摘要 为了应对风光荷一体化功率预测的多重不确定性,规避其强随机性给系统带来的潜在调度运行风险,该文提出一种基于预训练的大语言模型(PLLM)赋能场景规划和双层嵌套优化的风-光-水-火-蓄互补调度模型。首先利用PLLM的语言理解与生成能力进行风光荷一体化预测,同时构建PLLM融合的K-平均聚类算法,辅助生成满足生产模拟需求的运行场景;其次,以生成的场景为基础提出一种双层嵌套的多能互补优化方法,上层以源荷波动平滑因子最小为目标优化输出功率,下层以系统运行成本和CO2排放量最小为目标优化机组组合;最后,通过数据集的测试结果和不同场景下不同模型的对比验证方法的有效性。仿真结果表明,基于PLLM的预测方法更适用于多变环境和复杂数据模式的处理,有助于提高调度方案的精准度。通过资源合理配置和双层嵌套策略的协同优化使系统在保证安全稳定性的基础上提供充足的灵活调节裕度。抽水蓄能参与后系统的运行成本和CO2排放量的均值分别降低了1.06%和1.24%。
关键词:风光荷一体化 功率预测 预训练的大语言模型 双层嵌套优化 多能互补
随着全球能源需求的持续增长以及气候变化的问题日益严峻,世界各国正加快推进能源结构改革,高度电气化以及电力清洁化是当前最主要的演进方向[1-2]。以风电和太阳能发电为代表的新能源电力大规模发展,但新能源电力具有预测难、保障难、控制难、调度难等特性[3]。新能源在电力供应中比例的攀升,给电力系统调度运行中的电力消纳、电网安全、稳定保供等环节带来新的隐患[4]。鉴于此,中国正积极推进“风光水火储”多能互补体系[5-6]和“源网荷储”一体化协同发展[7-8]的新型电力系统,加速实现电力系统“质与量”的双向提升。
国际能源署的《净零排放方案》指出,电力行业须在2040年实现净零排放[9]。中国作为全球温室气体排放的最大贡献者,要想实现电力领域脱碳,推动建设多能互补体系是一条可行和有效的途径。近年来,国内外关于多能互补系统的优化调度研究主要集中在两方面。
1)利用化学储能协同常规机组消纳新能源,开发多能互补系统耦合转换与梯级利用的优化调度模型。例如,文献[10]提出一种基于氨储能技术的电转氨耦合风光火综合能源系统双层优化调度方法,通过引入电转氨技术,在提升风光能源消纳的同时优化煤电机组的运行,降低系统总成本和CO2排放量。文献[11]提出通过电池储能对净负荷进行削峰填谷,旨在提升火电机组的深度调峰能力。文献[12]研究在长期、日前和实时尺度上如何利用梯级水电站解决大规模风光消纳难题问题。文献[13]根据对调峰、填谷和发电的生产决策管理,最大程度地利用水电机组取代燃煤机组。这些研究将常规电源或者化学储能视为调节可再生能源功率波动的主要灵活资源。但是在新能源集成容量大的区域电网中,火电和水电机组会出现频繁起停、爬坡越限、调节透支等情况,化学储能的高成本和大容量集成等技术还有待提升,灵活性和技术性的限制使其不满足区域电网的调节需求。配置抽水蓄能电站实现能量在时间和空间上的重新分配是新的研究热点。
2)研究聚焦于多能互补系统的随机不确定性问题,而高精度的风电、光伏、负荷功率预测对于降低不确定因素的影响、确保调度方案的准确性至关重要。目前的预测模型主要分为三类:基于物理的模型、基于统计的模型和基于深度学习的模型。物理方法利用数值天气预报和气象观测数据来预测风电输出功率[14]。统计方法基于历史数据构建统计概率函数对依赖关系进行建模,如自回归移动平均模型[15],将输入变量映射到目标输出的数学函数。但此类方法往往依赖统计参数估计或物理原理,使其在捕捉风光荷功率输出与各种影响因素之间复杂的非线性关系方面受到限制。近年来,基于深度学习的模型受到了广泛的关注,通过更深层次的神经网络来学习复杂的模式和依赖关系,获得比物理和统计方法更优越的性能。例如,文献[16]采用长短期记忆网络和小波变换来提高预测精度,但存在梯度消失或爆炸的问题。文献[17]应用卷积神经网络来提取局部信息,受一维卷积核的限制,无法提取长期依赖关系。后来,一些学者提出了混合神经网络,文献[18]融入了模态分解策略,解开错综复杂的时间特性,利用卷积神经网络提取空间特征,并利用双向长短期记忆网络捕获时间依赖关系,对不同的子序列进行超短期负荷预测。但应用于长时间序列时,存在对噪声的过拟合风险。
近年来,生成式人工智能技术的快速发展有效地弥补了上述方法的缺陷,提升了不确定性预测模型的准确性和适应性。其中,以GPT系列为基座的大语言模型(Large Language Model, LLM)凭借其出色的文本理解和多模态生成能力,在电力系统拓扑优化、电力市场、故障诊断、潮流计算等领域获得了广泛应用且优势明显。文献[19]提出一种基于LLM辅助大型海上风电场执行放射状聚类的方法,与传统聚类算法相比,所提方法可使聚类区域的风机数量更均衡,显著提高了拓扑优化的质量与速度。文献[20]通过LLM模拟市场专家的决策,处理复杂的电力市场规则优化和交易优化领域问题。文献[21]将LLM集成到图神经网络,用于提升电力设备缺陷诊断的准确率。文献[22]基于ChatGPT创建符合潮流研究需求的测试配电系统,对比验证了GPT-3.5和GPT-4在生成简单测试电路和提出工程问题解决方案的能力。此外,在负荷预测方面,文献[23]利用LLM的灵活性和推广性,在多时间尺度和多场景数据集预测中获得了更准确的结果,使得LLM在时间序列预测领域呈现广阔的应用前景。
基于此,本文创新性地构建一种基于预训练的大语言模型(Pre-trained Large Language Model, PLLM)赋能场景规划和双层嵌套优化的风-光-水-火-蓄互补调度模型。本文的具体贡献如下:
1)采用实例归一化和分块策略将时序数据转换为PLLM的输入标记。设计了提示词框架,将上下文特征信息与输入标记进行融合;再通过微调相关权重参数来增强PLLM的预测性能。
2)构建PLLM融合的K-平均聚类算法,根据风光荷一体化功率预测结果生成符合电力系统调度生产模拟的供需耦合场景。
3)针对风-光-水-火-蓄互补系统各电源协调运行的问题,提出一种双层嵌套优化方法。在保证输出功率的平稳性的基础上实现系统运行的经济性和环保性。
4)通过数据集的测试结果验证了PLLM在功率预测中的优越性和适应性,并结合西北某省的基地项目进行案例仿真分析,验证本文所提模型和求解策略的有效性。
在含不确定性的电力系统场景随机规划领域,目前常用蒙特卡洛模拟、马尔可夫链、Copula函数、核密度估计等基于概率分布的模型,利用历史数据或已知参数分布构建未来典型场景。因此,此类方法对统计参数估计具有较强的依赖性,难以有效地应用于具有强随机性的风光荷一体化功率预测中。鉴于大语言模型具有强大的推理能力以及小样本或零样本学习能力,本文将其用于风光荷一体化预测和典型调度场景生成。
LLM不可直接用于风光荷一体化功率预测,需要借助神经网络中的多层Transformer架构进行时间序列建模。通过自注意力机制学习序列数据中的长期依赖关系,并通过多层堆叠和前馈网络逐步提取复杂特征。LLM通过预训练、提示词优化与微调策略诱导模型理解和生成所需的输出。基于PLLM的风光荷一体化功率预测实现过程如下所述。
1.1.1 数据输入与前置处理
预测前的数据预处理是确保模型高效准确运行的关键步骤之一。输入数据包括一年内的历史发电功率、气象信息、设备状态等,定义为
,其中M和L分别为序列数据的维度和长度,而
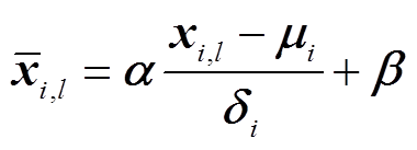
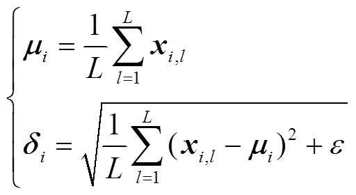
表示第i维序列数据的输入。风光荷一体化数据具有非平稳特性,即数据的统计特性(如均值、方差)随时间变化。因此,本文引入实例归一化的方法以降低数据非平稳性和分布偏移特性的影响,提高预测模型的稳定性。具体方法为:
1)计算数据平均值和标准差
(1)
式中,
和
分别为第i维序列数据的平均值和标准差;ε为一个小的常数阈值,确保标准差计算中的数值稳定性。
2)根据
和
对输入的时间序列进行归一化处理
(2)
式中,α和β分别为缩放和偏移参数向量,可以在模型训练过程中进行优化。
随后应用分块策略构建固定步长的时间序列输入模型。将归一化后的序列
分割成长度为P连续可重叠的块,输入块的总数
,其中S为水平滑动步长。风光荷一体化功率预测涉及大规模、多模态的复杂数据,通过聚合相邻的时间步长形成基于块的标记,每个块包含较短间隔的序列信息。从而将复杂的时序与空间信息映射为PLLM能够理解的基于块序列的输入,增强模型对局部数据特征的提取能力并减少输入信息冗余,进而提升风光荷一体化预测的准确性和鲁棒性。
1.1.2 提示工程与微调策略
提示工程是优化PLLM输出的关键,图1左下方展示了基于思维链方法设计的提示词结构化框架。通过精确设定输入格式、引导模型的思维过程,控制模型生成输出的方式,转换为文本格式供PLLM使用。首先将风光荷一体化数据转换为模型易于理解的文本格式,使其明确如何解析数据并执行预测任务。其次使用思维链方式引导PLLM将复杂任务分解成一系列推理步骤,并将逐步任务的目标和意图清晰地嵌入设计的提示语中,同时给出适当的输出格式或约束条件。值得注意的是,在推理过程中允许模型一次对多个样本生成响应,从而缩短推理时间。最后在提示词中加入对模型误差分析和结果可解释性的要求,并根据上下文推理提出可能改进的提示内容,使模型输出与预期目标保持一致,从而提高生成内容的准确性和整体质量。
自然语言处理的一个重要范式是对通用领域数据进行大规模预训练,重新设计和训练输入嵌入层,将时间序列数据映射到特定领域任务所需维度。对于输入基于块序列的特征向量
,通过全连接层映射为
,dk为嵌入维度。鉴于此,本文采用低秩自适应(Low-Rank Adaption,LoRA)[24]策略,对PLLM骨干部分进行微调,从而降低模型在微调过程中高昂的训练成本和庞大的参数数量。利用大语言模型的低内在维度特性,将可训练的低秩矩阵注入Transformer架构每一层中,减少下游任务的可训练参数,如图1右上部分所示。对于一个预训练的原始高秩权重矩阵W0∈Rd×k,LoRA利用低秩分解对权重更新矩阵ΔW∈Rd×k进行建模,表示为两个低秩矩阵B和A的乘积。其中B∈Rd×r,A∈Rr×k,
。因此微调后新的权重矩阵W可以表示为
图1 基于PLLM提示与微调结构框架示意图
Fig.1 Schematic diagram based on PLLM prompt and fine-tuning structure framework
(3)
在训练过程中,W0被冻结,不需要进行梯度更新。此外,对A使用随机高斯初始化,对B使用零初始化,确保在训练开始时B和A的乘积为零。
如图1所示的微调部分结构框架中冻结了与功率预测任务无关的自注意力层和前馈层,仅选择更新位置嵌入层和归一化层的梯度,在保持模型性能的同时降低了计算复杂度和内存需求。
原则上LoRA可应用于PLLM中的任意权重矩阵子集。为了提高训练效率,本文限定对下游任务影响最大且计算量较小的自注意力层的查询WQ和键WK权重进行微调,通过计算WQ和WK的权重相关性、稀疏度、梯度变化,筛选出对下游任务最敏感的权重,并对其进行微调,使模型在保持原有语义表征的同时动态适配预测任务。微调策略实现了基础模型的广泛能力与目标任务的特殊性的有机统一。
基于1.1节方法得到的风光荷一体化预测功率,生成考虑时空相关性的场景集。PLLM从天气状况、季节变化、周期趋势等非结构数据自适应学习并提取特性信息,使生成的场景能够最佳地平衡不同尺度的贡献。通过集成区域电网实际源-荷需求不断进行推理和更新,实现对场景的自动生成和调整优化。为了减轻模型计算负担,并灵活地迁移到具有不同结构和出力特性的电力系统中,本文构建PLLM融合的K-平均聚类算法,生成符合实际生产调度模拟供电-需求耦合的典型场景,其聚类算法流程如图2所示。
传统K-平均[25]是一种无监督聚类算法,其核心思想是根据样本数据之间的相似性,将样本分组为k个独立的簇。目标函数表示为
(4)
图2 PLLM融入的K-平均聚类算法流程
Fig.2 Flow chart of K-means clustering algorithm integrated with PLLM
式中,
为所有样本距离质心的误差平方和;i和j分别为样本和簇数编号;k为聚类总簇数;mi为场景集第i个样本;cj和sj分别为第j簇的聚类中心和样本集合。传统K-平均需要构建复杂的聚类目标函数,预先设置簇数量k,对初始化中心cj敏感,易使聚类结果陷入局部最优。这些会限制其在风光荷一体化场景中的应用。
基于PLLM融合的K-平均算法对大规模场景集进行聚类具有显著的优势。首先PLLM对生成场景信息包括不同格式的数据文件(如csv、xlsx、jpg)进行内在编码,将这些数据转换为与场景对齐的嵌入向量,生成多模态特征输入;其次采用链式提示的方法让PLLM分析场景分布特征,结合领域知识生成合适k值,再通过轮廓系数或肘部法则验证,避免人工预设偏差,PLLM自动生成运行代码或图表传递给Python执行,将分析结果和报告发送给用户;最后利用最小的局部变化来提高聚类的质量。对于每个低置信度点(两个簇质心到该点的距离接近),提供原始特征场景和当前聚类的代表场景信息,询问PLLM是否认为该场景属于当前分配的聚类。如果认为不够相似,可以考虑将其重新分配到次近邻簇,或者标记为独立的异常场景;否则,维持现有的聚类分配。
针对风-光-水-火-蓄互补系统各电源协调运行,提出一种双层嵌套优化方法。通过资源配置和运行策略的协同优化,利用常规水电和抽水蓄能的分秒级响应能力及时修正预测偏差,规避系统潜在的调度运行风险,并实现整体效能的最大化。双层嵌套优化调度模型如图3所示。上层以源荷波动平滑因子最小为目标,优化互补系统输出功率的平稳性;下层模型以系统运行成本和CO2排放量最低为目标,优化系统的低碳经济调度与火电机组组合。通过上下层交替递进优化,确定系统在输出功率平稳性的基础上,参与调峰的灵活调节机组,输出最佳调度策略。
图3 双层嵌套优化调度模型
Fig.3 Bi-level nested optimal scheduling model
2.1.1 目标函数
为了考量异质清洁电源的互补作用对负荷曲线的平滑效果,解决发电出力与用电负荷动态平衡与稳定控制。本文定义源荷波动平滑因子
对输出功率的平稳性进行描述,
越小则表明机组输出功率越平稳。最小化源荷波动平滑因子的目标函数为
(5)
式中,PWSHP,t为t时段风电、光伏、水电和抽水蓄能互补系统的总出力;
为系统总出力的均值;PW,t、PS,t、PH,t、PP,t分别为风力、光伏、常规水电、抽水蓄能在t时刻的输出功率;T为调度时段的总数;t为调度时段编号。
2.1.2 约束条件
1)风电和光伏机组预测出力约束
(6)
式中,PW,max和PS,max分别为风电和光伏的最大预测出力。
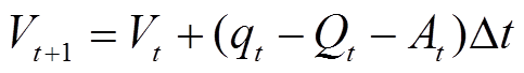
2)水电站的出力描述及边界约束
(7)
式中,Vt为t时刻水库的库容;Qt为t时刻水电机组发电引用流量;PH,max和PH,min分别为水电站在t时刻的最大和最小输出功率;ξ1、ξ2、ξ3、ξ4、ξ5、ξ6为水电机组的发电系数。
3)水库水量平衡约束
(8)
式中,qt为t时刻水库的入库流量;At为t时刻水库的弃水量;Δt为时间间隔。
4)水电站的库容及下泄流量约束
(9)
式中,Vmax和Vmin分别为水电站的最大和最小库容;Qmax和Qmin分别为水库允许的最大和最小下泄流量。
5)抽水蓄能机组抽水、发电功率约束
(10)
式中,PPd,max、PPd,min和PPc,max、PPc,min分别为抽水蓄能发电和抽水功率的上限、下限;PPd,t和PPc,t分别为t时刻的发电和抽水功率;
和
分别为机组的发电和抽水效率;
为t时刻水库的蓄水量;
为水库的最大库容。
6)抽水蓄能电站的库容约束
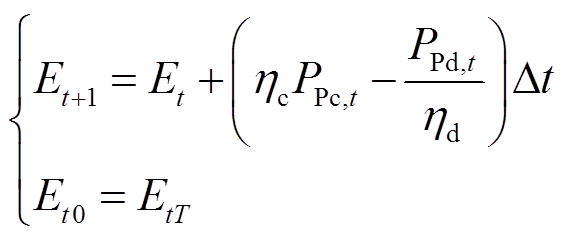
为保证下一个调度周期内的可靠调度规划,抽水蓄能初始和最终调度区间的库容应保持一致。
(11)
式中,Et+1为t+1时刻水库的蓄水量;Et0和EtT分别为调度周期初始和最终时刻水库的库容,两者相等代表调度周期内抽发水量平衡。
7)抽水蓄能的互补性约束
抽水蓄能电站在任何时刻要么工作在抽水模式,要么工作在发电模式,这意味着在同一个时刻不能同时发生抽水和发电这两种工况。
(12)
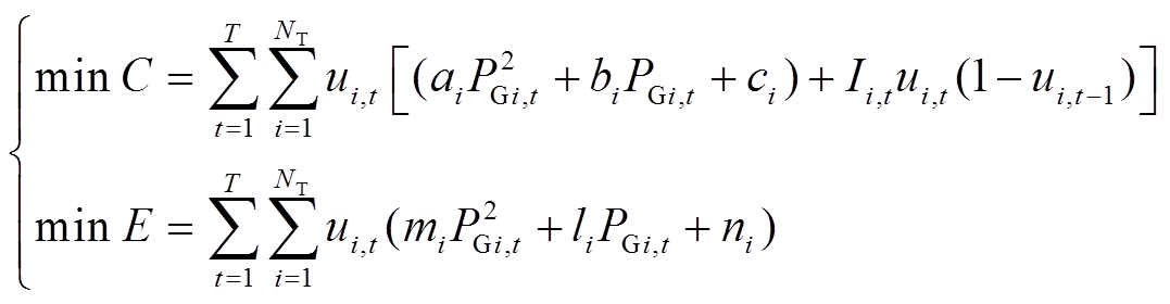
2.2.1 目标函数
下层模型以上层优化获得的水电和抽水蓄能输出功率作为边界条件,对传递的等效火电需求曲线进行优化。以系统运行成本和CO2排放量最小为目标,求解系统低碳经济调度问题。其计算公式为
(13)
式中,
为火电机组i在t时刻的输出功率;ui,t为火电机组运行状态变量(1表示开机,0表示停机);NT为火电机组的总数;Ii,t为火电机组的起停成本;ai、bi、ci为火电机组i的煤耗成本系数;mi、li、ni为火电机组i的碳排放系数。
2.2.2 约束条件
1)功率平衡约束
确保系统的发电功率与负荷需求在每个时间步长内达到供需平衡。在不考虑功率传输损耗的情况下,系统功率平衡方程为
(14)
式中,PL,t为t时段的负荷需求。
2)旋转备用约束
系统的旋转备用可分为正旋转和负旋转,分别表示系统调节电源的发电功率与最大/最小可调输出功率的差值,主要为了应对负荷与风、光出力的预测误差。系统旋转备用方程为
(15)
式中,kd为负荷旋转备用率,取5%;
和
分别为t时刻系统的正、负旋转备用需求;Pi,max和Pi,min分别为可调机组i的最大、最小输出功率;Pi,t为可调机组i在t时刻的输出功率。
3)火电机组出力边界约束
(16)
式中,PGi,max和PGi,min分别为火电机组i允许的最大和最小输出功率。
4)火电机组爬坡速率约束
(17)
式中,RGi,down和RGi,up分别为火电机组i在Δt时间内的出力爬坡下降、上升速率。
5)火电机组最小起停时间约束
(18)
式中,
和
分别为火电机组i在t-1时段连续开机和停机的小时数;
和
分别为火电机组i的最小开机和停机时间。
本文建立的双层优化模型反映系统生产调度模拟的层次化决策过程,PLLM通过语言交互能力识别上下层目标之间的潜在依赖关系,使双层优化模型的决策过程能够更加智能、灵活且高效。双层优化模型的数学描述为
(19)
式中,U(x,y)和L(x,y)分别为上层和下层优化模型的目标函数;g(x,y)和h(x,y)分别为上层和下层优化模型的约束条件;x和y分别为上层和下层优化模型的决策变量。
用于优化风-光-水-火-蓄多能互补系统运行的双层优化模型由1 800个变量集(15个决策变量×5个典型场景×24个调度时段)和11 040个约束条件(5个典型场景×24个调度时段×92个约束条件)驱动。
上层模型充分利用常规水电和抽水蓄能灵活迅速的调节能力缓解风光荷一体化功率的随机波动,以改善系统输出功率平稳性最优为目标,决策变量为风电、光伏、常规水电和抽水蓄能机组的输出功率。考虑到涉及高维度、高约束和高精确度的优化调度问题,采用基于PLLM的模拟植物生长算法进行求解,得到风光水火耦合系统输出功率匹配负荷曲线平稳效果最优的出力计划。具体算法的原理及步骤详见文献[26]。与传统模拟植物生长算法相比,PLLM中蕴含的丰富领域知识不仅赋予算法灵活的全局搜索能力,还能在优化算法设计中实现人工难以编程化定义的不确定复杂问题描述和约束,增强算法的优化框架[27]。在每次迭代中,利用PLLM执行算法的节点生成和生长素浓度更新操作,并构造一个提示来指导PLLM从节点集合中选择当前最优解。然后对其评估是否同时考虑目标函数优化和约束满意度,添加到提示中进行下一次迭代。通过迭代训练,PLLM不断产生高质量和多样性的解,最终得到源荷波动因子最小的各机组出力计划。
下层模型基于上层求解出互补系统平稳性最优下的各机组输出功率,结合传递的等效火电需求曲线,以系统运行成本最低和CO2排放量最小为目标进行低碳经济调度,确定参与系统调峰的火电机组,并优化管理机组组合。下层采用PLLM辅助Python软件编程调用商用求解器Gurobi对火电机组各时段的出力进行优化,确定经济性和环保性最优的调度策略。PLLM根据自然语言指令自动生成优化模型代码,涵盖变量定义、目标函数构建、约束建模、Gurobi接口调用等关键步骤。同时在模型调试、求解结果分析及可视化环节提供优化建议。此外,下层模型为多目标优化,PLLM帮助决策者评估Pareto解集中选取的均衡解。上下层采用交替递进的求解思想,上层决策模型的源荷波动平滑因子需要根据下层决策模型期望的经济和环保综合效益最优计算;而下层模型的综合效益会充分考虑上层模型的系统出力对等效负荷曲线的追踪情况。双层嵌套优化模型整体求解流程如图4所示。
图4 双层优化模型求解流程
Fig.4 Flow chart for solving the bi-level optimization model
本文模型的软件环境使用HuggingFace模型库的PyTorch和GPT-4实现,GPT-4是OpenAI开发的基于Transformer的LLM,并在硬件配置包括13th GenIntel®CoreTMi5-13500H@2.60 GHz的CPU、16 GB的内存和NVIDIA GeForce RTX4050的显卡上进行实验。
为了验证PLLM对于风光荷一体化预测任务的适应潜力,采用西北某省2019年风电、光伏、负荷的数据集作为样本。数据采样步长为1 h,该数据集涵盖2019年1月1日—12月31日的地理位置信息、天气状况、实测功率数据等历史信息。在本文的实验中,将前11个月的样本用于模型训练,余下的一个月的样本用于模型测试验证。为了评估本文提出的PLLM在风光荷一体化预测任务中的适用性和准确性,与以下具有代表性的传统神经网络预测模型进行对比:门控循环单元(Gate Recurrent Unit, GRU)、长短时记忆(Long-Short Term Memory, LSTM)、时域卷积网络(Temporal Convolutional Network, TCN)和双向长短时记忆(Bidirectional Long-Short Term Memory, BiLSTM)集成的网络TCN-BiLSTM。
预测的性能评估是衡量PLLM时序分析能力的关键。在提取预测数值后,选取传统基于数值预测方法的评估指标来评估PLLM在风光荷一体化预测任务中的性能。具体包括平均绝对误差(Mean Absolute Error, MAE)、方均根误差(Root Mean Square Error, RMSE)、平均绝对百分比误差(Mean Absolute Percentage Error, MAPE)和决定系数(R2)四项指标[28]。不同模型的风光荷一体化功率预测结果和误差评估指标如图5和表1所示。由图5可以观察到,PLLM在测试数据集上的预测结果与真实出力非常接近,橙色虚线与蓝色实线之间的波动偏差最小。其他模型预测结果与真实出力的偏差更显著,表明预测精度较低。表1展示了各种模型的预测误差,在MAE、RMSE、MAPE和R2四个评价指标上,本文提出的基于PLLM预测方法均优于传统预测模型GRU、LSTM和TCN-BiLSTM。其中,在光伏、风电和负荷三种测试数据集中,MAE平均降低53.93%、48.10%和37.33%;RMSE平均降低51.19%、50.01%和25.05%;MAPE平均降低32.45%、23.38%和13.93%;R2平均提高9.55%、6.00%和6.24%。以上结果均证明PLLM对于传统的神经网络预测模型具有压倒性优势。
图5 所提方法与其他模型在测试数据集上的预测结果对比
Fig.5 Forecasting results comparison of the proposed method with other models on the test dataset
表1 不同模型在测试数据集上的预测误差对比
Tab.1 Comparison of prediction errors of different models on the test dataset
测试数据集模型MAERMSEMAPE(%)R2 光伏GRU13.1120.9835.480.85 LSTM15.9324.7940.800.88 TCN-BiLSTM8.8015.6129.690.93 PLLM5.479.6323.460.97 风电GRU33.8246.1231.430.87 LSTM36.6749.9335.160.90 TCN-BiLSTM22.1336.3124.020.92 PLLM15.2621.6322.560.95 负荷GRU62.9680.6115.570.86 LSTM66.5582.4615.760.84 TCN-BiLSTM49.9268.4113.390.90 PLLM36.9157.4312.760.92
基于PLLM的风光荷一体化全年功率预测结果如图6所示。可以看出风光荷一体化预测功率呈现强大的波动性和间歇性,影响电力系统的安全稳定,带来了潜在的调度运行风险。考虑到对全年逐小时进行调度生产模拟时,模型规模较大。为了降低模型复杂度和提升求解效率,本文提出PLLM融合K-平均聚类算法的方法对生成的具有相关性的场景集进行聚类削减。最终得到5个典型的供需运行场景,并给出每个场景发生的概率。风光荷一体化典型场景聚类结果如图7所示。从图7中可以看出,各场景之间存在显著的差异,无论是负荷曲线的峰谷差,还是风光出力大小,均呈现明显的季节特性。并且每个典型场景能映射到实际气象条件(如晴天、多云、强风、强光等),具有较高的发生概率。总体来说,PLLM在大幅降低计算资源的同时展现出高质量的聚类效果,为电力系统提供了可靠的调度规划场景。
图6 风光荷一体化功率预测结果
Fig.6 Power prediction results of wind-solar-load integration
图7 风光荷一体化典型场景聚类结果
Fig.7 Clustering results of typical scenarios for wind-solar-load integration
为了验证所提聚类算法的优越性,将PLLM融合的K-平均聚类与传统的K-平均聚类和模糊C均值聚类进行对比,并采用平均轮廓系数(Average Silhouette Coefficient, ASC)、戴维森堡丁指数(Davies-Bouldin Index, DBI)、概率区间和求解时间作为评价指标对聚类结果进行评价[29]。算法性能对比结果见表2。由表2可以看出,三种方法得到最优的聚类簇数k十分接近,但与K-平均和模糊C均值算法相比,本文提出的方法得到的ASC得分更高,DBI得分更低,表明聚类效果更佳。此外,从聚类获得典型场景发生概率的区间角度看,概率区间越大,说明聚类过程不仅保留了原始场景的分布特征,还挖掘出(如极端天气或系统异常负荷)极端场景信息,为系统优化调度提供了更具针对性和差异化的场景支撑。在求解时间上,基于PLLM融合的K-平均聚类在聚类前对质心合理初始化并采用降维处理,显著提高了求解稳定性和效率。
表2 不同聚类算法性能指标对比结果
Tab.2 Comparison of performance indexes of different clustering algorithms
方法kASCDBI概率区间(%)求解时间/s K-平均50.5741.051[12, 25]13.219 模糊C均值60.5431.328[10, 20]12.985 本文50.6640.797[9, 35]8.465
西北地区的可再生能源资源十分丰富,已推进建成我国规模最大的多能互补集成优化示范项目。本文以西北某省的风-光-水-火-蓄一体化基地项目为算例,进行电力系统短期生产调度模拟,验证双层嵌套优化风-光-水-火-蓄多源耦合系统协调运行的有效性。该基地项目的基础数据见表3,参与模拟调度的各发电机组的详细参数源自文献[30]。依据国家节能减排号召,最大限度地利用清洁能源,确保风电和光伏发电全额消纳,调度生产模拟时不产生弃风、弃光现象,后文的研究都建立在此基础上。
表3 基地项目的基础数据
Tab.3 Basic data on base project
机组类型机组容量/MW数量/台总容量/MW 火电机组455/162/130/85/80/552/1/2/1/1/31 662 水电机组3001300 抽蓄机组1501150 风光机组―1PLLM预测 光伏机组―1PLLM预测
4.2.1 不同场景下的调度结果分析
以聚类生成的典型运行场景为基础,进行双层嵌套优化调度。为了对上层模型采用基于PLLM的模拟植物生长算法求解、下层采用PLLM辅助Gurobi求解器求解进行对比分析,分别设置三种不同的求解策略。
S1:上层和下层模型都采用模拟植物生长算法求解。
S2:上层采用改进的粒子群优化算法,下层采用Gurobi求解器。
S3:本文提出的求解方法。
此外,为避免算法随机性带来的误差,每次实验重复20次,求解得到各调度场景目标函数的最大值、最小值和均值。表4给出了S1、S2和S3不同求解策略下各场景目标函数适应度值。在所提S3求解策略下,不同场景下风-光-水-火-蓄互补系统的协同运行优化调度结果如图8所示。
表4 不同求解策略下各场景目标函数值
Tab.4 Objective function values of each scenario under different solving strategies
场景求解算法源荷波动平滑因子/MW系统运行成本/万元CO2排放量/t 最大值最小值均值最大值最小值均值最大值最小值均值 1S1255.37193.92214.19561.58551.88555.46216.49213.20214.81 S2246.56190.11208.49552.30547.59549.44214.72210.92212.17 S3242.41187.67196.87549.14544.43546.68212.01208.17209.63 2S1243.76184.92198.71497.17492.29496.53201.10196.39198.57 S2228.08167.10180.45494.40488.46490.06197.70193.86195.65 S3221.92161.87166.63488.93485.14486.21195.51191.79193.21 3S1200.88139.27155.37463.80459.73461.56196.65189.81193.45 S2183.51132.05140.95459.09455.61457.48193.64187.56190.78 S3178.69128.90134.51455.71453.40454.29188.98185.47187.21 4S1146.7888.57100.46381.22377.62379.76154.92149.26151.54 S2137.0476.5087.55376.78375.16376.22151.15148.42149.79 S3129.2773.1682.83374.90373.73374.19148.85146.94147.78 5S1166.71118.26132.43450.25439.42443.51190.34185.53187.79 S2154.01110.75121.13443.78433.27436.95188.77180.57183.36 S3147.98106.27115.39432.26428.98430.90182.68178.28180.42
图8 不同场景下互补系统的优化调度结果
Fig.8 Optimal power output of complementary systems for different scenarios
由表4可知,S3求解得到的目标函数最大值、最小值、均值均优于S1和S2,在场景2和场景5中,S3的均值甚至比S1和S2的最小值更低。具体表现为:在场景2中,与S1相比,S3的源荷波动平滑因子、系统运行成本和CO2排放量最优值分别降低12.46%、1.45%和2.34%;与S2相比,S3的目标函数最优值分别降低3.13%、0.68%、1.07%。在场景5中,S3与S1和S2相比,源荷波动平滑因子最优值分别降低10.14%和4.05%;系统运行成本最优值分别降低2.38%和0.99%;CO2排放量最优值分别降低3.91%和1.27%。此外,S3求得的目标函数最优值与均值之间的偏差比S1和S2更小,表明S3的收敛性能更佳。
从图8的调度结果可以看出,场景1和场景2的火电总出力曲线在一天中波动较大,变负荷调节频繁,主要是因为场景1和场景2呈现夏季特性,有两个显著的电力需求高峰(午高峰和晚高峰),低谷时段则出现在夜间,负荷的峰谷差大,直接导致火电机组运行成本最大。双层嵌套优化方法可充分激励抽水蓄能的快速吞吐能力,响应风光荷一体化出力的实时波动,在0:00—6:00的低负荷时段抽水,在10:00—22:00的高峰负荷时段发电,在极大程度上降低了火电机组调峰压力。通过资源合理配置和双层嵌套的协同优化有效地规避了系统潜在的调度运行风险。
4.2.2 抽水蓄能灵活性量化评估
为了进一步探讨抽水蓄能机组在风-光-水-火-蓄多源互补系统中的优越性。本文构建了如下两个对比模型,模型Ⅰ:本文所提的风-光-水-火-蓄优化调度模型;模型Ⅱ:风-光-水-火优化调度模型。两个模型采用相同的软件平台、模型参数及优化方法求解,得到不同运行场景下目标函数值的对比结果,如图9所示。

图9 两种模型在不同运行场景下的优化调度结果
Fig.9 Optimal scheduling results of the two models for different operating scenarios
由图9可以观察到,在所有调度运行场景中,除了场景3的系统运行成本和CO2排放量分别增加了0.85%(3.81万元)和0.77%(1.42 t),模型Ⅰ的最优调度运行方案的目标函数值均优于模型Ⅱ。具体表现为从场景1~场景5,模型Ⅰ比模型Ⅱ的源荷波动平滑因子分别降低了16.95%(38.29 MW)、15.56%(29.81 MW)、12.39%(18.23 MW)、11.25%(9.27 MW)、13.45%(16.51 MW)。表明抽水蓄能机组可以有效地控制输出功率的波动,提高系统整体的灵活调节能力,保障互补系统的安全稳定运行。在场景1、场景2、场景4和场景5中,与模型Ⅱ相比,模型Ⅰ的系统运行成本分别减少了1.69%(9.33万元)、1.58%(7.78万元)、1.26%(4.76万元)和1.51%(6.56万元);相应的CO2排放量降低了2.45%(5.23 t)、1.97%(3.85 t)、0.84%(1.25 t)和1.38%(2.50 t)。抽水蓄能机组的抽水功率和发电功率存在平衡约束,在火电总发电量相近的情况下,模型Ⅰ可以更好地优化系统运行成本和CO2排放量。
综上所述,本文所建模型激励了抽水蓄能辅助火电机组调峰的积极性,在确保输出功率的平稳性、调峰经济性等方面均具有明显优势。特别是在负荷峰谷差较大的场景中,充分发挥了顶峰发电能力,保障了系统的安全稳定运行;在谷荷时段利用调节余量,进一步平滑了火电机组的日出力曲线,避免火电机组频繁变负荷调节,延长了其运行寿命。
考虑抽水蓄能机组参与互补系统协同运行对常规电源的影响,基于所提的双层嵌套优化方法对上述设置两个模型的火电机组组合进行优化管理。优化的机组组合将同时考虑火电开机次数、起停次数和起停成本因素,最大程度地实现火电机组的高效运行和快速响应。火电机组在模型Ⅰ和模型Ⅱ的起停和调节情况如图10所示。
图10 不同模型下火电机组的起停和调节情况
Fig.10 Start-stop and regulation of thermal power units under different models
图10的每个分图的上半部分显示火电机组在两种模型5个场景下的起停成本、起停次数与开机机组总数,下半部分显示火电机组在各时段的机组组合与调节情况。以场景1为例,二者的机组调节出现显著差异主要集中在高峰时段(13:00—21:00)和低谷时段(1:00—6:00),这与图8中抽水蓄能机组的出力曲线对应。表明抽水蓄能通过抽水/发电来缓解火电在低谷/高峰时段的供电压力,有效地降低了火电机组日出力调节量。在调度期间,除了场景3火电机组开机总数、起停次数和起停成本分别降低了8次、1次和0.49万元,其他场景下模型Ⅱ的指标比模型Ⅰ更高。在场景1、场景2、场景4和场景5中,火电机组的开机总数分别增加了9次、2次、6次和1次;起停次数分别增加了5次、3次、4次和7次;起停成本分别增加了0.34、0.08、0.77、0.69万元。这意味着在水资源充裕且得到充分利用的情况下,本文所提的风-光-水-火-蓄多源互补协同优化策略实现了清洁发电机组对火电机组的最大替代,显著提高了火电调峰的灵活性。通过火电机组的优化管理避免因频繁起停带来的高昂运行成本,验证了本文所建方法的有效性和合理性。
为了有效应对未来高比例新能源电力接入电网带来的系统安全稳定运行和调峰灵活性问题,本文提出一种基于PLLM赋能电力系统场景规划生成和双层嵌套优化的方法。对风-光-水-火-蓄一体化基地进行调度生产模拟,得出以下主要结论:
1)提出利用PLLM对风光荷一体化功率进行预测,通过设计提示词模式框架使模型理解任务要求并优化输出,采用微调策略增强模型在预测中的性能。克服了传统预测模型在精度、灵活性和适应性上的局限。此外,构建PLLM融合的K-平均聚类算法,在场景生成建模和求解阶段实现自动化。
2)仿真结果表明,本文提出的双层嵌套优化方法可充分激励常规水电和抽水蓄能的快速调节能力响应风光荷一体化出力的实时波动,规避系统潜在的调度运行风险。为电力系统优化和运行提供可靠的决策依据。
3)在规划的调度运行场景下,相比于模型Ⅱ,模型Ⅰ的源荷波动平滑因子、系统运行成本和CO2排放量的均值分别降低了22.42 MW、4.92万元、2.28 t。考虑抽水蓄能机组加入后对常规电源运行优化的影响,模型Ⅰ火电机组开机总数、起停次数和起停成本的均值分别减少了2次、4次和0.28万元。抽水蓄能辅助耦合系统调峰运行时,可显著提升灵活调节裕度,缓解火电机组调峰压力,大大降低系统的运行成本和CO2排放量。
PLLM在参与场景规划和求解多能互补调度模型过程中存在以下局限:①独特的“黑箱”特性,难以解释内部推理过程;②预测性能受训练数据的质量和提示词设计的影响;③PLLM应用于电力系统预测和优化调度领域尚处于早期探索阶段。针对上述问题,未来的工作应该深入研究PLLM的内部特性,并应用关键技术完善交互关系,更高效、更透明、更稳定地解决复杂的电力系统优化问题。
参考文献
[1] 李晖, 刘栋, 姚丹阳. 面向碳达峰碳中和目标的我国电力系统发展研判[J]. 中国电机工程学报, 2021, 41(18): 6245-6259. Li Hui, Liu Dong, Yao Danyang. Analysis and reflection on the development of power system towards the goal of carbon emission peak and carbon neutrality[J]. Proceedings of the CSEE, 2021, 41(18): 6245-6259.
[2] 任大伟, 侯金鸣, 肖晋宇, 等. 能源电力清洁化转型中的储能关键技术探讨[J]. 高电压技术, 2021, 47(8): 2751-2759. Ren Dawei, Hou Jinming, Xiao Jinyu, et al. Exploration of key technologies for energy storage in the cleansing transformation of energy and power[J]. High Voltage Engineering, 2021, 47(8): 2751-2759.
[3] 姜云鹏, 任洲洋, 李秋燕, 等. 考虑多灵活性资源协调调度的配电网新能源消纳策略[J]. 电工技术学报, 2022, 37(7): 1820-1835. Jiang Yunpeng, Ren Zhouyang, Li Qiuyan, et al. An accommodation strategy for renewable energy in distribution network considering coordinated dispatching of multi-flexible resources[J]. Transactions of China Electrotechnical Society, 2022, 37(7): 1820-1835.
[4] 赵志鹏, 于志辉, 程春田, 等. 水风光综合基地多风险量化及长期多目标协调优化调度方法[J]. 电力系统自动化, 2024, 48(22): 118-130. Zhao Zhipeng, Yu Zhihui, Cheng Chuntian, et al. Multi-risk quantification and long-term multi-objective coordinative optimal dispatch method for hydro-wind-solar integrated energy base[J]. Automation of Electric Power Systems, 2024, 48(22): 118-130.
[5] 郭怿, 明波, 黄强, 等. 考虑输电功率平稳性的水-风-光-储多能互补日前鲁棒优化调度[J]. 电工技术学报, 2023, 38(9): 2350-2363. Guo Yi, Ming Bo, Huang Qiang, et al. Day-ahead robust optimal scheduling of hydro-wind-PV-storage complementary system considering the steadiness of power delivery[J]. Transactions of China Electro-technical Society, 2023, 38(9): 2350-2363.
[6] 王开艳, 罗先觉, 贾嵘, 等. 充分发挥多能互补作用的风蓄水火协调短期优化调度方法[J]. 电网技术, 2020, 44(10): 3631-3641. Wang Kaiyan, Luo Xianjue, Jia Rong, et al. Short-term coordinated scheduling of wind-pumped-hydro-thermal power system with multi-energy compleme-ntarities [J]. Power System Technology, 2020, 44(10): 3631-3641.
[7] 孙惠, 翟海保, 吴鑫. 源网荷储多元协调控制系统的研究及应用[J]. 电工技术学报, 2021, 36(15): 3264-3271. Sun Hui, Zhai Haibao, Wu Xin. Research and application of multi-energy coordinated control of generation, network, load and storage[J]. Transactions of China Electrotechnical Society, 2021, 36(15): 3264-3271.
[8] 李建林, 郭兆东, 马速良, 等. 新型电力系统下“源网荷储”架构与评估体系综述[J]. 高电压技术, 2022, 48(11): 4330-4342.Li Jianlin, Guo Zhaodong, Ma Suliang, et al. Overview of the "source-grid-load-storage'' architecture and evaluation system under the new power system[J]. High Voltage Engineering, 2022, 48(11): 4330-4342.
[9] 韩丽, 王冲, 于晓娇, 等. 考虑风电爬坡灵活调节的碳捕集电厂低碳经济调度[J]. 电工技术学报, 2024, 39(7): 2033-2045. Han Li, Wang Chong, Yu Xiaojiao, et al. Low-carbon and economic dispatch considering the carbon capture power plants with flexible adjustment of wind power ramp[J]. Transactions of China Electrotechnical Society, 2024, 39(7): 2033-2045.
[10] 袁文腾, 陈亮, 王春波, 等. 基于氨储能技术的电转氨耦合风–光–火综合能源系统双层优化调度[J]. 中国电机工程学报, 2023, 43(18): 6992-7003. Yuan Wenteng, Chen Liang, Wang Chunbo, et al. Bi-level optimal scheduling of power-to-ammonia coupling wind-photovoltaic-thermal integrated energy system based on ammonia energy storage technology[J]. Proceedings of the CSEE, 2023, 43(18): 6992-7003.
[11] 李军徽, 张嘉辉, 李翠萍, 等. 参与调峰的储能系统配置方案及经济性分析[J]. 电工技术学报, 2021, 36(19): 4148-4160.Li Junhui, Zhang Jiahui, Li Cuiping, et al. Configuration scheme and economic analysis of energy storage system participating in grid peak shaving[J]. Transactions of China Electrotechnical Society, 2021, 36(19): 4148-4160.
[12] 谭乔凤, 聂状, 闻昕, 等. 大规模风光接入下梯级水电站调度方式研究[J]. 水力发电学报, 2022, 41(9): 44-55. Tan Qiaofeng, Nie Zhuang, Wen Xin, et al. Operation modes of cascade hydropower stations considering large-scale integration of wind and photovoltaic power[J]. Journal of Hydroelectric Engineering, 2022, 41(9): 44-55.
[13] Li Huanhuan, Zhang Runfan, Mahmud M A, et al. A novel coordinated optimization strategy for high utilization of renewable energy sources and reduction of coal costs and emissions in hybrid hydro-thermal-wind power systems[J]. Applied Energy, 2022, 320: 119019.
[14] 杨茂, 王达, 王小海, 等. 基于数据物理混合驱动的超短期风电功率预测模型[J]. 高电压技术, 2024, 50(11): 5132-5141. Yang Mao, Wang Da, Wang Xiaohai, et al. Ultra-short term wind power prediction method based on data physics hybrid driven model[J]. High Voltage Engineering, 2024, 50(11): 5132-5141.
[15] 邹金, 朱继忠, 赖旭, 等. 基于时空自回归移动平均模型的风电出力序列模拟[J]. 电力系统自动化, 2019, 43(3): 101-107. Zou Jin, Zhu Jizhong, Lai Xu, et al. Simulation of wind power output series based on space-time auto-regressive moving average model[J]. Automation of Electric Power Systems, 2019, 43(3): 101-107.
[16] 彭曙蓉, 陈慧霞, 孙万通, 等. 基于改进LSTM的光伏发电功率预测方法研究[J]. 太阳能学报, 2024, 45(11): 296-302. Peng Shurong, Chen Huixia, Sun Wantong, et al. Research on photovoitaic power prediction method based on improved LSTM[J]. Acta Energiae Solaris Sinica, 2024, 45(11): 296-302.
[17] Harbola S, Coors V. One dimensional convolutional neural network architectures for wind prediction[J]. Energy Conversion and Management, 2019, 195: 70-75.
[18] 钟吴君, 李培强, 涂春鸣. 基于EEMD-CBAM-Bi LSTM的牵引负荷超短期预测[J]. 电工技术学报, 2024, 39(21): 6850-6864. Zhong Wujun, Li Peiqiang, Tu Chunming. Traction load ultra-short-term forecasting framework based on EEMD-CBAM-BiLSTM[J]. Transactions of China Electrotechnical Society, 2024, 39(21): 6850-6864.
[19] 张孝顺, 李锦诚, 郭正勋. 大模型辅助的大型海上风电场集电系统拓扑优化[J]. 高电压技术, 2024, 50(7): 2894-2905. Zhang Xiaoshun, Li Jincheng, Guo Zhengxun. Topology optimization of large-scale offshore wind farm collector systems based on large language models[J]. High Voltage Engineering, 2024, 50(7): 2894-2905.
[20] 曹祎, 张莉, 郭静, 等. 基于大语言模型的低碳电力市场发展应用前景[J]. 智慧电力, 2024, 52(2): 8-16. Cao Yi, Zhang Li, Guo Jing, et al. Prospects for development of low-carbon electricity markets based on large language models[J]. Smart Power, 2024, 52(2): 8-16.
[21] 李莉, 时榕良, 郭旭, 等. 融合大模型与图神经网络的电力设备缺陷诊断[J]. 计算机科学与探索, 2024, 18(10): 2643-2655. Li Li, Shi Rongliang, Guo Xu, et al. Diagnosis of power system defects by large language models and graph neural networks[J]. Journal of Frontiers of Computer Science and Technology, 2024, 18(10): 2643-2655.
[22] Bonadia R S, Trindade F C L, Freitas W, et al. On the potential of ChatGPT to generate distribution systems for load flow studies using OpenDSS[J]. IEEE Transactions on Power Systems, 2023, 38(6): 5965-5968.
[23] Gao Mingyang, Zhou Suyang, Gu Wei, et al. LFPLM: a general and flexible load forecasting framework based on pre-trained language model[J]. arXiv preprint arXiv: 2406. 11336, 2024.
[24] Hu E, Shen Yelong, Wallis P, et al. Lora: low-rank adaptation of large language models[J]. arXiv preprint arXiv: 2106.09685, 2021.
[25] 陈帝伊, 张猛, 刘泳, 等. 考虑避振条件的水风光互补发电系统运行经济性评估[J]. 水利学报, 2024, 55(4): 403-415. Chen Diyi, Zhang Meng, Liu Yong, et al. Operational economic evaluation of hydro-wind-photovoltaic power generation system considering the vibration avoidance strategy[J]. Journal of Hydraulic Engineering, 2024, 55(4): 403-415.
[26] Wang Kaiyan, Zhu Hengtao, Dang Jian, et al. Short-term optimal scheduling of wind-photovoltaic-hydropower-thermal-pumped hydro storage coupled system based on a novel multi-objective priority stratification method[J]. Energy, 2024, 309: 133190.
[27] Wu Xingyu, Wu Shenghao, Wu Jibin, et al. Evolutionary computation in the era of large language model: survey and roadmap[J]. IEEE Transactions on Evolutionary Computation, 2025, 29(2): 534-554.
[28] 董俊, 束洪春, 刘瑞, 等. 大语言模型赋能场景生成和双层优化的多农业园区供电-灌溉-蓄水耦合运行[J]. 高电压技术, 2024, 50(7): 2906-2917. Dong Jun, Shu Hongchun, Liu Rui, et al. Large language models empowering scenario generation and dual-layer optimization for coupled operations of power supply, irrigation, and water storage in multiple agricultural parks[J]. High Voltage Engineering, 2024, 50(7): 2906-2917.
[29] 王开艳, 杜浩东, 贾嵘, 等. 基于相似日聚类和QR-CNN-BiLSTM模型的光伏功率短期区间概率预测[J]. 高电压技术, 2022, 48(11): 4372-4388. Wang Kaiyan, Du Haodong, Jia Rong, et al. Short-term interval probability prediction of photovoltaic power based on similar daily clustering and QR-CNN-BiLSTM model[J]. High Voltage Engineering, 2022, 48(11): 4372-4388.
[30] Li Xudong, Yang Weijia, Zhao Zhigao, et al. Advantage of priority regulation of pumped storage for carbon-emission-oriented co-scheduling of hybrid energy system[J]. Journal of Energy Storage, 2023, 58: 106400.
Abstract Renewable energy source (RES) power generation has strong stochastic volatility, and large-scale grid-connection will have an impact on the consumption of RES and scheduling operation planning of the power system, which is not conducive to stable economic operation. Constructing multi-energy complementary systems represents a viable solution to enhance energy utilization and mitigate dispatch operational risks. Scholars at home and abroad have conducted extensive research on the problem of multi-energy complementarity, and the following problems still exist at this stage: (1) In the regional power grid with large RES integration, thermal power and conventional hydropower units will frequently start-stop, climb over the limit, adjust the overdraft. Meanwhile, technical difficulties such as the high cost and large capacity integration of chemical energy storage have not been broken through. (2) The performance of existing power forecasting models needs to be further improved, and accurate prediction of wind, solar and load power is the premise of efficient utilization of RES. To address these issues, this paper proposed a pre-trained large language model (PLLM) based on empowering scenario planning and bi-level nested optimization of wind-solar-hydro-thermal-pumped storage complementary scheduling model.
Firstly, after cleaning and normalizing the data, fixed step time series input tokens are constructed to enhance the model's capability to capture local data features and reduce the redundancy of input information. The prompt word pattern framework is innovatively designed to integrate the context feature information with the input tokens to guide the PLLM reasoning process. In order to improve the wind-solar-load integrated power prediction performance of PLLM, an efficient fine-tuning strategy is introduced to adjust the relevant weight parameters. Subsequently, The K-means clustering algorithm integrated with PLLM is constructed to generate supply-demand coupling operation scenarios conforming to the power system scheduling production simulation according to the integrated power prediction results, which provides scenarios support for the next optimal scheduling model. Finally, a bi-level nested optimization method is proposed for the coordinated operation of each power source in wind-solar-hydro-thermal-pumped storage complementary system. The upper level optimizes the stability of the output power of the system to guarantee the consumption of RES, while the lower level optimizes the low-carbon economic scheduling of the system and the thermal power unit commitments to realize the economy and environmental protection.
According to the test results of the actual data sets, compared with the traditional neural network prediction models gate recurrent unit (GRU), long-short term memory (LSTM), temporal convolutional network (TCN) and bidirectional long-short term memory (BiLSTM) integrated network TCN-BiLSTM. The evaluation indexes of the model's prediction performance, mean absolute error (MAE), root mean absolute error (RMSE) and mean absolute percentage error (MAPE) are decreased by an average of 46.45%, 42.08% and 23.25%, respectively, and R2 increased by an average of 7.26%. The superiority and adaptability of the proposed PLLM in power prediction are demonstrated. The simulation results of a base project in a northwestern province demonstrates that the proposed bi-level nested solution method effectively coordinates the rapid regulation capabilities of conventional hydropower and pumped storage to respond to real-time fluctuations in wind-solar-load integrated power output, and realize the economy and low-carbon of the system operation on the basis of ensuring the stability of the output power. After pumped storage is involved in the complementary operation, the average values of the source load fluctuation smoothing factor, system operating cost and CO2 emissions are reduced by 13.92%, 1.04% and 1.17%, respectively, the average values of total number of thermal power units, start-stop times and start-stop costs are reduced by 2 times, 4 times and 2 800 yuan, respectively. When pumped storage participates in the peaking operation of the coupled system, it can significantly improve the flexible adjustment margin, alleviate the peaking pressure of thermal power units, and greatly reduce the operating cost and CO2 emissions of the system.
keywords:Integration of wind-solar-load, power forecasting, pre-trained large language model, bi-level nested optimization, multi-energy complementary
DOI: 10.19595/j.cnki.1000-6753.tces.250354
中图分类号:TM61; TM732
陕西省重点研发计划项目(2025NC-YBXM324)和国家自然科学基金项目(U2243216, 52379023)资助。
收稿日期 2025-03-06
改稿日期 2025-04-21
王开艳 女,1982年生,副教授,研究方向为电力系统优化调度与运行分析。E-mail:wkydream@163.com(通信作者)
祝恒涛 男,2000年生,硕士研究生,研究方向为多能互补优化调度。E-mail:zhuhengtao111@126.com
(编辑 赫 蕾)