摘要 针对配电网中高频采集业务对实时响应能力的严苛要求与当前资源分配方式下性能瓶颈的矛盾,该文提出了一种基于通感协同的配电网数据高频采集与低时延互动方法。首先,构建通感协同的网络架构,通过深度融合通信与感知资源,对终端调度、数据压缩、传输带宽分配与功率控制进行联合优化。进一步地,设计调度频次感知的终端调度与数据压缩比智能优化算法,并在终端调度频次未满足时引入惩罚机制。在此基础上,采用基于交替方向乘子法(ADMM)的传输功率与带宽分配联合优化算法,快速完成传输功率与带宽的优化分配。仿真结果表明,相较于对比算法,所提算法的平均端到端时延与通感协同网络运行成本的加权和分别降低了12.41%和18.07%。
关键词:通感协同 配电网数据高频采集 低时延互动 通感资源联合优化
随着智能电网技术的发展和新能源的大规模接入,配电网的运行状态变得更加复杂和动态[1-3]。现代配电网的监控、维护与优化需要实时、精确的数据支持,其对数据采集的频次和传输实时性提出了更高的要求[4-6]。网络资源分配是满足该要求的主要手段之一。然而,当前的资源分配方式往往仅基于通信侧或感知侧中的某一方孤立优化[7],这种孤立优化难以充分利用资源,数据传输效率低下,严重影响电网的实时监控业务和故障响应能力,且容易出现性能瓶颈,无法满足高频采集业务对实时响应能力的严苛要求[8-11]。
通感资源协同分配为配电高频采集业务带来了新的解决方案[12-13]。通过将通信与感知资源进行深度融合,联合优化感知数据压缩、传输带宽分配与功率控制,能更有效地分配和利用通感资源,提高系统整体性能。目前针对资源分配优化问题已有较多研究。文献[14]考虑高频采集业务的时延与能耗敏感性,对通信资源进行了智能编排。文献[15]考虑电网业务的差异化性能指标,提出了功率控制与频谱资源分配联合优化算法。然而,上述研究仅对资源进行孤立优化,缺乏对多维资源协同优化的考量,无法解决多维资源优化存在的性能矛盾问题。
在多维资源协同优化方面,已有学者进行了研究。文献[16]通过引入满足性权值,提出调度周期与传输速率协同优化的调度方案。文献[17]设计了一种贪婪算法,协同优化通感资源,实现设备间的高效信息交换。但上述方法缺乏对动态环境下多维资源关联机制的考虑,存在局部最优与全局资源僵化分配问题。深度强化学习凭借动态环境交互与多目标非线性优化的优势,为这一问题提供了可行的解决思路。文献[18]通过深度强化学习实现云边端多维纵横协同资源的分配,以满足海量电力业务的差异化计算需求,但未能内化感知数据采集频次的约束,致使短路、开关操作、雷击感应等关键工况下数据不完整的风险递增。文献[19]将采集频次纳入深度强化学习算法设计中,完成了对非凸资源分配优化问题的求解,但缺少对通感资源之间耦合关系的建模,可能会出现资源超配现象。
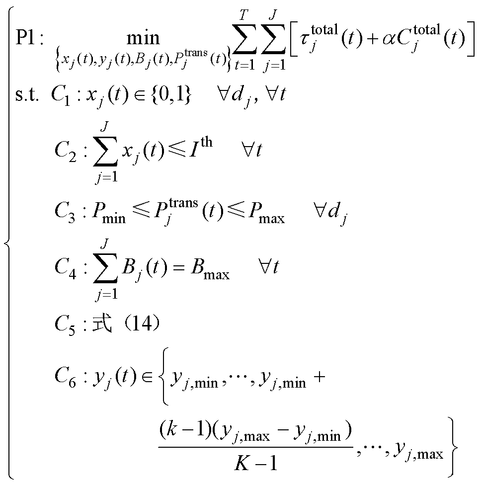
因此,本文提出一种基于通感协同的配电网数据高频采集与低时延互动方法,重点关注数据采集频次约束,通过联合优化终端调度、数据压缩比、带宽分配以及功率控制,在满足配电业务高频采集需求的同时,保持较低的时延与成本。本文所提方法与现有研究的对比见表1。
表1 所提方法与现有研究的对比情况
Tab.1 The comparison between the proposed method and existing research
文献深度强化学习通感资源之间耦合关系的建模数据采集频次感知 [14-15]××× [16-17]×√× [18]√×× [19]√×√ 本文√√√
然而,本文所提方法仍面临以下挑战。一方面,基于通感协同的配电网数据高频采集与低时延互动涉及感知方面的采集终端调度和数据压缩比优化以及通信方面的传输功率控制和带宽分配。高度异质的多维资源协同分配是一个混合非线性整数规划问题,优化复杂度高。另一方面,机器学习虽然能为复杂优化问题提供无模型求解方法,但智能体在策略学习过程中可能通过违背优化问题约束换取自身收益的最大化。
针对上述问题,本文首先构建基于通感协同的配电网数据高频采集与低时延互动网络架构,在此基础上,构建终端调度、数据压缩比、带宽分配以及功率控制联合优化问题,旨在最小化时延与能耗的加权和。其次,提出面向高频采集调度频次感知的通感协同智能资源分配算法,结合机器学习与交替方向乘子法(Alternating Direction Method of Multiplier, ADMM)分阶段求解优化问题。终端调度和数据压缩比状态变化复杂,采用机器学习可对其灵活优化,具有较强的自适应性。传输功率和带宽分配的优化问题具有明确约束且相互作用较为结构化,采用ADMM可有效地避免由于数据维度过高引起的算法收敛缓慢问题。最后,通过仿真验证所提算法的有效性。
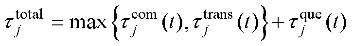
通感协同的配电网数据高频采集与低时延互动网络架构如图1所示,包含设备层、感知层、边缘层和主站层。设备层包含分布式光伏、分布式风机、智能充电桩、储能电池、配电设备等各类电气设备。感知层包含部署在各类电气设备上的高频采集终端,感知各类电气设备运行过程中的电气量、状态量、网络环境量等关键数据,并将原始数据压缩打包,通过5G信道上传至边缘层。边缘层由边缘服务器和5G基站组成。基站为感知层提供通信覆盖,边缘服务器负责解压处理上传的压缩数据,并通过光纤上传至主站层,为配电业务运行提供低时延数据支撑。主站层包含电网调控中心,负责支撑配电网跨区域协同控制、配电网全景监测、主配协同控制等业务运行。
图1 基于通感协同的配电网数据高频采集与低时延互动网络架构
Fig.1 High-frequency data collection and low-latency interactive network architecture for distribution networks based on sensing-communication integrated
本文将总优化时间划分为T个时隙,其集合表示为
,每个时隙长度为t0。每个时隙包含感知数据采集、数据压缩与传输、边缘数据处理三个过程。在感知数据采集过程中,考虑到大量终端同时采集数据将导致数据拥塞及边缘数据积压等问题,边缘服务器制定终端调度决策,被调度的终端实时采集感知数据;在数据压缩与传输过程中,感知数据包含大量冗余信息,为提高边缘层数据处理效率,同时降低数据端到端时延以及通感协同网络运行成本,边缘服务器为终端制定数据压缩比、带宽分配、传输功率控制决策。终端依据决策压缩并传输感知数据至边缘服务器进行处理。
定义终端层终端数量为J,假设每个时隙边缘服务器可以调度
(
)个终端采集并上传数据。定义终端
调度指示变量为
,
表示终端
在第t时隙被调度,
表示其未被调度。定义第t时隙终端
采集的感知数据量为
,则等待压缩的数据量表示为
(1)
考虑到原始数据的冗余性,采集终端需要对数据进行压缩。假设所有终端采用无损压缩技术[20]。定义
的数据压缩速率为
,即数据在压缩过程中单位时间内处理的数据量,其与数据压缩比
有关,表示为
(2)
式中,
为压缩复杂度,即压缩每比特数据需要的CPU周期数;
为
的可用CPU频率。
的数据压缩时延
及数据压缩能耗
分别表示为
(3)
(4)
式中,
为
的能耗系数。
在数据压缩过程中,数据同步并行传输至边缘服务器。
与边缘服务器之间的数据传输速率
表示为
(5)
式中,
为
的传输带宽;
为传输功率;
为信道增益;
和
分别为传输过程中的电磁干扰功率和高斯白噪声功率。
的数据传输时延
和传输能耗
分别表示为
(6)
(7)
式中,
为
传输至边缘服务器的数据量,即边缘侧队列到达的数据量,
。
边缘服务器为每个终端维护一个数据队列,用于存储未进行解压处理的数据。以
为例,其队列第t时隙的输入为传输至边缘服务器的数据量
,第t时隙的输出为边缘解压处理的数据量
。因此,
的数据队列演进公式为
(8)
(9)
式中,
为第t时隙的队列积压;
为解压每比特数据需要的CPU周期数;
为边缘服务器解压处理
队列数据的CPU频率。
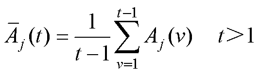
基于利特尔定律,边缘侧
队列的数据排队时延
表示为
(10)
式中,
为
的平均数据到达速率,表示为
(11)
在通感协同网络中,
的端到端时延由数据压缩时延
、数据传输时延
、数据排队时延
组成。其中,数据压缩和数据传输是并行过程,在端到端时延构成中应取
与
之间的较大值。因此,端到端时延
表示为
(12)
通感协同网络运行成本
与数据压缩能耗
以及数据传输能耗
有关,表示为
(13)
式中,
为成本系数。
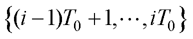
为了维持各采集终端所承载配电业务的运行水平,终端必须在规定的时段内完成一定次数的数据采集、压缩和传输。本文进一步将总优化时间划分为I个时段,每个时段由
个连续时隙组成,即T =IT0。第i个时段与时隙的关系为
。终端调度频次约束为
(14)
式中,
为
被调度次数的下限。
面向配电网数据高频采集的低时延互动需求,通过通感协同优化,即联合优化终端调度、数据压缩比、带宽分配以及功率控制,最小化配电业务数据平均端到端时延与通感协同网络运行成本的加权和,则优化问题P1表述为
(15)
式中,a为网络运行成本的权重,用于平衡数量级并实现优化目标权衡;
为数据传输总可用带宽;
和
分别为传输功率的上、下限;
和
分别为dj的压缩比上、下限;K为压缩等级的数量;
和
为终端调度指示变量约束;
为传输功率约束;
为带宽分配约束;
为长期终端调度频次约束;
为压缩比选择约束。
由于短期的终端调度、数据压缩比、带宽分配以及功率控制优化与长期终端调度频次约束相耦合,P1无法直接求解。
基于李雅普诺夫理论,将长期约束转换为虚拟队列稳定性约束,从而解耦长期优化问题为单时隙确定性优化问题。长期终端调度频次虚拟队列的演进公式表示为
(16)
式中,
为第i个时段长期终端调度频次虚拟队列赤字;max函数保证队列赤字大于或等于0。将
与
分别作为虚拟队列的到达数据量和处理数据量,当
稳定时,队列的到达数据量长期来看应该小于队列处理数据量,从而保证
约束的不等式关系成立。
基于以上虚拟队列,通过虚拟队列积压反映长期约束
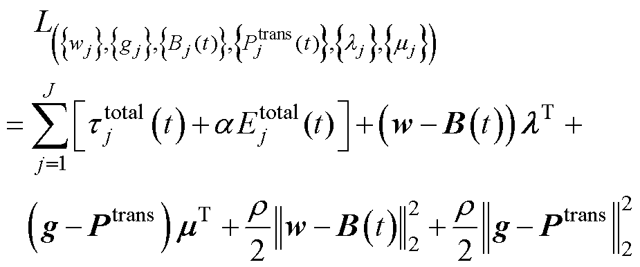
的满足情况,从而将短期决策与长期约束解耦,P1可转换为
(17)
式中,V为虚拟队列的权重,用于实现最小化队列漂移与最小化端到端时延和网络运行成本的加权和之间的权衡。
基于李雅普诺夫理论将P1转换为P2后,本文设计了一种面向高频采集调度频次感知的通感协同智能资源分配算法,分阶段求解P2。P2是包含终端调度、数据压缩比、带宽分配以及功率控制多种变量的混合非线性整数规划问题,无法通过传统凸优化算法求解。因此,在第一阶段,提出调度频次感知的终端调度与数据压缩比智能优化算法,学习终端调度与数据压缩比选择策略;在第二阶段,采用ADMM求解传输功率与带宽分配联合优化策略。优化问题转换与求解过程如图2所示。
图2 优化问题的转换与求解
Fig.2 Transformation and solution of optimization problem
深度Q网络(Deep Q-Network, DQN)为混合非线性整数规划问题提供了一种无模型求解方法。然而,传统DQN智能体缺乏对长期终端调度频次约束满足情况的把控力。为此,本节提出调度频次感知的终端调度与数据压缩比智能优化算法。该算法对传统DQN的损失函数进行改进,通过在损失函数计算中引入反映长期终端调度频次约束满足情况的惩罚项,提高算法对各终端调度频次的感知能力。算法原理如图3所示,边缘服务器所维护智能体由评估网络
、目标网络
,以及经验回放池等部分构成[18,21]。
3.1.1 马尔可夫决策(MDP)模型
将P2建模为一个马尔可夫决策(Markov Deci- sion Process, MDP)模型,边缘服务器作为DQN智能体集中决策终端调度与数据压缩比选择。MDP模型包括状态空间、动作空间和奖励三个元素,具体介绍如下。
1)状态空间:状态空间定义为各终端状态的集合,表示为
。终端
的状态
包括感知数据量、可用CPU频率、压缩复杂度、边缘侧队列积压、终端调度频次虚拟队列赤字,表示为
(18)
2)动作空间:定义动作空间为终端调度决策
与数据压缩比决策
组成的集合
,表示为
图3 算法原理
Fig.3 Algorithmic principle
(19)
3)奖励:定义奖励
为优化目标的相反数,表示为
(20)
3.1.2 算法改进
DQN损失函数反映智能体的学习表现。本文在传统DQN的基础上,通过在损失函数计算中引入衡量长期终端调度频次约束满足情况的惩罚项,提高算法对于调度频次约束的感知力。具体来说,当约束满足情况越差时,惩罚项越大,说明当前动作下实际获得的收益低于估计值。所提算法将约束此类动作并鼓励DQN网络探索或开发其他更优的动作,实现更为合理的通感协同终端调度与数据压缩决策。包含惩罚项的损失函数计算为
(21)
式中,
为期望值运算;
为指示函数,当且仅当
时取值为1,否则为0;
为惩罚因子;
为折扣因子;
为采取不同动作时的Q值;
为从经验回放池中采样的经验数据集。在奖励基础上,若每
个时隙终端调度频次约束未满足,需要在原奖励的基础上减去一个惩罚项。
3.1.3 算法执行流程
调度频次感知的终端调度与数据压缩比智能优化算法的执行流程包含以下三个步骤。
1)在每个时隙开始时,将状态空间输入评估网络
,获得采取不同动作的Q值
。并选择Q值最大的动作,为智能体执行动作
。
(22)
2)在每个时隙末,智能体观察端到端时延、网络运行成本以及虚拟队列赤字性能,依据式(20)计算奖励
,更新
和
,并转移状态至
。随后,将经验数据
存入经验回放池。
3)智能体基于式(21)计算损失函数,并根据梯度下降法更新评估网络
。每隔
时隙将目标网络
与
对齐。
在已知终端调度策略和数据压缩比的基础上,优化问题P2进一步转换为
(23)
优化问题
为凸优化问题,而ADMM是一种适用于求解此类问题的优化算法,具有形式简单、收敛性好、鲁棒性强等优点[22]。因此,采用ADMM对各终端传输功率和带宽进行分布式优化,具体流程如下。
1)为简化原始约束,将问题分解为拉格朗日乘子易于求解的形式,引入辅助变量
和
,优化问题
转换为
(24)
2)建立P3的增广拉格朗日函数,表示为
(25)
式中,
、
为拉格朗日乘子;r为惩罚因子;
为L2范数;
、
、
、
、
、
分别为各变量集合对应的向量,均为1×J维。选择初始值为
、
、
、
、
、
。
3)更新辅助变量、各终端传输功率、带宽以及拉格朗日乘子,表示为
(26)
(27)
(28)
(29)
(30)
(31)
式中,n为迭代次数。
4)迭代次数加1。
5)判断算法收敛情况,若满足式(32)所示条件,算法终止。
(32)
式中,
、
为预设的容忍度。
最终,边缘服务器将收敛后最后一次迭代得到的传输功率
及带宽
作为当前时隙的分配决策。
本文使用Matlab R2023a作为仿真软件。运行环境为13th Gen Intel(R) Core(TM) i7-1360P 2.20 GHz。根据福建省某市某村实际配电台区设置仿真场景大小并部署电气设备。拓扑节点由分布式光伏、智能充电桩、储能电池、配电设备等各类电气设备组成。充电桩的充电功率为15 kW,交流电压为380 V。光伏安装在用户屋顶,装机容量为33 kW。边缘服务器部署在配电台区中心,20个高频采集终端随机部署在电气设备上以感知各类电气设备运行过程中的电气量、状态量、网络环境量等关键数据。本文根据实际测量数据对通感资源进行参数化。考虑终端每时隙采集数据量为12~18 Mbit,数据压缩和解压的复杂度为103 cycles/bit,总带宽资源为20 MHz,最大传输功率和最小传输功率分别为0.5 W和0.1 W。在各仿真场景中,权重系数a=108、V=1。假设终端到边缘服务器的通信链路为莱斯信道模型,信道增益表示为
,其中,
为终端到边缘服务器的距离,
为参考距离1 m时的信道增益,
为路径损耗指数,
为考虑小尺度衰落的复值随机变量[20],并使用稳态分布来描述电磁干扰特性[23-24]。仿真参数设置具体见表2[19,25]。
表2 仿真参数
Tab.2 Simulation parameters
参 数数 值 J20 10 12 /(cycles/bit)102 /(cycles/s)1010 /MHz20 /W0.1 /dBm-16 T200 5 /Mbit12~18 /(cycles/bit)102 /(cycles/s)1011 /min1 /W0.5 xj/[$/(kW·h)]0.1
通过以下两种对比算法验证所提算法性能,具体设置如下:
1)对比算法1为文献[26]中的传统DQN算法,该算法对终端调度、数据压缩比与采集频率进行联合优化,忽略了终端调度频次约束。除此之外,其余参数与所提算法保持一致。
2)对比算法2为文献[27]中的粒子群优化算法,该算法对带宽资源及通信时隙资源进行分配优化,忽略了对感知资源的优化以及终端调度频次的约束。除此之外,其余参数与所提算法保持一致。
优化目标值随时隙变化情况如图4所示,优化目标值为平均端到端时延与通感协同网络运行成本的加权和。随着时隙增加,相较于对比算法1和对比算法2,本文所提算法优化目标值分别降低了12.41%和18.07%。这是因为本文所提算法采用了基于通感协同的配电网数据高频采集与低时延互动方法,该方法通过深度融合通信与感知资源,对感知数据压缩、传输带宽分配与功率控制进行了联合优化以最小化时延和网络运行成本。使得算法在满足低时延需求的同时,也尽可能地降低了网络运行成本。对比算法1忽略了对带宽与功率资源的联合优化,导致传输时延上升,优化目标值更高;而对比算法2忽略了对感知资源的优化,采用固定的压缩比对数据进行压缩,无法充分调度通感资源,无法实现时延与网络运行成本的折中优化。
图4 优化目标值随时隙变化
Fig.4 Optimization value versus slot
不同算法边缘侧队列积压与终端调度约束赤字箱线图如图5所示。相较于对比算法1和对比算法2,本文所提算法的终端调度约束赤字均值分别降低了30.01%和64.14%,边缘队列积压均值分别下降了39.14%和66.67%。这是因为本文所提算法在设计时考虑了终端调度频次约束,并改进了损失函数,使算法学习能够感知终端调度频次约束的满足情况。通过调度频次感知的终端调度与数据压缩比智能优化算法,算法能够更灵活地根据终端的实时状态和需求进行调度,从而有效地减少了终端调度约束赤字与队列。
图5 边缘侧队列积压与终端调度约束赤字箱线图
Fig.5 Box plot of edge-side queue backlog and devices scheduling constraint deficits
图6展示了不同算法下平均端到端时延随终端数量变化情况。随着终端数量从20增加到40,本文所提算法的平均端到端时延增量比对比算法1和对比算法2分别降低19.54%和23.91%。其原因在于,随着终端数量的增多,边缘侧可分配的通感资源有限,所提算法在决策过程中充分考虑对感知数据压缩、传输带宽分配与功率控制的联合优化,从而降低了端到端时延。
图6 平均端到端时延随终端数量变化情况
Fig.6 Average end-to-end delay versus the number of devices
图7展示了权重a增加时平均端到端时延与平均网络运行成本的变化情况。仿真结果表明,当权重a从105增加到109时,平均端到端时延增加了14.81%,平均网络运行成本降低了17.28%。这是因为在优化问题中,端到端时延与网络运行成本是两个相互矛盾的指标,它们的重要性通过权重系数来平衡。当权重a增大时,意味着在优化目标中网络运行成本的相对重要性增加,而时延的相对重要性降低。具体来说,本文所提算法在优化过程中会根据权重系数调整资源分配策略。当权重较大时,算法会更加倾向于降低传输功率、优化数据压缩比等;而当权重较小时,算法会更加注重降低时延,因此可能会增加传输功率以提高数据传输速率,从而减少传输时延。
图7 平均端到端时延与平均网络运行成本随权重a变化情况
Fig.7 Average end-to-end delay and average operating costs versus a
图8展示了权重V增加时优化目标值与平均终端调度队列赤字的变化情况。仿真结果表明,当权重V从10-2增加到102时,优化目标值增加了12.41%,平均网络运行成本降低了15.84%。权重V用于平衡优化目标(端到端时延与网络运行成本的加权和)与虚拟队列漂移(反映长期终端调度频次约束的满足情况)的优化情况。当V增大时,算法更关注虚拟队列的稳定性,即优先满足终端调度频次约束,导致优化目标值增加。
图8 优化目标值与平均终端调度队列赤字随权重V变化情况
Fig.8 Optimization value and average devices scheduling constraint deficits versus V
由上述仿真结果可知,当权重a增大时,算法更倾向于优化网络运行成本,而忽略对时延的优化。因此,对于配电自动化、配电网故障诊断等对时延需求较高的业务,建议a取值范围为a
106。对于配电网运行状态监测等对时延需求较低的业务,建议a取值范围为a
108。当权重V增大时,算法更关注虚拟队列的稳定性,即优先满足终端调度频次约束,导致优化目标值增加。因此,当各种业务的时延与能耗需求能够较好地满足时,可适当增大权重V以保证终端调度频次约束,建议V值取值范围为10-1
V
10。
考虑在第100时隙时有1个新设备接入电网,边缘服务器整合通感资源重新对各终端进行分配,新设备接入后算法优化情况如图9所示。仿真结果表明,本文所提算法在新设备接入场景时也能够快速收敛,且将优化目标值降到最低。当新设备接入第100时隙后,相较对比算法1和对比算法2,本文所提算法的优化目标值分别降低了4.77%和18.76%。
图9 新设备接入后算法优化情况
Fig.9 Algorithm optimization after new device access
不同场景下算法性能对比结果见表3。由表3可知,面对具有不同带宽需求的不同配电场景时,本文所提算法的收敛时隙与运行时间明显优于传统DQN算法。当终端数量增加时,所提算法与传统DQN算法的收敛速度与运行时间均增大,但不同带宽下所提算法运行时间增量相较传统DQN算法平均下降了29.34%。这是因为所提算法在设计过程中充分考虑了配电网中高频采集业务的特性和需求,对损失函数进行改进,能够对终端调度频次进行感知,加快算法学习速度。
表3 不同场景下算法性能对比
Tab.3 Comparison of algorithm performance in different scenarios
总带宽/MHz算 法终端数量20终端数量30终端数量40 收敛时隙运行时间/s收敛时隙运行时间/s收敛时隙运行时间/s 1本文所提算法4230.945252.997199.64 传统DQN算法4931.557478.1896136.50 2本文所提算法4029.675254.867099.76 传统DQN算法4935.287478.0796136.80 10本文所提算法4130.225053.4271100.08 传统DQN算法4834.717477.0294133.11 20本文所提算法4231.155153.8171101.18 传统DQN算法4834.567477.9494133.95
ADMM收敛性验证如图10所示,该图展示了算法第20时隙时端到端时延与网络运行成本加权和随ADMM迭代次数的变化情况。在第20时隙DQN算法优化终端调度与数据压缩决策后,但带宽分配与功率分配决策还未优化时,端到端时延与网络运行成本加权和约为65.22。随着ADMM的迭代,不断更新辅助变量、各终端传输功率、带宽以及拉格朗日乘子,在第40次迭代时ADMM即趋于收敛,得到当前时隙端到端时延与网络运行成本加权和的最小值。
图10 ADMM收敛性验证
Fig.10 Verification of convergence of ADMM
本文面向配电网新能源业务数据感知深度大、实时可靠传输能力强的需求,分析了该需求下配电业务数据端到端时延与通感协同网络运行成本的最小化问题,提出基于通感协同的配电网数据高频采集与低时延互动方法,并进行仿真实验验证所提算法的有效性。主要结论如下:
1)针对配电网中通感资源的高度异质特征,提出面向高频采集调度频次感知的通感协同智能资源分配算法,通过逐步分阶段处理,能够有效地解耦通感资源协同分配问题,实现感知侧(采集终端调度及数据压缩比)与通信侧(传输功率控制及带宽分配)的协同优化。
2)在DQN算法中,设置反映长期终端调度频次约束满足情况的惩罚项,并将其引入损失函数的计算中,能够保证终端的调度频次,对满足配电网新能源业务高频采集需求具有良好的适用性。仿真结果表明,相较于对比算法,所提算法的平均端到端时延与通感协同网络运行成本的加权和分别降低了12.41%和18.07%。
未来工作将进一步探索电网全域感知与通信感知一体化技术(Integrated Sensing and Communication, ISAC)的深度融合,在利用采集数据实现电网、电气设备运行状态的感知外,还将通过电力通信频段的电磁波特性实现对电网设备与信号传播物理环境的协同感知,研究“电气量-无线电”双模态感知机制,为新型电力系统的全息感知提供新范式。
参考文献
[1] Dong Yanjie, Hossain M J, Cheng Julian, et al. Cross- layer scheduling and beamforming in smart-grid powered cellular networks with heterogeneous energy coordination[J]. IEEE Transactions on Communica- tions, 2020, 68(5): 2711-2725.
[2] 肖娟霞, 李勇, 韩宇, 等. 计及台风时空特性和灵活性资源协同优化的配电网弹性提升策略[J]. 电工技术学报, 2024, 39(23): 7430-7446.
Xiao Juanxia, Li Yong, Han Yu, et al. Resilience enhancement strategy for distribution networks considering the spatiotemporal characteristics of typhoon and the collaborative optimization of flexible resources[J]. Transactions of China Electrotechnical Society, 2024, 39(23): 7430-7446.
[3] Jiang Yazhou. Data-driven fault location of electric power distribution systems with distributed generation [J]. IEEE Transactions on Smart Grid, 2020, 11(1): 129-137.
[4] 董雷, 李扬, 陈盛, 等. 考虑多重不确定性与电碳耦合交易的多微网合作博弈优化调度[J]. 电工技术学报, 2024, 39(9): 2635-2651.
Dong Lei, Li Yang, Chen Sheng, et al. Multi- microgrid cooperative game optimization scheduling considering multiple uncertainties and coupled electricity- carbon transactions[J]. Transactions of China Electro- technical Society, 2024, 39(9): 2635-2651.
[5] Guo Yu, Ni Xuming, Li Lifeng. Design and application of automation system with the distribution network system in power communication[C]//2022 International Conference on Computer Network, Electronic and Automation (ICCNEA), Xi’an, China, 2022: 384-388.
[6] 李宗晟, 张璐, 张志刚, 等. 考虑柔性资源多维价值标签的交直流配电网灵活调度[J]. 电工技术学报, 2024, 39(9): 2621-2634.
Li Zongsheng, Zhang Lu, Zhang Zhigang, et al. A flexible scheduling method of AC/DC hybrid distribu- tion network considering the multi-dimensional value tags of flexible resources[J]. Transactions of China Electrotechnical Society, 2024, 39(9): 2621-2634.
[7] 吴舒坦, 王琦, 于昌平, 等. 计及时空灵活性资源协同的配电信息物理系统规划方法[J]. 电力系统自动化, 2025, 49(15): 74-88.
Wu Shutan, Wang Qi, Yu Changping, et al. Cyber- physical distribution system planning considering spatial-temporal flexible resource collaboration[J]. Automation of Electric Power Systems, 2025, 49(15): 74-88.
[8] Luo Ling, Liu Zhenyu, Chen Zhiyong, et al. Age of information-based scheduling for wireless D2D systems with a deep learning approach[J]. IEEE Trans- actions on Green Communications and Networking, 2022, 6(3): 1875-1888.
[9] 李云鸷, 刘吉臻, 胡阳. 计及低碳响应的综合能源系统多时间尺度源-荷互动优化调度[J]. 太阳能学报, 2024, 45(11): 84-98.
Li Yunzhi, Liu Jizhen, Hu Yang. Multi-time scale source-load interactive optimal scheduling of integ- rated energy system considering low-carbon demand response[J]. Acta Energiae Solaris Sinica, 2024, 45(11): 84-98.
[10] 吴润泽, 马伊嘉, 郭昊博, 等. 面向海量分布式新能源业务流的通存资源无交互协同预留算法[J]. 电力系统自动化, 2024, 48(23): 112-120.
Wu Runze, Ma Yijia, Guo Haobo, et al. Interaction- free cooperative reservation algorithm of communication- cache resources for massively distributed renewable energy service flow[J]. Automation of Electric Power Systems, 2024, 48(23): 112-120.
[11] 李鹏, 钟瀚明, 马红伟, 等. 基于深度强化学习的有源配电网多时间尺度源荷储协同优化调控[J]. 电工技术学报, 2025, 40(5): 1487-1502.
Li Peng, Zhong Hanming, Ma Hongwei, et al. Multi- timescale optimal dispatch of source-load-storage coordination in active distribution network based on deep reinforcement learning[J]. Transactions of China Electrotechnical Society, 2025, 40(5): 1487-1502.
[12] 汤中卫, 刘昊东, 龚榆淋, 等. 适配配网分级调控的通感算资源协同互动方法[J/OL]. 华北电力大学学报(自然科学版), 2024: 1-11[2025-04-07]. https://kns. cnki.net/kcms/detail/13.1212.TM.20241025.1457.002. html.
Tang Zhongwei, Liu Haodong, Gong Yulin, et al. A collaborative interaction method of communication, sensing and computational resources adapted for distribution network hierarchical regulation[J/OL]. Journal of North China Electric Power University (Natural Science Edition), 2024: 1-11[2025-04-07]. https://kns.cnki.net/kcms/detail/13.1212.TM.20241025.1457.002.html.
[13] 金仙美, 王佳妮, 赵力强, 等. 面向6G通感算融合的多粒度资源分配算法[J]. 无线电通信技术, 2023, 49(1): 89-99.
Jin Xianmei, Wang Jiani, Zhao Liqiang, et al. Multi- granularity resource allocation algorithm based on network intelligence sensing[J]. Radio Communic- ations Technology, 2023, 49(1): 89-99.
[14] 路韬, 张捷, 张永旺, 等. 面向配电网高频采集的通信资源智能编排技术[J]. 南方电网技术, 2025, 19(5): 73-82.
Lu Tao, Zhang Jie, Zhang Yongwang, et al. Intelligent scheduling technology of communication resource for high frequency collection in distribution networks[J]. Southern Power System Technology, 2025, 19(5): 73-82.
[15] 丰雷, 谢坤宜, 朱亮, 等. 面向电网业务质量保障的5G高可靠低时延通信资源调度方法[J]. 电子与信息学报, 2021, 43(12): 3418-3426.
Feng Lei, Xie Kunyi, Zhu Liang, et al. 5G ultra- reliable and low latency communication resource scheduling for power business quality assurance[J]. Journal of Electronics & Information Technology, 2021, 43(12): 3418-3426.
[16] 詹金珍, 郭达伟, 滑维鑫. 基于公平性的D2D时隙调度算法[J]. 计算机应用, 2017, 37(3): 711-716.
Zhan Jinzhen, Guo Dawei, Hua Weixin. Device to device time division scheduling algorithm based on fairness[J]. Journal of Computer Applications, 2017, 37(3): 711-716.
[17] Zhang Qixun, Sun Hongzhuo, Lv Yifan, et al. Flexible time resource allocation method for joint communication and sensing enabled CAVs[C]//2023 International Conference on Future Communications and Networks (FCN), Queenstown, New Zealand, 2023: 1-5.
[18] 王峰, 刘明林, 文祥宇, 等. 基于联邦生成对抗网络的电力物联网云-边-端协同资源调度方法[J/OL]. 华北电力大学学报(自然科学版), 2024: 1-11[2024- 11-02]. https://kns.cnki.net/kcms/detail/13.1212.TM.2024 0322.1453.002.html.
Wang Feng, Liu Minglin, Wen Xiangyu, et al. Federated GAN based cloud-edge-end collaborative resource scheduling method for PIoT[J/OL]. Journal of North China Electric Power University (Natural Science Edition), 2024: 1-11[2024-11-02]. https://kns. cnki.net/kcms/detail/13.1212.TM.20240322.1453.002. html.
[19] 于子淇, 刘健阳, 陈亚鹏, 等. 面向配电网高频采集的云边端协同业务处理机制[J]. 电工技术学报, 2025, 40(11): 3502-3513.
Yu Ziqi, Liu Jianyang, Chen Yapeng, et al. Cloud- edge-end collaborative service processing mechanism for high frequency acquisition in distribution network [J]. Transactions of China Electrotechnical Society, 2025, 40(11): 3502-3513.
[20] 李斌, 朱潇, 王俊义. 基于数据压缩的无人机边缘计算卸载优化[J]. 数据采集与处理, 2024, 39(6): 1432-1444.
Li Bin, Zhu Xiao, Wang Junyi. Offloading optimiza- tion based on data compression in UAV-ssisted edge computing[J]. Journal of Data Acquisition and Processing, 2024, 39(6): 1432-1444.
[21] Xiong Xiong, Zheng Kan, Lei Lei, et al. Resource allocation based on deep reinforcement learning in IoT edge computing[J]. IEEE Journal on Selected Areas in Communications, 2020, 38(6): 1133-1146.
[22] 王皓, 艾芊, 吴俊宏, 等. 基于交替方向乘子法的微电网群双层分布式调度方法[J]. 电网技术, 2018, 42(6): 1718-1727.
Wang Hao, Ai Qian, Wu Junhong, et al. Bi-level distributed optimization for microgrid clusters based on alternating direction method of multipliers[J]. Power System Technology, 2018, 42(6): 1718-1727.
[23] Karakuş O, Kuruoğlu E E, Altınkaya M A. Modelling impulsive noise in indoor powerline communication systems[J]. Signal, Image and Video Processing, 2020, 14(8): 1655-1661.
[24] Shi Zhan. Cloud-edge collaborative federated GAN based data processing for IoT-empowered multi-flow integrated energy aggregation dispatch[J]. Computers, Materials & Continua, 2024, 80(1): 973-994.
[25] 陈亚鹏, 刘朋矩, 周振宇, 等. 面向业务可靠承载的电力弹性光网络自主协同决策[J]. 电工技术学报, 2023, 38(21): 5821-5831, 5877.
Chen Yapeng, Liu Pengju, Zhou Zhenyu, et al. Autonomous collaborative decision-making for power elastic optical network oriented to service reliable bearing[J]. Transactions of China Electrotechnical Society, 2023, 38(21): 5821-5831, 5877.
[26] Liao Haijun, Fan Jinchao, Ci Haoyu, et al. Electric semantic compression-based 6G wireless sensing and communication integrated resource allocation[J]. IEEE Internet of Things Journal, 2024, 11(24): 39333- 39345.
[27] Li Biwei, Wang Xianbin, Xin Yan, et al. Value of service maximization in integrated localization and communication system through joint resource allocation [J]. IEEE Transactions on Communications, 2023, 71(8): 4957-4971.
Abstract High-frequency acquisition services in distribution networks have stringent requirements for real-time response capability. There is a contradiction of performance limitations under the current resource allocation method. Traditional resource allocation methods tend to optimize only one of the communication or sensing parties in isolation, making it difficult to make full use of resources and inefficient data transmission. This seriously affects the real-time monitoring and control operation of the power grid and fault response capability. Recently, some methods have been proposed to collaboratively optimize multidimensional resources, but most of them lack the consideration of association mechanism and collection frequency requirements. Aiming at these problems, this paper proposed a high-frequency acquisition and low-latency interaction method for distribution network data based on sensing-communication integrated, which can reduce the average weighted sum of end-to-end delay and operating costs of the sensing-communication integrated network.
First, the network architecture of high-frequency data collection and low-latency interactive for distribution networks based on sensing-communication integrated was designed. On this basis, models for acquisition devices scheduling, sensing data compression and transmission, edge data processing, as well as end-to-end delay and network operation cost were constructed. The cost of network operation was suppressed while reducing end-to- end latency by jointly optimizing sensing-communication variables such as device scheduling, data compression ratio, bandwidth allocation, and power control.
Subsequently, in order to maintain the operation level of the distribution service carried by each acquisition device, the device must complete a certain number of data acquisition, compression and transmission within a specified time slot. A long-term terminal scheduling frequency constraint was introduced to safeguard this requirement. Meanwhile, the long-term optimization problem was decoupled into a single time slot deterministic optimization problem by Lyapunov theory.
Then, for the mixed nonlinear integer programming problem containing multiple variables, a sensing- communication integrated intelligent resource allocation algorithm for high-frequency acquisition scheduling frequency sensing was proposed in two stages. In the first stage, an improved DQN algorithm was used to realize the device scheduling and data compression ratio selection strategy. A penalty term was introduced into the loss function calculation of traditional DQN to examine whether the long-term terminal scheduling frequency constraints are satisfied or not, which improves the algorithm’s ability to perceive the scheduling frequency of each device. In the second stage, the ADMM algorithm was used to optimize the transmission power and bandwidth of each device in a distributed way, which can greatly improve the convergence of the algorithm. The proposed algorithm ensures that the high-frequency acquisition and low-latency interaction requirements of distribution network services are well satisfied.
Finally, the effectiveness and reasonableness of the proposed algorithm was verified by simulation examples. Simulation results show that the proposed method can effectively reduce the average weighted sum of end-to-end delay and operating costs of the sensing-communication integrated network, which are reduced by 12.41% and 18.07%, compared with the comparison algorithm. Meanwhile, the proposed algorithm also fully considers the characteristics and demands of high-frequency acquisition services in the distribution network, which makes it much more aware of the device scheduling frequency and significantly enhances the learning speed. The authors’ team will further explore the deep integration of global perception of the power grid and integrated sensing and communication (ISAC).
Keywords:Sensing-communication integrated, distribution network data high-frequency acquisition, low-latency interaction, joint optimization of sensing-communication resources
王睿秋雨 女,2001年生,硕士研究生,研究方向为通感算资源协同互动技术、配电网透明化管控技术等。
E-mail: qiuyu_wang@ncepu.edu.cn
廖海君 女,1997年生,讲师,博士(后),研究方向为智能电网中多模态通信技术、能源互联网信息通信技术等。
E-mail: haijun_liao@ncepu.edu.cn(通信作者)
中图分类号:TM73
DOI: 10.19595/j.cnki.1000-6753.tces.250075
北京市自然科学基金项目(4254074)、国家资助博士后研究人员计划项目(GZB20250124)和中央高校基本科研业务费面上项目(2025MS007)资助。
收稿日期 2025-01-11
改稿日期 2025-05-24
(编辑 李 冰)