al. Step detection in power system waveforms for improved RoCoF and frequency estimation[J]. Electric Power Systems Research, 2022, 212: 108527.
[10] Karpilow A, Derviškadić A, Paolone M. Functional basis analysis for the characterization of power system signal dynamics: formulation, implementation, and validation[J]. IEEE Transactions on Instrumentation and Measurement, 2025, 74: 9001014.
[11] Zhan Lingwei, Xiao Bailu, Li Fuhua, et al. Fault-tolerant grid frequency measurement algorithm during transients[J]. IET Energy Systems Integration, 2020, 2(3): 173-178.
[12] 赵博宇, 刘灏, 毕天姝, 等. 增强型三复带通滤波器频率测量方法[J]. 中国电机工程学报, 2024, 44(21): 8568-8580. Zhao Boyu, Liu Hao, Bi Tianshu, et al. Enhanced triple complex bandpass filters method for frequency measurement[J]. Proceedings of the CSEE, 2024, 44(21): 8568-8580.
[13] Milano F, Ortega Á. Frequency divider[J]. IEEE Transactions on Power Systems, 2017, 32(2): 1493-1501.
[14] Milano F. Complex frequency[J]. IEEE Transactions on Power Systems, 2022, 37(2): 1230-1240.
[15] Liu Hao, Liu Shuo, Zhao Junbo, et al. Dual-channel convolutional network-based fault cause identification for active distribution system using realistic waveform measurements[J]. IEEE Transactions on Smart Grid, 2022, 13(6): 4899-4908.
[16] 余晨. 一种改进的小波变换电力系统谐波检测抗混叠方法[D]. 长沙: 长沙理工大学, 2020. Yu Chen. An improved wavelet transform power system harmonic detection anti-aliasing method[D]. Changsha: Changsha University of Science & Technology, 2020.
[17] 姜涛, 张鹏, 李雪, 等. 基于多元同步压缩广义S变换的电力系统次同步振荡源定位[J]. 电力系统自动化, 2025, 49(9): 135-145. Jiang Tao, Zhang Peng, Li Xue, et al. Location of subsynchronous oscillation source in power systems using multivariate synchrosqueezing generalized S-transform[J]. Automation of Electric Power Systems, 2025, 49(9): 135-145.
[18] 孙勇, 张鹏, 姜涛, 等. 基于同步压缩广义S变换的电力系统次/超同步振荡检测[J]. 电网技术, 2024, 48(10): 4002-4014.Sun Yong, Zhang Peng, Jiang Tao, et al. Detection of sub/supersynchronous oscillation in power system using synchrosqueezing generalized S-transform[J]. Power System Technology, 2024, 48(10): 4002-4014.
[19] 金涛, 陈毅阳, 段小华, 等. 基于改进DFT的电力系统同步相量测量算法研究[J]. 电工技术学报, 2017, 32(17): 1-10. Jin Tao, Chen Yiyang, Duan Xiaohua, et al. Research on synchronous phasor measurement algorithm of power system based on improved DFT[J]. Transactions of China Electrotechnical Society, 2017, 32(17): 1-10.
[20] 靳宗帅, 张恒旭, 曾一鸣, 等. 适应频率偏移及动态变化场景的动态谐波相量在线测量方法[J]. 中国电机工程学报, 2024, 44(22): 8759-8771. Jin Zongshuai, Zhang Hengxu, Zeng Yiming, et al. Online measurement method of dynamic harmonic phasor for frequency deviation and frequency dynamic changing conditions[J]. Proceedings of the CSEE, 2024, 44(22): 8759-8771.
[21] 许苏迪, 刘灏, 毕天姝, 等. 一种适用于同步相量测量装置校准器的高精度相量测量方法[J]. 电工技术学报, 2020, 35(2): 372-382. Xu Sudi, Liu Hao, Bi Tianshu, et al. A high accuracy phasor estimation algorithm for phasor measurement units calibrator[J]. Transactions of China Electrotechnical Society, 2020, 35(2): 372-382.
[22] Liu Xin, Lewandowski M, Nair N K C. A morlet wavelet-based two-point FIR filter method for phasor estimation[J]. IEEE Transactions on Instrumentation and Measurement, 2021, 70: 6503310.
[23] Qian Tao, Zhang Liming, Li Zhixiong. Algorithm of adaptive Fourier decomposition[J]. IEEE Transactions on Signal Processing, 2011, 59(12): 5899-5906.
[24] Qian Tao, Wang Yanbo. Adaptive Fourier series: a variation of greedy algorithm[J]. Advances in Computational Mathematics, 2011, 34(3): 279-293.
[25] Wang Ze, Wong C M, Rosa A, et al. Adaptive Fourier decomposition for multi-channel signal analysis[J]. IEEE Transactions on Signal Processing, 2022, 70: 903-918.
[26] Ma Jiali, Zhang Tantan, Dong Mingchui. A novel ECG data compression method using adaptive Fourier decomposition with security guarantee in e-health applications[J]. IEEE Journal of Biomedical and Health Informatics, 2015, 19(3): 986-994.
[27] Wang Ze, Wong C M, Rosa A, et al. Stimulus-stimulus transfer based on time-frequency-joint representation in SSVEP-based BCIs[J]. IEEE Transactions on Bio-Medical Engineering, 2023, 70(2): 603-615.
[28] 陈维国, 钱涛, 李建平, 等. 基于Takenaka-Malmquist自适应时频分布的特征指标: 来自上证和深证的数据[J]. 系统工程理论与实践, 2020, 40(12): 3112-3123. Chen Weiguo, Qian Tao, Li Jianping, et al. Characteristic index based on Takenaka-Malmquist adaptive time-frequency distribution: data from Shanghai Composite Index and Shenzhen Component Index[J]. Systems Engineering-Theory & Practice, 2020, 40(12): 3112-3123.
[29] Xu Sudi, Liu Hao, Bi Tianshu. A general design method for phasor estimation in different applications [J]. IEEE Transactions on Smart Grid, 2020, 12(3): 2307-2319.
[30] 邵冲, 汪芙平, 韩自奋, 等. 宽频振荡下同步相量测量算法研究[J/OL]. 中国电机工程学报, 2024: 1-11[2024-11-14]. https://kns.cnki.net/kcms/detail/11. 2107.TM.20241114.1031.005.html. Shao Chong, Wang Fuping, Han Zifen, et al. Research on synchronous phasor measurement algorithm under broadband oscillation[J/OL]. Proceedings of the CSEE, 2024: 1-11[2024-11-14]. https://kns.cnki.net/ kcms/detail/11.2107.TM.20241114.1031.005.html.
[31] 张旸, 贾科, 毕天姝, 等. 规模化新能源场站接入弱电网场景的故障暂态电压支撑控制[J]. 中国电机工程学报, 2025, 45(13): 4956-4967. Zhang Yang, Jia Ke, Bi Tianshu, et al. Fault transient voltage support control for large-scale renewable power plant connecting to weak grid[J]. Proceedings of the CSEE, 2025, 45(13): 4956-4967.
[32] Zhang Yang, Jia Ke, Jiang Xinying, et al. Multistage parameter identification for fault control parameters of the IIRES[J]. IEEE Transactions on Power Electronics, 2023, 38(11): 14590-14600.
[33] 田书新, 陈武晖, 王盼盼, 等. 变无功电流比例系数的直驱风电并网系统电压连续穿越控制策略[J]. 中国电机工程学报, 2024, 44(19): 7671-7684. Tian Shuxin, Chen Wuhui, Wang Panpan, et al. Continuous voltage ride through segmentation control strategy for PMSG-based wind power integrated systems with dynamic reactive current scale factor[J]. Proceedings of the CSEE, 2024, 44(19): 7671-7684.
[34] Shabestary M M, Mohamed Y A I. Maximum asymmetrical support in parallel-operated grid-interactive smart inverters[J]. IEEE Transactions on Sustainable Energy, 2022, 13(1): 14-30.
[35] Liu Hao, Bi Tianshu, Xu Sudi, et al. A full-view synchronized measurement system for the renewables, controls, loads, and waveforms of power-electronics-enabled power distribution grids[J]. IEEE Transactions on Smart Grid, 2022, 13(5): 3879-3890.
Abstract Electromagnetic transients that occur following faults in power systems are often characterized by severe waveform distortions and rapid dynamic changes in electrical quantities. However, conventional measurement methods based on the Fourier basis operate under the assumption that the amplitude and frequency remain static within a predefined time window. Additionally, only a single phasor estimate is generated per window, rendering these methods incapable of capturing localized dynamic behaviors that unfold within the window. Consequently, synchrophasor and frequency measurements derived from such methods during transient conditions often become unreliable or even meaningless, with significant estimation errors that limit their applicability in critical transient scenarios such as stability analysis and low-voltage ride-through (LVRT) control.
To address this limitation, this paper introduces a novel method for transient electrical quantity measurement in power systems, based on the Takenaka-Malmquist (TM) system. The TM system is a rational orthogonal function system constructed using the Blaschke basis. When all free parameters in the system are set to zero, the TM system degenerates into a complex trigonometric system that includes only non-negative power terms, equivalent to the classical Fourier system. In this sense, the TM system can be viewed as a generalized extension of the Fourier system, offering the capability to decompose highly dynamic and non-stationary signals. Although the TM system has been widely applied in fields such as biomedical signal processing, this work pioneers its application in the domain of synchrophasor-based measurement for power systems.
This study first analyzes the inherent limitations of conventional Fourier-based phasor representations for transient measurements, revealing and theoretically demonstrating the redundancy present in dynamic phasor representations during transients. To overcome this issue, the concept of TM phasors and TM frequencies is introduced. These newly defined quantities structurally resemble traditional phasors and frequencies and are designed to maintain compatibility with existing synchrophasor measurement frameworks. Building upon this representation framework, a fast computational approach for TM quantities is proposed based on adaptive fourier decomposition (AFD).
Theoretical analysis shows that the proposed TM-based quantities exhibit similar features to both synchrophasors and wideband phasors. According to the proposed computational procedure, the first layer of TM quantities is obtained by averaging the analytic signal, corresponding to the DC component of the signal. When the frequency parameter in the AFD process is set to the power system's nominal frequency, the second layer of TM quantities represents the fundamental-frequency component of a steady-state signal or the dominant fundamental-frequency component in a transient signal. Higher-order TM quantities capture the residual energy of the signal and, when combined with the first two layers, enable accurate reconstruction of the waveform and effective restoration of transient signal information.
The effectiveness of the proposed method has been validated using both simulated fault signals and real-world fault data. Experimental results demonstrate that, in comparison with advanced dynamic fundamental-frequency phasor measurement techniques, the proposed approach is capable of capturing localized characteristics of transient electrical quantities within the observation window and tracking instantaneous variations induced by LVRT controls and other dynamic processes. Moreover, when compared with wideband phasor measurement methods, the TM-based approach offers higher accuracy and redundancy-free waveform reconstruction, enabling more complete recovery of transient signal information. These results indicate that the TM system provides a promising new foundation for transient measurement in power systems, offering enhanced resolution, adaptability, and physical interpretability.
keywords:Synchrophasor measurement, power system transient measurement, Takenaka-Malmquist system, phasor measurement units
DOI: 10.19595/j.cnki.1000-6753.tces.250192
中图分类号:TM76
国家自然科学基金(52377098)和国家留学基金(202406730061)资助项目。
收稿日期 2025-02-08
改稿日期 2025-05-20
赵博宇 男,1999年生,博士研究生,研究方向为电力系统暂态电气量表征与测量技术。E-mail:byzhao@ncepu.edu.cn
刘 灏 男,1985年生,教授,博士生导师,研究方向为广域同步相量测量技术及应用。E-mail:hliu@ncepu.edu.cn(通信作者)
(编辑 赫 蕾)