计及储能协同控制的光伏场站快速备自投方案

郑 涛 马 英 由 嶷 胡胜宽

(新能源电力系统全国重点实验室(华北电力大学) 北京 102206)

摘要 传统备用电源自动投入装置(简称备自投)以检“母线无压、进线无流”为启动判据,致使现有新能源场站进线备自投大多以解列新能源为其动作的先决条件,降低了新能源利用率和供电可靠性。因此,如何在不解列新能源前提下实现备自投的可靠动作具有重要意义。该文以光伏场站为例,利用站内配备的储能并采用虚拟同步发电机(VSG)控制,在考虑源-荷功率不同匹配程度及各模块动作时序关系的基础上,提出一种计及储能协同控制的快速备自投方案。首先分析了工作电源断开后,在不同源-荷功率匹配程度下的并网点电压/频率的变化机理,指明抑制备自投冲击电流的关键在于快速实现功率平衡控制;其次,设计并提出在孤岛检测期间利用储能VSG控制实现对电压/频率波动的抑制,孤岛检测完成后,进一步通过调整储能VSG控制的功率指令和投耗能电阻/切负荷的协调配合达到精细化功率平衡,实现备自投的快速可靠动作;最后,基于光伏场站典型拓扑,利用Matlab/Simulink构建相应的电磁暂态仿真模型,并通过仿真实验验证了所提备自投方案的可行性与有效性。

关键词:光伏场站 备自投 储能 虚拟同步发电机 协同控制

0 引言

备用电源自动投入装置(简称备自投)因能够保障供电可靠性而在110 kV及以下变电站得到广泛应用[1]。随着新型电力系统建设的不断推进,电力系统的结构发生变化,严重影响备自投的可靠动作[2-4]

当检测到工作电源断开后,在满足“母线无压、工作进线无流且备用进线有压”的条件下备自投可启动[4]。随着新能源电源的接入,其支撑作用使备自投因无法检测到母线失压而导致动作时间较长乃至拒动。传统备自投方案通过解列新能源解决判据失效的问题[5-7],但其存在降低供电可靠性、动作时间长和再次并网难度大等问题。基于此,现有研究提出改进方案以实现不解列新能源前提下备自投的动作。

以不解列新能源为前提,备自投在满足检同期条件后可投入。当源(新能源电源)-荷(负荷)不平衡功率较小时,孤岛系统电压/频率变化较小,通过快速投切或捕捉同期的方式能够实现备用电源的快速投入[8-9];但在源-荷功率极不平衡场景下,孤岛系统电压/频率变化较大,无法满足同期条件,强行合闸将产生较大的冲击电流。为平抑系统电压/频率波动,需对源-荷不平衡功率进行主动补偿。常规方案在检测到工作进线断开后通过调整新能源出力补偿不平衡功率[10],但新能源电源功率跟踪算法需1~3 s才能追踪至目标功率值[11-12],使系统孤岛运行时间较长,降低了供电可靠性。为缩短备自投动作时间,在检测到工作进线断开后可通过投缓冲电阻/切负荷补偿不平衡功率[13-15],但由于缓冲电阻/负荷均成组投入或切除,无法实现精细化功率平衡,剩余不平衡功率被动依赖负荷特性改变电压/频率补偿,难以有效地抑制冲击电流。

综上所述,传统方案通过解列新能源实现备自投的动作,降低了供电可靠性;虽然在不解列新能源前提下实现备自投可靠动作方面的研究已取得一定进展,但其无法同时满足检同期和快速投入两个条件。为此,利用新能源场站配备的储能并采用虚拟同步发电机(Virtual Synchronous Generator, VSG)控制策略,储能VSG可补偿不平衡功率并抑制系统电压/频率的波动,有效地解决上述问题。目前风/光储系统中VSG相关研究聚焦于提升其并/离网状态下的电压/频率支撑能力以保证系统运行稳定性[16-18],但尚未涉及并/离网转换时不平衡功率所导致的非同期重合闸问题及储能VSG在提升备自投快速可靠动作方面的研究。

针对上述问题,为实现不解列新能源前提下备自投的快速可靠动作,本文以光伏场站为例,在分析工作电源断开后系统电压/频率变化机理的基础上,考虑源-荷功率不同匹配程度及各模块动作时序关系,提出计及储能协同控制的快速备自投方案。与现有方案相比,本文所提方案具备以下优势:①孤岛检测期间,通过储能VSG控制可在一定程度上补偿源-荷不平衡功率,进而抑制系统电压/频率的波动;②孤岛检测完成后,进一步通过调整储能VSG控制的功率指令值、投耗能电阻或者切部分负荷等多种方式的协同配合实现光-储-荷主动功率平衡,有效地抑制冲击电流,实现备自投的快速可靠投入。

1 备自投动作逻辑及其存在的问题

1.1 备自投传统方案动作逻辑及其存在的问题

现以光伏场站典型进线备自投为例说明备自投的工作原理[19],系统接线如图1所示。系统正常运行时,工作进线L1断路器QF1、QF4闭合,母联分段断路器QF3闭合;备用进线L2作L1的热备用,QF2断开、QF5闭合。

width=215.3,height=134.5

图1 光伏场站进线备自投系统接线

Fig.1 Wiring diagram of photovoltaic power station incoming line automatic switching system

传统备自投判据为:当工作电源断开后,Ⅰ母线Ⅱ母线均失压(点画线框内光伏场站未接入),满足检“无压”条件;工作进线L1无电流,满足检“无流”条件;若备用进线L2满足检“有压”条件,备自投向QF2发送合闸信号使备用电源投入。随着光伏场站的接入,其支撑作用使检“母线无压”判据失效,备自投无法启动。

为满足传统备自投判据,传统方案在检测到工作电源断开(QF1断开)后,首先解列光伏场站,即QF6、QF7断开,然后在光伏场站完全断开使检“无压”“无流”判据满足后再投入备用电源。其虽可以实现备自投的可靠动作,但动作时间较长,且存在光伏利用率低、再次并网难度大等问题。基于此,现有研究提出改进方案,以实现不解列光伏前提下备自投的可靠动作。

1.2 备自投改进方案动作逻辑及其存在的问题

不解列光伏前提下备自投快速可靠动作的关键在于尽快缩小工作电源断开后母线即公共耦合点(Point of Common Coupling, PCC)和备用电源之间的电压差、频率差。为此,基于图2所示的光伏并网系统分析工作进线断路器断开后,PCC电压/频率的变化机理。

width=225.5,height=102.55

图2 光伏场站并网系统示意图

Fig.2 Schematic diagram of the grid-connected system of a photovoltaic plant

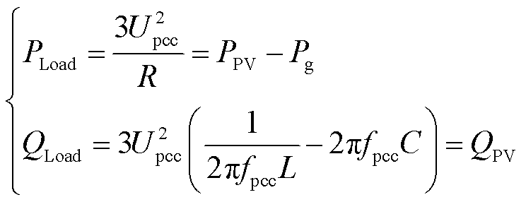
图2中,光伏场站发出的有功、无功功率分别为PPVQPV;本地负载消耗的有功、无功功率分别为PLoadQLoad;向电网输送的有功、无功功率分别为PgQg。为减小功率传输过程中的电能损耗,一般不会向电网输送无功功率,可认为Qg=0。

据图2所示,并网运行时,光伏场站和电网输出功率之和与负荷所需功率相等,有

width=162.35,height=62.5 (1)

式中,Upccfpcc分别为并网运行时PCC相电压幅值、频率;RLC分别为本地负载的电阻、电抗以及电容值。

工作电源断开后,源-荷间存在不平衡有功功率。有功功率实时平衡是电力系统的固有特性,而光伏电源常为跟网型控制,无法响应不平衡功率。为此,负荷消耗功率发生变化,系统电压和频率随之改变。为平抑PCC电压和频率的波动,需对源-荷不平衡功率进行主动补偿。

现有备自投改进方案在孤岛检测后通过调整光伏出力[8-10]和投缓冲电阻/切负荷[13-15]两种方式补偿不平衡功率:前者虽可实现源-荷功率平衡,但光伏电源功率的s级调节响应时间[11-12]延长了孤岛运行时间,影响供电可靠性;后者响应时间虽短,但由于缓冲电阻/负荷均成组投入或切除,难以实现精细化功率平衡,剩余不平衡功率被动依赖负荷特性补偿。负荷特性影响下有功功率不平衡量ΔP与PCC电压、频率变化的关系曲线如图3所示(推导过程详见附录):源大于荷(ΔP>0)时,PCC电压和频率上升;源小于荷(ΔP<0)时,电压和频率下降[20]。有功功率不平衡量会使系统电压和频率超出所允许的波动范围,备自投动作时将产生较大的冲击电流。

width=203.1,height=129.05

图3 有功功率不平衡量与PCC电压和频率变化的关系曲线

Fig.3 Variation curves of voltage and frequency at PCC under the influence of active power unbalance quantity

2 计及储能协同控制的快速备自投方案

由第1节分析可知,工作电源断开后实现源-荷不平衡功率的快速精确补偿是抑制备自投冲击电流的关键和难点。本文通过利用站内储能并采用VSG控制,解决现有不解列光伏前提下备自投方案存在的问题。

2.1 光伏场站拓扑结构及控制策略

光伏场站的拓扑结构如图4a所示,其中光伏电源和储能电池均采用双级式结构独立接入母线。光伏电源前级变换器用于实现最大功率点跟踪(Maximum Power Point Tracking, MPPT),后级并网逆变器采用PQ控制,实现对并网功率的快速调节[21-22]。储能电池前级变换器采用定直流母线电压的控制方式,后级并网逆变器配置VSG控制。储能VSG通过模拟同步发电机外特性,增强了光伏场站的运行可靠性:并网运行时,能够平抑光伏电源出力波动,主动参与系统电压和频率调节;孤岛运行时,能够支撑系统电压和频率,有效维持光伏输出电能的质量[23-25]。图4a中,Rf1/Rf2Lf1/Lf2Cf1/Cf2分别为光伏/储能逆变器滤波电感内阻、滤波电感与滤波电容,uabc1/uabc2iabc1/iabc2分别为光伏/储能逆变器输出电压和电流,Rg1/Rg2Lg1/Lg2分别为光伏/储能逆变器线路电阻、电感,LD1、LD2分别为重要负荷与非重要负荷。

width=227.55,height=331.45

图4 光伏场站拓扑结构及控制策略

Fig.4 Photovoltaic power station topology and control strategy

图4b为储能VSG控制框图,控制环节包括功率环、电压环、电流环三部分。其中,功率环通过改变内电势相位/幅值实现对有功/无功功率的传输,而电压、电流环实现对前级输出电压电流的跟踪控制。图4b中,PrefQrefPeQe分别为有功、无功功率指令值和实际值,θrefEref分别为内电势相位和幅值,ωNω分别为角频率额定值和实际值,Δω=ω-ωNJ为惯性时间常数,D为阻尼系数,K为无功-电压积分系数,width=9.5,height=17width=9.5,height=17.65idiq分别为电流指令值和实际值的dq轴分量,edequduq分别为内电势和逆变器输出电压dq轴分量。

2.2 计及储能协同控制的快速备自投方案

计及储能协同控制的快速备自投方案根据工作电源断开后各模块动作的时序关系,分为孤岛检测、功率平衡和断路器合闸过程三个阶段。其中,阶段Ⅰ的时间为25 ms[26];阶段Ⅱ考虑晶闸管的动作及一定裕度,取15 ms[27];阶段Ⅲ断路器的合闸时间一般在30~60 ms,本文取50 ms[13-14]。由此,备自投可在百毫秒时间内快速投入。所提方案时序关系如图5所示。

width=230.25,height=90.35

图5 所提方案时序关系

Fig.5 Timing relationship diagram for the proposed programme

根据图1所示的典型光伏场站进线备自投拓扑,源-荷不平衡功率ΔP为光伏电源输出与负荷消耗功率之差。对于储能容量配置,目前光伏场站内按照光伏装机容量10%~30%的比例配置储能[28]。储能容量决定了系统在功率失衡场景下的调节能力和经济成本。综合考虑上述两方面因素后,本文按照光伏装机容量的20%配置储能。此外,为避免储能电池在运行过程中因过度充电或深度放电而受损严重,进一步根据荷电状态(State of Charge, SOC)细分储能充放电区域[29-30],具体分区如附图1所示。

将储能VSG最大充/放电功率绝对值表示为Pbat_max。根据ΔPPbat_max之间的关系可分为ΔPPbat_max、ΔP<-Pbat_max和|ΔP|≤Pbat_max三种工作模式。不同工作模式下将储能VSG输出有功功率、负荷有功功率变化量和储能VSG功率指令值分别表示为Pe_n、ΔPLoad_nPref_n,其中n=1~3。

2.2.1 孤岛检测阶段(阶段Ⅰ)

工作电源断开后进入孤岛检测阶段,利用孤岛前后PCC系统阻抗发生显著变化的特点实现孤岛状态的有效识别[26]。该阶段通过储能VSG和负荷的协调配合补偿不平衡功率。为方便描述,认为工作电源断开前储能VSG输出功率PeQe为零。现对三种工作模式下储能VSG输出功率Pe_n和负荷功率变化量ΔPLoad_n的表达式展开分析。

1)工作模式1:ΔPPbat_max

当源-荷不平衡功率大于储能所能吸收的最大功率时(源大于荷),储能VSG补偿部分不平衡功率,剩余不平衡功率通过增加负荷消耗功率的方式调节。在该工作模式下,Pe_1和ΔPLoad_1的表达式为

width=144.7,height=35.3 (2)

width=91,height=17(3)

式中,Δt1为储能VSG吸收最大功率所需的时间。

2)工作模式2:ΔP<-Pbat_max

当源-荷不平衡功率大于储能所能输出的最大功率时(源小于荷),储能VSG补偿部分不平衡功率,剩余不平衡功率通过减小负荷消耗功率调节。在该工作模式下,Pe_2和ΔPLoad_2的表达式为

width=139.25,height=35.3 (4)

width=91.7,height=17 (5)

式中,Δt2为储能VSG输出最大功率所需的时间。

3)工作模式3:|ΔP|≤Pbat_max

当不平衡功率小于储能最大充/放电功率时,通过储能VSG改变输出功率即可实现功率平衡。在该工作模式下,ΔPLoad_3=0,Pe_3的表达式为

width=137.2,height=39.4 (6)

式中,Δt3为储能VSG响应不平衡功率所需的时间。

阶段Ⅰ中,储能VSG和负荷被动响应不平衡有功功率,PCC电压和频率发生变化,而储能VSG的惯性阻尼特性可以抑制电压和频率的波动,缩短备自投动作时间。

2.2.2 功率平衡和断路器合闸阶段(阶段Ⅱ和阶段Ⅲ)

在功率平衡阶段(阶段Ⅱ),以尽可能最大化利用储能容量为前提,通过调整储能VSG功率指令值、投耗能电阻或者切负荷等多种方式的协同配合,实现源-荷功率不同匹配程度下的主动功率平衡控制,使PCC电压和频率趋于额定值。

1)工作模式1:ΔPPbat_max

工作模式1在阶段Ⅱ根据ΔPPbat_max的差值计算所需投入的耗能电阻并通过快速晶闸管投入,由此将孤岛系统内的不平衡功率减小到储能VSG可控吸收功率以内,进而控制储能VSG输出功率Pref1,由此实现主动功率平衡。

在该工作模式下,储能VSG功率指令值Pref1的表达式为

width=61.8,height=14.95(7)

width=49.6,height=30.55 (8)

式中,Pon为投入耗能电阻所消耗的有功功率;UN为PCC母线额定电压;R1为一组缓冲电阻的等效电阻值;N为投入耗能电阻的组数。考虑到耗能装置造价及光伏场站容量[31],本文以配备N0组(N0=4)为例进行说明。R1N的计算公式分别为

width=63.85,height=31.9(9)

width=108.7,height=32.6 (10)

式中,ceil(·)为向上取整函数,以保证在最大化利用储能容量的同时实现精细化功率平衡;PPV_nom为光伏电源额定输出功率。

2)工作模式2:ΔP<-Pbat_max

工作模式2在阶段Ⅱ根据ΔPPbat_max的差值切除部分非重要负荷,将孤岛系统内的不平衡功率限制在储能VSG可控输出功率范围以内,进而控制储能VSG输出功率Pref2,由此实现光-储-荷主动功率平衡。

在该工作模式下,储能VSG功率指令值Pref2的具体表达式为

width=56.4,height=17 (11)

width=82.2,height=17 (12)

式中,Poff为切除的非重要负荷的功率。

3)工作模式3:|ΔP|≤Pbat_max

工作模式3在阶段Ⅱ通过调整储能VSG功率指令就能实现孤岛系统主动功率平衡,使PCC电压和频率趋于额定值。在该工作模式下,储能VSG功率指令值Pref3=-ΔP

阶段Ⅱ三种工作模式下储能、耗能电阻和负荷的动作情况见表1。

表1 阶段Ⅱ三种工作模式下储能、耗能电阻及负荷动作情况

Tab.1 Energy storage, energy consumption resistance and load action in three operating modes of phaseⅡ

工作模式储能功率指令耗能电阻负荷 1(|ΔP|>Pbat_max,ΔP>0)Pon-ΔP投入N组正常运行 2(|ΔP|>Pbat_max,ΔP<0=Pbat_max不投切除部分非重要负荷 3(|ΔP|≤Pbat_max)-ΔP不投正常运行

需要说明的是,为实现快速响应系统功率需求、灵活调整充放电状态的目标,能量管理系统通常会将储能SOC维持在附图1所示的正常充放电区域内。同时,SOC数值的变化通常需在较长时间尺度内累积调整[32]。本文方案以百毫秒级短时间尺度运行,仅引起SOC的小幅波动。因此,即使工作电源断开时储能SOC恰好处于正常充放电区域的临界状态,其变化幅度也不足以使SOC跨越限制充放电区间进入禁止充放电区域,由此可保证备自投动作期间储能系统的支撑能力。

阶段Ⅱ中,经主动功率平衡控制,储能VSG有功、无功功率指令值与实际值的偏差逐渐减小为零。此时,孤岛系统已基本实现光-储-荷功率平衡,PCC电压和频率趋于额定值,检测到满足同期并网条件并发送合闸指令。进入阶段Ⅲ,断路器收到合闸指令,经短时间后合闸成功,备自投投入。

2.3 快速备自投方案流程

本文提出计及储能协同控制的快速备自投方案,根据源-荷不平衡功率大小分成三种工作模式,并将不同工作模式再细分为三个阶段。同时,为应对特殊场景下可能引发非预期的过电压或过电流现象,对备自投动作过程中的电压、电流等电气量进行监测,若超出预设阈值[33],立即中止后续操作并闭锁备自投。具体流程如图6所示。

2.4 快速备自投方案作用下PCC电压和频率变化分析

为实现功率平衡,储能VSG有功/无功功率实际值和指令值在阶段Ⅰ和阶段Ⅱ呈现不同的变化特征,进而通过功率环影响输出电压和频率。现以工作模式3中ΔP>0、阻感性负荷为例,说明所提方案作用下储能VSG有功/无功功率的变化,以及功率变化影响下电压和频率的变化特征。

工作电源断开后,为实现有功功率平衡,储能VSG吸收有功功率,而有功功率指令并未发生变化,其偏差经有功-频率环使输出角频率不断增大;角频率的增大引起无功功率盈余,储能吸收无功功率使输出电压增加,无功功率不平衡量减小,直至进入阶段Ⅱ。阶段Ⅱ实现有功功率主动平衡后,有功功率指令值和实际值的偏差为零,并调整角频率逐渐恢复至额定值,角频率的变化引起系统无功功率不足,储能VSG输出无功功率并降低输出电压响应无功缺额,直至电压恢复至额定值,系统无功功率平衡,储能VSG不再输出无功。该过程中储能VSG有功/无功指令值和实际值变化示意图如图7所示。

width=191.55,height=352.55

图6 快速备自投方案流程

Fig.6 Flow chart of fast automatic switching scheme

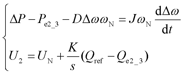
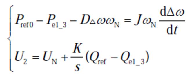
图7中,t0时刻系统正常运行,t1时刻工作电源断开,t2时刻孤岛检测完成,t3时刻满足同期条件并发送断路器合闸指令,ΔPcom为源-储-荷有功功率不平衡量(ΔPcomP-Pref3),Pref3Qref3分别为正常运行时储能VSG有功、无功指令值,Pe1_3/Qe1_3Pe2_3/Qe2_3分别为阶段Ⅰ和阶段Ⅱ储能VSG有功/无功功率的实际值。

因电压、电流环具有良好的跟踪能力,响应时间较短,可认为内电势Eref与储能逆变器输出电压U2相等[34]。基于此,阶段Ⅰ和阶段Ⅱ储能VSG功率环方程分别为

width=227.55,height=343

图7 储能VSG功率指令值和实际值变化示意图

Fig.7 Energy storage VSG power command value and actual value change schematic diagram

width=146.05,height=59.1(13)

width=138.55,height=57.05 (14)

进一步利用龙格-库塔法对式(13)和式(14)进行求解,得到工作模式3系统电压和频率的变化曲线如图8所示。根据图8所示,阶段Ⅰ储能VSG改变输出频率实现有功功率平衡,频率的变化经无功-电压环改变输出电压,而储能VSG的惯量阻尼特性可以减缓系统电压和频率的变化,缩短备自投动作时间;阶段Ⅱ经主动功率平衡,PCC电压和频率趋于额定值,由此备自投可实现快速可靠投入。

width=218.7,height=110.05

图8 孤岛系统的频率和电压变化曲线

Fig.8 Frequency and voltage curves of islanded systems

3 仿真分析

为验证本文提出的计及储能协同控制的快速备自投方案的合理性和有效性,在Matlab/Simulink搭建了如图1所示的光伏场站并网仿真系统。光伏电源、储能电池和VSG参数见表2。其中,光伏电源的额定功率为10 MW,储能最大充/放电功率为2 MW,SOC初始值为70%,0.1 s时工作电源断开。

表2 系统相关参数

Tab.2 System-related parameters

参数数值 光伏电源光伏额定容量/MW10 光伏阵列温度/℃光伏阵列接收辐射强度/(W/m2)直流电容额定电压/V箱式变压器电压比主变压器电压比251 0006500.38 kV/35 kV35 kV/110 kV 储能电池储能最大充/放电功率/MW储能容量/(MW·h)荷电状态(%)储能电池电压/V2470800 VSG额定容量/MW功率因数虚拟转动惯量J/(kg·m2)无功-电压积分系数K阻尼系数D/(N·ms/rad)210.6240

下文仿真场景1~3分别对应工作模式1~3,仿真场景4和5分别对应光伏出力骤降/负荷突增和备用电源电压/频率在一定范围内波动工况[35-36],通过观察PCC电压、储能VSG输出功率和备用进线电流的变化波形验证本文所提方案的有效性。

仿真场景1:光伏输出额定功率10 MW,场站内带有6 MW负荷。当0.1 s工作进线断路器断开工作电源缺失后,PCC电压、储能VSG输出功率和备用进线电流波形如图9所示。

width=227.55,height=215.3

图9 备自投动作过程仿真波形(仿真场景1)

Fig.9 Simulation waveforms of the automatic switching action process (simulation scenario 1)

仿真场景1中源-荷不平衡功率为4 MW,而储能VSG最大可吸收2 MW。根据式(8)~式(10)计算出该仿真场景下需投1组耗能电阻,耗能电阻消耗的功率为2.5 MW。为实现光-储-荷功率平衡,储能VSG有功功率指令值应为-1.5 MW。据图9所示,孤岛检测阶段储能VSG响应2 MW不平衡功率,剩余不平衡功率通过增加负荷消耗功率的方式补偿,故PCC电压增加,最大值为1.2(pu);孤岛检测完成后在功率平衡阶段经投耗能电阻和储能VSG功率指令值的协调控制,储能VSG输出功率稳定在-1.5 MW,PCC电压趋于额定值,同期条件满足并发送断路器合闸指令,经50 ms后断路器合闸,备用进线冲击电流较小,备自投成功投入。

为进一步说明所提方案的优越性,以仿真场景1为例,将现有不解列光伏前提下的备自投方案与本文方案进行对比分析,结果见表3。其中,方案一与方案二分别通过调整光伏出力[10]和投入缓冲电阻/切除负荷[14]的方式补偿不平衡功率,从而实现备自投的动作。

根据表3所示,方案一源-荷不平衡功率补偿效果较好,但存在弃风弃光现象,且常规新能源电源功率跟踪算法s级动作时间难以满足快速备自投要求;方案二中备自投虽可在较短时间内动作,但在功率平衡方面受到限制,且系统运行稳定性较弱;而本文提出的方案将光伏场站内储能的应用场景拓展至备自投,分析并验证了其在提升备自投动作可靠性方面的价值。

表3 不解列新能源的备自投方案对比

Tab.3 Comparison of non-separating new energy standby automatic switching scheme

备自投方案不平衡功率平抑程度动作时间冲击系数储能配置比例(%)耗能电阻配备组数是否弃风弃光是否控制切换孤岛运行可靠性 方案一较为平衡>2 s<1.500是PQ-VF中等 方案二近似平衡85 ms1.3705否否(PQ)较弱 本文方案精细化平衡90 ms1.1205否否(VSG)较强

仿真场景2:光伏输出功率10 MW,场站内共带有13.5 MW负荷。当断路器断开工作电源缺失后,PCC电压、储能VSG输出功率和备用进线电流波形如图10所示。

width=224.15,height=211.9

图10 备自投动作过程仿真波形(仿真场景2)

Fig.10 Simulation waveforms of the automatic switching action process (simulation scenario 2)

仿真场景2中源-荷不平衡功率为-3.5 MW,超出储能VSG最大放电功率,故该工作模式通过储能VSG功率指令变化和切部分负荷的配合实现系统功率平衡。由图10可得,孤岛检测期间储能VSG输出功率不断增加,负荷消耗功率减小,PCC电压降低,最低为0.9(pu);孤岛检测完成后,在切除1.5 MW非重要负荷的同时储能VSG有功功率指令值变为2 MW,系统由此实现了精细化功率平衡,PCC电压趋于额定值;经同期检测后备自投动作,冲击电流较小。

仿真场景3:光伏输出功率10 MW,场站内带有12 MW负荷。当工作电源缺失后,PCC电压、储能VSG输出功率和备用进线电流波形如图11所示。

width=224.15,height=207.15

图11 备自投动作过程仿真波形(仿真场景3)

Fig.11 Simulation waveforms of the automatic switching action process (simulation scenario 3)

仿真场景3中源-荷不平衡功率为-2 MW,在储能VSG最大充/放电功率范围内,因此通过储能VSG功率指令值的变化即可实现功率平衡。据图11所示,孤岛检测期间储能VSG输出功率不断增加,由于负荷消耗功率基本不发生变化,PCC电压波动较小;在孤岛检测完成后,储能VSG输出功率稳定为2 MW,PCC电压趋于额定值,满足同期条件并发送合闸指令,备用电源投入,合闸冲击电流较小,最终实现了备自投的快速可靠动作。

仿真场景4:光伏输出功率10 MW,场站内共带有13.5 MW负荷。0.1 s工作电源断开,0.11 s光伏出力骤降5 MW,此时PCC电压、储能VSG输出功率和备用进线电流波形如图12所示。

仿真场景4中光伏出力骤降后,源-荷不平衡功率由-3.5 MW变为-8.5 MW,该工作模式通过储能VSG功率指令变化和切负荷的配合实现主动功率平衡。由图12所示,孤岛检测阶段,光伏出力骤降后,PCC电压由0.9(pu)降低至0.74(pu);由于功率平衡方案根据系统实时的源-荷功率匹配程度动态调整,所以在光伏出力骤降的情况下,系统仍能够通过调节储能VSG指令,并与相应的切负荷操作相配合,实现系统主动功率平衡,有效地抑制功率突变引起的合闸冲击电流。本文方案同样适用于负荷突增的场景,具体波形如附图2所示,其源-荷功率大小与仿真场景4保持一致。

width=222.8,height=203.75

图12 备自投动作过程仿真波形(光伏出力骤降5 MW)

Fig.12 Simulation waveforms of the automatic switching action process (photovoltaic power output suddenly drops by 5 MW)

仿真场景5:光伏输出功率10 MW,场站内共带有6.9 MW负荷。0.1 s工作电源断开,0.17 s备用电源电压波动0.1(pu),PCC电压、储能VSG输出功率、备用进线电流和备用电源电压变化波形如图13所示。

仿真场景5中源-荷不平衡功率为3.1 MW,通过调整储能VSG功率指令和投耗能电阻的配合实现主动功率平衡。由图13可得,孤岛检测阶段PCC电压增加至1.17(pu);功率平衡阶段,在投入2.5 MW耗能电阻的同时储能VSG功率指令变为-0.6 MW,断路器合闸后备用进线的冲击电流较小。方案同样能够耐受备用电源频率在一定范围内的波动,具体波形如附图3所示,其源-荷功率大小与仿真场景5保持一致。

需要说明的是,若工作电源因故障断开,故障虽会触发光伏逆变器进入故障穿越模式,但继电保护动作切除故障后,光伏逆变器会退出故障穿越控制并恢复正常运行。此时,孤岛系统与故障前正常运行时系统的源-荷不平衡功率ΔP数值是相同的。因此,本文方案及仿真分析仍适用。

width=227.55,height=281.9

图13 备自投动作过程仿真波形(备用电源电压增加)

Fig.13 Simulation waveforms of the automatic switching action process (the backup power supply voltage rises)

4 结论

现有新能源场站大多通过解列新能源实现备自投功能,存在动作时间长且供电可靠性低等问题。为实现不解列新能源前提下备自投的快速可靠动作,本文以光伏场站为例,提出计及储能协同控制的快速备自投方案,通过理论分析及大量仿真验证,取得主要结论如下:

1)在不解列光伏前提下实现光伏场站的快速备自投功能,主要需要实现源-荷不平衡功率的快速有效补偿,进而抑制合闸冲击电流。

2)在考虑源-荷功率不同匹配程度、各模块动作时序关系的基础上,提出了计及储能VSG控制、投耗能电阻与切负荷等多种方式协同的功率平衡方案。孤岛检测阶段,储能VSG可在一定程度上补偿不平衡功率,并抑制系统电压和频率的波动;孤岛检测完成后,经调整储能VSG功率指令和投耗能电阻/切负荷的协同控制,实现光-储-荷主动功率平衡,保证了备自投的快速可靠动作。

现有新能源电源功率的s级调节响应时间难以满足不解列新能源场景下快速备自投的要求(动作时间小于百毫秒级),如何在本文方案基础上发掘与快速备自投适配的新能源电源功率调节能力,进一步优化方案,后续将对此开展深入研究。

附 录

孤岛发生后光伏场站将不再向电网输送功率,且在孤岛发生后很短时间内,可认为PPVQPV近似不变,此时负载消耗的有功和无功功率分别为

width=69.3,height=27.15 (A1)

width=140.6,height=31.9 (A2)

式中,width=17.65,height=15.6width=15.6,height=15.6分别为工作电源断开后PCC电压幅值、频率;width=19.7,height=14.95width=20.4,height=14.95分别为工作电源断开后负载消耗的有功、无功功率。

联立式(1)与式(A1)可得

width=65.2,height=33.95(A3)

式中,width=14.95,height=11.55为孤岛不平衡功率,ΔP=PPV-PLoad

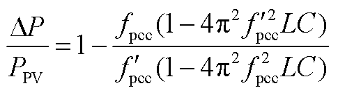
以孤岛前光伏输出有功和PCC电压分别作为孤岛后ΔP与并网点电压width=19.7,height=14.95的基准值,可将式(A3)改写为

width=62.5,height=27.15(A4)

由式(A4)可知,工作电源断开后PCC电压的变化仅与ΔP有关,进一步可绘制图3a。

将式(1)代入式(3),式(A1)代入式(A2)后,再将代入后的式(3)、式(A2)联立可得

width=105.95,height=29.9 (A5)

为使变化规律更直观,现选取三组参数进行绘图,参数见附表1。

附表1 光伏参数

App.Tab.1 Photovoltaic parameters

光伏输出参数数值 组1组2组3 光伏额定输出有功功率/MW10810 光伏额定输出无功功率/Mvar本地负载额定感性无功功率/Mvar本地负载额定容性无功功率/Mvar242132231

据附表1可以推出负载等效电感L、电容C值。将孤岛前光伏额定功率和额定频率作为不平衡功率ΔP和频率fPCC的基准值,可绘出图3b。据图3b所示,光伏输出和负载消耗功率的具体取值并不影响不平衡功率影响下频率的变化趋势。

width=195.6,height=65.9

附图1 考虑SOC的储能电池充放电分区

App.Fig.1 Charge/discharge partitioning of energy storage batteries considering SOCs

width=227.55,height=206.5

附图2 备自投动作过程仿真波形(负荷突增5 MW)

App.Fig.2 Simulation waveforms of the automatic switching action process (the load increases by 5 MW)

width=226.85,height=264.9

附图3 备自投动作过程仿真波形(备用电源频率增加)

App.Fig.3 Simulation waveforms of the automatic switching action process (the power supply frequency rises)

参考文献

[1] 娄为, 沈冰, 裘愉涛, 等. 钻石型配电网的保护与自愈策略分析[J]. 电力系统保护与控制, 2022, 50(23): 161-168.

Lou Wei, Shen Bing, Qiu Yutao, et al. Protection and self-healing strategy analysis of a diamond type distribution network[J]. Power System Protection and Control, 2022, 50(23): 161-168.

[2] 赵冬梅, 宋晨铭, 冯向阳, 等. 100%新能源场景下考虑频率稳定约束的源网荷储一体化系统储能优化配置[J]. 电工技术学报, 2025, 40(7): 2146-2161.

Zhao Dongmei, Song Chenming, Feng Xiangyang, et al. Optimal allocation of energy storage for integrated system of source, grid, load and storage considering frequency stability constraints in 100% new energy scenario.[J]. Transactions of China Electrotechnical Society, 2025, 40(7): 2146-2161.

[3] 杨铭, 曹武, 赵剑锋, 等. 受控电压/电流源型变流器混合多机暂态电压支撑策略[J]. 电工技术学报, 2023, 38(19): 5207-5223, 5240.

Yang Ming, Cao Wu, Zhao Jianfeng, et al. Transient voltage support strategy for hybrid multi-converter of controlled voltage/current source converter[J]. Transactions of China Electrotechnical Society, 2023, 38(19): 5207-5223, 5240.

[4] Yang Ziqian, Zhan Meng, Liu Dan, et al. Small-signal synchronous stability of a new-generation power system with 100% renewable energy[J]. IEEE Transactions on Power Systems, 2023, 38(5): 4269-4280.

[5] 国家能源局. 备用电源自动投入装置技术条件: DL/T 526—2013[S]. 北京: 中国电力出版社, 2014.

[6] Kochukov O, Mutule A. Network-oriented approach to distributed generation planning[J]. Latvian Journal of Physics and Technical Sciences, 2017, 54(3): 3-12.

[7] Sareen K, Bhalja B R, Maheshwari R P. A hybrid multi-feature based islanding detection technique for grid connected distributed generation[J]. International Journal of Emerging Electric Power Systems, 2017, 18(1): 26-28.

[8] 陈志峰, 沈娜, 王玕, 等. 高渗透率水电接入的变电站备自投逻辑优化研究[J]. 电力系统保护与控制, 2023, 51(4): 157-164.

Chen Zhifeng, Shen Na, Wang Gan, et al. Logic optimization of a transformer substation busbar automatic transfer switch with high penetration of hydropower[J]. Power System Protection and Control, 2023, 51(4): 157-164.

[9] 姜惠兰, 薛静玮, 李天鹏, 等. 含风电场电网的备用电源快速投切方式及其整定方法[J]. 高电压技术, 2016, 42(9): 2768-2774.

Jiang Huilan, Xue Jingwei, Li Tianpeng, et al. Fast transfer mode and its tuning method for emergency power supply of grid connected with wind turbine[J]. High Voltage Engineering, 2016, 42(9): 2768-2774.

[10] 臧新霞. 提高邹城电网备自投装置动作可靠性的应用策略研究[D]. 济南: 山东大学, 2020.

Zang Xinxia. Research on application strategy to improve the operation reliability of standby automatic switching device in Zoucheng power grid[D]. Jinan: Shandong University, 2020.

[11] 王淑超, 孙光辉, 俞诚生, 等. 光伏发电系统级快速功率调控技术及其应用[J]. 中国电机工程学报, 2018, 38(21): 6254-6263, 6487.

Wang Shuchao, Sun Guanghui, Yu Chengsheng, et al. Photovoltaic power generation system level rapid power control technology and its application[J]. Proceedings of the CSEE, 2018, 38(21): 6254-6263, 6487.

[12] Raiker G A, Loganathan U, Subba Reddy B. Current control of boost converter for PV interface with momentum-based perturb and observe MPPT[J]. IEEE Transactions on Industry Applications, 2021, 57(4): 4071-4079.

[13] 郑涛, 王洪炳, 于晓军, 等. 适应于新能源接入的新型备自投方案[J]. 电网技术, 2022, 46(11): 4296-4304.

Zheng Tao, Wang Hongbing, Yu Xiaojun, et al. New busbar automatics transfer switch scheme for new energy access[J]. Power System Technology, 2022, 46(11): 4296-4304.

[14] 蔡乾, 于晓军, 吴建云, 等. 一种适用于大型光伏电站的新型备自投方案[J]. 电力工程技术, 2023, 42(6): 91-99.

Cai Qian, Yu Xiaojun, Wu Jianyun, et al. A new backup automatic switch scheme for large-scale photovoltaic power stations[J]. Electric Power Engineering Technology, 2023, 42(6): 91-99.

[15] Jiang Taosha, Cairoli P, Rodrigues R, et al. Inrush current limiting for solid state devices using NTC resistor[C]//SoutheastCon 2017, Concord, NC, USA, 2017: 1-7.

[16] 郭潇镁, 李永刚, 周一辰. 基于变权重自适应模型预测控制的虚拟同步发电机调频策略[J]. 电工技术学报, 2025, 40(21): 6956-6969.

Guo Xiaomei, Li Yonggang, Zhou Yichen. Virtual synchronous generator frequency regulation control strategy based on variable weight adaptive model predictive control[J]. Transactions of China Electro-technical Society, 2025, 40(21): 6956-6969.

[17] Chen Shimiao, Sun Yao, Han Hua, et al. A modified VSG control scheme with virtual resistance to enhance both small-signal stability and transient synchronization stability[J]. IEEE Transactions on Power Electronics, 2023, 38(5): 6005-6014.

[18] Lü Zhengqiang, Xu Jia, Pang Yuanqi, et al. Control strategy and research on energy storage unit participation in power system frequency regulation based on VSG technology[J]. Journal of Physics: Conference Series, 2024, 2703(1): 012002.

[19] 梁鑫钰, 张哲, 尹项根, 等. 适应稳定控制系统动作的备自投开放判据[J]. 电力系统自动化, 2017, 41(8): 105-109, 132.

Liang Xinyu, Zhang Zhe, Yin Xianggen, et al. Opening criterion for automatic switchover adapted to actions of security and stability control system[J]. Automation of Electric Power Systems, 2017, 41(8): 105-109, 132.

[20] 杨富磊. 分布式并网发电系统的孤岛检测方法研究[D]. 吉林: 东北电力大学, 2016.

Yang Fulei. Research on islanding detection method of distributed grid-connected power generation system[D]. Jilin: Northeast Dianli University, 2016.

[21] 李升, 卫志农, 孙国强, 等. 大型光伏电站接入多机系统暂态电压稳定性研究[J]. 太阳能学报, 2018, 39(12): 3356-3362.

Li Sheng, Wei Zhinong, Sun Guoqiang, et al. Stability research oftransient voltage for multi-machine power systems integrated large-scale PV power plant[J]. Acta Energiae Solaris Sinica, 2018, 39(12): 3356-3362.

[22] 罗宇航, 肖凡, 郑宇婷, 等. 基于稳定域的PQ控制并网逆变器稳定性分析方法[J]. 电工技术学报, 2025, 40(22): 7334-7348.

Luo Yuhang, Xiao Fan, Zheng Yuting, et al. Stability analysis method for grid-connected inverters with PQ control based on stability region[J]. Transactions of China Electrotechnical Society, 2025, 40(22): 7334-7348.

[23] 丁浩. 基于虚拟同步发电机的微网逆变器控制策略研究[D]. 徐州: 中国矿业大学, 2023.

Ding Hao. Research on control strategy of microgrid inverter based on virtual synchronous generator[D]. Xuzhou: China University of Mining and Technology, 2023.

[24] 许诘翊, 刘威, 刘树, 等. 电力系统变流器构网控制技术的现状与发展趋势[J]. 电网技术, 2022, 46(9): 3586-3595.

Xu Jieyi, Liu Wei, Liu Shu, et al. Current state and development trends of power system converter grid-forming control technology[J]. Power System Technology, 2022, 46(9): 3586-3595.

[25] 魏译帆, 邢建春. 基于虚拟同步发电机双模式切换的柴储微电网无差调频控制策略[J]. 电气技术, 2022, 23(11): 13-20.

Wei Yifan, Xing Jianchun. Zero-error frequency modulation strategy for diesel storage microgrid based on virtual synchronous generator dual-mode switching [J]. Electrical Engineering, 2022, 23(11): 13-20.

[26] 顾一丰, 邱稳斌, 李艳君, 等. 基于虚拟阻抗和锁相环的孤岛检测技术[J]. 电力系统保护与控制, 2018, 46(21): 78-85.

Gu Yifeng, Qiu Wenbin, Li Yanjun, et al. An islanding detection based on virtual impedance and phase-locked loop[J]. Power System Protection and Control, 2018, 46(21): 78-85.

[27] 汪楠楠, 卢宇, 唐浩, 等. 应用于新能源孤岛经柔直送出系统的交流耗能优化投切策略[J]. 电力建设, 2024, 45(12): 187-194.

Wang Nannan, Lu Yu, Tang Hao, et al. Improved switching strategies of AC energy consumption devices for VSC-HVDC system with renewable energy integration in island mode[J]. Electric Power Construction, 2024, 45(12): 187-194.

[28] 山东省人民政府. 山东省人民政府关于印发2024年“促进经济巩固向好、加快绿色低碳高质量发展”政策清单(第一批)的通知[EB/OL]. (2024-01-05) [2025-01-31]. https://fhqr.f2z.cn/KMCGJ9.

[29] 魏文荣, 苗世洪, 王廷涛, 等. 计及储能电站荷电状态恢复和调整的电力系统调频指令最优分配方法[J]. 中国电机工程学报, 2024, 44(增刊1): 53-65.

Wei Wenrong, Miao Shihong, Wang Tingtao, et al. Optimal allocation method of frequency modulation instruction in power system considering recovery and adjustment of charge state of energy storage power station[J]. Proceedings of the CSEE, 2024, 44(S1): 53-65.

[30] 李建林, 李雅欣, 刘海涛, 等. 计及储能电站安全性的功率分配策略研究[J]. 电工技术学报, 2022, 37(23): 5976-5986.

Li Jianlin, Li Yaxin, Liu Haitao, et al. Research on power distribution strategy considering the safety of energy storage power station[J]. Transactions of China Electrotechnical Society, 2022, 37(23): 5976-5986.

[31] 梅念, 周杨, 李探, 等. 张北柔性直流电网盈余功率问题的耗能方法[J]. 电网技术, 2020, 44(5): 1991-1999.

Mei Nian, Zhou Yang, Li Tan, et al. Energy consumption method for power surplus in Zhangbei VSC-based DC grid[J]. Power System Technology, 2020, 44(5): 1991-1999.

[32] 池志坤, 袁至, 李骥. 基于系统频率与SOC状态预测的储能一次调频控制策略[J]. 高电压技术, 2025, 51(11): 5423-5434.

Chi Zhikun, Yuan Zhi, Li Ji. Primary frequency modulation control strategy of energy storage based on system frequency and SOC state prediction[J]. High Voltage Engineering, 2025, 51(11): 5423-5434.

[33] 国家质量监督检验检疫总局, 中国国家标准化管理委员会. 光伏并网系统接入配电网技术规定: GB/T 29319-2024[S].北京: 中国标准出版社, 2024.

[34] 贾科, 刘芸, 毕天姝, 等. 基于自适应虚拟阻抗的构网型新能源电源不对称故障穿越控制[J]. 中国电机工程学报, 2025, 45(8): 2946-2956.

Jia Ke, Liu Yun, Bi Tianshu, et al. Asymmetric fault ride through of grid-forming control of renewable energy based on adaptive virtual impedance[J]. Proceedings of the CSEE, 2025, 45(8): 2946-2956.

[35] 国家质量监督检验检疫总局, 中国国家标准化管理委员会. 电能质量供电电压偏差: GB/T 12325—2008[S]. 北京: 中国标准出版社, 2009.

[36] 国家质量监督检验检疫总局, 中国国家标准化管理委员会. 电能质量电力系统频率偏差: GB/T 15945—2008[S]. 北京: 中国标准出版社, 2008.

A Fast Standby Automatic Switching Scheme for Photovoltaic Power Station Considering Energy Storage Cooperative Control

Zheng Tao Ma Ying You Yi Hu Shengkuan

(State Key Laboratory of Alternate Electrical Power System with Renewable Energy Sources North China Electric Power University Beijing 102206 China)

Abstract The traditional automatic bus transfer equipment (referred to as “automatic switching device”) to check the “no voltage on the bus, no current on the incoming line” as the starting criterion, resulting in new energy power station to disconnect new energy as a prerequisite for automatic switching device action, reducing the new energy utilization rate and reliability of power supply. Therefore, it is of great significance to realize the reliable action of automatic switching device without disconnecting new energy. To solve the above problems, we utilize the energy storage equipped in the photovoltaic power station and adopt the control of the virtual synchronous generator (VSG). Based on considering the different matching degrees of the source-load power and the action timing relationship of each module, a fast standby automatic switching scheme considering the energy storage collaborative control is proposed.

Firstly, the mechanism of voltage and frequency change at the point of common coupling under different source-load power matching degrees after the working power supply is disconnected is analyzed, revealing that the key to suppressing the automatic switching device impulse current is the rapid realization of power balance control. Secondly, it is designed and proposed that using energy storage VSG control to suppress voltage/frequency fluctuations during islanding detection. After the islanding detection is completed, the refined power balance is further achieved by the coordinated cooperation of adjusting the energy storage VSG power command and inputting crowbar resistor or shedding load, thus the fast and reliable action of automatic switching device is realized within 100 milliseconds. Finally, based on the typical topology of photovoltaic power stations, we use Matlab/Simulink to construct the corresponding electromagnetic transient simulation model, and a large number of simulation experiments are carried out to verify the feasibility and effectiveness of the proposed scheme.

Simulation results of the proposed standby automatic switching scheme show that it can rapidly achieve refined power balance between the power source and the load during the power balance stage under the working conditions where the power source is greater than the load, the power source is less than the load, and the power source and the load are approximately balanced. Thereby, it enables the rapid and reliable switch-on of the standby power source. When further taking into account the fluctuations of the standby power source within the range permitted by the power grid in actual working conditions, this scheme can also keep the inrush current coefficient within the requirements of the power grid during the switch-on of the standby power source.

The following conclusions can be drawn from the theoretical analysis and the simulation verification: (1) To realize the fast automatic standby power switching of new energy stations under the premise of not disconnecting new energy, it is mainly necessary to solve the fast and effective control of source-load unbalanced power and the suppression of closingimpulse current. (2) On the basis of considering the different matching degrees of source-load power and the timing relationship of each module, a power balance scheme is proposed that takes into account the energy storage VSG control, the crowbar resistor and load shedding. In the islanding detection stage, the energy storage VSG can compensate for the unbalanced power to a certain extent and suppress the fluctuation of system voltage and frequency. After the islanding detection is completed, the collaborative control of adjusting the energy storage VSG power command and inputting the crowbar resistor/shedding load are to realize the active power balance of solar-storage-load. It ensures the fast and reliable action of automatic switching device.

Keywords:Photovoltaic power station, automatic switching device, energy storage, virtual synchronous generator, cooperative control

作者简介

郑 涛 男,1975年生,教授,博士生导师,研究方向为电力系统继电保护。

E-mail:zhengtao@ncepu.edu.cn

马 英 女,2000年生,硕士研究生,研究方向为新能源保护与控制。

E-mail:482711997@qq.com(通信作者)

中图分类号:TM762.1

DOI: 10.19595/j.cnki.1000-6753.tces.250184

国家自然科学基金联合基金资助项目(U2166205)。

收稿日期 2025-02-03

改稿日期 2025-03-30

(编辑 赫 蕾)