摘要 三电平混合有源中点钳位型(3L-HANPC)变换器凭借高效率、高功率密度及成本适中等优势,成为能源变换系统中最受青睐的能源转换接口设备。然而,变换器作为系统薄弱环节,其运行可靠性往往受到开关故障制约。目前,对于三电平变换器而言,最具性价比的开关级容错方案是配置共享冗余单元,但其仅面向T型变换器结构且正常态时处于静默状态。因此,为解决共享冗余单元在3L-HANPC变换器应用中适用性与利用率差的问题,该文提出基于冗余全控器件功能复用的容错型3L-HANPC变换器拓扑及其运行方法。正常态时,冗余全控器件可工作于纹波抑制模式,实现变换器高调制度、低功率因数工况下直流分裂电容电压纹波的抑制;故障态时,冗余全控器件工作于故障桥臂共享模式,实现跨相位多桥臂故障开关的容错管控。该文详细阐述了容错型3L-HANPC拓扑结构、工作原理与控制策略。实验结果验证了所提拓扑结构与运行方法的正确性与有效性。
关键词:开关故障 容错型3L-HANPC变换器 冗余全控器件 功能复用 运行方法
Si与SiC器件组建的三电平混合有源中点钳位型(Three-Level Hybrid Active Neutral Point Clamped, 3L-HANPC)变换器具备输出谐波含量低、效率高、成本适中等优势,在新能源高效、高质量转换领域具有良好的应用前景[1-3]。然而,变换器所处运行环境恶劣,往往是能源转换系统中较为薄弱的环节,其可靠性主要受开关故障的影响[4-5]。开关故障分为短路与开路两种类型。短路故障瞬时破坏性强,通常采用硬件电路保护;而开路故障潜伏性较强,不会立即导致设备损坏,但设备若长时间处于异常工作状态,易引发系统二次故障[6-8]。因此,针对3L-HANPC开展器件开路故障容错方法研究具有重用应用价值,其可有效避免系统二次故障,降低运维成本,提高装置可靠性。
现有面向器件开路故障的三电平变换器容错方法可扩展应用于3L-HANPC变换器。这些方法分为硬件冗余法与软件控制法两类。软件控制法经济性较好,无需额外的组件,仅通过改进调制方法,即可实现开关级的容错控制[9-16]。它可以通过下面两种方式实现:一种方式是基于脉冲面积等效原理,重新设计矢量序列,替换由故障引起的失效开关状态,实现参考电压矢量的重新合成[9-12];另一种方式是基于载波脉宽调制方法,在参考电压中注入零序电压并绕过含故障开关的支路,从而维持变换器输出线电压平衡,保证三相输出电流平衡[13-16]。
虽然软件控制法能够有效调控故障下逆变器输出线电压,维持功率不间断传输,但在外管故障时,该方法将导致输出电压幅值的降低,无法保障变换器额定容错运行。针对该问题,一些硬件冗余法被提出,此类方案通过增设额外的组件替换故障开关,激活关键开关状态以保障额定的输出电压幅值,例如,添加冗余桥臂[17]或冗余单元[18]。不同于上述硬件方案思路,文献[19-20]利用三电平升压电路提升故障时直流侧电压来补偿降低的输出电压幅值,但却带来变换器开关与电容电压应力增加的问题。此外,文献[21]将双向晶闸管配置于变换器输出端口与分裂电容中点之间,用于将故障桥臂的电位钳位至中性点,但此方案同样会导致变换器输出电压幅值降低。
上述硬件型方案从经济性与容错范围相比较而言,文献[18]所提面向T型逆变器的跨相位共享冗余单元属于最佳方案,其仅用两个全控器件就实现了多桥臂开关故障的容错管理。因此,它是3L-HANPC变换器可供选择的最佳冗余配置结构。然而,此类冗余单元与变流器模块在装置正常态运行时相对独立,各元器件功能复用较少,利用率有待进一步提高。同时,由于拓扑的差异性,缺乏相应的容错管理策略支持冗余单元在3L-HANPC变换器中进行跨相位多桥臂共享,其适用性弱。本文研究发现半桥纹波抑制电路[22]与共享冗余单元具有一定的相似性,有望通过改进电路结构,实现全控器件的功能复用,提升其利用率。此外,现有面向三电平变换器的半桥纹波抑制电路采用基于虚拟输出阻抗的直流电压纹波抑制策略[23]。然而,该控制策略回路需要复杂且精细的参数设计,从而增加了工程实现的难度,不利于实际应用。
鉴于此,为进一步提升共享冗余单元中全控器件利用率和其在3L-HANPC变换器中的适用性,本文充分挖掘半桥纹波抑制电路与共享冗余单元在拓扑上的共性,通过改进冗余单元并对其接线方式进行重构,提出基于冗余全控器件功能复用的容错型三电平混合有源钳位型(Fault-Tolerant 3L-HANPC, FT-3L-HANPC)变换器拓扑与运行方法。首先,介绍所提FT-3L-HANPC变换器拓扑与工作原理。正常态时,冗余全控器件运行于纹波抑制模式;故障态时,冗余全控器件运行于故障桥臂共享模式。其次,分别提出了面向FT-3L-HANPC正常态与故障态的控制策略。最后,通过实验验证了所提电路拓扑与控制策略的正确性与有效性。
FT-3L-HANPC变换器拓扑结构如图1所示。其主电路包括三相桥臂、直流侧分裂稳压电容C1、C2与滤波电感Lfx(x=a, b, c)。每相桥臂由高频工作开关管Mxi(i=1, 2, 3, 4)、低频工作开关管Sxj(j=1, 2)和二极管VDmxi、VDxj所组成。外侧开关管Mx1、Mx4与钳位开关管Mx2、Mx3为SiC-MOSFET,内侧开关管Sx1、Sx2为Si-IGBT。
图1 FT-3L-HANPC变换器拓扑结构
Fig.1 Topology of FT-3L-HANPC converters
为实现HANPC变换器多开关故障容错运行,在主电路基础上增设共享冗余单元。共享冗余单元包括上备用桥臂与下备用桥臂。冗余开关VT1通过对应晶闸管与各相上钳位开关Mx2漏极相连,构成上备用桥臂;冗余开关VT2通过对应晶闸管与各相下钳位开关Mx3源极相连构成下备用桥臂。此外,电感Lw与继电器K1相连,被配置在节点V与O之间;继电器K2被配置在节点V与Y之间。图1中,up与un分别为电容C1、C2电压,Udc为直流侧电压;iw为电感Lw中电流,inp为中线电流。
正常态时,冗余全控器件VT1与VT2可工作于纹波抑制模式;故障态时,冗余全控器件VT1与VT2工作于故障桥臂共享模式。本节将对这两种工作模式进行阐述。
1.2.1 正常态运行模式
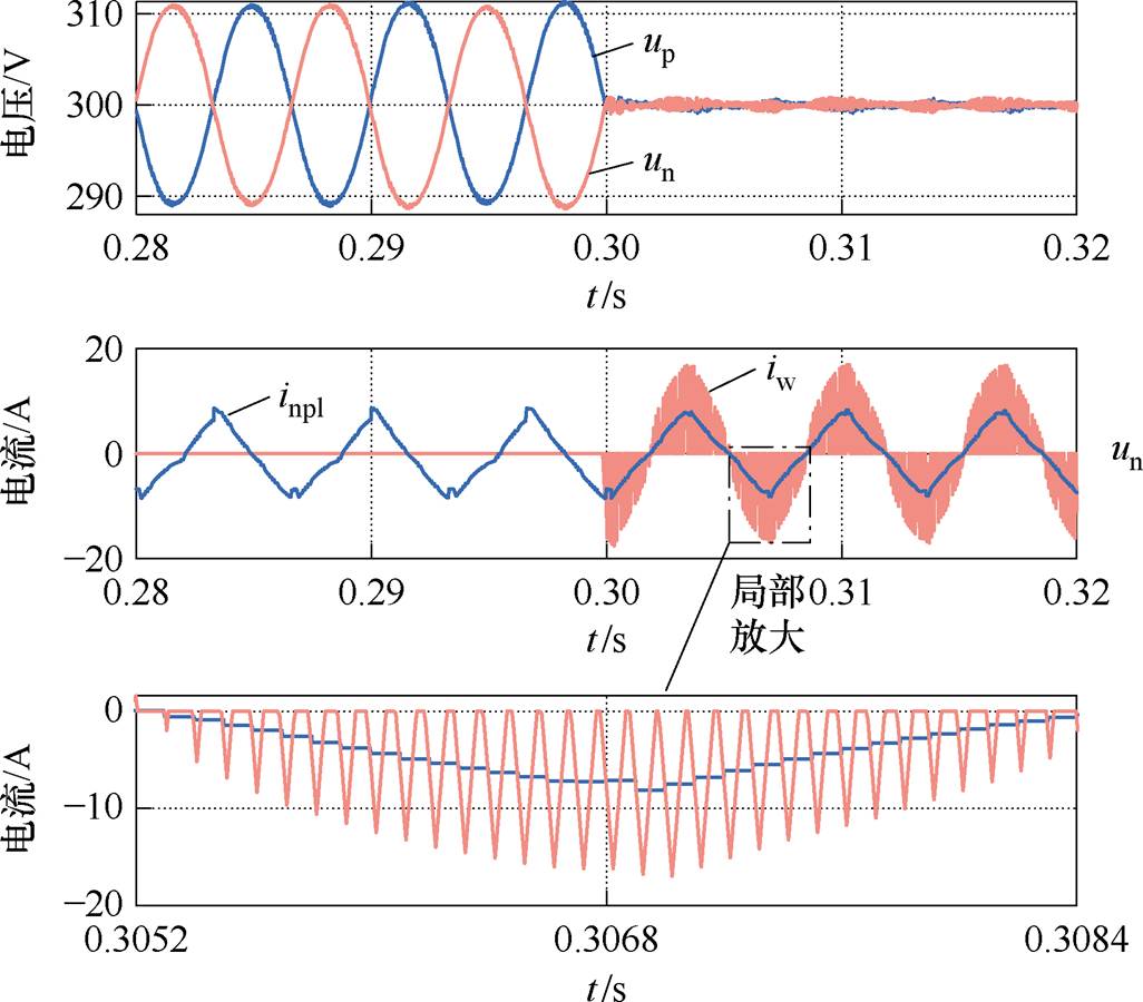
正常运行时,所有晶闸管处于关断状态,继电器K处于导通状态,共享冗余全控器件VT1、VT2与电感Lw组成半桥纹波抑制单元,对中线电流inp中的主要低频谐波电流进行补偿,进而降低直流侧分裂电容电压纹波幅值。基于此,设计半桥纹波抑制单元运行于断续或临界导通模式,使电感Lw中电流iw的开关周期平均值等于中线电流的低频成分inpl,即可实现对直流电压纹波的调控,如图2所示。可见,0.3 s半桥纹波抑制单元被激活,直流电压纹波很好地被抑制。
三电平空间矢量调制策略利用率高,能灵活地实现不同控制目标,在三电平逆变器中广泛应用。FT-3L-HANPC变换器主电路采用经典三电平七段式空间矢量调制策略,其参考电压矢量的合成符合最近三矢量原则[24],如图3所示,其中[UVW] (U, V, W=P, N, O)表示基本电压矢量,UL0、UM与US0分别表示基本电压大矢量、中矢量与小矢量,Uref表示参考电压矢量。基于此,并根据基于载波的空间矢量调制原理[25],得到等效调制波与主电路的开关序列如图4所示。Mx1与Mx2门控指令互补,Mx3与Mx4门控指令互补,Sx1与Sx2门控指令互补。调制波的正半周期,Sx1与Mx3门控指令处于高电平;调制波的负半周期,Sx1与Mx1门控指令处于低电平。
图2 直流电压纹波抑制原理
Fig.2 Principles of DC-link voltage ripple suppression
图3 三电平空间矢量分布及最近三矢量合成
Fig.3 Distribution of voltage vectors and the synthesis of nearest three vector
1.2.2 故障态运行模式
故障态运行时,继电器K1与K2处于关断状态,FT-3L-HANPC变换器可根据需求配置[O]状态,其两种故障冗余开关状态见表1,均用于输出0电平。由图1可知,当冗余开关VT1与VT2同时投入时,各相桥臂相应[O]状态会被禁止,否则会造成桥臂直通。为保障容错运行的可靠性,FT-3L-HANPC变换器需遵循以下准则:①为防止直流侧电容短路,冗余开关VT1工作时,各相[OU]状态禁止使用;冗余开关VT2工作时,各相[OL]状态禁止使用。②禁用的开关状态需用其冗余开关状态替换,若替换的开关状态违背准则①,则此相桥臂此时段工作于两电平调制模式。
图4 主电路开关序列
Fig.4 The switching sequence for main circuit
表1 故障下的[O]状态开关序列
Tab.1 Switch sequence of [O] under fault conditions
开关状态开关序列输出电压 Mx1Mx2Mx3Mx4Sx1Sx2 [OU]0100100 [OL]0010010
为方便理解,本小节以六外管同时开路情况为例进行说明。基于上述运行准则,得到FT-3L- HANPC变换器故障情况下空间矢量分布如图5所示。可见,相比于正常运行时,低调制比区域RL(图中蓝色网格区域),矢量未受故障影响,可按已有三电平空间矢量调制[23];高调制比区域RH(图中红色网格区域),中矢量缺失,为实现容错运行,需要重新设计调制策略,具体将在第2.2节中介绍。
图5 全外管故障下空间矢量分布
Fig.5 Vector distribution for the FT-3L-HANPC converter under open-circuit faults at all outer-switches
图6展现了图5中所示第Ⅰ扇区电压矢量[ONN]与[PPO]所对应电路模态,其中导通开关为黑色,关断开关标记为灰色。当Ma2、Sa1导通,交流侧A端连接至直流侧O端;VT2、VTb2、Sb2导通,交流侧B端连接至直流测N端;VT2、VTc2、Sc2导通,交流侧C端连接至直流测N端;此时,可获得电压矢量[ONN],如图6a所示。类似地,也可获得矢量[PPO],其对应的电路模态如图6b所示。由图6可知,冗余全控器件VT1与VT2至多同时被两相桥臂共享。而冗余全控器件被共享时,其导通电流为相电流,例如[ONN]对应电路模态下,流过VT2的电流为ib+ic,其值为-ia。因此,共享冗余全控器件承受的电流应力不会增加,与主桥臂开关一致。上述未提及矢量对应的电路模态与上述情况类似,在此不再赘述。
图6 典型矢量下的容错电路模态
Fig.6 Fault-tolerant circuit modes for typical vectors
FT-3L-HANPC变换器在高可靠需求的电能变换场合中具有重要应用价值。有效的调控策略对于保障该装置正常态与故障态的稳定连续运行至关重要。本节将围绕正常态电压纹波抑制策略与故障态容错控制策略展开探讨。
将FT-3L-HANPC变换器中与半桥纹波抑制单元相关联的回路提取出来,其等效电路可以分解为上Buck电路与下Buck电路,两个电路共用直流源udc与电感Lw,如图7所示。根据输出补偿电流iw的正负,电压纹波抑制电路分为上Buck电路运行模式(电流正半周)与下Buck电路运行模式(电流负半周),具体如下所述。
图7 半桥纹波抑制单元等效运行电路
Fig.7 The equivalent operatiing circuit for half-bridge ripple suppression unit
上Buck电路运行模式:
(1)模态Ⅰ:VT1导通,VT2关断,直流源udc向电感Lw与C2充电,电感Lw电流iw正向线性增加,变化斜率为(udc-un)/Lw。
(2)模态Ⅱ:VT1关断,VT2关断,电感Lw释放能量,电流iw通过二极管VD1续流,正向线性减小,变化斜率为un/Lw。
下Buck电路运行模式:
(1)模态Ⅰ:VT1关断,VT2导通,直流源udc向电感Lw与C1充电,电感Lw电流iw反向线性增加,变化斜率为(udc-un)/Lw。
(2)模态Ⅱ:VT1关断,VT2关断,电感Lw释放能量,电流iw通过二极管VD2续流,反向线性减小,变化斜率为un/Lw。
iw>0,半桥纹波抑制单元工作于上Buck电路模式,其开关周期内电感电流波形如图8a所示,可得此模式下电流峰值为
(1)

图8 开关周期内电感Lw中电流波形
Fig.8 The current waveform of Lw during switching cycle
式中,Ton_VT1与Toff_VT1分别为VT1的导通与关断时间。
为实现正常运行时分裂电容电压纹波抑制,中线低频谐波电流inpl等于开关周期内Lw上的平均电流imref,故可得
(2)
式中,TVRSU为冗余器件开关周期。
联立式(1)与式(2),可以得到上Buck电路运行模式下VT1占空比为
(3)
同理,依据图8b下Buck电路开关周期内电感电流,可以得到下Buck电路运行模式下VT2占空比为
(4)
同时,为避免使用电流传感器获得中线电流中的低频分量inpl,节省硬件成本,inpl可由式(5)估计获得[26]。
(5)
式中,DM与DS分别为参与合成参考电压的中矢量与小矢量占空比;inpm与inps分别为对应中矢量与小矢量相关联的中线电流。
此外,为保障变换器的正常工作,还需维持上下分裂电容电压的平衡,故在上述占空比控制(电流开环)的基础上加入电压外环控制。图9给出了直流侧电压纹波抑制策略的控制框图。电流参考值imref由式(2)计算值与电容电压PI反馈控制值相加得到。当imref≥0时,半桥纹波抑制单元运行于上Buck模式,VT1占空比由式(3)计算得到;同理,imref<0,其运行于下Buck模式,VT2占空比由式(4)计算得到。
图9 直流侧电压纹波抑制控制框图
Fig.9 The control block diagram for DC-link voltage ripple suppression
基于1.2节分析可知,当FT-3L-HANPC变换器外管发生开路故障时,高调制比区域相应扇区的中矢量被禁用,否则桥臂会面临直通的风险。因此,传统空间矢量策略失效,需要重构空间矢量序列。本节依然选取六外管同时开路的情况进行分析,相应解析方法可扩展至其他故障场景。矢量设计主要遵循以下原则:①选用最近矢量合成参考电压以减小输出谐波;②矢量选择确保开关状态在开关周期内只能一次开或关,以减小开关损耗;③矢量安排须确保中点电位的平衡。
基于原则①,第一扇区RH区域,参考电压矢量Uref由矢量[PPO]、[ONN]、[PPN]、[PNN]合成;基于原则②,所设计六个扇区矢量序列及与中点电流关联的小矢量见表2。从表2中看出,每个大扇区内,总有一相运行于两电平状态,其他两相运行三电平状态。其中,扇区Ⅰ、Ⅳ内B相运行于两电平模式,扇区Ⅱ、Ⅴ内A相运行于两电平模式,扇区Ⅲ、Ⅵ内C相运行于两电平模式。同时,可以注意到装置单位功率因数运行时,同一扇区内对中点电位有影响的矢量所对应的中点电流,存在符号相反的区域,如图10a所示。因此通过合理设计序列中小矢量的占空比可以调节中点电压,此情况下符合原则③。
表2 所设计矢量序列及与中点电流关联的小矢量
Tab.2 The designed vector sequence and the small vectors associated with the neutral-point current
扇区矢量序列小矢量中点电流 ⅠONN-PNN-PPN-PPO-PPN-PNN-ONNONNia PPOic ⅡNON-NPN-PPN-PPO-PPN-NPN-NONNONib PPOic ⅢNON-NPN-NPP-OPP-NPP-NPN-NONNONib OPPia ⅣNNO-NNP-NPP-OPP-NPP-NNP-NNONNOic OPPia ⅤNNO-NNP-PNP-POP-PNP-NNP-NNONNOic POPib ⅥONN-PNN-PNP-POP-PNP-PNN-ONNONNia POPib
图10 不同功率因数下FT-3L-HANPC变换器输出电流
Fig.10 Output currents of the FT-3L-HANPC under different power factors
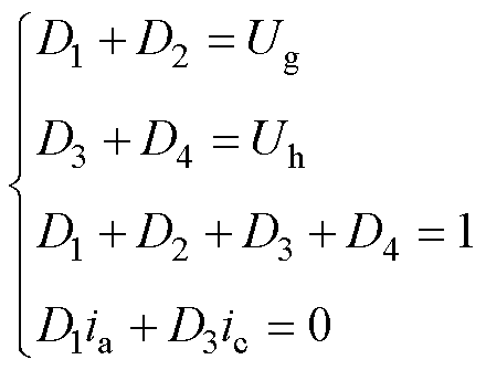
由于三电平空间矢量分布的对称性,下面将以第Ⅰ大扇区为例,介绍相应矢量占空比的计算,其他扇区与第一扇区情况类似,不再详述。参考电压位于第Ⅰ扇区的矢量合成如图11所示,其中,各矢量的占空比及归一化坐标被相应标记在图11中。根据伏秒平衡原理并考虑中点电压平衡控制,可列写方程
(6)
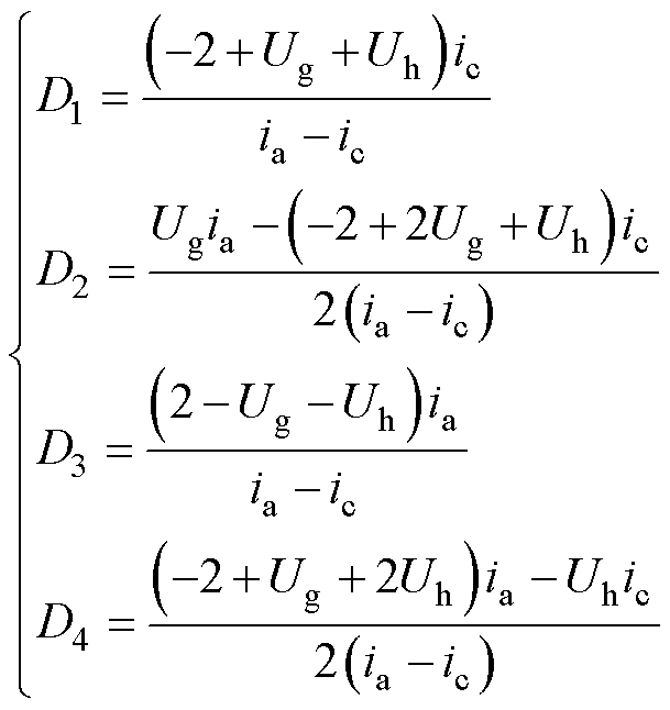
式中,D1、D2、D3与D4分别为矢量[ONN]、[PNN]、[PPO]与[PPN]占空比;Ug与Uh为参考电压矢量Uref的坐标。
求解式(6),得到
图11 第Ⅰ扇区参考电压的矢量合成
Fig.11 Vector synthesis for sector Ⅰ
(7)
此外,从图11b可知,随着功率因数的变化,第1扇区内矢量序列中两个矢量对应中点电流会出现符号相同的区域。因此,式(6)中方程D1ia+D3ic=0无解,这表明此区域内所设计矢量序列失效。因此,为保证全区域的容错运行,需要明确所设计矢量序列的工作域,并在其失效区域采用其他调制策略,这些内容将在下面展开叙述。
值得注意得是,所设计矢量的占空比在某些区域并不能满足{D1&D2&D3&D4}Î[0, 1],因此所提四矢量序列并不能覆盖整个第Ⅰ扇区。下面将推导矢量占空比和参考电压相位q、调制度m、功率因数l之间关系,并刻画四矢量序列的工作域。
参考电压矢量坐标可进一步表示为
(8)
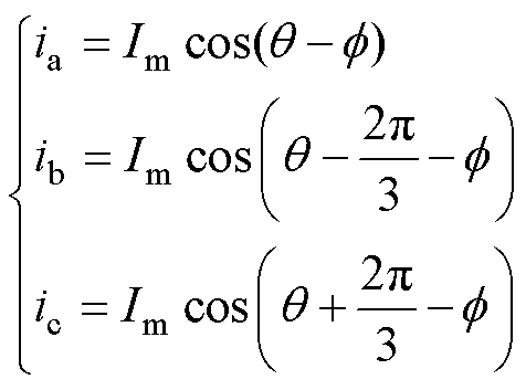
逆变器输出电流可表示为
(9)
式中,Im为电流幅值;f为功率因数角。考虑一般变换器向电网或负载提供有功功率与感性无功功率,则fÎ[0, 90°]。
一般来说,变换器调制度m是固定的,根据实验设置参数,此处取m=0.83。此情况下,联立式(7)、式(8)与式(9)可刻画各矢量工作域,如图12所示,其中,图12a~图12d分别对应矢量[ONN]、[PNN]、[PPO]和[PPN]的占空比变化情况。三维图中紫色面为垂直渐近面,表示占空比趋近于正无穷或负无穷的临界边界,此面的占空比超出正常工作范围(即不满足0<Di<1条件
,故不具备实际控制意义。渐变色彩曲面所覆盖区域为各矢量占空比满足0<Di<1的有效区域Rf。对应俯视图中,彩色区域亦表示该有效区域。相对地,俯视图中的空白区域表示占空比超出有效范围,即Di<0∪Di>1,定义为矢量无效工作区域Re。从图12中可知,[ONN]占空比D1、[PNN]占空比D2、[PPO]占空比D3、[PPN]占空比D4在第Ⅰ扇区全功率因数范围内均存在区域Re,表明所设计矢量并不是在全工作域内有效。为进一步明晰设计矢量序列的有效区域,基于图12取各矢量的共同有效工作区间,得到所设计矢量调制策略的可行域,如图13所示。其中,空白区域为策略失效域Rdis,蓝色阴影区域为策略可行域Reff。可见,当功率因数lÎ[lcl, 1],所设计矢量策略工作域几乎不受影响;而功率因数lÎ[0, lcl],所设计矢量策略工作域开始随着l的减小而缩减。
图12 扇区Ⅰ内不同矢量的占空比
Fig.12 Duty ratio of different vectors in sector Ⅰ
图13 所设计矢量调制策略可行域
Fig.13 Feasible region of designed vector sequence
综上所述,为实现全区域的容错运行,区域Rdis(即图13中白色区域)需采用其他策略进行调制。由于全区域两电平策略,不会对中点电位造成影响。因此,考虑到开关周期内的中点平衡问题,区域Rdis内均采用两电平调制策略。
为验证本文所提电路拓扑与控制策略的正确性与有效性,搭建了如图14所示的FT-3L-HANPC变换器实验样机,其中Si IGBTs、SiC MOSFETs与晶闸管采用的型号分别是IKW50N60DTP、NTH4L045N065SC1与S6055M,系统参数详见表3,其中,负载箱中的电阻与电抗是并联形式。本文开展了两组实验测试;装置正常态纹波抑制实验与故障态容错运行实验。实验图中,ia、ib与ic分别为变换器输出A相、B相与C相电流;uao、ubo与uco分别为变换器输出A相、B相与C相电压;3F-2LR表示两电平调制区域(即所设计矢量策略失效域),此区域内,三相电压电平在Udc/2与-Udc/2之间切换。
图14 FT-3L-HANPC变换器实验平台
Fig.14 Experimental prototype for FT-3L-HANPC converters
表3 实验参数
Tab.3 Experimental parameters
参 数数 值 直流电压Udc/V600 直流电容C1, C2/mF330 交流侧电感Lfx/mH6 直流侧电感Lw/mH0.8 开关频率fs/kHz10 阻性负载R/W48 阻抗Z1 (R1, L1)48 W, 103 mH 阻抗Z2 (R2, L2)484 W, 103 mH 阻抗Z3 (R3, L3)48 W, 308 mH 阻抗Z4 (R4, L4)48 W, 77 mH
图15所示为FT-3L-HANPC正常态运行实验波形。可见,在高调制度较低功率因数情况下,变换器分裂电容上下电压up、un含有明显的三次纹波。在所提正常态纹波抑制方案实施后,5 ms内直流电压纹波得到快速抑制,纹波幅值降低80%以上。因此,所提正常态纹波抑制方案具有对直流侧电压较好的动态调控性能。从直流侧电感电流iw来看,正常态冗余全控器件所构成的半桥纹波抑制单元运行在断续导通模式或临界导通模式。值得注意的是,由于实验是在低功率样机上进行测试,受到实验条件的限制,其输出电流有限,较低功率因数情况下,所观察到高调制度变换器分裂电容电压纹波相对较小。若在大功率样机上进行测试,此现象将尤为明显,所观测到纹波抑制效果亦将更为突出。

图15 正常态变换器直流电压纹波抑制实验结果
Fig.15 Experimental results for DC-link voltage ripple suppression of the converter
图16所示全外管故障时,FT-3L-HANPC变换器在高调制区域内不同功率因数条件下的实验波形。可见,故障下三相输出电流与电压为零,这意味着变换器无法输送功率。容错控制策略实施后,电流恢复到三相对称平衡的状态,输出电压呈现为包含二电平PWM波形与三电平PWM波形的混合电平形式。此外,由图16a~图16c可知,一个周期内3F-2LR出现6次,在l=0.89下的3F-2LR宽度与其在l=1下的相当,而在l=0.45下的宽度几乎是l=1时的两倍。这表明当功率因数较低时,所设计矢量策略可行域降低,失效域增加。
图17所示为不同故障工况下变换器容错运行的实验波形。可见,故障下变换器输出脉宽电压不能被正常合成,导致输出电流产生严重畸变。容错控制策略实施后,电流波形得到了极大改善。值得注意的是,当故障发生在(Ma1、Mb1、Mc1)或(Ma1、Ma2、Ma3、Ma4)时,FT-3L-HANPC可以全区域内维持三电平容错运行;而故障发生在(Ma1、Ma4、Mb1、Mc4)时,它只能在扇区Ⅳ、Ⅴ、Ⅵ内维持三电平运行。此外,为验证所提容错策略有较好的中点电位管控能力,设置初始值上下分裂电容电压大约偏差为35 V的容错启动实验,全外管故障下直流分裂电容电压调控实验结果如图18所示。可见,采用所提容错策略分裂电容电压可以很好地控制在300 V且没有明显的直流偏置与波动,表明所提容错策略可以较好地平衡直流分裂电容电压。

图16 全外管故障时变换器在高调制区域内不同功率因数条件下的实验结果
Fig.16 Experimental results for the converter under different power factor conditions in the high modulation region when the open-circuit fault occurs in all outer-switches
图17 不同故障工况下的变换器容错运行实验结果
Fig.17 Experimental results for fault-tolerant operation of the converter under different fault conditions
图18 全外管故障下直流分裂电容电压调控实验结果
Fig.18 Experimental results for voltage regulation of DC split capacitor under open-circuit faults at all outer switches
本文在三电平HANPC变换器与共享冗余单元的基础上,融合设计了基于冗余全控器件功能复用的容错型三电平HANPC拓扑与运行方法,并进行了实验验证。主要结论如下:
1)正常态时,冗余全控器件运行于纹波抑制模式,通过补偿中点电流中的低频谐波,增强了变换器在高调制度、低功率因数工况下的直流电压纹波调控能力,其中,电压纹波降低80%以上。
2)故障态时,冗余全控器件运行于故障桥臂共享模式,通过实施所提容错控制策略,实现了冗余全控器件被故障桥臂跨相位共享,并在不降低输出电压幅值的情况下管理多桥臂外管开路故障。
综上所述,所提方案实现了共享冗余单元内全控器件的功能复用,有效提高了器件利用率,提升了方案应用性价比。所提容错型三电平HANPC拓扑在光伏发电和电力驱动系统等可靠性要求较高的场景中具有良好的推广价值。它可以在一定程度上避免因开关故障而造成的重大经济损失与安全事故。此外,正常态直流电压纹波抑制与故障容错控制在控制逻辑上相互独立,在控制结构设计中均未引入额外复杂调节环节或反馈路径,对系统的动态响应速度无明显影响且不会显著增加控制系统设计的复杂程度。
参考文献
[1] 李锦, 党恩帅, 范雨顺, 等. 一种碳化硅与硅器件混合型三电平有源中点钳位零电压转换软开关变流器[J]. 电工技术学报, 2024, 39(8): 2496-2510.
Li Jin, Dang Enshuai, Fan Yushun, et al. A hybrid three-level active-neutral-point-clamped zero-voltage transition soft-switching converter with silicon carbide and silicon devices[J]. Transactions of China Electrotechnical Society, 2024, 39(8): 2496-2510.
[2] 刘伟志. 基于SiC器件的三电平ANPC牵引变流器损耗分析[J]. 电气传动, 2023, 53(2): 16-23.
Liu Weizhi. Design and loss analysis of three-level ANPC topology based on SiC device in traction drive system[J]. Electric Drive, 2023, 53(2): 16-23.
[3] 李锦, 焦娜娜, 黄敏超, 等. 不同PWM调制方式下器件混合型三电平变流器EMI特性研究[J]. 电源学报, 2025, 23(5): 306-315.
Li jin, Jiao Nana, Huang Minchao, et al. Research on EMI characteristics of three-level converter with hybrid devices in different PWM modes[J]. Journal of Power Supply, 2025, 23(5): 306-315.
[4] 许水清, 许晓凡, 何怡刚, 等. 基于自适应滑模观测器的中点钳位型三电平并网逆变器开关管和电流传感器故障诊断[J]. 电工技术学报, 2024, 39(13): 4066-4078.
Xu Shuiqing, Xu Xiaofan, He Yigang, et al. A diagnosis method for power switch and current sensor faults in grid-connected three-level neutral-point clamped inverters based on adaptive sliding mode observer[J]. Transactions of China Electrotechnical Society, 2024, 39(13): 4066-4078.
[5] 赵楠, 郑泽东, 刘建伟, 等. 级联H桥变换器IGBT开路故障分析与冗余方法研究[J]. 电工技术学报, 2023, 38(6): 1608-1619.
Zhao Nan, Zheng Zedong, Liu Jianwei, et al. IGBT open-circuit fault analysis and fault-tolerant method for cascaded H-bridge converter[J]. Transactions of China Electrotechnical Society, 2023, 38(6): 1608- 1619.
[6] 翟道宇, 孙燕楠. 基于卷积神经网络和格拉姆角差场的四象限脉冲整流器故障诊断方法[J]. 电气技术, 2025, 26(1): 23-32.
Zhai Daoyu, Sun Yannan. Fault diagnosis for four- quadrant pulse rectifiers based on convolutional neural network and Gramian angular difference field[J]. Electrical Engineering, 2025, 26(1): 23-32.
[7] 陈超波, 代佳伟, 孙天誉, 等. 面向残差评价的中点钳位型逆变器开路故障诊断方法[J]. 电工技术学报, 2024, 39(21): 6877-6895.
Chen Chaobo, Dai jiawei, Sun Tianyu, et al. NPC type inverter open circuit fault diagnosis method based on residual performance evaluation[J]. Transactions of China Electrotechnical Society, 2024, 39(21): 6877- 6895.
[8] 管硕, 马建军, 朱淼, 等. 计及二次侧开关开路故障的半有源桥变换器多模式容错运行策略[J]. 电工技术学报, 2024, 39(6): 1843-1858.
Guan Shuo, Ma Jianjun, Zhu Miao, et al. Multi-mode fault-tolerant operation strategy of semi-dual active bridge converter considering open circuit fault of the secondary side switch[J]. Transactions of China Electrotechnical Society, 2024, 39(6): 1843-1858.
[9] Choi U M, Blaabjerg F, Lee K B. Reliability improvement of a T-type three-level inverter with fault-tolerant control strategy[J]. IEEE Transactions on Power Electronics, 2015, 30(5): 2660-2673.
[10] Lee J S, Choi U M, Lee K B. Comparison of tolerance controls for open-switch fault in a grid-connected T-type rectifier[J]. IEEE Transactions on Power Electronics, 2015, 30(10): 5810-5820.
[11] Chen Jie, Zhang Chenghui, Chen Alian, et al. Fault- tolerant control strategies for T-type three-level inver- ters considering neutral-point voltage oscillations[J]. IEEE Transactions on Industrial Electronics, 2019, 66(4): 2837-2846.
[12] Guan Bo, Liu Zhenhua. Hybrid modulation strategy with neutral point potential balance of T-type three- level converter under switch open-circuit fault[J]. IEEE Transactions on Industrial Electronics, 2022, 69(11): 10797-10806.
[13] Azer P, Ouni S, Narimani M. A novel fault-tolerant technique for active-neutral-point-clamped inverter using carrier-based PWM[J]. IEEE Transactions on Industrial Electronics, 2020, 67(3): 1792-1803.
[14] Halabi L M, Alsofyani I M, Lee K B. Multi open-/ short-circuit fault-tolerance using modified SVM technique for three-level HANPC converters[J]. IEEE Transactions on Power Electronics, 2021, 36(12): 13621-13633.
[15] Chen Jie, Zhang Chenghui, Xing Xiangyang, et al. A fault-tolerant control strategy for T-type three-level rectifier with neutral point voltage balance and loss reduction[J]. IEEE Transactions on Power Electronics, 2020, 35(7): 7492-7505.
[16] Wu Mingzhe, Pang Jupeng, Ma Zunmin, et al. A unified fault tolerant control and neutral-point voltage balance strategy for three-level T-type inverters under double signal PWM[J]. IEEE Transactions on Power Electronics, 2024, 39(11): 14204-14215.
[17] Katebi R, He Jiangbiao, Weise N. An advanced three- level active neutral-point-clamped converter with improved fault-tolerant capabilities[J]. IEEE Transa- ctions on Power Electronics, 2018, 33(8): 6897- 6909.
[18] Wang Borong, Li Zhan, Bai Zhihong, et al. A redundant unit to form T-type three-level inverters tolerant of IGBT open-circuit faults in multiple legs[J]. IEEE Transactions on Power Electronics, 2020, 35(1): 924-939.
[19] Do D T, Tran V T, Nguyen M K, et al. Fault tolerant control methods for three-level Boost T-type inver- ter[J]. IEEE Transactions on Industrial Electronics, 2023, 70(6): 5463-5473.
[20] Do D T, Tran V T, Le H G, et al. Fault-tolerant methods for three-level Boost T-type inverter with capacitor voltage reduction[J]. IEEE Transactions on Industrial Electronics, 2024, 71(9): 10739-10749.
[21] Deng Qingli, Ge Xinglai, Lin Chunxu, et al. An optimized SVPWM strategy for the postfault three- level NPC voltage source inverters[J]. IEEE Transa- ctions on Industry Applications, 2021, 57(6): 6182- 6194.
[22] Tang Yi, Blaabjerg F, Loh P C. Decoupling of fluctuating power in single-phase systems through a symmetrical half-bridge circuit[C]//2014 IEEE Applied Power Electronics Conference and Exposition-APEC 2014, Fort Worth, TX, USA, 2014: 96-102.
[23] Zhang Li, Shi Donghan, Yang Tianbo, et al. Partial power processing for power decoupling network in three-phase three-leg four-wire three-level T-type inverter with reduced split DC-bus capacitance[J]. IEEE Transactions on Industrial Electronics, 2022, 69(4): 3643-3655.
[24] Guo Feng, Yang Tao, Diab A M, et al. Hybrid active modulation strategy for three-level neutral-point- clamped converters in high-speed aerospace drives[J]. IEEE Transactions on Industrial Electronics, 2023, 70(4): 3449-3460.
[25] Yan Qingzeng, Xiao Langtao, Chen Haoming, et al. An analytical discontinuous space-vector PWM for three-level inverters with unbalanced DC-link voltages[J]. IEEE Transactions on Power Electronics, 2022, 37(7): 7718-7728.
[26] Li Xiaoyan, Xing Xiangyang, Zhang Chenghui, et al. Neutral-point voltage oscillation mitigation scheme for transformerless three-level PV inverter in LVRT operation with selective space vector modulation[J]. IEEE Journal of Emerging and Selected Topics in Power Electronics, 2022, 10(3): 2776-2789.
Abstract The three-level hybrid active neutral point clamped (3L-HANPC) converter has emerged as a preferred power conversion interface in modern energy systems due to its inherent advantages, such as high efficiency, high power density, and moderate cost. However, the reliability of such converters remains a pressing concern, primarily due to their susceptibility to switching faults. Among various fault-tolerant schemes, configuring shared redundant units is considered a cost-effective solution for three-level converters. It is mainly designed for T-type converters, and the redundant fully controlled devices typically operate in a standby state under normal conditions, resulting in low utilization of these components.
This paper proposes a novel fault-tolerant 3L-HANPC converter and operating method that leverages the functional reuse of fully controlled redundant devices. In the proposed scheme, redundant devices are not limited to backup roles; instead, they actively contribute to system operation even under normal conditions, significantly improving device utilization and overall cost-effectiveness of the system. During normal operation, the shared redundant fully controlled devices and the DC inductor form a half-bridge ripple suppression unit. It compensates for the main low-frequency harmonic component in the neutral-point current, thereby reducing voltage ripples across the DC split capacitor under high modulation index and low power factor conditions. Furthermore, to simplify the control of the half-bridge ripple suppression unit, the circuit is decoupled into an upper and a lower buck converter, which are designed to operate in discontinuous conduction mode. The corresponding duty cycle expressions are derived. Then, a DC ripple suppression control block diagram is developed, utilizing a single-voltage PI feedback loop. When open-circuit faults occur in switches, the fully controlled devices in shared redundant units dynamically transition to a fault-bridge-sharing mode, enabling the cross-phase multiplexing of redundant devices. To ensure safe cross-phase multiplexing of redundant devices, the voltage vector sequence is restructured, and the corresponding circuit operating modes under typical vectors are analyzed. Additionally, the feasible operating region is defined based on the duty ratios of the voltage vectors. Accordingly, the converter can tolerate multiple switch open-circuit faults in different bridge arms while maintaining the rated output voltage magnitude. The paper provides a detailed description of the proposed topology, including its structural composition, operating mechanisms in normal and fault conditions, and the associated control strategies. A 10 kW 3L-HANPC converter prototype was constructed to conduct ripple suppression under normal conditions and fault-tolerant operation under fault conditions. The experimental results verify the correctness and effectiveness of the proposed topology and control method.
The following conclusions can be drawn. (1) Under normal conditions, the redundant devices effectively suppress the DC-link voltage ripple by compensating for low-frequency harmonic components in neutral-point currents. The converter’s dynamic voltage regulation performance has been improved, with a measured ripple reduction exceeding 80%. (2) Under fault conditions, the redundant fully-controlled devices are shared among faulty bridge arms across different phases, enabling reliable fault ride-through of multiple switch open-circuit faults without the output voltage magnitude. The proposed fault-tolerant 3L-HANPC topology demonstrates significant applicability in high-reliability scenarios such as photovoltaic power generation and electric drive systems. It effectively mitigates the risk of substantial economic losses and safety hazards caused by switching faults.
Keywords:Switching faults, fault-tolerant three-level hybrid active neutral point clamped (3L-HANPC) converters, redundant fully-controlled devices, functional reuse, operating method
中图分类号:TM464
DOI: 10.19595/j.cnki.1000-6753.tces.250236
国家自然科学基金重点项目(52130704)和国家自然科学基金面上项目(52077072)资助。
收稿日期 2025-02-15
改稿日期 2025-05-12
彭 星 男,1996年生,博士研究生,研究方向为电力电子变换器的故障诊断与容错控制。
E-mail: 734114664@qq.com
肖 凡 男,1988年生,副教授,研究方向为电力电子在电力系统中的应用。
E-mail: woliaokk123@126.com(通信作者)
(编辑 郭丽军)