摘要 面向固态变压器应用,该文提出一种非对称双向有源桥(ABAB,简记为AB2)直流变换器拓扑。该拓扑采用有源全桥与半有源桥并联而成,可实现正反向差异化电能传输,同时提升器件复用率以降低成本。首先,分析AB2变换器功率传输特性,提出基于统一移相占空比的双模式调制策略,当正向传输功率时,以双半有源桥模式运行;反之,则以双有源桥模式运行。该调制策略可实现模式间平滑切换,兼具功率环流抑制与宽范围零电压软开关优势。在此基础上,给出电路参数设计方法和控制策略,面向某车网互动充电站应用,基于AB2变换器等三种典型直流变换器拓扑展开系统设计、方案对比和仿真验证。最后,搭建额定功率为140 W(正向)/60 W(反向)的AB2变换器原理样机,其峰值效率为96.53%(正向)/96.19%(反向),仿真与实验结果验证了所提拓扑的可行性及其在电流应力、损耗、成本及可靠性方面的优势。
关键词:固态变压器 非对称双向有源桥直流变换器 双模式调制 软开关运行
固态变压器(Solid-State Transformer, SST),又称电力电子变压器,既可实现传统工频变压器电压转换、电气隔离等基本功能,又在此基础上融入了有功/无功解耦控制、双向潮流调节、故障穿越与容错运行等新功能,能处理直流电能,被认为是新型电力系统中能量变换技术的重点发展方向之一[1-2]。固态变压器已应用于交直流混合系统互联组网、电气化铁路牵引、光储一体化新能源集成接入、汽车充电站以及新一代数据中心供电等领域[3-4]。
SST可采用基于隔离型直流变换器模块串并联架构[5]以匹配其一次侧高耐压和二次侧大电流特性。模块化设计不仅使SST具有故障容错能力,还有助于实现系统容量的灵活拓展[6]。模块化SST在新能源领域有较多典型应用:如在新型光伏(Photovoltaic, PV)电站中,SST可在低压直流侧实现光伏阵列与电池储能系统(Battery Energy Storage System, BESS)直接集成[7];新能源车充电站通过SST将动力电池与光储系统的直流能量汇集至中压母线[8];在高铁列车中,SST并联输出端口灵活整合了牵引变流器及辅助功率模块[9]。通过对各类基于SST的中压直流汇集方案进行评估对比,证实SST在功率密度、成本、系统效率和运行可靠性等方面相较于传统方案具有一定的优势[10-12]。
在上述应用场景中,SST具有显著的非对称双向功率传输特性。以图1所示的电动汽车(Electric Vehicles, EV)充电站为例,其主功能是充电,需以额定功率为电动汽车快速补能,辅功能是提供电力服务,当电网负荷过重或需应急供电时,通过车网互动(Vehicle-to-Grid, V2G)机制将快充站配套储能及动力电池中存储的电能反向馈入电网[13-14],馈电功率一般设定在充电功率的30%~60%,显然该SST具有“正向供电为主,倒送电为辅”的非对称特性[15],此类特性在海上风电直流汇集系统[16]、家庭光伏-储能[17]及燃料电池-储能[18]等分布式能源系统中亦广泛存在。
图1 SST在直流母线型电动汽车V2G充电站中的应用
Fig.1 SST applied in a DC-bus connected vehicle to grid charging station
这类应用背景对SST中的直流变换器模块提出了新的要求。常规双向直流变换器电路拓扑,包括双有源桥(Dual Active Bridge, DAB)变换器[19]、三电平半桥变换器[20]、电流馈电型变换器[21]、CLLC双向谐振变换器[22-23]等,其共性特征在于变压器两侧电路对称,均以额定容量为依据选择器件并设计电路参数。在非对称功率传输应用中,变换器正反向额定容量不一致,会造成部分器件利用率不足,导致反向容量冗余与浪费[16, 24]。因此,需引入非对称直流变换器,结合拓扑和调制优化,使得反向功率通道所用器件与真实传输功率需求相匹配,从而降低反向功率传输容量冗余以充分复用开关管,最终节约成本。
遵循这一思路,将单向直流变换器(包括单有源桥(Single Active Bridge, SAB[25])和半双有源桥(Semi-Dual Active Bridge, S-DAB[26]))与双向直流变换器级联使用,成为解决非对称传输功率应用的一种可行方法。混合多有源桥(Hybrid-Multipe Active Bridge, H-MAB)变换器[27]在同一多绕组变压器中兼具DAB和S-DAB,可在保留双向功率流动通道的前提下,省去二次侧部分开关管。非对称双向串并联(Asymmetrical Bidirectional Input-Series-Output- Parallel, AB-ISOP)变换器[28]将H-MAB中的S-DAB替换为SAB以进一步简化电路,同时引入额外的谐振支路实现功率的自然耦合和均压。该类场景下的另一条可行技术路线,是对SST中单个模块变换器作非对称设计,AB-DC-DC变换器[29]在DAB二次侧并联不控整流桥,通过有源桥与不控整流桥功率等级的差异化设计,可满足非对称功率传输需求。但该拓扑在正向传输功率时,峰值电流较高,反向传输时则存在环流功率,会导致额外损耗。在AB-DC-DC基础上,Wang Kangan等提出一种优化控制方法[30],通过改进扩展相移调制以减小峰值电流,但固有功率环流问题仍然存在。由于环流存在于拓扑同侧有源桥与不控整流桥之间,面向并联有源桥结构的常规环流抑制策略[31-32]无法直接用于此类拓扑。
因此,本文提出一种新型非对称双有源桥直流变换器并展开相关研究。首先介绍所提AB2变换器的拓扑结构与工作原理,并分析不同模式下的功率传输和软开关特性,给出参数设计方法;然后进行概念设计、拓扑对比与仿真计算;最后搭建实验样机,实验结果验证了AB2拓扑的可行性和所提调制/控制策略的正确性。
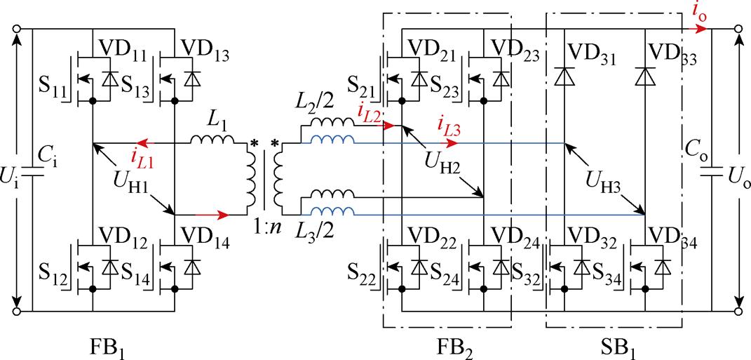
AB2变换器的电路拓扑结构如图2所示,所提AB2变换器拓扑主要由三部分组成:一次侧为有源全桥电路(Full Bridge, FB1),二次侧由有源全桥(FB2)和有源半桥(Semi-Bridge, SB1)电路并联,其中,开关管S11~S14和S21~S24分别构成FB1和FB2,SB1则由二极管VD31、VD33与S32、S34共同组成。Ui为输入电压,Uo为输出电压,Ci和Co分别为输入侧和输出侧电容,两侧电路通过一个匝比为1
n的高频变压器相连接。
图2 AB2变换器的电路拓扑结构
Fig.2 Schematic of AB2 converter circuit topology
正向工作模式定义为功率从输入侧流向输出侧;反之,为反向工作模式。可见FB1和FB2是两种模式下的复用模块。L1为变压器漏感,二次绕组通过两组电感(每组均含两个相同电感,每组电感值之和记作L2与L3)连接到FB2和SB1的桥臂中点,定义k为变换器的电压转换比,k=Uo/(nUi)。
为便于分析,将参数折算到二次侧,忽略变压器的励磁电感和绕组寄生电阻,可得AB2在两种模式下的星形等效电路模型,如图3所示。图3中,PFB2和PSB1分别为正向模式下流过FB2和SB1模块的功率,PBFB为反向模式下流入FB1的功率,PC1为反向模式下需抑制的环流功率。UH1、UH2、UH3分别为FB1、FB2、SB1桥臂中点处的高频准方波电压,L11为折算至二次侧的等效电感,L11=n2L1。应用叠加定理,可推得参考点电压Ur表达式为
(1)
其中

图3 两种模式下AB2变换器的等效模型
Fig.3 Equivalent converter models of AB2 in two modes
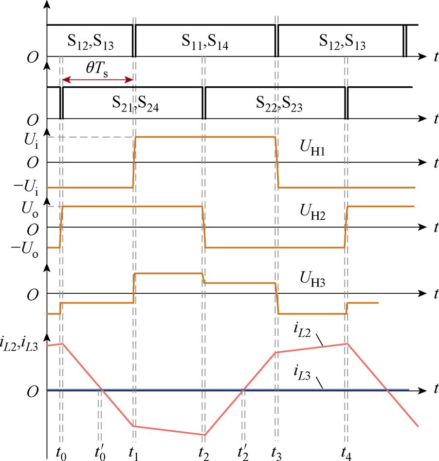
在正向模式下,FB2与SB1采用同步移相调制策略,S21和S23工作于同步整流状态。开关周期记为Ts,其中,S11、S14、S24、S34由占空比50%的方波驱动,S12、S13、S22、S32驱动信号与之互补;S21和S23由占空比为d的方波驱动。定义j为S11超前S24、S34的移相占空比,同时S21与S24上升沿一致。假设电路已达稳态,以t0为起始时刻,对一个开关周期内的电路展开分析,其典型工作波形如图4所示。
图4 正向模式下的开关管驱动信号与典型波形
Fig.4 Driving signals and typical waveforms in forward mode
(1)t0~t1:在t0时刻,S12和S13关断,S11和S14开通,S23处于导通状态,iL1通过VD11和VD14续流,iL2流过S23和VD22,UH1由-Ui变为Ui,电感电流正方向参见图2标注。iL2的表达式为
(2)
(2)t1~t2:在t1时刻,iL1由正变负,流经S11、S14;iL2流经S22和VD24。此时UH2由-Uo变为零,输出电流io为零,S23实现零电流关断。由于在电流换相前VD11、VD14、VD22提前导通,为S11、S14、S22的零电压开通提供了条件。iL2的表达式为
(3)
(3)t2~t3:在t2时刻,S22关断,iL1、iL2达到正向电流峰值,此时VD31、VD24导通,由于S21采用同步整流调制,iL2与S21和VD24构成续流回路。UH2由零变为Uo。iL2的表达式为
(4)
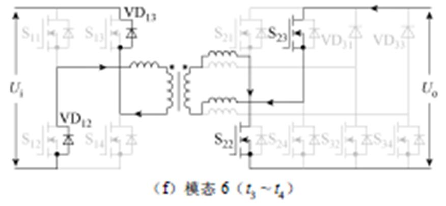
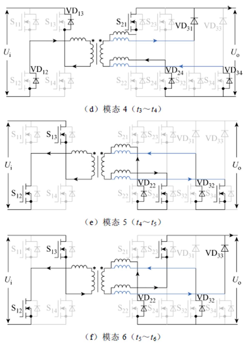
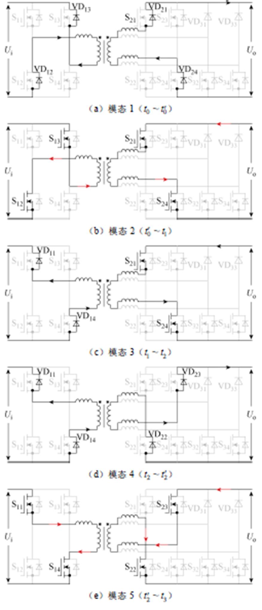
负半周期内,即t3~t6时刻的电路工作原理类似,不再赘述,图5给出一个开关周期内AB2变换器的六种工作模态。
图5 正向模式下不同时间段AB2变换器的工作模态
Fig.5 Working model in different time intervals within forward mode of AB2 converter
由图3可知,施加到L2的电压UL2=Ur-UH2。根据电感电流在一个开关周期内的对称性,即电感电流满足iL2(t0)=-iL2(t3),同时将t0=0和t2=jTs代入式(2)~式(4),可求得t1的表达式为
(5)
结合式(2)~式(5),UL2和iL2在正半周的具体表达式见表1。进而得到S21驱动信号占空比d与移相占空比j的关系式为
表1 正向模式下电压UL2和电流iL2
Tab.1 Voltage UL2 and current iL2 at different times in the forward mode
时段电压UL2表达式起始时刻电流iL2表达式 [t0, t1) [t1, t2) [t2, t3)
(6)
由此计算出流过L2的平均电流IFB2_avg为
(7)
由此可进一步求得流入FB2的功率PFB2为
(8)
在同步移相调制下,UH2和UH3相位保持一致,流入SB1的电感电流iL3呈现出与iL2相似的变化规律。因此,将式(7)、式(8)中的L2与L3参数互换即可推导出流入SB1的平均电流ISB1_avg和传输功率PSB1。正向传输总功率PFB等于FB2和SB1功率的代数之和,即
(9)
同时,由上述分析可知,FB2与SB1之间的功率分配与电感L2、L3之间比值相关,即
(10)
当电感L2=L3时,两模块输出功率相同。通过调整L2与L3的参数,可以合理地分配FB2与SB1所分担的功率值。
由图3b可知,在反向模式下,环流功率PC1由电流iL3引起。当封锁SB1中S32、S34的驱动信号时,桥臂中点电压UH3将被钳位到输出电压Uo,只需满足式(11)给出的条件,即可消除环流功率PC1。
(11)
进一步化简可得
(12)
此时SB1模块退出运行,AB2变换器电路退化为DAB,电感L1与L2串联。为便于叙述,定义反向等效漏感Leq=L11+L2,q为S11滞后S21的移相占空比(q恒正)。反向模式下AB2变换器的典型工作波形如图6所示。
图6 反向模式下的开关管驱动信号与典型波形
Fig.6 Driving signals and typical waveforms in backward mode
沿用正向模式的分析方法,以S21导通时刻t0为起始时刻,对AB2电路的正半周期展开稳态分析,具体如下:
(1)t0~t1:在t0时刻,S22和S23关断,iL2通过VD21和VD24续流,引起UH2由-Uo变为Uo。由于iL3为零,参考点电压Ur与UH3相同,因此UH2变化同时将导致UH3变化,iL1通过VD12和VD13续流。
时刻,电流过零。该时段内施加到Leq上的电压为-(nUi+Uo),iL2的表达式为
(13)
(2)t1~t2:在t1时刻,S12、S13关断,iL1通过VD11和VD14续流,UH1由-Ui变为Ui,同理,UH1变化将引起UH3变化。FB2电流路径保持不变,Leq上的电压等于nUi-Uo,iL2的表达式为
(14)
反向模式下电压电流波形也具有正负半周对称性,因此负半周期内,即t2~t4区间内的电路分析原理近似。
综上所述,桥臂电压UH3和电感电流iL2的表达式见表2,图7给出了反向模式下一个开关周期内AB2的六种工作模态。反向模式下流过L2电流平均值IBFB_avg为
(15)
表2 反向模式下电压UH3和电流iL2
Tab.2 The table of voltage UH3 and current iL2 at different times in the backward mode
时段电压UH3表达式起始时刻电流iL2表达式 [t0, t1) [t1, t2) [t2, t3)

图7 反向模式下不同时间段AB2变换器的工作模态
Fig.7 Working model of AB2 converter in different time intervals within backward mode
进而计算得到反向传输功率PBFB为
(16)
AB2整体控制与调制算法框图如图8所示,通过调节统一移相占空比h,进而调整传输功率以稳定输出电压Uo。正反向工作模式选取及功率大小调节均可通过改变统一移相占空比h实现,其取值范围取决于不同k值所对应最大功率点的h大小。
图8 AB2变换器控制与调制策略整体框图
Fig.8 Control and modulation strategy for AB2 converter
当h>0时,AB2工作在正向模式,令j=h并通过式(6)计算占空比d=f(h);当h<0时,AB2工作在反向模式,封锁S32、S34驱动信号,并令-q=h。电路的负反馈调节机理为:当输出电压Uo下降时,在正向模式下通过增大h提升传输功率PFB,以提升Uo;而在反向模式下,则通过增大h(即减小q)降低反向传输功率PBFB,从而稳定电压Uo。具体的h值则由输出电压控制环路的比例积分(PI)调节器运算得到。
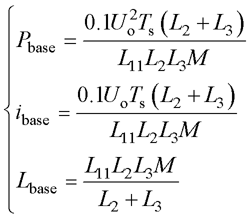
由于两种模式下的调制信号和等效电路结构不同,为便于叙述,可采用标幺值进行简化计算,并进一步论证电路参数对功率传输能力的影响。首先按式(17)定义功率基准值Pbase、电流基准值ibase和电感基准值Lbase,然后将传输功率和电流标幺化以简化后续推导。
(17)
因在两种模式下电流路径不同,可引入电感标幺值lL,以正向传输总功率时的等效电感作为基准值,反向功率传输时的电感值作标幺化处理。定义lL为反向等效电感与正向等效电感之比,表达式为
(18)
根据式(18),由于反向模式下电感L3支路退出运行,反向等效电感始终大于正向等效电感,即lL>1,符合正反向差异化功率传输场景下正向额定功率高于反向额定功率的拓扑设计要求。
采用统一移相占空比h作为控制量,则标幺化后的正向传输功率PFB和反向传输功率PBFB表达式分别为
(19)
当k=1时,AB2变换器处于输入电压与输出电压恰好匹配且无环流的临界状态,此时当h=0.3时,传输功率等于正向传输最大功率值PFB-max;当h= -0.25时,传输功率等于反向传输最大功率值PBFB-max。当lL=2时,PFB-max
PBFB-max=12
5,进一步验证了AB2变换器可满足非对称功率传输的需求。
根据式(19),以正向模式作为参照,对反向模式下的传输功率取绝对值,以h为横轴变量,可绘制出不同电压转换比k和电感标幺值lL对应的功率传输曲线,如图9所示。不同颜色曲线代表不同的电压转换比k,不同线型对应不同的lL。可见在各工况下,正向模式峰值功率均高于反向模式峰值功率,且不同工况下峰值功率对应的h较为接近。其中灰色虚线为变换器失去软开关特性工作区域。此外,随着k值的不断增大,正反向传输功率峰值相应降低。当k取值相同时,lL增大即反向电感相比正向电感所占比例增大,此时正反向传输功率差异也随之增大,与前述理论分析相吻合。
图9 传输功率标幺值Po与统一移相占空比h的数量关系
Fig.9 Numerical relationships between per unit power Po and unified phase shift duty ratio h
本节将对AB2变换器正反向工作模式的软开关特性展开分析及对比,计算过程中忽略电流换相时释放开关管寄生电容电荷所需的最小能量值。
正向模式下实现零电压软开关(Zero Voltage Switching, ZVS)导通条件如下:当iL2(t2)≥0和iL3(t2)≥0时,FB2和SB1可实现ZVS开通;当iL1(t3)≤0时,FB1实现ZVS开通。反向模式下:当iL2(t0)≥0时,FB2实现ZVS开通;当iL1(t1)≥0时,FB1实现ZVS开通。结合表1和表2中对应的电感电流表达式,化简得到正、反向模式下ZVS边界条件分别为
(20)
由于k≥1,正向模式下FB2、SB1和反向模式下的FB2始终实现ZVS。将式(20)代入式(19),可得到以输出功率与电压转换比为变量的ZVS边界表达式,即
(21)
以正向模式为例,图10绘制出不同电感标幺值lL下,表征功率标幺值与电压转换比k之间数量关系的三维曲面。
图10 不同电感标幺值lL下功率标幺值与电压转换比数量关系的三维曲面
Fig.10 3D surface of per-unit power versus voltage conversion ratio k for different per-unit inductance lL
图10中,x轴表示电感标幺值lL,y轴表示正反向标幺值传输功率,z轴表示电压转换比k,白色虚线所在曲面为最大功率限制曲面,而实线所在曲面为维持ZVS导通的边界曲面。在相同lL下,虚线和实线围成的阴影区域即为变换器的软开关区域,该区域还可绘制不同功率标幺值与电压转换比对应的软开关区域,如图11所示。当k=1时,变换器在两种模式下均能在保证ZVS的前提下满足最宽范围的输出功率需求。随着k偏离1,维持ZVS所需的功率上下界范围逐渐缩小。随着lL增加,反向模式下软开关工作范围向右移动,相同k下维持软开关所需的功率下限减小。这表明在轻载条件下,反向模式下的ZVS特性易于维持。
图11 不同功率标幺值与电压转换比对应的软开关区域
Fig.11 Soft switching area corresponding to different per unit power and voltage conversion ratio
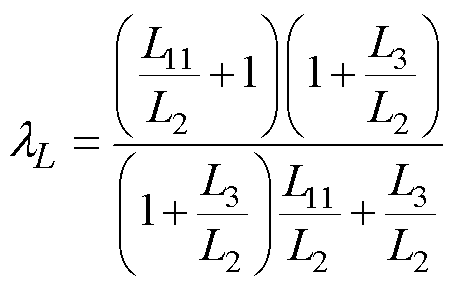
可进一步分析实际电感参数对软开关工作范围的影响,对lL进行化简可得
(22)
由式(10)可知,FB2与SB1之间的功率配比等于L3
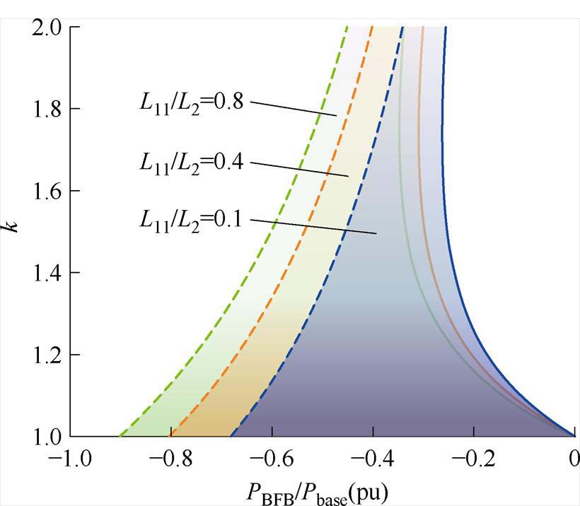
L2,当变换器正向功率分配确定时,L11可用于调节ZVS工作区域。随着L11
L2的增加,相应的lL逐渐减小,导致反向模式下软开关工作范围向左移动,如图12所示。
图12 反向模式下L11
L2对ZVS区域的影响
Fig.12 The impact of the L11
L2 on the ZVS area in backward mode
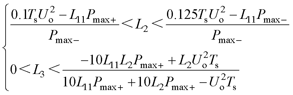
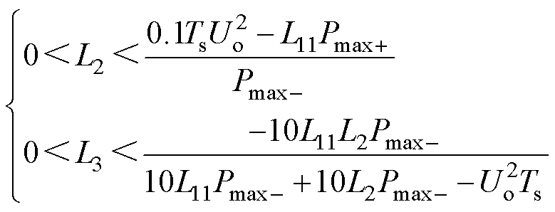
根据1.1节和1.2节分析,在AB2拓扑设计时,电感L11、L2和L3的参数选取需同时满足功率传输能力与FB2模块双向复用要求,其取值需兼顾正向Pmax+和反向Pmax-传输功率最大值的约束。
(23)
根据图3所示的功率流向关系,FB2模块的正向功率上限PFB2-max同时也受限于反向传输功率最大值Pmax-,而SB1模块的正向容量需求则由Pmax+与Pmax-的差值决定。当k=1时,求得输出功率最大值并代入式(23),可推导得到电感参数约束条件为
(24)
(25)
(26)
由于电感值在求解过程中存在耦合关系,可首先确定L11的有效取值范围,继而推导出L2和L3的对应参数边界。AB2的参数设计流程框图如图13所示。首先基于正反向功率传输的差异化需求选择能够实现ZVS区域最优化的电压转换比k和电感标幺值lL,由式(10)和式(23)可知,正向功率分配比L3
L2的最大取值范围为
(27)

图13 AB2电路参数设计流程框图
Fig.13 Block diagram of circuit parameters design for AB2
随后将正向功率分配比代入式(22),即可计算出L2取值,最后还需检查是否符合电感约束条件。
本节将对AB2的工程应用价值做简要评估,基本方法如下:根据某V2G充电站需求参数,基于本文所提的AB2变换器、常规DAB电路和AB-DC-DC变换器[29]分别进行概念性设计、性能计算与PLECS仿真验证,对比指标包括:开关器件电流应力特性、损耗分布、成本及可靠性。充电站SST中,单个直流变换器模块正向额定功率为160 kW,反向额定功率为96 kW,变换器模块设计所需的电气参数见 表3,对比拓扑示意图如图14所示。
表3 直流变换器模块电气参数
Tab.3 Specifications of the DC-DC converter modules
参 数数 值 AB2DABAB-DC-DC 输入电压Ui/V1 200 输出电压Uo/V750 正向额定功率/kW160 反向额定功率/kW96 开关频率/kHz10 变压器匝数比10.510.510.714 变压器漏感L1/mH2012410 电感L2/mH2×15—2×5 电感L3/mH2×22.5—2×7.5
图14 对比拓扑示意图
Fig.14 Schematic diagram of the compared topologies
在正向额定功率工况下,三种拓扑的开关管电压应力相同,其一次侧漏感电流波形如图15所示。AB2的一次电流峰值与DAB几乎相同,而AB- DC-DC由于受到不控整流桥传输功率限制导致其峰值电流明显高于其他拓扑。
图15 正向模式下的仿真波形
Fig.15 Simulation waveforms under forward mode
反向模式下仿真波形如图16所示。图16中,通过对比AB2与AB-DC-DC在反向额定功率工况的电流波形,表明AB2具有抑制环流功率的能力。图17汇总了三种拓扑的电流应力仿真结果。当L2/L3=2/3时,二次侧FB2与SB1开关管的电流应力之比为3/2,与式(10)中FB2与SB1的功率分配比一致。
图16 反向模式下仿真波形
Fig.16 Simulation waveforms under backward mode
图17 三种电路拓扑的电流应力对比
Fig.17 Comparison of current stress for the three topologies
基于PLECS中的热仿真工具搭建AB2、DAB和AB-DC-DC三种拓扑的损耗模型,功率损耗及成本计算结果如图18所示。在正向模式下,AB2凭借并联分流结构与同步移相调制策略,总损耗最低,其值为1.554 kW,较DAB的1.861 kW降低16.5%,较AB-DC-DC的1.692 kW降低8.1%;在反向模式下,AB2总损耗为0.891 kW,相比于存在环流功率的AB-DC-DC(1.465 kW),损耗降低39.2%。
图18 功率损耗与成本对比
Fig.18 Comparison of power losses and costs
为保证对比的公平性,各模块拓扑在比较过程中均采用相同厂商的半导体器件,统一选取1.5倍电压裕度和2倍电流裕度,同时选取Mouser Electronics[33]报价作为参考,各拓扑对应的具体元器件型号和数量见表4。与DAB相比,尽管AB2的开关管和驱动器件数量更多,但开关管和二极管的混合并联结构实现了开关管与二极管之间的功率等级差异化设计,在提高整体容量的同时,能够将总功率传输容量分摊到每个单管上,从而降低系统总成本。对于AB-DC-DC,其存在的反向环流功率使得单管所承受电流应力增大,导致在传输相同功率时承担更高成本;另一方面,AB2和AB-DC-DC相对而言需要较多数量的电感,但电感磁心成本占比不大,因而其成本增量可被半导体器件节约的成本所补偿。如图18b所示,AB2相比于DAB和AB-DC-DC总成本分别降低18.03%和10.95%。
表4 所需半导体开关元件和磁性元件型号与数量
Tab.4 Types & quantities of semiconductor switches and magnetic components
类型型号数 量 AB2DABAB-DC-DC 开关管CAB650M17HM3002 CAB500M17HM3220 CAB760M12HM3020 CAB530M12BM3202 MSCSM120DUM042AG100 二极管MSCDC200KK120D1PAG204 驱动板2ASC-12A1HP322 2ASC-17A1HP222 电感磁心00K114LE026501 00K8044E026004 0077337A7HT52020
基于电路元件的工作失效率,可对三种拓扑的可靠性进行对比分析。所用元件的基本失效率及各环境调整系数(如额定电流系数、环境系数等)均来源于《电子设备可靠性预计手册》[34]。通过将基本失效率与各调整系数相乘,可得到各元件的工作失效率。整机为串联系统,即每百万小时的整机失效率为元件失效率的总和,分析结果如图19所示。
AB2二次侧采用混合并联结构,引入二极管以降低单个开关管的功率容量,并结合优化调制策略实现电流应力的均衡分布,可减轻高电流应力对器件失效率的负面影响。因此,与DAB和AB-DC-DC相比,AB2总失效率分别降低22.35%和12.18%。
为验证AB2在非对称双向功率传输、模式切换、反向环流抑制等方面的性能,搭建了一台双向额定功率分别为140 W/60 W(正向/反向)的小功率实验样机如图20所示,该样机的主要参数见表5。
图19 可靠性对比
Fig.19 Comparison of reliability performance
图20 AB2变换器实验样机
Fig.20 AB2 converter experimental prototype
表5 样机电路参数
Tab.5 Major circuit parameters of the prototype
参 数数 值 输入电压Ui/V96 输出电压Uo/V48 开关频率fs/kHz40 变压器漏感L1/mH48 电感L2/mH2×30 电感L3/mH2×20 变压器匝数比1n10.5 滤波电容Co/mF300
正反向模式下的AB2桥臂中点电压UH1、UH2以及电感电流iL2、iL3的稳态波形实验如图21所示,其与图4和图6中的原理波形一致。在正向模式下,采用同步移相策略后流入FB2与SB1的电流之比iL2/iL3等于电感之比L3/L2,此时二次侧续流回路彼此独立;在反向模式下,电流iL3被抑制为零,因此流入SB1的环流PC1也为零,与理论分析相符。
图21 AB2功率双向传输稳态实验波形
Fig.21 Experimental waveforms of AB2 for bidirectional power transfer in steady state
AB2的模式切换实验波形如图22所示。AB2原处于正向模式,运行功率为140 W。在图中tx时刻,随着h从0.2变化为-0.1,AB2切换至反向模式,运行功率变为-60 W,此时电感电流iL3降至零,SB1退出运行;在ty时刻,h变回0.2,AB2切换回正向模式。观察实验波形,可见在模式切换过程中,电压与电流均未出现明显过冲,在数个开关周期内完成工作模式切换。该结果可验证AB2具有功率双向传输模式间的平滑模式切换能力。
图22 模式切换实验波形
Fig.22 Experimental waveforms of mode switching
为验证所提AB2控制策略在动态工况下的响应性能,对样机进行了切载实验。图23展示了AB2在正向模式下负载变化时的动态波形:在tz1时刻,负载侧电流io从1.5 A突增至3 A,此时输出电压Uo仅产生幅值约为3 V的动态跌落,占总电压的6.25%。PI控制器随即通过增大移相占空比h以提升正向传输功率PFB,从而稳定输出电压Uo。AB2从暂态过程恢复到稳态所需的调节时间约为50 ms。
同理,图24展示了AB2在反向模式下的负载变化动态波形。在反向模式下,PI调节器将h调节为负值以实现功率传输需求。在tz2时刻,负载侧从重载突降至半载,电流io从-1.8 A突减到-1.0 A,此时倒送功率还维持原状,导致电压Uo出现约2.5 V的瞬态跌落,占总电压的5.2%。此后调节器开始响应,增大h(具体表现为减小S11滞后S21的移相占空比q)以稳定电压Uo,AB2从暂态恢复到稳态所需的调节时间约为40 ms。上述实验结果表明,AB2所采用的基于统一移相占空比h的控制策略在正反向模式下均具备一定的调节和抗扰能力。
图23 正向模式下的负载变化动态实验波形
Fig.23 Experimental waveforms for load variation in forward mode
图24 反向模式下的负载变化动态实验波形
Fig.24 Experimental waveforms for load variation in backward mode
为验证AB2的软开关特性,S11和S24在正反向模式下的软开关波形如图25所示,对开关管S11和S24的栅漏电压vgs、漏源电压vds以及电感电流iL1、iL2进行测试。可见当电压转换比k=1时,S11和S24在正向和反向额定功率传输时均能够实现ZVS。由式(20)给出的边界条件可知,此时一次侧和二次侧的开关管均可实现ZVS软开关,与实测结果一致。
图25 S11和S24在正反向模式下的软开关波形
Fig.25 ZVS waveforms of S11 and S24 in both forward and backward modes
为进一步验证电压转换比k对软开关区域的影响,图26和图27分别展示一次侧开关S11在不同条件下的波形。当k=1时,正向模式下,S11实现ZVS。然而,随着k的逐渐增大,S11逐渐失去ZVS特性,如图26所示;同理,反向模式下当k增大时,S11亦将无法实现ZVS,如图27所示。实验结果也与第2节中的分析一致。
图26 正向模式下S11在不同电压转换比k下的波形
Fig.26 Waveforms of S11 under different values of k in forward mode
图27 反向模式下S11在不同电压转换比k下的波形
Fig.27 Waveforms of S11 under different values of k in backward mode
AB2样机的效率测试曲线如图28所示。效率曲线表明,在正向模式下,最高效率测定值为96.53%;在反向模式下,最高效率测定值为96.19%。在全负载范围内,两种模式下的效率均会降低约2个百分点,在可接受范围内。
图28 正向模式和反向模式下的AB2样机效率曲线
Fig.28 Efficiency curves of the AB2 prototype within both forward and backward modes
为满足SST应用中非对称传输功率的特定需求,本文提出了一种可实现正反向功率差异化传输的双向有源桥直流变换器电路拓扑AB2。通过理论分析和仿真及实验验证,得出以下结论:
1)所提AB2变换器使反向功率通道所用器件与真实传输功率需求相匹配,可避免反向功率传输容量冗余,提高了器件复用率,能够灵活适配不同需求。
2)与AB-DC-DC相比,AB2具有抑制环流功率的能力,间接利于提升整机容量。通过针对具体算例的概念性设计与仿真对比可验证AB2相较于DAB,AB-DC-DC在成本、电流应力、损耗和可靠性方面的优势。
3)基于本文所提引入统一移相占空比h的调制方法,可实现AB2变换器的稳态功率传输和模式平滑切换。结合模式切换和负载突变实验,验证了其调制方法和控制环路的正确性与可行性。
4)实验样机测试结果表明,AB2变换器工作原理和软开关特性与理论预期相符,最高效率分别为96.53%/96.19%(正向/反向)。
综上所述,理论分析、仿真算例和实验结果均验证了AB2拓扑及所提调制、控制策略在非对称功率传输应用中的适用性。
参考文献
[1] Zheng Liran, Marellapudi A, Chowdhury V R, et al. Solid-state transformer and hybrid transformer with integrated energy storage in active distribution grids: technical and economic comparison, dispatch, and control[J]. IEEE Journal of Emerging and Selected Topics in Power Electronics, 2022, 10(4): 3771-3787.
[2] 孙凯, 卢世蕾, 易哲嫄, 等. 面向电力电子变压器应用的大容量高频变压器技术综述[J]. 中国电机工程学报, 2021, 41(24): 8531-8546.
Sun Kai, Lu Shilei, Yi Zheyuan, et al. A review of high-power high-frequency transformer technology for power electronic transformer applications[J]. Pro- ceedings of the CSEE, 2021, 41(24): 8531-8546.
[3] 孔心怡, 张建文, 周剑桥, 等. 多中压交流端口级联桥式电力电子变压器[J]. 中国电机工程学报, 2022, 42(23): 8664-8675.
Kong Xinyi, Zhang Jianwen, Zhou Jianqiao, et al. A multiple medium voltage AC-ports cascaded h-bridge power electronic transformer[J]. Proceedings of the CSEE, 2022, 42(23): 8664-8675.
[4] 潘建宇, 杜翊豪, 林文琦, 等. 非对称方波调制下模块化多电平固态变压器传输功率建模与特性分析[J]. 电工技术学报, 2024, 39(24): 7793-7806.
Pan Jianyu, Du Yihao, Lin Wenqi, et al. Power modeling and operation characteristics of modular multilevel converter-h solid state transformer under asymmetric square wave modulation[J]. Transactions of China Electrotechnical Society, 2024, 39(24): 7793-7806.
[5] Liu Yuxin, Liu Xin, Gao Fei, et al. Auxiliary power supply for input-series output-parallel medium- voltage solid state transformers[J]. IEEE Transactions on Power Electronics, 2023, 38(6): 7308-7321.
[6] Li Zheqing, Hsieh E, Li Qiang, et al. High-frequency transformer design with medium-voltage insulation for resonant converter in solid-state transformer[J]. IEEE Transactions on Power Electronics, 2023, 38(8): 9917-9932.
[7] Li Xiuyi, Zhu Miao, Su Mingzhang, et al. Input- independent and output-series connected modular DC-DC converter with intermodule power balancing units for MVDC integration of distributed PV[J]. IEEE Transactions on Power Electronics, 2020, 35(2): 1622-1636.
[8] Arena G, Chub A, Lukianov M, et al. A com- prehensive review on DC fast charging stations for electric vehicles: standards, power conversion tech- nologies, architectures, energy management, and cybersecurity[J]. IEEE Open Journal of Power Elec- tronics, 2024, 5: 1573-1611.
[9] Choi D, Park J H, Lee J S. Individual module power control of solid-state transformer for multiport confi- guration in railway traction systems[J]. IEEE Transactions on Transportation Electrification, 2025, 11(1): 3102-3113.
[10] Nair A C, Fernandes B G. Solid-state transformer based fast charging station for various categories of electric vehicles with batteries of vastly different ratings[J]. IEEE Transactions on Industrial Elec- tronics, 2021, 68(11): 10400-10411.
[11] Su Yuchen, Li Xuanming, Chen Bolin, et al. Inte- gration of PV panels and EV chargers on the modular multilevel converter based SST[J]. IEEE Transactions on Industry Applications, 2022, 58(5): 6428-6437.
[12] Roger D, Napieralska E, Komeza K, et al. Solid-state transformers of smart high-power battery charger for electric vehicles[J]. IEEE Transactions on Industry Applications, 2023, 59(5): 6532-6542.
[13] Zhong Jiahao, Lei Xiang, Shao Ziyun, et al. A reliable evaluation metric for electrical load forecasts in V2G scheduling considering statistical features of EV charging[J]. IEEE Transactions on Smart Grid, 2024, 15(5): 4917-4931.
[14] Haque M M, Wolfs P, Alahakoon S, et al. DAB converter with Q capability for BESS/EV applications to allow V2H/V2G services[J]. IEEE Transactions on Industry Applications, 2022, 58(1): 468-480.
[15] 孔令达, 张波, 韩晓娟, 等. 多类型充电设施车网融合互动同构元模型[J/OL]. 中国电机工程学报, 2025: 1-13. https://link.cnki.net/urlid/11.2107.TM.20250225. 1650.013.
Kong Lingda, Zhang Bo, Han Xiaojuan, et al. Research on interactive isomorphic meta-model of vehicle-grid with multi-type charging facilities[J/OL]. Proceedings of the CSEE, 2025: 1-13. https://link.cnki. net/urlid/11.2107.TM.20250225.1650.013.
[16] 肖寒冰, 马建军, 朱淼, 等. 面向海上风电直流升压汇集的非对称双向有源桥DC-DC变换器[J]. 中国电机工程学报, 2025, 45(7): 2719-2732.
Xiao Hanbing, Ma Jianjun, Zhu Miao, et al. Asymmetrical bidirectional active bridge DC-DC converter for DC voltage step-up collection in off- shore wind farm[J]. Proceedings of the CSEE, 2025, 45(7): 2719-2732.
[17] Khezri R, Mahmoudi A, Haque M H. Optimal capacity of solar PV and battery storage for australian grid-connected households[J]. IEEE Transactions on Industry Applications, 2020, 56(5): 5319-5329.
[18] De Aguiar C R, Fuzato G H F, Machado R Q, et al. An adaptive power sharing control for management of DC microgrids powered by fuel cell and storage system[J]. IEEE Transactions on Industrial Elec- tronics, 2020, 67(5): 3726-3735.
[19] Parreiras T M, Machado A P, Amaral F V, et al. Forward dual-active-bridge solid-state transformer for a SiC-based cascaded multilevel converter cell in solar applications[J]. IEEE Transactions on Industry Applications, 2018, 54(6): 6353-6363.
[20] 杨超, 许海平, 袁志宝, 等. 双PWM控制下三电平半桥隔离型双向DC-DC变换器的全局最小峰值电流研究[J]. 电工技术学报, 2020, 35(8): 1679-1689.
Yang Chao, Xu Haiping, Yuan Zhibao, et al. Global minimum peak current control of the three level isolated half-bridge bi-directional DC-DC converters with PWM-phase-shifting control[J]. Transactions of China Electrotechnical Society, 2020, 35(8): 1679- 1689.
[21] Xiong Wenjing, Wang Mingdong, Ning Guangfu, et al. A single-stage ZCS Boost module for MVDC collection converters[J]. IEEE Journal of Emerging and Selected Topics in Power Electronics, 2023, 11(1): 701-711.
[22] Cao Yuliang, Ngo M, Burgos R, et al. Switching transition analysis and optimization for bidirectional CLLC resonant DC transformer[J]. IEEE Transactions on Power Electronics, 2022, 37(4): 3786-3800.
[23] 赵剑, 张哲, 李召端, 等. 三端口CLLC固态变压器的设计与优化[J]. 电工技术学报, 2024, 39(23): 7542-7553.
Zhao Jian, Zhang Zhe, Li Zhaoduan, et al. Design and optimization of three-port CLLC solid-state trans- former[J]. Transactions of China Electrotechnical Society, 2024, 39(23): 7542-7553.
[24] Chuc N Q, Tounsi P, Fradin J P, et al. Investigation of SiC MOSFET channel reverse conduction[C]//IEEE 13th International Conference on Power Electronics and Drive Systems, Toulouse, France, 2019: 1-4.
[25] Rodríguez A, Gómez A A, Hernando M M, et al. A dynamic study of the single active bridge converter[J]. IEEE Transactions on Power Electronics, 2025, 40(4): 4805-4817.
[26] 管硕, 马建军, 朱淼, 等. 计及二次侧开关开路故障的半有源桥变换器多模式容错运行策略[J]. 电工技术学报, 2024, 39(6): 1843-1858.
Guan Shuo, Ma Jianjun, Zhu Miao, et al. Multi-mode fault-tolerant operation strategy of semi-dual active bridge converter considering open-circuit fault of the secondary side switch[J]. Transactions of China Electrotechnical Society, 2024, 39(6): 1843-1858.
[27] Ferreira V N, Vazquez N, Cardoso B, et al. Hybrid multiple-active bridge for unequal power flow in smart transformers[C]//2019 IEEE Energy Conversion Congress and Exposition (ECCE), Baltimore, Maryland, USA, 2019: 5016-5021.
[28] Sun Changjiang, Wang Shuai, Pou J, et al. Asymmetrical- bidirectional input-series-output-parallel modular DC-DC converter in DC distribution grids with renewables[J]. IEEE Transactions on Power Elec- tronics, 2024, 39(4): 3943-3949.
[29] Zhu Rongwu, Hoffmann F, Vazquez N, et al. Asymmetrical bidirectional DC-DC converter with limited reverse power rating in smart transformer[J]. IEEE Transactions on Power Electronics, 2020, 35(7): 6895-6905.
[30] Wang Kangan, Wu Siyu, Fan Chenjie, et al. Peak current reduction of bidirectional-asymmetrical- power-flow DC-DC converters for low-penetration- renewable-energy power distribution networks[J]. IEEE Journal of Emerging and Selected Topics in Power Electronics, 2024, 12(5): 4342-4351.
[31] Xia Yanghong, Yu Miao, Peng Yonggang, et al. Modeling and analysis of circulating currents among input-parallel output-parallel nonisolated converters[J]. IEEE Transactions on Power Electronics, 2018, 33(10): 8412-8426.
[32] Meng Xiangqi, Jia Yanbing, Ren Chunguang, et al. Modular circulating current and second harmonic current suppression strategy by virtual impedance for DC solid-state transformer[J]. IEEE Transactions on Power Electronics, 2021, 36(10): 11921-11933.
[33] Mouser Electronics[EB/OL]. https://www.mouser.cn/.
[34] 电子设备可靠性预计手册: GJB/Z-299C—2006[S].北京: 总装备部军标出版发行部, 2006.
Abstract For applications of solid state transformers with dedicated asymmetric energy transmission scenarios, this paper proposes an asymmetrical bidirectional active bridge (ABAB, abbreviated as AB2) DC-DC converter topology. The topology consists of a parallel-connected active bridge and semi-active bridge, which enables asymmetrical bidirectional power transfer with different rated values to increase device utilization and reduce overall system cost.
First, the principle and power transfer characteristics for the AB2 converter are described based on circuit modal analysis. A dual-mode modulation strategy integrated with a unified phase-shift duty cycle is proposed. When operating in the forward power transfer mode, the dual semi-active bridge configuration is activated. In contrast, in the backward mode, the converter operates similarly to a typical dual active bridge (DAB) converter. This strategy retains the bidirectional power transfer capability and wide range zero-voltage switching ability of traditional DAB. Moreover, circulating power suppression and smooth mode switching strategy are also studied. By integrating the proposed circuit with a modified modulation strategy, the devices in the backward power transfer path can adapt to the actual power transfer requirements. The hybrid parallel structure in AB2 facilitates balanced distribution of current stress, improving power losses and system reliability. Circuit parameter design methods and closed-loop feedback control strategies are provided based on a unified phase-shift modulation and a proportional-integral regulator, as shown in Fig.8 and Fig.13. Furthermore, the soft-switching area of the AB2 circuit is derived under different conditions.
Then, taking a vehicle-to-grid interactive charging station as an example, the conceptual system is designed and compared based on three isolated DC-DC converter topologies, including DAB, AB-DC-DC, and AB2 converters. The required DC-DC converter module has a forward rated power of 160 kW and a reverse rated power of 96 kW. According to simulation results calculated by power loss analysis tools within PLECS, the AB2 topology exhibits a 16.5% reduction compared to DAB and an 8.1% reduction compared to the AB-DC-DC topology in forward mode. In backward mode, the AB2 topology demonstrates a 39.2% loss reduction compared to the AB-DC-DC configuration that suffers from circulating current power losses. Meanwhile, AB2 demonstrates total cost reductions of 18.03% and 10.95% compared to DAB and AB-DC-DC topologies, respectively.
Finally, a down-scaled prototype of the AB2 converter with rated powers of 140 W (forward) and 60 W (backward) is built up. Experimental results show that the operating principle and soft-switching characteristics of the circuit are consistent with theoretical expectations. According to mode and sudden load change tests, the dynamic waveforms obtained from the prototype confirm the correctness and feasibility of the proposed modulation and control strategy for AB2. The peak efficiencies of the prototype are equal to 96.53% (forward) and 96.19% (backward). For full load variation, the efficiency degradation is approximately two percent, which remains within an acceptable tolerance range.
Keywords:Solid-state transformer, asymmetrical bidirectional active bridge DC-DC converter, dual-mode modulation, soft-switching operation
中图分类号:TM46
DOI: 10.19595/j.cnki.1000-6753.tces.250428
国家自然科学基金(52007118)和电力传输与功率变换控制教育部重点实验室开放课题(2023AC03)资助项目。
收稿日期 2025-03-10
改稿日期 2025-04-28
冯顶宽 男,2001年生,硕士研究生,研究方向为非对称直流变换器拓扑及其控制。
E-mail: 202330210105@stu.shmtu.edu.cn
高 宁 男,1987年生,副教授,研究方向为面向新能源发电应用的电力电子变换器。
E-mail: ngao@shmtu.edu.cn(通信作者)
(编辑 陈 诚)