摘要 围绕近海漂浮式光伏发电场在海上风浪环境下长期稳定运行与智慧运维的需求,该文基于海上环境与光伏电气系统运行状况的一体化智能监测装置,提出一种考虑波浪作用和时序特性的故障诊断方法。首先,将海上波浪运动规律与漂浮式光伏阵列的等效电路模型相结合,构建多模型融合的漂浮式光伏发电模型;其次,仿真分析正常状态和海上多种故障类型下的发电特性,针对海上环境下特有的故障类型进行特征提取,构建时序故障特征矩阵,所提出的特征提取算法考虑了波浪环境对故障特征量的影响和故障发展的时序特性;最后,提出空间注意力机制(SAM)与卷积-双向长短期记忆神经网络(CNN-BiLSTM)结合的故障诊断模型,并进行了仿真及波浪实验数据验证。该模型可兼顾波浪影响的局部特征与故障发展的时序特征的提取,结果表明所提出的基于时序故障特征矩阵的诊断方法相较于其他方法有4.4~20.3个百分点的准确率提升。
关键词:海上漂浮式光伏 光伏发电模型 I-V特性曲线 光伏阵列故障诊断 故障时序特性提取
随着全球能源结构去碳化转型,光伏产业发展成为我国实现“双碳”目标的重要途径,目前中国光伏发电并网装机容量已突破3亿kW大关,稳居全球首位[1]。传统的太阳能光伏系统通常安装在陆地,未来大规模部署光伏系统面临土地空间不足的问题。在水体上实施漂浮式光伏系统不仅可以节省土地,而且由于水对组件具有冷却效果,有利于提升发电效率和改善光伏退化情况[2-3]。中国大陆海岸线长1.8万km,预计近海光伏装机规模超70 GW[4],且随着光伏全产业链发展的成熟完善,我国已经具备海上光伏产业规模化发展的初步条件。而鉴于目前海上漂浮式光伏电站电气系统设计和运维的核心技术研究尚处于起步阶段,开展近海漂浮式光伏阵列故障诊断研究可为光伏电站安全高效运行提供保障,为无人化、智能化运维提供解决方案。
目前已投运的漂浮式光伏主要位于内陆湖泊等淡水领域,其浮体结构可分为浮岛式、浮块式和薄膜式三类,如图1所示。由于这些水域的风速和波浪相对较小,陆上光伏技术可以很好地移植到此类漂浮式光伏系统中。现有的研究已经针对水上光伏阵列提出了一些建模和预测方法:文献[5]针对双面光伏组件的大型水库漂浮式光伏发电站,根据光伏阵列的建设位置和几何结构进行建模分析,计算了发电最优倾角。文献[6]从水面温度、湿度、风速等海上气候环境角度对漂浮式光伏阵列进行建模,并设计了冷却系统,验证水面被动和主动冷却都能显著提高光伏阵列的发电量。为提高对漂浮式光伏阵列功率预测的准确性,文献[7]分析了海上环境对光伏阵列中组件老化的影响,并提出漂浮式光伏功率预测模型。上述模型主要关注水上温度、湿度等环境因素对光伏组件的影响,而海上漂浮式光伏发电特性受波浪运动、电气特性等多模型因素共同影响。已经开展的漂浮式光伏故障诊断研究多从自身结构特点出发,考虑浮体结构、机械参数等因素提出海上漂浮式光伏故障预测模型[8]。文献[9]对湖面上安装的漂浮式光伏阵列进行实验分析表明,剧烈的波浪作用会对浮体的运动模式产生较大影响,增加光伏阵列发生潜在故障的概率。因此,需要结合波浪作用和光伏发电特性进行故障情况的分析,但在海上环境下的光伏电气特征提取和故障识别方法尚缺乏研究,可以针对波浪作用下光伏阵列的辐照度变化特点,借鉴现有陆上典型的故障诊断技术开展研究。
图1 海上漂浮式光伏受波浪、盐渍、鸟粪污染情况
Fig.1 The contamination of offshore floating photovoltaics due to wave, salinity and bird droppings
陆上的光伏阵列辐照度变化较海上环境更为平缓,因此,大型光伏电站多采用基于物理模型的监测和故障分析方法[10],通过设定各电气量的报警阈值进行故障诊断和预警,是工程上最简单、应用最广泛的电站运维方法[11]。文献[12]分析了受草木阴影遮挡的光伏阵列在四个季度中的时序发电情况,从时序电流的角度建立时空特征矩阵,通过设定阈值判断是否存在遮阴故障。文献[13]通过电压传感器优化布置方案及设定电压阈值的方法实现光伏阵列的短路、开路、遮阴故障的检测与定位。文献[11]分析了环境稳定性和辐照度对阵列发电的影响,提出一种基于分位数法的动态报警阈值设定方法。但阈值法面对复杂遮阴故障及海上快速动态变化的环境状况时存在阈值难设定、故障识别准确率低的问题。目前对于复杂故障的分类多采用基于I-V曲线的特征提取方法[14]结合机器学习算法进行故障诊断。这种方法相较于阈值设定法,对复杂故障的综合分析能力更强,更适用于海上漂浮式环境,如卷积神经网络(Convolutional Neural Network, CNN)模型、支持向量机(Support Vector Machine, SVM)等人工智能算法在光伏阵列遮阴故障的识别中有较多研究[15-16]。但上述方法仅适用于单一的遮阴条件,对复杂遮阴的识别准确率不高。对于此类问题,文献[17]提出基于CatBoost算法的故障诊断,提高了对I-V曲线数据的利用率;文献[18]将数字孪生系统与时间卷积网络(Temporal Convolutional Network, TCN)相结合,提高了对时序故障模型诊断的准确率。但上述故障及遮阴条件未考虑海上各类型环境因素叠加影响,缺少漂浮式光伏阵列的不同类型故障随时间演进过程中的故障识别方法,且没有考虑浮体结构及海上波浪、盐雾、鸟粪等环境因素对故障特征辨识及故障诊断的影响,如图1所示。
本文以抗浪性能最优的浮块式光伏阵列为基础,提出了一种考虑波浪作用和故障时序特性的海上漂浮式光伏阵列故障诊断方法。首先,构建考虑波浪作用的漂浮式光伏阵列发电模型,通过与漂浮式光伏阵列电路模型相结合的仿真模拟,分析光伏阵列故障特点;其次,通过分析海上波浪环境下漂浮式光伏阵列的故障类型和故障特征,提出多种故障类型的特征量提取算法;最后,分析波浪作用对故障诊断的影响,结合故障发展的时序特点,提出故障时序特征矩阵,并采用基于卷积-双向长短期记忆神经网络结合空间注意力机制(Convolutional Neural Network-Bidirectional Long Short-term Memory- Spatial Attention Mechanism, CNN-BiLSTM-SAM)的模型进行故障诊断。通过漂浮式光伏发电仿真和波浪环境下浮体模型实验结果验证了所提方法的有效性。
光伏阵列由光伏组件通过串并联组成,光伏组件内部封装有若干单体光伏电池。本文采用单二极管等效电路模型模拟光伏电池发电特性,表示为
(1)
(2)
式中,
为输出电流;
为光生电流;
为二极管饱和电流;q为单位电荷;
为输出电压;
为并联电阻;
为二极管特征因子;K为玻耳兹曼常数;
为太阳能电池温度;
为串联电阻;
为光伏电池表面辐照度;
为标准情况下光生电流;
为短路电流温度系数;
为标准情况下太阳能电池温度,25℃。
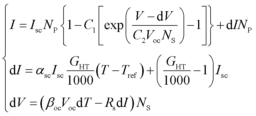
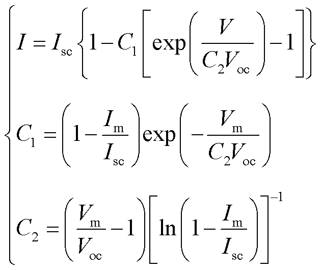
由于实际光伏电池很难监测光生电流、并联电阻等内部参数,因此,对上述模型进行进一步简化[19],可得工程用光伏电池模型为
(3)
式中,
为短路电流;
为开路电压;
为最大功率点电流;
为最大功率点电压。实际中
值会随着辐照度及温度的变化而改变,因此做出修正,有
(4)
式中,
为开路电压温度系数;
为修正后的光伏电池电流;
为修正后的光伏电池电压。
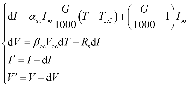
与陆上固定式光伏阵列不同,海上漂浮式光伏阵列中光伏组件多安装于浮体结构上。而浮体结构受波浪作用的运动响应可改变光伏组件的对日角度,导致组件的入射辐照度发生变化,进而影响光伏阵列的发电特性。因此需要对浮体运动响应进行分析,构建考虑波浪作用的光伏阵列发电模型。
安装于浮体结构上的光伏组件倾角会受波浪影响发生变化,任意倾斜平面所接收到的表面辐照度可表示[20-21]为
(5)
式中,
为水平面直射辐照度;
为水平面散射辐照度;
为水平面反射辐照度;
为太阳直射角与倾斜平面法向的夹角;
为倾斜平面与水平面的夹角。由几何关系推导可得
[22]为

式中,
为赤纬角;
为纬度;
为时角;
为平板方向角,自北向东为正。
为模拟海上波浪作用对光伏组件发电特性的影响,本文模拟规则波对安装于浮箱式浮体结构上光伏阵列的运动响应,其示意图如图2所示。浮箱式浮体尺寸相较于海浪波长较小,为简化计算,视浮体为柔性的,即将浮体运动等效为海平面水质点的运动,光伏板随波浪运动于水平面产生的夹角等于波浪波面质点的切向角。同时,由于实际海况中波浪方向不定,为体现波浪作用对光伏组件倾角的影响,假设波浪方向为南北方向,且只考虑光伏板随波浪转动情况,不考虑平动。本文采用斯托克斯二阶波对海上波浪进行模拟,将二阶波波面方程对质点位置求导后取反正切值,得波浪时域倾角为
(7)
式中,
为时刻
的波倾角;
为波数;
为波幅;
为波浪角频率;
为波长;
为水深。
图2 漂浮式光伏阵列示意图
Fig.2 Schematic diagram of floating photovoltaic arrays
联立式(5)~式(7),可以求得受波浪作用的光伏组件表面辐照度
为
(8)
(9)
式中,
为式(9)代入式(6)后的结果;
为倾斜光伏板与水平面的初始夹角。
将
作为辐照度数据代入光伏电池数学模型中,可得考虑海上波浪条件下的光伏阵列数学模型为
(10)
式中,
为串联光伏组件数目;
为并联光伏组串数目。
受海上风浪环境影响,海上漂浮式光伏阵列故障类型和故障特征与陆上光伏阵列有较大差异。陆上光伏阵列中常见的故障包括开路、短路、局部遮阴和老化。海上光伏阵列运行情况更为复杂,会受到盐雾、鸟粪、尘土等污垢影响,以及强风、强浪等因素导致的结构损坏。但海上光伏阵列因其浮体结构和地理环境因素,组件之间间隔较大且固定倾角设置较小,受遮阴影响可能性较低,因此本文将遮阴故障替换为污损故障,并新增了热斑故障。
本文在Matlab/Simulink环境下搭建了所提出的光伏阵列模型,并在不同外部环境和故障状态下进行光伏阵列I-V曲线的模拟。光伏阵列排布方式如图3所示,光伏阵列参数见表1。
图3 光伏阵列布置
Fig.3 Layout diagram of the photovoltaic array
表1 光伏阵列参数
Tab.1 Parameters of the photovoltaic array
参数数值 开路电压/V49.15 短路电流/A14.04 最大功率点电压/V41.30 最大功率点电流/A13.13 短路电流温度系数(%/℃)0.05 开路电压温度系数(%/℃)-0.28 串联组件数10 并联组串数2 初始倾角/(°)10
开路故障为光伏阵列中某组串发生断开现象,故障组串电流值降为零,远小于其他组串电流值。短路故障为光伏阵列中一个或数个组件发生短接现象,此时组件的旁路二极管导通,故障组串会发生较为明显的电压跌落现象。老化故障为光伏组件长期运行后发生的功率降低现象,在海上高温高湿盐雾环境下更为明显,故障组件内阻增大,导致组串整体效率降低,采用串联1~6
的电阻进行模拟。
以上三种故障类型的对比如图4所示。光伏阵列发生开路故障时,短路电流
和最大功率点电流
明显降低;光伏阵列发生短路故障时,开路电压
和最大功率点电压
明显降低;光伏阵列发生异常老化时,最大功率点
发生偏移,
和
均有所降低,但降低幅度较小。
图4 开路、短路、老化故障对比
Fig.4 Comparison of open circuit, short circuit, and aging faults
受海上风浪及盐雾环境影响,漂浮式光伏阵列会因泥沙、盐渍等产生大面积污染遮挡,导致光伏组件表面的整体辐照度发生不同程度的降低。受污损影响,光伏组件产生的输出电流小于其他的无污损组件,此时污损组件就会被当成负载,造成功率损失。由于污损情况影响面积较大,但整体透光率较高,因此通常采用降低组件整体10%~40%入射辐照度的方法进行污损故障的模拟。
污损故障类型的对比如图5所示,污损故障1~3分别为单组串单个光伏组件辐照度降低、单组串多个光伏组件辐照度降低、双组串多个光伏组件辐照度降低。光伏阵列发生污损故障时,开路电压
和短路电流
值基本不变,但最大功率点
会根据遮阴情况发生不同程度的偏移,并产生“多膝”现象[23]。针对此现象特性,引入I-V曲线拐点数量作为故障特征量。
图5 污损故障对比
Fig.5 Comparison of contamination faults
受海上环境影响,漂浮式光伏阵列会因鸟粪、海藻等因素造成组件中个别光伏电池单元受到长时间的阴影遮挡。此类故障遮挡面积很小,但遮光度较高,使得少数光伏电池成为电路的负载,产生的局部热量不断积累,导致热斑故障[24]。模拟热斑故障需将故障光伏组件内部电池单元的入射辐照度降低60%~90%,并将电池温度随时间升高40~100℃。
热斑故障对比如图6所示,热斑故障1~3分别为单组串单个光伏组件发生热斑现象、单组串多个光伏组件发生热斑现象、双组串多个光伏组件发生热斑现象。光伏阵列发生热斑故障时,开路电压
和短路电流
值基本不变,但最大功率点
会产生较小的偏移。由于热斑故障为光伏组件内部的部分光伏电池单元故障,在光伏阵列的I-V曲线上特征体现不明显。而由热斑故障引起的被二极管旁路的光伏电池单元数量较少,其开路电压一般为单组件的1/3,其拐点电压较高;又因造成热斑故障的遮挡程度较高,拐点电流较低,因此增加最高拐点电压值和对应的电流值作为故障特征量。
图6 热斑故障对比
Fig.6 Comparison of hot spot faults
漂浮式光伏阵列由于其各组件所处的位置不同,受波浪影响效果也不同,如图1所示,同一组串中的光伏组件因为倾角不同导致表面辐照度不同,进而使组串I-V曲线出现类似于污损遮阴故障的“多膝”现象。光伏阵列在不同风浪强度下的I-V曲线如图7所示。
图7 不同波浪等级下I-V曲线对比
Fig.7 Comparison of I-V curves under different wave conditions
为减少波浪作用对故障诊断的影响,并判断波浪的剧烈程度,本文提出了波动率指标
,即
(11)
式中,
为第
个采样点的光伏组件倾角;
为一个时间窗口内采样点的数量;
为一个时间窗口内光伏组件倾角的平均值。光伏组件倾角可通过在组件框架处安装倾角传感器监测得到。
为正确提取I-V曲线中的拐点信息,采用滑动窗口算法对曲线进行扫描。已知I-V扫描曲线坐标轴中的电压
与扫描时间呈线性关系,取电流值
为计算对象。取滑动窗口宽度为
,并将窗口分为前、后两部分,分别对前半窗口、后半窗口和整个窗口进行一元线性回归,线性回归方程为
(12)
式中,
、
、
、
、
、
为线性回归方程的待定系数;
、
、
分别为前半、后半、整体窗口的线性回归电流值;
、
、
分别为前半、后半、整体窗口的线性回归电压值。分别计算前半、后半、整体窗口的最小二乘残差为
(13)
式中,
为窗口序号。计算窗口信号差值为
(14)
对I-V曲线拐点识别的效果如图8所示。选取窗口信号差值最大点作为故障曲线拐点,记录拐点窗口
,由线性关系得出对应拐点电压值
,并对照故障曲线得出拐点电流值
。
图8 拐点识别算法结果
Fig.8 Results of the inflection point recognition algorithm
综上所述,本文选择开路电压
、短路电流
、最大功率点电压
、最大功率点电流
、拐点数量、拐点电压值
、拐点电流值
、环境辐照度
、温度
、波动率
共10个特征量,并形成特征向量
,即
(15)
式中,
为特征量;
为该特征量对应的故障类型;
为特征量数量;
为故障数据量。
由于波浪环境对不同故障情况下的I-V曲线特性有较大影响,且特征量不明显的热斑故障分辨难度较大,本文考虑故障及其发展的时序特性,根据故障不同阶段的I-V曲线特征不同及波浪影响的时效性,引入不同时间段的光伏阵列特征向量数据作为故障诊断的判定依据。
以热斑故障为例,热斑故障通常因为光伏阵列中局部光伏电池单元发生遮阴,造成局部温度过高。而从遮阴开始到发展为局部温度过高的热斑故障仅需数小时的时间[25],因此将相邻时间段内的数据进行组合对比,可以更好地挖掘数据间的特征差异。热斑故障的时序发展过程如图9a所示,在11:00阵列处于故障运行状态,12:00和13:00热斑故障逐渐发展并产生拐点、最大功率点偏移等相应的故障特征量。
图9 故障的时序发展特征
Fig.9 Temporal development characteristics of faults
波浪作用也会对故障特征量造成影响,但风浪天气的持续时间有限,在数小时的时间尺度内选取多时刻的特征向量进行对比可减弱波浪作用的影响。波浪作用对I-V曲线的影响如图9b所示,光伏阵列运行正常,但在12:00光伏组件处于较大风浪状态下,并出现多峰值特征,但结合前后时刻的特征向量仍判定为正常运行情况。
综上所述,考虑波浪影响及故障发展的时序特点,将同一运行阶段光伏阵列不同时刻的特征向量按时序进行排列,构造二维特征矩阵
,有
(16)
式中,
为
时刻第m个特征量。该特征矩阵的行为不同类型的特征量,列为该类型特征量在不同时刻下的值。对所有运行类型的特征矩阵进行汇总,建立神经网络数据集
,有
(17)
卷积神经网络多用于二维图像信息处理,主要由卷积层、池化层和全连接层组成。CNN通过卷积和池化运算从输入数据中提取区域特征,并通过全连接层进行线性加权计算。长短期记忆神经网络是一种特殊的循环神经网络结构(Recurrent Neural Network, RNN),具有长记忆模块,可保留更长的时间序列特征。而双向长短期记忆神经网络(BiLSTM)模型增加了反向特征学习路径,能够对过去和未来的时序特征进行充分提取[26],结合本文的时序特征矩阵,能够有效提高模型的预测精度。
由于不同故障之间的特征量变化特点不同,只采用CNN模型进行局部特征提取难以突出重要的故障特征。本文在CNN的基础上增加空间注意力模块(SAM),可表示为
(18)
式中,
为输入特征图;
和
为权重矩阵;
为softmax标准化函数;
为ReLU激活函数。SAM通过全局池化-特征整合-特征加权操作对原始特征图进行加权,使模型能有效地提取对故障诊断结构起主要作用的区域特征,进一步提高模型的性能。
本文首先使用二维CNN进行输入矩阵的特征提取,并通过SAM得到加权后的特征矩阵作为BiLSTM的输入。然后由BiLSTM提取特征矩阵间的时序信息,并通过全连接层进行故障分类。整体模型相较于CNN增强了对矩阵局部特征量变化的信息提取,可提高对热斑、老化特征量变化较小的故障诊断准确率;又结合了BiLSTM实现对特征量随时间变化的分析,可提取波浪的时序作用及热斑的故障发展带来的特征量前后变化的特点,提高对海上漂浮式光伏整体故障的诊断能力。整体网络模型结构如图10所示,包含输入层、一层包含卷积层和池化层的CNN、SAM、一层BiLSTM、一层全连接层及输出层。
本文以第2.2节中选取的10个特征量构建二维特征矩阵
作为模型输入变量,并采用第2节中选取的五种故障类型和正常运行类型共六种运行状态作为模型输出变量。由于海上光伏电站故障诊断模型需要大量数据支撑,可采取仿真的方式对诊断模型进行初始训练,在漂浮式光伏电站实际运行过程中不断地以运行日的数据更新神经网络训练集,用
表示为
图10 CNN-BiLSTM-SAM模型
Fig.10 CNN-BiLSTM-SAM model
(19)
式中,
为运行日新增的特征矩阵数量。故障诊断算法流程如图11所示。
本文在Matlab/Simulink环境下搭建了第1节中提出的考虑海上波浪影响的光伏阵列模型,并针对六种运行状态模拟了相应的运行工况。在SolarGIS平台获取渤海近海处一年环境数据,取每日10:00—14:00时间段的环境信息作为环境数据集,时间间隔为1 h,即特征矩阵大小为5×(10+1)。波浪模拟数据按照1~6级海浪等级数据制定,波高范围0.2~6 m,波长范围5~20 m,有效波周期范围1.0~17.0 s。通过模拟波浪数据在仿真平台上共生成365×6= 2 190组运行数据,按8:2的比例选取1 752组数据作为训练样本,438组数据作为测试样本。
为验证本文提出故障诊断模型的有效性,分别以相同的模拟生成训练样本,对BP神经网络、SAM注意力机制结合CNN的CNN-SAM网络模型、SE注意力机制结合时间卷积神经网络(Squeeze-and-Excitation-Temporal Convolutional Network, SE-TCN)模型和CNN-BiLSTM-SAM模型进行训练。对四种训练完成的模型进行测试集验证,故障诊断结果的混淆矩阵结果对比如图12所示。为进一步对比各方法的故障诊断效果,引入
指标进行评估,其表达式为
图11 故障诊断算法流程
Fig.11 Fault diagnosis algorithm workflow

图12 故障诊断算法的混淆矩阵结果对比
Fig.12 Comparison of confusion matrix results for fault diagnosis algorithms
(20)
式中,
为第
个测试结果的准确率;
为第
个测试结果的召回率;
为测试次数;
为第
个测试结果的真正样本数;
为第
个测试结果的假正样本数;
为第
个测试结果的假负样本数。四种模型对六种故障进行20次验证后的平均
指标如图13所示。受试者特征曲线(Receiver Operating Characteristic Curve, ROC)及ROC曲线下的面积(Area Under Curve, AUC)对比如图14所示。
图13 故障诊断算法平均
指标对比
Fig.13 Comparison of average
-indicators for fault diagnosis algorithms
图14 故障诊断算法ROC曲线对比
Fig.14 Comparison of ROC curves for fault diagnosis algorithms
BP神经网络由于不能输入二维特征矩阵,因此将特征矩阵分解为特征向量进行训练,将不同时刻的特征向量通过前后连接形成长特征向量。由图12a可知,BP神经网络缺乏对特征向量前后时间序列的特征提取能力,导致其对热斑、污损故障的召回率仅有39.7%和76.7%,且整体诊断准确率仅为77.9%,无法对海上环境下的光伏阵列运行状态进行有效诊断。
由图12b可知,在通过CNN网络引入特征矩阵后,整体故障诊断准确率有较大提升,达到94.1%。对于开路电压和拐点电压特征量影响较大的短路和热斑故障及受最大功率点影响较大的老化故障,CNN-SAM模型的召回率分别提升了9.6、48和15.1个百分点,说明此模型可以增强对故障局部特征的提取能力。但由于热斑故障还存在较强的时序关联,此模型仍存在一定的故障混淆情况,如正常、老化和热斑故障之间分辨正确率较低。
由图12c可知,由于TCN模型具有一定的时序特征处理能力,其在正常运行和具有时序发展特点的热斑故障的准确率和召回率相较于CNN-SAM分别提升了3个百分点和5.5个百分点。但SE-TCN模型对受波浪影响的污损故障易误判为老化和热斑故障,误判比例高达28.8%,说明该方法的局部特征提取能力不足,对相似度较高的故障区分能力较差。
由图12d可知,在结合SAM和BiLSTM后,CNN网络在局部特征提取和时序特征提取能力上有较大提升,整体故障诊断准确率达到98.2%。其中对热斑故障有较好的识别准确率,召回率达到100%。且相较于TCN模型,对污损和老化故障的识别精确率分别提升5.9个百分点和16.6个百分点,污损故障的误判比例降低了22%。
进一步对比各模型在故障情况下的
指标,该指标最大值为1,即表示模型可以实现完全准确的分类。所提方法及对比方法在六种运行状态下的
指标如图13所示,可以看出对污损和热斑故障,所提模型有较高的
指标,且其余故障指标值均大于对比方法,说明所提模型能够实现故障类别的精准识别。所提方法及对比方法整体ROC曲线对比如图14所示,所提模型的AUC最高,达到0.988,相较于BP及CNN-SAM方法有更好的分类准确性。
综上所述,本文提出的CNN-BiLSTM-SAM模型对海上光伏故障的局部特征和时序发展特征均能实现有效的信息提取,相较于其他神经网络模型,对受波浪影响的正常、污损、老化和热斑故障诊断各指标提升明显,更适用于海上光伏故障诊断。
为验证本文所提出的波浪作用下故障特征量提取方法的有效性,通过天津理工大学室内波浪实验室环境,搭建浮块式光伏阵列实验装置来模拟不同程度波浪下光伏组件倾角的变化规律,如图15所示。共模拟了1.0~5.0 m浪高在4.0~7.0 s周期下的15组波浪条件,并通过布置的倾角传感器记录不同位置的倾角变化数据。通过室外布置可变倾角光伏支架及四块光伏组件进行不同运行状态及故障下的I-V曲线扫描实验,并得到样本数量为105的故障数据测试集。按图11中流程,采用仿真得到的训练数据集对CNN-BiLSTM-SAM模型进行训练并使用实验得到的测试样本集进行测试,得到的混淆矩阵如图16所示。
图15 浮块式光伏阵列受波浪模拟实验
Fig.15 Wave simulation experiment of floating photovoltaic arrays
图16 实验数据的测试结果
Fig.16 Test results of experiment data
由于光伏实验采用单组串方案,因此不对开路故障进行实验测试。从图16可以看出,仿真训练模型在波浪和光伏实验得到的测试集上进行测试仍保持较高的故障诊断准确率,且混淆矩阵特征与仿真测试结果基本一致。说明本文提出的海上漂浮式光伏阵列模型能够很好地模拟波浪作用对光伏阵列造成的影响,故障诊断算法流程也可在实际环境中顺利应用,实现对海上漂浮式光伏阵列运行故障的精准识别。
本文提出了一种考虑波浪作用及故障发展特性的海上漂浮式光伏阵列故障诊断方法,有效辨识了海上漂浮环境下的开路、短路、污损、老化和热斑故障。主要结论如下:
1)为分析海上波浪对光伏阵列发电特性的影响,构建了考虑波浪作用的漂浮式光伏阵列发电模型。经仿真计算表明,波浪作用会使I-V曲线出现“多膝”特性,对故障特征量产生干扰。
2)针对海上漂浮式光伏特有的故障类型提出了故障特征量提取算法,形成故障特征向量。所提出的故障特征矩阵有效地提取了故障发展的时序特点及波浪作用影响的特征。
3)采用基于CNN-BiLSTM-SAM的故障诊断模型,与BP、CNN-SAM、SE-TCN等模型相比,对波浪影响下正常、污损、老化故障的
指标有平均11.6个百分点的提升,并对具有时序发展特性的热斑故障有3.5~50.1个百分点的
指标提升。通过仿真模拟和浮体模型实验数据验证了本文提出的基于时序故障特征矩阵的方法在漂浮式光伏阵列故障诊断上的适用性。
参考文献
[1] 肖佳, 梅琦, 黄晓琪, 等. “双碳”目标下我国光伏发电技术现状与发展趋势[J]. 天然气技术与经济, 2022, 16(5): 64-69.
Xiao Jia, Mei Qi, Huang Xiaoqi, et al. Status quo and development trend of photovoltaic power-generating technology under the dual-carbon goal[J]. Natural Gas Technology and Economy, 2022, 16(5): 64-69.
[2] Liu Haohui, Krishna V, Leung J L, et al. Field experience and performance analysis of floating PV technologies in the tropics[J]. Progress in Photovoltaics: Research and Applications, 2018, 26(12): 957-967.
[3] Sahu A, Yadav N, Sudhakar K. Floating photovoltaic power plant: a review[J]. Renewable and Sustainable Energy Reviews, 2016, 66: 815-824.
[4] 孔祥玉, 邵阳苹, 付强, 等. 海上漂浮式光伏多浮体间电缆跨接方法研究[J]. 工程科学学报, 2025, 47(2): 389-400.
Kong Xiangyu, Shao Yangping, Fu Qiang, et al. Study on a cable jumper method for offshore floating photovoltaic systems with multiple floating bodies[J]. Chinese Journal of Engineering, 2025, 47(2): 389-400.
[5] Bhang B G, Hyun J H, Ahn S H, et al. Optimal design of bifacial floating photovoltaic system with different installation azimuths[J]. IEEE Access, 2022, 11: 1456-1466.
[6] Tina G M, Bontempo Scavo F, Merlo L, et al. Analysis of water environment on the performances of floating photovoltaic plants[J]. Renewable Energy, 2021, 175: 281-295.
[7] Mannino G, Tina G M, Cacciato M, et al. Photovoltaic module degradation forecast models for onshore and offshore floating systems[J]. Energies, 2023, 16(5): 2117.
[8] Lim B Y, Ahn S H, Park M S, et al. Prediction of fault for floating photovoltaics via mechanical stress evaluation of wind speed and wave height[J]. IEEE Access, 2024, 12: 70105-70116.
[9] Kaymak M K, Ahmet Duran Ş. Problems encountered with floating photovoltaic systems under real conditions: a new FPV concept and novel solutions[J]. Sustainable Energy Technologies and Assessments, 2021, 47: 101504.
[10] 王小宇, 刘波, 孙凯, 等. 光伏阵列故障诊断技术综述[J]. 电工技术学报, 2024, 39(20): 6526-6543.
Wang Xiaoyu, Liu Bo, Sun Kai, et al. A review of photovoltaic array fault diagnosis technology[J]. Transactions of China Electrotechnical Society, 2024, 39(20): 6526-6543.
[11] Yu C, Wang H, Yao J, et al. A dynamic alarm threshold setting method for photovoltaic array and its application[J]. Renewable Energy, 2020, 158: 13-22.
[12] 马铭遥, 王泽澳, 马文婷, 等. 基于时空特征的光伏电站草木阴影遮挡故障诊断[J]. 电工技术学报, 2025, 40(3): 832-841.
Ma Mingyao, Wang Zeao, Ma Wenting, et al. Vegetation shading fault diagnosis in photovoltaic power stations based on temporal-spatial characteristics [J]. Transactions of China Electrotechnical Society, 2025, 40(3): 832-841.
[13] 冯锴, 林培杰, 俞金玲, 等. 结合电压阈值和最右端功率峰值点的光伏阵列故障检测与定位[J]. 电气技术, 2021, 22(9): 95-102.
Feng Kai, Lin Peijie, Yu Jinling, et al. Photovoltaic array fault detection and location based on voltage threshold and rightmost power peak point[J]. Electrical Engineering, 2021, 22(9): 95-102.
[14] 吴春华, 易苑, 李智华, 等. 考虑参数权重与分层映射的光伏组件健康程度检测[J]. 电工技术学报, 2024, 39(15): 4856-4867.
Wu Chunhua, Yi Yuan, Li Zhihua, et al. Health detection of photovoltaic modules considering parameter weights and hierarchical mapping[J]. Transactions of China Electrotechnical Society, 2024, 39(15): 4856-4867.
[15] 陈伟, 陈克松, 纪青春, 等. 基于1D-CNN+GRU的光伏阵列故障诊断方法研究[J]. 自动化仪表, 2022, 43(6): 13-17.
Chen Wei, Chen Kesong, Ji Qingchun, et al. Research on fault diagnosis method of photovoltaic array based on 1D-CNN+GRU[J]. Process Automation Instrum-entation, 2022, 43(6): 13-17.
[16] 刘开石, 李田泽, 刘东, 等. 基于ABC-SVM算法的光伏阵列故障诊断[J]. 电源技术, 2021, 45(9): 1171-1174.
Liu Kaishi, Li Tianze, Liu Dong, et al. Fault diagnosis of PV array based on ABC-SVM algorithm[J]. Chinese Journal of Power Sources, 2021, 45(9): 1171-1174.
[17] 顾崇寅, 徐潇源, 王梦圆, 等. 基于CatBoost算法的光伏阵列故障诊断方法[J]. 电力系统自动化, 2023, 47(2): 105-114.
Gu Chongyin, Xu Xiaoyuan, Wang Mengyuan, et al. CatBoost algorithm based fault diagnosis method for photovoltaic arrays[J]. Automation of Electric Power Systems, 2023, 47(2): 105-114.
[18] 刘卫亮, 姜锴越, 许之胜, 等. 基于数字孪生与融合神经网络的光伏阵列故障诊断[J]. 太阳能学报, 2024, 45(11): 303-312.
Liu Weiliang, Jiang Kaiyue, Xu Zhisheng, et al. Fault diagnosis of photovoltaic array based on digital twin and fusion neural network[J]. Acta Energiae Solaris Sinica, 2024, 45(11): 303-312.
[19] Zhang Jingwei, Liu Yongjie, Li Yuanliang, et al. A reinforcement learning based approach for on-line adaptive parameter extraction of photovoltaic array models[J]. Energy Conversion and Management, 2020, 214: 112875.
[20] 邱国全, 夏艳君, 杨鸿毅. 晴天太阳辐射模型的优化计算[J]. 太阳能学报, 2001, 22(4): 456-460.
Qiu Guoquan, Xia Yanjun, Yang Hongyi. An optimized clear-day solar radiation model[J]. Acta Energiae Solaris Sinica, 2001, 22(4): 456-460.
[21] 韩斐, 潘玉良, 苏忠贤. 固定式太阳能光伏板最佳倾角设计方法研究[J]. 工程设计学报, 2009, 16(5): 348-353.
Han Fei, Pan Yuliang, Su Zhongxian. Research on optimal tilt angle of fixed PV panel[J]. Journal of Engineering Design, 2009, 16(5): 348-353.
[22] Padovan A, Del Col D. Measurement and modeling of solar irradiance components on horizontal and tilted planes[J]. Solar Energy, 2010, 84(12): 2068-2084.
[23] 李红岩, 王磊, 安平娟, 等. 基于改进黏菌算法的局部遮阴下光伏MPPT研究[J]. 太阳能学报, 2023, 44(10): 129-134.
Li Hongyan, Wang Lei, An Pingjuan, et al. Study on photovoltaic mppt under local shade based on improved slime mold algorithm[J]. Acta Energiae Solaris Sinica, 2023, 44(10): 129-134.
[24] 刘恒, 马铭遥, 张志祥, 等. 热斑晶硅光伏组件I-V曲线分析及特征模拟研究[J]. 太阳能学报, 2021, 42(4): 239-246.
Liu Heng, Ma Mingyao, Zhang Zhixiang, et al. Study on i-v curve analysis and characteristic simulation of silicon photovoltaic module with hot spot[J]. Acta Energiae Solaris Sinica, 2021, 42(4): 239-246.
[25] 车曦. 基于红外图像识别的光伏组件热斑故障检测方法研究[D]. 重庆: 重庆大学, 2015.
Che Xi. Research on hot spot fault detection method of photovoltaic module based on infrared image recognition[D]. Chongqing: Chongqing University, 2015.
[26] Fu Xueqian, Zhang Chunyu, Zhang Xiurong, et al. A novel GAN architecture reconstructed using Bi-LSTM and style transfer for PV temporal dynamics simulation[J]. IEEE Transactions on Sustainable Energy, 2024, 15(4): 2826-2829.
Abstract With the global transition towards decarbonization, photovoltaic (PV) power generation has become a key component in achieving carbon neutrality. Offshore floating photovoltaic systems, in particular, have gained attention due to their land-saving nature and the cooling effect of water, which improves power generation efficiency. However, these systems face significant operational challenges due to the harsh marine environment, including the effects of waves, salt spray, and contamination, which can lead to frequent system faults. This paper proposes a fault diagnosis method for offshore floating PV arrays that integrates wave effects and the temporal characteristics of fault progression. It aims at improving system reliability and efficiency in such dynamic environments.
The study first developed an integrated floating PV array model that incorporates both the dynamic behavior of ocean waves and the electrical characteristics of the PV system. By combining wave motion dynamics with the equivalent electrical circuit model of the floating PV array, a multi-model fusion approach was constructed to simulate the power generation characteristics under both normal and fault conditions. These simulations accounted for a variety of faults that could occur in offshore floating PV systems, such as open-circuit faults, short-circuit faults, contamination, aging, and hotspot issues. For each fault type, the system's performance was evaluated through simulation to identify key fault indicators and characteristic behaviors, focusing on the changes observed in the I-V (current-voltage) curves under different conditions.
A novel fault feature extraction algorithm was introduced, which accounted for the dynamic effects of waves on tilt angles and the temporal characteristics of fault development. The algorithm extracted critical features, including open-circuit voltage, short-circuit current, maximum power point voltage, maximum power current, inflection points on the I-V curves, and environmental factors such as irradiance and temperature. These features were used to construct a fault feature vector that captured both instantaneous fault characteristics and the evolving nature of faults over time.
The primary contribution of this work was the development of a fault diagnosis model that combined convolutional neural networks (CNN), bidirectional long short-term memory (BiLSTM) networks, and a spatial attention mechanism (SAM). This hybrid model enhanced the ability to capture both local fault features and temporal dependencies, which were crucial for accurately diagnosing faults in the dynamic marine environment. The CNN component extracted local features from the fault data, while the BiLSTM network captured the temporal dynamics of fault progression. The SAM module helped improve the model's focus on critical regions of the input data, further enhancing diagnostic performance.
The proposed model was rigorously tested using simulation data and experimental data obtained from a wave simulation setup. The diagnostic performance of the CNN-BiLSTM-SAM model was compared with other approaches, including BP neural networks, CNN-SAM networks, and SE-TCN (squeeze-and-excitation temporal convolutional networks). The results showed that the CNN-BiLSTM-SAM model significantly outperformed the other methods in fault detection accuracy. Specifically, the proposed model achieved an average improvement of 11.6 percentage points in the F1-score for faults such as contamination and aging, and up to a 50.1 percentage points improvement for hotspot faults, which exhibited significant temporal development.
In addition to simulation validation, the model's robustness was further confirmed through experimental testing in a wave environment. The model maintained high diagnostic accuracy even when subjected to real-world wave dynamics, demonstrating its potential for real-time fault detection in offshore PV systems. The comparison of the confusion matrix and ROC (receiver operating characteristic) curves confirmed that the CNN-BiLSTM-SAM model achieved the highest accuracy, with an AUC (area under curve) value of 0.988, indicating superior fault classification performance compared to other models.
Keywords: Offshore floating photovoltaics, photovoltaic generation model, I-V curve, fault diagnosis of photovoltaic arrays, time-sequence characteristic extraction of faults
高 爽 女,1985年生,博士,副教授,硕士生导师,研究方向为海上漂浮式光伏电站智能监测及故障预警、分布式电源灵活并网与运行控制、电动汽车与电网互动技术等。
E-mail:sgao@tju.edu.cn(通信作者)
李辰昊 男,2000年生,硕士研究生,研究方向为海上光伏电站智能监测与故障诊断。
E-mail:lichenhao_1229@tju.edu.cn
中图分类号:TM615
DOI: 10.19595/j.cnki.1000-6753.tces.250113
国家重点研发计划资助项目(2022YFB4200704)。
收稿日期 2025-01-16
改稿日期 2025-04-14
(编辑 赫 蕾)