摘要 针对非隔离型柔性潮流转供装置存在的漏电流抑制难度大、直流电压扰动多、多目标控制耦合性强等问题,该文提出一种三相三线和三相四线制混合的三电平柔性潮流转供装置,并针对该装置研发了共模漏电流直接闭环调节抑制方法和直流电压平衡控制策略。首先,建立非隔离混合型三电平柔性潮流转供装置的共模等效电路模型,得出共模漏电流的主要分量为3、9次谐波,进而提出共模漏电流特征次谐波分量直接闭环抑制策略。其次,为了应对潮流转供、共模漏电流抑制等过程中双侧变流器中二极管钳位电流引起的直流电压不均衡问题,提出二极管钳位电流的低频特征分量在线估算方法,并基于整流侧中线电流主动谐波注入实现了直流电压的高度均衡。最后,通过实验验证了所提方法的有效性。
关键词:柔性潮流转供装置 三电平变流器 漏电流 钳位电流估算 直流电压平衡
高比例新能源配电网面临着电能质量差、新能源就地消纳困难、光伏漏电流增大等问题[1]。为了解决上述难题,柔性互联装置(Flexible Inter- connection Device, FID)近年来获得了国内外的高度关注,其通过电力电子变流器将多个电压幅值、频率和相位不同的配电网和台区进行柔性互联[2-5],通过主动调节各个变流器端口的输出功率,实现台区间的灵活潮流调节、主动电压支撑,以提高系统运行的经济性和供电可靠性。
在低压台区互联场景中,二极管钳位三电平FID因具有低谐波含量、能耗低、输出功率范围大、技术成熟等优点而获得广泛应用[6-7]。为了进一步降低FID的成本和体积,提升设备效率,非隔离型三电平FID拓扑结构及其控制方法是近年来的研究热点。但是非隔离型变流器三相脉宽调制(Pulse Width Modulation, PWM)产生共模电压,可通过低压台区直接接地系统产生共模环流,共模漏电流可造成保护设备误动作、电力电子设备应力增加、通信干扰等问题,严重影响配电网的安全运行[8-9]。此外,传统三电平FID需主动调节直流中点电压平衡,其调节方法与共模漏电流抑制相互耦合[10-11],若调节不当可进一步增大漏电流并造成直流母线中点电位振荡[12]。
目前相关学者对共模电压及共模漏电流抑制的解决方法可以分为优化拓扑结构硬件和改进调制策略[13-14]两方面。在优化拓扑结构方面,部分研究通过在变流器线路中增加一体化电抗器、共模扼流圈等共模滤波器,能有效抑制共模漏电流,但会增加系统成本和体积以及共模滤波器的设计难度;在改进调制策略方面,文献[15]提出了一种改进的特定谐波消除脉宽调制,通过动态地改变小矢量的开关状态,在有效地降低了共模电压幅值的同时保证了直流电压的自平衡,但该方法增加了开关管的开关损耗以及算法的复杂度。文献[16]提出了一种优化的非连续脉宽调制方法,通过中点电位不平衡度大小来优化开关状态的顺序来降低共模漏电流,但该方法计算复杂、需配合高算力控制系统加以实现。文献[17]针对并联逆变器提出了一种使用零共模矢量合成参考矢量的改进调制方法,能够有效降低共模电压的幅值并且改善电流波形,但该方法受死区时间以及调制比大小等因素影响较大。文献[18]基于传统空间矢量调制提出了一种通过两个相反的大矢量来合成零矢量的无零矢量脉宽调制(Active Zero Vector Pulse Width Modulation, AZVPWM)方法,有效地降低了变流器共模电压的峰值,但该方法抑制共模漏电流效果不明显,还可能使开关损耗进一步增大。
相比于共模电压和漏电流抑制,中性点电位平衡的研究更为透彻。文献[19]提出了一种基于过渡占空比和启用桥臂的混合调制策略,保证了在所有调制范围内将直流电压差值都控制到最小,但在一定程度上增大了电流的畸变率和器件的开关损耗。文献[20]提出了一种简化的三维空间矢量调制方法,缩减了三维空间矢量调制方法的计算时间,但在中点电位偏移量较大时,容易出现过调制现象,无法保证变流器正常工作。文献[21]提出了一种基于调制波分解的虚拟空间矢量脉宽调制策略,在调制度较高的情况下同时实现中点电位平衡和开关损耗的降低。但其在全功率因数及全调制比范围内具有4个不同的调制模式,计算复杂度很大,硬件系统的成本高。需要指出的是,总体而言,中性点电位平衡方法对共模电压抑制和漏电流的影响尚不 明确。
本文针对共模漏电流抑制和直流中点电位平衡控制的耦合难题,提出了一种三相三线和三相四线制混合型低压配电网台区柔性互联设备,在分析共模电压和漏电流回路特性、直流侧电压扰动影响因素的基础上,提出了一种基于三相三线制端口共模电压指定谐波调制的漏电流高效抑制方法。此外,针对三相三线和三相四线制三电平变流器调制过程中钳位电流和漏电流扰动对直流电压中性点电位的影响,提出了一种扰动电流在线估算方法,并通过变流器中线电流控制实现了高效的扰动电流补偿。最后通过仿真和实验验证了所提方法相比于传统正弦脉宽调制(Sinusoidal Pulse Width Modulation, SPWM)和AZVPWM两种方法的有效性。
柔性互联设备拓扑结构如图1所示。隔离型传统FID如图1a所示,其通过变压器将漏电流完全阻断,但是隔离变压器体积大、成本高,装置的安装位置和空间限制制约了该电路的应用和推广。为了克服这一局限性,近年来国内外学者提出了非隔离型FID结构[6],如图1b所示。
图1 柔性互联设备拓扑结构
Fig.1 Flexible interconnected device topologies
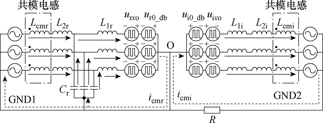
然而,非隔离型三电平FID在调制中产生了直流电压波动平衡、共模漏电流增大、多类扰动耦合性强等问题。为了克服这一挑战,本文提出了三相三线和三相四线制混合型三电平FID拓扑结构如图2所示。装置由两组二极管钳位型三电平变流器背靠背构成,分别定义为整流器和逆变器。两侧变流器通过LCL型滤波器与电网相连接。Lr1、Cr、Lr2和Li1、Ci、Li2分别为整流器与逆变器的机侧滤波电感、滤波电容与网侧滤波电感,Lcmr和Lcmi为两侧电网的共模滤波电感,R为两侧电网接地点间的等效电阻。vgr (era、erb、erc)与vgi (eia、eib、eic)分别为两侧所连接的电网电压,igr、irx与igi、iix分别为变流器两端的机侧电流与网侧电流,x=a, b, c分别代表拓扑中的abc三相)。icm为系统共模漏电流。Sxh1~Sxh4为变流器一相桥臂的4个开关器件,VDxh5、VDxh6为变流器一相桥臂的2个钳位二极管(h=r, i代表整流器与逆变器;P、O与N代表直流侧的正极、中点与负极。Cp、Cn分别为直流侧上、下直流母线电容,Vdc1、Vdc2分别为直流侧上、下直流电容两端电压。
图2 三电平FID拓扑结构
Fig.2 Topology and control block of three-level converter
共模电压定义为直流母线中点对电网中点的电压,可以表示为
(1)
式中,ucm为单个变流器的共模电压;每相桥臂具有p、o、n三种开关状态,uhxo为该两侧变流器三相输出的电压,有
(2)
采用传统SPWM三电平变流器三相输出电压波形如图3所示。
图3 三电平变流器三相输出电压波形
Fig.3 Three-level converter output voltage waveforms
每相桥臂输出电压开关周期平均值可以表示为
(3)
式中,Vmsin(wt)为每相期望输出的三相对称电压;Vdc为直流总电压。在传统SPWM方法下,如果上、下直流电容电压不平衡,会影响每相输出电压正负半周幅值,可能会进一步放大共模电压,对系统稳定性造成危害。
实际a相输出的脉冲电压波形可以分解为
(4)
(5)
(6)
式中,J( · )为贝塞尔函数;Ck,l为输出低频谐波的幅值;Dn,m为输出高频谐波的幅值;wc为开关角速度。从式(4)可以看出,当考虑直流电压不平衡时,输出脉冲电压中包含基频、低频和高频分量。
为了更加直观地得到考虑直流电压不平衡时共模电压的特性,通过式(4)对三电平变流器拓扑进行了仿真分析。共模电压频谱如图4所示,在固定调制比M=0.8下,由正弦脉宽调制以及直流电压不平衡产生的共模电压主要分量为3、9次谐波分量以及开关频率次分量。此外,开关器件的高频开关动作导致变流器共模电压中的高频分量占比较高,所以本拓扑在交流侧串接一个共模电抗器来抑制共模电压的高频分量。
图4 共模电压频谱
Fig.4 Common mode voltage spectrogram
在不同调制比下三电平变流器的低频共模电压分量趋势如图5所示。图5显示不同调制比下特征次共模电压分量的变化规律。随着调制比的上升,式(5)中贝塞尔函数值下降导致共模电压的3次和9次等低频分量都逐步降低。
图5 不同调制比下低频共模电压分量趋势
Fig.5 Trend plot of low-frequency common-mode voltage components at different modulation ratios
综上所述,产生的共模电压主要由两个因素引起,即正弦脉宽调制和直流电压不平衡,其中产生共模电压的主要分量为3、9次分量和开关频率次分量。而当考虑功率器件开关动作延时、死区时间等非理想因素时,这类因素产生的是共模电压扰动分量,表现为共模电压调制叠加上非线性扰动,下面以死区时间为例进行分析。
如图2所示,该FID整流侧台区采用三相四线制,逆变侧台区采用三相三线制,两边电网中性点接地,两接地点之间可简化为一个较小的等效电阻连接,两边加装共模电抗器增大系统共模回路阻抗。
根据电路结构建立系统的共模回路简化模型如图6所示,其中整流器和逆变器等效为脉冲共模电压源,ur0_db和ui0_db分别为其死区时间所产生的共模电压扰动。其他如开关器件非线性特性、开关延迟等因素注入的扰动,由于其作用效果在共模电压上主要呈现为低频扰动,与图6中死区效应所带来的共模扰动ur0_db和ui0_db没有质的差别,为了便于分析,统一等效为共模扰动电压源ur0和ui0。
图6 共模回路简化模型
Fig.6 Simplified model of common mode circuit
共模阻抗模型如图7所示,整流侧高频的共模漏电流主要流过LCL型滤波电容Cr,而低频的共模漏电流由电网侧串联的共模电感滤除。由于整流侧接地点与直流电容中性点短接,而逆变侧共模漏电流直接经过直流电容中性点流回逆变器,因此整流侧和逆变侧共模漏电流回路相互独立,故而可以分开讨论。
图7 共模阻抗模型
Fig.7 Common mode impedance model
图7中,Vcmr和Vcmi分别为整流侧和逆变侧共模回路等效共模电压,根据图7可以得到双侧共模漏电流和共模电压的关系为
(7)
(8)
式中,G1(s)为逆变侧漏电流回路导纳传递函数;G2(s)为整流侧漏电流回路导纳传递函数;共模回路等效总电感Lt表示为
(9)
由式(7)~式(9)得到双侧变流器共模回路传递函数Bode图如图8所示。整流侧在3次和9次谐波导纳增益分别为-30.7 dB和-8.7 dB,由于采用三相四线制接法再加上电网侧串联共模电抗,流过电网的漏电流很小。而逆变侧在3次和9次谐波导纳增益分别为-19.6 dB和-27.9 dB,因此对应频段的共模电压会在共模回路中产生较大的漏电流。对于15次以上的分量有很强的衰减作用,所产生的影响可以忽略。
图8 共模回路伯德图
Fig.8 Common mode loop Bode plot
为了定量分析不平衡电压的规律,首先建立不同开关状态下的桥臂电流通路如图9所示。当开关状态处于p状态时,相电流通过Sxh1和Sxh2上直流母线电容和中线构成回路,电流为正时,Vdc1充电;反之,Vdc1放电。当处于o状态时,该相电流通过Sxh2或Sxh3以及钳位二极管和中线构成回路,这时没有电流流过直流电容,所以o状态不会影响中点电位的偏移。当处于n状态时,该相电流通过Sxh3和Sxh4和下直流母线电容和中线构成回路,电流为正时,Vdc2放电;反之,Vdc2充电。
图9 桥臂电流通路
Fig.9 Bridge arm current path
因此,可以根据开关状态和作用时间估算出该桥臂的钳位电流,具体实现方式如下。
在一个开关周期下,通过安秒平衡原理可以得到该变流器钳位电流的开关周期内平均值为
(10)
式中,Tao、Tbo和Tco为三相桥臂每个开关周期下o状态的作用时间,其可通过图3中载波与三相电压调制波比较计算。考虑到设备处于稳态运行时,每相桥臂参考电压和电网相电压类似,因此可用电网相电压来代替输出电压调制比,进而得到简化的中点钳位电流估算值为
(11)
变流器钳位电流对比分析如图10所示。图10a和图10b中,仿真所得变流器双侧钳位电流低频分量主要为3次谐波,高频分量为开关次谐波。由于直流中点电压主要受低频谐波影响,将钳位电流进行低通滤波后波形(见图10c)和式(9)估算的钳位电流低频分量(见图10d)对比可知,两组曲线的幅值和相位高度一致。因此,可通过估算电流
来近似模拟钳位电流扰动的影响。
图10 变流器钳位电流对比分析
Fig.10 Comparative analysis of converter clamp currents
对图2直流中点O列写基尔霍夫电流方程得
(12)
式中,iC1、iC2分别为上、下直流母线电容电流;iO1和iO2分别为整流侧和逆变侧变流器二极管钳位电流;iN为电网中性点与直流中性点连线上的电流,可以进一步得到
(13)
式中,整流侧和逆变侧变流器的二极管钳位电流iO1和iO2可以通过(11)精准估算;icmi为逆变侧共模漏电流,可以通过逆变侧三相电流传感器测量间接获取。通过整流侧变流器电流控制实现中线电流补偿扰动电流,使整流侧直流电压平衡控制与逆变侧共模漏电流控制相互解耦。
针对三相三线制和三相四线制混合型FID的特征和主要问题,本文提出了基于在线扰动电流估算的前馈解耦型直流电压平衡和指定次共模漏电流高效闭环抑制的协同控制方法,具体控制框图如图11所示。图中,
为直流电流参考值,
和
分别为直流电压外环输出的d、q轴电流参考值,vrabc为整流侧控制输出的电压调制波,
和
为逆变侧功率参考值,Pi和Qi为逆变侧实际输出功率,
为逆变侧控制输出的电压调制波。三相四线制整流侧变流器采用交流侧有功电流控制实现直流电压稳定,中线电流调节维持直流中点电位平衡,三相三线制逆变侧变流器采用共模和差模电流独立控制,实现装置转供功率的控制和共模漏电流的抑制。
图11 系统总体控制框图
Fig.11 Control block diagram of the system
因篇幅限制,本文对传统直流电压控制、锁相环、调制方法等环节不再赘述。下面将对所提闭环共模漏电流控制和直流电压平衡控制进行详细阐述。
如图11所示,逆变侧变流器在传统功率控制环路中加入了零序控制单环,在功率控制外环输出正弦参考上注入了零序分量,可以得到
(14)
式中,iia、iib和iic为逆变器三相输出电流;
为共模漏电流控制环路输出的零序分量;GPR2(s)为准
比例谐振控制器传递函数,则
(15)
式中,kpr2为逆变侧电流环调节PR控制器的比例增益;kr2为逆变侧谐振峰增益;
为逆变侧带宽频率;
为逆变侧基波角频率。
为了实现对钳位电流中3次和9次谐波电流的高效补偿,加入了3次和9次谐波电流的谐振控制器整流侧电流内环的PR控制器GPR1(s)表示为
(16)
(17)
式中,
为直流电压外环输出的三相电流参考值;
为直流电压平衡控制输出的零序电流;kpr1为整流侧电流环调节PR控制器的比例增益;kr1为整流侧谐振峰增益;wc1为整流侧带宽频率;w0为整流侧基波角频率。
针对所提变流器拓扑整流侧采用三相四线制的特点,直接在整流侧电流内环输出的电流参考上注入直流电压偏差经过PI控制器输出的零序电流参考
,其表示为
(18)
式中,GPI2(s)为比例积分控制器的传递函数;kp2为PI控制器的比例系数;ki2为控制器的积分系数。
由于直流电压偏差受逆变侧共模漏电流以及钳位电流等扰动分量影响,所以在零序电流参考前馈扰动电流分量为
(19)
式中,
为直流电压平衡控制环路输出的零序电流;
和
为式(11)所示的变流器钳位电流低频分量。
为了验证所提控制方法的有效性,本节将针对整流侧和逆变侧闭环控制环路进行建模分析。
2.3.1 共模漏电流抑制效果评价
首先从逆变侧共模漏电流控制分析入手,共模漏电流控制环路如图12所示。iref为共模漏电流参考值,与理想情况相比,实际控制环路中死区时间等因素产生的共模扰动电压会叠加在三相电压调制波上,其幅值与特征分量与1.2节分析一致,GPR2(s)为准比例谐振控制器传递函数。
图12 共模漏电流控制环路
Fig.12 Common mode current closed-loop transfer function
根据图12可以得到输出共模漏电流表达式为
(20)
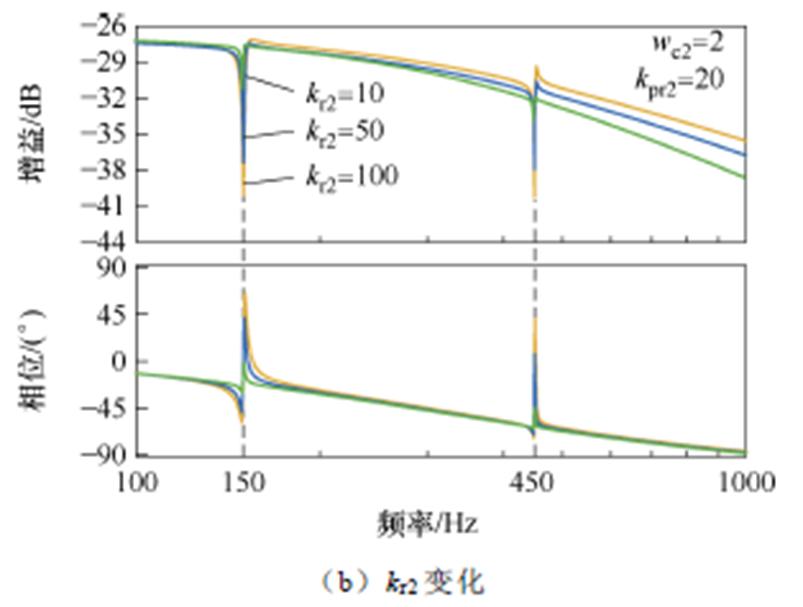
H1(s)传递函数响应特性曲线如图13所示。图13a中显示了不同比例系数kpr2下,输出共模漏电流对输入共模漏电流参考值的跟踪特性。由于共模漏电流的主要分量包括直流及3次和9次谐波,可以看出当比例系数kpr2≥10时,对于共模漏电流参考值的直流分量及特征次谐波的跟踪效果较好。图13b中显示了不同kr2下,输出共模漏电流对输入共模漏电流参考值的跟踪特性。当kr2过大时,可能会导致谐振;当kr2过小时,对部分零序分量的跟踪效果不佳。所以根据分析可以得出10≤kr2≤50。
图13 H1(s)传递函数响应特性曲线
Fig.13 H1(s) transfer function response characteristic curves
图14a中显示了不同比例系数kpr2下,共模控制闭环对杂散输入零序电压扰动的抑制特性。随着比例系数kpr2的增加,对低频分量的增益减小,而零序电压在共模漏电流3次和9次谐波分量的增益差异很小。考虑到ui0中有一部分是非理想因素造成的共模电压低频分量扰动,使kpr2≥5来减小该扰动带来的影响。图14b中显示了不同谐振系数kr2下,共模控制闭环对杂散输入零序电压扰动的抑制特性。当kr2增大时,共模漏电流闭环控制器对3次和9次谐波的抑制效果更好,对扰动其他低频分量增益差距很小。当kr2到达50以上时,其增益变化趋势明显平缓。

图14 H2(s)传递函数响应特性曲线
Fig.14 H2(s) transfer function response characteristic curves
2.3.2 直流电压均衡控制效果评价
直流电压平衡控制环路如图15所示。电流内环控制环路如图15a所示,可以得到传递函数为
(21)
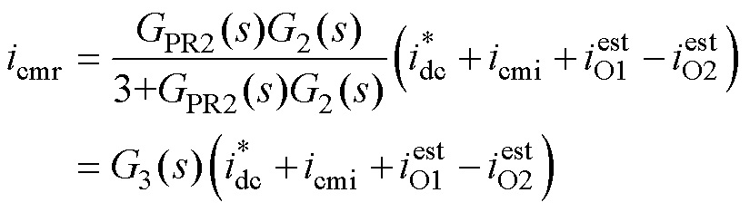
式中,G2(s)为整流侧共模回路的传递函数;G3(s)为电流内环控制环路的传递函数。
图15 直流电压平衡控制环路
Fig.15 DC voltage balancing control loop
由图15b得到的传递函数可以表示为
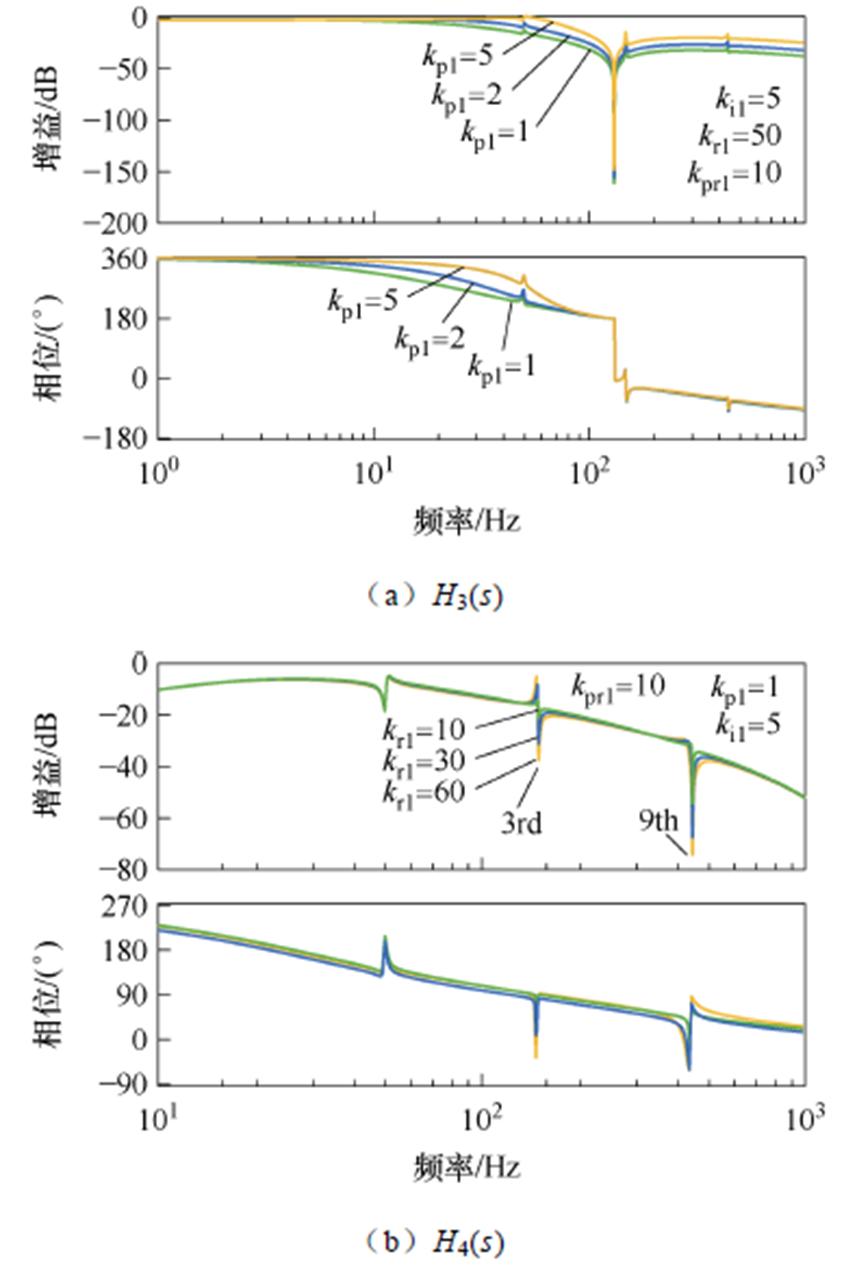
(22)
直流电压偏差控制响应特性曲线如图16所示。图16a显示了直流电压偏差对输入电压偏差参考的跟踪特性,直流电压调节控制器比例系数kp1在1~5内时电压偏差对参考值在直流下的增益趋近于零,表明所提控制方法中直流电压偏差对直流电压偏差参考值的跟踪效果很好。图16b所示显示了对逆变侧共模漏电流及钳位电流低频分量的抗扰特性。当比例谐振控制器中的3、9次谐波谐振系数kr1≥30时,逆变侧共模漏电流以及变流器二极管钳位电流对电压偏差在3次和9次谐波的负增益很大。表明逆变侧共模漏电流和双侧变流器二极管钳位电流对中点电位的影响能通过前馈解耦有效补偿。
图16 直流电压偏差控制响应特性曲线
Fig.16 DC voltage deviation control response characteristic curves
为验证所提共模漏电流抑制和中点电位平衡控制的可行性,搭建混合型三电平柔性潮流转供装置实验平台如图17所示,详细的实验参数见表1。
图18为采用传统SPWM控制方法下双侧变流器的电网电压、电网电流波形和直流电压偏差、系统共模漏电流实验波形。此时整流侧电网电流波形接近正弦(THD=2.43%),而逆变侧电网电流受共模漏电流影响存在显著畸变(THD=6.43%)。此外,传统控制方法下共模漏电流峰值为1.48 A,其中主要分量为3次和9次谐波。由于小电容直流母线整流侧中线电流控制带宽较低,此时中性点直流电压偏差Vdc1-Vdc2=5.12 V。
图17 实验平台
Fig.17 Experimental platform
表1 非隔离混合型三电平潮流转供装置关键参数
Tab.1 Parameters of non-isolated hybrid three-level trend-shifting device
参 数数 值 主电路开关频率fs/kHz10 电网线电压Vgr, Vgi/V110, 50 网侧共模电感Lrcm, Licm/mH10 网侧滤波电感L2r, L2i/mH0.05 滤波电容Cr, Ci/μF48 机侧滤波电感L1r, L1i/mH0.22 滤波电容连接电阻Rc/W1/3 中线连接等效电阻R/W1 直流侧上、下电容Cp, Cn/mF1 000 直流侧参考电压Vdc/V250 控制器直流电压环PI调节器kp1/(A∙V-1)1 ki1/(A∙V-1∙s-1)5 电流环PR调节器kpr1/(A∙V-1)10 kr1/(A∙V-1)60 中点电位PI调节器kp2/(A∙V-1)1 ki2/(A∙V-1∙s-1)1 功率环PI调节器kp3/(A∙V-1)1 kp4/(A∙V-1)10 ki3/(A∙V-1∙s-1)1 ki4/(A∙V-1∙s-1)10 共模环路PR调节器kpr2/(A∙V-1)20 kr2/(A∙V-1)50
图18 采用传统SPWM控制方法下系统实验波形
Fig.18 Experimental waveforms of the system using the conventional SPWM control method
当采用所提控制方法后,双侧变流器的电网电压、电网电流波形和直流电压偏差、共模漏电流实验波形如图19所示。此时由于共模漏电流得到了高效抑制,逆变侧电网电流接近正弦(THD=2.64%);另一方面,由于整流侧变流器需通过中线电流控制平衡直流母线电压,此时整流侧电流畸变率放大(THD=4.64%)。应用所提方法后,共模漏电流峰值降低为0.25 A,相比传统控制系统降低约83%。此外通过直流电压平衡控制、二极管钳位电流和共模漏电流的前馈补偿,直流电压偏差Vdc1-Vdc2= 2.53 V,同比传统控制系统降低50%。
图19 采用所提控制方法下系统实验波形
Fig.19 Experimental waveforms of the system using the proposed control method
图20为转供功率参考Pref跳变下的双侧变流器的三相电网电流、共模漏电流、直流电压偏差动态波形。可见当应用所提方法后,系统仍能维持较快的动态响应速度,双侧变流器三相电流经过4个周波重新到达稳态。在调节过程中,漏电流和直流电压不均衡仅在初始阶段存在小幅放大,但很快恢复至初始幅值。
图20 转供功率跳变下的动态波形
Fig.20 Dynamic waveforms under power transfer jumps
图21为采用AZVPWM、传统SPWM控制方法以及本文所提方法后系统共模漏电流和逆变侧电流波形。可见采用AZVPWM时系统共模漏电流峰值为0.57 A,此时逆变侧电流受共模漏电流影响存在畸变(THD=4.25%)。采用传统SPWM控制方法时系统共模漏电流峰值为1.03 A,其中主要分量为3次和9次谐波,与1.1节分析一致,此时逆变侧电流存在显著畸变(THD=6.39%)。而当采用本文所提方法时,逆变侧电流接近正弦(THD=2.14%),系统共模漏电流峰值降低到0.14 A,同比传统SPWM控制和AZVPWM降低86.4%和75.3%,所以本文所提方法通过对共模漏电流特征次直接闭环控制能够高效抑制系统共模。

图21 采用不同方法逆变侧电流和共模漏电流波形
Fig.21 Waveforms of inverter side current and common mode leakage current with different methods
为了验证直流母线电压波动抑制方法的效果,在仿真中验证了一个相对极端(直流总电容降低到500 mF)的工况。
直流电容电压纹波在补偿前后对比结果如图22所示,可见未补偿前直流电压差纹波峰峰值达到11.6 V,应用所提方法后直流电压差纹波峰峰值降低到1.86 V,降幅高达84%,进一步表明了本文所提钳位估算电流前馈补偿方法降低直流电容电压纹波效果的有效性。此外,由于钳位估算电流和系统共模电流以零序分量的形式平均叠加在整流器网侧电流上,整流器网侧电流补偿后谐波显著上升。但逆变器网侧电流谐波和系统共模漏电流并无明显变化,为轻量化柔性潮流转供装置提供了新的应用场景。
图22 直流小电容工况下的系统仿真波形
Fig.22 System simulation waveforms under DC small capacitor operating conditions
本文针对三电平非隔离潮流转供装置存在的漏电流增大、直流母线中点电位平衡难、多源扰动强耦合的问题,提出了三相四线制和三相三线制混合型三电平潮流转供装置电路结构,并提出了共模电压直接调制的漏电流高效抑制技术。此外,还提出了一种三电平变流器的双侧钳位电流在线估算方法,利用估算的钳位电流作为整流侧变流中线电流参考的前馈分量,实现了直流侧中点电压高效平衡,突破了漏电流抑制和电压平衡的难以兼顾的难题。相比于传统的柔性潮流转供装置,本文所提装置具备如下优点:
1)完全移除了成本高、体积大的隔离变压器,为紧凑型柔性潮流转供装置提供了一种新思路。
2)通过三相三线制和三相四线制混合型拓扑结构扩展了调制的自由度,实现了兼顾直流电压平衡和共模漏电流的抑制的控制目标,避免了通过矢量选择导致的直流电压平衡和共模漏电流抑制强耦合难题。
3)通过三电平变换器的钳位电流精确估算前馈补偿,实现了电容电压波动的高效抑制,为轻量化柔性潮流转供装置提供了新的应用场景。
参考文献
[1] 胡鹏飞, 朱乃璇, 江道灼, 等. 柔性互联智能配电网关键技术研究进展与展望[J]. 电力系统自动化, 2021, 45(8): 2-12.
Hu Pengfei, Zhu Naixuan, Jiang Daozhuo, et al. Research progress and prospects of key technologies of flexible interconnected smart distribution net- work[J]. Automation of Electric Power Systems, 2021, 45(8): 2-12.
[2] 徐晓娜, 王奎, 李永东. 基于调制波分解的背靠背三电平变换器共模电压消除方法[J]. 中国电机工程学报, 2022, 42(8): 2957-2969.
Xu Xiaona, Wang Kui, Li Yongdong. A common- mode voltage elimination method based on modu- lation signal decomposition for the back-to-back three-level converter[J]. Proceedings of the CSEE, 2022, 42(8): 2957-2969.
[3] Xu Xiaona, Zheng Zedong, Wang Kui, et al. A carrier-based common-mode voltage elimination method for back-to-back three-level NPC con- verters[J]. IEEE Transactions on Power Electronics, 2022, 37(3): 3040-3052.
[4] 杨智彭, 何晋伟, 王成山. 面向独立供电系统的四桥臂电流源变流器3D-SVPWM方法[J]. 电力系统自动化, 2020, 44(16): 145-153.
Yang Zhipeng, He Jinwei, Wang Chengshan. Three- dimensional space vector pulse width modulation method of four-leg current-source converter for independent power supply system[J]. Automation of Electric Power Systems, 2020, 44(16): 145-153.
[5] 史维硕, 张昌浩, 韩俊飞, 等. 大功率并联电流源变流器五电平特定谐波消除法[J]. 电力系统自动化, 2021, 45(13): 167-175.
Shi Weishuo, Zhang Changhao, Han Junfei, et al. Five-level selective harmonic elimination method for high-power parallel current source converter[J]. Automation of Electric Power Systems, 2021, 45(13): 167-175.
[6] 徐畅, 宫金武, 张国琴, 等. 中点钳位型三电平逆变器并联系统的零序环流抑制策略[J]. 电工技术学报, 2023, 38(增刊1): 124-135.
Xu Chang, Gong Jinwu, Zhang Guoqin, et al. Zero sequence circulating current suppression strategy for midpoint clamped three-level inverter parallel system[J]. Journal of Electrical Engineering, 2023, 38(S1): 124-135.
[7] 陶星澳, 王丰, 卓放. 部分功率直流变换器研究综述[J]. 电工技术学报, 2024, 39(10): 3021-3037.
Tao Xingao, Wang Feng, Zhuo Fang. A review of research on partial power DC converters[J]. Journal of Electrical Engineering, 2024, 39(10): 3021-3037.
[8] 曹晓军, 何晋伟, 乔学博, 等. 非隔离型低压柔性潮流转供装置共模电流直接闭环抑制策略[J]. 电工技术学报 2025, 40(1): 152-163, 177.
Cao Xiaojun, He Jinwei, Qiao Xuebo, et al. Direct closed-loop suppression strategy for common mode current of non isolated low-voltage flexible power flow transfer device[J]. Journal of Electrical Engineering, 2025, 40(1): 152-163, 177.
[9] Li Xiaoyan, Qin Changwei, Chu Zhiyuan, et al. A novel modulation scheme for simultaneous common- mode voltage reduction and neutral-point voltage balance in the reduced switch count quasi-Z-source three-level inverter[J]. IEEE Transactions on Power Electronics, 2023, 38(10): 12035-12047.
[10] Wang Jinping, Zhai Fei, Wang Jianing, et al. A novel discontinuous modulation strategy with reduced common-mode voltage and removed DC offset on neutral-point voltage for neutral-point-clamped three- level converter[J]. IEEE Transactions on Power Elec- tronics, 2019, 34(8): 7637-7649.
[11] 夏帅, 郑京港, 陈瑞成, 等. 低共模电压双三电平变换器中点电位主动控制调制策略[J]. 电工技术学报, 2022, 37(24): 6388-6398.
Xia Shuai, Zheng Jinggang, Chen Ruicheng, et al. Low common mode voltage strategy with active neutral point voltage control of dual three level converters[J]. Transactions of China Electrotechnical Society, 2022, 37(24): 6388-6398.
[12] 蒋栋. 电力电子变换器的先进脉宽调制技术[M]. 北京: 机械工业出版社, 2018.
[13] 陈兮, 黄声华, 李炳璋, 等. 一种零序注入的三电平中点钳位型变换器中点电位平衡控制策略[J]. 电工技术学报, 2019, 34(2): 337-348.
Chen Xi, Huang Shenghua, Li Bingzhang, et al. A novel zero sequence injection scheme for three-level NPC converters considering neutral-point potential balance[J]. Transactions of China Electrotechnical Society, 2019, 34(2): 337-348.
[14] 罗锐, 何英杰, 陈晖, 等. 三电平变流器中点电位平衡及低开关损耗SVPWM策略[J]. 电工技术学报, 2018, 33(14): 3245-3254.
Luo Rui, He Yingjie, Chen Hui, et al. SVPWM scheme for three-level converters with neutral-point potential balancing and switching loss reduction[J]. Transactions of China Electrotechnical Society, 2018, 33(14): 3245-3254.
[15] 胡存刚, 胡军, 陈权, 等. 基于特定谐波消除PWM的三电平有源中点钳位逆变器共模电压抑制方法[J]. 电工技术学报, 2016, 31(16): 93-102.
Hu Cungang, Hu Jun, Chen Quan, et al. Suppression method of common-mode voltage for three-level active neutral-point-clamped inverter based on selective harmonics elimination PWM[J]. Transa- ctions of China Electrotechnical Society, 2016, 31(16): 93-102.
[16] Zou Yuhang, Zhang Li, Xing Yan, et al. An optimized DPWM with reduced leakage current for three-phase three-level inverters with unbalanced neutral-point voltage[J]. IEEE Transactions on Power Electronics, 2024, 39(12): 16346-16360.
[17] Jiang Dong, Shen Zewei, Wang Fei. Common-mode voltage reduction for paralleled inverters[J]. IEEE Transactions on Power Electronics, 2018, 33(5): 3961-3974.
[18] Hava A M, Ün E. Performance analysis of reduced common-mode voltage PWM methods and com- parison with standard PWM methods for three-phase voltage-source inverters[J]. IEEE Transactions on Power Electronics, 2009, 24(1): 241-252.
[19] 张国荣, 吴一鸣, 彭勃, 等. 三相四线制三电平变流器的优化调制策略[J]. 电力系统自动化, 2018, 42(22): 187-193.
Zhang Guorong, Wu Yiming, Peng Bo, et al. Optimal modulation strategy for three-phase four-wire three- level converter[J]. Automation of Electric Power Systems, 2018, 42(22): 187-193.
[20] 王金平, 刘斌, 董浩, 等. 中点钳位型三电平逆变器基于调制波分解的调制策略[J]. 电工技术学报, 2023, 38(12): 3221-3233.
Wang Jinping, Liu Bin, Dong Hao, et al. Modulation strategy based on modulation wave decomposition for midpoint clamped three-level inverter[J]. Journal of Electrical Engineering, 2023, 38(12): 3221- 3233.
[21] Guan Bo, Liu Zhenhua. Hybrid modulation strategy with neutral point potential balance of T-type three- level converter under switch open-circuit fault[J]. IEEE Transactions on Industrial Electronics, 2022, 69(11): 10797-10806.
Abstract Non-isolated flexible current transfer devices face three challenges in engineering applications. (1) Leakage current suppression difficulty. Due to the lack of a physical isolation layer, the high-frequency switching action generated by the common-mode voltage and the system-to-ground parasitic capacitance can form a resonant loop, triggering leakage currents at the ampere level. (2) The DC voltage multi-source perturbation is significant. The coupling of power mutation, impedance network resonance, and other multi- physical fields exacerbates the risk of DC bus voltage instability. (3) Strong coupling of multi-objective control, such as the power dynamic response, leakage current amplitude, midpoint potential equilibrium, redundant vector selection, and the voltage loop bandwidth.
This paper proposes a three-phase, three-wire and a three-phase, four-wire hybrid three-level flexible current transfer device. A direct closed-loop regulation suppression method of common-mode leakage current and a DC voltage balance control strategy are developed. Firstly, the common-mode equivalent circuit model of the non-isolated hybrid three-level flexible trend-switching device is established. The main components of the common-mode leakage current are the third and ninth harmonics. A direct closed-loop suppression strategy is proposed for the characteristic subharmonic components of the common mode leakage current. Secondly, an online estimation method is proposed for the low-frequency eigencomponent of the diode clamping current. A high degree of DC voltage equalization is achieved through the active harmonic injection of the midline current on the rectifier side.
The experimental results show that the proposed method efficiently suppresses common-mode leakage current. The inverter-side grid current is close to sinusoidal, with a total harmonic distortion (THD) of 2.64%. As the rectifier-side converter needs to balance the DC bus voltage through midline current control, the rectifier-side current distortion rate increases (THD=4.64%). The peak common-mode leakage current is reduced to 0.25 A, approximately 83% lower than that of the conventional control system. In addition, through DC voltage balance control, diode clamping current, and common-mode leakage current feed-forward compensation, the DC voltage deviation is 2.53 V, a 50% decrease compared to the traditional control system.
The following conclusions can be drawn. (1) The isolation transformer with high cost and large size is completely removed, which provides a new idea for the compact, flexible current transfer device. (2) The control objective of DC voltage balance and common mode leakage current suppression is realized, avoiding the strong coupling problem caused by vector selection. (3) The capacitor voltage fluctuation suppression provides an accurate estimation of the clamping current of the three-level converter.
Keywords:Flexible current transfer device, three-level converter, leakage current, clamp current estimation, DC voltage balance
中图分类号:TM46
DOI: 10.19595/j.cnki.1000-6753.tces.250319
国家电网总部科技资助项目(521001250022-064-ZN)。
收稿日期 2025-02-27
改稿日期 2025-04-22
包明骏 男,2000年生,硕士研究生,研究方向为微电网和分布式发电、新能源并网。
E-mail: 2022234410@tju.edu.cn
何晋伟 男,1983年生,教授,博士生导师,研究方向为微电网和分布式发电、新能源并网装备与控制、电能质量等。
E-mail: jinwei.he@tju.edu.cn(通信作者)
(编辑 陈 诚)