摘要 暴露在复杂电磁环境中的电子系统极易受到环境电磁场的干扰和损坏,电磁防护是防止电磁环境干扰和损坏的重要手段。该文针对电磁防护仿生,分析了电子系统与生物系统的结构特征、电磁环境效应和生物效应、电磁效应的耦合途径、神经信号与传递保护、电磁防护仿生等。结果表明:电磁防护仿生的关键是模仿生物系统的结构,完成电子系统的仿生设计。生物系统是一个开放性结构,电子系统结构可模仿生物系统与外界电磁环境的物质交换、能量转换、信息传递机制。生物系统的信号耦合、编码、传递线保护能有效抵御强电磁干扰,电子系统应借鉴其结构特征。在整机系统上,借鉴生物的抗扰性(鲁棒性)、自律性(自组织、自适应、自修复)、遗传性机制,设计具备高效电磁抗扰能力的电子系统。
关键词:电磁防护 仿生 电磁环境 电磁兼容 生物系统
暴露在复杂电磁环境中的电子系统极易受到环境电磁场的干扰和损坏,影响电子设备的正常工作,电磁防护是防范电磁环境干扰和损坏的重要手段。电磁防护专家刘尚合院士提出了一个科学问题:外界电磁干扰的电平只要达到或接近电子系统信号同等级水平,电子系统就可能失常。而生物系统可以抵御上万倍于自身生物电信号的电磁干扰,在特定条件和环境下生物系统可以“挣扎逃生”“带伤运行”“调理康复”。为此,提出借鉴生物系统抗电磁干扰的电磁防护仿生新概念[1-2]。
电磁环境的复杂性对先进装备的电磁安全产生了重要影响。自2020年以来,中国工程院在历次发布的“中国电子信息工程科技发展的技术挑战”中,把“电磁场和电磁环境效应”列为挑战之一,并且逐次细化。2020年把“电磁场和电磁环境效应”列入挑战领域。2022年,把电磁防护仿生列入需要开展的自主原创性技术攻关。2023年,提出在电磁生物效应与防护仿生领域不断发展,促进电磁环境适应性、电磁安全前沿技术广泛应用,提升智能化装备电磁安全能力。近年来,电磁防护仿生研究在仿进化的数字电路设计、仿简并性的数字电路设计、神经形态抗扰性设计、仿免疫的系统级电磁防护设计等方面取得了一定的进展[3]。
生物系统经过亿万年进化,遵循适者生存法则,对包括电磁环境在内有很强的环境适应性。深入剖析生物系统的结构和功能,对电磁防护仿生设计具有很好的借鉴意义。本文通过分析对比生物系统与电子系统的结构及功能特性,明确电磁防护仿生设计的借鉴之处,为电磁防护研究提供了新思路和新方法。
电磁防护仿生的核心问题是借鉴生物系统原理,进行电子系统的结构设计,使其具有仿生效果。因此,有必要了解电子系统与生物系统的结构特点。
电子系统是由电子元器件组成,能够产生、传输、处理电信号及其信息的电路。一般地,把规模较小、功能单一的电路称为模块;把功能复杂、由多个模块组成的电路称为系统,如通信系统、雷达系统、导航系统、计算机系统、电子测量系统和自动控制系统等。电子系统包括输入/输出、信息处理、控制三大部分,可实现信号的产生、接收、变换、处理、传输、控制、负载驱动等功能。
电子系统是一种功能化、模块化、链路化的系统结构,其结构层次可分为物理层、信号层、信息层、认知/控制/决策层。物理层有信号的产生、发射、接受、敏感等,信号层有信号的检测、放大、处理等,信息层有信息的提取、分类、识别等,认知/控制/决策层有指挥控制等。这种结构层次的特点是由模块组成的因果结构。模块是构成电子系统的基本单元,模块之间用传输线实现信号连接,具有一因一果的因果关系。因此,电子系统构成了由各个模块连接的因果链。一般的电子系统既不是封闭系统,也不是开放系统,缺乏自适应、自平衡、自调节功能。在遭受外界电磁干扰和攻击时,系统会出现不稳定或永久损坏,不能正常工作。
生物系统是由细胞或组织、器官组成,能够生长、发育、代谢、繁衍、应激、遗传和变异、适应、衰老的生物体。生物系统分为群体、整体、器官和系统、组织和细胞、分子等层次。细胞是具有生命特征的最小单元,是最低层次的生物系统。生物分子是组成细胞的基本组分。这种结构层次的特点是低一级层次系统是高一级层次系统的子系统。
生物系统是一个与外界有物质交换、能量转化、信息传递的开放系统。在连续不断的物质、能量、信息的流入和流出中,生物系统中的自适应、自组织、自调节功能充分发挥。高等动物特别是哺乳动物生活在大气环境(外环境)中,大多数细胞不直接与大气接触,也不与大气环境进行物质交换,细胞生活在体液的内环境中。内稳态(homeostasis)的维持是自我调节的结果,自我调节是自适应、自平衡、自调节的主要机制,负反馈是生理调节系统的结构。生物系统的内稳态特性能反映适应环境变化和抵抗外界扰动的能力,是生命存在的必要条件。
生物系统与环境之间的关系是物质的交换、能量的转化、信息的传递,系统结构是一个开放系统。然而,复杂电磁环境也充满物质(高能电磁辐射的粒子性)、能量、信息,电子系统在结构设计上可以借鉴生物系统的开放结构。
电磁环境效应(Electromagnetic Environment Effects, E3)是环境电磁场对各种设备、装备(包括电子系统)产生的影响,如电磁兼容、电磁干扰、电磁损伤、电磁辐射、电子对抗等等[4]。电子系统的电磁环境效应可以分为可逆效应和不可逆效应。可逆效应是不造成物理损坏,可以恢复功能的一类效应,如干扰、降能等。反之,不可逆效应是造成物理损坏,不能恢复功能的一类效应,如损伤、损毁等。随着电磁强度的提高,电子系统的电磁环境效应从可逆效应向不可逆效应转化,逐渐出现干扰、降能、损伤、损毁等效应,电子系统电磁环境效应量级图如图1所示。常见的电子系统降能失效有工作失灵、系统瘫痪、瞬时干扰、功能损坏等,损毁有高压击穿、器件烧毁、电涌冲击、微波加热等[5]。如高开关频率的电离电子器件所产生的频率电磁辐射对电气设备的影响[6]。
图1 电子系统电磁环境效应量级图
Fig.1 Magnitude diagram of electromagnetic environment effects in electronics system
当电磁强度达到阈值时,电磁环境效应才会出现,表1是几种典型的效应阈值[7]。
表1 电子系统电磁环境效应阈值
Tab.1 Electromagnetic environmental effect threshold of electronic system
电磁功率密度/(W/cm2)电磁环境效应 10-8~10-6有干扰 10-5~10-3无法正常工作 >10-2系统硬损伤 10-2~100电子元器件烧毁 100~105系统瞬间引爆
生物系统的电磁生物效应包括热效应和非热效应,非热效应的特点是电磁生物效应不依赖热作用,包括生理反应、可逆效应和不可逆效应。热效应则依赖热作用,包括热损伤和热损毁。随着电磁强度的升高,生物系统依次出现无生理反应、有生理反应、可逆效应、不可逆效应、热损伤、热损毁等。表2显示了电流通过人体产生的生物效应[8]。
生理反应是在电磁刺激强度超过阈值时产生一种反应,不一定产生有害或有益影响。阈值是生物系统非线性的主要特征,例如,当电刺激阈值为0~几十mV时,可兴奋细胞膜产生“全或无”现象。可逆效应可以对生物系统有损伤,但电磁作用消除后,生物系统可以恢复到原来的状态,如细胞膜电穿孔。反之,不可逆效应是不能恢复到原来状态,如细胞膜不可逆电穿孔。热损伤是一种可以修复的电磁生物热效应,如微波致白内障,而热损毁是不可修复的电磁生物效应,如微波肿瘤治疗。
表2 电流的生物效应
Tab.2 The bio-effects of the electric current
电流生物效应 <0.5 mA无明显生理反应 0.5~10 mA对皮肤上的神经末梢有刺激,有痛感,为感觉阈 10~100mA有较强的刺激感,可引起疼痛和肌肉疲劳,但可以反射性回缩,为脱开电流 >10 mA可引起呼吸肌的不随意收缩、麻痹、疼痛、疲劳 18~22 mA会引起呼吸停止、窒息 75~400mA可引起心脏电兴奋节律紊乱,产生室颤 1~6 A整个心肌收缩,停止搏动;但去掉电流,心脏节律恢复,对心脏产生可逆损伤 >10 A欧姆热增大而产生烧伤,对身体产生不可逆损坏
电磁生物效应阈值大小与频率有关,国际非电离辐射防护委员会(ICNIRP)推荐的射频电磁场(100 kHz~300 GHz)限值指南显示阈值呈U形,其中30~400 MHz段的限值与频率无关,恒定且最 小[9]。一般地,非热效应与热效应的危险照射量分界值是10 mW/cm2 [10]。
电磁干扰对电子系统产生效应的三个条件是干扰源、耦合途径和敏感设备,电磁干扰模型如图2所示。干扰信号与有用信号复合后,可以一起从同一耦合途径进入敏感设备。干扰信号包括无意干扰和有意干扰,无意干扰为非主观故意的电磁干扰,如手术室中高频电刀与监护仪共用时,高频电刀所产生的电磁脉冲对监护仪的干扰;而有意干扰是主观故意的行为,如无线通信中的干扰。在电磁防护中,信号源和敏感设备是不可变动的,因此,耦合途径是电磁防护要解决的主要问题。
图2 电磁干扰模型
Fig.2 Electromagnetic interference model
耦合途径有传导耦合和辐射耦合。以下分别从电子系统的耦合特点与生物系统的耦合特点分析它们的相似性和差异,为电磁防护仿生设计提供新思路。
3.2.1 传导耦合
在电子系统中,各模块之间通过链路结构实现信号传输,传输信号有电流型和电压型。图3是一种适合长距离信号传输的电流型传导耦合。前置模块输出信号电流IS经传输线与后置模块输入阻抗Re耦合。闭合的传输线暴露在变化的环境电磁场中,产生的感应电流Ii与信号电流叠加,共同耦合在后置模块。这种由感应电流对信号电流产生的干扰称为磁场干扰。较高的感应电流可致使后置模块的电子元器件击穿,甚至损毁,如三极管等。
图3 电流型传导耦合
Fig.3 Current conduction coupling
图4是适合于短距离信号传输的电压型传导耦合。前置模块输出信号电压VS经传输线以差模形式与后置模块输入阻抗Re耦合。环境电磁场对暴露的传输线产生的感应电流,通过传输线电阻转换为共模干扰,并与差模信号叠加。这种由共模电压VC对差模信号产生的干扰称为电场干扰。较高的共模电压可致使后置模块电子元器件高压击穿,甚至损毁,如场效应管等。
图4 电压型传导耦合
Fig.4 Voltage conduction coupling
3.2.2 辐射(天线)耦合
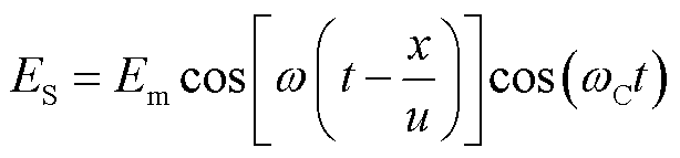
天线是一种用于发射和接收电磁波的设备。天线的基本工作原理是载波的交变电流通过对称振子将调制波信号以电磁波的形式向空间环境辐射,接收天线接收带有信息的调制电磁波ES。调制电磁波有调幅波和调频波,调幅波的电场波函数为
(1)
式中,Em为调制波峰值;cos
为载波;
为调制波;x为空间位置;u为电磁波传播速率;wC为调制波角频率。经过接收天线和接收器解调出调制波信号,实现无线通信。与载波同频的干扰电磁波Ei为
(2)
式中,f(t)为干扰波;En为干扰波峰值。当干扰电磁波与调制电磁波ES混合时,总调制电磁波电场为
(3)
这样,干扰波f(t)混在信号调制波中一起被接收天线和接收器接收、放大,形成具有干扰的信号波。采用电磁干扰滤波器可以抗前门电磁干扰[11]。另一方面,电磁波是能量的一种传递形式。根据坡印廷定理,电磁波传播的功率密度S为
式中,E和H分别为电磁波的电场强度和磁场强度。高能干扰电磁波可以毫无遮拦地辐射到天线,把强大的电磁能量传递到天线电子元器件,造成天线设备的损坏。
3.2.3 后门(缝隙)耦合
电子系统干扰的耦合途径有前门耦合和后门耦合,前门耦合是通过传导耦合、辐射(天线)耦合途径的干扰耦合,后门耦合是通过各种缝隙、孔隙途径的干扰耦合。当缝隙尺寸与电磁波的波长相比拟时,根据衍射定律,在缝隙、孔隙背后会出现衍射现象。也就是说,如果屏蔽不充分,如有缝隙、孔隙等,电磁波就会通过这些缝隙、孔隙进入系统内,形成衍射波。衍射波的电磁场强度空间分布不均匀,不同位置的电子元器件受干扰和损坏程度不同,可以用衍射理论定位和预测。
综上所述,电子系统耦合途径的共同特点是电流、电压、电磁波的能量无阻拦地直接作用在电子元器件上。电子元器件电源电压一般在36 V以内,如CMOS(complementary metal-oxide-semiconductor)、TTL(transistor-transistor logic)器件。但是,强电磁环境电磁场强度很高,如高空核爆电磁脉冲(High-altitude Electromagnetic Pulse, HEMP)最大电场强度达50 kV/m,高功率微波(High Power Microwave, HPM)高于100 MW,电压或电流直接耦合对电子元器件威胁很大。
电磁生物效应起源于物理反应,经历化学反应、生化反应、细胞效应、组织和器官效应、健康效应等级联反应后,构成因果链(causal chain)。电磁场在电磁力、电磁能量、动量等时空因素作用下,与生物体中的离子、分子、原子等相互作用。物理作用导致了生物体内物质发生化学反应,产生新活性物质,如活性氧自由基(Reactive Oxygen Species, ROS)。新物质又与其他生物分子相互作用,如DNA、蛋白质、膜分子,改变了生物分子结构和功能。因此,在因果链中物理和化学反应是最初反应,称为原初作用(initial interaction)。大多数电磁生物效应原初作用机制还不是很清楚,而以下几个作用机理比较清楚,具有可借鉴之处。
3.3.1 生物组织的衰减与刺激源
生物组织具有电磁衰减功能。电磁波辐射到生物体表面后,一部分电磁波反射,另一部分电磁波透射,透射波是后续生物效应的主要成分。随着电磁透射深度x的增加,电磁波强度I也减弱。
(5)
式中,I0为入射波强度;m为生物组织衰减系数,与电磁波频率正相关。频率越高,m越大,电磁波在体内传播深度越浅。300 MHz的射频电磁波在肌肉(高水容量组织)中穿透深度是3.89 cm;2 450 MHz的微波在肌肉、皮肤(高水容量组织)中穿透深度是1.70 cm,在脂肪、骨骼(低水容量组织)中穿透深度是11.2 cm[8]。因此,微波很难对深层器官产生生物效应,医学上主要是用于浅层治疗,如浅层肿瘤的微波治疗、创口愈合等。生物组织的衰减作用,降低了对目标器官或组织刺激的电磁场强度,使器官或组织不容易发生生物效应,起到了屏蔽效果。
生物组织与电磁场间接相互作用。生物组织由细胞和组织液组成。当组织暴露在电磁场中,细胞发生极化,组织液中的离子发生迁移,电磁场中的生物组织如图5所示。在电场力和磁场力作用下,组织液中的自由电荷,如离子迁移形成局部电流刺激了可兴奋细胞,是细胞膜动作电位的刺激源。组织中的细胞是不可移动的束缚电荷,在电场作用下进行极化转动,消耗电场能,是热效应的基础。
图5 电磁场中的生物组织
Fig.5 Biological tissue in electromagnetic fields
屏蔽防护是电磁防护技术之一,它是利用特定屏蔽材料将电子系统与电磁环境隔离。其防护原理是衰减和阻断透射的电磁波。传统的屏蔽材料采用钢板、铝板等金属材料,对电场有良好的屏蔽效果,但对磁场屏蔽效果较差。近年来,开发的新型屏蔽材料有纳米材料、石墨烯材料、光导纤维、等离子体,前门防护采用特定形状的无源谐振单元组成的频率选择表面[12],采用场致阻抗敏感材料/器件制成的能量选择防护技术[13],以及采用电感-电容谐振阵列提高信噪比[14]。
借鉴组织衰减原理,仿生屏蔽材料设计应具有:①良好的衰减性能;②电磁场与目标元件之间的间接相互作用。
3.3.2 间接的信号传递
在细胞系统中,细胞膜内外的信息传递依靠第二信使(second messenger)机制。细胞外的信号称为第一信使(first messenger),作用于靶细胞膜,在胞浆中产生了第二信使分子环-磷腺苷(cAMP)、环-磷鸟苷(cGMP)、三磷酸肌醇(IP3)、钙离子(Ca2+)、一氧化氮(NO)、二酰甘油(DG)、花生四烯酸及其代谢产物(AA)廿碳烯酸类等。第二信使对所获信息进行增强、分化、整合等处理,并在效应器发挥特定生物效应。电磁生物学实验表明,暴露在极低频磁场中的海马神经元,其胞内Ca2+增加[15],说明第二信使是产生电磁生物效应的途径。
第二信使是生物系统中信息传递的间接方式,识别特定的分子传递到效应器来产生生物效应。这个过程过滤了非特定分子的信息,客观上起到了通有用信号、阻干扰信号的作用。
借鉴第二信使理论,仿生电路设计可以采取:①信号间接传递;②特定的敏感传感器和防护结构。
3.3.3 信号通路的简并性和冗余性
在第二信使机制中,第一信使是如何与细胞膜作用的?即信号通路机制问题。细胞外的信号在与细胞膜中的受体结合后,引发了从上游到下游分子的逐级响应,包括激活或抑制,从而将细胞外信号逐步放大,最终导致细胞的生物效应。从信号到生物效应的通路称为信号通路(signal pathway)。细胞外信号包括物理信号和化学信号,物理信号有光、热、电流、应力等,化学信号有离子、蛋白质、气体分子、氨基酸、激素、胆固醇衍生物等。受体有跨膜受体和内嵌受体,跨膜受体有离子通道受体、G蛋白偶联受体、酶偶联受体,内嵌受体有核受体、细胞因子。常见的信号通路有MPAK、PI3K/Akt、TGF-b/SMAD、JAK-STAT、NF-kB、Notch、Wnt、Hedgehog、Hippo等。受体结合特点包含专一性强、亲和力高、可饱和性、可逆性、特定作用。
细胞效应往往由多信号通路作用。以G蛋白通路为例,G蛋白是附着在细胞表面质膜上的信号转导器,将受体与效应器连接起来,从而连接细胞内信号通路。许多细胞外因子,如激素(胰高血糖素、黄体生成素和肾上腺素)、神经递质(乙酰胆碱、多巴胺和血清素)、趋化因子(IL-8)和局部介质(LPA)向四个主要G蛋白家族(Gs、Gt、Gi和Go)发出信号,以调节代谢酶、离子通道和转录调节剂等细胞机制。细胞活动调节反过来引起细胞功能的改变,如肝脏、肌肉中葡萄糖代谢改变,心脏起搏细胞活动的改变。这些细胞活动有助于调节系统,如机体稳态、学习记忆。因此,G蛋白通路可以通过增加组织复杂性来传播信息[16]。
质膜上各种信号通路结构各异,但都是完成信号转导的功能,具有简并性,并且多个通路起到互补作用,具有冗余性。简并性和冗余性都可以提高系统的鲁棒性。因此,多信号通路机制使内环境变化对细胞扰动时,在一个通路失灵的情况下,另一个通路确保信号传递,保持细胞系统的鲁棒性。用简并性思想可以设计具有电磁防护功能的电子系统[17],计算系统内不同结构子系统贡献度的重叠量,获得电路的简并度(degeneracy)[18]。
借鉴信号通路原理,仿生电路设计可以采取:①多结构、同任务的简并电路;②简并电路应具有较好的鲁棒性。
神经调节是生物系统保持稳态的重要机制之一,它是依靠反射弧实现的。反射弧由感受器(敏感元件)、传入神经、中枢神经(控制器)、传出神经、效应器(执行机构)组成。中枢神经与效应器和感受器的信息通信主要包括传入神经和传出神经的外周神经。在神经信息传输中很少受外界干扰,这与神经信号的编码和神经纤维的结构有关。
生物系统外的信号通过感受器传递进入系统内。感受器可分为物理感受器和化学感受器,物理感受器有光、热、电流、应力等类型。神经元细胞膜上的离子通道就是电流感受器,当细胞膜受到局部电流i阈上刺激Im时,产生了动作电位(Vp=Em);如果细胞膜受局部电流i的阈下刺激,则无动作电位(Vp=0)。
(6)
式(6)是细胞膜动作电位“全或无”特性的数学描述。动作电位另一个特点是被限制在峰值Em,细胞膜具有限制器特性。
在细胞静息电位基础上,细胞内小幅变化的电位称为分级电位,其大小取决于刺激强度。分级电位不足以引起神经元动作,但可以影响神经元细胞状态和信息处理。当神经元获得兴奋性突触后电位(Excitatory Postsynaptic Potential, EPSP)或抑制性突触后电位(Inhibitory Postsynaptic Potential,IPSP)时,输入神经元的整合信号可能超出阈值,产生诱发动作电位。分级电位是大小不同的电位变化,动作电位是全部电位变化,更强的刺激意味着更高的动作电位变化频率,神经信号的编码如图6所示。因此,神经元接受了外刺激信号,其动作电位以脉冲序列的频率编码形式传递给中枢神经。
图6 神经信号的编码
Fig.6 Coding of neural signals
近年来,基于H-H模型的神经元特性研究取得了较多的进展。逯迈等开发了化学突触的FPGA仿生电路,可用电子电路实现动作电位的序列输出[19-21]。满梦华等用S空间编码理论将刺激信号编码成符号序列,符号序列间的排序关系与输入信号频率间的排序关系对应,输入噪声可以改变符号序列的值,但没有改变符号序列间的排序关系,不会影响神经元在S空间中表达的信息[22]。张明亮等用Simulink仿真软件对动作电位的发放特性和方波动作电位进行了仿真[23-24],以及用李亚普若夫稳定性理论和Routh-Hurwitz判据分析了H-H模型的稳定性条件和抵抗电磁干扰的能力[25]。
借鉴神经信号编码原理,仿生电路设计可以采取两种方法,一种是“全或无”的限幅器来限制强干扰信号;另一种是动作电位随脉冲序列频率变化的编码器。
神经信息的传播分为阈下刺激的跨膜电位传播和阈上刺激的动作电位传播两种。阈下刺激跨膜电位的传播特征是随着空间x远离电极区,跨膜电位随之衰减。阈上刺激动作电位的传播特征是随着空间x远离电极区,动作电位不衰减。
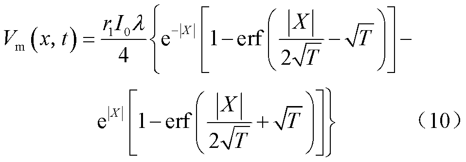
4.2.1 阈下刺激的跨膜电位传播
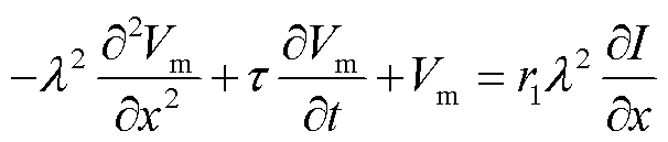
Hodgkin和Rushton用理想RC传输线的方法,计算神经轴突在受到局部的阈下刺激时分级电位沿轴突的传播过程。把图7的神经轴突看成一条有分布电容和漏电阻的电缆,其电缆方程描述如下。
当刺激电流I流入电极区(-d,d)神经时,则神经轴突内外跨膜电压Vm的时空方程为
(7)
其中

式中,r1、r2、r4分别为膜外、膜内、跨膜单位长度电阻;C为跨膜电容。
由于
(8)
在非电极区-∞<x<-d,d<x<+∞,有
(9)
边界条件:Vm= 0(x=±∞)
初始条件:Vm= 0(-∞<t<0);I = I0(t = 0)
式(7)~式(9)组成了神经轴突线性传导的电缆方程,方程解为
式中,X=x/l,T=t/t。电极区可以是针电极的电流刺激点,也可以是电磁场的感应电流刺激点。
图7 神经轴突的电缆模型
Fig.7 Cable model of neural axon
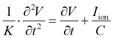
4.2.2 阈上刺激的动作电位传播
Hodgkin和Huxley将总膜电流I分为容性电流C
和离子电流Iion,总膜电流I在长圆柱神经纤维上传播的H-H方程为
(11)
式中,V为动作电位;a为纤维半径;ri和re分别为纤维内、外线密度电阻。动作电位V在均匀传播过程中的波动方程为
(12)
式中,u为传播速度。将波动方程式(12)代入H-H方程式(11),动作电位的传播方程为
(13)
式中,K=2pa(ri+re)Cu2,或者
u =
可见,动作电位传播速度u受纤维半径a及纤维内外线密度电阻ri和re的影响。
神经纤维分有髓鞘和无髓鞘两种,髓鞘的作用是保护神经纤维,无论哪一种,它们的传导原理都是一样的。有髓鞘神经纤维中的髓鞘结构是一段一段的,两段之间的结节称为郎飞氏结,动作电位在郎飞氏结跳跃式传播。因此,有髓鞘神经纤维的传播速度更快。
神经纤维如同电缆线传导电压,电缆线电阻降低了电流或电压,传导有衰减,而神经纤维可以无衰减地传导电压。借鉴神经纤维传导原理,仿生电路设计可以采取有髓鞘神经纤维结构和神经信号无衰减的可跳跃传播。
应激(stress)是生物体在感受到各种因素强烈刺激时,内稳态发生适应性变化和重建的病理生理现象。其生物效应具有两重性,一方面应激有利于提高适应环境变化的能力,另一方面过强和过长应激可导致急性或慢性疾病。仿生电子系统一方面对环境电磁场的变化应具有自适应性,另一方面对过强的环境电磁场会导致损坏,也具有应激的两重性。
应激反应是系统、器官、组织、细胞等多层次的全身性反应。应激的神经结构是新皮质及其边缘系统,如海马、杏仁体、下丘脑、脑桥蓝斑等。电磁生物学实验表明,当7.33 mT的极低频电磁场阶跃作用于海马神经元,胞内活性氧自由基(ROS)也阶跃增加[26],表明海马神经元对电磁场有氧化应激反应。应激时,这些部位出现神经活动,如神经传导、神经递质释放和神经内分泌反应。免疫系统是应激反应的重要组成部分,与神经内分泌系统相互作用。应激直接导致免疫反应,免疫系统可以产生神经内分泌激素和细胞因子,调节神经内分泌系统,神经内分泌系统又通过神经递质和激素来调节免疫系统。最终,它们以网络形式共同调节应激反应。
在仿免疫系统方面,谢彦召等将电磁防护中识别、反应、效应三个阶段相互对应免疫反应中感应、反应、效应,利用防护材料、防护模块和防护加固设计从空域、能域、敏感设备或系统对高功率电磁干扰进行各层级防护,提出模仿免疫识别建立入侵电磁信号实时监测、模仿免疫预警和记忆对高功率电磁信号进行预警防护、模仿免疫系统的自适应调节功能实施弹性防护、增加电子系统的可调性等[27]。在仿神经调节方面,徐桂芝等基于神经信息传递的突触可塑性机制,用脉冲时间依赖可塑性(Spike Timing Dependent Plasticity, STDP)调节权值的自适应性,进行了四层具有自组织抗扰能力的前馈神经网络建模和仿真,分析神经网络的自适应抗扰能力[28]。
借鉴应激机制,电子系统的仿自适应设计应考虑:①具有多个互作用的子系统;②具有免疫防御、免疫监视、免疫自稳等功能的免疫电路。
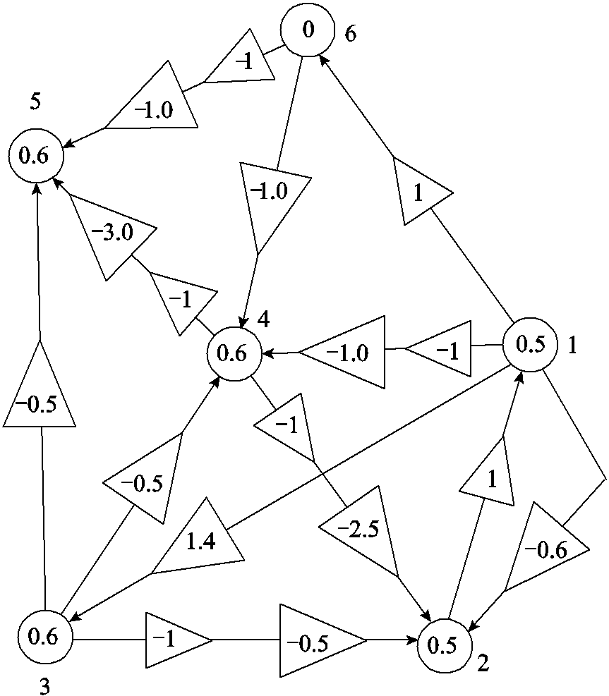
生物系统的鲁棒性在于系统结构在不断地演化或进化(Evolvability),使系统不断地适应新环境,抵抗新干扰。图8是一种仿生物演化的脉冲电磁防护电路初始拓扑结构,由3个加法器、5个反相器、6个信号节点和3个跟随器等组成[29]。
图8 一种仿生物演化的脉冲电磁防护电路
Fig.8 A pulse electromagnetic protection circuit of bionic evolution
信号节点代表加法器或跟随器输出电位,称为状态,放大倍数代表了信号节点之间的交互。第i个信号节点(加法器或跟随器输入)对第j个信号节点(加法器或跟随器输出)的相互影响用放大倍数Aij表示。每个信号节点只有1个状态(加法器或跟随器输入或输出),用sj表示,它由电路中加法器或跟随器放大倍数Aij的总和决定,即
(14)
仿生物演化电路的运行是每一个信号节点的状态大于0才能存活;否则,就会灭绝。当环境有电脉冲干扰信号,信号节点6的状态s6为0.2,则根据式(14),重新计算各信号节点的状态:s1为0.5、s2为0.5、s3为0.6、s4为-0.3、s5为0.4。根据仿生物演化电路的运行规则,s4为负值,信号节点4被灭绝,其他信号节点均存活。根据式(14),第二次计算各信号节点的状态:s1为0.5、s2为0.5、s3为0.6、s5为-0.5。再根据演化电路运行规则,s5为负值,信号节点5被灭绝,其他信号节点均存活。这样,电脉冲干扰信号代表的信号节点6的状态s6被孤立在了电路中,电路中剩余信号节点被存活,保持了电路的稳定性。
以FPGA为硬件的演化电路平台,将演化算法映射在FPGA内,在传统基因编程单元(Cartesian Genetic Programming,CGP)上改进了演化策略,用内进化方式进行2位乘法器的演化。该电路为演化生成和自修复工作提供有效的实验环境[30]。可演化组合逻辑电路利用故障注入的方法模拟静电放电,在逐渐恶劣的静电放电干扰环境中,具有高可靠的抗扰特性[31]。
借鉴生物演化机制,电子系统的仿演化设计应考虑:①设计多个信号节点,用加法器、反相器、跟随器进行信号传递和处理;②用最优进化算法和电路。
创伤是正常组织被破坏和功能丧失,交感神经应激反应开始。当出现创伤时,会引起炎症反应和免疫反应,开启伤口愈合过程。伤口愈合,也称组织修复,是恢复细胞的连续性,主要有组织再生和组织纤维化两种方式。组织再生是由损伤周围的同种细胞来修复,组织纤维化是不能由原来组织再生修复,而是由肉芽组织填补。
满梦华等以ARM9芯片和FPGA为硬件研发的自修复电路平台,包括故障检测、演化生成等功能。当检测到故障时,遗传算法变异染色体信息改变执行单元内电路拓扑结构配置,并再次检测功能是否恢复。循环执行该过程直到演化出一组既能隔离受损电子模块,又能完成系统的配置信息,实现故障自修复故障[32]。
借鉴生物自修复机制,电子系统自修复系统应设计考虑:①设计故障检测,以启动仿免疫电路;②设计仿组织修复的多电子模块。
综上所述,从生物系统特性可借鉴的电子系统电磁防护仿生设计有以下几点:
1)电磁防护仿生的关键是模仿生物系统的结构和功能,设计电子系统结构,实现电磁防护功能。
2)复杂电磁环境充满物质、能量、信息,电子系统可借鉴生物系统结构的开放性,设计可与外界电磁环境进行物质交换、能量转换、信息传递的电子系统或模块,以提高电子系统的抗扰性。
3)生物系统中的信息传递依靠组织衰减、第二信使、信号通路简并和冗余,使系统具有抗扰性。借鉴生物系统的耦合方式,为电子系统信号耦合途径设计提供新思路。
4)生物系统中的神经信号传递采用了信号编码、有髓鞘保护等方式,提升了系统的抗扰性。借鉴生物系统的信号编码、传递线保护方式,为电子系统信号传递设计提供新思路。
5)可借鉴生物的抗扰性(鲁棒性)、自律性(自组织、自适应、自修复)、遗传性等特性,在整机系统层次设计高电磁抗干扰的电子系统。
参考文献
[1] 刘尚合, 原亮, 褚杰. 电磁仿生学-电磁防护研究的新领域[J]. 自然杂志, 2009, 31(1): 1-7.
Liu Shanghe, Yuan Liang, Chu Jie. Electromagnetic bionics: a new study field of electromagnetic protection [J]. Chinese Journal of Nature, 2009, 31(1): 1-7.
[2] 刘尚合, 褚杰, 原亮. 电子系统的电磁仿生研究与进展[J]. 装甲兵工程学院学报, 2009, 23(1): 1-6.
Liu Shanghe, Chu Jie, Yuan Liang, Study and progress of electromagnetic bionics for electronic system[J]. Journal of Academy of Armored Force Engineering, 2009, 23(1): 1-6.
[3] 刘尚合, 马贵蕾, 满梦华, 等. 电磁防护仿生研究进展[J]. 高电压技术, 2022, 48(5): 1750-1762.
Liu Shanghe, Ma Guilei, Man Menghua, et al. Research progress of electromagnetic protection biomimetics[J]. High Voltage Engineering, 2022, 48(5): 1750-1762.
[4] 刘尚合, 武占成, 张希军. 电磁环境效应及其发展趋势[J]. 国防科技, 2008, 29(1): 1-6.
Liu Shanghe, Wu Zhancheng, Zhang Xijun. Electro-magnetic enviroment effect and its development trends[J]. Defense Science and Technology, 2008, 29(1): 1-6.
[5] 徐哲, 黄珏. 舰船电子信息装备强电磁脉冲防护技术发展[J]. 舰船电子对抗, 2021, 44(4): 35-38, 93.
Xu Zhe, Huang Jue. Development of strong electromagnetic pulse protection technology for ship electronic information equipment[J]. Shipboard Electronic Countermeasure, 2021, 44(4): 35-38.
[6] 陈豪, 刘其凤, 李永明, 等. 一种强电磁设备低频辐射特性等效建模方法[J]. 电工技术学报, 2023, 38(20): 5354-5368.
Chen Hao, Liu Qifeng, Li Yongming, et al. Aequivalent modeling method for low-frequency radiation characteristics of high-power electromagnetic equipment[J]. Transactions of China Electrotechnical Society,2023, 38(20): 5354-5368.
[7] 刘尚合, 武占成. 电磁环境与高新技术武器装备 [J]. 现代军事, 2001(10):10-12.
Liu Shanghe, Wu Zhancheng. Electromagnetic enviroment and high technological weapon equipment [J]. Modern Military, 2010(10):10-12.
[8] 包家立. 医疗仪器的临床应用[M]. 北京: 人民卫生出版社, 2022.
[9] International Commission on Non-Ionizing Radiation Protection (ICNIRP). Guidelines for limiting exposure to electromagnetic fields (100 kHz to 300 GHz) [J]. Health Physics, 2020, 118(5): 483-524.
[10] IEEE International Committee on Electromagnetic Safety. IEEE recommended practice for measurements and computations of electric, magnetic, and electro-magnetic fields with respect to human exposure to such fields, 0 Hz to 300 GHz: IEEE Std C95.3—2021 [S/OL]. (2021-05-28) [2025-02- 17].https://ieeexplore. ieee.org/document/9444273.
[11] 王华清, 黄道春, 双明镜, 等. 基于一体化电磁骚扰传导模型的开关柜微机保护装置电磁干扰滤波器设计[J]. 电工技术学报, 2024, 39(11): 3280-3290.
Wang Huaqing, Huang Daochun, ShuangMingjing, et al. Design of electromagnetic interference filter for microcomputer protection device of switchgear based on integrated electromagnetic interference conduction model[J]. Transactions of China Electrotechnical Society, 2024, 39(11): 3280-3290.
[12] 刘培国, 刘晨曦, 谭剑锋, 等. 强电磁防护技术研究进展 [J]. 中国舰船研究, 2015, 10(2): 2-6.
Liu Peiguo,Liu Chenxi,Tan Jianfeng,et al. Analysis of the research development on HPM/EMP protection [J]. Chinese Journal of Ship Research, 2015, 10(2): 2-6.
[13] 毋召锋, 徐延林, 刘培国, 等.电磁防护技术发展综述与展望[J].强激光与粒子束,2024,36(4): 1-13.
Wu Zhaofeng, XuYanlin, Liu Peiguo, et al. Review and prospect of electromagnetic protection tech- nology development[J]. High Power Laser and Particle beams, 2024, 36(4): 1-13.
[14] 孔晓涵, 张雅娜, 吴嘉敏, 等. 基于低频表面超材料的超低场磁共振成像信噪比增强方法[J]. 电工技术学报, 2024, 39(13): 3917-3927.
Kong Xiaohan, Zhang Yana, Wu Jiamin, et al. Signal-to-noise ratio enhancement method for ultra-low field magnetic resonance imaging based on low-frequency surface metamaterials[J]. Transactions of China Electrotechnical Society, 2024, 39(13): 3917-3927.
[15] 苏海峰, 包家立, 李鹏. 电磁场暴露海马神经元自由基和胞内Ca2+的变化[J]. 生物化学与生物物理进展, 2010, 37(3): 313-318.
Su Haifeng, Bao Jiali, Li Peng. Electromagnetic fields exposure elicits radical and Ca2+ response in rat- hippocampal neurons[J]. Progress in Biochemistry and Biophysics, 2010, 37(3): 313-318.
[16] Neves S R, Ram P T, Iyengar R. G protein pathways [J]. Science, 2002, 296(5573): 1636-1639.
[17] 侯海峰, 丁国良, 满梦华, 等. 简并性在电子系统仿生设计中的研究[J]. 计算机技术与发展, 2014, 24(9): 168-170, 175.
HouHaifeng, Ding Guoliang, Man Menghua, et al. Study on degeneracy in electronic systems bionics design[J]. Computer Technology and Development, 2014, 24(9): 168-170, 175.
[18] Tononi G, Sporns O, Edelman G M. Measures of degeneracy and redundancy in biological networks [J]. Proceedings of the National Academy of Sciences of the United States of America, 1999, 96(6): 3257-3262.
[19] 陈凯, 逯迈, 易飞鸿,等. 基于FPGA的神经突触的硬件实现及放电性能比较[J]. 中国生物医学工程学报, 2020, 39(1): 57-62.
Chen Kai, Lu Mai, Yi Feihong, et al. Hardware implementation and discharge performance comparison of nerve synapses based on FPGA[J]. Chinese Journal of Biomedical Engineering, 2020, 39(1): 57-62.
[20] 尚蕾, 逯迈. 具有生物属性的小规模电子神经网络抗扰特性仿真研究[J]. 航天医学与医学工程, 2021, 34(2): 137-145.
Shang Lei, Lu Mai. Simulation Research on anti- interference characteristics of small-scale electronic neuronal network with biological attributes[J]. Space Medicine & Medical Engineering, 2021, 34(2): 137-145.
[21] 王超, 逯迈. 神经核团异常放电的数值模拟与FPGA实现[J]. 中国医学物理学杂志, 2021, 38(6): 749-758.
Wang Chao, Lu Mai. simulation research on anti-interference characteristics of small-scale electronic neuronal network with biological attributes[J]. Chinese Journal of Medical Physics, 2021, 38(6): 749-758.
[22] 满梦华, 蔡娜, 马贵蕾, 等. 模仿神经元网络抗扰特性的电磁防护仿生研究[J]. 装备环境工程, 2017, 14(4): 9-15.
Man Menghua, Cai Na, Ma Guilei, et al. study on electromagnetic protection bionics by mimicking the anti-interference mechanism of neural network[J]. Equipment Environmental Engineering, 2017, 14(4): 9-15.
[23] 张明亮, 张桂朋, 王天怡, 等.电磁防护仿生中的神经动作电位发放特性[J]. 中国医学物理学杂志, 2022, 39(2): 241-251.
Zhang Mingliang, Zhang Guipeng, Wang Tianyi, et al. Firing characteristics of nerve action potential in electromagnetic protection bionics[J]. Chinese Journal of Medical Physics, 2022, 39(2): 241-251.
[24] 张明亮, 徐新阳, 杨新梦, 等. 基于神经元的方波发生器设计及参数优化[J]. 中国医学物理学杂志, 2022, 39(5): 590-598.
Zhang Mingliang, Xu Xinyang, Yang Xinmeng, et al. Design of a neuron-based square wave generator and parameters optimization[J]. Chinese Journal of Medical Physics, 2022, 39(5): 590-598.
[25] 张明亮, 杨新梦, 张桂朋, 等. 面向电磁防护仿生的神经元稳定性分析和抗扰特性研究[J]. 高电压技术, 2023, 49(7):3110-3118.
Zhang Mingliang, Yang Xinmeng, Zhang Guipeng, et al. The stability and anti-interference characteristics of neuron facing on bio-inspired electromagnetic protection[J]. High Voltage Engineering, 2023, 49(7): 3110-3118.
[26] 岑泽南, 黄伟伟, 包家立, 等. 海马神经元ROS和Ca2+对极低频电磁场实时响应的方法研究[J]. 生物化学与生物物理进展, 2021, 48(9): 1087-1095.
Cen Zenan, Huang Weiwei, BaoJiali, et al. Methodology study on the real-time response of ROS and Ca2+ to extremely low frequency electromagnetic fields in the hippocampal neurons[J]. Progress in Biochemistry and Biophysics, 2021, 48(9): 1087- 1095.
[27] 张耀辉, 谢彦召, 李跃波, 等. 人体免疫机制对重要基础设施系统级电磁防护的借鉴[J]. 高电压技术, 2019, 45(8): 2662-2667.
Zhang Yaohui, XieYanzhao, Li Yuebo, et al. Reference of human body immunity mechanism to system level electromagnetic protection of important infrastructures[J]. High Voltage Engineering, 2019, 45(8): 2662-2667.
[28] 陈云芝, 徐桂芝, 周茜, 等. 基于脉冲时间依赖可塑性的自适应神经网络抗扰能力研究[J]. 生物医学工程学杂志, 2015, 32(1): 25-31.
Chen Yunzhi, Xu Guizhi, Zhou Qian, et al. Robustness analysis of adaptive neural network model based on spike timing-dependent plasticity[J]. Journal of Biomedical Engineering, 2015, 32(1): 25-31.
[29] 浙江大学.一种仿生物演化的脉冲电磁防护电路:202110392263.1[P]. 2022-10-18.
[30] 解双建, 原亮, 满梦华, 等. 基于演化硬件的容错电路设计与实现[J]. 计算机测量与控制, 2011, 19(10): 2495-2497.
XieShuangjian, Yuan Liang, Man Menghua, et al. Design and realization of fault-tolerant circuit based on evolvable hardware[J]. Computer Measurement & Control, 2011, 19(10): 2495-2497.
[31] 满梦华, 刘尚合, 常小龙, 等. 可演化组合逻辑数字电路的静电放电抗扰特性[J]. 高电压技术, 2012, 38(9): 2322-2328.
Man Menghua, Liu Shanghe, Chang Xiaolong, et al. Anti-electrostatic discharge interference characteristics of evolvable combinational circuits[J]. High Voltage Engineering, 2012, 38(9): 2322-2328.
[32] 满梦华, 巨政权, 原青云, 等. 基于电磁仿生概念的静电放电注入损伤防护模型设计[J]. 高电压技术, 2011, 37(2): 375-381.
Man Menghua, JuZhengquan, Yuan Qingyun, et al. Design of protection model for electrostatic discharge injection injury based on the electromagnetic bionics [J]. High Voltage Engineering, 2011, 37(2): 375-381.
Abstract Electronic systems (ES) exposed to complex electromagnetic environments (CEME) are highly susceptible to interference and damage from CEME. Electromagnetic protection is an important measure to prevent interference and damage from CEME. Mr. Liu Shanghe raised a scientific question: As long as the CEME reaches or approaches the same level as the signal of the electronic system, the system may malfunction. However, biological systems (BS) can resist interference of electromagnetic that is tens of thousands of times greater than their own signals. To this end, he proposed a new concept for electromagnetic protection bionic to reference on the principle of resistance to interference and damage of electromagnetic of BS. The purpose of this paper is to provide new ideas for the design of electromagnetic protection bionic in ES through in-depth analysis and drawing on the structure and function of BS.
Aiming at the research direction of electromagnetic protection bionic, it was analyzed the structures of electronic systems and biological systems, the electromagnetic environmental effects (E3) of ES and biological effects of BS, the coupling pathway mechanism of electromagnetic effects of ES and BS, the neural signals and its transmission protection of BS, and the electromagnetic protection mechanism at the system level of BS. Reference on the anti-interference of electromagnetic of BS, it are proposed some key design points of electromagnetic protection bionic for ES.
The structure of ES is connected by various modules with a functional, modular and link-based. BS is an open system that exchanges substances, converts energy and transmits information with the outside, and the adaptive, self-organizing and self-regulating in BS are fully exerted, for example, the homeostasis.
With the increase of the intensity of electromagnetic, the effects of E3 transform from reversible to irreversible, such as interference, energy reduction, damage and destruction. Nevertheless, biological effects successively exhibit no response, response, reversible and irreversible which of non-thermal, and thermal damage and destruction which of thermal.
The coupling of ES is that the current, voltage and electromagnetic waves to act directly on electronic components without obstruction. However, the attenuation of bio-tissues reduces the intensity to the target organ or tissue, achieving a shielding effect. The second messenger in cells is the way to produce electromagnetic effects in BS. Cellular effects are often caused by the degeneracy of multiple signal pathways and the complementary redundancy of each pathway.
A graded potential in the cell depends on the intensity of the stimulus. After neurons receive external stimulus, the action potentials are transmitted to the central nervous system in the form of frequency encoding of pulse sequences. When nerve fibers are stimulated subthreshold, the nerve axon can be regarded as a cable with distributed capacitance and leakage resistance. The resistance of the cable decreases the current or voltage to induce attenuated conduction. When myelinated nerve fibers are stimulated by suprathreshold, the action potential without attenuation can propagate in leapfrog at Ranvier's node. Myelin sheath protects nerve fibers.
ES has the nature of biological stress that it could be adaptive to changes of weak CEME, but cause damage in overly strong CEME. The robustness of BS lies in the continuous evolution of its structure to adapt to new environments. Tissue repair is the process of restoring the integrity of an organization, mainly including tissue regeneration and tissue fibrosis.
To sum up, referencing on some characteristics of the anti-interference and damage electromagnetic in BS, the key points of ES design are as follows: (1) shielding materials should have good attenuation properties and the indirect interaction between electromagnetic fields and target components.(2) bionic circuit can adopt indirect signal transmission and specific sensitive sensors and protective structures.(3) degeneracy circuits with multiple structures and the same tasks, as well as degeneracy circuits with better robustness.(4) design a limiter with “all or none” for to limit the strong interference signals and an encoder with the action potential with the frequency of the pulse sequence.(5) myelinated nerve fiber structures and the leaping propagation of nerve signals without attenuation.(6) multiple subsystems with immune functions and which interact with each other. (7) more signal nodes which signal transmission and processing are carried out using adders, inverters, followers, and the optimal evolution algorithm and circuit. (8) a fault detecting circuit in order to start the imitation immune circuit, and a multiple electronic modules used for tissue repair.
Keywords:Electromagnetic protection, complex electromagnetic environment (CEME), bionics, electromagnetic compatibility (EMC), biological systems
中图分类号:TM15
DOI: 10.19595/j.cnki.1000-6753.tces.250257
收稿日期 2025-02-18
改稿日期 2025-04-18
包家立 男,1961年生,博士,教授,研究方向为电磁生物学、电磁防护仿生、电穿孔技术、医疗器械、临床工程等。
E-mail: baojl@zju.edu.cn(通信作者)
(编辑 郭丽军)