摘要 输电线路作为电能传输的关键载体,因其具有点多、面广、线长以及暴露于野外等特点,往往面临较高的安全风险,事故频发。针对这一问题,该文提出了一种基于目标检测与边缘分割的输电走廊隐患检测方法。首先,在YOLOv8中引入小目标检测层和SBA模块,通过选择性聚合边界与语义信息、自适应注意力机制以及双向特征融合,显著优化了多尺度特征表达和目标定位,特别是在小目标检测方面表现突出。采用重参数轻量头和可重参数化卷积,在大幅减少参数数量的同时,提升了参数利用率,有效地弥补了轻量化可能带来的精度损失,为资源受限设备提供了无损优化方案,并利用MPDIoU对CIoU进行了优化。其次,利用分割网络进行电力线边缘提取,并结合杆塔的空间信息,进一步提升了走廊区域划分的准确性。最后,制定了预警方法,对安全区域进行了危险等级划分,有效评估隐患的破坏性。实验结果表明,该文提出的检测模型在mAP50上达到72.1%,相比基线模型提升了3.2个百分点,且优于其他检测方法,该文所采用的利用分割提取电力线边缘的方法能更好地区分前景和背景,该文所提出的预警方法可以有效地评估隐患对电力线的威胁程度。
关键词:外力破坏 SBA 重参数轻量头(RSCD) 安全区域 MPDIoU
电力系统的安全和稳定是社会经济建设和安全发展的重要基石。作为电力系统大动脉的输电线路,由于其所处的地理位置和环境条件的特殊性,其安全性往往难以得到保证[1-2]。由于输电线路具有点多、面广、线长、暴露在野外等特点,其不仅要遭受雨雪雷电等自然天气的侵袭,还要承受外力破坏引起的短路跳闸等故障[3]。据国内数据统计,30%的输电线路故障事件是由外力破坏导致的,已经成为输电线路安全的重大隐患。
为了保障输电线路的稳定运行,电网公司会定期以人工巡检的方式来发现外力破坏威胁。但人工巡检工作量大、难度高、效率低,难以满足电力系统的实际需求[4]。从2015年开始,国家电网公司开始输电线路在线监控装置的建设,主要是通过安装在高空塔架的摄像头或无人机巡检拍摄图像,将拍摄的图片或视频交给后端中心进行人工分析[5-6]。监控人员对数据进行分析,查看其中可能构成外力破坏的目标,如起重机、翻斗车、挖掘机等大型施工车辆,在发现外力入侵行为时进行预警,并派出电网维护人员至现场进行处理。依靠人工筛选图像来发现隐患,一方面大量无预警图像浪费了人力物力;另一方面由于人的注意力无法长时间高度集中,可能会出现漏检、错检的情况[7]。随着深度学习的发展,基于深度学习的图像识别技术给输电线路巡检带来了全新的解决方式,该方法可以节省巨大的人力成本,提高隐患预警的实时性[8]。因此,借助计算机视觉技术对实时监测数据进行分析与处理,是输电线路走廊防外破研究的一个重要方向。
输电走廊的显著特点是背景复杂、目标尺度变化较大[9],被遮挡情况下机械外破隐患目标检测精度不高,容易出现错检、漏检。针对以上问题,现有研究提出了多种改进方法。文献[10]基于Mask R-CNN(Region-based Convolutional Neural Networks)[11]算法提出了目标检测与实例分割方法,通过特征映射迁移学习和数据增强技术,提升了不同场景下的检测精度。文献[12]提出YOLO-2MCS模型,结合混合数据增强策略、EfficientRep骨干网络的卷积注意力模块及SIoU损失函数,在复杂场景下展现了卓越的泛化性能和鲁棒性。文献[13]提出了基于自适应空间融合的渐近特征金字塔网络(Asymptotic Feature Pyramid Network, AFPN),通过对相邻层语义差距小的特征进行渐进融合,有效地提升了多尺度目标的检测能力,同时减少了模型参数量。
在实际应用中,单纯识别机械目标并不能完全满足隐患预警的需求,还需结合输电线的空间位置进行综合风险评估。针对这一问题,文献[14]改进了双目立体视觉距离测量技术,通过校准算法消除焦距差异,显著提升了测量精度,但双目视觉技术的相机校准过程复杂,限制了其实际应用。激光雷达(Light Laser Detection and Ranging, LiDAR)技术因其高精度被广泛应用于输电线路隐患评估。文献[15-16]利用无人机搭载LiDAR获取线路的3D点云数据,并分析目标对线路的风险等级。文献[17]进一步构建了基于二维到三维转换关系的测距模块,结合LiDAR点云信息获取隐患目标的三维坐标,并计算最小安全距离。然而,LiDAR技术的高成本和数据获取难度限制了其大规模应用。基于单目视觉的深度估计技术[18]通过从单张图像中提取深度信息,实现了检测点间距离的测量,但该方法需手动选择检测点,存在一定的局限性。文献[19-20]针对输电线路区域隐患的识别算法,仅对导线附近或导线地面投影区域内的目标进行预警,从而减少对正常施工机械的误报。然而,其采用的传统导线识别方法仍面临识别精度不足和误报率高的问题。
针对现有外力破坏隐患研究的不足,本文提出基于边缘分割与目标检测的输电走廊隐患研究方法:
1)为提升小目标检测性能,在YOLOv8[21]中引入P2小目标检测层和SBA(Selective Boundary Aggregation)[22]模块,通过选择性聚合边界与语义信息、自适应注意力机制及双向特征融合,显著优化多尺度特征表达与目标定位。
2)通过采用重参数轻量头(Rep Shared Convolutional Detection head, RSCD)和可重参数化卷积,在大幅减少参数数量实现模型轻量化的同时,优化参数利用率,有效地弥补轻量化可能导致的精度损失,为资源受限设备提供无损优化方案。在损失函数部分,利用MPDIoU(Minimum Point Distance based IoU)对CIoU进行了优化。
3)利用分割网络进行电力线边缘提取,结合杆塔空间坐标进行安全区域映射,并对安全区域进行危险等级划分。利用像素坐标关系分析隐患目标与电力线的相对位置,从而精准判断其对电力线路安全运行的威胁程度。
针对现有关于外力破坏隐患的研究主要集中在提升隐患目标的检测能力,但对隐患是否对电力线构成实质性伤害的评估仍显不足的问题,本文提出了一种综合方法。首先,通过改进检测网络,进一步提升隐患目标的检测精度;其次,利用分割网络提取电力线边缘,并结合杆塔的空间位置信息,将电力线映射至二维平面,构建输电走廊的空间模型;最后,基于输电走廊区域与隐患目标的像素空间关系设计预警机制,并依据隐患目标与杆塔中心的距离划分不同的危险等级,从而评估隐患对电力线的威胁程度。本文模型的整体框架如图1所示。
在目标检测模型的选择上,考虑到YOLO系列在小模型领域仍保持着精度与速度的最佳平衡,本文选用YOLOv8s作为基线模型。输电走廊作为一种典型的线性基础设施,其场景具有显著的多尺度特性,主要体现在目标的尺度变化、远近景差异及形状复杂性等方面。在输电走廊场景中,目标的尺度随空间位置的变化而显著不同。近景目标通常占据图像较大区域,其特征细节丰富,纹理清晰,因而较容易被检测和识别;远景目标在图像中的像素占比较小,往往缺乏足够多的细节信息,同时易受背景干扰的影响,导致检测难度大幅提升。此外,输电走廊中的目标不仅存在尺度上的巨大差异,还具有复杂的形态变化,如施工机械的伸展臂、吊钩等部分可变形,导致目标形状复杂,不易捕捉完整特征。针对以上挑战,本文对YOLOv8网络进行了针对性的改进和优化,构建了一个专门用于输电走廊外力破坏隐患目标检测和识别的网络模型。
图1 本文模型框架
Fig.1 The framework diagram of the proposed model in this paper
1.1.1 融合小目标检测层的Re-CalibrationFPN
为提高输电走廊中外力破坏目标的小目标检测准确性,在YOLOv8中引入了小目标检测层,即新增P2层。由于受景深影响,这些目标在图像中的像素非常有限,且常与复杂背景混杂,容易被忽略或误判。新增的P2层利用高分辨率的浅层特征,有效地捕捉微小目标的细节信息,显著增强了小目标的识别和定位能力。
由于输电走廊中外力破坏目标在位置和形状上具有高度多变性,细粒度轮廓描绘和位置校准对于准确检测至关重要。在特征提取方面,浅层特征包含丰富的细节信息和明显的边界特征(如目标的边缘和纹理),但语义信息较少;而深层特征则蕴含更多的语义信息(如目标的类别和整体结构),但细节信息有所缺失。如果直接融合低层特征和高层特征,可能会导致特征冗余和语义不一致的问题,影响检测精度。
为了解决这一问题,在Neck部分引入了SBA模块。该模块通过选择性地聚合边界信息和语义信息,能够更细粒度地描绘目标的轮廓,并重新校准目标的位置,适用于输电走廊中外力破坏目标的复杂形态。与传统的FPN结构相比,SBA模块在输电走廊场景中具有以下优势:首先,采用高分辨率和低分辨率特征之间的双向融合机制,使特征间的信息传递更加充分,能够更好地适应输电走廊中远近景差异显著的特点;其次,引入自适应注意力机制,模块内部通过动态调整不同分辨率特征的权重,针对复杂背景和远近景目标实现自适应优化,从而提升小目标在多尺度特征图中的显著性,进一步改善了检测效果;最后,通过优化特征选择策略,减少特征冗余,提升语义的一致性,进一步增强了对复杂背景下小目标的检测能力。
SBA模块主要包含一种新颖的重校准注意力单元(Re-Calibration Attention Unit, RAU)模块,该模块在融合前自适应地提取两种输入(
和
)的共同表示。SBA模块结构如图2所示,浅层和深层信息以不同方式输入两个RAU模块中,以弥补高层语义特征中缺失的空间边界信息及低层特征中缺失的语义信息。最终,两个RAU模块的输出经过一个3×3卷积后进行拼接。这种聚合策略实现了不同特征的稳健结合,并优化了粗糙特征。RAU模块的函数
可以表示为
(1)
(2)
式中,
和
为输入特征;
和
分别为作用于输入特征的线性映射和Sigmoid函数,用于将通道维度减少到32并生成特征图
和
;
表示逐点乘法;
为反向操作,通过从特征
中减去结果,将不精确的粗略估计细化为准确完整的预测图。线性映射过程采用核大小为1×1的卷积操作。
图2 SBA模块结构
Fig.2 The structural diagram of the SBA module
因此,SBA模块的过程可以表示为
(3)
式中,
为带有批归一化和ReLU激活层的3×3卷积操作;Fs包含融合编码器第三层和第四层后获得的深层语义信息,
,R为特征;Fb为主干网络第一层中包含丰富边界细节的特征,
;
为沿通道维度的拼接操作;Z为SBA模块的输出,
。
1.1.2 RSCD共享检测头
在YOLOv8中,检测头发挥着检测目标的重要作用,其计算量占据了整个模型的大约五分之一。鉴于外力破坏检测任务通常需要部署在无人机等资源受限的设备上,对模型的轻量化提出了较高要求。传统的基线模型在Head部分采用了回归分支和预测分支分离的策略,即采用两个独立的分支来处理不同的任务。然而,这种分离策略可能导致卷积参数的重叠和浪费,不利于模型的轻量化。
为了解决这个问题,本文采用了重参数轻量化检测头策略。RSCD通过共享卷积层,显著减少了参数数量,使得模型更加轻便,更适合在资源受限的设备上运行。然而,共享参数也可能限制模型的表达能力,因为不同的特征可能需要不同的卷积核来捕捉细微的差异。然而,考虑到精度损失可能对电力线造成较大的损害和经济损失,确保检测精度至关重要。为尽可能地缓解共享卷积可能带来的负面影响,本文引入了可重参数化卷积技术。通过引入更多的可学习参数,网络能够更有效地从数据中提取特征,从而弥补轻量化模型可能带来的精度损失。同时,重参数化卷积能够大大提升参数的利用率,使得模型在推理阶段与普通卷积无异,为模型带来了无损的优化方案。
RSCD由Conv_GN、Conv2d和DBB(Diverse Branch Block)模块组成,检测头结构如图3所示。其中,Conv_GN相比于基线模型中的Conv,是将Batch Norm替换成了Group Norm。批归一化(Batch Normalization, BN)是深度学习中一个非常有效的技术,通过计算一个批量中的均值与方差来进行特征归一化,它利于优化,且使得深度网络易于收敛。但是BN也会因为归一不同批尺寸的独特行为而有缺点。BN对于batch size比较敏感,当batch size较小时,模型性能会明显恶化,导致模型错误率的增加。
图3 RSCD检测头结构
Fig.3 The structural diagram of the RSCD detection head
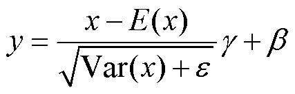
本文利用组归一化(Group Normalization, GN)作为BN的替代。GN作为层将通道分组并在每个组中将特征归一化,BN和GN结构如图4所示。BN在batch的维度上归一化,归一化维度为[N,H,W],N为批量大小,H为高度,W为宽度,对batch中对应的channel归一化;而GN是将channel分为许多组(group),对每一组做归一化,即先将feature的维度由[N, C, H, W]重塑为[N, G, C//G , H, W],归一化的维度为[C//G , H, W],G为组数,C为通道数。
图4 BN和GN结构
Fig.4 The structural diagrams of BN and GN
BN、GN原理为
(4)
式中,E(x)为x的均值;Var(x)为x的标准差;
和
为训练参数;
为输入参数,为防止Var为0,默认值为1×10-5。
DBB模块的基本原理是在训练阶段增加卷积层的复杂性,通过引入不同尺寸和结构的卷积分支来丰富网络的特征表示能力。在训练阶段,DBB采用复杂的分支结构;而在推理阶段,这些分支可以被等效地转换为单个卷积层,以保持高效推理。
1.1.3 MPDIoU
在目标检测中,边界框回归损失函数至关重要,它衡量了真实框与预测框之间的差异。本文引入了MPDIoU_Loss来改进CIoU_Loss。MPDIoU是一种基于最小点距离的边界框相似性度量,结合了现有损失函数的所有因素,包括重叠与非重叠区域、中心点距离、宽高偏差,同时简化了计算过程。
针对现有边界框回归损失函数在预测框与真实框宽高比相同但尺寸差异显著时优化失效的问题,本文采用基于边界框几何特性MPDIoU。在模型训练过程中强制约束预测框向真实框逼近。具体原理如图5所示,设输入图像的宽高分别为w和h,真实框与预测框的左上角和右下角坐标分别为
,
,
,
,两个边界框之间的空间距离可通过其左上角点间距和右下角点间距进行量化表示,具体计算公式为
(5)
(6)
式中,d1为左上角距离;d2为右下角距离。MPDIoU及MPDIoU_Loss可分别表示为
(7)

图5 MPDIoU原理
Fig.5 The schematic diagram of MPDIoU
(8)
图6展示了传统边缘检测算子在实际应用中的检测结果。可以明显看出,当电力线背景不单一时,边缘检测的效果并不理想。特别是在右列图像中,前景的电力线由于背景中复杂的云层干扰,几乎被完全遮挡,导致边缘检测无法准确识别出电力线的轮廓。这种情况揭示了传统边缘检测算法在面对复杂背景时的局限性。当图像中存在与电力线颜色、亮度或纹理相近的背景元素时,算法往往难以准确区分前景与背景,从而导致边缘检测结果的准确性大幅下降。
图6 传统算子边缘分割效果
Fig.6 The edge segmentation results using traditional operators
为提高电力线边缘检测的精度,本文采用基于深度学习的TransUnet[23]图像分割算法进行图像处理。通过提取电力线分割后的像素信息,实现对输电走廊有效区域的精确划分。为进一步提升划分的全面性与准确性,本文利用杆塔空间位置信息,以杆塔中心点y坐标为基准,对输电走廊区域进行对称翻转映射,从而在二维平面内同时呈现空中与地面的输电走廊区域分布。其整体映射效果如图7所示。
图7 导线映射效果
Fig.7 MPDIoU wire mapping effect
本文提出了一种基于像素重叠度(Overlap Ratio, OR)与空间距离的多级预警判别机制,旨在提升电力现场作业场景中隐患目标检测的准确性与可靠性。预警流程如图8所示。通过融合目标检测网络输出的隐患目标检测框与分割网络提取的输电走廊区域,利用两者的像素坐标进行定位,系统性地分析两者在像素空间中的拓扑关系,定义隐患目标检测框与输电走廊区域的OR作为预警触发的核心指标。当检测框与输电走廊区域存在重叠时,触发基于OR的预警机制,并进一步引入空间距离作为判别隐患目标威胁程度的辅助指标。
图8 预警流程
Fig.8 Flow chart of early warning
为优化预警判别的准确性,本文将空间距离作为加权因子对OR评分进行修正,构建了一种多维度预警判别模型。具体而言,通过将输电走廊区域映射到杆塔中心坐标系,综合考虑地面隐患对杆塔的威胁程度及其空间分布特征,将区域划分为三级预警等级:一级预警区域覆盖距离杆塔中心1/3范围的区域及空中电力线覆盖区域;二级预警区域涵盖距离杆塔中心2/3范围的区域;三级预警区域则为剩余1/3区域。
在视频帧的循环中,每一帧的隐患目标检测框与输电走廊区域都会被分析,以得到当前帧的预警结果。这种以OR为主、空间距离为辅的分层建模方法,实现了对隐患目标威胁程度的精细化判别,显著提升了预警机制的鲁棒性与准确性。
为实现对输电线路外力破坏隐患的精准检测,本文构建了外力破坏隐患相关数据集。其中,目标检测数据集共2 711张样本图片,将数据集随机按照训练集∶验证集∶测试集=7:2:1的比例进行划分,训练过程中未使用预训练权重。电力线分割数据集共300张样本图片,训练集共240张样本图片,测试集共60张样本图片。本实验使用的硬件平台为ubuntu16.04系统,LTS操作系统为RTX1080ti,使用CUDA版本为10.2的PyTorch进行加速。
在本文中,针对输电走廊内外力破坏隐患目标的检测问题,选择了精确率P、召回率R及平均精度(mean Average Precision, mAP)作为评价指标,以评估所提模型的检测与识别性能。具体而言,TP表示被模型预测为正类的正样本,TN表示被模型负类的负样本,FP表示被模型预测为正类的负样本,FN表示被模型预测为负类的正样本。
精确率是指在所有被预测为正的样本中,实际为正的样本所占比例,主要体现了模型对负样本的区分能力。精确率的定义为
(9)
召回率表示在所有实际存在的隐患目标中,模型成功检测到的比例,反映了模型识别正样本的能力。召回率的定义为
(10)
mAP用于评估模型的整体表现,mAP值越高,表示模型在定位和识别任务中的精度越优,其定义为
(11)
(12)
式中,N为类别数量。
除了性能评价指标,本文还选择了网络模型的参数量Params作为衡量模型大小的指标。
在分割方面,选择了平均交并比mIoU和平均精确率mAcc,用来评估分割模型。
(13)
(14)
为了评估本文提出的目标算法的检测性能,进行了消融实验。模型在自建数据集上的消融实验结果见表1。“MPDIoU”“Re-CalibrationFPN”“RSCD”分别代表损失函数改进、双向特征融合模块和检测头改进。对比表格第一行与最后一行可以看出,与原始的基线模型相比,本文模型的mAP50值提高了3.2%,性能优于原始的YOLOv8s算法。
表1 消融实验结果
Tab.1 Results of ablation experiments
方法P(%)R(%)mAP50(%)Params/106 YOLO v8sRe-Calibration FPNRSCDMPDIoU √73.463.768.911.1 √√76.062.770.713.9 √√80.363.671.39.4 √√82.164.971.211.1 √√√81.264.471.613.6 √√√√82.965.272.113.6
引入小目标检测层P2的Re-CalibrationFPN和RSCD均能够在一定程度上提升模型性能。当单独调整Neck为Re-calibrationFPN时,模型的P和mAP50分别提升了2.6和1.8个百分比,表明Re-CalibrationFPN对小目标检测有显著的性能提升效果。但R略有下降,且参数量有所增加。当单独调整检测头为RSCD时,模型的P和mAP50分别提升了6.9和2.4个百分比,验证了重参数卷积的有效性。尽管R略有下降,但RSCD的参数量低于基线模型,体现了共享卷积在减少参数量上的优势。综合使用Re-CalibrationFPN和RSCD时,各项指标均优于基线模型,其中RSCD有效地优化了Re-CalibrationFPN带来的参数量增长。使用MPDIoU替代基线模型中的CIoU时,P、R和mAP50分别提升了8.7、1.2、2.3个百分比,说明MPDIoU在优化边界框回归方面的潜力。综合三种改进,在融合Re-CalibrationFPN、RSCD和MPDIoU的情况下,模型的各项性能指标均得到显著提升。同时,RSCD的共享卷积设计优化了其余改进方案带来的参数量增加,保证了整体模型的高效性。
综上所述,Re-CalibrationFPN提升了特征提取能力,RSCD优化了检测头的参数效率,MPDIoU改善了边界框回归精度。三者的结合显著提升了模型性能,并有效地控制了参数量增长,展现了其在小目标检测任务中的综合优势。
本文还研究了不同损失函数对YOLOv8的影响,包括CIoU(基线)、EIoU、ShapeIoU和MPDIoU,以验证每种损失函数的性能。不同损失函数的对比结果见表2,结果表明,基线模型中的CIoU性能较差,而ShapeIoU和EIoU的性能略低于MPDIoU。
表2 不同损失函数的对比结果
Tab.2 Comparison results of different loss
损失函数P(%)R(%)mAP50(%)mAP50:95(%) CIoU73.463.768.939.6 ShapeIoU79.164.570.339.9 EIoU81.963.870.840.1 MPDIoU82.164.971.241.8
为验证改进模型的有效性和优越性,在自建数据集上将本文提出的网络模型与当前主流的目标检测模型YOLOv5、YOLOv7、YOLOv8、YOLOv10[24]和YOLOv11[25]进行对比实验,结果见表3。与其他检测模型相比,本文提出的模型在检测能力方面表现良好,在参数量略有增加的情况下,模型mAP50达到72.1%,明显优于其他模型。
本文通过热图分析工具Grad-CAM对改进后的模型进行了可解释性分析。图9展示了算法改进前后对图像关注区域以及检测效果的可视化对比。分析结果表明,本文提出的方法对检测目标表现出更高的关注度。从图9a、图9b可以看出,改进后的模型对外力破坏隐患的关注力度显著增强,注意力更加集中于目标区域。图9c、图9d表明,本文模型在漏检目标的处理上有了明显提升,有效地减少了目标漏检现象。图9e展示了基线模型将行人错误检测为铲车的情况,而本文所提出的方法显著改善了此问题,如图9f所示。从图9g、图9h可以观察到,当检测目标分布较为密集时,热力图的注意力易出现偏差,而本文模型能够很好地解决这一问题。综上所述,本文提出的模型在外力破坏目标检测任务中表现出更优异的性能。与基线模型YOLOv8s相比,改进后的模型不仅能够更精准地聚焦检测目标,还显著减少了错检与漏检现象。
表3 检测对比实验结果
Tab.3 Detection comparative experimental results
模型P(%)R(%)mAP50(%)Params/106 YOLOv573.164.467.47.2 YOLOv768.466.468.336.9 YOLOv873.463.768.911.1 YOLOv10[24]77.656.264.47.2 YOLOv11[25]74.561.367.79.4 本文82.965.272.113.6
图9 YOLOv8s和本文模型的热力图
Fig.9 The heatmaps of YOLOv8s and the proposed model in this paper
在分割模型的选择上,本文基于自建数据集,对主流模型DeepLabV3+[26]、BiSeNetV2[27]、PSPNet[28]、DNLNet[29]和TransUnet进行了对比实验,结果见表4。实验结果表明,TransUnet在分割效果上表现最优,其mIoU显著高于其他模型。因此,本文最终选择TransUnet作为电力线分割任务的基础模型。
表4 分割对比实验结果
Tab.4 Segmentation comparative experimental results
DeepLabV3+BiSeNetV2PSPNetDNLNetTransUnet mIoU(%)71.9963.4559.7861.1981.82 mAcc(%)76.9284.9061.9264.7888.68
图10展示了电力线分割处理的全过程。实验结果表明,基于分割算法的边缘提取方法能够更好地保持电力线的完整性,有效地克服了传统边缘检测算子的局限性。同时,结合杆塔空间坐标的有效区域映射方法显著提升了输电走廊区域划分的连续性与准确性。
图10 电力线分割与映射结果
Fig.10 Power line segmentation and mapping results
表5详细列出了预警机制的运行结果。当隐患目标触发一级预警时,系统会弹出红色警示窗口,并发出“Warning! An object has entered the channel! Level 1 Warning!”的警报信息;当隐患目标触发二级预警时,系统弹出橙色警示窗口,显示“Warning! An object has entered the channel! Level 2 Warning!”的警告信息;若隐患目标未进入有效区域,则系统不会触发预警。需要说明的是,由于现有数据集的局限性,本次实验中未出现触发三级预警的情况。
表5 预警结果
Tab.5 Warning results
原图预警区域重叠坐标数量预警结果 44 655 38 570 175 199 191 237 0无预警
针对输电走廊外力破坏隐患问题,本文提出了一种基于目标检测与边缘分割相结合的输电走廊隐患研究方法。该方法通过分割网络提取电力线边缘,进行输电走廊区域划分。对检测网络YOLOv8进行优化,引入了P2小目标检测层和双向特征融合机制,采用重参数轻量化检测头和更换损失函数。依据隐患目标检测框与走廊有效区域之间的像素关系判断侵入行为的威胁程度,并在自建数据集上进行了实验。实验结果表明:
1)本文提出的目标检测模型在mAP50上达到72.1%,相比基线模型提升了3.2个百分点,且优于其他主流检测方法,证明了其在输电走廊隐患检测中的有效性和优势。
2)本文采用基于分割网络的边缘提取方法,相较于传统边缘检测算子,该方法能够更有效地处理前景与背景的区分问题,尤其在复杂背景条件下,能够显著提升边缘提取的精度和鲁棒性。
3)本文所提出的基于像素重叠度与空间距离的多级预警判别机制,能够更精确地划分安全区域,并利用像素关系评估隐患威胁等级,为输电走廊外力破坏隐患的预警与防范提供了切实可行的技术支持。
综上所述,本文提出的方法不仅能够准确地识别输电走廊中的外力破坏隐患目标,还能快速精准地定位隐患目标位置,同时满足轻量化部署需求,为输电走廊防外力破坏工作提供了智能化解决方案。此外,通过二维层面的隐患分析,能够有效地评估隐患是否对电力线构成实质性威胁,从而提供更为精准的隐患评估。然而,对于隐患目标的深度信息与距离关系的精确量化仍需进一步研究,以完善对隐患威胁的全面评估能力。
参考文献
[1] 郑含博, 李金恒, 刘洋, 等. 基于改进YOLOv3的电力设备红外目标检测模型[J]. 电工技术学报, 2021, 36(7): 1389-1398.
Zheng Hanbo, Li Jinheng, Liu Yang, et al. Infrared object detection model for power equipment based on improved YOLOv3[J]. Transactions of China Electrotechnical Society, 2021, 36(7): 1389-1398.
[2] 宋耐超, 王瑞琦, 李明明, 等. 多自然灾害下的架空输电线路运行风险评估[J]. 电力系统保护与控制, 2021, 49(19): 65-71.
Song Naichao, Wang Ruiqi, Li Mingming, et al. Risk assessment of overhead transmission lines under multiple natural disasters[J]. Power System Protection and Control, 2021, 49(19): 65-71.
[3] Girshick R, Donahue J, Darrell T, et al. Rich feature hierarchies for accurate object detection and semantic segmentation[C]//2014 IEEE Conference on Computer Vision and Pattern Recognition, Columbus, OH, USA, 2014: 580-587.
[4] 仲林林, 胡霞, 刘柯妤. 基于改进生成对抗网络的无人机电力杆塔巡检图像异常检测[J]. 电工技术学报, 2022, 37(9): 2230-2240, 2262.
Zhong Linlin, Hu Xia, Liu Keyu. Power tower anomaly detection from unmanned aerial vehicles inspection images based on improved generative adversarial network[J]. Transactions of China Electrotechnical Society, 2022, 37(9): 2230-2240, 2262.
[5] 张烨, 李博涛, 尚景浩, 等. 基于多尺度卷积注意力机制的输电线路防振锤缺陷检测[J]. 电工技术学报, 2024, 39(11): 3522-3537.
Zhang Ye, Li Botao, Shang Jinghao, et al. Defect detection of transmission line damper based on multi-scale convolutional attention mechanism[J]. Transac-tions of China Electrotechnical Society, 2024, 39(11): 3522-3537.
[6] 姜香菊, 王瑞彤, 马彦鸿. 基于轻量级改进RT-DETR边缘部署算法的绝缘子缺陷检测[J]. 电工技术学报, 2025, 40(3): 842-854.
Jiang Xiangju, Wang Ruitong, Ma Yanhong. Insulator defect detection based on lightweight improved RT-DETR edge deployment algorithm[J]. Transactions of China Electrotechnical Society, 2025, 40(3): 842-854.
[7] 苟军年, 杜愫愫, 刘力. 基于改进掩膜区域卷积神经网络的输电线路绝缘子自爆检测[J]. 电工技术学报, 2023, 38(1): 47-59.
Xun Junnian, Du Susu, Liu Li. Transmission line insulator self-explosion detection based on improved mask region-convolutional neural network[J]. Transactions of China Electrotechnical Society, 2023, 38(1): 47-59.
[8] Zheng Hanbo, Cui Yaohui, Yang Wenqiang, et al. An infrared image detection method of substation equipment combining iresgroup structure and CenterNet[J]. IEEE Transactions on Power Delivery, 2022, 37(6): 4757-4765.
[9] 裴少通, 张行远, 胡晨龙, 等. 基于ER-YOLO算法的跨环境输电线路缺陷识别方法[J]. 电工技术学报, 2024, 39(9): 2825-2840.
Pei Shaotong, Zhang Hangyuan, Hu Chenlong, et al. The defect detection method for cross-environment power transmission line based on ER-YOLO algorithm[J]. Transactions of China Electrotechnical Society, 2024, 39(9): 2825-2840.
[10] 魏贤哲, 卢武, 赵文彬, 等. 基于改进Mask R-CNN的输电线路防外破目标检测方法研究[J]. 电力系统保护与控制, 2021, 49(23): 155-162.
Wei Xianzhe, Lu Wu, Zhao Wenbin, et al. Target detection method for external damage of a transmission line based on an improved Mask R-CNN algorithm[J]. Power System Protection and Control, 2021, 49(23): 155-162.
[11] He Kaiming, Gkioxari G, Dollár P, et al. Mask R-CNN[C]//2017 IEEE International Conference on Computer Vision (ICCV), Venice, Italy, 2017: 2980-2988.
[12] 郑含博, 胡思佳, 梁炎燊, 等. 基于YOLO-2MCS的输电线路走廊隐患目标检测方法[J]. 电工技术学报, 2024, 39(13): 4164-4175.
Zheng Hanbo, Hu Sijia, Liang Yanshen, et al. A hidden danger object detection method for transmission line corridor based on YOLO-2MCS[J]. Transactions of China Electrotechnical Society, 2024, 39(13): 4164-4175
[13] Zhao Zhenbing, Pan Yitian, Guo Guangxue, et al. YOLO-AFPN: Marrying YOLO and AFPN for external damage detection of transmission lines[J]. IET Generation, Transmission & Distribution, 2024, 18(9): 1935-1946.
[14] Gugel H, Ekisheva S, Lauby M, et al. Vegetation-related outages on transmission lines in North America [C]//2018 IEEE Power & Energy Society General Meeting (PESGM), Portland, OR, USA, 2018: 1-5.
[15] Nardinocchi C, Balsi M, Esposito S. Fully automatic point cloud analysis for powerline corridor mapping [J]. IEEE Transactions on Geoscience and Remote Sensing, 2020, 58(12): 8637-8648.
[16] Chen Yangyu, Lin Jiayuan, Liao Xiaohan. Early detection of tree encroachment in high voltage powerline corridor using growth model and UAV-borne LiDAR[J]. International Journal of Applied Earth Observation and Geoinformation, 2022, 108: 102740.
[17] Li Jinheng, Zheng Hanbo, Cui Zhimei, et al. Intelligent detection method with 3D ranging for external force damage monitoring of power transmission lines[J]. Applied Energy, 2024, 374: 123983.
[18] Wang Leixiong, Wang Bo, Wang Shulong, et al. An effective method for sensing power safety distance based on monocular vision depth estimation[J]. International Transactions on Electrical Energy Systems, 2023(1): 8480342.
[19] Ma Fuqi, Liu Heng, Wang Jiaxun, et al. A refined identification method for the hidden dangers of external damage in transmission lines based on the generation of a vanishing point-driven effective region[J]. Processes, 2024, 12(9): 1904.
[20] 刘波. 面向复杂输电线路区域的外破隐患识别[D]. 济南: 山东大学, 2022.
Liu Bo. Wire region-oriented hazard detection in the complex transmission line[D]. Jinan: Shandong University, 2022.
[21] Varghese R, Sambath M. YOLOv8: a novel object detection algorithm with enhanced performance and robustness[C]//2024 International Conference on Advances in Data Engineering and Intelligent Computing Systems (ADICS), Chennai, India, 2024: 1-6.
[22] Tang Feilong, Xu Zhongxing, Huang Qiming, et al. DuAT: dual-aggregation transformer network for medical image segmentation[M]//Liu Q, Wang H, Ma Z, et al. Lecture Notes in Computer Science. Singapore: Springer Nature Singapore, 2023: 343-356.
[23] Chen Jieneng, Lu Yongyi, Yu Qihang, et al. TransUNet: transformers make strong encoders for medical image segmentation[J/OL]. ArXiv, 2021: 2102.04306[2025-01-10]. https://arxiv.org/abs/2102. 04306v1.
[24] Wang Ao, Chen Hui, Liu Lihao, et al. YOLOv10: real-time end-to-end object detection[J/OL]. ArXiv, 2024: 2405.14458[2025-01-10]. https://arxiv.org/abs/2405. 14458v2.
[25] Khanam R, Hussain M. YOLOv11: an overview of the key architectural enhancements[J/OL]. ArXiv, 2024: 2410.17725[2025-01-10]. https://arxiv.org/abs/2410. 17725v1.
[26] Chen L C, Zhu Yukun, Papandreou G, et al. Encoder-decoder with atrous separable convolution for semantic image segmentation[M]//Ferrari V, Hebert M, Sminchisescu C, et al. Lecture Notes in Computer Science. Cham: Springer International Publishing, 2018: 833-851.
[27] Yu Changqian, Gao Changxin, Wang Jingbo, et al. BiSeNet V2: bilateral network with guided aggregation for real-time semantic segmentation[J]. International Journal of Computer Vision, 2021, 129(11): 3051-3068.
[28] Zhao Hengshuang, Shi Jianping, Qi Xiaojuan, et al. Pyramid scene parsing network[C]//2017 IEEE Conference on Computer Vision and Pattern Recognition (CVPR), Honolulu, HI, USA, 2017: 6230-6239.
[29] Yin M, Yao Z, Cao Y, et al. Disentangled non-local neural networks[C]//Computer Vision-ECCV 2020: 16th European Conference, Glasgow, UK, 2020: 191-207.
Abstract As a critical carrier for power transmission, transmission lines are frequently exposed to high safety risks and recurrent accident hazards due to their characteristics of wide distribution, extensive coverage, long distances, and prolonged exposure to outdoor environments. In recent years, with the rapid development of deep learning technologies, image recognition based on deep learning has provided innovative solutions for transmission line inspection. However, challenges such as complex transmission corridor scenarios, significant variations in target scales, and low detection accuracy for mechanical external damage targets under occluded conditions often lead to false positives and missed detections. Moreover, merely identifying mechanical targets is insufficient to meet the comprehensive requirements of hazard warning, as it necessitates integrating spatial location information of transmission lines for holistic risk assessment.
To address these issues, this paper proposes a hazard detection method for transmission corridors based on edge segmentation and object detection. By incorporating a small target detection layer and an SBA module into YOLOv8, the method significantly enhances multi-scale feature representation and target localization capabilities through selective aggregation of boundary and semantic information, adaptive attention mechanisms, and bidirectional feature fusion, demonstrating superior performance in small target detection. Additionally, the adoption of re-parameterized lightweight heads and re-parameterizable convolutions reduces the number of parameters while improving parameter utilization, effectively compensating for potential accuracy loss due to lightweight design and providing a lossless optimization solution for resource-constrained devices. Furthermore, the improvement of CIoU using MPDIoU further enhances detection accuracy. This paper also employs a segmentation network for power line extraction and introduces a multi-level early warning discrimination mechanism based on pixel overlap ratio (OR) and spatial distance, aiming to improve the accuracy and reliability of hazard target detection in power field operation scenarios. By fusing the hazard target detection bounding boxes output by the object detection network with the transmission corridor regions extracted by the segmentation network, the system leverages their pixel coordinates for localization and systematically analyzes their topological relationships in pixel space. The overlap ratio (OR) between the hazard target bounding box and the transmission corridor region is defined as the core indicator for warning triggers. When an overlap exists, an OR-based warning mechanism is activated, with spatial distance further introduced as an auxiliary metric to assess the threat level of the hazard target.
The ablation experiments demonstrate that our proposed strategies achieve 72.1% mAP50, representing a 3.2 percentage points improvement over the baseline model. Comparative experiments confirm that our model outperforms YOLOv5, YOLOv7, YOLOv8, YOLOv10, and YOLOv11. Visualization results indicate that the enhanced model effectively reduces missed detections and false positives by focusing more precisely on hazard target features. The warning system evaluation proves that our segmentation-based approach for power line edge extraction provides superior foreground-background differentiation. The proposed warning method not only detects potential hazards but also accurately assesses their threat level to transmission corridors in 2D space.
Experimental results show that the proposed method can accurately identify various external damage targets in transmission corridors while quantitatively assessing the threat level of potential hazards. The excellent performance of this method in both target identification and threat analysis provides key technical support for intelligent monitoring and maintenance of modern power infrastructure, effectively promoting the innovative development of smart grid technologies.
Keywords:External damage, selective boundary aggregation (SBA), rep shared convolutional detection head (RSCD), safety zone, minimum point distance based IoU (MPDIoU)
赵振兵 男,1979年生,教授,博士生导师,研究方向为电力视觉等。
E-mail:zhaozhenbing@ncepu.edu.cn(通信作者)
付龙美 女,2000年生,硕士研究生,研究方向为电力视觉等。
E-mail:flm_111@163.com
中图分类号:TM75
DOI: 10.19595/j.cnki.1000-6753.tces.250151
国家自然科学基金(62373151, 62371188, 62303184)和中央高校基本科研业务费专项资金(2023JC006)资助项目。
收稿日期 2025-01-24
改稿日期 2025-03-31
(编辑 赫 蕾)