摘要 为了实现双向隔离型AC-DC矩阵变换器(BIMC)的高效运行,该文提出一种最小开关损耗控制方法。基于双线电压调制策略,建立电力电子器件损耗模型,引入基于序列二次规划算法(SQP)的优化方法,以输入功率和移相角范围为限定条件,对开关损耗进行最小化寻优,实时计算最优的移相角组合,并应用于变换器的调制过程,以保证变换器的开关损耗最小。仿真和实验结果表明,采用所提出的控制方法可实现网侧电流为正弦电流,功率因数接近于1,直流侧电压与电流稳定,电流纹波率小于1%,且在较宽功率范围内,变换器效率均维持在94%以上,最高可达到96.89%。相较于传统的控制方法而言,所提方法在宽运行范围中均可以使电力电子器件的损耗最小。
关键词:AC-DC矩阵变换器 双线电压调制策略 开关损耗 序列二次规划
双向隔离型AC-DC矩阵变换器(Bidirectional Isolated Matrix Converter, BIMC)具有能量双向流动、功率密度高等一系列优点[1],在储能系统、新能源汽车等领域具有良好的应用前景[2-4],已获得了国内外学术界和工业界的广泛关注和青睐[5]。
BIMC的性能主要受所采用调制策略的影响。目前已提出的调制策略包括双线电压调制和双极性空间矢量调制策略等[6-8]。文献[9-11]借鉴传统矩阵变换器中的双线电压调制方法对前级变换电路进行调制,并通过对后级电路以及前后级电路之间进行移相控制,实现了输入侧电流为正弦和单位功率因数。文献[12-14]提出了双极性空间矢量调制,对前级变换电路采用电流空间矢量调制,也可实现良好的输入输出性能。但采用上述方法时,变换器的电流应力和效率均受到开关状态分布和移相角的显著影响。文献[15-16]基于双线电压调制策略,通过调制开关状态分布,使变换器在输出电压较低时具有更小的电流应力,从而提升变换器的效率。但这种间接调整的方式无法实现对变换器效率的最优控制。因此,直接对变换器损耗进行优化控制以实现变换器的高效率运行,具有重要的理论意义和应用价值。
BIMC损耗主要由变压器损耗和电力电子器件损耗两部分组成,其中电力电子器件损耗主要包括器件的开关损耗和通态损耗。在同一工况下,变压器损耗与电力电子器件通态损耗在采用不同调制策略时差异较小[17],而开关动作次数及开关损耗大小则严重依赖调制策略。因此本文拟通过优化调制策略中的移相角参数,实现开关损耗的最小化,进而提高变换器效率。
BIMC的拓扑结构如图1所示,由输入滤波器、矩阵变换电路、高频变压器、H桥电路、输出滤波器五部分组成。其中,矩阵变换电路采用三相桥式结构,实现三相工频交流电和单相高频交流电之间的变换,每个桥臂由两组双向开关Sijk(i=a, b, c; j= P, N; k=1, 2)组成,每组双向开关由两个SiC MOSFET按照共源极型排列而成。H桥变换电路由4个SiC MOSFET按照单相桥式结构排布,实现高频交流与直流的变换。图1中,usi、isi、ui、ii分别为网侧电压、网侧电流、输入电压、输入电流,uf为前级电路端口电压,ug为后级电路端口电压,uo、io为直流侧电压、电流,n为高频变压器匝比;Lf和Cf为输入滤波电感和电容;Lo和Co为输出滤波器电感和电容,L为外部串联电感和变压器漏感之和。
图1 BIMC拓扑
Fig.1 Topology of BIMC
考虑到该拓扑结构与双有源桥(Double Active Bridge, DAB)具有相似性,因此可以借鉴其调制思想[18-19],建立如图2所示的等效电路。其中,矩阵变换电路和H桥电路产生的高频交流电压uf和nug作为电压源,共同作用于高频电感L上。图中,iL为电感电流。
图2 BIMC拓扑等效电路
Fig.2 Equivalent circuit of BIMC
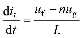
根据图2,各变量的关系为
(1)
双线电压调制策略是BIMC的一类代表性调制策略,具有高性能、高灵活性、易于实现等优点,应用最为普遍[20-21]。其基本原理是指在每个控制周期内,确定最大线电压Umax和次大线电压Umed,并考虑到高频电压的对称性,从而将±Umax、±Umed拟合输出电压[9]。由于前级、后级及前后级移相的不同可能,可以将双线电压调制策略进行统一数学描述,如图3所示。图中,j1和j4分别为前级电路第一段和第二段移相角,j2和j5分别为后级第一段和第二段移相角,j3为前后级间移相角。
图3 双线电压调制策略
Fig.3 Double line voltage modulation concept
基于这一思想,目前已提出三种可行的方法。方法1为前后级间移相调制方法[9],如图4a所示,j1=j2=j4=j5=0,j3为唯一调制参数,该方法对前后级电路之间进行移相,但得到的电流应力和开关损耗都较大;方法2为图4b所示的前级嵌入零矢量调制方法[14],j2=j3=j5=0,j1
j4=C(C为常数),此时j1为唯一调制参数;方法3为后级移相调制方法[10],如图4c所示,j1=j3=j4=0,j2
j5=C,此时j2为唯一调制参数。方法2和方法3网侧电流谐波低,输入输出特性良好,但是两种调制方法对应的功率适用范围较窄,而且偏离最佳工作点会导致电感电流峰峰值变化较大,进而导致损耗增加严重。
基于这一策略提出的调制方法均可实现良好的输入输出性能,然而,不同的移相方式以及零矢量排布方式会导致变换器的开关损耗产生很大差异,将直接影响变换器的效率。由此可进一步通过调节移相角的数量和大小来提升变换器的效率。

图4 不同调制方法前后级电压波形示意图
Fig.4 Schematic diagram of voltage waveforms before and after different modulation methods
基于上述分析,本文提出一种最小开关损耗控制方法,如图5所示,主要包括三个部分:三重移相调制方法、开关损耗模型以及调制参数寻优。为了提升变换器效率,将现有的调制方法进一步扩展采用三重移相调制方法,基于该方法建立开关损耗模型,并引入序列二次规划(Sequential Quadratic Planning, SQP)算法对所建立的开关损耗模型进行调制参数寻优,得到最优移相角组合j1、j2、j3,并利用三重移相调制方法生成电力电子器件PWM控制信号。d1、d2分别为Umax和Umed的占空比;Ts为一个控制周期时间;fsw为器件开关频率;Psw_loss为器件开关损耗。
图5 最小开关损耗控制框图
Fig.5 Minimum switching loss control block diagram
根据1.2节对调制方法的比较和分析,本文将图4所示调制方法统一考虑,通过扩大可调移相角数量,最大限度地发挥双线电压调制策略的优势,以此来改善变换器的性能。
三重移相调制方法如图6所示。该方法在前后级嵌入零矢量,并与前后级间移相调制方法结合,实现前后级电路之间的协调控制。其中,j1
j4= j2
j5=C,此时j1、j2、j3为调制参数。
图6 三重移相调制方法
Fig.6 Triple phase shift modulation method
电力电子器件的工作电压、电流是准确建立电力电子器件损耗模型的基础。本文所采用的拓扑结构中,如图7a所示,电压具有分段对称的特性,但其不规则性增加了直接求解的难度。交流电源的变化导致每个控制周期内的电流变化,使得初始值的直接求解变得非常困难。因此,本文中将电压电流进行分解,利用叠加定理简化求解过程。等效分解电压示意图如图7所示。
图7 等效分解电压示意图
Fig.7 Schematic diagram of equivalent split voltage
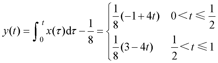
为了方便计算,引入辅助函数x(t)和y(t),表达式如式(2)、式(3)所示,利用等效分解的方式表示uf、ug和电感电流大小。
(2)
(3)
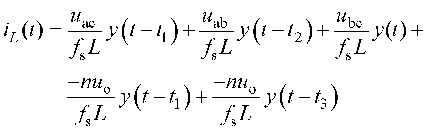
首先,将电压uf、ug进行分解,如图7b和图7c所示,其关系为
(4)
(5)
结合式(1),利用叠加原理将各部分电压分别作用在L上所产生的电流进行加合,即可得到电感电流[23]表达式为
(6)
当设定时间t=0 s时,即可得到电感电流的初始值iL0。
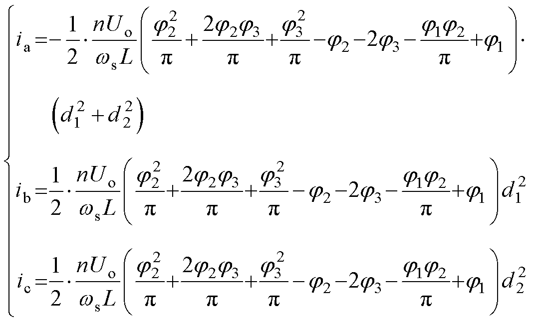
根据图4d,将各时段的电感电流进行积分,可以得到一个控制周期内各相电流平均值表达式,即
(7)
式中,
为控制角频率。
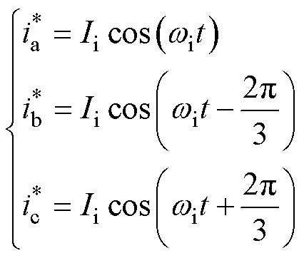
网侧电流参考值为
(8)
保证功率因数为1,将网侧电流平均值代入网侧电流参考值公式(8)中,即可得到网侧电流幅值为
(9)
根据三相交流功率定义
,可计算在网侧单位功率因数运行时交流侧功率为
(10)
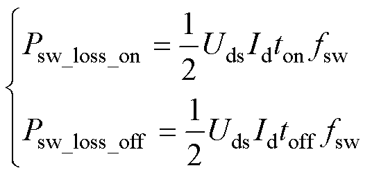
由电力电子器件损耗定义可知
(11)
式中,Psw_loss_on为器件开通损耗;Psw_loss_off为器件关断损耗;Uds为漏源极电压;Id为流过器件的电流;ton为器件的开通时间;toff为器件关断时间。可以根据式(5)和式(6)得到电力电子器件任一时刻的电压和电流Uds、Id。
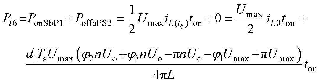
如图7所示,在一个控制周期内,电力电子器件总共动作10次,根据式(4)可知控制周期内各时刻点的电流大小,并结合调制策略明确各阶段的电压值,从而根据式(11)计算出电力电子器件的总开关损耗。以t6时刻为例,该时刻电力电子器件损耗为器件SaP2的关断损耗与器件SbP1的开通损耗之和,即
(12)
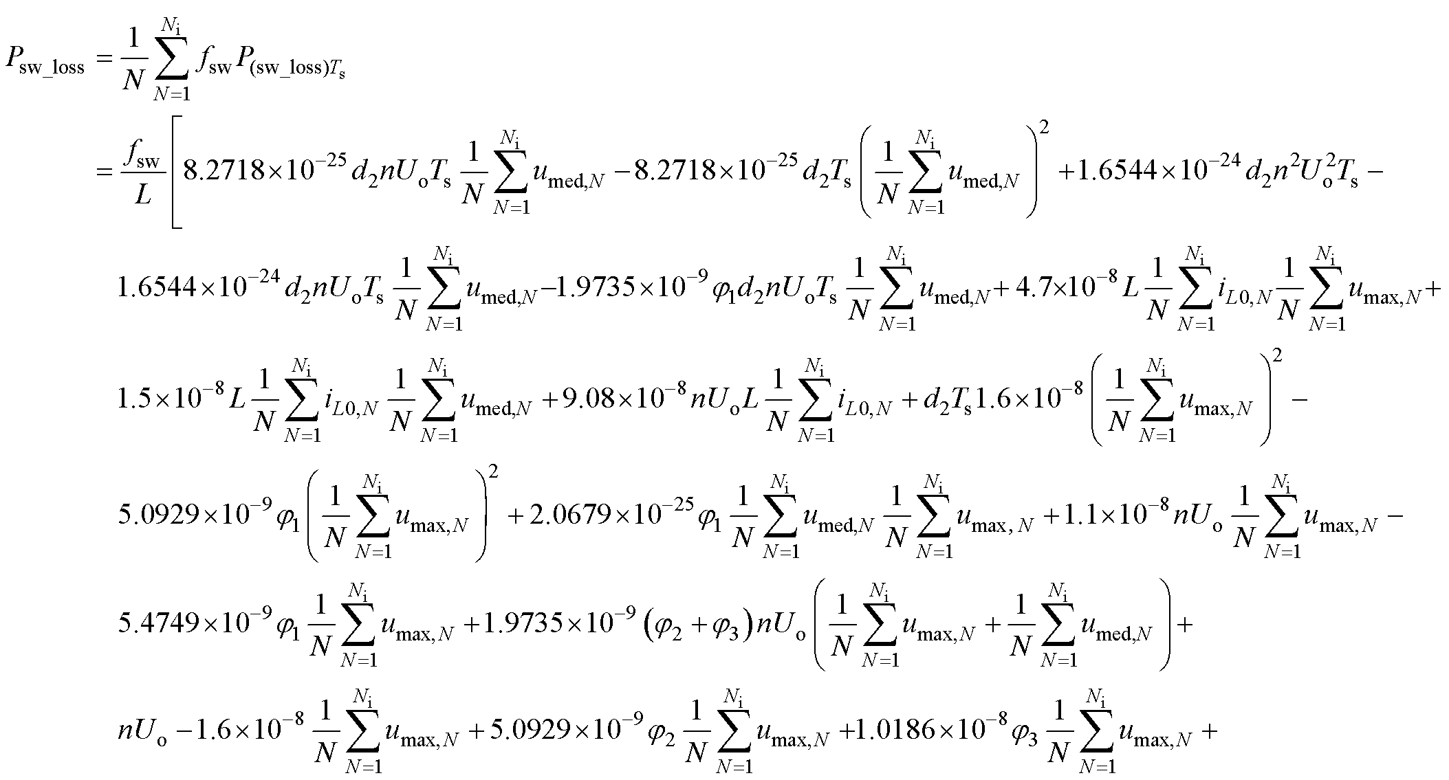
考虑到基于双线电压调制策略中各段线电压变化的周期性,每个扇区内,线电压的变化模式不同,但在整个周期内(两个扇区),线电压呈现出周期性变化的趋势。可以使用两扇区内电力电子器件的平均开关损耗代替整个工频周期的开关损耗。开关损耗数学模型为
(13)
式中,Ni为两个扇区包含的控制周期个数;N为控制周期个数。
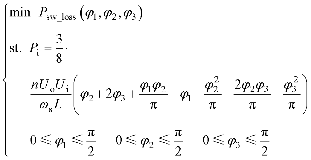
从式(13)中可以看出,开关损耗的大小取决于输入输出电压、变压器电压比n、占空比d1和d2、开关频率fsw、控制周期Ts、电感电流初值iL0以及移相角j1、j2、j3。当工况一定时,除了移相角,其他参数都是确定的。因此开关损耗在功率一定时,会受到前级零矢量脉宽j1、后级移相角j2和前后级间移相角j3的影响,故上述寻优问题转化为功率一定时开关损耗最小化的求解,即
(14)
该问题可以被视作一个非线性约束优化问题。序列二次规划算法(SQP)因其在优化过程中迭代次数较少、收敛速度较快、整体优化时间较短,以及计算精度高等特点而被广泛采用[24-26]。因此,本文采用SQP算法来求解开关损耗最小化的问题。
SQP算法的核心思想是在每次迭代中,通过求解一个二次规划子问题,进而确定函数的下降方向,然后根据此方向调整步长以减少目标函数值,直至收敛到原问题的最优解。本文中,SQP算法用于优化前级电路的零矢量宽度j1、后级间移相角j2以及前后级间移相角j3,从而最小化变换器的开关损耗。SQP算法控制流程如图8所示。
图8 SQP算法控制流程
Fig.8 SQP algorithm control flow
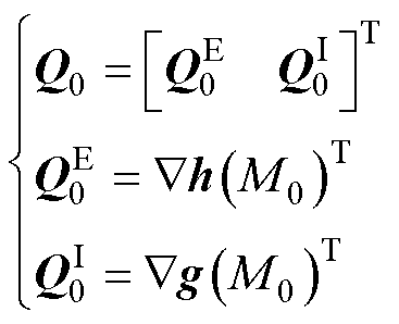
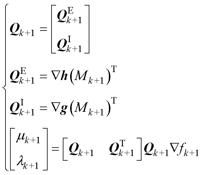
首先选取合适的初始点、设置迭代次数以及迭代规则。约束函数表达式为
(15)
式中,Q为约束函数的雅可比矩阵;
为等式约束的初始雅可比矩阵;
为不等式约束的初始雅可比矩阵;M0为最优移相比M的初始值;
、
分别为等式约束和不等式约束的梯度。由于f(N)中有三个控制目标参数,实际表示为移相比点M
。
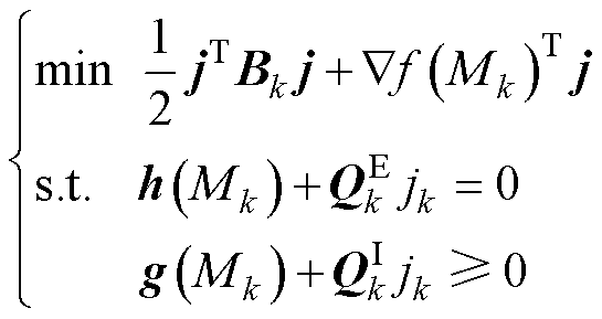
二次规划问题的求解式为
(16)
式中,j为子问题的目标值;jk为j第k次迭代的子问题最优解;k为迭代次数,设置初始迭代值k=0;Mk为M第k次迭代后的移相比点;jTBkj表示正定二次型矩阵;h(M)为等式约束;g(M)为不等式约束。
为了确保每次迭代朝着目标函数减小的方向移动,同时避免过大的步长导致目标函数值增大在计算过程中需满足
(17)
其中

式中,r∈(0, 1);s∈(0, 2);m为非负整数;mk为m第k次迭代且满足不等式(10)成立时的最小值;a为中间变量,a为第k次迭代时的值。
更新后Qk的雅可比矩阵,以及最小二乘乘子mk、lk、
为目标函数的梯度为
(18)
若
且
,则终止程序并输出二次规划问题的最优移相比点Mk。
基于SQP算法,可以得到开关损耗最小时对应的最优移相角j1、j2、j3。表1为Ui=110 V时上述算法求解出的最优移相角组合。
表1 最优移相角取值
Tab.1 Optimal phase shift angle value
Uo/V功率/Wj1/radj2/radj3/rad 1406000.4500.53 8000.2500.51 1 0000.1300.54 1806000.70.50.39 8000.640.450.49 1 0000.570.380.59 22060000.380 80000.890 1 00000.50.09
利用Matlab/Simulink搭建BIMC系统模型,对所提出的最小开关损耗控制方法进行仿真测试。在网侧电压Ui=110 V,直流侧电压Uo=180 V的电压等级下。系统模型的关键电气参数见表2。
表2 变换器参数
Tab.2 Converter parameters
参 数数 值 输入电感Lf/mH1 输入电容Cf/mF10 高频电感L/mH87 输出电容Co/mF470 匝数比n1.331 前级器件开通时间ton/ns8 前级器件关断时间toff/ns4 后级器件开通时间ton/ns52 后级器件关断时间toff/ns13
设定功率为800 W,图9显示网侧a相电压和电流相位基本相同,直流侧电压平稳;对a相电流进行FFT分析,THD为1.33%。
由此证明,所提出的控制方法能够实现网侧电流为正弦,功率因数接近1,具有较好的稳态性能。
表3为所提方法与对照方法(方法1、方法2、方法3,定义如图4所示)的移相角取值,以及通态损耗、开关损耗理论计算值与仿真值。
图9 网侧a相,直流侧电压、电流波形(仿真)
Fig.9 Voltage and current waveforms on the grid side a-phase and DC side (simulation)
表3 不同方法通态损耗、开关损耗理论值与仿真值
Tab.3 Theoretical and simulation values of on state loss and switching loss using different methods
交流侧功率P*/W方法控制变量/rad理论值/W仿真值/W φ1φ2φ3通态损耗开关损耗通态损耗开关损耗 8001000.278.549.448.549.44 20.6400.688.288.388.288.37 300.320.148.329.428.329.48 最优0.640.450.498.277.848.277.8
由表3可以看出通态损耗和开关损耗的理论值与仿真值数值接近,在不同的移相角组合下,通态损耗最大值与最小值的差值仅为0.27 W,偏差比例仅为3.16%,因此同一工况下采用不同调制策略其通态损耗差异较小。在不同工况下对开关损耗进行大量仿真,仿真结果如图10所示。图中,交流侧功率等级从200 W升至1 600 W时,最优移相角组合对应的开关损耗均为最小,验证了所提出方法的正确性。
图10 开关损耗仿真结果
Fig.10 Simulation results of switch losses
在一台额定功率1.5 kW的BIMC实验平台上进行实验测试如图11所示。通过功率分析仪测量BIMC的交流侧功率、直流侧功率以及变换器的整机效率。根据“量热法”测量高频变压器损耗[27],变换器的总损耗减去高频变压器的损耗即可得到变换器的电力电子器件损耗。通态损耗难以测量,但是由于在同一工况下采用不同的调制策略对通态损耗影响较小,因此将比较电力电子器件实际损耗的趋势是否与仿真一致,图12为实验平台。
图11 功率损耗测量方式示意图
Fig.11 Schematic diagram of measurement method
实验测试中,网侧电压Ui=110 V,直流侧电压Uo=180 V,网侧功率设定为800 W。实验中关键电气参数与仿真中一致。
图13为前级端口电压uf、后级端口电压nug、高频电感电流iL的实验波形,图14是网侧a相电压、电流和直流侧电压、电流波形的实验波形。
图13中的实验波形和本文提出的调制方法示意图(见图7)基本一致。图14中,网侧a相电压和电流相位基本相同,直流侧电压平稳。对a相电流进行快速傅里叶变换(Fast Fourier Transform, FFT)分析,THD为3.38%。由此证明,采用所提出方法可实现网侧电流正弦,功率因数接近1,具有较好的稳态性能。
图12 实验平台
Fig.12 Experimental platform
图13 uf、ug和iL实验波形
Fig.13 Experimental waveforms of uf、ug and iL
图14 网侧(a相)和直流侧电压、电流波形
Fig.14 The voltage and current waveforms on grid side (phase a) and DC side
在不同工况下对开关损耗进行大量实验测试,可发现所提出方法对应的开关损耗值最小,实验结果如图15所示。当交流侧功率从600 W升至1 400 W时,最优移相角组合对应的电力电子器件损耗均为最小,验证了所提出方法的正确性。
图16为采用所提出方法在不同工况下的效率曲线,可以看出在最优移相角组合下,该变换器的效率最高可达到96.89%,同时变换器在宽功率范围内均可实现94%以上的效率。
本文提出了一种BIMC最小开关损耗控制方法,该方法基于双线电压调制策略,建立了电力电子器件损耗模型,并对开关损耗进行最小化寻优,通过实时计算最优移相角组合,使变换器效率达到最优。开展了仿真和实验验证,结果表明:
图15 电力电子器件损耗实验结果
Fig.15 Switch loss experimental results
图16 实验效率曲线
Fig.16 Efficiency curve in experiments
1)采用所提出的控制方法,变换器网侧电流为平衡的三相正弦电流波形,功率因数接近于1,直流侧电压保持稳定,电流纹波率小,具有良好的输入输出性能。
2)通过采用所提出的控制方法,该变换器实现了电力电子器件的开关损耗最小,保证其在宽功率范围内条件下实现高效率运行。
参考文献
[1] 周湛清, 谢琦坤, 马朝磊, 等. 基于参考电压修正的双级矩阵变换器Delta-Sigma调制[J]. 电工技术学报, 2024, 39(10): 3070-3081.
Zhou Zhanqing, Xie Qikun, Ma Chaolei, et al. Delta- Sigma modulation of two stage matrix converter with reference voltage correction[J]. Transactions of China Electrotechnical Society, 2024, 39(10): 3070-3081.
[2] Fang Fanxiu, Tian Hao, Li Yunwei. Coordination control of modulation index and phase shift angle for current stress reduction in isolated AC-DC matrix converter[J]. IEEE Transactions on Power Electronics, 2020, 36(4): 4585-4596.
[3] 梅杨, 吕宁, 魏铮. 间接矩阵变换器-双异步电机调速系统的模型预测控制权重因数整定[J]. 电工技术学报, 2024, 39(23): 7554-7565.
Mei Yang, Lü Ning, Wei Zheng. Model predictive control weight factor tuning method for indirect matrix converter-double induction motors speed control system[J]. Transactions of China Electro- technical Society, 2024, 39(23): 7554-7565.
[4] 鲁紫荆, 李珊瑚, 操孙鹏, 等. 一种大幅度减小间接矩阵变换器高频共模电压的调制策略[J]. 电工技术学报, 2023, 38(16): 4366-4375.
Lu Zijing, Li Shanhu, Cao Sunpeng, et al. A modulation strategy for simultaneously reducing high-frequency common-mode voltage of indirect matrix converter[J]. Transactions of China Electro- technical Society, 2023, 38(16): 4366-4375.
[5] 汪锦良, 李志忠, 黄乔俊, 等. 基于SVM+PS调制的双向AC/DC矩阵变换器[J]. 电力电子技术, 2024, 58(3): 104-107.
Wang Jinliang, Li Zhizhong, Huang Qiaojun, et al. A bidirectional AC-DC matrix converter based on SVM+PS modulation[J]. Power Electronics, 2024, 58(3): 104-107.
[6] 梅杨, 黄伟超, 刘子毓. 矩阵式隔离型双向AC-DC变换器控制策略[J]. 电工技术学报, 2019, 34(12): 2499-2506.
Mei Yang, Huang Weichao, Liu Ziyu. Bidirectional and isolated AC-DC converter based on reduced matrix converter[J]. Transactions of China Electro- technical Society, 2019, 34(12): 2499-2506.
[7] 李志轩, 刘桂英, 明旺. 隔离型双向AC-DC矩阵变换器闭环控制方法研究[J]. 电工材料, 2024(2): 33-37, 43.
Li Zhixuan, Liu Guiying, Ming Wang. Research on closed-loop control method of bidirectional isolated AC-DC matrix converter[J]. Electrical Engineering Materials, 2024(2): 33-37, 43.
[8] 梅杨, 张家奇. 基于无差拍预测算法的双向隔离型AC-DC矩阵变换器高动态电流控制策略[J]. 高电压技术, 2024, 50(3): 1090-1099.
Mei Yang, Zhang Jiaqi. High dynamic current control strategy for bidirectional isolated AC-DC matrix converter based on deadbeat predictive algorithm[J]. High Voltage Engineering, 2024, 50(3): 1090- 1099.
[9] 梅杨, 鲁乔初, 黄伟超. 双向隔离型AC-DC矩阵变换器的软开关复合调制策略[J]. 中国电机工程学报, 2021, 41(7): 2474-2484.
Mei Yang, Lu Qiaochu, Huang Weichao. Soft- switching composite modulation strategy for bidi- rectional isolated AC-DC matrix converters[J]. Pro- ceedings of the CSEE, 2021, 41(7): 2474-2484.
[10] Varajão D, Araújo R E, Miranda L M, et al. Modu- lation strategy for a single-stage bidirectional and isolated AC-DC matrix converter for energy storage systems[J]. IEEE Transactions on Industrial Elec- tronics, 2018, 65(4): 3458-3468.
[11] Sayed M A, Suzuki K, Takeshita T, et al. PWM switching technique for three-phase bidirectional grid-Tie DC-AC-AC converter with high-frequency isolation[J]. IEEE Transactions on Power Electronics, 2018, 33(1): 845-858.
[12] Liu Yushan, He Jie, Ge Baoming, et al. A simple space vector modulation of high-frequency AC linked three-phase-to-single-phase/DC converter[J]. IEEE Access, 2020, 8: 59278-59289.
[13] 白文静, 刘杰, 宁鑫淼, 等. 双向隔离型AC-DC矩阵变换器的双极性SVM调制分析[J]. 电工材料, 2023(6): 49-52, 56.
Bai Wenjing, Liu Jie, Ning Xinmiao, et al. Modu- lation strategy analysis of bidirectional isolated AC-DC matrix converter[J]. Electrical Engineering Materials, 2023(6): 49-52, 56.
[14] Mei Yang, Huang Weichao, Liu Ziyu. Research on control strategy of bidirectional isolated AC/DC matrix converter[C]//2018 IEEE International Power Electronics and Application Conference and Expo- sition (PEAC), Shenzhen, China, 2018: 1-4.
[15] 梅杨, 赵英鹏, 鲁乔初. 隔离型AC-DC矩阵变换器最小电流应力控制方法[J]. 电机与控制学报, 2023, 27(7): 98-110, 121.
Mei Yang, Zhao Yingpeng, Lu Qiaochu. Minimum current stress control method for isolated AC-DC matrix converter[J]. Electric Machines and Control, 2023, 27(7): 98-110, 121.
[16] 梅杨, 许策, 鲁乔初. 基于零矢量嵌入的双向隔离型AC-DC矩阵变换器分段同步控制策略[J]. 电工技术学报, 2021, 36(22): 4784-4794.
Mei Yang, Xu Ce, Lu Qiaochu. Piecewise syn- chronous control strategy of bidirectional isolated matrix AC-DC converter based on zero vector embedded[J]. Transactions of China Electrotechnical Society, 2021, 36(22): 4784-4794.
[17] 梅杨, 朱妮斯, 许策. 一种面向高频链AC-DC矩阵变换器的高频变压器绕组优化设计方法[J]. 电工电能新技术, 2023, 42(11): 11-20.
Mei Yang, Zhu Nisi, Xu Ce. A high frequency transformer winding optimization design method for high frequency AC-DC matrix converter[J]. Advanced Technology of Electrical Engineering and Energy, 2023, 42(11): 11-20.
[18] Schrittwieser L, Leibl M, Kolar J W. 99% efficient isolated three-phase matrix-type DAB Buck-Boost PFC rectifier[J]. IEEE Transactions on Power Elec- tronics, 2019, 35(1): 138-157.
[19] 刘赞, 沙金, 邱高峰, 等. 多级离散扩展移相控制双有源桥DC-DC变换器的原理、参数设计与性能[J]. 电工技术学报, 2024, 39(12): 3761-3773.
Liu Zan, Sha Jin, Qiu Gaofeng, et al. Principle, parameters design and performance of multistage discrete extended-phase-shift control dual active bridge DC-DC converters[J]. Transactions of China Electrotechnical Society, 2024, 39(12): 3761-3773.
[20] Mei Yang, Lu Qiaochu, Liu Ziyu. A novel partition- phase-shift control strategy for the isolated bidi- rectional AC/DC matrix converter[C]//2020 IEEE 9th International Power Electronics and Motion Control Conference (IPEMC2020-ECCE Asia), Nanjing, China, 2020: 2490-2494.
[21] 马星河, 陈海军, 赵军营, 等. 矩阵变换器双电压调制策略的简化控制[J]. 电力系统及其自动化学报, 2018, 30(6): 103-107.
Ma Xinghe, Chen Haijun, Zhao Junying, et al. Simplified control under dual-voltage modulation strategy for matrix converter[J]. Proceedings of the CSU-EPSA, 2018, 30(6): 103-107.
[22] 付强. 基于宽禁带器件的双向隔离型AC-DC矩阵变换器损耗特性研究[D]. 北京: 北方工业大学, 2022.
Fu Qiang. Research on loss characteristics of bidirectional isolated AC-DC matrix converter based on wide bandgap device[D]. Beijing: North China University of Technology, 2022.
[23] Mei Yang, Jin Hao, Lü Ning, et al. Modeling and evaluation of power device loss in the bidirectional isolation AC-DC matrix converter[C]//IECON 2024- 50th Annual Conference of the IEEE Industrial Electronics Society, Chicago, IL, USA, 2024: 1-6.
[24] Gill P E, Kungurtsev V, Robinson D P. A stabilized SQP method: global convergence[J]. IMA Journal of Numerical Analysis, 2017, 37(1): 407-443.
[25] Hammami A, Ghayoula R, Gharsallah A. Pattern synthesize of a spherial conformal array antenna by SQP algorithm[C]//2023 IEEE International Work- shop on Mechatronic Systems Supervision (IW_MSS), Hammamet, Tunisia, 2023: 1-5.
[26] 骞恒浩, 石鹏飞, 王敏文, 等. 基于改进序列二次规划的非线性控制分配[J]. 兵工自动化, 2022, 41(8): 74-80.
Qian Henghao, Shi Pengfei, Wang Minwen, et al. Nonlinear control allocation based on improved sequential quardratic programming[J]. Ordnance Industry Automation, 2022, 41(8): 74-80.
[27] Yi Zheyuan, Liu Hanyu, Sun Kai. A novel calori- metric loss measurement method for high-power high-frequency transformer based on surface tempera- ture measurment[C]//2020 4th International Conference on HVDC (HVDC), Xi’an, China, 2020: 645-648.
Abstract Bidirectional isolated matrix converter (BIMC) is acknowledged to possess significant application potential in energy storage systems and electric vehicles, owing to its inherent advantages of bidirectional power flow capability and high power density. Traditional BIMC control methods have high switching losses and efficiency limitations. This paper proposed a novel minimum-switching-loss control strategy. The optimal combination of phase-shift angles was selected within the modulation strategy to minimize power-electronic device losses, thereby enhancing the overall converter efficiency across the power operating range.
The dual-line-voltage modulation strategy and three established modulation techniques were compared. The number of independently adjustable phase-shift angles was increased, facilitating the implementation of a triple-phase-shift modulation strategy. This enhancement enabled precise, flexible control of power transfer direction and the operating states of the switching devices. In modeling the switching losses of BIMC power electronic devices, the superposition theorem was used to decompose the voltage and current waveforms, and the initial inductor current was determined. This derived initial value was then used to compute the instantaneous switching losses occurring at each switching transition. Consequently, a comprehensive mathematical model characterizing the total switching loss over a fundamental power-frequency cycle was formulated. The functional relationship between cumulative switching loss and the applied phase-shift angles was established under the dual-line-voltage modulation framework. The sequential quadratic programming (SQP) algorithm solves the nonlinear constrained optimization problem. Input power specifications and permissible ranges for phase shift angles were defined as the primary constraints. The optimal combination of phase-shift angles was dynamically computed in real time. This optimal set was then applied to generate pulse-width modulation (PWM) control signals. Furthermore, during the experimental phase, calorimetric techniques were employed to obtain highly accurate measurements of transformer core and copper losses. This methodology provided a reliable foundation for precisely isolating power electronic device switching losses from the aggregate system power dissipation.
The proposed control strategy was evaluated through Matlab/Simulink simulations and experimental validation on a 1.5 kW BIMC prototype platform. Key performance metrics, including grid-side current quality, input power factor, DC-link stability, and system efficiency, were assessed. Simulation results demonstrate that the proposed method generates a near-sinusoidal grid-side current with a total harmonic distortion (THD) below 3.38%, achieving a unity power factor operation and ensuring stable DC-link voltage and current. Experimental results demonstrate that the grid current THD consistently measures less than 3.38%. The overall converter efficiency remains above 94% across a wide load range, reaching a peak of 96.89%.
Keywords:AC-DC matrix converter, dual-line voltage modulation strategy, switching loss, sequential quadratic programming
中图分类号:TM46
DOI: 10.19595/j.cnki.1000-6753.tces.250350
北京市自然科学基金资助项目(JL23001, 3222051)。
收稿日期 2025-03-05
改稿日期 2025-05-26
梅 杨 女,1981年生,博士,教授,研究方向为电力电子与电力传动、新型电力电子变换器、交流电机高性能控制等。
E-mail: meiy@ncut.edu.cn(通信作者)
石 仪 女,1998年生,硕士研究生,研究方向为电力电子与电力传动。
E-mail: 454873646@qq.com
(编辑 郭丽军)