摘要 分布式能源配合储能系统以虚拟同步发电机(VSG)主动支撑策略友好并网是解决新型电力系统稳定问题的最佳手段。该文首先基于近期发展的新型超级电容、蓄电池混合储能系统,分析了维持直流母线电压动态稳定的功率互补控制策略;其次,通过建立光储联合并网VSG有功闭环小信号模型,解析惯量和阻尼对系统动态性能、稳定性及输出有功稳态偏差的影响机理,提出兼顾暂态与稳态特性控制优化的惯量阻尼协调自适应策略,并引入惯性环节以改善VSG与储能系统面对功率波动的动态响应协调问题;最后,通过混合并网仿真系统多种控制策略下的对比分析,验证了自适应惯量阻尼控制策略在多种工况、不同电网强度下具备更优的主动构网惯量阻尼稳定调控能力,面向大量分布式光伏并网的新型电力系统极具应用价值。
关键词:混合储能 自适应控制 光储并网系统 构网型控制 虚拟同步发电机
依托我国能源战略的“双碳”目标,结合目前光伏产业的成本和技术优势,光伏并网规模迅速扩张[1]。特别是我国中东部和西部某些区域,光照条件充足时,其接入比例已逐渐趋近甚至超越传统发电,导致区域电力系统惯性和稳定水平大幅降低[2]。尤其是现阶段大量分布式光储系统考虑并网经济性多采用传统跟网型逆变器并网,抗干扰能力较弱[3],对网侧并不友好,其功率占比过高将给惯性薄弱的电力系统带来额外的稳定调控负担[4]。目前构网型光储融合并网被认为是提升高比例新能源电压和频率主动支撑能力的关键技术[5-7]。2024年4月2日国家能源局印发通知,大力促进新型储能并网管理及高效利用[8],山东德州已落地试点首个户用分布式光伏配储项目。然而面对网侧低频大功率及高频瞬变功率支撑等多种场景需求[9],综合能量型储能蓄电池及功率型储能超级电容的互补混合储能系统(Hybrid Energy Storage Systems, HESS)[10-12]成为提升分布式光伏并网稳定性、弥补功率控制响应速率问题的研究热点。
以虚拟同步发电机(Virtual Synchronous Generator, VSG)为代表的分布式能源电压、频率主动支撑技术[13],可提供类似同步机的虚拟惯量和阻尼,成为构网型变流器控制策略的设计基础[14]。为进一步增强VSG构网支撑能力,有学者利用VSG参数灵活可调的优势提出惯量阻尼自适应策略。文献[15-16]分别依据等效序阻抗模型、小信号状态空间建模法对VSG并网稳定性进行分析。文献[17-19]基于小扰动下SG功角特性曲线根据频率偏移值动态调整惯量阻尼,改善有功频率动态特性效果较好。文献[20]提出惯量阻尼自适应与变权重模型预测控制(Model Predictive Control, MPC)联合控制策略,以解决传统VSG控制在大负载变化时频率偏差大的问题。然而以上研究普遍忽视了功率稳态偏差对系统稳定性的潜在威胁。网侧频率扰动下VSG输出有功功率存在稳态偏差,且稳态与动态特性的优化控制需求存在矛盾,但以上文献均未将功率稳态偏差的优化纳入自适应控制策略设计。文献[21]通过引入微分算子补偿的高阶暂态阻尼参数控制策略优化了VSG的有功功率闭环特性并减小了功率偏差,但此类高阶系统建模困难,控制参数整定复杂。对于新型储能在构网支撑中的关键作用,上述自适应策略在光储混合并网新场景中的适用性缺乏有效验证。在采用光储混合并网结构的自适应策略研究中,文献[22]设计基于ln基底的自适应控制策略,在改善VSG动态特性的同时限制惯量大范围调整,减小储能容量配置需求,但未从提升储能工作特性的角度进行自适应策略改进,且仅采用单一储能结构,在面对多种高低频功率需求时响应速率较差。文献[23]提出一种指数型自适应策略,提升动态性能效果较好,但易引起惯量阻尼的尖峰现象,导致对储能装置要求较高,经济性欠缺。文献[24]针对VSG构网储能有功振荡与稳态偏差难以兼顾的问题,提出一种tanh函数配合sign函数的自适应控制策略,但在自适应参数选取原则说明上有所欠缺。文献[25]设计了考虑储能动态特性的自适应策略,但未考虑自适应策略对功率稳态误差的影响。鉴于高比例新能源电网的稳定支撑能力下降,复杂的扰动工况可能严重影响构网自适应控制策略的有效性,导致其控制的先进性和实用性缺陷明显。
基于此,本文聚焦HESS配合分布式光伏并网新场景,对VSG主动构网支撑能力提升的惯量阻尼自适应控制策略展开深入研究。首先,基于光储混合VSG系统结构特性和HESS工作特性,讨论HESS系统功率控制策略;其次,对VSG惯量和阻尼对系统功率动态特性及稳态误差的影响机理进行建模分析;然后,结合频率动态特性的控制需求,在现有研究的基础上设计考虑有功频率动态稳态特性综合优化、考虑VSG与HESS工作特性协调的惯量阻尼自适应策略,并给出控制参数整定方法;最后,全面对比验证本文所提策略在优化光储协运配合、多种工况多种电网强度场景下改善系统动态与稳态特性,提升系统运行稳定性方面的先进性。
并网式光储混合系统控制结构如图1所示。光储联合系统包含逆变器控制系统、光伏发电系统及混合储能系统。其中混合储能系统由蓄电池和超级电容混合供能,充分发挥蓄电池组能量密度高的储能优势,同时利用超级电容提升储能系统的能量峰值动态快速响应能力。逆变器采用VSG控制策略,使分布式光储具有自主调控能力,减少网侧稳控资源的介入调节压力。同时可以提供分布式并网的等效惯性和等效阻尼,分布式能源高渗透下可将其作为调节资源,提升电网的电能质量和系统稳定性支撑能力。
图1 并网式光储混合系统控制结构
Fig.1 Grid-connected photovoltaic storage hybrid system control architecture
并网状态下,光伏电源和混合储能系统共同发挥供给本地负载和向电网输送电能的作用,Cdc两侧能量平衡,并网系统功率关系为
(1)
式中,Ppv为光伏功率;Pbat为蓄电池功率;Psc为超级电容功率;Ploss为系统功率损耗;Pe为逆变器控制系统输出功率;Pgrid为并网功率;Pload为本地负荷功率。待平抑功率绝对值也即储能系统需提供功率为|ΔP|=|Pe-Ppv+Ploss|。
HESS采用两个双向Buck-Boost分别连接蓄电池和超级电容,实现能量分隔管理。超级电容器最大功率通常高于蓄电池额定功率。因此,设置HESS能量分配方案为蓄电池通常仅在待平抑功率超过其自身额定功率Pbat-N时以额定功率充放电[26],即光照较强时Ppv>Pe,HESS充电。若|ΔP|≥|Pbat-N|,则蓄电池以Pbat-N充电,超级电容负责吸收多余的功率盈余;若|ΔP|<|Pbat-N|,HESS仅由超级电容以功率Psc充电。光照较弱时HESS放电,能量分配同理,此处不再赘述。以上分配方案规避了蓄电池、超级电容间能量的相互流动,有效地提升了能量传输效率。
混合储能模块能量管理控制策略如图2所示。蓄电池采用恒功率控制,输出功率参考值Pbat-ref与Ubat作商得到电流参考值,Ibat-ref与实际值Ibat比较后经PI控制器和PWM发生器获得控制信号,对双向Buck-Boost进行互补控制,以跟踪输出Pbat-ref。
超级电容采用恒电压控制,将直流母线电压参考值Vdc-ref与实际值Vdc作差后经PI控制器补偿,通过PWM模块生成互补控制信号,确保直流母线电压动态稳定。变换器输出侧直接与并网逆变器相连。
图2 混合储能模块能量管理控制策略
Fig.2 Energy management control strategy for hybrid energy storage modules
VSG整体控制拓扑结构如图3所示。图中,Vdc为直流母线电压,Lf和Rf分别为滤波电感及其等效电阻,模拟SG同步电感和定子电枢电阻,Cf为滤波电容。eabc模拟SG感应电动势,uabc为VSG输出电压,iabc为VSG并网电流,Lg和Rg为线路等效阻抗,Pe与Pref分别为VSG输出有功功率及其参考值,Qe与Qref分别为输出无功功率及其参考值。控制部分功能层主要包括有功功率环、无功功率环、虚拟阻抗环,以及控制层电流电压双闭环控制。
因本文研究针对小扰动下系统有功频率动态特性的提升,且VSG策略可以实现有功/无功解耦,故本节仅介绍有功功率环搭建原理。
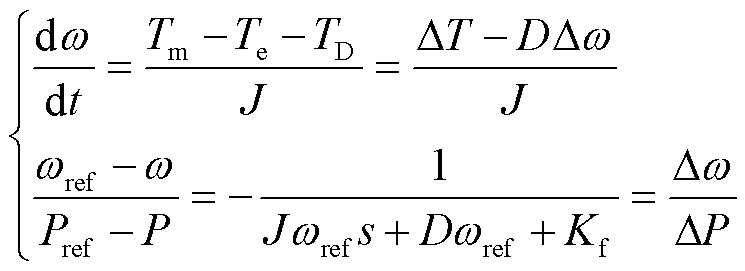
区别于下垂控制,VSG策略通过引入式(2)所示SG转子运动方程使光储混合并网系统表现出惯量和阻尼特性。
(2)
式中,J为转动惯量;Tm、Te分别为SG的机械和电磁转矩;TD为阻尼转矩;D为阻尼系数;Pm、Pe分别为机械和电磁功率;ω为实际测量角速度;ωref为额定角速度;θ为SG内电势相角。
VSG引入式(3)所示有功-频率下垂控制方程模拟SG虚拟调速器,在电网频率波动时发挥一次调频功能为系统提供频率稳定性支撑。
(3)
式中,Kf为有功-频率下垂系数。
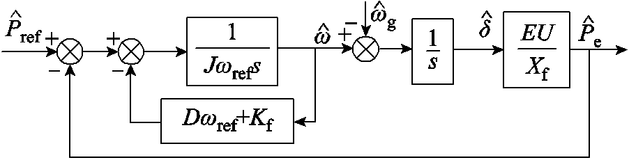
结合光储系统功率分配关系,VSG输出功率跟随参考值时有Pref =Ppv+Pbat+Psc-Ploss =Pe。联立式(2)、式(3)可得J、D固定时有功功率控制框图如图3所示。
根据图3所示的虚拟同步发电机等效模型,U∠0为公共连接点(Point of Common Coupling, PCC)电压,E∠δ为逆变器输出电压。当VSG的功角δ较小且滤波电路Xf远大于Rf时,VSG的输出功率表达式可简化为
图3 并网式虚拟同步发电机整体拓扑结构
Fig.3 Grid-connected virtual synchronous generator overall topology
(4)
合并式(2)~式(4),并将变量Pe、δ及ω用额定值叠加扰动值表示,可得VSG有功功率闭环小信号控制模型如图4所示。
图4 VSG有功功率闭环小信号模型
Fig.4 VSG active closed loop small signal modeling
由图4可得参考功率扰动与VSG输出有功功率的闭环传递函数为
(5)
式中,
、
分别为电磁功率和参考有功功率的小扰动功率。
由自动控制理论可知,式(5)为二阶系统的典型结构,其无阻尼振荡频率、阻尼比为
(6)
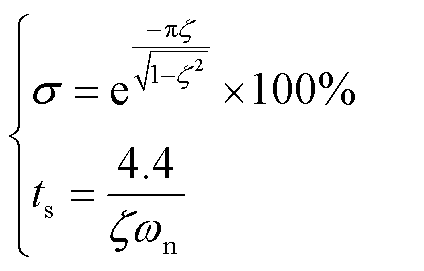
若系统处于欠阻尼工作模式,令误差带Δ=2%。可计算得到主要动态性能指标超调量和调节时间为
(7)
综上所述,J、D对系统功率动态性能的影响为:当Kf、D固定,J增大时,阻尼程度减小,功率超调量
增大,调节时间ts变长;当Kf、J固定,D增大时,阻尼比增大,
减小,ts变短。
为验证前述理论分析的准确性,提升后续J、D自适应规则设计下系统稳定性程度,根据式(5)对系统有功响应闭环特征方程进行根轨迹分析,研究J、D对系统稳定性的影响机理。
不同J、D下根轨迹如图5所示。由图5可知,J固定,随着D的增大(箭头方向),两共轭复根由虚轴逐渐向s左半平面移动,并在实轴汇集后移动向相反方向。D较小时S1、S2靠近虚轴,稳定性较差;D增大,系统先进入欠阻尼状态,此时动态性能较好,有一定超调,调节时间较短;而D继续增大后,系统变为过阻尼状态(两实数极点),S2靠近原点稳定性变差,无超调但响应较慢。如图5所示,过阻尼状态分别为J=0.3 kg·m2,D>15 N·m·s/rad;J=0.5 kg·m2,D>18 N·m·s/rad;J=1.0 kg·m2,D> 26 N·m·s/rad。而随着J增大,两特征根分离点逐渐向虚轴靠近,系统稳定性变差,振荡明显,调节时间较长。以上影响趋势与式(6)分析结果一致。
图5 不同J、D下根轨迹
Fig.5 Root trajectories under different J and D
设置有功功率阶跃仿真,验证J、D对输出功率动态特性的影响规律。不同J、D下功率阶跃响应情况如图6所示。阶跃响应下,J越大,D越小时逆变器输出有功功率振荡越剧烈,
、ts增大,系统稳定性变差,与理论分析一致。
图6 不同J、D下功率阶跃响应情况
Fig.6 Power changes under different J and D
一方面,功率振荡导致分布式并网系统稳定性受到威胁,可能引发系统失稳。由于逆变器瞬时过载能力的限制,暂态过程中过大的功率超调可能触发逆变器过电流保护机制,导致功率器件停止工作。另一方面,储能维持直流母线电压稳定,为逆变器输出提供功率补充,因此功率振荡将引起储能系统频繁充放电,增加能量损耗,且功率超调也可能会导致储能系统被迫进行过度充放电。
因此考虑功率响应的暂态特性,调节过程中J的值不宜长时间过大,且与J相匹配的阻尼应限制在一定范围内,D过小将无法抑制功率振荡。
同时,构网型VSG因参与电网一次调频,在网侧频率扰动时将出现输出有功功率的稳态偏差。根据图4可得频率扰动时的闭环传递函数为
(8)
基于式(8)可得VSG输出有功功率稳态偏差为
(9)
由式(9)可知ΔPe与D成正比,增大D将引起电网频率扰动时稳态误差偏大,与功率动态特性调节需求存在矛盾。
下面分析J、D对频率动态特性的影响机理。将式(2)、式(3)进行合并变换得到
(10)
由式(10)可见,若Tm-Te-TD不变,J反比于dω/dt,D对dω/dt的作用规律受
与dω/dt符号影响,需具体分析;J、D、Kf均与
成反比。因此暂态响应过程中,dω/dt较大时,可以通过增大J避免频率快速地上升和跌落,抑制频率波动,并使其快速恢复至额定值;增大J、D可以减小频率偏差,使分布式能源系统的频率响应符合电力网络规范,有助于分布式能源与配电网协同运行。
基于电力系统对分布式能源并网的要求,希望惯性阻尼的设计在有功功率调度指令改变、负荷扰动等常见工况下有效地抑制暂态功率振荡和频率波动,并在电网频率扰动工况下减小有功功率稳态偏差,以确保系统整体的稳定性和效率。同时,合理的惯性阻尼设计也能为提升储能设备工作效率和延长其使用寿命提供重要支持。而根据2.2节和2.3节分析,传统固定J、D控制策略难以满足设计要求,因此本文借鉴SG的静态调节特性,灵活设计J、D自适应调整规则,旨在综合提升分布式系统的动态特性与稳态特性。
为了便于分析,将同步发电机功角曲线和转子角频率典型振荡过程分为四个小区间。同步发电机的功角特性及角频率振荡曲线如图7所示。
图7 同步发电机的功角特性及角频率振荡曲线
Fig.7 Power angle characteristic and angular frequency oscillation curve of SG
对于区间①,SG输入功率由PA增加到PB,t1时刻ω向偏离额定值的方向增加,处于频率加速阶段,需要通过增加J、D,减小dω/dt,以抑制ω偏移速率并减小频率偏差;区间②中t2时刻
达到最大,ω向靠近额定值方向变化,需减小J使频率快速恢复,此阶段减小J还有助于增大系统阻尼比从而抑制功率振荡,同时需在此阶段设计较小的阻尼以减小有功功率稳态偏差并提高系统响应速度;区间③、④中J、D变化规则的分析方式类似,此处不再赘述。总结得到J、D的变化情况见表1。
表1 J和D的变化情况
Tab.1 The change in J and D
区间JD ①>0>0>0较大较大 ②>0<0<0较小较小 ③<0<0>0较大较大 ④<0>0<0较小较小
本文在阻尼自适应策略中引入双曲正切函数,令暂态阻尼D根据实时dω/dt和Dw按照预设规则平滑调整。此外,区别于传统自适应策略,本文研究的对象为光储联合并网系统,储能系统为分布式光伏的自适应惯量提供物理支撑。同步机的惯性源于转子机械能,而VSG通过转子运动方程模拟的惯性实质上依赖储能系统中的电势能[27],见附录第1节的分析。因此,针对该对象的自适应规则设计需考虑储能环节的工作特性。故在J自适应规则的dω/dt前引入一阶惯性环节,旨在充分利用惯性环节输入量发生突变时输出量不能突变的特点,见附录第2节的分析。在dω/dt受扰动发生突变的情况下,由于VSG和储能系统动态特性不匹配,导致储能设备供给dω/dt突变所需电能时存在一定的时延特性,而惯性环节的设置可以协调该问题[25]。同时惯性环节的设计可以抑制dω/dt在阈值附近抖动时J的频繁调节与尖刺现象[28]。含惯性环节自适应策略动态特性改进优势分析见附录第3节。同时,本文设置指数函数与惯性环节相配合,以便灵活调节惯量对于频率变化率的敏感程度。
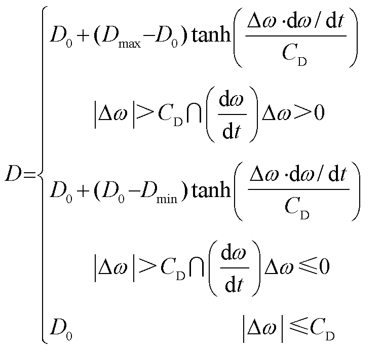
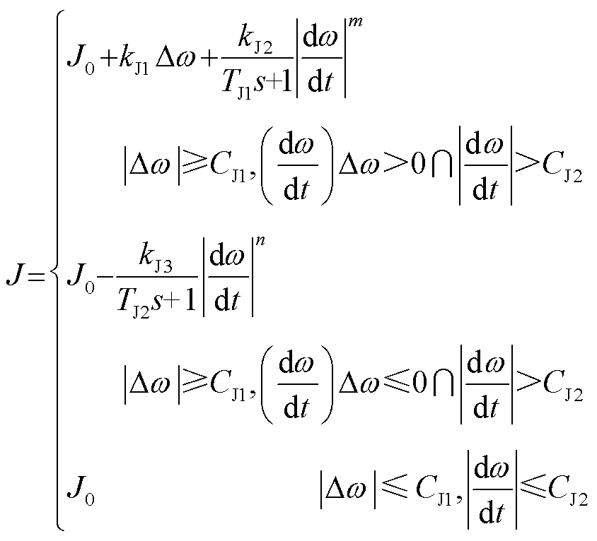
综上分析,设计J、D自适应控制策略为
(11)
(12)
式中,J0、D0为系统稳态运行值,根据2.2节分析及文献[29]的整定方式取典型值J0=0.5 kg·m2,D0=15 N·m·s/rad;Dmax、Dmin分别为阻尼自适应的上、下限;CJ1、CD为Dw变化的调节阈值;CJ2为dω/dt变化的阈值;T为惯性时间常数;m、n为指数调节因子;kJi为惯量自适应调节系数。
阈值CJ、CD的设置表征自适应算法的严格程度。阈值设计的核心目标是避免误动作,并在系统受到显著扰动时快速调整J、D,以增强系统稳定性。CJ、CD的设计首先应保证其大于正常运行时角频率变化率和角频率偏移量波动的最大值。在此基础上,参考文献[30]根据动态响应过程中有功功率特性和频率特性时域分析的阈值分析设置方式,并基于本文模型,通过仿真测试进一步确认,选取CJ1=0.3,CJ2=1.5,CD=0.5。
惯量自适应调节系数kJi影响动态响应过程中惯量自适应调节的变化范围及系统动态响应过程中的调节速度,其设计及优化主要考虑系统稳定性的惯量取值范围限制以及基于系统动态性能需求的控制系数寻优过程。由图5可分析J、D变化对系统稳定性的影响趋势,并初步确定欠阻尼状态下的J、D取值范围。为更直观地展示J、D对系统稳定性的影响,便于进行精准的参数设计,在较大范围内(0<J<6 kg·m2,0<D<50 N·m·s/rad)遍历J、D,基于式(5),根据系统的Bode图获取相应的相位稳定裕度γ,并绘制不同J、D取值下γ三维曲面图如图8所示。
图8 不同J、D取值下的相位稳定裕度
Fig.8 Phase angle stabilization margins for different J, D values
由图8可见,J较小时系统整体稳定裕度较大,在固定γ限制下阻尼D可调空间更大。在实际工程中,为了保持系统有一定的稳定裕度[20],依照经验相位裕度γ应该大于30°,可根据图8对J、D取值范围进行进一步限制。
同时依据鲁汶大学所设计的VSG控制策略[17],惯量范围为
(13)
对式(6)进行等效变换,结合我国的电网标准GB/T 15945—2008,逆变器正常工作条件下其偏差应在±1%以内,即±0.5 Hz,可对惯量变化下限限制[31]为
(14)
故综合上述分析,将惯量J的变化范围限制在0.3~2.5 kg·m2,相应的阻尼D受稳定裕度大于30°限制,并结合图6根轨迹分析,需令系统稳定性较佳且不进入过阻尼状态,取Dmax=30 N·m·s/rad,Dmin=8 N·m·s/rad。
接下来参考文献[32],依据ITAE(Integral of Time multiplied by Absolute Error)准则[33],设置目标约束为最小化频率偏差和有功功率偏差加权平方和的积分,并参考文献[33],利用粒子群优化算法处理可行域限制下的极小值求解问题。控制参数优化结果为kJ1=0.1,kJ2=0.1,kJ3=0.01。
下面通过调度指令阶跃上升50 kW工况,依据优化结果进行kJi变化的控制效果的对比验证。除kJi外,其他控制参数及光储系统电路参数均保持一致。kJi不同取值控制效果对比如图9所示。
图9 kJi不同取值控制效果对比
Fig.9 Control effect for different values of kJi
由图9可知,kJ1取值过大时,J自适应变化范围会越限,系统稳定性将受到影响。同时,kJ1上调0.4时,频率超调虽有小幅减少,但动态过程中响应速度也存在减缓趋势。kJ1取0.02时,对J与频率调节几乎无影响。kJ1参数敏感度不高,取值过程中需注意取值过大导致J越限的情况。kJ2较kJ1更灵敏,其取值上调0.1时J已越限并接近3.5,频率响应时间与响应速度也明显减缓。kJ2取值下调至0.02时,动态响应过程中惯量明显减小,频率超调相应增加,动态性能变差。kJ2作为dω/dt项前自适应系数,在动态过程中,由于dω/dt变化幅度大,kJ2敏感度较高。kJ3主要影响J0之下的调节过程,因其可调区间很小,kJ3需设置较小值。根据式(6)分析,相较kJ3=0,此处选取kJ3=0.01,可在频率已经恢复时减小J,以提高系统对功率波动的阻尼程度。kJ3较大时,J向下越限,不符合设计要求,同时频率调节时间也有一定增加。因此经仿真结果对比分析,此处自适应参数取值是合理可行的。
本节验证光储联运控制、混合储能功率分配管理的有效性,对比分析所提协调自适应策略在暂态过程中抑制有功功率振荡频率波动,提升动态性能的先进性、所提策略在网侧频率扰动下减小有功功率稳态误差的先进性及所提策略对于不同电网强度的适应性。为此,分别设置负荷投入/切离、网侧频率电压扰动、有功功率调度指令变化等常见的分布式场景暂态工况,并将所提策略的控制效果与传统自适应控制策略[19]及VSG欠阻尼控制模式进行对比分析。
下面搭建单台基于协调VSG自适应策略的光储并网发电系统Matlab/Simulink仿真模型,并将其接入380 V低压配电网进行验证测试。低压配电网对暂态扰动及分布式能源接入响应灵敏,有助于剖析所提策略下分布式能源主动惯性阻尼支撑能力及不同工况下的作用效果。逆变器输出功率额定值为100 kW,系统主要仿真参数设计见表2。
表2 VSG参数设计
Tab.2 VSG parameter design
电路参数数值控制参数数值 直流侧电压Vdc/V1 500J0/(kg·m2)0.5 电网线电压/V380D0/(N·m·s/rad)15 额定频率f/Hz50TJ1, TJ20.5,0.8 滤波电感Lf/mH4Kf0.6×105/(2π 线路电感Lg/mH1.2kJ1, kJ2, kJ30.1,0.1,0.01 滤波电容Cf/μF10CD, CJ1, CJ20.5,0.3,1.5
设置初始状态本地负荷为100 kW,0.5 s时刻投入负荷30 kW,1 s时全部切除。最大功率点跟踪(Maximum Power Point Tracking, MPPT)控制下光照维持较强状态,Ppv保持约145 kW,即Ppv>Pe,根据式(1),储能系统处于充电状态,消纳|Pe-Ppv+Ploss|部分的功率。根据1.2节HESS功率分配控制策略,待平抑功率始终大于蓄电池额定功率(30 kW),因此蓄电池以额定功率充电,负荷扰动改变造成的短期快速功率缺额由超级电容补充。
负荷投切扰动仿真测试如图10所示。30 kW负荷投切扰动工况下,如图10a所示,所提协调自适应策略下逆变器功率明显表现出较快的恢复稳定速度和较小的功率振荡强度,系统整体稳定性较佳如图10b所示,协调自适应策略在负荷扰动时频率偏离速度较慢,在负荷扰动结束后快速恢复额定值,且能减小频率超调至0.085 Hz(较欠阻尼模式减小约28%,较传统自适应减小约20%)。因此在应对更大的负荷投切扰动时,协调自适应策略将频率波动偏差值限制在±0.5 Hz的电网标准规定范围内将更有保障。如图10c所示,协调自适应J、D变化不存在尖峰毛刺及频繁调节的现象,相较于传统自适应策略,惯性环节作用下转动惯量增速较缓,符合2.4节与HESS工作特性相匹配的设计要求。如图10d~图10g混合储能系统运行状态所示,蓄电池按照预设规则以Pbat-N充电,提供低频基础功率,超级电容补充负荷投切引起的中高频功率缺额。储能装置荷电状态均维持在20%~80%的正常工作范围内。可以验证在所提控制策略下,负荷扰动结束后的恢复期中,超级电容功率下降、上升变化速率较缓,储能系统与VSG系统动态特性不匹配的问题有所改善。负荷投切下HESS出力曲线均有波动,采用协调自适应策略后储能功率波动明显减小,降低了对储能设备调节频率和幅度的需求,有助于提升效率、延长其使用寿命。如图10i所示,HESS保证直流母线两侧功率平衡,直流母线电压在暂态过程中轻微波动后仍能保持1 500 V。
图10 负荷投切扰动仿真测试
Fig.10 Load shedding disturbance simulation test
设置0.6 s时刻电网频率下降0.1 Hz并在2.2 s恢复到额定值,对比不同策略下VSG参与一次调频的功率响应情况。增设D=0、J自适应控制模式,该模式不存在稳态功率误差,故将其作为分析基准。系统有功-频率下垂系数Kf设置为0.6×105/(2π),即根据式(3),频率下降0.1 Hz时,若无功功率稳态偏差VSG应按照设定增发有功功率6 kW。
网侧频率扰动仿真测试如图11所示,D=0、J自适应模式下增发功率6 kW,与理论分析一致。传统自适应策略仅关注有功频率动态特性,故D维持在较大值。而所提自适应策略设置阻尼在经过一次调频达到新的平衡后(即df/dt≈0)减小至D0,并在扰动结束后继续减小至Dmin,从而减小功率稳态误差并使频率快速恢复额定值。所提策略相较传统自适应策略减小功率稳态偏差46.7%,相较欠阻尼模式减小功率稳态偏差26.6%,有效地提升了构网支撑控制功率响应的精准性,避免因响应过度或不足影响电力系统稳定性。且增发功率由储能系统提供,该策略可以避免不必要的能量浪费,提高能源使用效率。
图11 网侧频率扰动仿真测试
Fig.11 Network-side frequency perturbation simulation
同时,根据频率响应曲线对比,所提策略可以减小暂态频率波动和超调,提升对电网频率的支撑能力。
为对比验证所提策略在网侧电压跌落的工况下有较好的动态特性和稳定性,设置0.5 s网侧电压下降0.2(pu),并在1 s时恢复,仿真结果如图12所示。
图12 网侧电压扰动仿真测试
Fig.12 Network-side voltage perturbation simulation
在网侧电压跌落20%的工况下,VSG的有功功率和无功功率输出出现波动,采用改进策略后,输出功率的波动较小。VSG具备了类似同步发电机的一次调压特性,能够提供无功功率支撑,输出相电压幅值从311 V下降至285 V,并能在扰动结束后恢复稳定。在频率波动控制上,改进后的VSG频率超调为0.044 Hz(较欠阻尼模式减小约40.5%,较传统自适应减小约21.4%),改进策略频率调节时间为0.19 s(较欠阻尼模式减少约48.4%)。
新型分布式光储并网要求具备按照有功功率调度指令进行自动调节的响应能力[8]。设置有功功率调度指令Pref在0.5 s时由100 kW增加至120 kW的工况,将不同控制策略的控制效果进行对比分析。此外,鉴于新能源聚集区域普遍采用集中式大规模开发,并与远距离高压输送相结合的模式,该区域电网具有网架结构相对薄弱、缺少常规电站支撑的特点,这将可能导致出现弱电网甚至极弱电网[34]。故本文同时验证电网强度场景改变时,所提策略是否存在控制性能弱化、场景适应度不足的问题。工程中,通常利用短路比(Short Circuit Ratio, SCR)衡量交流侧系统的强弱,定义SCR为PCC处短路容量与并网系统额定容量的比值。将输电线路等效简化为纯感性,通过调整线路等效电抗Xg模拟电网强弱程度(
)[35]。本文设置极弱电网场景SCR=1.5,Lg=4.6 mH;弱电网场景SCR=3.0,Lg=1.84 mH;强电网场景SCR=8.5,Lg=0.58 mH分别进行有功功率调度指令响应的仿真测试。
有功功率调度指令改变仿真测试如图13所示。根据传统J、D固定欠阻尼模式的控制效果可以看出,Pe的动态振荡幅值随SCR的减小而减小,功率调节时间也随之减小;而f的动态波动幅度随SCR的减小而增大。即电网越弱,VSG对功率的阻尼效果表现越强;对于频率的阻尼效果表现越弱。由此可知,本文提出的协调控制策略在不同电网强度下,对于调度指令响应过程中的频率和功率波动,均能提供主动阻尼惯量响应的调节能力,并且相较于传统自适应与固定J、D控制策略能力较强,效果较好,在弱、极弱电网下有功频率的动态特性均有明显提升。传统自适应策略对有功功率超调的抑制有一定效果,但是并不能完全抑制超调现象,与负荷扰动工况类似,此处不再展示。
图13 有功功率调度指令改变仿真测试
Fig.13 Simulation of active dispatch instruction change
基于3.1~3.4节仿真验证,首先,可见在低压配电网测试中,分布式能源能显著优化系统频率的稳定性、强化功率的调节能力,有效地提升配电网运行稳定性,基于电力系统基本原理与相似性准则可合理推知,大量分布式能源以类似方式并网并形成聚合惯量时,将为电力系统惯性提供更加有力的支撑。其次,在弱电网场景下,所提策略也展现出良好的适应性,这具有重要的现实意义。一方面弱电网环境存在诸多不稳定因素,如电压波动大、频率偏差明显等,对外部的惯性支撑需求更为迫切;另一方面,大量分布式能源通过聚合惯量展现的构网型支撑能力在弱电网环境中能够得到更为有效的发挥。
本文旨在分布式光伏大量并网现状下,挖掘光储并网系统的主动构网调节能力,并优化混合储能系统的工作状态。本文采用光伏配合蓄电池、超级电容混储以VSG控制策略并网的结构,设计维持直流母线电压稳定、不平衡功率高低分频的HESS功率控制方案;设计兼顾分布式系统暂态与稳态特性优化且计及储能动态特性的VSG惯量阻尼协调自适应控制策略;最后展开性能分析测试。
1)建立了有功功率闭环小信号模型进行动态特性分析、根轨迹分析及网侧频率扰动下的有功功率稳态误差分析。据此针对抑制VSG功率振荡、频率波动与减小有功功率稳态误差存在矛盾的问题设计J、D协调自适应策略:在D自适应中引入tanh函数以协调改善并网系统动态与稳态特性;在J自适应中引入惯性环节以协调VSG与储能系统动态特性。
2)设置负荷投切、电网频率扰动、调度指令改变工况进行对比分析。光伏混合储能系统按照预设协控规则正确运作。进一步地,所提策略可以兼顾消除VSG功率振荡、减小频率波动并有效减小有功功率稳态误差,弱电网场景适应度较好,可有效地提升分布式系统并网友好性。同时,该策略可以减小储能系统调节频率及速率的需求,提高储能工作效率。
附 录
1. 储能系统的等效惯量分析
虚拟同步机模拟的惯性实质上归功于储能系统中的电势能推导说明。
同步发电机的转子动能
和储能电池的电势能
为
(A1)
为便于分析,分布式光储并网系统进行动态响应过程中若忽略能量损耗,对式(A1)使用能量守恒定律时可推出储能电池的等效惯量Jeq为
(A2)
式中,Cmax为储能电池的最大充放电倍率,限制了单位时间内电池的最大吞吐容量;UCN为储能电池的额定电压;Ceq为额定运行条件下储能电池的等效容值。
(A3)
式中,
、
和
分别为储能电池的额定容量、额定电流和额定充放电时间。
根据式(A3)分析,储能系统的等效惯量受储能电池最大充放电倍率限制,储能系统在实际响应中存在一定延时(源于蓄电池和超级电容的物理特性及控制回路反应时间),这会导致ΔPe的实际供给滞后于VSG控制需求。在实际控制过程中,受储能系统充放电倍率限制,惯量的过快增减并不符合实际运行情况。
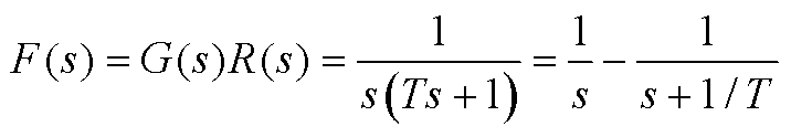
2. 一阶惯性环节延迟特性分析
惯性环节传递函数可表示为
(A4)
以输入为单位阶跃响应为例进行分析,即r(t)=1(t)时,R(s)=1/s,故系统单位阶跃响应的象函数为
(A5)
对F(s)进行拉氏反变换,则有
(A6)
可见一阶惯性环节的输出响应不会立即跟随输入的突变,而是以指数形式逐渐逼近稳态值。这种平滑过渡消除了输入信号突变特性,从而可以实现储能出力的平滑延缓。
3. 本文含惯性环节主动构网自适应策略的动态特性改进优势
正文中已推导VSG有功闭环小信号模型的传递函数,见式(5)。引入含一阶惯性环节惯量自适应规则后,以较复杂的含dω/dt与Dw的第一段分段函数为例进行有功闭环传递函数推导,将Dw和dω/dt用拉普拉斯变换分别表示为Dw(s)与sDw(s),即惯量自适应函数可表示为
(A7)
将式(A7)代入式(5)后传递函数包含非线性项,解析难度大。由于此处自适应策略已通过详细时频域分析进行设计,仅引入惯性环节后,传递函数整体结构未发生变化。因此,可基于式(6)固定惯量的阻尼比推导结果,将J替换为J(s),分析可变惯量情况下的动态特性,以简化推导并保留核心结论。

假设系统频率发生突变,即sDw(s)瞬间增大,但由于惯性环节,
不会立即增大到最大值。此时J(s)相对较小,根据式(A8),阻尼比相对较大,可以抑制系统的功率超调,减少系统在暂态过程中的振荡。借此分析可快速展现本文自适应策略的动态特性改进优势。
参考文献
[1] 黄萌, 舒思睿, 李锡林, 等. 面向同步稳定性的电力电子并网变流器分析与控制研究综述[J]. 电工技术学报, 2024, 39(19): 5978-5994.
Huang Meng, Shu Sirui, Li Xilin, et al. A review of synchronization-stability-oriented analysis and control of power electronic grid-connected converters[J]. Transactions of China Electrotechnical Society, 2024, 39(19): 5978-5994.
[2] 韩肖清, 李廷钧, 张东霞, 等. 双碳目标下的新型电力系统规划新问题及关键技术[J]. 高电压技术, 2021, 47(9): 3036-3046.
Han Xiaoqing, Li Tingjun, Zhang Dongxia, et al. New issues and key technologies of new power system planning under double carbon goals[J]. High Voltage Engineering, 2021, 47(9): 3036-3046.
[3] 赵冬梅, 宋晨铭, 冯向阳, 等. 100%新能源场景下考虑频率稳定约束的源网荷储一体化系统储能优化配置[J]. 电工技术学报, 2025, 40(7): 2146-2161.
Zhao Dongmei, Song Chenming, Feng Xiangyang, et al. The optimal configuration of energy storage in the source-grid-load-storage integrated system considering frequency stability constraints in 100% new energy scenarios[J]. Transactions of China Electrotechnical Society, 2025, 40(7): 2146-2161.
[4] 李达, 张涛. 基于阻抗法的光储逆变器交直流建模及耦合分析[J]. 电工技术学报, 2024, 39(10): 3038-3048.
Li Da, Zhang Tao. Modeling and coupling analysis of DC and grid side of solar-storage inverter based on impedance method[J]. Transactions of China Electro-technical Society, 2024, 39(10): 3038-3048.
[5] 程林, 索克兰, 许鹤麟. 新能源侧电池储能系统运行评价: 现状与展望[J]. 电力系统自动化, 2025, 49(15): 1-19.
Cheng Lin, Suo Kelan, Xu Helin. Operation evaluation of battery energy storage systems at renewable energy side: current status and prospects[J]. Automation of Electric Power Systems, 2025, 49(15): 1-19
[6] 南斌, 董树锋, 唐坤杰, 等. 考虑需求响应和源荷不确定性的光储微电网储能优化配置[J]. 电网技术, 2023, 47(4): 1340-1352.
Nan Bin, Dong Shufeng, Tang Kunjie, et al. Optimal configuration of energy storage in PV-storage microgrid considering demand response and uncertainties in source and load[J]. Power System Technology, 2023, 47(4): 1340-1352.
[7] 王力, 胡佳成, 曾祥君, 等. 基于混合储能的交直流混联微电网功率分级协调控制策略[J]. 电工技术学报, 2024, 39(8): 2311-2324.
Wang Li, Hu Jiacheng, Zeng Xiangjun, et al. Hierarchical coordinated power control strategy for AC-DC hybrid microgrid with hybrid energy storage[J]. Transactions of China Electrotechnical Society, 2024, 39(8): 2311-2324.
[8] 国家能源局. 促进新型储能并网和调度运用[EB/ OL]. (2024-04-02)[2025-01-20]. http://zfxxgk.nea.gov. cn/2024-04/02/c_1310771072.htm.
[9] 郭玲娟, 魏斌, 韩肖清, 等. 基于集合经验模态分解的交直流混合微电网混合储能容量优化配置[J]. 高电压技术, 2020, 46(2): 527-537.
Guo Lingjuan, Wei Bin, Han Xiaoqing, et al. Capacity optimal configuration of hybrid energy storage in hybrid AC/DC micro-grid based on ensemble empirical mode decomposition[J]. High Voltage Engineering, 2020, 46(2): 527-537.
[10] Zhang Lin, Zhang Tianwen, Zhang Ke, et al. Research on power fluctuation strategy of hybrid energy storage to suppress wind-photovoltaic hybrid power system [J]. Energy Reports, 2023, 10: 3166-3173.
[11] Naderi E, K C B, Ansari M, et al. Experimental validation of a hybrid storage framework to cope with fluctuating power of hybrid renewable energy-based systems[J]. IEEE Transactions on Energy Conversion, 2021, 36(3): 1991-2001.
[12] 郑浩, 谢丽蓉, 叶林, 等. 考虑光伏双评价指标的混合储能平滑出力波动策略[J]. 电工技术学报, 2021, 36(9): 1805-1817.
Zheng Hao, Xie Lirong, Ye Lin, et al. Hybrid energy storage smoothing output fluctuation strategy considering photovoltaic dual evaluation indicators [J]. Transactions of China Electrotechnical Society, 2021, 36(9): 1805-1817.
[13] 陶霞, 方东平, 汪莹洁, 等. 基于最大功率点跟踪下垂控制的光储一体化系统研究[J]. 电气技术, 2024, 25(4): 38-46.
Tao Xia, Fang Dongping, Wang Yingjie, et al. Research on integrated photovoltaic and energy storage system with maximum power point tracking based droop control[J]. Electrical Engineering, 2024, 25(4): 38-46.
[14] Liang Shuai, Jin Shi, Shi Long. Research on control strategy of grid-connected brushless doubly-fed wind power system based on virtual synchronous generator control[J]. CES Transactions on Electrical Machines and Systems, 2022, 6(4): 404-412.
[15] 刘欣, 郭志博, 贾焦心, 等. 基于序阻抗的虚拟同步发电机并网稳定性分析及虚拟阻抗设计[J]. 电工技术学报, 2023, 38(15): 4130-4146.
Liu Xin, Guo Zhibo, Jia Jiaoxin, et al. Stability analysis and virtual impedance design of virtual synchronous machine based on sequence impedance [J]. Transactions of China Electrotechnical Society, 2023, 38(15): 4130-4146.
[16] 张宝群, 胡长斌, 马龙飞, 等. 基于小信号稳定性分析的含VSG微电网电能质量主动控制[J]. 电力系统自动化, 2019, 43(23): 210-216.
Zhang Baoqun, Hu Changbin, Ma Longfei, et al. Active power quality control for microgrid with virtual synchronous generator based on small-signal stability analysis[J]. Automation of Electric Power Systems, 2019, 43(23): 210-216.
[17] 宋琼, 张辉, 孙凯, 等. 多微源独立微网中虚拟同步发电机的改进型转动惯量自适应控制[J]. 中国电机工程学报, 2017, 37(2): 412-424.
Song Qiong, Zhang Hui, Sun Kai, et al. Improved adaptive control of inertia for virtual synchronous generators in islanding micro-grid with multiple distributed generation units[J]. Proceedings of the CSEE, 2017, 37(2): 412-424.
[18] 颜湘武, 张伟超, 崔森, 等. 基于虚拟同步机的电压源逆变器频率响应时域特性和自适应参数设计[J]. 电工技术学报, 2021, 36(增刊1): 241-254.
Yan Xiangwu, Zhang Weichao, Cui Sen, et al. Frequency response characteristics and adaptive parameter tuning of voltage-sourced converters under VSG control[J]. Transactions of China Electrote-chnical Society, 2021, 36(S1): 241-254.
[19] 温春雪, 陈丹, 胡长斌, 等. 微网逆变器的VSG转动惯量和阻尼系数自适应控制[J]. 电力系统自动化, 2018, 42(17): 120-126, 183.
Wen Chunxue, Chen Dan, Hu Changbin, et al. Self-adaptive control of rotational inertia and damping coefficient of VSG for converters in microgrid[J]. Automation of Electric Power Systems, 2018, 42(17): 120-126, 183.
[20] 郭潇镁, 李永刚, 周一辰. 基于变权重自适应模型预测控制的虚拟同步发电机调频控制策略[J]. 电工技术学报, 2025, 40(21): 6956-6969.
Guo Xiaomei, Li Yonggang, Zhou Yichen. Virtual synchronous generator frequency regulation control strategy based on variable weight adaptive model predictive control[J]. Transactions of China Electro-technical Society, 2025, 40(21): 6956-6969.
[21] 李明烜, 王跃, 徐宁一, 等. 基于带通阻尼功率反馈的虚拟同步发电机控制策略[J]. 电工技术学报, 2018, 33(10): 2176-2185.
Li Mingxuan, Wang Yue, Xu Ningyi, et al. Virtual synchronous generator control strategy based on bandpass damping power feedback[J]. Transactions of China Electrotechnical Society, 2018, 33(10): 2176-2185.
[22] 朱军, 邓寅曦, 杜少通, 等. 优化储能容量配置的ln基底型VSG自适应控制策略[J]. 电力系统及其自动化学报, 2023, 35(5): 48-55.
Zhu Jun, Deng Yinxi, Du Shaotong, et al. Natural-log-type adaptive control strategy for VSG with optimal energy storage capacity configuration[J]. Proceedings of the CSU-EPSA, 2023, 35(5): 48-55.
[23] 程子霞, 于洋, 柴旭峥. 基于协同自适应控制的光储VSG运行控制研究[J]. 电力系统保护与控制, 2020, 48(24): 79-85.
Cheng Zixia, Yu Yang, Chai Xuzheng. Research on operation control of a photovoltaic system with storage VSG based on cooperative adaptive control[J]. Power System Protection and Control, 2020, 48(24): 79-85.
[24] 赵炳洋, 赵波, 胡娟, 等. 考虑VSG构网储能暂态与稳态优化的自适应策略[J]. 高压电器, 2023, 59(7): 39-47.
Zhao Bingyang, Zhao Bo, Hu Juan, et al. Adaptive strategy considering transient and steady-state optimization of VSG grid-forming energy storage[J]. High Voltage Apparatus, 2023, 59(7): 39-47.
[25] 吴舟, 邹晓松, 袁旭峰, 等. 计及储能动态的VSG惯量阻尼自适应控制研究[J]. 电网与清洁能源, 2020, 36(12): 83-91.
Wu Zhou, Zou Xiaosong, Yuan Xufeng, et al. Research on VSG rotational inertia and damping adaptive control considering energy storage dynamics [J]. Power System and Clean Energy, 2020, 36(12): 83-91.
[26] 孟贤, 郭启蒙, 李颖欢, 等. 考虑双向需求的混合储能容量多目标优化配置[J]. 太阳能学报, 2023, 44(8): 45-53.
Meng Xian, Guo Qimeng, Li Yinghuan, et al. Multi-objrctive optimal configuration of hybrid energy storage capacity considering two-way demand[J]. Acta Energiae Solaris Sinica, 2023, 44(8): 45-53.
[27] 杨帆, 邵银龙, 李东东, 等. 一种计及储能容量和SOC约束的模糊自适应VSG控制策略[J]. 电网技术, 2021, 45(5): 1869-1877.
Yang Fan, Shao Yinlong, Li Dongdong, et al. Fuzzy adaptive VSG control strategy considering energy storage capacity and SOC constraint[J]. Power System Technology, 2021, 45(5): 1869-1877.
[28] 刘志坚, 曾利铭, 王伟铭, 等. 光储经改进VSG的构网型变流器并网系统暂态稳定性分析[J/OL]. 控制工程, 2025: 1-11[2025-01-03]. https://link.cnki. net/doi/10.14107/j.cnki.kzgc.20240865.
Liu Zhijian, Zeng Liming, Wang Weiming, et al. Transient stability analysis of grid-connected system with grid-configuring converter for optical storage via improved VSG[J/OL]. Control Engineering of China, 2025: 1-11[2025-01-03]. https://link.cnki.net/doi/10. 14107/j.cnki.kzgc.20240865.
[29] 杨萍, 陈卓, 罗婷, 等. 基于VSG的光伏发电与混合储能的控制方法[J]. 电网与清洁能源, 2023, 39(2): 83-91, 113.
Yang Ping, Chen Zhuo, Luo Ting, et al. A control method of photovoltaic power generation and hybrid energy storage based on VSG[J]. Power System and Clean Energy, 2023, 39(2): 83-91, 113.
[30] 杨效, 曾成碧, 苗虹, 等. 优化虚拟同步发电机惯量和阻尼的自适应控制策略[J]. 太阳能学报, 2023, 44(11): 495-504.
Yang Xiao, Zeng Chengbi, Miao Hong, et al. Optimizing adaptive inertia and damping control strategy of virtual synchronous generator[J]. Acta Energiae Solaris Sinica, 2023, 44(11): 495-504.
[31] 程静, 胡健雄, 王维庆, 等. 基于虚拟同步机的风-光-储并网系统自适应功频控制策略[J]. 现代电力, 2024, 41(5): 878-885.
Cheng Jing, Hu Jianxiong, Wang Weiqing, et al. Adaptive power frequency control strategy for wind-photovoltaics-storage grid connected system based on virtual synchronizer generator[J]. Modern Electric Power, 2024, 41(5): 878-885.
[32] 袁敞, 王俊杰, 胡嘉琦, 等. 平衡频率与功率振荡的虚拟同步机惯量阻尼参数优化控制[J]. 电力科学与技术学报, 2023, 38(4): 15-23, 56.
Yuan Chang, Wang Junjie, Hu Jiaqi, et al. Optimal control of inertia damping parameters of virtual synchronous machine with balance frequency and power oscillation[J]. Journal of Electric Power Science and Technology, 2023, 38(4): 15-23, 56.
[33] 易建波, 张国洲, 张鹏, 等. 超低频振荡阻尼控制中的水轮机调速系统参数双层优化策略[J]. 电工技术学报, 2022, 37(5): 1219-1228.
Yi Jianbo, Zhang Guozhou, Zhang Peng, et al. Two-layer optimization strategy of hydraulic turbine governing system parameters in ultra-low frequency oscillation damping control[J]. Transactions of China Electrotechnical Society, 2022, 37(5): 1219-1228.
[34] 赵冬梅, 裴建楠, 白俊辉, 等. 弱、极弱电网场景下构网型变流器调频能力提升技术研究[J]. 中国电机工程学报, 2024, 44(增刊1): 215-226.
Zhao Dongmei, Pei Jiannan, Bai Junhui, et al. Research on improving frequency modulation capability of grid-forming converter under weak and extremely weak grid condition[J]. Proceedings of the CSEE, 2024, 44(S1): 215-226.
[35] 曾祥辰, 刘青, 王嘉晨, 等. 弱电网下并网逆变器恒定带宽及稳定裕度的自适应控制策略[J]. 电工技术学报, 2024, 39(9): 2682-2695.
Zeng Xiangchen, Liu Qing, Wang Jiachen, et al. Adaptive control strategy of grid-connected inverters with constant bandwidth and stability margin in weak grids[J]. Transactions of China Electrotechnical Society, 2024, 39(9): 2682-2695.
Abstract This paper focuses on the stability issues of distributed energy integration in new power systems and investigates the implementation of grid-friendly integration strategies using virtual synchronous generator (VSG) with distributed energy and energy storage systems. Considering the expansion of photovoltaic integration in China, which has led to a reduction in the inertia and stability of regional power systems, and the shortcomings of traditional grid-following inverters, the development of grid-forming photovoltaic and energy storage integration strategies is particularly critical.
This paper first discusses the power control strategy of hybrid energy storage system (HESS) based on the working characteristics of optical storage hybrid VSG system and hybrid energy storage system, including constant power control of battery and constant voltage control of supercapacitor, in order to realize the efficient management of energy and the stable control of DC bus voltage. Then, by establishing the VSG active closed-loop small-signal model, the influence mechanism of VSG inertia and damping on the system power dynamic characteristics, stability and steady-state error is analyzed in depth from the perspectives of the analysis of dynamic performance indexes in the time domain, the analysis of root trajectory in the frequency domain, and the analysis of stability margin.
Based on the analysis, the coordinated adaptive control strategy of inertia damping taking into account the dynamic characteristics of energy storage is proposed. Drawing on the synchronous generator power angle characteristics and the angular frequency oscillation process, the interval is divided to formulate the principle of inertia damping change, and through the introduction of hyperbolic tangent function and the inertia link to match, the design of the complete J, D adaptive control strategy makes it dynamically adjusted in accordance with the angular frequency deviation and the angular frequency rate of change in real time in order to comprehensively improve the dynamic and steady state characteristics of the distributed photovoltaic energy storage grid-connected system.
Finally, a single photovoltaic-storage power generation system based on coordinated VSG adaptation was integrated into a 380 V low-voltage distribution network for testing. Multiple simulation scenarios were set up to compare the proposed strategy with traditional adaptive control strategies and the VSG underdamped control mode. The results demonstrate that the proposed strategy rapidly restores stability during load disturbances, reducing power oscillations and frequency overshoot. Under grid-side frequency disturbances, it reduces steady-state power deviation and improves the accuracy of grid-forming support power response. During grid-side voltage disturbances, the output power frequency fluctuation is minimal, and reactive power support is provided to maintain voltage stability. Under different grid strengths, the strategy effectively regulates the active damping inertia response during frequency and power fluctuations in the dispatch command response process, showing strong capability and favorable results. In summary, the proposed strategy effectively leverages the grid-forming regulation capabilities of the photovoltaic-storage integrated system, optimizes the operation of the hybrid energy storage system, and demonstrates significant application potential in emerging power systems with large-scale distributed photovoltaic integration.
Keywords:Hybrid energy storage, adaptive control, optical storage and grid integration system, grid-forming control, virtual synchronous generator
易建波 男,1981年生,博士,副教授,研究方向为广域电力系统分析与控制、智能电网大数据应用技术等。
E-mail:jimbo_yi@uestc.edu.cn(通信作者)
王舒儀 女,2000年生,硕士研究生,研究方向为分布式新能源并网运行及其优化控制。
E-mail:202221040323@std. uestc.edu.cn
中图分类号:TM341
DOI: 10.19595/j.cnki.1000-6753.tces.250181
国家自然科学基金面上项目资助(52277083)。
收稿日期 2025-01-23
改稿日期 2025-05-30
(编辑 赫 蕾)