摘要 跨省区电力市场的开展可实现电力资源的广域优化配置,促进各区域资源的互补共济。我国当前的跨省区市场以电能量跨区交易为主,然而,随着风、光跨区消纳需求的快速增长,跨省区备用交易引起了广泛关注。备用跨区交易的关键问题在于如何将联络线通道容量在能量、备用之间合理地分配并确保备用可交付。为此,该文对跨省区备用交易问题进行数学描述,并详细地分析了现有通道容量备用预留约束的建模方法,提出以构建备用交易对的方式实现备用供需关系的直接映射,进而显式地表征备用交易与通道容量的关联,据此构建通道容量备用预留约束,并将其线性化后纳入能量-备用联合优化模型中管理通道容量分配和备用交易。算例分析表明,该文所提方法可充分地评估备用资源的空间价值,有效地保障出清备用的可交付性,实现通道容量的合理分配。
关键词:电力市场 跨省区交易 联合优化 通道容量预留 备用可交付性
随着我国“碳达峰、碳中和”能源战略目标的提出,电力系统绿色低碳转型不断加速,新能源规模持续增长[1]。截至2024年底,全国新能源装机容量达到14.5亿kW,装机规模首次超过火电[2]。然而,我国各省区资源禀赋差异性及互补性强,电力资源供需呈现逆向分布,导致我国电力跨省区传输的需求迫切[3]。目前,我国已形成了依靠特高压交直流互联的跨省区电网互联格局,建成“22交16直”特高压输电通道38条,西电东送输电能力超过3亿kW[4]。
与此同时,为通过市场手段引领电力资源跨省区优化配置,我国依托互联电网开展了全国统一电力市场建设的实践,通过组织多时空维度的跨省区电力交易,激发水风光储互济,实现电力资源的跨省区协同优化配置[5]。当前,跨省区电力交易主要关注电能量交易,例如,国家电网公司和南方电网公司均以“优先计划+市场化交易”的方式建立了跨省区中长期电力交易市场,并开展了跨省区电力现货市场建设,国网区域省间电力现货市场已转入正式运行[6-7]。然而,仅依靠电能量交易难以保障电力供需平衡,电力系统还需要依赖备用等辅助服务以应对不确定性,因此,以备用为代表的电力辅助服务跨省区交易逐渐引起工业界关注[8-9]。尤其考虑各区域新能源不确定性差异大,科学合理地组织备用跨省区交易并实现成本分摊愈发迫切[10-11]。
当前,部分电力市场开展了备用跨区互济的市场组织探索。美国未形成正式的跨区备用交易市场,区域备用共享以签订协议的形式开展,例如,西北电力池的备用共享组(Reserve Sharing Group):各成员根据协议贡献一定比例的备用容量形成备用共享池,当某成员需要时可从中调用[12]。欧洲成立了跨国备用交易的运营机构,各国根据自身需求进行申报,运营机构采用相应的算法根据需求对各国投标进行集中出清并计算跨国边际价格,例如,MARI(Manually Activated Reserves Initiative)项目开展了手动频率恢复备用互济[13]。相比于协议式的备用共享模式,全区域的市场协调能提升资源的广域优化配置,实现不同区域的电力资源余缺互济。
国内电力市场的组织模式与欧洲有所差异,不能沿用欧洲跨国备用市场的组织模式。具体原因在于:欧洲电力市场以能量市场与辅助服务市场的分离为基础,不考虑能量与备用之间的耦合[14-15];而国内以系统安全性为前提,采用集中式的组织模式,推动具有耦合特性的产品联合优化出清来实现资源的优化配置[16]。同时,现有研究表明,在以可再生能源为主导的系统中,跨区能量与辅助服务联合优化是最有效的资源整合方式[17-18]。
因此,在我国开展备用跨省区交易时需采用能量与备用跨区联合优化方式,该方式的核心问题在于确保通道预留容量可满足备用调度需求,将跨区通道容量科学合理地分解,同时满足能量传输和备用预留并保障系统运行的经济性。因此,跨省区市场出清模型需联合优化能量交易与备用交易所需通道容量,其数学本质是科学地构建备用跨区交易的通道容量预留约束条件,并将其纳入市场出清优化模型中。通道容量预留约束建模的核心技术难点在于备用交易与通道容量关联关系的构建:能量交易可直接根据中标量计算其交付时将产生的潮流进而得到所需通道容量;备用交易无法在事前确定其调用情况,无法得到实际所需通道容量。在非确定性的调用场景下,如何显式地量化备用交易与通道容量的关系是备用可交付性问题的核心难题。现阶段国内外跨区交易现状总结见表1。
表1 国内外跨区交易现状总结
Tab.1 Summary of current status for cross-region trading at China and abroad
市场组织美国欧洲中国 跨区交易组织能量不平衡市场、协调交易机制欧洲统一电力市场省间中长期市场和省间现货市场 备用交易组织协调交易机制跨国备用市场省间备用市场 通道联合优化未开展未开展未开展
虽然能量-备用联合的跨区市场交易研究较少,但已有研究探讨了单一市场下的能量-备用联合出清,给出了备用容量对输电通道占用的建模方法。现有研究主要有三种思路:①基于启发式的方法将部分跨区容量分配给备用交易[19-20];②构建产生备用调用的场景集合,将备用最大调用和各区域最大故障后的应急部署纳入市场出清模型[21];③根据预测的系统状态,将控制区域合并为公共备用交易区,备用区的划分随时间动态调整[22-23]。上述方法均是通过一定方式,评估备用交易对通道容量的需求并进行通道容量管理,以满足系统安全运行需求,但三种方法均未能显式地建立备用交易量与通道容量的数学关系。
实际上,跨省区市场与区域内市场的通道容量备用预留问题存在本质区别。跨省区市场是区域资源交易平台而非调度机构,其目的是以市场化交易方式实现资源跨区优化配置,而非维持所有区域实时平衡,市场出清与平衡调度相分离;而区域内市场运营机构不仅要优化区域内资源配置,还需负责区域内已出清资源的实时平衡调度,市场出清与平衡调度一体化。因此,区域内市场需要防范可能造成区域系统不平衡的意外事件,而跨区市场无需考虑,从而导致两市场中备用供需关系的差异:区域内市场备用需求的确定需考虑一组意外事件,由运营机构评估得到,备用供需关系不明确;跨省区市场中备用需求由市场主体主动申报得到,备用供需关系明确。在备用供需关系不明确时,采用上述三种通道容量预留方法具备合理性。但在跨省区市场中,备用供需关系明确,可量化备用交易量与通道预留容量的数值关系,实现通道容量的合理分配。
备用供需关系的差异使得区域内能量-备用联合优化出清模型无法完全适配跨省区市场运营需求,需要研究与跨省区市场运营特性相适配的通道容量备用预留方法,并构建相应的能量-备用联合优化出清模型。为此,本文开展了以下三方面工作:
1)对跨省区备用交易问题进行数学描述,明确跨省区备用交易与区域内备用交易的差异,并详细地分析现有通道容量预留约束的建模方法。
2)基于跨省区备用交易的特点,提出构建备用交易对的方法实现备用供需关系的直接映射,从而在市场出清阶段实现备用供需双方权责匹配和通道容量分配;进而量化备用交易量与通道容量的数值关系并建立跨省区能量-备用联合出清模型;然后对通道容量备用预留约束进行线性化等效并削减通道容量预留约束的规模。
3)基于构建的市场出清模型和实际数据,对不同通道容量预留约束下的市场出清结果进行对比分析,并通过算例验证本文所提方法的有效性。
对于区域内市场,电力需求侧通常只申报电能量交易需求,系统中备用等辅助服务需求由运营机构评估确定。在市场出清时,运营机构一般根据事先定义的一组意外事件对市场出清结果进行可行性测试,并根据测试反馈信息生成相应的物理约束以调整市场出清边界,保障市场出清结果满足系统安全稳定运行需求。区域内市场联合优化模型如图1所示,区域内市场出清问题可表示为
(1)
式中,
和
分别为区域内申报的机组容量和电力用户需求;f (·)为社会福利函数;Φ为区域内市场出清约束集;Ψ为区域内市场出清定义的意外事件集。

图1 区域内市场联合优化模型
Fig.1 Model of co-optimization in the region market
区域内市场的出清结果只有经过Ψ完成可行性测试后才能发布,否则将不满足的情况生成物理约束以调整市场出清边界,重新出清市场。可见,Ψ的考虑将改变市场出清结果,可将Ψ等效为因系统安全需求而增加的出清约束和辅助服务资源需求。因此,系统备用需求量与意外事件集Ψ相关联,仅备用的供给侧信息明确,而需求侧难以量化到各市场主体,无法形成备用供需关系的直接映射,难以准确地量化备用交易所需的通道容量。
跨省区市场的目的是根据各区域的资源供需情况协调优化资源的跨区配置,无需负责系统的实时平衡。因此,跨省区市场出清时无需预先定义意外事件集Ψ进行可行性测试,且市场交易主体需同时申报自身的能量与备用交易需求,但同样要保障出清资源可调度。跨省区市场联合优化模型如图2所示,跨省区市场出清问题可表示为
图2 跨省区市场联合优化模型
Fig.2 Model of co-optimization in cross-provincial market
(2)
式中,
和
分别为区域间申报的机组容量和电力需求;
为跨区市场出清约束集。
在跨省区市场中,市场主体的交易需求明确且市场出清无需考虑各区域的Ψ,市场可形成明确的备用供需映射关系,可显式地表征备用交易与通道容量的关联,从而管理通道容量。此外,式(2)所示的出清方式也决定了在市场出清约束集
中必须考虑通道容量预留,以保障出清备用资源可交付。
在文献[18-22]的三种思路中,第一种思路的建模方法是对通道添加备用容量预留系数,记为M1;第二种思路的建模方法是将已出清上备用或下备用全部调用时的通道潮流纳入通道容量管理,记为M2;第三种思路是根据网络潮流状态对备用区域重新分配,数学模型上并无改变,本文暂不考虑。
M1是在市场出清模型的通道容量约束中添加一个常数κ(0<κ<1),预留固定比例的容量给备用,剩余容量用于能量交易(不包括因其他限制而保留的通道容量),约束形式为
(3)
式中,
为能量交易所需传输通道l的容量,
,
为输电通道集合;
和
分别为通道l的容量上限和下限;
为通道l的容量下限预留比例;
为通道l的容量上限预留比例。
该方式的优点在于简便且不会增加求解负担,但通道容量预留系数是通过一定的评估方式得到而非优化的结果,难以保障κ的可靠性。此外,该约束形式未能考虑备用交易与通道容量的关联,备用资源的空间价值差异无法体现,而实际上备用资源的可交付性与备用资源的空间位置相关。
M2是考虑上备用或下备用全部调用状态下的潮流,并将其添加到市场出清模型的通道容量约束中,保障通道在三种系统状态下均能满足网络安全需求,约束形式为
(4)
(5)
式中,
为通道l给备用预留的通道容量;
为系统状态改变后与原系统状态相比,节点n注入功率的变化量;
为通道l对节点n的转移分布因子;
为跨省区交易节点集合。
该方式的优点在于可预先评估备用调度对系统安全的影响,隐式地将通道容量与备用交易的关联纳入通道容量管理。该方法的局限性在于无法保障备用连续调用状态下的网络安全。如式(5)所示,各节点Δp对通道潮流的改变方向和大小不同,备用调用对通道l的占用可能存在抵消效应,使得式(4)和式(5)的约束力不足。为解释该问题,本文采用以下案例进行示意性说明。
假设上备用供应节点1与上备用需求节点2和3的成交量分别为1 MW和2 MW,转移分布因子
和
分别为+0.5和-0.5,原状态潮流
为3 MW。若上备用全部被调用,通道潮流为2.5 MW,而通道潮流的最大值仅在节点2的上备用全部调用时取到,为3.5 MW。在M2的方式下,式(4)无约束力,通道无需为上备用交易预留容量。但实际上,通道需要为上备用交易预留0.5 MW的容量以满足不同节点的备用调度需求。
可见,M1与M2在跨省区市场中均无法完全保障通道预留容量的可靠性,需要依据跨省区市场中备用交易的供需关系显式地建立备用交易与通道容量的关联,从而科学合理地管理通道容量并保障备用资源可交付。
由于跨省区市场不负责各区域的实时平衡调度,在某区域存在备用跨区调度需求时,备用的跨区调用应由备用交易双方的调度机构进行协调。因此,跨省区市场出清时应明确备用交易双方的权责关系并完成通道容量的分配,即在保障网络安全运行的前提下,当某区域的跨区交易节点存在备用调度需求时,应明确哪些区域的跨区交易节点需要响应及其响应的范围。若可量化跨省区不同空间位置的备用资源调用对通道容量的占用情况,即可将通道预留问题转换为寻找使通道容量最大占用的备用调度场景问题。为此,本文提出以跨区交易节点成交量为基础单位划分备用交易对的方式,明确跨区备用交易节点之间的权责关系。
以上备用交易为例,假设跨省区市场中备用的供应节点与需求节点集合分别为
和
(
,
),市场中上备用成交总量为
,表示为
(6)
式中,
和
分别为供应节点i和需求节点j的上备用成交量;上角标“up”代表上备用交易。
将各上备用供应节点的成交总量向备用需求节点分解,得到上备用交易对(对上备用买方节点的成交量进行分解可得到相同结果),其矩阵形式为
(7)
式中,
为节点i与节点j之间的上备用交易对成交量,节点j有权在需要时跨区调用节点i的备用;I和J分别为供应节点和需求节点的数量。以A*表示调用量矩阵,其元素以
表示,则
。需要注意的是,本文对跨区备用交易权责关系以跨区交易节点成交总量进行划分,通过在市场优化模型中添加跨省区备用交易分解约束和通道容量备用预留约束实现,市场主体出清量与备用权责匹配同时优化得到,而
由节点i内部哪些机组响应则由该区域的调度机构决策。
备用交易对的跨省区调用将使网络潮流重新分布,所以备用交易对的划分必然会受到通道容量等系统安全约束的限制,不能任意划分备用交易对,即:跨区交易节点之间的权责关系分配受网络安全需求的限制。因此,需要量化备用调用对通道潮流的影响,并将其纳入市场出清约束集
中。
在划分备用交易对后,备用交易节点的供需关系和权责关系明确,通过显式地表征备用交易对调用与通道潮流的关联关系,可实现备用调用所需通道容量的量化。当存在备用跨省区调用时,网络节点的功率将改变,部分节点注入功率增加、部分节点流出功率增加,两者的改变总量相等。假定系统中只有节点i和j的功率发生变化,若节点i的注入功率与节点j的流出功率同时增加1 MW,则通道l的潮流改变量
,即功率传输分布因子的差值,该值具有对称关系,
。故而可对所有节点计算该差值,得到矩阵D,大小为I×J×L(L为通道总数),将通道l的差值矩阵记为
。
的调用量
对通道l潮流的改变量可表示为
,以矩阵
表示,则矩阵A*与
的关系为
(8)
通过划分备用交易对和构建矩阵
,可以实现跨省区备用交易双方供需关系的映射与权责匹配,量化备用调用对通道潮流的影响。相比于现行市场联合优化出清方法,该方法的优点在于:①备用交易权责关系的分配可为跨省区备用调度提供依据;②备用调用对通道潮流影响的量化可为通道容量的分配提供依据。
在实际中,跨省区市场交易面临两大制约:其一,受限于当前求解技术的计算能力,难以支撑全区域全网络拓扑的市场出清需求;其二,受限于各区域网络信息安全的保护要求,难以获取完整的网络拓扑信息[24]。为支撑跨区市场交易开展,国外跨区市场对其交易机制进行了特殊设计,例如,美国西部能量不平衡市场建立了互联约束(Intertie Constraint)和分支组(Branch Group)约束,每5 min与各区域协同出清[25-26];欧洲统一电力市场通过划分价格区间(Price Regions)和简化拓扑的方式进行跨国市场出清,各国通过再调度(Redispatch)与跨国市场衔接[27-28]。我国跨省区交易市场也存在类似问题[29],因此,本文对跨省区市场作以下假设:
1)参与跨省区市场交易的各区域交易节点及相关网络拓扑信息由其调度机构核定申报并由国家调度中心校核。
2)各区域根据自身核定的需求在跨省区交易节点同时申报能量和备用的交易需求及其相关信息。
3)跨省区市场优先出清,跨省区市场出清结果反馈到区域内市场作为其正式出清边界。
4)跨省区备用调度由各买方区域调度机构根据自身需求进行决策,各跨省区交易节点之间的备用调用行为相互独立。
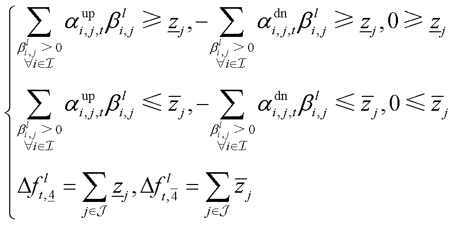
为建立通道容量的备用预留约束,首先需显式地表征备用交易与通道容量最大占用的关联,预留容量应能够支撑备用交易对调用对通道容量的最大占用。由于备用交易对调用方式对通道容量的占用存在差异,本文考虑两种备用交易对调用方式:①任意调用,不考虑交易对的网络潮流影响,任意调用中标备用容量;②理性调用,考虑不同备用交易对的调用对网络潮流的影响,理性调用备用容量。需要说明的是,任意调用的方式更符合系统运行实际,而理性调用的方式在于给定理论的经济最优结果。为便于分析,假设能量交易所需通道容量
为正向,以上备用调用为例对建模方法进行阐述。
任意调用方式下,备用买方不考虑备用交易对的调用对通道l的潮流影响,通道l潮流的最大增量应为备用交易对中所有对通道潮流改变量为正(
)的交易对全部调用(
)时产生的潮流,如式(9)所示,并将该方法记为M3。
(9)
理性调用方式下,需要考虑不同备用交易对的调用对通道l潮流影响的抵消效应,可将通道的上备用预留容量
分解为对每个买方节点j的预留量
,对
的每一列求和,得到向量
,表示为
(10)
假定优先调用对通道l阻塞影响最小的备用交易对(即
最小的交易对),从而判断每个买方节点的备用交易对的调用对通道l潮流的影响相互抵消后是否仍需预留通道容量。买方节点j的上备用调用对通道潮流的影响存在五种情况,如图3所示。
图3 上备用调用与潮流改变量关系
Fig.3 Relationship between upward reserve activation and transmission power-flow variations
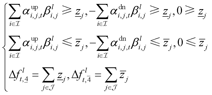
图3a和图3e中备用交易对之间无潮流自抵消;图3b~图3d表示备用交易对间存在潮流自抵消,分别为自抵消富余、完全自抵消、自抵消欠缺。图3a~图3c中三种备用调度场景可通过备用交易对之间的潮流抵消,不产生正向潮流,不会加剧通道l的阻塞,无需额外预留通道容量;图3d和图3e中两种情况在考虑抵消效应后仍存在加剧通道l阻塞的可能,需预留一定的容量来保障备用可交付,最小预留容量为节点j备用全部调用时所需容量。因此,通道l对每个买方节点需要预留的最小容量如式(11)所示,通道l所需预留的最小通道容量如式(12)所示,并将该方法记为M4。
(11)
(12)
对比式(9)和式(12)可知,式(9)没有考虑备用调用的潮流抵消效应,可保障备用任意调用下通道潮流均不越限,但当存在网络阻塞时该方式将损失一定的经济性;式(12)所需预留的通道容量不大于式(9),其经济性更好,且可以保障在任意备用调度需求下至少存在一组可行的备用调度方案,但需要调度机构根据矩阵
、备用成交量、节点现货价格等信息进行调度决策。
由于跨省区备用交易分为上备用交易和下备用交易,通道l对节点j的备用预留容量可分为上备用预留容量
和下备用预留容量
。在实际运行时,各跨省区交易节点的备用调用需求理论上只能为单一的需求,不存在同时调用上备用和下备用的情况。因此,
应为
和
中的较大值,对式(9)和式(12)同时考虑上备用与下备用,可得到
(13)
(14)
式中,
为节点i与j之间的下备用交易对的成交量;上角标“dn”代表下备用交易。
针对考虑通道容量备用预留的跨省区能量-备用联合优化模型,本文考虑了备用调用方式对通道预留容量的影响以及新能源跨省区消纳量与备用需求量之间的关联。市场联合优化出清模型包括机组组合模型、经济调度模型,具体的模型设计如下。
2.3.1 机组组合模型
1)目标函数
(15)
式中,
为传统发电机组v在t时段的出清量;
为新能源机组w在t时段的出清量;
和
分别为传统发电机组v在t时段的上、下备用中标量;
、
、
、
、
分别为传统发电机组v在t时段的发电成本、上备用成本、下备用成本、起动成本、停机成本;
为新能源机组w在t时段的发电成本;
和
分别为传统发电机组v在t时段的起、停指令变量;
为时段集合;
为传统发电机组集合;
为新能源机组集合。
2)系统能量平衡约束
(16)
式中,
为跨区交易节点n在t时段的负荷需求。
3)机组出力约束
(17)
(18)
(19)
式中,
为新能源机组w在t时段的出力上限;
和
分别为传统发电机组v的出力上限和下限;
为传统发电机组v的运行状态布尔变量,为1表示机组运行,为0表示机组停机。式(18)和式(19)分别表示传统发电机组的能量和备用中标量的耦合约束。
4)通道潮流约束
(20)
(21)
式中,
和
分别为传统发电机组v和新能源机组w所在节点n的标记;
为t时段通道l的能量交易所需通道容量。
5)传统发电机组爬坡约束
(22)
(23)
式中,
和
分别为传统发电机组v的上、下爬坡速率;
和
分别为传统发电机组v起动和停机时的最大爬坡速率。
6)传统发电机组起停时间约束
(24)
(25)
式中,
和
分别为传统发电机组v的最小开机时间和最小停机时间。
7)传统发电机组起停逻辑约束
(26)
式中,当t=1时,
,为机组初始运行状态。式(26)是机组起停指令与机组运行状态之间的约束关系。
8)系统备用需求约束
(27)
(28)
式中,
和
分别为新能源机组w在t时段申报的上备用和下备用需求系数;
和
分别为电力用户o申报的上备用和下备用需求;
为电力用户集合。设定备用需求系数是为了表征新能源消纳量与系统备用需求量之间的关联关系,新能源消纳量越多,系统的不确定性越高,对备用容量的需求越高。
9)备用交易权责匹配约束
(29)
(30)
(31)
(32)
式中,
为位于备用供应节点i的传统发电机组集合;
和
分别为位于备用需求节点j的新能源机组集合和电力用户集合。
式(29)~式(32)的作用在于保障各节点备用交易权责匹配后的中标总量不变,实际备用交易对的形成由通道容量预留约束决定。备用的出清由其空间价值差异和成本价值差异共同决定,在通道容量资源稀缺时,备用资源的空间价值更高,备用交易对的划分由备用空间价值差异决定;在通道容量充裕时,备用资源的空间价值差异为零,备用的出清仅由其成本价值差异决定,此时无需划分备用交易对,备用需求节点依据其中标量和备用供应节点价格进行调度决策即可。
10)通道容量预留约束
对于通道容量的预留量,同时考虑通道潮流状态的正负,可得到
(33)
(34)
(35)
(36)
(37)
式中,
为方法编号,
=1,2,3,4分别对应方法M1~M4;
为方法
下t时段输电通道的预留容量;
和
分别表示方法
下,输电通道需预留的输电容量方向为反向和正向。
式(34)~式(37)分别表示M1~M4四种不同的通道容量分配方式,是为保障出清备用可交付而施加的约束。在通道容量资源稀缺时,上述约束将减少通道的能量交易占用量,留出部分通道容量用以备用交易,从而保障出清备用资源可交付。式(15)~式(28)与式(33)~式(35)构成现有M1与M2两种通道容量预留约束下的机组组合模型;式(15)~式(33)与式(36)和式(37)构成本文所提M3与M4两种通道容量预留约束下的机组组合模型。
2.3.2 经济调度模型
在机组组合模型求解后,
、
、
均已知,将其代入原模型中可得到经济调度模型如下。
1)目标函数
(38)
2)约束
式(38)与约束式(16)~式(23)、式(27)、式(28)、式(33)~式(35)构成现有M1与M2两种通道容量备用预留约束下的经济调度模型;式(38)与式(16)~式(23)、式(26)~式(33)、式(36)、式(37)构成本文所提M3与M4两种通道容量备用预留约束下的经济调度模型。
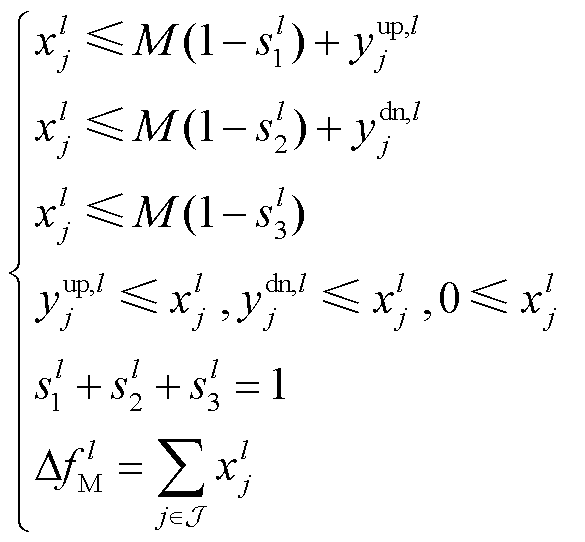
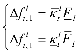
本节将依据“原约束-基于大M法的等效约束-基于约束力等效的约束简化”的线性化思路框架将通道容量预留约束线性化。为方便起见,本节以式(39)对约束式(36)和式(37)进行等效分析。
(39)
式中,
和
分别为通道l需要为跨区交易节点j上备用交易和下备用交易所需预留的容量。用大M法可将式(39)等效改写为线性约束式组,表示为
(40)
式中,
为引入的中间变量;M为很大的常数;
、
和
为大M法的整数变量;
为采用大M法时通道l的备用预留容量,与
相等。
可用式(40)在机组组合模型中求解
~
,并将其作为经济调度模型的输入。但该方法会增加模型整数变量,导致计算复杂度增加,需进一步处理。
从前文的分析可知,
得到的是通道l对跨区交易节点j所需预留的容量,在不影响系统经济性的前提下,可引入中间变量
松弛约束,将式(40)的上限约束去除,即可得到
(41)
式中,
为松弛后通道l的备用预留容量。
式(41)中
的上限仅受通道容量上限约束,不再有严格的边界,因此
。式(41)的本质是松弛非稀缺性资源的分配限制,使非稀缺性通道容量资源的分配仅受通道容量上限约束,将备用分配的通道容量由
松弛到
,如图4所示。
图4 通道容量分配
Fig.4 Allocation of line capacity
图4中能量边界与备用边界分别指能量交易和备用交易所需的最小通道容量。式(40)与式(41)在能量-备用联合优化模型中效用的一致性可分为两种情况进行分析:
1)当通道l容量稀缺时:
,由于
,可得
,即
。因此,式(40)与式(41)在模型中的约束力完全等效。
2)当通道l容量充裕时:
,通道容量为非稀缺性资源,
的范围由
、
和
决定,且
与
无关,所以
不影响
。因此,式(40)与式(41)在模型中的约束力完全等效。
可见,式(40)与式(41)在能量-备用联合优化模型中完全等效,不影响市场主体出清结果。采用式(41)所示方法将式(36)和式(37)线性化后可得到式(42)和式(43)。需要注意的是,式(43)分配的输电容量
可能大于实际需求,需要根据市场出清结果重新分配通道容量以便于后续交易。
(42)
(43)
式中,
和
分别为反向和正向通道容量预留约束的辅助松弛变量。
对通道容量预留约束进行等效转换后,避免了模型中整数变量规模的增长问题和大M值的选取问题,减轻了模型求解负担。但从式(42)和式(43)可知,M3和M4方法下通道容量预留约束仍相对复杂,若对网络中的每条输电通道均施加该约束,将显著提高模型的约束规模。在实际电网中,并非所有通道在所有时段均存在过载风险,只需对存在潮流越限风险的通道施加容量预留约束即可。此外,国内的跨省区电力供需状态较为固定,使得通道的潮流状态相对固定,对于潮流方向长期为正向的通道仅施加正向的通道容量预留即可;反之亦然。
因此,可在市场正式出清前识别风险通道,从而针对性地施加通道容量预留约束,降低约束规模。鉴于预出清方法具有数值精准、无数据依赖的优势,本文在跨省区市场正式出清之前设计了跨省区市场的预出清环节来识别具有过载风险的通道以及风险通道的潮流状态,对风险通道施加相应的备用容量预留约束,模型详细求解与运行框架如图5所示。由图5可以看到,除风险通道预辨识外,市场正式出清中还有安全校核环节,可在大幅降低通道容量预留约束规模的同时保障求解结果的准确性。
需要说明的是,模型最优目标函数值下的解可能不唯一,但其中任意一个解均满足模型所有约束条件,并不影响对本文方法有效性的验证。若本文方法在实际市场出清中应用,可根据市场规则中的多解顺次寻优需求进一步完善出清建模及求解流程。
为验证本文所提方法的有效性,本节将基于某电网实际数据进行仿真分析。本文所有数值结果均在16 GB内存、Intel(R) Core(TM) i7-10510U处理器的计算机上基于Matlab平台建模,并调用Cplex求解器求解获得。算例将对比分析M1~M4四种通道容量预留方法对跨区备用交易和模型求解速度的影响。跨省区互联网络如图6所示,包括6个火电申报节点(G1~G6)、1个风电申报节点(W)、1个光伏申报节点(PV),12条跨省区互联通道以及26条主要通道。跨省区市场交易节点的备用需求取最大负荷的10%[30],
和
均取10%[31],风险支路辨识环节的安全阈值取85%。为便于分析展示,算例部分仅考虑PV和W处备用需求。
图5 跨省区市场出清求解与运行框架
Fig.5 Inter-provincial market clearance solving and operational framework
图6 跨省区互联网络
Fig.6 Inter-provincial network
在该场景中,火电机组全部开机,风、光节点备用需求包括新能源消纳所需备用和单独申报的备用需求。首先进行市场预出清,此时跨省区互联通道中的风险通道为7和11,其潮流方向均为负且均已阻塞。然后,分别采用M1~M4方法生成通道容量预留约束,并将其添加到联合优化模型中进行正式出清。采用风险支路辨识的方式,M3与M4方法仅需保留2.63%的有效通道容量预留约束,模型求解速度平均提升33.28%。
为准确地评判M1~M4方法对备用交易的影响,首先采用M1方法对通道预留容量进行一定范围的扫描,得到通道预留容量与市场成本增量的关系,如图7所示,之后分别采用M2~M4方法对市场出清,其结果如图7中圆点所示。
图7 通道预留容量与市场成本增量关联
Fig.7 Correlation of line reservation capacity with incremental market costs
从图7中可看到,在相同的通道预留容量下,M2~M4方法的市场运营成本均高于M1,其原因在于:M1方法仅改变通道预留容量大小,未能建立通道预留容量与备用交易的关联,优化模型无法衡量备用资源的空间价值,仅以机组提供备用的边际成本作为备用资源出清的衡量标准,导致在相同的通道预留容量下,其市场成本最低,但此时出清备用中存在无法被调度的资源。M2~M4方法虽在数学表达式上存在差异,但均考虑了备用资源出清量与备用资源可交付性的关联,使得优化模型在求解时能评估不同位置备用资源的可交付性,备用资源的空间价值得以体现。因此,M2~M4方法会接受边际价格更高但可交付的备用资源。图7所示结果也说明,能量与备用联合优化时,准确地量化备用空间价值差异、采用数学描述表征备用交易与通道容量的关联,并将其纳入优化模型具备其必要性,仅预留通道容量无法保障出清备用资源可交付。
为系统地评估M1~M4四种方法下出清备用的可交付性,M1取通道7和11容量预留比分别为3%和7.5%时联合优化模型的出清结果,并与M2~M4的出清结果一同进行对比。以0.1 MW为间隔扫描备用调用场景(共34 814个离散场景),检测各备用调用场景下通道容量约束是否满足,越限场景比例见表2,详细的场景扫描结果如图8所示。
表2 潮流越限的备用调度场景比例
Tab.2 Proportion of reserve scheduling scenarios with over-flow
容量预留方法潮流越限率(%) M123.11 M26.47 M30 M40
图8 单时段备用调度需求场景扫描结果
Fig.8 Scanning results for single-period reserve scheduling demand scenarios
图8表示在对应的备用调用需求下是否存在通道潮流越限。从图8a和表2中可看到,M1方法下即使预留容量大于其他方法,但仍有23.11%的备用调用需求场景存在通道潮流越限,进一步验证了图7所示结果。图8b中,左下角的下备用全部调用场景和右上角的上备用全部调用场景未发生潮流越限,潮流越限场景发生在备用调用的中间状态下,该结果验证了2.2节对M2的分析。从图8c和图8d可知,M3和M4均可满足系统运行安全的需求。
综合来看,虽然本文所提M3与M4方法引起的市场运行成本增量相比M2方法分别增加了17.12%和8.31%,但避免了备用不可调用引起的系统运行风险,由此引起的成本增量为系统安全性与经济性的权衡结果,属于合理增量[20]。此外,M3方法能保障备用任意调用的需求,其安全裕度更高,若超出M3确立的安全性边界,则系统安全性不会提高但经济性受损;M4方法存在理性调用假设,其经济效益更高,若超出M4确立的经济性边界,则系统将面临安全运行风险。因此,系统的运行边界可在M3安全性边界-M4经济性边界间权衡。
为进一步验证所提方法有效性,对市场进行24时段的能量-备用联合优化出清。在该场景中,机组起停计划由机组组合模型优化得到,备用需求仅考虑新能源消纳所需备用。首先开展市场预出清判断风险通道和风险时段,然后对风险通道施加通道容量约束,此时M3与M4仅需保留1.15%的有效通道容量预留约束,M3与M4的模型求解速度平均提升54.96%。当M1取通道容量预留比为5%时,将联合优化模型的出清结果与M2~M4的出清结果一同对比,市场成本增量见表3。取负荷高峰期第10~12时段生成备用调度需求场景,备用调度需求的场景扫描结果如图9所示。
表3 市场成本增量
Tab.3 Increment of market costs
容量预留方法市场成本增量/元 M15 517.19 M23 515.44 M34 236.60 M44 211.96
从表3和图9可看到,该场景中M1的越限场景虽少于M2,但M1的市场成本增量相比于M2增加56.94%,不合理的通道预留容量将导致社会福利损失;M2的市场成本增量最小,但潮流越限场景最多,无法保障备用调用中间状态下的网络安全;虽然M3与M4方法的市场成本增量相较于M2分别增加了20.51%和19.81%,但能保障备用调度不引起网络潮流越限,避免系统安全运行风险。该结果进一步验证了本文所提方法的有效性。

图9 多时段备用调度需求场景扫描结果
Fig.9 Scanning results for multi-period reserve scheduling demand scenarios
在该场景中,备用需求仅由新能源消纳引起,通道容量预留方法对市场出清的影响不仅体现在备用资源交易层面,也将直接影响模型对新能源可消纳能力的评估判断。以光伏申报节点为例,不同容量预留方法下光伏节点的出清结果如图10所示。
从图10可看到,在通道容量资源稀缺的9~17时段,不同通道容量预留方法下光伏出清量存在明显差异。无通道容量预留约束时,备用资源的出清仅受备用资源稀缺性约束,模型将依据机组提供备用的边际成本出清市场,此时光伏的出清量最大。将通道容量预留约束纳入能量-备用联合优化模型后,市场出清将在备用资源稀缺性的基础上叠加通道容量资源稀缺性,备用资源的空间价值得以体现,使得优化模型可进一步评估系统对该节点新能源的可消纳能力。

图10 M1~M4方法下光伏节点出清结果
Fig.10 Photovoltaic node clear results under M1~M4 methods
本文所提方法涉及备用需求比例与通道容量阈值等参数,为测试在相关参数扰动下,所提方法的有效性,本节基于3.1节算例和M3方法,对新能源机组备用需求比例与风险通道7和11的阈值进行了扰动测试,测试结果如图11所示。
图11 关键参数与调度可行性测试结果
Fig.11 Test results of key parameters and scheduling feasibility
图11表示在对应的备用需求比例或通道阈值缩减比例下,模型的出清结果是否通过了备用调度可行性测试。从图11中可看出,在相关参数的扰动下,模型出清结果均可保障备用的可交付性,该结果在验证本文所提方法鲁棒性的同时,也进一步验证了本文所提方法的有效性。
从上述分析可知,通道容量预留约束将直接影响市场出清备用资源的可交付性,进而影响系统的安全稳定运行。在四种通道容量预留方式中,M1未能在优化模型中建立通道预留容量与备用交易量的关联,无法体现备用资源空间价值差异;M2将备用交易量与通道容量的关联隐式地纳入联合优化模型,但仅能保障备用最大调用状态下的系统安全;M3与M4均显式地表征了备用交易量与通道容量的关联关系,使得模型可有效地判别资源的可用性,备用资源的空间价值差异得以体现,能够合理地分配通道容量并有效地保障已出清备用的可交付性。此外,对模型关键参数的敏感性测试结果也验证了本文所提方法在模型中的鲁棒性。
跨省区电力市场建设是实现电力资源广域协同优化的关键环节。随着新能源跨省区消纳需求的增长,需开展跨省区备用交易以保障系统安全稳定运行。备用交易受通道容量资源稀缺性约束,科学合理的通道容量预留方法是实现通道容量资源高效分配、保障新能源跨省区安全消纳的关键。本文基于跨省区备用交易供需关系明确的特点,提出划分备用交易对的交易方式以实现备用供需关系的直接映射,进而量化备用交易对所需通道容量,实现了备用交易与通道容量关系的显式表征,并将结果纳入能量-备用联合优化模型中管理通道容量分配。算例分析结果表明,备用交易与通道容量关联关系的建立使得备用资源空间价值差异得以体现,将其纳入优化模型可实现通道容量资源的合理分配并有效地保障已出清备用资源的可交付性,从而维护系统安全、经济运行。本文研究基于市场主体真实申报开展,后续可进一步研究市场申报真实性等问题。
附录 算例相关数据
1. 场景1和场景2备用交易结果
附表1 场景1中M1~M4方法下的备用交易结果
App.Tab.1 Reserve clear results under M1~M4 methods in Scenario 1
交易类型方法备用交易对或中标机组交易量/MW 上备用M1G123.69 M2(G1, W)10.90 (G1, PV)12.79 M3(G1, W)10.90 (G1, PV)12.79 M4(G1, W)10.90 (G1, PV)12.79
(续)
交易类型方法备用交易对或中标机组交易量/MW 下备用M1G25.90 G57.79 M2(G2, W)5.34 (G5, W)0.56 (G5, PV)7.79 M3(G2, W)0.7 (G3, W)5.2 (G5, PV)7.79 M4(G2, W)5.34 (G5, W)0.56 (G2, PV)0.07 (G5, PV)7.79
注:M1方法未能建立备用交易与通道容量的关联,无法得到备用交易对,出清结果为节点中标机组。
附表2 场景2中M1~M4方法下的备用交易结果
App.Tab.2 Reserve clear results under M1~M4 methods in Scenario 2
交易类型方法备用交易对或中标机组交易量/MW第10时段第11时段第12时段 上备用M1G13.694.104.31 M2(G1, W)0.900.790.91 (G1, PV)2.793.313.25 M3(G1, W)0.900.790.91 (G1, PV)2.793.313.25 M4(G1, W)0.900.790.91 (G1, PV)2.793.313.25 下备用M1G23.694.104.31 M2(G5, W)0.90.790.91 (G2, PV)1.95—— (G5, PV)0.833.313.25 M3(G2, W)0.90—— (G3, W)—0.790.91 (G3, PV)1.06—— (G5, PV)1.723.313.25 M4(G2, W)0.900.710.19 (G3, W)——0.72 (G5, W)—0.08— (G3, PV)1.06—— (G5, PV)1.723.33.25
2. 场景2总电力需求曲线

附图1 电力需求曲线
App.Fig.1 Electricity demand curves
3. 多时段算例联合优化求解数据
附图2 约束削减前后模型求解数据
App.Fig.2 Model solution data before and after constraint reduction
4. 通道容量预留约束简化前后目标函数值对比
附表3 约束简化前后M3和M4方法的目标函数值
App.Tab.3 Objective function values of the M3, M4 method before and after constraint simplification
容量预留方法函数值 简化前简化后 M3835 222.60835 222.60 M4835 197.96835 197.96
参考文献
[1] 张智刚, 康重庆. 碳中和目标下构建新型电力系统的挑战与展望[J]. 中国电机工程学报, 2022, 42(8): 2806-2819. Zhang Zhigang, Kang Chongqing. Challenges and prospects for constructing the new-type power system towards a carbon neutrality future[J]. Proceedings of the CSEE, 2022, 42(8): 2806-2819.
[2] 中电联发布2024-2025年度全国电力供需形势分析预测报告[EB/OL]. (2025-01-24)[2025-03-06]. https:// cec.org.cn/detail/index.html?3-341403.
[3] 张振宇, 王文倬, 王智伟, 等. 跨区直流外送模式对新能源消纳的影响分析及应用[J]. 电力系统自动化, 2019, 43(11): 174-180. Zhang Zhenyu, Wang Wenzhuo, Wang Zhiwei, et al. Impact analysis and application of cross-region HVDC delivery mode in renewable energy accommodation [J]. Automation of Electric Power Systems, 2019, 43(11): 174-180.
[4] 《全国统一电力市场发展规划蓝皮书》编写组. 全国统一电力市场发展规划蓝皮书[M]. 北京: 中国电力出版社, 2024.
[5] 国家发展改革委, 国家能源局. 关于加快建设全国统一电力市场体系的指导意见[EB/OL]. (2022-01-18)[2025-03-05]. https://www.gov.cn/zhengce/zhengceku/ 2022-01/30/content_5671296.htm.
[6] 国家发展改革委, 国家能源局. 关于印发《电力中长期交易基本规则》的通知[EB/OL]. (2020-06-10) [2025-03-05]. https://www.gov.cn/gongbao/content/ 2020/content_5532632.htm.
[7] 王轶辰. 省间现货市场正式运行——我国电力体制改革再上新台阶[N]. 经济日报, 2024-10-17(3).
[8] 舒康安, 张昌, 艾小猛, 等.基于分段电价的跨区风电消纳[J]. 电工技术学报, 2017, 32(增刊1): 39-49. Shu Kang’an, Zhang Chang, Ai Xiaomeng, et al. Wind power accommodation based on block price[J]. Transactions of China Electrotechnical Society, 2017, 32(S1): 39-49.
[9] 王怡, 杨知方, 余娟, 等. 从优化视角剖析电力市场的定价问题[J]. 电工技术学报, 2023, 38(17): 4729-4745. Wang Yi, Yang Zhifang, Yu Juan, et al. Analyzing pricing problem in electricity market from an optimization perspective[J]. Transactions of China Electrotechnical Society, 2023, 38(17): 4729-4745.
[10] 冯艺萱, 边晓燕, 陈雯, 等. 新型电力系统灵活性资源成本回收机制分析及挑战[J]. 电工技术学报, 2025, 40(21): 7013-7028. Feng Yixuan, Bian Xiaoyan, Chen Wen, et al. Analysis and challenges of new power system flexibility resource cost recovery mechanisms[J]. Transactions of China Electrotechnical Society, 2025, 40(21): 7013-7028.
[11] 林雪杉, 张汀荟, 王蓓蓓. 高渗透率分布式发电并网下公共配电网市场化收费的思考[J]. 电工技术学报, 2023, 38(19): 5256-5273. Lin Xueshan, Zhang Tinghui, Wang Beibei. Review of distribution network tariff design with high-penetration of distributed generation[J]. Transactions of China Electrotechnical Society, 2023, 38(19): 5256-5273.
[12] NWPP Reserve Sharing Program. Northwest power pool reserve sharing program documentation[R/OL]. (2025-07-11)[2025-07-30].https://www.westernpowerpool. org/private-media/documents/NWPP_RSG_Program_ Doc_-_RSGC_Approved_effective_7.1.2025.pdf.
[13] European Network of Transmission System Operators for Electricity. MARI activation optimization function public description[R/OL]. (2022-04-21)[2025-03-05]. https://eepublicdownloads.blob.core.windows.net/public-cdn-container/clean-documents/Network%20codes% 20documents/NC%20EB/2022/MARI_AOF_PublicDocumentation.pdf.
[14] 李竹, 庞博, 李国栋, 等. 欧洲统一电力市场建设及对中国电力市场模式的启示[J]. 电力系统自动化, 2017, 41(24): 2-9. Li Zhu, Pang Bo, Li Guodong, et al. Development of unified European electricity market and its implications for China[J]. Automation of Electric Power Systems, 2017, 41(24): 2-9.
[15] Gomez T, Herrero I, Rodilla P, et al. European union electricity markets: current practice and future view[J]. IEEE Power and Energy Magazine, 2019, 17(1): 20-31.
[16] 国家能源局综合司. 电力辅助服务市场基本规则(征求意见稿)[EB/OL]. (2024-10-08)[2025-03-05]. https://zfxxgk.nea.gov.cn/2024-10/08/c_1212404033.htm.
[17] Domínguez R, Oggioni G, Smeers Y. Reserve procurement and flexibility services in power systems with high renewable capacity: effects of integration on different market designs[J]. International Journal of Electrical Power & Energy Systems, 2019, 113: 1014-1034.
[18] Van den Bergh K, Delarue E. Energy and reserve markets: interdependency in electricity systems with a high share of renewables[J]. Electric Power Systems Research, 2020, 189: 106537.
[19] Gebrekiros Y, Doorman G, Jaehnert S, et al. Reserve procurement and transmission capacity reservation in the Northern European power market[J]. International Journal of Electrical Power & Energy Systems, 2015, 67: 546-559.
[20] Van den Bergh K, Bruninx K, Delarue E. Cross-border reserve markets: network constraints in cross-border reserve procurement[J]. Energy Policy, 2018, 113: 193-205.
[21] Chen Yonghong, Gribik P, Gardner J. Incorporating post zonal reserve deployment transmission constraints into energy and ancillary service co-optimization[J]. IEEE Transactions on Power Systems, 2014, 29(2): 537-549.
[22] Wang Fengyu, Hedman K W. Dynamic reserve zones for day-ahead unit commitment with renewable resources[J]. IEEE Transactions on Power Systems, 2015, 30(2): 612-620.
[23] Lyon J D, Wang Fengyu, Hedman K W, et al. Market implications and pricing of dynamic reserve policies for systems with renewables[J]. IEEE Transactions on Power Systems, 2015, 30(3): 1593-1602.
[24] 马子明, 钟海旺, 李竹, 等. 美国电力市场信息披露体系及其对中国的启示[J]. 电力系统自动化, 2017, 41(24): 49-57. Ma Ziming, Zhong Haiwang, Li Zhu, et al. Information disclosure system in American electricity market and its enlightenment for China[J]. Automation of Electric Power Systems, 2017, 41(24): 49-57.
[25] CAISO. Intertie constraint and branch group information full network model reference document [R/OL]. (2024-07-01)[2025-03-05]. https://www.caiso. com/documents/intertie-constraint-and-branch-group-information-full-network-model-reference-document-07-2024.pdf.
[26] CAISO. Business practice manual for managing full network model[R/OL]. (2024-09-12)[2025-03-05]. https://bpmcm.caiso.com/BPM%20Document%20Library/Managing%20Full%20Network%20Model/Managing%20Full%20Network%20Model%20BPM%20Version%2026_redline.pdf.
[27] Knörr J, Bichler M, Dobos T. Zonal vs. Nodal pricing: an analysis of different pricing rules in the German day-ahead market[J/OL]. ArXiv, 2024: 2403.09265. https://doi.org/10.48550/arXiv.2403.09265.
[28] 陈启鑫, 张维静, 滕飞, 等. 欧洲跨国电力市场的输电机制与耦合方式[J]. 全球能源互联网, 2020, 3(5): 423-429. Chen Qixin, Zhang Weijing, Teng Fei, et al. Transmission mechanisms and coupling approaches in European transnational electricity markets[J]. Journal of Global Energy Interconnection, 2020, 3(5): 423-429.
[29] 陈熠, 王晗, 严正, 等. 全国统一电力市场演进过程下省间-省内市场出清及定价模型[J]. 电工技术学报, 2024, 39(7): 2116-2131. Chen Yi, Wang Han, Yan Zheng, et al. Inter-and intra-provincial electricity market clearing and pricing model under the evolution of national unified electricity market[J]. Transactions of China Electrotechnical Society, 2024, 39(7): 2116-2131.
[30] 蔡帜, 丁强, 崔晖, 等. 区域电网的分省备用容量留取方案(二): 优化模型[J]. 中国电机工程学报, 2023, 43(3): 1037-1048. Cai Zhi, Ding Qiang, Cui Hui, et al. Configuration scheme of provincial reserve capacity in regional power grid (part Ⅱ): optimization model[J]. Proceedings of the CSEE, 2023, 43(3): 1037-1048.
[31] 刘硕, 张梦晗, 夏清, 等. 基于备用辅助服务需求申报的现货市场机制设计[J]. 电力系统自动化, 2022, 46(22): 72-82. Liu Shuo, Zhang Menghan, Xia Qing, et al. Design of spot market mechanism based on demand bidding of reserve ancillary service[J]. Automation of Electric Power Systems, 2022, 46(22): 72-82.
Abstract The development of inter-provincial electricity markets enables optimal inter-provincial allocation of electricity resources and promotes complementary resource utilization across provinces. Currently, China’s inter-provincial electricity markets mainly focus on energy trading. However, with the rapid growth of cross-regional renewable energy accommodation demands, inter-provincial reserve trading has attracted increasing attention. The critical challenge lies in addressing transmission line capacity reservation under uncertain dispatch scenarios. This paper proposes an energy-reserve co-optimization clearing method incorporating tie-line capacity reservation for inter-provincial markets. By constructing reserve transaction pairs, the paper explicitly quantifies the correlation between reserve transactions and transmission capacity, establish linearized constraint models, achieving coordinated optimization of inter-provincial energy and reserves while ensuring deliverability of cleared reserves.
First, the paper mathematically characterizes intra-regional and inter-provincial reserve trading, highlighting their differences. Then, we analyze limitations of existing transmission capacity reservation methods M1 and M2 in handling inter-provincial reserve transactions. To address the deficiency in explicitly characterizing the relationship between reserve transaction and transmission capacity, the paper proposes a reserve transaction pair-based framework that maps responsibility relationships between reserve supply and demand nodes. By constructing transfer distribution factor matrices for reserve dispatch, the paper quantifies the incremental impact of reserve transactions on transmission power flows. Two dispatch modes – “M3, arbitrary dispatch” and “M4, rational dispatch” – are designed, corresponding respectively to strict security boundaries and economically optimal boundaries for capacity reservation. The linearized transmission constraints are then embedded into unit commitment and economic dispatch co-optimization model.
Simulation results demonstrate that: Among methods M1~M4, M1 is unable to recognize the spatial value of reserve resources, relying solely on marginal costs, making it difficult to ensure the deliverability of reserve. While M2 establishes a preliminary linkage between reserve transactions and transmission capacity, it fails to explicitly characterize this relationship, leaving network security vulnerable during intermediate reserve dispatch states. The proposed M3 and M4 methods quantify the correlation between reserve transaction and transmission capacity, fully reflecting spatial value differences of reserves, enabling reasonable capacity allocation and ensuring cleared reserve deliverability. Specifically, M3 adopts “arbitrary dispatch” mode corresponding to security boundaries, while M4 employs “rational dispatch” mode for economic boundaries.
The following conclusions can be drawn from the simulation analysis:(1) Compared with existing methods, the proposed approaches better evaluate spatial value of reserve resources and ensures deliverability in inter-provincial markets. (2) Establishing the correlation between reserve transaction and transmission capacity enables rational transmission capacity allocation. (3) The proposed method preserves linearized constraints, ensure model’s computational efficiency.
keywords:Electricity market, inter-provincial transactions, co-optimization, transmission capacity reservation, deliverability of reserve
DOI: 10.19595/j.cnki.1000-6753.tces.250399
中图分类号:TM732
国家重点研发计划资助项目(2024YFB2409000)。
收稿日期 2025-03-12
改稿日期 2025-04-29
杨福旺 男,2001年生,硕士研究生,研究方向为电力市场、电力系统规划等。E-mail:20202770@stu.cqu.edu.cn
杨知方 男,1992年生,博士,教授,博士生导师,研究方向为电力系统优化、电力市场等。E-mail:zfyang@cqu.edu.cn(通信作者)
(编辑 李 冰)