摘要 大功率高功率密度永磁推进电机是未来飞机电推进系统的核心部件,也是实现中大型电推进飞机的关键挑战。该文对百kW级和MW级高功率密度永磁推进电机进行了权衡优化设计与分析。首先,基于飞机电推进系统负载特性,归纳了大功率推进电机的关键参数权衡设计规律。针对推进电机的高功率密度、高效、高可靠要求,结合解析分析和有限元仿真方法,对移相多三相绕组重构机理和多段式Halbach阵列永磁体构型进行研究,并通过遗传算法多目标优化实现了推进电机功率密度的极限化提升。然后,对永磁推进电机的电磁特性、结构强度及单向/双向油道浸油冷却系统进行了多物理场分析,证明了推进电机优异的输出性能及其在高电流密度下的高效冷却散热能力。最后,基于110 kW永磁推进电机样机进行了电磁和冷却特性实验,表明了大功率高功率密度推进电机分析的正确性和设计的可行性,为未来MW级永磁推进电机的研制和验证提供了参考。
关键词:电推进飞机 推进电机 永磁同步电机 大功率 高功率密度
电推进飞机将飞机动力系统电气化,能够大幅提升飞机动力系统的能量利用效率,降低碳排放,是航空业绿色发展的重要途径[1-3]。美、欧各国已全面实施电推进飞机发展战略[4]。我国近年来先后印发《电动飞机发展白皮书》《新能源飞行器发展展望》《绿色航空制造业发展纲要(2023—2035年)》,多次指出要“推动下一代国产民机绿色化发展”“鼓励研发新能源航空器”。电推进飞机是我国航空业实现绿色发展的必然选择,是实现与世界航空强国并驾齐驱的重要领域[5]。
推进电机系统是电推进飞机中的核心动力单元,取代传统飞机中的发动机直接为飞机提供推进动力,决定了电推进系统的能源利用率和推进效能。小型电推进飞机(如电动垂直起降飞行器等)多采用十kW至百kW级推进电机系统[6-7],中大型电推进飞机(支干线客机等)则需采用MW至十MW级推进电机系统[8]。
电推进飞机对推进电机系统的安全性、轻量化和效率等方面提出了相比传统航空电机更为严苛的性能要求。美国国家航空航天局(National Aeronautics and Space Administration, NASA)对于STARC-ABL概念飞机配备的2.6 MW推进电机系统,要求电机功率密度达到13 kW/kg,效率达到96%;对于N3-X概念飞机上的3 MW推进电机系统,要求电机功率密度达12.7 kW/kg[8]。可见,电推进飞机中大功率推进电机的功率密度要求远高于传统航空电机的现有技术水平。高功率密度推进电机技术是飞机大功率电推进系统的重要基础和关键挑战。
永磁电机具有高功率密度和高效率的突出优势,是目前研究和应用中飞机推进电机的主流类型[9-12]。近年来,许多机构针对小型电动固定翼飞机[13]、eVTOL飞行器[14-15]、直升机电动尾桨[16]等应用场合的中小功率永磁推进电机进行了广泛研究,部分已装机应用,但国内外针对大功率永磁推进电机的研究仍然较少。
表1总结了目前研发中的典型飞机大功率高功率密度永磁推进电机关键参数[17-23]。为实现高功率密度、高效率、高可靠性要求,飞机大功率推进电机通常具有高速、高转子线速度、高频率、多通道数、表贴式Halbach阵列永磁体等特征,结构拓扑和冷却方式等方面的技术路线较为多样。
表1 MW级高功率密度永磁推进电机关键参数总结
Tab.1 Summary of critical parameters of megawatt-scale high-power-density permanent magnet propulsion motors
机构伊利诺伊大学麻省理工学院威斯康星大学诺丁汉大学 功率/MW1114 转速/(r/min)15 00012 50020 00015 000 有效质量功率密度/(kW/kg)29.224.823.735.4 总功率密度/(kW/kg)13.017.1—17.2 驱动构型减速式高速减速式高速减速式高速减速式高速 拓扑结构外转子外转子内转子内转子 绕组形式分布绕组分布绕组集中绕组分布绕组 转子结构表贴式Halbach阵列表贴式Halbach阵列表贴式Halbach阵列表贴式Halbach阵列 永磁材料钕铁硼钐钴钐钴钐钴 软磁材料铁钴钒合金铁钴钒合金铁钴钒合金铁钴钒合金 冷却方式强迫风冷强迫风冷槽内液冷浸油冷却 电流密度/(A/mm2)17.69.42027.5 通道数51068 电机外径/mm318.3300250378 电机轴长/mm241.4198162210 转子外径/mm318.3300191273 槽/极数120/2060/2018/1248/8 转子线速度/(m/s)250196200214 基频/Hz2 5002 0832 0001 000 参考文献[17-19][20][21-22][23]
大功率永磁推进电机在面临极限化技术指标挑战的同时,还需重点考虑高功率密度、高效率、高可靠等多目标的权衡优化,以及电磁、热、结构多物理场综合分析。我国在此领域进行了研究探索[24-25],南京航空航天大学研制的边界层吸入式涵道风扇360 kW永磁推进电机额定转速为20 000 r/min,额定功率密度达11 kW/kg[26],但与美、欧各国仍有较大差距。
本文首先对飞机大功率永磁推进电机的关键参数权衡设计规律进行归纳与分析,并在此基础上完成百kW级与MW级高功率密度推进电机总体设计。其次,针对推进电机的高功率密度、高效率、高可靠要求,对其多三相绕组和多段式Halbach永磁阵列结构特征进行对比,并通过遗传算法多目标优化开展极限化的拓扑优化设计。然后,对推进电机的电磁特性、高速转子结构强度及单向/双向油道浸油冷却系统进行多物理场分析,表明其优异的电磁性能以及高电磁负荷下的高效冷却能力。最后,基于110 kW原理样机进行了电磁与温升特性实验验证,以期为后续MW级永磁推进电机的研制和验证提供技术支撑和参考。
电推进飞机的动力由推进电机传动的桨叶类装置提供。桨叶类装置主要有螺旋桨和涵道风扇两类,这两类推进装置的负载特性类似,其推力F、转矩T、功率P可分别表示为
(1)
(2)
(3)
式中,CF、CT、CP分别为推进装置推力系数、转矩系数、功率系数;r为空气密度;np为桨叶转速;Dp为桨叶直径。通常情况下,螺旋桨适用于飞行速度较低的飞行器,而涵道风扇更适合于飞行速度较高的飞行器。
电动涵道风扇(或螺旋桨)驱动构型可分为直驱式与减速式两类,如图1所示。直驱式构型避免了齿轮箱导致的系统可靠性降低和维护成本增加,是中小功率推进电机的常见选择,但其低转速限制了功率密度提升,较难满足大功率推进电机极高的功率密度要求。因此,图1b所示的减速式高速驱动构型成为了大功率高功率密度推进电机的首选方案。本文即针对减速式驱动构型开展大功率高功率密度永磁推进电机研究。在推进电机结构拓扑方面,直驱式构型中的低速推进电机常采用较大外径的扁平式结构以实现高转矩密度,而减速式构型中的高速推进电机则倾向于采用外径较小的细长型结构。
图1 电动涵道风扇驱动构型
Fig.1 Drive configurations of electric ducted fans
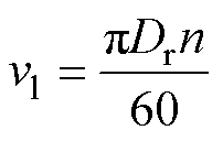
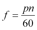
飞机大功率高功率密度永磁推进电机的关键参数权衡设计规律如图2所示。电机功率密度与转速和转矩密度的乘积成正比,高功率密度要求同时进行高转速和高转矩密度设计。大外径、多极数、高电流密度是高转矩密度设计的主要方式。高转速和大外径会导致高转子线速度,高转速和多极数会导致高基频,有
(4)
(5)
式中,vl为转子线速度;Dr为转子外径;n为电机转速;f为电机基频;p为转子极对数。然而,高转子线速度设计受到转子和轴承结构强度及振动噪声等方面的限制[18, 27-28],高基频设计则受到损耗抑制、冷却散热和控制稳定性限制[9, 29]。因此,高速与高转矩密度设计需求存在矛盾,需进行权衡设计。
图2 飞机大功率高功率密度永磁推进电机关键参数权衡设计规律
Fig.2 Tradeoff design rules of critical parameters of high-power high-power-density permanent magnet propulsion motors for aircraft propulsion
保持电机输出功率与外径不变,分析不同转速和极数下转子线速度和基频对电机功率密度的影响规律,功率密度随转子线速度和基频变化趋势如图3所示。在相同基频下,转子线速度增大(转速增大、极数减少)会使得电机功率密度提高;随着线速度增大,功率密度趋近极限值。这是由于极数的减少增加了每极磁通量,需要同步增加定转子轭厚以维持功率输出;同时绕组节距的增加使得端部绕组长度增加,两者均导致电机转矩密度降低。在相同转子线速度下,基频增大(转速不变、极数增大)也会使得功率密度提高;转子线速度越高,基频对功率密度的影响越显著。
图3 功率密度随转子线速度和基频变化趋势
Fig.3 Power density with variation of rotor tip speed and fundamental frequency
此外,为实现推进电机高效率要求,需要降低损耗和抑制温升。然而,高功率密度要求带来的高电流密度、高频率等特征会造成直流铜损、交流铜损、定子铁损以及永磁体及转子护套等非电磁部件涡流损耗的增加,从而导致效率降低。因此,高功率密度和高效率二者的设计需求也存在矛盾,需要进行多目标权衡设计。
在电压等级上,飞机电推进系统中高直流电压显著有利于线缆质量和损耗的降低,但同时会对功率器件耐压等级、绝缘设计、热管理、电磁兼容性等方面提出更高的要求。因此,电压等级的选择往往需要在系统效率、器件技术成熟度、安全性和航空平台适配性之间综合权衡。目前,百kW级飞机电推进系统的电压等级通常为400~800 V,已有较成熟的产业链和器件支持;而MW级电推进系统在功率大幅提升的情况下,为控制系统电流和热管理压力,通常需要采用1~3 kV的电压等级[29]。
综合上述权衡设计规律分析,本文采用以下设计方案以实现百kW级和MW级永磁推进电机的高功率密度、高效率、高可靠设计,推进电机电磁结构拓扑如图4所示。设计参数见表2。
图4 百kW级与MW级推进电机电磁结构拓扑
Fig.4 Electromagnetic topologies of hundreds-of-kilowatt scale and megawatt-scale propulsion motors
表2 百kW级与MW级推进电机设计参数
Tab.2 Design specifications of hundreds-of-kilowatt scale and megawatt scale propulsion motors
参数百kW级推进电机MW级推进电机 额定功率100 kW1 MW 额定转速/(r/min)5 00010 000 电机外径/mm285285 槽极数144槽24极144槽24极 转子线速度/(m/s)64.1120.3 基频/Hz1 0002 000 额定电流密度/(A/mm2)12.525 转子护套厚度/mm12 隔油套厚度/mm1.21.2 电磁气隙长度/mm34.5 物理气隙长度/mm0.81.3 永磁材料N45UHN50UH
(续)
参数百kW级推进电机MW级推进电机 定子铁心材料硅钢(0.2 mm叠片)铁钴钒合金(0.1 mm叠片) 冷却方式定子浸油冷却定子浸油冷却 通道数26 母线电压/V8001 600
(1)采用减速式高速构型,转子由轻质高强度碳纤维护套进行结构补强;采用径向磁场内转子拓扑结构、表贴式Halbach阵列永磁体、多槽多极(144槽24极)双层分布绕组。
(2)采用具有高磁能积的钕铁硼永磁材料、高饱和磁通密度的铁钴钒合金软磁材料以提高输出能力;采用超薄叠片铁心和利兹线降低铁损和绕组涡流损耗,永磁体通过轴向分段抑制涡流损耗。
(3)采用定子密封浸油冷却实现高电流密度下的冷却散热,定子槽口油道在进行高效冷却的同时进一步降低槽内漏磁导致的绕组交流损耗。
(4)采用双通道或多通道绕组冗余架构提高推进电机冗余容错能力,并降低控制器单个通道所需承载的功率等级。
考虑推进电机冗余容错要求,以及控制器单个通道的功率等级限制,本文中百kW级推进电机采用双通道绕组构型,而MW级推进电机则采用六通道绕组构型。移相双/六通道电机及其双/六通道控制器的驱动架构如图5所示,该架构对多套三相绕组的驱动模块进行了解耦,使每套绕组的电流幅值和相位均可实现独立控制。双通道与六通道绕组构型的移相重构机理相似,因此下面以六通道绕组构型为例进行分析。
依据槽电动势星形图对144槽24极传统三相绕组进行重构,可得到常规(无移相)六-三相和移相六-三相绕组构型如图6所示。

图5 移相多通道电机驱动架构
Fig.5 Phase-shifted multi-channel motor drive architecture
图6 传统三相和多三相绕组槽电动势星形图
Fig.6 Star diagram of slots of conventional three-phase and multiple three-phase windings
多三相绕组排布方式会对电机输出性能造成影响。不同绕组构型的各次谐波绕组系数见表3。由槽电动势星形图中的相量分布可知,常规六-三相绕组的分布系数未发生改变,而移相六-三相绕组消除了原三相绕组的分布效应,绕组基波和谐波分布系数均变为1。
表3 传统三相和多三相绕组的绕组系数
Tab.3 Winding factors of conventional three-phase and multiple three-phase windings
传统三相常规六-三相移相六-三相 kW10.9660.9661 kW30.7070.7071 kW50.2590.2591 kW7-0.259-0.2591 kW9-0.707-0.7071 kW11-0.966-0.9661 kW13-0.966-0.9661
图7将常规六-三相和移相六-三相绕组的空载相反电动势进行了对比。可见,移相六-三相绕组的反电动势基波幅值相较常规六-三相绕组提高了约3.5%,与绕组系数的差异相符,但由于绕组分布效应的消除,对谐波电动势没有抑制能力,导致反电动势谐波分量有所增加。
图7 常规六-三相和移相六-三相绕组空载相反电动势对比
Fig.7 Comparison of no-load back EMFs of 6×3-phase windings without/with phase shift
图8对比了常规六-三相和移相六-三相绕组的转矩波形。移相六-三相绕组通过提升基波绕组系数,使得平均转矩相比传统三相和常规六-三相绕组提高了4.9%。此外,移相六-三相绕组的转矩脉动仅为0.4%,相比常规六-三相绕组大大降低,这是由于移相绕组之间存在30°电角度差,所产生的转矩脉动之间形成180°电角度差而互相抵消,从而有效抑制了转矩脉动。
图8 常规六-三相和移相六-三相绕组转矩波形对比
Fig.8 Comparison of torque waveforms of 6×3-phase windings without/with phase shift
除了对转矩输出性能的影响之外,不同多三相绕组构型对电机容错能力的影响也存在差异。图9所示为常规六-三相和移相六-三相绕组的自感LA1-A1与互感LA1-A2波形对比,移相六-三相绕组相比无移相绕组具有更低的自感和更高的多套绕组间互感。这是由于,常规六-三相绕组同一对极下的线圈均属于同一套三相绕组,因此自感较高,不同通道绕组间的磁隔离性较强;而移相六-三相绕组由于多套绕组发生重叠,磁路相互耦合,因此多套绕组间互感较大。
图9 常规六-三相和移相六-三相绕组自感与互感对比
Fig.9 Comparison of self- and mutual-inductances of 6×3-phase windings without/with phase shift
另一方面,在单个通道故障情况下,常规六-三相绕组的不平衡磁拉力严重,且发热较为集中;而移相六-三相绕组的不平衡力较小,且发热在空间上分布较均匀,能够更加有效地利用整个电机的冷却能力进行过载运行,在功率冗余方面的容错性能更强。此外,在物理结构上,常规六-三相绕组的多通道构型打破了绕组结构在圆周上的连续性,需要复杂的跨接线对同属一套三相绕组的线圈进行连接,导致绕组端部结构复杂;而移相六-三相绕组的两套绕组之间存在一个槽距角(30°电角度)的相位差,其绕组结构在圆周上仍是连续的,因此具有简单的端部结构,端部高度较低。
综上所述,移相多-三相绕组与常规多-三相绕组相比,虽然具有谐波较多、磁隔离性较弱的不足,但其提高输出转矩、降低转矩脉动、增强冗余能力、简化端部结构的优势契合了大功率推进电机的要求,因此百kW级和MW级推进电机分别采用移相双-三相和移相六-三相绕组构型。
飞机推进电机大多始终工作在恒转矩区,无弱磁扩速要求,而主要关注在工作转速下的转矩和功率输出能力,如式(2)、式(3)所示。表贴式永磁电机具有较高的功率输出能力,最为契合该负载特性。与常规径向充磁表贴式永磁体结构相比,Halbach阵列表贴式永磁体结构凭借气隙侧的单边聚磁效应和铁心侧的自屏蔽效应,具有高转矩密度优势,是永磁推进电机的普遍选择。常规径向充磁及不同分段数的Halbach阵列永磁体结构如图10 所示。
图10 不同形式及不同Halbach分段数的永磁体构型
Fig.10 Configurations of permanent magnets with different topologies and different Halbach-array segments
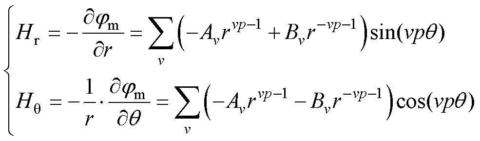
永磁体生成的气隙磁场可通过等效表面电流法分析[30],其模型如图11所示,电机被分为3个子域。对于Halbach阵列,永磁体充磁可沿径向、切向被分为两个表面电流分量,分别定义为Qr、Iθ。
对于分段数为Nh的永磁体构型(Nh=1时即为常规径向充磁表贴式永磁体,Nh≥2时为Halbach阵列永磁体),两个充磁分量的傅里叶表达式为
图11 内转子永磁电机等效表面电流模型
Fig.11 Equivalent surface current model of the inner-rotor permanent magnet motor
(6)
(7)
式中,v为谐波次数;Qrv、
为v次谐波的永磁体充磁分量;Brem为永磁体剩磁;x1,k与x2,k分别为第k段永磁体角度的上、下边界;
为真空磁导率;p为电机极对数。根据拉普拉斯方程,可得到电机内部各区域径向、轴向磁场强度Hr、
的通解形式为
(8)
式中,
为磁通;r、q分别为圆柱坐标系下的径向坐标和切向坐标;Av、Bv为该通解式的系数。为简化计算模型,分析时忽略了定子饱和情况,将铁心磁导率视为无穷,并忽略轴向漏磁;此时根据图11中各区域的边界条件,可求得式(8)中的系数,从而得到由转子磁场产生的径向气隙磁通密度Br,ag为
(9)
式中,Rs为定子内径;Rmi、Rmo分别为永磁体内、外径。
图12对比了MW级推进电机不同永磁体构型及不同分段数对空载气隙磁通密度的影响。Halbach阵列永磁体(Nh≥2)相比常规径向充磁,能够显著提升气隙磁通密度幅值;随着分段数增加,气隙磁通密度幅值增大;但分段数过多时该趋势趋于平缓,对气隙磁通密度幅值的提升效果有限,理想正弦充磁时气隙磁通密度幅值与4段式相比仅提高了2.8%。
图12 永磁体构型及Halbach阵列分段数对空载气隙磁通密度的影响
Fig.12 Influence of configurations and Halbach-array permanent magnet segments no-load airgap flux density
永磁电机的转矩T可根据麦克斯韦张量法计算得到,
由等效表面电流法计算电枢磁场得到,有
(10)
(11)
式中,Lstack为电机叠厚;q为每极每相槽数;Ipk为峰值电流;ws为槽开口宽度;Jv为定子在气隙侧的表面等效电流密度;we为额定电角速度。
图13对比了MW级推进电机不同永磁体构型及不同Halbach阵列分段数对输出转矩的影响。Halbach阵列永磁体对电机输出转矩的提升效果十分显著,且电机转矩随永磁体分段数增加而进一步增大,分段数越多越接近理想正弦充磁结构,但其上升趋势逐渐变缓,6段式结构的输出转矩相比理想正弦充磁结构仅低约1%。有限元模型得到的转矩比解析模型低约7.5%,这是由于解析模型忽略了槽口磁场畸变、铁心饱和与漏磁等非线性问题。
综上所述,多段式Halbach阵列永磁体有利于推进电机转矩密度的提高,但分段数过多时的增益效果极为有限,且会导致工艺难度与加工成本过高。考虑工艺难度和加工成本限制,百kW级推进电机采用3段式Halbach阵列永磁体,MW级推进电机则采用4段式Halbach阵列结构。
图13 永磁体构型及Halbach阵列分段数对转矩的影响
Fig.13 Influence of configurations and Halbach-array permanent magnet segments on output torque
为进一步提高推进电机电磁性能,基于多目标优化软件modeFRONTIER和有限元分析软件,采用多目标遗传算法Ⅱ(Multi-Objective Genetic Algorithm, MOGA Ⅱ)对推进电机进行优化设计,评估总次数为5 000次,高功率密度永磁推进电机多目标优化流程如图14所示。
图14 高功率密度永磁推进电机多目标优化流程
Fig.14 Multi-objective optimization flowchart of the high-power-density permanent magnet propulsion motor
该优化流程的输入参数、约束条件与优化目标如下:固定转速、电机外径、电流密度、槽极配合、铜满率、气隙长度等输入参数不变,优化变量为电机所有可变结构参数。电磁场方面,为避免铁心过饱和导致输出能力下降,约束定转子铁心最大磁通密度小于2.1 T;温度场方面,确定油泵压力、冷却油性质及初始温度等限制下冷却油流量的取值范围,约束绕组温升低于允许最高温升;结构场方面,约束1.2倍过速下的永磁体与转子护套最大切向拉应力低于0.8的抗拉强度。为满足飞机电推进系统需求,推进电机以轻质量、高巡航效率为关键优化目标,二者权重系数分别为0.7、0.3。
MW级推进电机多目标优化帕累托图如图15所示。由于永磁推进电机的主要损耗为绕组铜损,因此当电流密度固定时,效率变化范围较小。选取优化方案由星号标出,优化后百kW级与MW级推进电机的关键尺寸参数见表4。
图15 MW级永磁推进电机多目标优化帕累托图
Fig.15 Multi-objective optimization Pareto diagram of the megawatt scale permanent magnet propulsion motor
表4 百kW级与MW级推进电机关键参数
Tab.4 Key parameters of hundreds-of-kilowatt scale and megawatt scale propulsion motors
参 数百kW级推进电机MW级推进电机 定子外径/mm285.0285.0 槽极数144槽24极144槽24极 转子内径/mm223.0207.6 定子叠厚/mm85.0170.0 Halbach分段数34 永磁体厚度/mm8.09.6 定子齿宽度/mm2.82.6 定子轭厚度/mm6.05.2
采用电磁场有限元仿真对百kW级与MW级电机的电磁性能进行分析。电机空载磁通密度云图如图16所示,为提高铁心利用率和电机功率密度,设计定子铁心磁通密度较高。MW级电机采用的铁钴钒合金铁心相比百kW级电机采用的硅钢铁心具有更高的饱和磁通密度,空载磁通密度最大值约2.0~2.1 T。
图16 空载磁通密度云图
Fig.16 No-load flux density distributions
电机额定工况转矩波形如图17所示,总体电磁性能见表5。可见,优化后百kW级推进电机的转矩脉动极低,输出功率为110 kW,功率密度为3.7 kW/kg。MW级推进电机则通过更高的转速和电流密度设计进一步提高功率密度,优化后额定输出功率为1.1 MW,以电机总重计算功率密度预计约17.3 kW/kg,额定工作点效率达98.2%,可实现中大型飞机电推进系统对MW级推进电机高功率密度(>13 kW/kg)、高效率(>96%)的性能要求。
图17 额定工况转矩波形
Fig.17 Torque waveforms under rated condition
表5 百kW级与MW级推进电机电磁性能
Tab.5 Electromagnetic performances of hundreds-of-kilowatt scale and megawatt scale motors
参 数百kW级推进电机MW级推进电机 额定功率110 kW1.1 MW 额定转速/(r/min)5 00010 000 额定转矩/(N·m)2101 050 有效质量/kg14.431.7 整机质量/kg29.663.4 (预估) 有效质量功率密度/(kW/kg)7.634.7 整机质量功率密度/(kW/kg)3.717.3 转矩脉动(%)1.40.4 铜损/kW2.412.7 铁损/kW2.46.7 风磨损耗/kW0.060.75 总电磁损耗/kW4.820.2 效率(%)95.898.2
电机损耗主要集中于定子部分,包括绕组铜损和定子铁心铁损。由于电机采用磁动势谐波较少的分布绕组构型,且永磁体采用轴向分段以切断涡流路径,因此永磁体和转子碳纤维护套的涡流损耗较小,转子损耗主要为高速下的风摩损耗Pw,有
(12)
其中
(13)
(14)
式中,l为旋转表面长度;R为旋转表面半径;w为旋转角速度;Cd为表面摩擦系数;Re为气隙部分的雷诺数;d为气隙长度;vair为空气运动黏度。
对百kW级和MW级推进电机(分别缠绕1 mm和2 mm厚碳纤维护套)在1.2倍过速下的转子结构强度进行分析。推进电机转子各部件材料属性见表6。碳纤维护套的切向抗拉强度为1 632 MPa,钕铁硼永磁体的抗拉强度为75 MPa,转子铁心和转轴为一体化导磁钢材料。转子护套和永磁体的切向应力分布如图18所示。可见,百kW级和MW级电机的转子护套最大切向拉应力分别约303.39、737.4 MPa,永磁体最大切向拉应力分别约1.32、5.933 1 MPa,均远小于其抗拉强度,满足结构强度要求。MW级电机的高转速和高转子线速度对其结构强度形成了更大挑战,需要更厚的碳纤维护套进行绑扎。
表6 转子各部件材料属性
Tab.6 Material properties of rotor components
碳纤维护套钕铁硼永磁体导磁转轴 切向径向 密度/(kg/m3)1 5181 5187 5007 850 弹性模量/GPa1237.8160210 泊松比0.270.0170.240.28 热膨胀系数/(10-6/K)-0.4530812
图18 转子护套和永磁体切向应力分布
Fig.18 Tangential stress distributions of rotor sleeve and permanent magnets
大功率永磁推进电机的损耗和发热主要集中于电枢绕组和定子铁心,因此其冷却散热的重点在于定子部分。本文采用定子密封浸油冷却方法,以实现永磁推进电机高损耗密度下的高效冷却散热。定子浸油系统采用掺杂玻璃纤维的聚醚醚酮树脂隔油套筒进行密封。
常规单向油道浸油冷却系统如图19a所示,冷却油从绕组一侧端部流入,浸没绕组端部,经槽口轴向油路流向另一侧端部空间,再由回油口回油。该单向油道浸油冷却方法实现了冷却液与热源的直接接触,但单个进油口使得冷却油流量受到一定限制,且对于轴长较长的高速大功率推进电机而言,出油侧温升高于进油侧温升,使得电机轴向温度梯度较大,限制了推进电机冷却性能的提高。
图19 单向/双向油道定子浸油冷却系统示意图
Fig.19 Stator oil-immersed cooling systems with unidirectional/bidirectional oil channels
为了进一步降低大功率推进电机温升,可采用如图19b所示的双向油道浸油系统。于定子轴向中心处设置空隙及回油口,冷却油从绕组两侧端部流入,经槽口轴向油路流向定子中心处空间,再由回油口回油。该浸油系统的单条油路长度相比单向油道减半,有利于进一步抑制电机温升。
通过流固耦合温度场分析,得到在初始油温85℃和进油口流量15 L/min下,百kW级与MW级推进电机在单向与双向油道冷却系统下的额定工况定子温度分布如图20所示。由于MW级电机额定电流密度为百kW级电机的2倍,因此二者的最高温度相差较大,但在单向油道系统下的温度分布规律较为相似:由于油道主要分布于绕组端部和定子槽口,因此端部绕组温升较低,而槽内绕组温升较高;且绕组和铁心均在靠近槽口处温升较低,而在靠近铁心轭部处温升更高。
图20 单向/双向油道浸油冷却推进电机定子温度分布
Fig.20 Stator temperature distributions of oil-immersed propulsion motors with unidirectional/bidirectional oil channels
双向油道与单向油道相比,冷却油额外浸泡了定子中心处绕组和铁心,且定子内部油路长度减半,使得绕组和铁心热点温度降低了约13℃。百kW级电机在单向油道下最高温度仅118.4℃,温升仅33.4℃,MW级电机在双向油道冷却下最高温度约170.3℃,温升约85.3℃。因此,单向油道浸油系统可满足百kW级推进电机的冷却散热需求,而双向油道浸油系统相比单向油道可进一步降低电机温升,尤其适用于损耗密度大、结构细长的高速大功率推进电机。
本文中百kW级推进电机与MW级推进电机具有相同的外径、槽极配合等关键参数。由于MW级推进电机实验验证对平台条件要求较高,因此本文首先对百kW级推进电机进行实验验证,以为后续MW级推进电机的研究和应用提供技术储备。
研制的110 kW永磁推进电机样机和实验平台如图21所示,样机参数见表2、表4。该电机采用移相双-三相绕组构型,两套三相绕组之间存在30°电角度相位差,转子采用三段式Halbach阵列永磁体。实验平台由110 kW推进电机样机、双通道SiC控制器、拖动电机系统、冷却油供油系统等构成。
图21 110 kW永磁推进电机样机及实验平台
Fig.21 Prototype and experimental platform of the 110 kW permanent magnet propulsion motor
推进电机在额定转速下的移相双绕组空载线电压实测波形如图22所示,图中,Ul1、Ul2为两套绕组线电压,其间存在30°电角度差。图23给出了空载线电压随转速的变化趋势,实验结果与仿真结果基本相符。
图22 移相双绕组空载线电压实测波形
Fig.22 Measured no-load line voltage waveforms of phase-shifted dual windings
电机输出转矩随电流的变化趋势如图24所示,转矩-电流线性度较高,双绕组运行时的输出转矩约为单绕组运行的2倍。受铁心材料饱和影响,电机输出转矩实测值在电流较大、电枢反应较重时略低于仿真结果。
图23 空载线电压随转速变化趋势
Fig.23 No-load line voltage versus speed
图24 输出转矩随电流变化趋势
Fig.24 Output torque versus current
在单向油道定子浸油冷却下,铂热电阻PT100绑扎于绕组端部,测得额定工况绕组端部温升曲线与仿真对比如图25所示。由于冷却油与绕组直接接触,电机快速达到热稳定状态,额定工况下实测温升约28℃,与仿真结果基本相符,证明了温度场仿真分析的正确性和冷却系统设计的合理性。实测值略低于流固耦合仿真结果,这是由于实测温升为铂热电阻放置处的温升,而非绕组整体最高温升。
图25 额定工况绕组端部温升曲线
Fig.25 Temperature rise of end windings at rated load
综上所述,通过百kW级推进电机的电磁和冷却特性实验验证,证明了大功率永磁推进电机分析的正确性,并为后续MW级推进电机的研制和满功率实验验证提供了参考和借鉴。
本文针对飞机电推进系统应用场合,对飞机大功率高功率密度永磁推进电机技术进行研究。在进行权衡设计规律分析的基础上,完成了百kW级和MW级永磁推进电机高功率密度、高效率、高可靠拓扑优化与多物理场分析,并进行了实验验证。得到以下结论:
1)飞机大功率高功率密度永磁推进电机通常具有高速、高转子线速度、高频率、多通道数、表贴式Halbach阵列永磁体等特征,在高转速、高转矩密度、低损耗等方面的设计需求存在矛盾,需进行多目标权衡设计。
2)移相多三相绕组构型可将推进电机输出转矩提高4.9%,并抑制转矩脉动、增强冗余能力、简化端部结构,适用于高功率密度推进电机。多段式Halbach阵列永磁体有利于转矩密度和磁场正弦度的提高,但分段数过多时的增益效果有限,且会导致工艺难度与加工成本过高,应进行权衡选取。
3)通过遗传算法多目标优化,可实现推进电机性能的极限化提升。MW级电机功率密度预计可达17.3 kW/kg,效率达98.2%。定子密封浸油冷却可实现25 A/mm2高电流密度设计,MW级电机最高温升约85℃。双向油道系统相比单向油道可进一步降低温升,尤其适用于损耗密度大、结构细长的高速大功率推进电机。
4)与百kW级电机相比,MW级推进电机宜采用更高的转子线速度、基频和电流密度,对电机的结构强度与冷却散热提出更大挑战,且其验证难度显著提高。基于110 kW永磁推进电机样机完成了电磁和冷却特性实验验证,证明了推进电机分析的正确性和设计可行性,为后续MW级高功率密度推进电机的研制和验证提供了参考。
参考文献
[1] Ansell P J, Haran K S. Electrified airplanes: a path to zero-emission air travel[J]. IEEE Electrification Magazine, 2020, 8(2): 18-26.
[2] Buticchi G, Wheeler P, Boroyevich D. The more- electric aircraft and beyond[J]. Proceedings of the IEEE, 2023, 111(4): 356-370.
[3] 孔祥浩, 张卓然, 陆嘉伟, 等. 分布式电推进飞机电力系统研究综述[J]. 航空学报, 2018, 39(1): 021651.
Kong Xianghao, Zhang Zhuoran, Lu Jiawei, et al. Review of electric power system of distributed electric propulsion aircraft[J]. Acta Aeronautica et Astronautica Sinica, 2018, 39(1): 021651.
[4] Flightpath 2050 Europe’s vision for aviation[R]. Belgium: European Union, 2011.
[5] 孙侠生, 程文渊, 穆作栋, 等. 电动飞机发展白皮书[J]. 航空科学技术, 2019, 30(11): 1-7.
Sun Xiasheng, Cheng Wenyuan, Mu Zuodong, et al. White paper on the development of electric aircraft[J]. Aeronautical Science & Technology, 2019, 30(11): 1-7.
[6] 鞠孝伟, 龙佳兴, 张凤阁, 等. 电动飞行汽车用推进电机发展现状和研究综述[J]. 电工技术学报, 2025, 40(17): 5402-5421.
Ju Xiaowei, Long Jiaxing, Zhang Fengge, et al. Development status and research overview of propulsion motors for eVTOL[J]. Transactions of China Electrotechnical Society, 2025, 40(17): 5402- 5421.
[7] Paul S, Chang J. Fast model-based design of high performance permanent magnet machine for next generation electric propulsion for urban aerial vehicle application[J]. CES Transactions on Electrical Machines and Systems, 2021, 5(2): 143-151.
[8] Zhang Xiaolong, Bowman C L, O’Connell T C, et al. Large electric machines for aircraft electric pro- pulsion[J]. IET Electric Power Applications, 2018, 12(6): 767-779.
[9] El-Refaie A, Osama M. High specific power electrical machines: a system perspective[J]. CES Transactions on Electrical Machines and Systems, 2019, 3(1): 88-93.
[10] Sayed E, Abdalmagid M, Pietrini G, et al. Review of electric machines in more-/ hybrid-/ turbo-electric aircraft[J]. IEEE Transactions on Transportation Electrification, 2021, 7(4): 2976-3005.
[11] Bird J Z. A review of electric aircraft drivetrain motor technology[J]. IEEE Transactions on Magnetics, 2022, 58(2): 8201108.
[12] 张卓然, 陆嘉伟, 张伟秋, 等. 飞机电推进系统高效能电机及其驱动控制技术[J]. 中国电机工程学报, 2024, 44(16): 6610-6632.
Zhang Zhuoran, Lu Jiawei, Zhang Weiqiu, et al. High-performance electric machine and drive tech- nologies for aircraft electric propulsion systems[J]. Proceedings of the CSEE, 2024, 44(16): 6610-6632.
[13] Dubois A, van der Geest M, Bevirt J, et al. Design of an electric propulsion system for SCEPTOR’s outboard nacelle[C]//16th AIAA Aviation Technology, Integration, and Operations Conference, Washington D C, 2016: 3925.
[14] Hwang S W, Son D K, Park S H, et al. Design and analysis of dual stator PMSM with separately controlled dual three-phase winding for eVTOL propulsion[J]. IEEE Transactions on Transportation Electrification, 2022, 8(4): 4255-4264.
[15] Vertical takeoff and landing aircraft electric engine configuration: US11787551[P]. 2023-10-17.
[16] Mellor P H, Heath C, Collins S, et al. Addressing the challenges of lightweight aircraft electric propulsion through electrical machines with air-gap windings[C]// 2019 IEEE Energy Conversion Congress and Expo- sition (ECCE), Baltimore, MD, USA, 2019: 4470- 4476.
[17] Yoon A, Yi Xuan, Martin J, et al. A high-speed, high-frequency, air-core PM machine for aircraft application[C]//2016 IEEE Power and Energy Con- ference at Illinois (PECI), Urbana, IL, USA, 2016: 1-4.
[18] Sanchez R, Yoon A, Yi Xuan, et al. Mechanical validation of a high power density external canti- levered rotor[J]. IEEE Transactions on Industry Applications, 2018, 54(4): 3208-3216.
[19] Andersen, Henry, Chen Yuankang, et al. Design and manufacturing of a high-specific-power electric machine for aircraft propulsion[C]//Proceedings of AIAA Aviation Forum, San Diego, USA: AIAA, 2023: 4158.
[20] Spakovszky Z S, Chen Yuankang, Greitzer E M, et al. A megawatt-class electrical machine technology demo- nstrator for turbo-electric propulsion[C]//Proceedings of AIAA Aviation Forum, San Diego, USA: AIAA, 2023: 4157.
[21] Swanke J, Bobba D, Jahns T, et al. Design of high- speed permanent magnet machine for aerospace propulsion[C]//AIAA Propulsion and Energy 2019 Forum, Indianapolis, IN, 2019: 4483.
[22] Swanke J, Zeng Hao, Bobba D, et al. Design and testing of a modular high-speed permanent-magnet machine for aerospace propulsion[C]//2021 IEEE International Electric Machines & Drives Conference (IEMDC), Hartford, CT, USA, 2021: 1-8.
[23] Golovanov D, Gerada D, Sala G, et al. 4-MW class high-power-density generator for future hybrid- electric aircraft[J]. IEEE Transactions on Trans- portation Electrification, 2021, 7(4): 2952-2964.
[24] 陆嘉伟, 张卓然, 李进才, 等. 电推进飞机移相双绕组永磁电机特性分析[J]. 航空学报, 2022, 43(5): 402-411.
Lu Jiawei, Zhang Zhuoran, Li Jincai, et al. Characteristic analysis of dual-winding permanent magnet syn- chronous machine with phase-shifted windings for electric propulsion aircraft[J]. Acta Aeronautica et Astronautica Sinica, 2022, 43(5): 402-411.
[25] Xue Han, Zhang Zhuoran, Liu Ye, et al. Analysis of lightweight dual-rotor yokeless-stator PMSM for electrified aircraft propulsion considering thermal benefits of heat pipes[J]. IEEE Transactions on Transportation Electrification, 2025, 11(5): 11030- 11040.
[26] Gao Huamin, Zhang Zhuoran, Liu Ye, et al. Development and analysis of dual three-phase PMSM with phase-shifted hybrid winding for aircraft electric propulsion application[J]. IEEE Transactions on Transportation Electrification, 2024, 10(3): 6497- 6508.
[27] 张凤阁, 杜光辉, 王天煜, 等. 高速电机发展与设计综述[J]. 电工技术学报, 2016, 31(7): 1-18.
Zhang Fengge, Du Guanghui, Wang Tianyu, et al. Review on development and design of high speed machines[J]. Transactions of China Electrotechnical Society, 2016, 31(7): 1-18.
[28] 宋承林, 吴志鹏, 黎明, 等. 永磁同步电机电磁振动和噪声研究综述[J]. 电工技术学报, DOI: 10. 19595/j.cnki.1000-6753.tces.250439.
Song Chenglin, Wu Zhipeng, Li Ming, et al. A review of research on electromagnetic vibration and noise of permanent magnet synchronous motors[J]. Transa- ctions of China Electrotechnical Society, DOI: 10. 19595/j.cnki.1000-6753.tces.250439.
[29] He Kaiwei, Zhao Wenxiang, Wu Zhongze, et al. Modeling of AC losses in high-speed PMSM windings: methods, challenges, and prospects[J]. CES Transactions on Electrical Machines and Systems, 2025, 9(2): 163-176.
[30] Zhou Yu, Li Huaishu, Meng Guangwei, et al. Analytical calculation of magnetic field and cogging torque in surface-mounted permanent-magnet machines accounting for any eccentric rotor shape[J]. IEEE Transactions on Industrial Electronics, 2015, 62(6): 3438-3447.
Abstract The high-power, high-power-density permanent magnet propulsion motor is a critical component of the aircraft electric propulsion system in the future. It is also a crucial challenge for enabling medium- or large-scale electric propulsion aircraft. In recent years, many institutions have conducted extensive research on medium- and low-power permanent magnet propulsion motors across various application scenarios, but studies on high-power permanent magnet propulsion motors remain relatively scarce. Therefore, this paper presents the trade-off design optimization and analysis of high-power-density permanent magnet propulsion motors in the hundred-kilowatt and megawatt classes.
First, based on the load characteristics of the aircraft's electric propulsion system, the trade-off design rules for the key parameters of high-power propulsion motors are generalized. Achieving high power density in propulsion motors requires both high speed and high torque density. However, these objectives are constrained by loss suppression, thermal management, structural strength, and control stability, resulting in inherent design trade-offs. Thus, overall designs for hundred-kilowatt- and megawatt-class high-power-density propulsion motors are conducted.
Secondly, to meet the requirements for high power density, efficiency, and reliability of propulsion motors, the reconfiguration mechanism of phase-shifted multiple three-phase windings and the topology of multi-segment Halbach-array permanent magnets are investigated using analytical and finite-element simulation methods. Then, the power density of the propulsion motor is ultimately improved through genetic-algorithm multi-objective optimization.
Moreover, the electromagnetic and mechanical strength characteristics are analyzed, demonstrating the excellent output performance and high-speed operational capability of the propulsion motors. A comparative analysis of unidirectional and bidirectional oil-immersed cooling systems shows that the unidirectional system adequately meets the efficient cooling requirements of hundred-kilowatt-class motors under high current density. In contrast, the bidirectional system can further reduce temperature rise, particularly for high-speed, high-power motors with high loss density and slender geometries.
Finally, electromagnetic and thermal experiments are conducted on a prototype of a 110 kW permanent magnet propulsion motor, providing a reference for the development and verification of future megawatt-class permanent magnet propulsion motors.
The following conclusions can be drawn. (1) The phase-shifted multi-three-phase winding configuration can increase the output torque of the propulsion motor by 4.9%, while suppressing torque ripple, enhancing redundancy, and simplifying the end structure. (2) Multi-segment Halbach array permanent magnets are beneficial for improving torque density and magnetic field sinusoidality. However, excessive segmentation yields limited additional benefits and increases manufacturing complexity and cost, necessitating a trade-off in selection. (3) Compared with hundred-kilowatt-class motors, megawatt-class propulsion motors require higher rotor tip speeds, fundamental frequencies, and current densities, which place greater demands on structural strength and thermal management. (4) After optimization, the power density of the megawatt-class motor is expected to reach 17.3 kW/kg with an efficiency of 98.2%. (5) Stator sealed oil-immersed cooling allows for high current densities of up to 25 A/mm2, and the bidirectional oil channel system can further reduce temperature rise compared to the unidirectional system.
Keywords:Electric propulsion aircraft, propulsion motor, permanent magnet synchronous motor (PMSM), high power, high power density
中图分类号:TM341
DOI: 10.19595/j.cnki.1000-6753.tces.250246
国家自然科学基金“叶企孙”联合基金重点项目(U2141223)、江苏省研究生科研与实践创新计划项目(KYCX24_0574)和南京航空航天大学博士学位论文创新与创优基金项目(BCXJ24-08)资助。
收稿日期 2025-02-18
改稿日期 2025-06-13
薛 涵 男,2000年生,博士研究生,研究方向为飞机电推进系统永磁电机。
E-mail: xuehan2000@nuaa.edu.cn
张卓然 男,1978年生,教授,博士生导师,研究方向为多电/全电飞机电气系统、航空电机与电源和新能源发电与电驱动。
E-mail: apsc-zzr@nuaa.edu.cn(通信作者)
(编辑 崔文静)