摘要 在三相准单级充电系统中,采用薄膜电容替换传统的大容值电解电容,并引入两相钳位不连续脉宽调制技术,能够显著降低系统体积并减少前级开关损耗。然而,这种架构导致直流母线电压降低且呈现出六倍频脉动特性。若后级LLC谐振变换器无法有效抑制由此产生的电压纹波,将加速用电设备的老化,严重影响其使用寿命。此外,脉动母线电压引起的时变工作点还会导致系统效率降低。鉴于此,该文围绕三相准单级系统中的后级LLC变换器展开研究,对其全输出电压和功率范围内进行深入的时域分析研究。通过建立LLC变换器在变频和移相两种工作模式下的多模态时域分析模型,详细剖析LLC变换器在不同工况下的损耗特性。基于此,该文提出一种适用于三相准单级充电系统的LLC最优效率追踪与纹波抑制策略。该策略不仅具备宽范围的电压和功率输出能力,还显著提升了系统的动态性能和效率优化水平。通过在一台20 kW基于Vienna+ LLC拓扑的实验样机上进行验证,实验结果证明了所提策略的全范围适用性,实现了80%以上的纹波抑制效果,并达到了96.2%的峰值效率以及低压下0.72%的效率提升。
关键词:三相准单级AC-DC变换器 变频移相混合调制 损耗分析 纹波抑制
充电桩是电动汽车从电网获取电能的核心设备,近年来,新能源汽车数量迅猛增长,对新一代充电桩提出了更高功率、更高功率密度以及更高可靠性的要求[1-2]。
大功率电动汽车直流充电桩系统通常由具备三相输入和功率因数校正(Power Factor Correction, PFC)功能的AC-DC变换器和隔离型DC-DC变换器级联组成,两级之间通过直流母线相互连接,具体结构如图1所示。在直流母线上,以往普遍使用大容值电解电容实现前后级的解耦。然而,随着大功率直流超级充电桩的发展,电解电容在满负荷高温运行条件下逐渐暴露其弊端,成为制约充电桩的运行寿命、效率以及功率密度提升的主要薄弱环 节[3]。在此背景下,运用小容量薄膜电容代替大容量电解电容的三相准单级充电系统成为目前研究的热点[4-5]。
图1 典型的两级式充电桩系统及准单级化改进
Fig.1 Typical two-stage EV charger and a quasi-single-stage improvement
在三相准单级系统中,前后级之间不再具备功率缓冲能力,此时必须实施前后级协同控制策略,以应对负载变化等暂态过程。苏黎世联邦理工大学的J. W. Kolar教授团队提出了一种基于前后级协同控制的技术方案,在前级采用两相钳位不连续脉宽调制(Two-phase clamped Discontinuous Pulse Width Modulation, 2/3 DPWM)[6-9],该调制令前级AC-DC变换器在输入电压的2/3个工频周期内停止动作,在实现功率因数校正的同时产生最小的开关损耗。在这一方案里,直流母线电压始终被钳位在最大线电压,从而在母线上形成300 Hz的脉动电压。然而,这一研究通常聚焦于前级调制策略,且后级变换器通常采用非隔离型DC-DC变换器[10-12],需要额外的漏电流吸收装备(Residual Current Devices, RCDs)以确保用户安全,对大功率直流超级充电桩而言并不理想[13]。
LLC谐振变换器具有高效率、电气隔离的特点,是充电桩后级的理想拓扑,但在准单级系统中面临许多挑战:前级PFC采用2/3 DPWM时,直流母线电压始终钳位于最大线电压,致使其失去升压能力,这便要求LLC具备更宽泛的调压范围。LLC变换器通常采用变频调制(Pulse Frequency Modulation, PFM),但在电压增益较低和轻载时工作频率变化范围过大,调压能力也有所欠缺[14]。因此,通常采用移相调制(Phase Shift Modulation, PSM)或变换拓扑的方法来拓展LLC变换器的输出范围[15-18]。另外,由于直流母线上电压脉动,需要LLC变换器具备快速调节增益、稳定输出的能力。但LLC变换器属于非线性系统,传统的线性控制器难以对准单级协同控制中的动态过程做出快速响应[19]。尽管已有相关研究针对这些不足提出了一些解决方案,然而这些方案并不能完全契合三相充电系统的实际场景。
S. M. S. I. Shakib等通过改进LLC拓扑,通过采用自适应调频PSM技术,使得LLC变换器在低电压增益状态下能够维持高效率运行。然而,这种方法不仅对LLC拓扑结构进行了较大改动,而且无法适应负载变化较大的场景[20]。Lin Jingyuan等采用PFM/PSM混合控制方法实现LLC宽范围输出,但该研究主要基于基波分析法,在实际应用中精度较低,导致控制效果不够理想[21-23]。N. Ishraq等研究了一种基于损耗优化的LLC调频移相混合控制,通过调节最佳占空比来实现最小功率损耗,同时借助调频控制来灵活调节电压。此研究基于时域分析,但电压调节范围和功率变化范围较小,并未对移相模式进行全面分析,不适用于增益范围大的场景[24]。
Xu Qingyuan等将电荷控制应用于LLC变换器,通过比较开关电流的总电荷与控制电压来对开关频率进行调制[25-26]。但电荷控制仅针对LLC变换器的负载切换的动态响应进行优化,当面临增益动态变化的场景时,难以发挥其作用。Hu Zhiyuan等提出了一种适用于LLC谐振变换器的Bang-Bang控制方法,利用谐振电容电压来对LLC的开关频率进行控制[27],其实质与电荷控制类似,同样无法适用于增益动态变化的前后级协同场景。李佳昊等采用时域分析简化的方法提出了一种提升LLC变换器动态响应能力的前馈控制方案[28-29],Chen Jie等提出了一种状态平面前馈控制,该方案通过简化状态平面的计算,得到LLC变换器的理想开关频率并加入前馈控制,提升了LLC变换器的电压增益动态响应能力[30-32]。但这两种方案只对PFM模式的特定模态有效,无法适用于PSM模式。为同时实现PFM和PSM模式的动态响应优化,需要在时域上对LLC变换器进行精确建模。
解决三相准单级充电系统中LLC变换器面临的问题,对提升充电桩整体性能、推动新能源汽车产业发展意义重大。为此,本文提出了一种适用于三相准单级充电系统中的LLC变换器的最优效率追踪与纹波抑制策略。该策略的创新点如下:
(1)对LLC变换器PFM和PSM两种模式进行了宽增益/负载范围、多模态的时域分析,并对各模态在多变量下的分布和增益特性进行了分析。
(2)针对三相准单级充电系统对后级高动态性能和更宽调压范围的需要,基于时域分析,实现LLC增益实时动态调节,显著降低了输出电压纹波。并通过调频和移相混合控制,有效拓展了LLC变换器的增益范围。
(3)基于时域分析对LLC变换器进行了精细的损耗建模,实现了对宽范围输出情况下最优效率的追踪,进一步提升了变换器的效率。
本文首先对LLC变换器进行全面的时域分析和损耗建模;然后提出了基于时域分析的纹波抑制策略;并在此基础上通过损耗分析调节了各控制量的组合关系并实现了最优效率追踪;最后采用一台20 kW Vienna+LLC拓扑的三相准单级AC-DC变换器上对本文所提策略进行了实验验证。
全桥LLC谐振变换器拓扑如图2所示。图2中,一次侧逆变桥H1包含4个MOSFET管S1~S4,二次侧整流桥H2包含4个整流二极管VD1~VD4,谐振腔包括谐振电容Cr、谐振电感Lr、变压器励磁电感Lm,n为变压器电压比,Vi为输入电压,vab为谐振腔输入电压,VLm为励磁电感上的电压,Co为输出电容,vo为输出电压,Tg为工频周期。
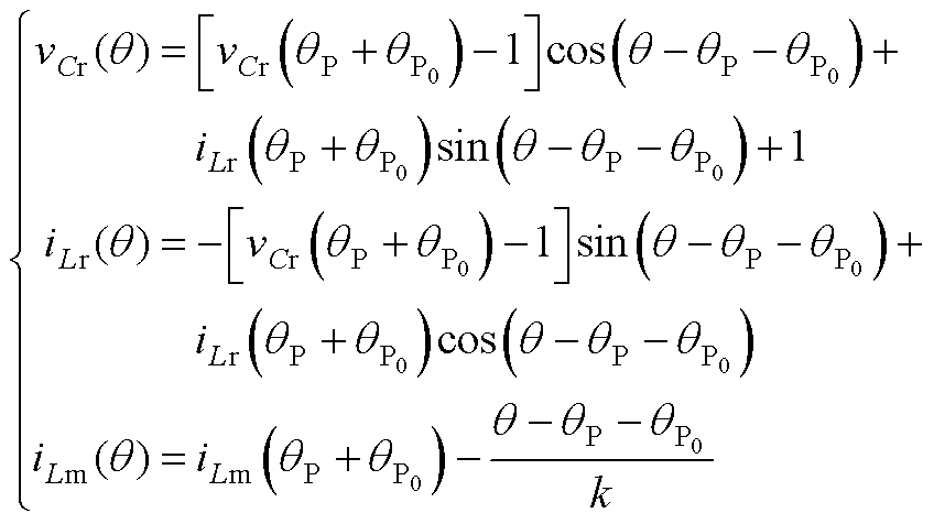
以S1、S3开通的半周期为例,取S3导通时刻为零时刻,LLC变换器的谐振状态根据Lm是否参与谐振可以分为三类:①变压器二次电压为正,Lr、Cr参与谐振,二次侧二极管通过电流时Lm被正钳位;②变压器二次电压为负,二次侧二极管通过电流时Lm被负钳位;③二次电流断续时,Lm不再被钳位,Lr、Cr、Lm三元件发生谐振。
图2 全桥LLC谐振变换器拓扑
Fig.2 Topology of full-bridge LLC resonant converter
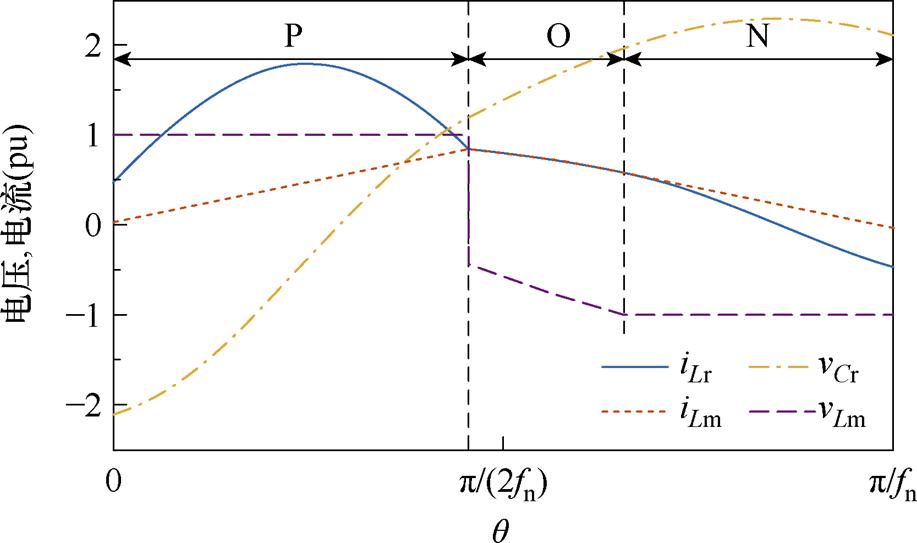
vab在PFM模式始终为Vi,在PSM模式由Vi变为0。所有谐振状态可以分为六种,分别记为N、O、P、P0、O0、N0。在PFM模式,只会出现N、O、P三种状态[33]。
根据工况的不同,LLC变换器会工作在这六种状态排列组合而成的不同模态中,LLC各谐振状态等效电路如图3所示。考虑输出电压范围和负载功率,在实际应用中LLC变换器在PFM模式通常工作在NP、PO、PON三种模态[33]。在PSM模式通常工作在NPP0、PP0O0、PP0O0N0、PP0N0四种模态[34]。
图3 LLC各谐振状态等效电路
Fig.3 Equivalent circuit of each resonant state of LLC
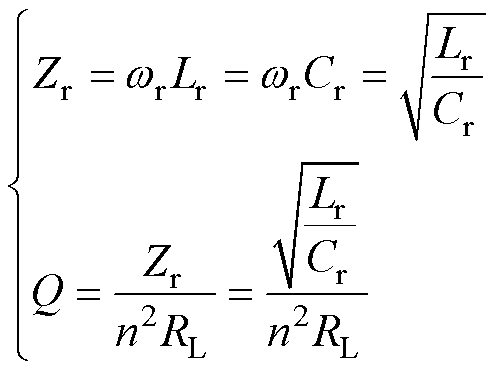
对电路变量进行标幺化定义如下。
为谐振频率,
。电压和电流的基准量为
(1)
为标幺化频率,
;k为电感比,
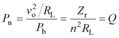
;特征阻抗和品质因数分别为
(2)
式中,RL为负载等效电阻。
电压增益M为
(3)
记vCr.0、iLr.0、iLm.0分别为谐振电容电压、谐振电感电流和励磁电感电流零时刻的标幺值。
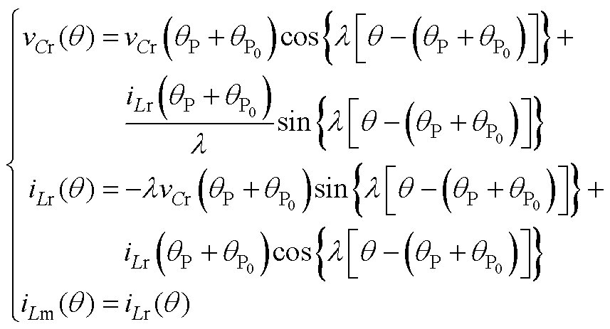
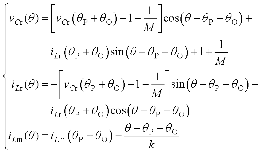
NP模态是一种Buck模态,出现在开关频率高于谐振频率时。将时间用角度表示为
(4)
假设X状态的持续时间为
(X=N, P),有
(5)
根据KVL和KCL定律对等效电路进行分析,通过拉普拉斯变换将时域电路模型转换到复频域求解,再利用逆变换可得到时域方程式。
1)N状态内
(6)
2)P状态内
(7)
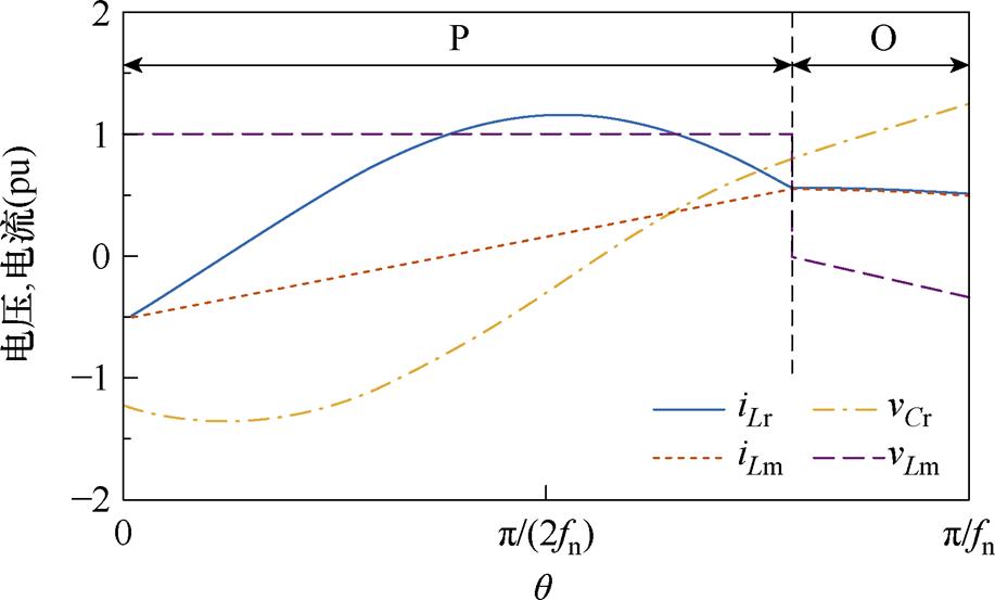
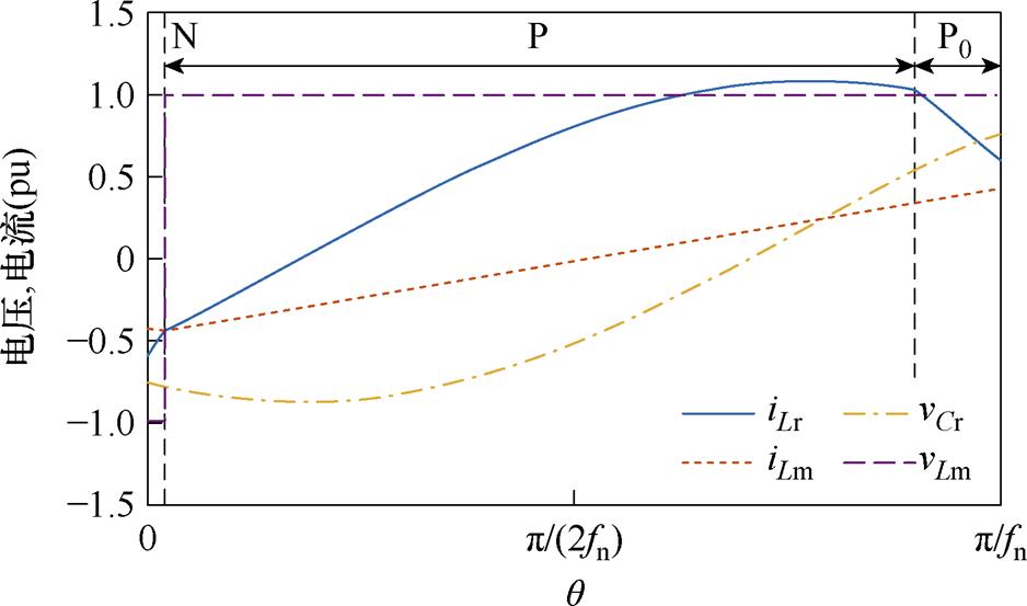
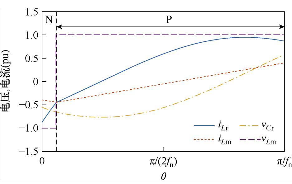
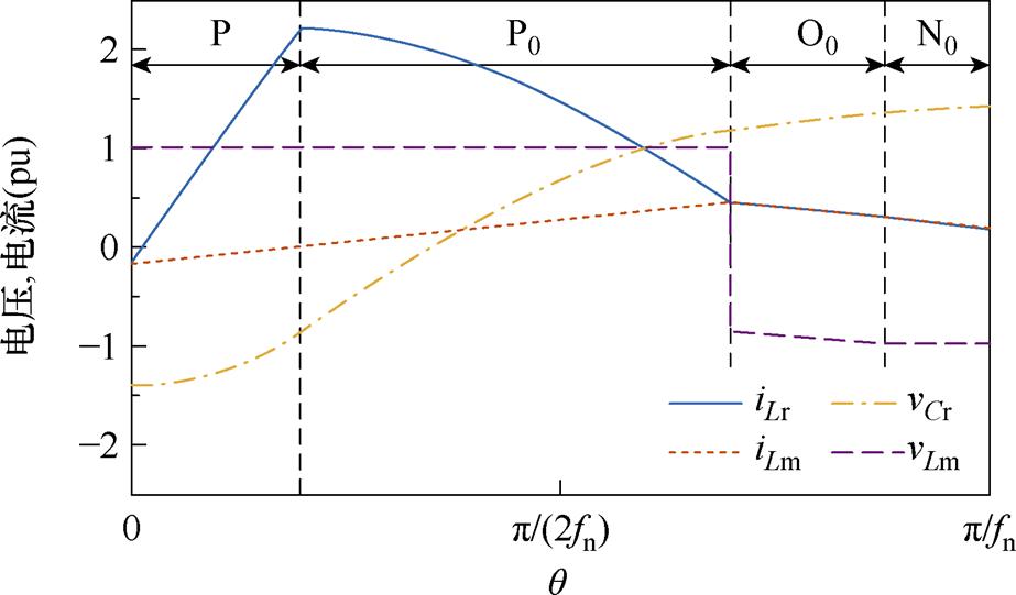
NP模态的典型工作波形如图4所示,包括谐振电容电压、谐振电感电流与励磁电感电压、电流。
图4 NP模态关键波形
Fig.4 NP mode key waveforms
采用相同的方法,对其他各模态进行分析,PO和PON模态的分析见附录。
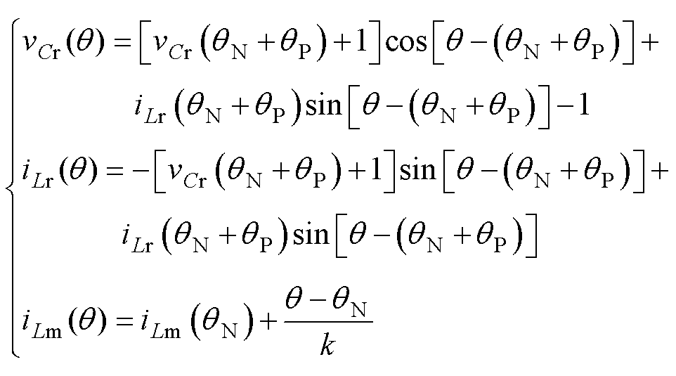
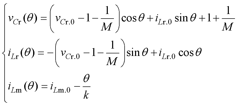
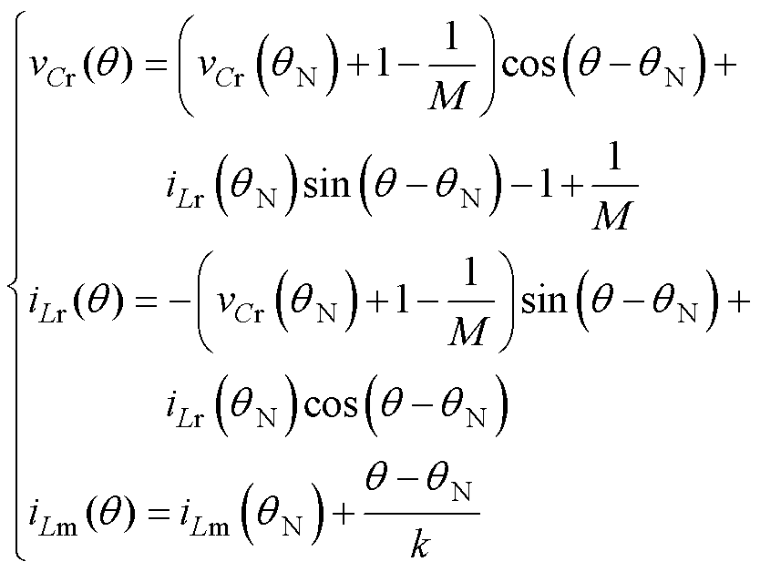
本文中LLC变换器工作在PSM模式时,通过在固定频率下调节移相角的方法降低电压增益,工作频率只考虑fn>1情况。此时共有NPP0、NOPP0、PP0N0、PP0O0N0、PP0O0、OPP0O0、OPOO0、OO0八种工作模态[34],在充电系统的应用场景下,为了降低计算的复杂度,本文忽略了空载的OO0模态以及NOPP0、OPP0O0、OPOO0三种极轻负载的工作模态,并以NPP0和PP0O0进行近似。
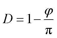
在半周期内,设
区域的对应时间占半周期的比例为等效占空比D,与移相角
满足
(8)
NPP0模态出现在等效占空比D较大时。在正半周期等效占空比对应的时间内,变换器与NP模态下的工作方式相同;当
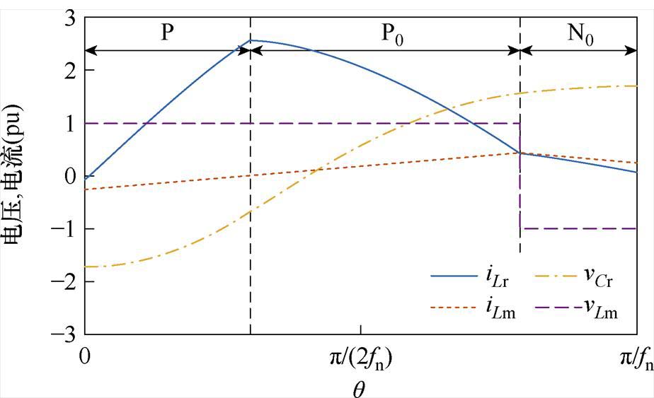
时进入P0状态。图5为NPP0模态的关键波形。
图5 NPP0模态关键波形
Fig.5 NPP0 mode key waveforms
按照PFM模式采用相同的方法列写时域方程,其中,NP两个状态的方程与前述NP模态方程相同。假设Y状态的持续时间为
(Y=N, P, P0)有P0状态内
(9)
采用相同的方法,对PP0O0、PP0O0N0、PP0N0三模态进行分析,结果见附录。
LLC变换器的电压增益受到工作频率、移相角、输出功率的影响。按照基准值的定义,输出功率的标幺值为
(10)
品质因数Q可以表征输出功率、求解控制量与电压增益的关系,PFM模式下待求未知量表示为
(11)
类似地,PSM模式时域方程未知量为
(12)
对任意模态的时域模型可由约束条件进行求解,约束具体可以分为如下三类,时域方程求解约束条件见表1。
(1)对称性条件:半周期时刻的vCr、iLr、iLm应与零时刻的值互为相反数。
(2)状态切换条件:模态内部状态切换时产生对应的约束方程。
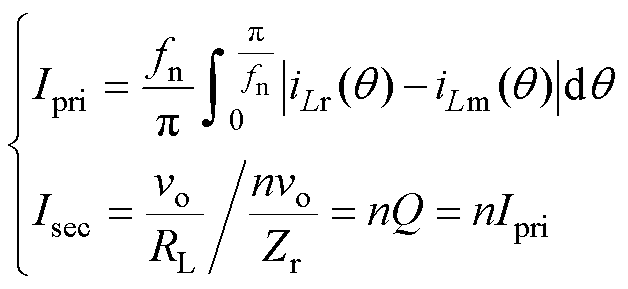
(3)电荷守恒条件:计算变压器两侧电流为
(13)
表1 时域方程求解约束条件
Tab.1 Constraints for solving TD equations
约束条件方 程 对称性条件 状态切换条件 电荷守恒条件
在求解时域方程前需要先确定给定条件下LLC变换器的工作模态,而模态分布边界可以由模态时域方程加入额外的约束条件计算,模态分布求解条件见表2。
表2 模态分布求解条件
Tab.2 Constraints for solving TD equations
模态边界求解方程组额外约束方程 PO-NP— PO-PONPO NPP0-PP0O0PP0O0 NPP0-PP0N0PP0N0 PP0O0-PP0O0N0PP0O0 PP0O0N0-PP0N0PP0O0N0
使用Matlab进行数值求解,通过时域方程与约束方程,可以求解出式(11)、式(12)所示未知量,计算出PFM和PSM增益特性与模态分布如图6 所示。
图6 PFM和PSM增益特性与模态分布
Fig.6 PFM and PSM gain characteristics and mode distribution
PFM模式给定fn和Q可得电压增益与工作频率和负载的关系
;PSM模式下给定固定频率fn,可得电压增益与等效占空比和负载的关系
。在PO、NP模态内电压增益随频率单调递减。PON模态内低频率会进入容性区,此时一次侧开关管的零电压软开关(Zero Voltage Switching, ZVS)丢失,且电压增益不单调,可能会导致闭环控制不稳定。因此LLC变换器运行在PFM模式时应当控制频率在PON的高频感性区以及PO、NP模态的范围内。PSM模式下的电压增益有以下特性:在任意频率和负载情况下,电压增益都随占空比减小而减小;占空比和工作频率不变,电压增益随着负载功率增大(Q增大)而减小;占空比和负载功率不变,电压增益随着工作频率增加而减小。
利用上述时域分析模型可以得到LLC变换器不同工况下的谐振电流、电压的准确波形如图4、图5所示,因此可精确地计算不同输入输出参数和不同工作模式下的效率。本节计算使用的LLC元器件参数见表3。
1.4.1 MOSFET损耗
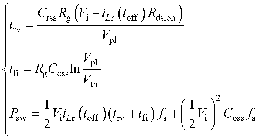
MOSFET的损耗主要包括开关损耗Psw和导通损耗Pcond,MOS。其中开关损耗Psw可以分为开通损耗Pon和关断损耗Poff,在本文控制策略下,LLC变换器的一次侧桥臂始终保证谐振电流过零时间滞后于开关导通时间,并且在任一开关管导通之前的死区时间内,结电容Coss完成放电,并通过体二极管续流。由此实现了ZVS开通,由于Coss的泄放损耗极小,因此开通损耗Pon可忽略不计。开关损耗Psw仅包含关断损耗Poff。关断损耗Poff的计算方法如下:设Rg为门极输入电阻,Crss为反馈电容,Rds,on为MOSFET导通电阻,Vpl为开关管米勒电压。首先计算电压上升时间trv和电流下降时间tfi,进而计算关断损耗[26]。
表3 LLC元器件参数
Tab.3 LLC component parameters
参 数数值 (型号) MOSFETIV1Q06040T3 二次侧二极管STTH6012 谐振电容Cr/nF330 谐振电感Lr/mH8 励磁电感Lm/mH24
(14)
导通损耗由谐振电流有效值ILr,rms计算为
(15)
1.4.2 整流二极管损耗
忽略二极管的开关损耗,设VF为正向导通压降,二极管导通损耗可以表示为
(16)
1.4.3 谐振腔和变压器损耗
变压器损耗可以分为磁心损耗Pcore,T和绕线损耗Pcoil,T,根据Steinmetz经验公式计算磁心损耗为
(17)
式中,kc、
、
为取决于磁心材料的Steinmetz系数;Vcore为磁心体积;
为磁通密度变化;fs取平均频率计算。
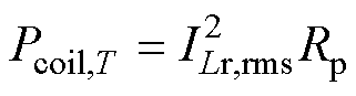
设Rp为变压器一次侧的绕线电阻,变压器绕线损耗计算方法为
(18)
设RLr和RCr分别为谐振电感Lr和谐振电容Cr的等效串联电阻,谐振腔的导通损耗为
(19)
综上所述,LLC变换器损耗可表示为
(20)
图7展示了在PFM模式电感比k=3、品质因数Q=0.5时的各项损耗与电压增益M的关系。对于不同输入输出参数以及PSM模式,计算的方法相同。由于在一个工频周期内电压增益动态变化,因此对任意输出参数,应计算一个工频周期内的平均损耗。为后续分析方便,定义平均电压增益Mac为变压器一次电压与输入电压平均值之比,即
(21)
图7 PFM模式各损耗与电压增益的关系(k=3, Q=0.5)
Fig.7 Relationship between each loss and voltage gain for PFM mode k=3 and Q=0.5
对于准单级变换器系统中的LLC变换器控制,主要需求包括三点:①在不同负载下具备较宽的增益可调范围,满足宽输出电压范围的要求;②具有良好的动态性能,能够抑制输入电压脉动引入的低频纹波;③需要进一步优化调节各控制量的关系,实现系统最优效率追踪效果。
对于宽范围需求,由于在PFM模式下,电压增益较小时,增益特性曲线的
很小,此时频率调整率过高,在低增益下开关频率过高,导致开关损耗增加,也给磁件设计带来困难,这一问题在轻载情况下尤其显著。本文采取PFM切换PSM的方法避免低增益范围内频率过高问题。
对于纹波抑制的需求,本文采用基于时域分析的前馈控制方法,利用时域计算得到前馈控制量,在工频周期内动态调整控制量,能够显著提升系统的动态性能。在闭环控制中,电压增益参考值Mref和品质因数参考值Qref可以通过采样计算得到,即
(22)
在时域模型中求解
关系,假设工作频率的上限
,频率下限为容性区与感性区边界,得到PFM的允许工作范围以及二维前馈频率查找表(Look-Up Table, LUT)。对于PSM,不同的工作频率对其工作范围影响较大,通过循环M、Q、fn,求解得到
关系。可以建立一个前馈移相角的3D-LUT。PFM和PSM时域前馈控制量和各模式允许工作范围如图8所示。
图8 PFM/PSM时域前馈与工作范围计算
Fig.8 PFM/PSM time-domain feedforward and working region calculation
由此产生了PFM向PSM切换的约束条件为
(23)
式中,Mth为切换的临界增益;Mmin,PFM(Q)为PFM与PSM的边界增益,可通过二维LUT得到。当需求增益低于Mth时,应当切换到PSM模式,保持频率恒定为fn,PSM并调节移相。LLC变换器传统的PI控制通过采样输出电压,根据电压误差信号调节工作频率。仅使用PI控制器难以在准单级控制场景下得到快速的动态响应。本文采用时域前馈的方法,通过对输入电压、输出电压、输出电流的采样,可以实时计算出该算法下当前的工作点,通过LUT获得对应工作频率或移相角作为频率或移相前馈量,叠加PI控制的输出,得到LLC变换器的工作频率或移相角。通过前馈控制可以大大减轻PI控制器的负担,改善LLC变换器的动态响应,其控制框图如图9所示。
图9 PFM/PSM时域控制框图
Fig.9 PFM/PSM time domain control block diagram
控制策略中采用的PI参数是通过在PLECS仿真软件中扫频获得开环传递函数后导入Matlab利用PID tuner工具进行优化设计。经仿真扫频验证,PFM和PSM模式的闭环控制分别具有约80°和50°的相位裕度,验证了系统的闭环稳定性。
在前述时域前馈控制的基础上,研究PFM与PSM工作模式切换问题,在满足式(23)且输出电压稳定的条件下未确定的参数为:
(1)LLC变换器工作在PSM模式时的工作频率:在任意小于最大工作频率下可以查表得到所需移相角,因此需研究PSM模式的工作频率最优值。
(2)PFM向PSM切换的切换增益Mth:只受到C1约束其下界,而最优的切换增益待求。
本节以最优效率为目标函数,优化上述两参数,实现效率最优的变频移相混合控制。最优效率追踪求解流程如图10所示。
图10 最优效率追踪求解流程
Fig.10 Flowchart of PSM optimal efficiency solution
首先研究LLC变换器工作在PSM模式时最优工作频率问题,按照如下步骤计算:
(1)在一个工频周期内将波动的电压增益划分N个小区间,每个区间内输入电压为定值。将可行工作频率等分为K个取值开始循环。
(2)在每个区间内由M(i)、Q、fs(i)根据表2所示边界条件确定其工作模态。
(3)根据表1所示约束方程求解对应模式的时域方程得到对应工作频率与移相角以及谐振变量波形。
(4)代入损耗模型即式(20)求解效率。
(5)对所有区间内的效率取平均值。对下一个工作频率点循环步骤(2)~步骤(4)。
(6)比较所有工作频率的效率,得到当前工作点的最优工作频率与最优移相角。
按照如上程序,对Q=0.5、M=0.6~0.9,在不同的工作频率fn,PSM下计算相应平均效率,结果如图11所示。
由于PSM工作频率不大于PFM工作频率,增益越大,fn,PSM可行域越小。在固定的电压增益下,fn,PSM越小,需要的移相角越大,导致谐振电流有效值更大,增加了导通损耗;另一方面,fn,PSM增大时开关损耗相应增大。因此,在某一中间频率处应得到最大的效率,最优工作频率的计算结果与分析相符。
进一步可以获得在任意输出和负载条件下的PSM最优工作频率fopt,PSM,以及在此工作频率下对应的等效占空比、最优效率,结果如图12所示。时域损耗模型的计算表明,在相同负载下,当电压增益增大时,最优工作频率fopt,PSM减少,等效占空比增大,最优效率增大;在电压增益恒定时,当负载功率增大时,最优工作频率fopt,PSM减小,等效占空比减小,最优效率降低。
图11 PSM模式不同电压增益下效率与工作频率的关系(Q=0.5)
Fig.11 Efficiency versus operating frequency for different voltage gains in PSM mode (Q=0.5)
图12 PSM模式不同负载下最优工作频率、等效占空比及最优效率与电压增益关系
Fig.12 PSM mode with different loads
在三相输入AC 220 V、额定输出功率5 kW的条件下,比较PSM模式的最优效率与PFM模式效率,可得PFM与PSM切换的最优切换电压Vth,对应切换增益为Mth,opt,其中PFM模式效率计算方法与PSM模式类似,同样取工频周期内的平均值作为PFM模式效率,结果如图13所示,在电压增益接近1时,PFM效率略高于PSM最优效率,在电压增益较低时,PSM最优效率显著高于PFM效率。因此在输出电压低于Vth时,由PFM切换为PSM,可确保变换器始终工作在效率更优的模式。
基于对PSM模式工作频率fopt,PSM和PFM/PSM切换增益Mth,opt的优化,实现同时具备宽电压增益范围、良好动态性能、效率最优变频移相混合调制策略;控制策略如图14所示。根据采样得到的输出电压、电流计算电压增益与品质因数,由输出参考值查表获得目标工况下PFM的最低增益Mth1以及最优效率计算得到的切换增益Mth,opt,并以此作为系统工作在PFM或PSM的判据。若参考增益高于切换增益,则LLC工作在PFM,按照图8a时域前馈控制实现闭环。若参考增益低于切换增益,则工
图13 PFM与PSM效率曲线及最优切换电压Vth
Fig.13 PFM and PSM efficiency curves and optimal switching voltage Vth
图14 最优效率追踪与纹波抑制策略
Fig.14 Optimal efficiency frequency conversion phase shift hybrid modulation strategy
实验样机如图15所示,其参数见表4。
图15 实验样机
Fig.15 Experiment prototype
表4 样机详细参数
Tab.4 Main components of the prototype
项 目型号与参数 工况设置输入电压uabc:AC 220 V输出电压vo: 200~800 V其中200~400 V并联输出; 400~800 V串联输出系统最大输出功率: 20 kW, 其中单路LLC Pomax=5 kW MCUF28377D TI 直流母线电容Cf/mF20×2 Vienna输入滤波电感L/mH300 (磁心: NPF500026H25, 材料: NPF (POCO)) Vienna开关管FGY160T65SPD-F085 二极管STTH6012 VF=1.3 V (Typ.) @ IF=60 A LLC开关管IV1Q06040T4 40 mΩ @ID=20 A, TJ=25℃ LLC变压器磁心: EE65/32/27, 材料: BDK96电压比n 1218励磁电感Lm/mH 23.5 LLC谐振电感Lr/mH8 (磁心: EE65/32/27, 材料: BDK96) LLC谐振电容Cr/nF330 LLC频率范围/kHz70~180 闭环PI参数
图16展示了电压增益指令变化时,在PFM和PSM两种工作模式下采用时域前馈算法和PI控制下对于不同种类负载的动态响应对比。
图16 不同负载类型下在PFM和PSM模式的不同控制策略动态响应对比
Fig.16 Response comparison of different control strategies in PFM and PSM modes under different load types
LLC的输入电压为250 V。实验中在PFM模式下输出电压参考值由400 V切换为300 V,在PSM模式输出电压参考值由300 V切换为250 V,分别对于阻性负载(32 W)以及对于恒电流负载(15 A)测试了此时的动态响应波形。本文采用的前馈策略可以实时跟踪电压增益参考,得到前馈量,而PI控制难以快速跟踪电压增益的变化,动态响应速度分别提升了64%和93%。
针对三相准单级AC-DC变换器,参数见表4,前级Vienna采用2/3 DPWM,直流母线电压在466~538 V波动,实验中两路LLC分别接入上、下半母线,输出并联,单路LLC输出功率Po=5 kW。图17展示了LLC工作在PFM模式下输出电压范围在升压模式400 V、过渡模式350 V(在M=1上下波动)、降压模式300 V,以及LLC工作在PSM模式降压200 V四种工况下的关键工作波形。图17所示包含输入电压vpm、输出电压vo、桥臂中点电压vab和谐振电感电流iLr。实验对比了采用传统的PI控制以及采用本文提出的控制策略的工作波形,可以明显发现,传统的PI控制并不能适用于直流母线波动的场景,由于带宽不足,导致输出电压存在较大的波动。而采用本文控制策略,对输出电压纹波的抑制效果提升了80%以上。
类似地,对于输出电压范围在400~800 V的情况下,在相同条件下接入上下半母线的两路LLC输出串联。稳态输出波形如图18所示。实验证明了本文所提出的策略适用于宽输出电压范围的充电系统场景。
由于输出电压范围较宽,在额定功率下系统设计输出电压在200~400 V范围内采用LLC并联,在400~800 V范围内采用LLC串联输出。其中输出电压给定为260 V时,LLC频率在160~180 kHz变化,接近了设计的频率上限。由图10所述计算方法,此时设计的最优临界切换电压为300 V。因此200~300 V使用PSM拓展增益范围。
图19展示了输出电压参考由400 V缓慢变化至250 V的LLC实验波形,实验条件与3.2节相同。图19中A、B、C三点分别为PFM模式、PFM和PSM的过渡模式、PSM模式,由此可见本文所提控制策略能够在PFM和PSM之间平滑切换且过渡平滑不产生暂态突变或超调。
图20展示了在AC 220 V输入条件下,在样机上测试本文所提效率优化的变频移相混合控制与加入前馈的传统变频移相控制的效率对比。
效率测量实验中前级Vienna整流器输入接入三相AC 220 V,此时针对接入上半直流母线的单路LLC变换器而言,输入电压在233~269 V变化,输出电压参考值在200~400 V范围内变化,且保持单路LLC变换器输出功率为满载5 kW。
图17 前后级协同控制下LLC的实验波形
Fig.17 Experimental waveforms of LLC converter operating with the proposed synergetic control strategy
此时系统输出为满载20 kW,输入输出功率分别通过输入电源(PRE2020S回馈型可编程交流源载一体机)以及数字负载(IT6000C双向可编程直流电源)的读数获得。实验对比了单路LLC不同输出电压条件下的效率实验结果如图20所示。实验结果表明,本文所提的方法对效率的提高主要体现在过谐振区,特别是在PSM模式区,效率提升了至多0.73%即降低了43.7 W损耗。这是由于所提策略将PSM切换的输出电压范围由传统的频率限制(最大频率180 kHz)得到的200~260 V拓展到200~300 V,在200~300 V范围内,通过优化计算的工作频率及移相角,达到了整体损耗的减小。实验测量的效率曲线趋势与2.2节中的计算相吻合,验证了所提策略的分析和计算的有效性。
本文提出了一种适用于三相准单级充电场景下LLC变换器的最优效率追踪与纹波抑制策略。通过对LLC变换器在PFM和PSM模式下可能出现的全部七种工作模式进行深入分析求解,得到了所需控制量,并将其前馈至线性控制器,以提高LLC变换器的动态响应能力。同时,利用PSM控制有效地拓展了输出电压的范围。在此基础上,依据时域求解结果,对准单级充电场景下的LLC损耗展开分析建模,通过对PSM模式的工作频率以及模式切换增益进行优化,实现了对任意工作状态下最优效率的追踪。为验证该策略的有效性和实用性,本文搭建了一台20 kW Vienna+LLC实验样机,验证了本文所提策略对LLC变换器动态性能的提升、纹波抑制策略在宽电压范围的有效性、PSM模式与PFM模式的平滑过渡以及所提策略相比传统方案对系统的效率提升效果。综上所述,本研究提出的调制策略在三相准单级充电场景下展现出良好性能,为新一代电动汽车快速充电技术发展提供了有效技术支撑。
图18 串联输出时在不同输出电压条件下采用本文策略的稳态工作波形
Fig.18 Steady-state experimental waveforms of the proposed strategy under different output voltages in series output
图19 输出电压由400 V缓慢变化至250 V的实验波形
Fig.19 Experimental waveforms of output voltage slowly changing from 400 V to 250 V
图20 单路LLC不同输出电压时所提策略与传统方案的效率对比
Fig.20 Efficiency comparison between the proposed strategy and the conventional scheme at different output voltages of single LLC
附 录
1. PFM模式时域方程
PO模态是一种Boost模态,出现在开关频率低于谐振频率时,其关键波形如附图1所示。
附图1 PO模态关键波形
App.Fig.1 PO mode key waveforms
1)P状态内
(A1)
2)O状态内
(A2)
在PO模态基础上,当开关频率更低或功率更大时,在半周期结束前励磁电感上的电压降低到-Vi进入N状态,其关键波形如附图2所示。
附图2 PON模态关键波形
App.Fig.2 PON mode key waveforms
PO两个状态的方程与前述PO模态方程相同,在N状态内,
有
(A3)
2. PSM模式时域方程
在NPP0模态基础上,当移相角更大时会在P0状态结束后进入三元件谐振的O0状态,其关键波形如附图3所示。
PP0两个状态的方程与NPP0模态中PP0的方程相同,在O0状态内
附图3 PP0O0模态关键波形
App.Fig.3 PP0O0 mode key waveforms
(A4)
在PP0O0模态基础上加重负载,在半周期结束前励磁电感上的电压降低到-Vi,进入N0状态,其关键波形如附图4所示。
附图4 PP0O0N0模态关键波形
App.Fig.4 PP0O0N0 mode key waveforms
此时PP0O0三个状态的方程与PP0O0模态相同,N0状态内
(A5)
在PP0O0N0模态基础上继续加重负载,三元件谐振的时间减少,即O0状态逐渐收缩,当负载功率超过一定阈值时,O0状态消失,O0状态后直接进入N0状态。附图5展示了PP0N0模式的关键波形。
附图5 PP0N0模态关键波形
App.Fig.5 PP0N0 mode key waveforms
PP0N0模态中PP0两状态的时域方程与PP0O0模态中的相同。
对于N0状态:
。
(A6)
参考文献
[1] 高辉, 彭成薇, 李炜卓, 等. 电动汽车与充电设备充电安全预警研究综述[J]. 电力系统自动化, 2024, 48(7): 47-61.
Gao Hui, Peng Chengwei, Li Weizhuo, et al. Review on early warning of charging safety for electric vehicles and charging equipment[J]. Automation of Electric Power Systems, 2024, 48(7): 47-61.
[2] 黄学良, 刘永东, 沈斐, 等. 电动汽车与电网互动:综述与展望[J]. 电力系统自动化, 2024, 48(7): 3-23.
Huang Xueliang, Liu Yongdong, Shen Fei, et al. Vehicle to grid: review and prospect[J]. Automation of Electric Power Systems, 2024, 48(7): 3-23.
[3] Wang Huai, Liserre M, Blaabjerg F. Toward reliable power electronics: challenges, design tools, and opportu- nities[J]. IEEE Industrial Electronics Magazine, 2013, 7(2): 17-26.
[4] Kacetl J, Fang Jingyang, Kacetl T, et al. Design and analysis of modular multilevel reconfigurable battery converters for variable bus voltage powertrains[J]. IEEE Transactions on Power Electronics, 2023, 38(1): 130-142.
[5] Monteiro V, Ferreira J C, Nogueiras Meléndez A A, et al. Experimental validation of a novel architecture based on a dual-stage converter for off-board fast battery chargers of electric vehicles[J]. IEEE Transactions on Vehicular Technology, 2018, 67(2): 1000-1011.
[6] Menzi D, Bortis D, Kolar J W. Three-phase two- phase-clamped Boost-Buck unity power factor rectifier employing novel variable DC link voltage input current control[C]//2018 IEEE International Power Electronics and Application Conference and Expo- sition (PEAC), Shenzhen, China, 2018: 1-8.
[7] Xu Junzhong, Soeiro T B, Wang Yong, et al. A hybrid modulation featuring two-phase clamped discon- tinuous PWM and zero voltage switching for 99% efficient DC-type EV charger[J]. IEEE Transactions on Vehicular Technology, 2022, 71(2): 1454-1465.
[8] Soeiro T B, Bauer P. Fast DC-type electric vehicle charger based on a quasi-direct Boost-Buck recti- fier[C]//2019 AEIT International Conference of Electrical and Electronic Technologies for Auto- motive (AEIT AUTOMOTIVE), Turin, Italy, 2019: 1-6.
[9] Qamar H, Qamar H, Korada N, et al. Control and performance of 240-clamped space vector PWM in three-phase grid-connected photovoltaic converters under adverse grid conditions[J]. IEEE Transactions on Industry Applications, 2022, 58(6): 7408-7420.
[10] Xu Junzhong, Soeiro T B, Yang Wu, et al. A carrier- based two-phase-clamped DPWM strategy with zero- sequence voltage injection for three-phase quasi- two-stage Buck-type rectifiers[J]. IEEE Transactions on Vehicular Technology, 2022, 37(5): 5196-5211.
[11] Zhang D, Leontaris C, Huber J, et al. optimal synergetic control of three-phase/level Boost-Buck voltage DC-link AC/DC converter for very-wide output voltage range high-efficiency EV charger[J]. IEEE Journal of Emerging and Selected Topics in Power Electronics, 2024, 12(1): 28-42.
[12] Li Yunni, Anderson J A, Haider M, et al. Optimal synergetic operation and experimental evaluation of an ultracompact GaN-based three-phase 10-kW EV charger[J]. IEEE Transactions on Transportation Electrification, 2024, 10(2): 2377-2396.
[13] 姜昊宇, 张晨, 巫彤宁. 电动汽车低频磁场人体暴露安全性研究[J]. 电气技术, 2022, 23(7): 1-6.
Jiang Haoyu, Zhang Chen, Wu Tongning. Study on the human exposure safety of low-frequency magnetic field in electric vehicles[J]. Electrical Engineering, 2022, 23(7): 1-6.
[14] 谷彦洁, 于人杰, 张岩. 基于LLC谐振变换器的开关电源优化方法综述[J/OL]. 电源学报, 1-16 [2025- 04-16]. http://kns.cnki.net/kcms/detail/12.1420.tm. 20240118.1519.002.html.
Gu Yanjie, Yu Renjie, Zhang Yan. Optimization strategy of switch mode power supply based on LLC resonant converter[J/OL]. Journal of Power Supply, 1-16 [2025-04-16]. http://kns.cnki.net/kcms/detail/12. 1420.tm.20240118.1519.002.html.
[15] 赵永秀, 刘泽伟, 王崇杰, 等. 变模态倍压型LLC谐振变换器多目标参数优化[J]. 电工技术学报, 2024, 39(22): 7139-7153.
Zhao Yongxiu, Liu Zewei, Wang Chongjie, et al. Multi objective parameter optimization of variable mode voltage doubling LLC resonant converter[J]. Transactions of China Electrotechnical Society, 2024, 39(22): 7139-7153.
[16] 张俊涛, 林国庆. 多模态超宽输出双LLC谐振变换器拓扑及控制策略[J]. 电工技术学报, 2025, 40(24): 8052-8065, 8079.
Zhang Juntao, Lin Guoqing. A variable-mode ultra- wide output voltage gain dual LLC resonant converter and control method[J]. Transactions of China Electrotechnical Society, 2025, 40(24): 8052-8065, 8079.
[17] 周国华, 邱森林, 张小兵. 宽增益高效率级联式四开关Buck-Boost LLC变换器[J]. 电工技术学报, 2024, 39(4): 1103-1115.
Zhou Guohua, Qiu Senlin, Zhang Xiaobing. Cascaded four-switch Buck-Boost LLC converter with wide gain range and high efficiency[J]. Transactions of China Electrotechnical Society, 2024, 39(4): 1103- 1115.
[18] 陈杰, 刘昌咏, 邓文明, 等. 四开关三电平半桥 LLC 变换器的控制策略与效率优化[J]. 电工技术学报, 2024, 39(24): 7833-7845.
Chen Jie Zhao, Liu Changyong, Deng Wenming, et al. Control improvement and efficiency optimization of four switch three-level half-bridge LLC converter[J]. Transactions of China Electrotechnical Society, 2024, 39(24): 7833-7845.
[19] 荣振帅, 迟迎超, 孙战, 等. 基于氮化镓的高频LLC变换器研究[J]. 电气传动, 2023, 53(2): 3-9.
Rong Zhenshuai, Chi Yingchao, Sun Zhang, et al. Research on high frequency LLC converter based on GaN[J]. Electric Drive, 2023, 53(2): 3-9.
[20] Shakib S M S I, Mekhilef S. A frequency adaptive phase shift modulation control based LLC series resonant converter for wide input voltage appli- cations[J]. IEEE Transactions on Power Electronics, 2017, 32(11): 8360-8370.
[21] Lin Jingyuan, Yueh H Y, Lin Yifeng, et al. Variable- frequency and phase-shift with synchronous recti- fication advance on-time hybrid control of LLC resonant converter for electric vehicles charger[J]. IEEE Journal of Emerging and Selected Topics in Industrial Electronics, 2023, 4(1): 348-356.
[22] 刘宝泉, 周歧浩, 韩猛. LLC谐振变换器混合调制自适应控制策略[J/OL]. 电源学报, 1-12 [2025-04- 16]. http://kns.cnki.net/kcms/detail/12.1420.tm.20240702. 1740.002.html.
Liu Baoquan, Zhou Qihao, Han Meng. LLC converter hybrid modulation adaptive control strategy[J/OL]. Journal of Power Supply, 1-12 [2025-04-16]. http:// kns.cnki.net/kcms/detail/12.1420.tm.20240702.1740.002.html.
[23] 巫春玲, 张旭鑫, 张震, 等. 基于混合控制的全桥LLC谐振变换器[J]. 电气工程学报, 2024, 19(4): 186-193.
Wu Chunling, Zhang Xuxin, Zhang Zhen, et al. Research on high frequency LLC converter based on GaN[J]. Journal of Electrical Engineering, 2024, 19(4): 186-193.
[24] Ishraq N, Dey S, Mallik A. Hybrid phase-frequency control-enabled global loss minimization of a full- bridge LLC converter under wide gain and load-range operation[C]//2022 IEEE Energy Conversion Congress and Exposition (ECCE), Detroit, MI, USA, 2022: 1-7.
[25] Xu Qingyuan, Zou Rongyan, Wen Tingting, et al. A nonlinear load current feedforward strategy for the charge-controlled LLC converter and its digital implementation to improve the dynamic response[J]. IEEE Transactions on Industrial Electronics, 2023, 70(10): 10195-10203.
[26] Choi H. Charge current control for LLC resonant converter[C]//2015 IEEE Applied Power Electronics Conference and Exposition (APEC), 2015: 1448- 1452.
[27] Hu Zhiyuan, Wang Laili, Liu Yanfei, et al. Bang- Bang charge control for LLC resonant converters[C]// 2013 IEEE Energy Conversion Congress and Expo- sition, Denver, CO, USA, 2013: 140-146.
[28] 李佳昊, 陈捷, 邵志冲, 等. LLC谐振变换器简化时域算法及其频率前馈控制[J]. 中国电机工程学报, 2025, 45(8): 3147-3160.
Li Jiahao, Chen Jie, Shao Zhichong, et al. Simplified time-domain algorithm and frequency feedforward control of LLC resonant converter[J]. Proceedings of the CSEE, 2025, 45(8): 3147-3160.
[29] 张宇鑫, 陈捷, 王简, 等. 基于简化时域模型的LLC谐振变换器同步整流在线驱动策略[J]. 电工技术学报, 2025, 40(8): 2615-2629.
Zhang Yuxin, Chen Jie, Wang Jian, et al. Syn- chronous rectifier on-line driving strategy for LLC resonant converter based on a simplified time domain model[J]. Transactions of China Electrotechnical Society, 2025, 40(8): 2615-2629.
[30] Chen Jie, Jiang Lingfeng, Gong Linxiao, et al. State plane feedforward control for LLC converter with geometric simplification[J]. IEEE Transactions on Power Electronics, 2023, 38(10): 12469-12481.
[31] Chen Jie, Xu Junzhong, Wang Yong. Seamless con- trol of full-bridge and half-bridge topology morphing LLC converter based on state plane analysis[J]. IEEE Transactions on Power Electronics, 2024, 39(1): 198-211.
[32] Chen Jie, Xu Junzhong, Zhang Yuxin, et al. Geo- metrical state-plane-based synchronous rectification scheme for LLC converter in EVs[J]. IEEE Transa- ctions on Transportation Electrification, 2024, 10(4): 10239-10252.
[33] Fang Xiang, Hu Haibing, Shen Z J, et al. Operation mode analysis and peak gain approximation of the LLC resonant converter[J]. IEEE Transactions on Power Electronics, 2012, 27(4): 1985-1995.
[34] Liu Wei, Wang Binbin, Yao Wenxi, et al. Steady-state analysis of the phase shift modulated LLC resonant converter[C]//2016 IEEE Energy Conversion Congress and Exposition (ECCE), Milwaukee, WI, USA, 2016: 1-5.
Abstract In modern three-phase quasi-single-stage charging systems for electric vehicles (EVs), the replacement of large electrolytic capacitors with compact film capacitors and the adoption of two-phase clamped discontinuous pulse-width modulation (2/3DPWM) in the front-stage AC/DC converter have significantly improved power density and reliability. However, this architecture introduces a 300 Hz six-pulse voltage ripple on the DC link, challenging the subsequent LLC resonant converter to maintain stable operation across a wide range of output voltages (200 V to 800 V) and powers. The time-varying output voltage accelerates equipment aging and degrades efficiency due to suboptimal operating points. This paper addresses these challenges through an innovative strategy combining comprehensive time-domain analysis, hybrid frequency-phase modulation, and dynamic feedforward compensation.
Time-domain characteristics of the LLC converter under operational conditions are analyzed, including pulse frequency modulation (PFM) and phase-shift modulation (PSM) modes. A novel analytical framework is developed to model seven resonant states, enabling precise characterization of voltage gain, resonant currents, and switching losses. The model identifies critical operational boundaries, such as zero-voltage switching (ZVS) conditions and mode transitions. The model integrates detailed loss calculations for MOSFETs, diodes, and magnetic components, thereby quantifying energy dissipation under real-world conditions and guiding the design of efficient control algorithms.
To address the conflicting demands of wide voltage regulation and high efficiency, a dual-mode hybrid control strategy is proposed. For mid-to-high voltage ranges, PFM maintains ZVS and efficiency by operating above the resonant frequency. In instances where the gain falls below a certain threshold, the utilization of PSM becomes imperative. This approach entails dynamically adjusting the optimal frequency to achieve balanced management of switching and conduction losses. A hysteresis-based algorithm ensures seamless mode transitions without transient oscillations.
A time-domain feedforward control is implemented to suppress output voltage ripple. Real-time estimation of voltage gain (M) and quality factor (Q) from input/output measurements enables the derivation of pre- computed frequency/phase shift commands using look-up tables (LUTs) generated from time-domain analysis. These commands are combined with PI controllers to compensate for voltage variations, resulting in a 64% reduction in transient response time for PFM and a 93% reduction for PSM compared to conventional methods. The effectiveness and reliability of the control are demonstrated at different operating points, as well as in arbitrary operating modes. Efficiency optimization is achieved through a loss-minimization algorithm that uses a 3D efficiency map integrating voltage gain, quality factor, and switching frequency. This map enables real-time selection of the most efficient mode and frequency, ensuring transitions occur where PSM efficiency exceeds PFM. In PSM mode, an optimized switching frequency is adjusted to minimize losses by reducing the RMS conducting current, resulting in a 0.72% efficiency improvement at 200 V compared to fixed-frequency PSM.
A 20 kW Vienna+LLC prototype has been constructed. The system achieves >80% ripple rejection under a range of operating conditions, thereby reducing the output voltage ripple from 42 V (in conventional PI) to 7 V. Furthermore, dynamic performance is improved by more than 60% under different load conditions (constant resistance and constant current). Overshoots are kept within ±1% of the reference value. A peak efficiency of 96.2% is achieved for 400 V/5 kW, and a 0.72% improvement is observed for 200 V/5 kW compared to state-of-the-art hybrid control. The prototype exhibits seamless functionality in both parallel (200 V to 400 V) and series (400 V to 800 V) configurations.
In this paper, an optimized control strategy for LLC converters is proposed to provide a compact, reliable, and efficient solution for three-phase quasi-single-stage charging systems. This solution integrates full-modal time-domain analysis, hybrid modulation, and dynamic feedforward compensation, combining wide-ranging voltage regulation, fast transient response, and real-time efficiency optimization.
Keywords:Three phase quasi-stage AC-DC converter, frequency-phase hybrid control, loss analysis, ripple suppression
中图分类号:TM464
DOI: 10.19595/j.cnki.1000-6753.tces.250302
国家自然科学基金青年科学基金资助项目(52407216)。
收稿日期 2025-02-26
改稿日期 2025-03-26
石稀元 男,2002年生,硕士研究生,研究方向为LLC变换器的分析与控制优化。
E-mail: royshi2002@sjtu.edu.cn
徐军忠 男,1994年生,副教授,研究方向为功率变换器的高级控制和调制。
E-mail: junzhongxu@sjtu.edu.cn(通信作者)
(编辑 陈 诚)