摘要 干式薄膜电容器因其核心材料——金属化双向拉伸聚丙烯(BOPP)薄膜具备独特的“自愈特性”,被广泛应用于柔性直流输电、新能源发电等高电场强度、高能量密度环境。该文自主搭建了多物理场耦合金属化膜自愈特性测试平台,系统地研究了电、热、力多物理场耦合作用下的自愈特性及其影响机制。研究表明,自愈过程中的电弧会灼烧聚丙烯介质层表面,在自愈蒸发区形成大量碳元素积聚。同时,自愈过程中产生的高温会显著降低金属电极层与聚丙烯介质层之间的附着力,而压强的作用会破坏聚丙烯介质层的聚集态结构,导致结晶度下降。此外,该文构建了多物理场耦合的自愈行为等离子体仿真模型,从理论层面研究了电、热、力多物理场对自愈动态行为的影响机制。模型计算结果表明,当环境温度低于65℃时,温度对自愈过程的促进作用占主导地位,使得自愈面积和自愈数量随温度的升高而增加。然而,当温度超过65℃后,温度对等离子体的促进作用趋缓,同时由于金属电极层和聚丙烯介质层的热膨胀系数不同,其界面结合状况成为主要影响因素。随着金属电极层附着力的下降,等离子体能量难以向径向扩散,导致单点自愈面积减小。此外,压强的进一步耦合会降低等离子体的迁移速率,使其移动速度减缓,且压强越大,等离子体移动速度越慢,从而进一步缩小单点自愈面积。该文研究结果可为优化聚丙烯金属化膜的制造工艺提供理论支撑,并为提升干式薄膜电容器在高电场环境下的性能与可靠性提供重要参考。
关键词:多物理场耦合 自愈特性 金属化膜 等离子体
换流阀是我国柔性直流输电与新能源发电系统的核心部件,而干式电容器则被称为换流阀的“心脏”,其性能会直接影响交直流变换的稳定性和安全性。目前,我国广泛应用的电容器主要包括油浸箔式电容器和干式金属化膜电容器(Metallized Polypropylene Film, MPPF)。相比于油浸箔式电容器,金属化膜电容器因其独特的“自愈性能”[1-5]、体积小、无漏油风险等优势,在新能源行业得到了广泛应用。当前,工业上主要采用双向拉伸聚丙烯(Biaxially Oriented Polypropylene, BOPP)膜[6-7]作为金属化膜的基材。然而在其制备过程中,难以避免地会出现缺陷或低密度区域[8-9],形成“电弱点”。所谓“自愈特性”,就是在电容器的实际运行过程中,电弱点被击穿而产生的击穿电流会释放大量焦耳热,这些热量使击穿点周围的金属层迅速蒸发,从而隔离故障区域并恢复绝缘。整个自愈过程仅持续数微秒,不会影响电容器的正常运行[10]。然而,自愈行为依赖电极蒸发来恢复绝缘,这一过程会导致电极面积减少,从而显著降低电容器的电容量。此外,自愈过程中产生的大量焦耳热还会加速聚丙烯介质的劣化,进一步加快电容器的老化进程。因此,深入研究自愈特性的机理,对于提升金属化膜的自愈能力、优化国产电容器的性能以及延长其使用寿命,具有重要的理论与工程价值。国内外学者已对金属化膜的自愈特性进行了大量研究。J. Kammermaier等于1989年提出基于等离子体和气体动力学的自愈模型,首次将自愈行为与等离子体相关联,并通过扫描电子显微镜(Scanning Electron Microscope, SEM)及能谱仪(Energy Dispersive Spectrometer, EDS)等元素谱分析手段,发现了高温会对聚丙烯介质产生一定程度的烧蚀[11]。V. O. Belko等则搭建电路模型,通过电路拓扑对自愈过程机理进行解 释[12]。J. H. Tortai等利用光谱分析,将自愈产生的电弧进行分解,证明铝离子等金属元素参与等离子体过程[13]。上述学者都主要为自愈的初步数学模型提供了理论支持,但未结合多场耦合作用下自愈特性的试验数据,缺少对于多场耦合(如温度、电场,机械压力)对等离子体行为和自愈特性影响的系统性理论解析。国内学者也对金属化膜的自愈特性进行了大量研究。华中科技大学李化团队搭建多物理场耦合的自愈测试平台,得到了多场耦合下的自愈特性变化规律,并通过仿真分析了安全膜在自愈过程中的作用[14-15]。西安交通大学李志元等通过电容器的自愈试验获得了自愈特性和电容器寿命的函数关系,搭建了新的寿命模型[16]。重庆大学王飞鹏团队在线监测金属化膜电容器的自愈行为,并拆解不同老化时长的电容器,发现了聚丙烯分子链段的老化规律,并将其与自愈特性关联起来,获得了自愈特性的老化机理[17]。国内学者虽然进行了多场耦合试验分析,但未将等离子体理论解析与试验数据进行深入结合,因而未能全面揭示多场耦合作用下自愈特性的内在机制。综上所述,目前的研究或是聚焦对电、热、力多物理场作用下自愈特性的试验规律探索,而缺乏自愈等离子体发展过程的理论研究;或是基于基础电路或等离子体的仿真模型研究,而缺乏对多场耦合作用下自愈特性的系统性试验分析。这些研究未能结合多场耦合试验或等离子体仿真,因而相对片面,不够系统,导致对多场耦合下自愈影响机制的理解不够全面,研究成果难以指导金属化膜的实际制造工艺优化与性能提升,这已成为金属化膜电容器国产化进程中,制约其自愈特性提升的关键瓶颈,亟须深入研究与突破。
本文构建了多物理场耦合条件下的金属化膜自愈特性测试平台,采用浙江南洋科技有限公司提供的电容器薄膜进行试验,系统地研究了电场、电-热耦合以及电-热-力多场耦合对自愈特性的影响规律。通过SEM/EDS、纳米压痕测试及差示扫描量热(Differential Scanning Calorimetry, DSC)分析,探究多场耦合作用对自愈特性的影响机制。同时,建立自愈特性等离子体仿真模型,并结合试验数据进行验证,最终明确电、热、力多场耦合对自愈特性的作用机理。研究成果可为国产化金属化聚丙烯薄膜材料的自愈特性优化提供重要的理论参考。
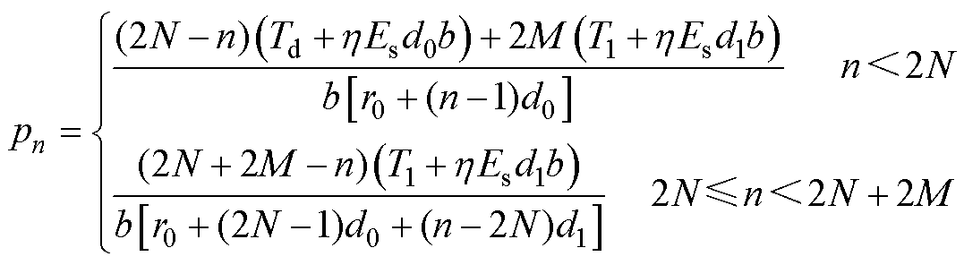
本文自主搭建了多物理场耦合自愈特性测试平台,其中多场耦合自制平台应力施加机构如图1所示,测试时使用浙江南洋科技有限公司商业金属化膜。自愈试验取两片金属化膜交错叠放,重合部位为自愈发生区域,即试验区域。参考标准GB/T 11024.1—2019《标称电压1 000 V以上交流电力系统用并联电容器 第1部分:总则》规定的环境温升效应,并结合Fluent和Comsol仿真分析结果[18-19],综合考虑电容器运行时的温升效应(最大温升为6~11℃)以及介质材料性能变化特征[20-21],确定将25℃作为较低值,70℃为长期连续工作的上限,最终设定试验温度范围为25~95℃,包含工况范围。温度由油浴循环器控制,设定温度分别为25、35、45、55、65、75、85、95℃。基于金属化膜在电容器绕制过程中的卷绕张力和径向层间压强[22],考虑轴向拉伸力及径向层间压力的综合影响,层间压强计算式为
(1)

图1 多场耦合自制平台应力施加机构
Fig.1 Multi-field coupling self-made platform stress application mechanism
式中,pn为第n层金属化膜所受的压强;2N为电容器金属化膜的层数,取2N=5 000;Td为金属化膜拉力值,取Td=4.35 N;h为热收缩率,取h=1.5%;Es为聚丙烯的杨氏模量,取Es=180 N/mm2;d0为基膜厚度,取d0=5.8 mm;b为基膜宽度,取b=50 mm;2M为最外层包裹膜的层数,取2M=40;T1为外层包裹膜所受拉力,取T1=4.35 N;d1为最外层厚度,取d1= 5.8 mm;r0为芯轴直径,取r0=9 mm。
根据实际电容器拆解后的结果,电容器的自愈主要集中在外层,内层的电容损失远小于外层的[23],故选择中外层压强作为试验点,设置0 MPa(深度0%)、0.2 MPa(深度1%)、2 MPa(深度13.2%)、4 MPa(深度24.1%)、8 MPa(深度40.7%)五组压强值进行试验。为了保证压力均匀作用于试验区域,将一块尺寸为3.5 cm×5.5 cm的玻璃块放置在样品上方,使其完全覆盖金属化膜的重叠部分。试验过程中,摄像头实时监测试验区域的自愈现象,以便后续对单个自愈点的面积进行统计分析。多场耦合自制平台测试电路如图2所示,其设备型号见表1。图2中,Cs为试验样品,电压施加方式为直流梯形波,以干式直流电容器额定工作电压2.8 kV为基准,升压速率参考标准GB/T 13542.2—2021《电气绝缘用薄膜 第2部分:试验方法》设置为100 V/s,升到4 kV后稳定20 s,整个加压时间控制在1 min。该设置范围包含工况,能够有效地复现实际工况下的自愈特性。当样品发生自愈现象时,脉冲自愈电流流经采样电阻,并触发示波器的记录动作,同时摄像头会捕捉自愈点的发生位置,实现对自愈点面积及电流/电压波形的同步记录。自制平台测得典型波形如图3所示,自愈能量Wsh计算公式为
(2)
式中,U(t)为自愈电压波形;I(t)为自愈电流波形。
试验主要包括三个部分:单一电场作用、电-热耦合作用,以及电-热-力耦合作用。单一电场作用:试验在室温(常温)条件下进行,压强设定为0 MPa,仅施加电场以研究其对自愈特性的影响;电-热耦合作用:在不同温度条件下进行试验,但仍保持压强为0 MPa,以探究电场与温度的耦合作用对自愈行为的影响;电-热-力耦合作用:在不同温度和压强条件下进行试验,使电场、温度和压强三种物理场共同作用,分析其对自愈特性的综合影响。
图2 多场耦合自制平台测试电路
Fig.2 Multi-field coupling self-made platform test circuit
表1 自制平台设备型号
Tab.1 Self-made platform parameters
设 备型 号 信号发生器RIGOL DG5071 功率放大器Trek Model 675 稳压电容PULOM PCG-10kV-1 高压探头HVP3220A 瞬态电压抑制二极管(TVS)2R075TB 气体放电管DIP350 示波器TELEDYNE HDO6054 油浴循环器Guo Hui JW-0510 万能拉力机DR-502AS
图3 自制多场耦合平台测得典型自愈波形
Fig.3 Typical self-healing waveforms measured by self-made multi-field platform
单一电场作用下的自愈特性如图4所示。从图4可以看出,在单一电场作用下,自愈现象大量发生的起始电压约为2 kV。随着电压的升高,自愈面积和自愈能量均呈现非线性增长趋势,即电压越高,自愈能量和面积越大,对薄膜的破坏作用也越显著。这种非线性增长关系表明,自愈过程的动态行为在电压升高的过程中不断变化,且并非由单一机理主导,而是可能涉及多种物理机制的耦合作用。
图4 单一电场作用下的自愈特性
Fig.4 Self-healing properties of a single electric field
在单一电场作用的基础上,进一步耦合温度场进行自愈特性测试,试验结果如图5所示。为了更直观地展现电-热耦合作用下自愈特性的变化规律,选取了25、45、65、75、95℃五个温度点进行散点图分析。图5表明,在电-热耦合作用下,自愈特性与电压整体呈非线性增长关系。同时,自愈能量和自愈面积随温度变化呈现先升高后降低的趋势,其中65℃时达到峰值。当温度为65℃、电压为3.5 kV时,自愈能量和自愈面积分别为57.9 mJ和40.1 mm2,分别达到相同电压条件下25℃和95℃的2.8倍和3.8倍。这一现象表明,温度对自愈行为的影响存在变化,在一定温度条件下,其对自愈现象起促进作用,但过高的温度可能会减小自愈特性的能量释放。
图5 电-热耦合下自愈特性与电压的关系
Fig.5 Relationship between self-healing characteristics and voltage under the coupling of electricity and heat
为了进一步分析电-热耦合下自愈特性的变化规律,对25~95℃范围内所有样品的自愈数量和自愈能量进行柱状图统计分析,如图6所示。图6结果表明,自愈数量和自愈能量随温度的变化呈现“钟形”曲线关系,在65℃时达到峰值。其中,65℃条件下的自愈数量达到每样品37个,达到25℃和95℃的3.08倍。这意味着温度在一定程度上会加剧自愈特性对薄膜的破坏作用,但随着温度持续升高又会降低自愈对薄膜的破坏。
图6 电-热耦合下自愈特性与温度的关系
Fig.6 Relationship between self-healing characteristics and temp erature under the coupling of electricity and heat
在电-热耦合场的基础上再增加机械压力,形成电-热-力耦合场,在三种物理场耦合下进行金属化膜自愈特性测试,测试结果如图7所示。从图7可以看出,在45℃、65℃和95℃三种温度条件下,自愈能量均随压强的增加而减小。然而值得注意的是,即使在不同压强下,自愈能量仍然呈现随温度先升后降的趋势。其中,在2 MPa、3 kV条件下,自愈能量在65℃时达到约8 mJ,是相同压强下45℃的2倍、95℃的3倍,进一步验证了65℃是自愈特性最显著的温度点。这表明,机械压力的加入在一定程度上削弱了温度对自愈特性的影响,但并未改变温度对自愈特性的核心影响机制。图7还展示了不同压强下单个自愈点面积的变化,可以看出,随着压强的增加,自愈面积在不同温度下都大幅下降,在65℃、3 kV条件下,0 MPa的自愈面积约为15.6 mm2,到8 MPa时,自愈面积仅有0.1 mm2左右,下降了99.36%。但值得注意的是,自愈面积同自愈能量一样呈现随温度先升后降的趋势。在0 MPa、3 kV条件下,自愈面积在65℃时达到约15.6 mm2,是相同压强下45℃的1.2倍、95℃的2倍。同时,统计不同温度下电-热-力耦合下的自愈数量可知,三者的自愈数量都随着压强的增大而增多,意味着压强可能对薄膜的结构造成破坏,致使自愈点增多。此外,自愈形貌的测试结果如图8所示,整体变化趋势与自愈能量变化一致。在不同温度条件下,单个自愈点的面积均随着压强的增大而减小。这可能是由于更高的机械压力抑制了等离子体在自愈过程中向外扩散的能力,导致局部能量分布更集中,从而减少了自愈区域的扩展范围。
图7 电-热-力耦合下的自愈特性
Fig.7 Self-healing properties under the coupling of electricity, heat and force
图8 电-热-力耦合下的自愈形貌
Fig.8 Self-healing morphology under the coupling of electricity, heat and force
对单一电场作用下的自愈点进行SEM/EDS元素扫描,结果如图9所示。从SEM结果可以看出,自愈区域存在明显的烧蚀现象,这表明自愈过程中产生的等离子体电弧具有极高的温度。同时,EDS元素分布分析显示,碳元素在自愈区域内发生聚集,这表明高温电弧对聚丙烯薄膜表面造成了灼烧,使自愈区域表面发生炭化。此外,由于自愈电流流经金属层,焦耳热作用导致大量金属元素蒸发,使得自愈表面出现金属元素的空缺。值得注意的是,在自愈区域内也检测到一定含量的氧元素,而聚丙烯薄膜本身并不含氧元素。这主要是金属层表面的氧化层,这些金属氧化物可能在自愈机制中发挥了一定的作用[23]。
图9 自愈点表面SEM/EDS元素扫描分布
Fig.9 SEM/EDS element scanning distribution on the surface of self-healing points
将金属化膜样品放入恒温箱中,分别在25℃、45℃、65℃、95℃的恒温环境中处理10 min。然后,对不同温度处理后的金属化膜进行金属层附着力的纳米划痕测试。纳米划痕测试是通过纳米针头在金属化膜的金属层面划痕,针头的纵向力随着横向移动逐渐线性增大,并采用划痕仪实时记录针头的受力状态。当针头在划动过程中出现剧烈波动时,表示金属层与介质层发生剥落,此时针头所受到的横向阻力即为金属化膜金属层的附着力。图10展示了不同温度处理后的纳米划痕测试图像(划痕方向从左至右)。
图10 不同温度处理后纳米划痕测试图像
Fig.10 Nanoscratch test images after different temperature treatment
不同温度处理后,划痕针尖运动状态如图11所示。经不同温度处理后的金属化膜呈现明显不同的附着力变化。随着温度的升高,金属化膜的附着力逐渐下降。当温度为25℃(室温)时,附着力对应针尖负载为96.14 mN;而当温度升高至95℃时,附着力对应针尖负载降至49.74 mN,下降幅度达到48.3%。这种下降现象可归因于金属电极层与聚丙烯介质层之间的热膨胀系数不同[24]。随着温度的升高,金属层与介质层之间的结合力减弱,附着力下降。
图11 不同温度处理后划痕针尖运动状态
Fig.11 Motion state of scratch tip after different temperature treatment
同时,为了进一步探讨压强对自愈过程机理的作用,将金属化膜分别置于0.2、2、4、8 MPa的不同压强下处理10 min,并对处理后的金属化膜进行DSC测试,结果如图12所示。DSC测试方案为:将约5 mg薄膜样品置于氮气气氛中进行测试,载气流量为50 mL/min。首先升温至50℃并保持10 min以消除样品的历史热影响;其次,按15℃/min的速率升温至220℃,记录样品的结晶曲线;然后,再次升温至200℃,获取样品的熔融曲线。结晶度计算方法如下:将图12中的熔融峰曲线积分得到熔融焓,根据式(3)计算得到结晶度Xc。
(3)
式中,DHm为通过熔融峰曲线积分得到的熔融焓;DH为结晶度为100%时BOPP材料的熔化焓,本文取DH=209 J/g[25]。
图12 不同压强处理下金属化膜DSC曲线
Fig.12 DSC curves of metallized films under different pressures
从图12可以看出,压强对金属化膜的分子结构存在破坏作用。随着压强的增大,金属化膜的结晶度逐渐下降。当压强为0.2 MPa时,金属化膜的结晶度为57.4%;而当压强升高至8 MPa时,结晶度下降至30.3%,下降幅度达47.2%。当受到高压时,外部压力会对BOPP产生压缩作用。这种压缩会导致分子链之间的距离缩小,从而改变它们的排列方式。在高压下,特别是短时间内施加的压力,可能会破坏原有的晶体结构,导致链段从有序状态转变为无序状态,这就是结晶度下降的原因。同时,高压强可能产生剪切力或其他形式的机械应力,这些应力会打断分子链之间的氢键和其他弱相互作用力,使得原本紧密排列的晶格结构变得松散,从而降低结晶度。另外,压力释放后的滞后效应导致即使解除压力后,材料也可能无法完全恢复到原来的结晶状态。这是因为分子链需要重新排列形成新的晶格,这个过程需要一定的时间和能量,而在短时高压作用下,这种重组可能无法完成。
结晶度的下降会导致聚丙烯材料内部的微观结构发生显著变化。具体而言,随着结晶度的降低,聚合物分子链之间的规整排列程度减弱,晶体区域面积减少,取而代之的是非晶区的比例增加。这种结构上的转变使得材料内部出现更多不规则、松散的分子链区域。在这些低密度区域内,由于分子排列较为无序和疏松,电场分布更容易出现畸变。特别是在金属化膜承受电压时,这些非结晶区域成为了薄弱环节。由于局部电场强度增加,容易导致介质材料中产生更多的“电弱点”——材料内部的微小缺陷或不连续性[26]。当电压超过一定阈值时,这些电弱点会优先发生局部击穿现象,金属化膜的自愈点数量就会增加。这也解释了随着压强的增大,金属化膜的自愈点数量会增加的现象。但是,由于高压强对金属等离子体的抑制作用,使得高压强下单个点的自愈面积和能量大幅下降,电弧熄灭得更快。
BOPP金属化膜是一种将PP粒料熔融后拉伸至厚度仅为5.8 mm的超薄膜,此时聚丙烯球晶被拉伸,球晶形状消失,仅剩下片晶的堆叠(球晶直径约为数十mm)[27]。不同压强处理下金属化膜晶体偏光结构如图13所示,随着压强的增高,堆叠的片晶不断地互相挤压,堆叠边界沟壑也明显增多,并且8 MPa下在片晶堆叠的边界甚至有大量扭曲的现象,说明压强会对聚丙烯的结晶结构产生挤压和扭曲,结合DSC测试结晶度下降的结果来看,压强的增高确实会破坏聚丙烯膜的凝聚态结构。
图13 不同压强处理下金属化膜晶体偏光结构
Fig.13 Polarized structure of metallized film crystal under different pressures
为深入揭示多物理场耦合作用下金属化膜的自愈机制,进行金属化膜自愈特性等离子体仿真计算,模型示意图如图14所示,以两层金属化膜为仿真对象,进行单点自愈特性等离子体计算。仿真用软件为Comsol Multiphysics 6.2,为简化计算过程,将模型设定为二维轴对称。采用的物理场接口为电磁场、流体场、层流、固体传热模块。将聚丙烯介质层厚度设置为5.8 mm,金属电极层厚度设置为100 nm,材料为纯铝,等离子体发展时间设定为10 ms,选取发展中期典型时刻5 ms表征等离子体分布特征。在仿真模型中已将聚丙烯介质层和金属层的导热系数分别设置为0.35 W/(m·K)和237 W/(m·K),同时设置热对流参数为20 K/m。物理假设:在金属化膜电磁模型中,不考虑金属逼近纳米尺度的尺寸效应,金属性质不发生变化,仍遵循麦克斯韦方程组;在等离子体模型中,采用磁流体动力学,忽略黏性效应、重力效应和表面张力,即带电粒子迁移不出现阻碍,按设定迁移率移动。边界条件中,输入/输出条件为流体流动中的进/出口压力,固壁边界处理为不考虑滑移、固定或其他特殊条件。同时,初始条件为25℃和室温湿度,温度场和电场均一分布。为方便计算,网格划分使用结构化网格,在等离子模型中对聚丙烯和金属电极界面处关键区域进行网格细化。采用用户控制整体网格密度和单元畸变程度来简化计算并结合自适应网格调整,收敛判据为10-3。
图14 自愈等离子体模型示意图
Fig.14 Diagram of a self-healing plasma model
模型主要动力方程如下所示。
1)电磁场
(4)
式中,J为传导电流密度;H为磁场强度;B为磁感应强度;A为磁矢势;E为电场强度;V为电位;s为等离子体电导率;v为带电粒子迁移速度;Je为电荷运动等效电流密度。
2)流体传热
(5)
式中,r为等离子体密度;cp为等离子体比热容;u为流体流速;T为温度;Q为热源;q为热功率;k为导热系数。
3)层流
(6)
式中,p为等离子体内部压强;m为动力黏度;I为单位矩阵;F为洛伦兹力。
对于图14中边界1~4,其边界条件具体如下所示。
1)边界1代表上层金属电极层上表面,有
(7)
2)边界2代表上层金属化膜电极层施加电压。
3)边界3代表金属电极层和聚丙烯介质层之间的热传导,即
(8)
式中,Qb为界面等效热源。
4)边界4代表下层金属化膜电极层接地,即
(9)
式中,U为电压。
主要参数设置见表2。
表2 主要参数设置
Tab.2 Main parameter setting
参 数数 值 s/(S/m)1.2×104 r/(kg/m3)1 cp/[J/(kg·K)]1.1×104 施加电压/kV3 Q/(W/m3)2.5×1010 k/[W/(m·K)]4 m/(Pa·s)2.66×10-4
不同电压下等离子体模型电子温度分布如图15所示。从图15中可以看出,等离子体的发展与电压并非呈线性关系。当电压为1 kV时,最高电子温度为2 652 K;当电压增至1.5 kV时,最高电子温度上升至2 826 K;而当电压继续增至2 kV时,最高电子温度则达到3 760 K。尽管电压是线性增加的,但电子温度的变化并非如此,呈现非线性增长的趋势,即增长初期较为缓慢,随后加速。等离子体模型的计算结果很好地印证了自愈特性与电压之间呈现非线性增长的关系。等离子体的发展过程类似于“电子崩”的现象[28-30],即起始电压的升高会非线性地提高带电粒子的生成速度。
图15 不同电压下等离子体模型电子温度分布
Fig.15 Electron temperature distribution of plasma model at different voltages
将等离子体模型进行电、热耦合计算。首先,计算了单一环境温度对等离子体发展的影响,当环境起始温度从25℃(室温)升高至95℃时,等离子体电子温度计算结果如图16a~图16d所示。随着环境温度的升高,等离子体的最高电子温度迅速上升。当温度为25℃时,最高电子温度为2 652 K;而当温度升高至95℃时,最高电子温度为3 652 K,增加了37.7%。同时,附着力测试结果表明,温度的升高也会导致金属电极层与聚丙烯介质层之间出现剥落,从而影响热传导过程中的界面热通量。界面结合越好,两种物质之间的热流传递越高。随着温度升高,金属电极层和聚丙烯介质层出现剥落,导致界面热通量变差[31-33]。因此,首先单一改变界面热通量,并计算了相应的结果,如图16e~图16h所示。结果表明,热通量的变化对等离子体的最高电子温度影响较小。当热通量为500 W/mm2时,最高电子温度为3 412 K;当热通量降至50 W/mm2时,最高电子温度为3 491 K,增长幅度仅为2.3%。这表明,热通量的变化对等离子体温度的提升效果并不显著。
图16 电、热耦合等离子体电子温度计算结果
Fig.16 Calculation results of electron temperature in plasma model of electrically and thermally coupled
将单一环境温度和单一界面热通量作用的计算结果以及二者耦合作用的最高电子温度统计在图17中。可以观察到,温度的影响在65℃以上逐渐减弱。然而,值得注意的是,在图16e~图16h中,等离子体的温度分布发生了显著变化。金属电极层的剥落导致高热阻(低热通量),使得等离子体的高温区域变得更加集中。当热通量下降至100 W/mm2时,径向和轴向辐射的热量大幅减少,高温区域向外扩散的范围显著缩小。
图17 电、热耦合最高电子温度统计
Fig.17 Electrical and thermal coupling maximum electron temperature statistics
将环境温度和热通量的耦合效应结合在一起,可以很好地解释自愈试验中自愈能量和自愈面积随着温度先升后降的现象。当温度从25℃(室温)开始升高时,环境温度的提高使得等离子体快速发展,且此时金属电极层与聚丙烯介质层之间的界面结合未发生显著变化,热通量的变化也在较小范围内,因此温度成为决定等离子体发展的主要因素,高温区域的扩散是非常明显的,如图16i和图16j所示,红色区域大幅扩大,这就会导致电子能量大幅向外扩散,引起更多金属电极层的蒸发,带来更大的自愈能量。随着温度进一步升高,温度对等离子体发展的促进作用减弱,等离子体的最高电子温度趋于稳定。然而,由于金属电极层与聚丙烯介质层的热膨胀系数不同,高温使界面出现一定程度的脱落,导致两种物质之间的界面热阻显著提高,热量无法有效地径向向外传递,尽管最高电子温度仍在升高,但是电子能量的外扩现象被限制,意味着尽管等离子体核心温度上升,但是等离子体能量对径向金属层蒸发的影响变小,这就会导致自愈蒸发面积减小,自愈能量也随之下降。在这种情况下,界面热通量成为主导因素,因此在95℃时,尽管温度较高,但自愈面积反而减小。
最后,将压强耦合至等离子体模型中,为了清晰地展示等离子体的演化过程,本文采用离子运动速度作为展示。电-热-力多物理场耦合仿真计算结果如图18所示,最低压强设定为约0.1 MPa(一个标准大气压),最高设定为8 MPa,符合试验条件。从图18中可以明显看出,等离子体的最大迁移速度随着压强的升高而持续下降。这是因为压强增大后,类似于电子的“自由平均行程”减小,等离子体的移动速度变慢,导致能量产生的减少,无法维持自愈电弧,从而自愈电流减小[34-37]。这一现象可以用来解释压强增大后自愈面积减小的原因。尽管压强的增加会降低单个自愈点的能量,但它同样会对聚丙烯介质层造成一定程度的破坏,进而增加金属化膜的“电弱点”。这些“电弱点”会使金属化膜的电气性能下降,并可能对运行中的干式金属化膜电容器造成严重的影响。
图18 电-热-力耦合等离子体计算结果
Fig.18 Calculation results of electrically, thermally and mechanically coupled plasma
为了证实等离子体仿真模型的准确性,将模型计算得到的自愈面积与试验结果在四种典型温度下进行比对。将二维轴对称模型计算温度超过2 327℃(金属铝沸点)的长度记为r,并设为自愈蒸发半径,则自愈面积S计算公式为
(10)
将实验条件参数代入模型计算,得到多场耦合等离子体模型自愈面积与试验单点自愈面积对比如图19所示。图19中,自愈面积呈两段式分布,分别为较低电场强度下的少发自愈区域和较高电场强度下的多发自愈区域。当电场强度低于金属化膜的平均击穿强度时,自愈为金属化膜生产过程中产生的零星电弱点的击穿现象,此时的自愈偏向于缺陷型自愈,低场强下的自愈依赖薄膜中的电弱点,所以数量较少;而随着电压不断升高,此时的电场强度高于金属化膜的击穿场强,自愈偏向于金属化膜的本征自愈,不再依赖薄膜的缺陷,自愈的数量也就大幅增多,呈现密集的现象。同时可以看到,模型计算自愈面积与试验数据在四种耦合条件下吻合较好,比较可靠。
图19 多场耦合等离子体模型自愈面积与试验单点自愈面积对比
Fig.19 Self-healing area of multi-field coupled plasma model compared with the self-healing area of experimental single point
本文研究了电-热-力多物理场耦合对金属化膜自愈特性的影响机制,以及自愈行为中等离子体的发展过程,主要得出以下结论:
1)在单一电场作用下,自愈能量与面积呈非线性增长关系。当引入电-热耦合作用时,温度对自愈的影响呈现先增加后减少的趋势,并以65℃为临界点。当温度低于65℃时,温度促进自愈;高于65℃时,温度抑制自愈。此外,施加压强会减小单点自愈面积,但增加自愈次数。
2)自愈行为会导致聚丙烯表面灼烧、炭化及碳元素聚集。高温会降低金属与聚丙烯的附着力,而高压强会破坏聚丙烯膜分子链结构,导致结晶度 下降。
3)在电压作用下,等离子体发展呈非线性增长。低温时由环境温度主导,促进等离子体发展;高温时界面热通量影响增大,径向扩散减缓。压强增加则会抑制等离子体的扩展速度和径向扩散。
参考文献
[1] Brown R W. Linking corrosion and catastrophic failure in low-power metallized polypropylene capacitors[J]. IEEE Transactions on Device and Materials Reliabi- lity, 2006, 6(2): 326-333.
[2] Ma Yusheng, Shen Haitao, Pei Chunming, et al. Detection of self-healing discharge in metallized film capacitors using an ultrasonic method[J]. Electronics, 2020, 9(11): 1893.
[3] Charlton C B, Shen T E. Plastic-film-dielectric capaci- tors[J]. Proceedings of the IEE-Part B: Electronic and Communication Engineering, 1962, 109(22S): 476-487.
[4] Yang Ying, Huang He, Wang Fang, et al. Study on microstructure and its correlation with sheet resis- tance of Zn-Al metallized film[J]. Surface Engineering, 2021, 37(8): 1051-1058.
[5] Wu Zhiyuan, Huang Lei, Zhong Shaolong, et al. Nano- scale electron transfer mechanism in metallized polypro- pylene films[J]. Nanoscale, 2025, 17(16): 10334-10343.
[6] Wang Tianyu, Liu Cheng, Li Dayu, et al. Nano ZnO/ epoxy coating to promote surface charge dissipation on insulators in DC gas-insulated systems[J]. IEEE Transactions on Dielectrics and Electrical Insulation, 2020, 27(4): 1322-1329.
[7] Wang Tianyu, Li Xiaofen, Zhang Boya, et al. Basic reason for the accumulation of charge on the surface of polymer dielectrics[J]. Science China Materials, 2022, 65(10): 2884-2888.
[8] 章妙. 金属化膜电容器自愈特性研究[D]. 武汉: 华中科技大学, 2012.
Zhang Miao. Study on the characteristics of self- healing in metallized film capacitor[D]. Wuhan: Huazhong University of Science and Technology, 2012.
[9] Zeng Fuping, Wu Siying, Yang Xu, et al. Fault diagnosis and condition division criterion of DC gas insulating equipment based on SF6 partial discharge decomposition characteristics[J]. IEEE Access, 2019, 7: 29869-29881.
[10] Sclavons M, Carlier V, De Roover B, et al. The anhydride content of some commercial PP-g-MA: FTIR and titration[J]. Journal of Applied Polymer Science, 1996, 62(8): 1205-1210.
[11] Kammermaier J, Rittmayer G, Birkle S. Modeling of plasma-induced self-healing in organic dielectrics[J]. Journal of Applied Physics, 1989, 66(4): 1594-1609.
[12] Belko V O, Emelyanov O A, Ivanov I O, et al. Self- healing processes of metallized film capacitors in overload modes: part 1: experimental observations[J]. IEEE Transactions on Plasma Science, 2021, 49(5): 1580-1587.
[13] Tortai J H, Bonifaci N, Denat A, et al. Diagnostic of the self-healing of metallized polypropylene film by modeling of the broadening emission lines of aluminum emitted by plasma discharge[J]. Journal of Applied Physics, 2005, 97(5): 053304.
[14] Li Hua, Chen Yaohong, Lin Fuchang, et al. The capacitance loss mechanism of metallized film capacitor under pulsed discharge condition[J]. IEEE Transactions on Dielectrics and Electrical Insulation, 2011, 18(6): 2089-2094.
[15] 李化, 章妙, 林福昌, 等. 金属化膜电容器自愈理论及规律研究[J]. 电工技术学报, 2012, 27(9): 218-223, 230.
Li Hua, Zhang Miao, Lin Fuchang, et al. Study on theory and influence factors of self-healing in metallized film capacitors[J]. Transactions of China Electrotechnical Society, 2012, 27(9): 218-223, 230.
[16] 李志元, 王镜然, 徐哲, 等. 直流电压作用下金属化膜电容器的自愈特性及寿命预测[J]. 高电压技术, 2023, 49(7): 2929-2937.
Li Zhiyuan, Wang Jingran, Xu Zhe, et al. Self-healing characteristics and life prediction of metallized film capacitor under DC voltage[J]. High Voltage Enginee- ring, 2023, 49(7): 2929-2937.
[17] He Yushuang, Wang Feipeng, Du Guoqiang, et al. From independent to related: voltage ramp rate effects on self-healing scaling in metallized polypropylene film capacitors[J]. IEEE Transactions on Dielectrics and Electrical Insulation, 2023, 30(5): 2189-2198.
[18] 国家市场监督管理总局, 国家标准化管理委员会. 标称电压1 000 V以上交流电力系统用并联电容器第1部分:总则: GB/T 11024.1—2019[S]. 北京: 中国标准出版社, 2019.
[19] 尹婷, 王子建, 侯智剑, 等. 环境温度及施加电压对自愈式电力电容器温升和温度场分布的影响[J]. 科学技术与工程, 2016, 16(1): 193-199, 203.
Yin Ting, Wang Zijian, Hou Zhijian, et al. Influence of ambient temperature and applied voltage on the temperature rise and temperature distribution of self-healing power capacitor[J]. Science Technology and Engineering, 2016, 16(1): 193-199, 203.
[20] 李化, 陈麒任, 李浩原, 等. 交流高压金属化膜电容器温升特性和优化设计[J]. 高压电器, 2018, 54(1): 1-8.
Li Hua, Chen Qiren, Li Haoyuan, et al. Temperature rise characteristic and design optimization of AC high voltage metallized film capacitor[J]. High Voltage Apparatus, 2018, 54(1): 1-8.
[21] 马乃兵. 干式高压并联电容器的技术特点分析[J]. 电力电容器, 2002, 23(2): 7-10.
Ma Naibing. Analysis of the technical characteristics for the dry-type high-voltage shunt capacitor[J]. Power Capacitors, 2002, 23(2): 7-10.
[22] Valentine N, Azarian M H, Pecht M. Metallized film capacitors used for EMI filtering: a reliability review [J]. Microelectronics Reliability, 2019, 92: 123-135.
[23] 邓涛. 自愈式低压电容器金属化薄膜的应用研究[J]. 电工技术, 2024(17): 168-170, 174.
Deng Tao. Applicative study of metallized thin film of self-healing low-voltage parallel capacitors[J]. Electric Engineering, 2024(17): 168-170, 174.
[24] 董新华, 王伟, 袁浩, 等. 基于乙烯共聚的高压抗冲共聚聚丙烯电缆绝缘材料机械和电气性能的协同优化[J]. 电工技术学报, 2025, 40(23): 7763-7775.
Dong Xinhua, Wang Wei, Yuan Hao, et al. Syner- gistic optimization of the mechanical and electrical properties of high voltage impact polypropylene copolymer cable insulation materials based on ethylenecopolymerization[J]. Transactions of China Electro- technical Society, 2025, 40(23): 7763-7775.
[25] Da Silva A L N, Tavares M I B, Politano D P, et al. Polymer blends based on polyolefin elastomer and polypropylene[J]. Journal of Applied Polymer Science, 1997, 66(10): 2005-2014.
[26] Huang Xiaoyan, Han Lu, Yang Xiao, et al. Smart dielectric materials for next-generation electrical insulation[J]. iEnergy, 2022, 1(1): 19-49.
[27] 张雯嘉, 王伟, 袁浩, 等. 接枝聚丙烯电缆绝缘材料的电树枝特性及机理[J]. 电工技术学报, 2024, 39(1): 88-98.
Zhang Wenjia, Wang Wei, Yuan Hao, et al. Electrical tree characteristics and mechanism of grafted poly- propylene cable insulation[J]. Transactions of China Electrotechnical Society, 2024, 39(1): 88-98.
[28] 樊林禛, 李琦, 袁浩, 等. 接枝对聚丙烯绝缘材料热氧老化的影响及机理[J]. 中国电机工程学报, 2022, 42(11): 4227-4238.
Fan Linzhen, Li Qi, Yuan Hao, et al. Influence and mechanism of grafting on thermal oxidative aging of polypropylene[J]. Proceedings of the CSEE, 2022, 42(11): 4227-4238.
[29] 宋柯, 王伟, 钱定冬, 等. 杂质浓度梯度下XLPE空间电荷与电场分布特性仿真研究[J]. 绝缘材料, 2023, 56(4): 40-47.
Song Ke, Wang Wei, Qian Dingdong, et al. Simulation research on space charge and electric field distribution characteristics of XLPE under impurity concentration gradient[J]. Insulating Materials, 2023, 56(4): 40-47.
[30] Walgenwitz B, Tortai J H, Bonifaci N, et al. Self-healing of metallized polymer films of different nature[C]//Proceedings of the 2004 IEEE Interna- tional Conference on Solid Dielectrics, Toulouse, France, 2004: 29-32.
[31] Dietz R L, Yaskoff J P, Schiroky G H, et al. Interfacial thermal resistance and temperature depen- dence of three adhesives for electronic packaging[J]. IEEE Transactions on Components and Packaging Technologies, 2000, 23(4): 633-637.
[32] Razavi M, Muzychka Y S, Kocabiyik S. Thermal spreading resistance in flux channel with arbitrary heat convection in the sink plane[C]//Volume 8B: Heat Transfer and Thermal Engineering, Montreal, Quebec, Canada, 2014: V08BT10A084.
[33] Clement B W, Frederking T H K. Thermal boundary resistance and related peak flux during supercritical heat transport from a horizontal surface through a short tube to a saturated bath of liquid He II[J]. Pure and Applied Cryogenics, 1966, 6: 49-59.
[34] Lu Yongfeng, Tao Zibo, Hong Minhui. Charac- teristics of excimer laser induced plasma from an aluminum target by spectroscopic study[J]. Japanese Journal of Applied Physics, 1999, 38(5R): 2958.
[35] Ye J L, Cao Q, Zhao Y S. Co-pyrolysis of poly- propylene and biomass[J]. Energy Sources, Part A: Recovery, Utilization, and Environmental Effects, 2008, 30(18): 1689-1697.
[36] 陈东洋, 刘晓旭, 孙家明, 等. 金属有机框架包覆铁电二维纳米片增强聚醚酰亚胺复合介质高温储能性能研究[J]. 电工技术学报, 2025, 40(5): 1662-1671.
Chen Dongyang, Liu Xiaoxu, Sun Jiaming, et al. High temperature energy storage performance enhanced by metal-organic framework coated ferroelectric two- dimensional nanosheets filled with polyetherimide composite dielectric[J]. Transactions of China Electro- technical Society, 2025, 40(5): 1662-1671.
[37] 刘云鹏, 李浩义, 李乐, 等. 用于光伏板静电除尘的单壁碳纳米管透明导电薄膜老化性能研究[J]. 电工技术学报, 2025, 40(3): 864-877.
Liu Yunpeng, Li Haoyi, Li Le, et al. Research on the aging properties of single-walled carbon nanotubes transparent conductive thin films suitable for electros- tatic dust removal of photovoltaic panels[J]. Transactionsof China Electrotechnical Society, 2025, 40(3): 864-877.
Abstract The converter valve is the core component of China’s flexible direct current transmission and new energy power generation systems, and the dry-type capacitor is referred to as the “heart” of the converter valve. Its performance directly affects the stability and safety of AC-DC conversion. Currently, the capacitors widely used in China mainly include oil-immersed foil-type capacitors and dry-type metallized film capacitors, metallized polypropylene film (MPPF). Compared with oil-immersed foil-type capacitors, metallized film capacitors have unique “self-healing properties”, small volume, and no risk of oil leakage, and have been widely applied in the new energy industry. Currently, biaxially oriented polypropylene film (BOPP) is mainly used as the base material for metallized films in industry. However, the mechanism in self-healing dynamic process is still not clear, especially under multiple physical fields which leads to a slow improvement in industrial manufacturing.
This paper independently built a multi-physics field coupling test platform for the self-healing property of metallized films, systematically studying the self-healing property and its influencing mechanism under the combined action of electric, thermal, and mechanical fields. The research shows that during the self-healing process, the arc will burn the surface of the polypropylene dielectric layer, forming a large amount of carbon element accumulation in the self-healing evaporation zone. The relationship between temperature and self-healing property shows a “bell-shaped” curve, the knee point is 65℃. below 65℃, the temperature will intensify the damage effect of the self-healing property on the film, but as the temperature continues to rise, the damage caused by self-healing to the film will decrease. At the same time, the high temperature significantly reduces the adhesion between the metal electrode layer and the polypropylene dielectric layer, and the pressure effect will destroy the aggregated structure of the polypropylene dielectric layer, resulting in a decrease in crystallinity.
Moreover, this paper constructed a multi-physics field coupled plasma simulation model for the self-healing behavior, theoretically studying the influence mechanism of electric, thermal, and mechanical fields on the dynamic behavior of self-healing. The model calculation results show that when the environmental temperature is below 65℃, the promoting effect of temperature on the self-healing process dominates, causing the self-healing area and self-healing quantity to increase with the increase in temperature. However, when the temperature exceeds 65℃, the promoting effect of temperature on plasma slows down, and at the same time, due to the different thermal expansion coefficients of the metal electrode layer and the polypropylene dielectric layer, the interface bonding condition becomes the main influencing factor. As the adhesion of the metal electrode layer decreases, the plasma energy is difficult to diffuse radially, resulting in a reduction in the single-point self-healing area. Furthermore, the further coupling of pressure will reduce the migration rate of the plasma, causing its movement speed to slow down, and the greater the pressure, the slower the plasma moves, thereby further reducing the single-point self-healing area. The research results of this paper can provide theoretical support for optimizing the manufacturing process of polypropylene metallized films and offer important references for improving the performance and reliability of dry-type film capacitors in high-field environments.
Keywords:Multi-physics, self-healing property, metallized film, plasma
吴致远 男,1998年生,博士研究生,研究方向为高分子聚合物。
E-mail: 120222101031@ncepu.edu.cn
党智敏 男,1969年生,教授,研究方向为先进电工材料。
E-mail: dangzm@tsinghua.edu.cn(通信作者)
中图分类号:TM614
DOI: 10.19595/j.cnki.1000-6753.tces.250213
国家重点研发计划(2021YFB2401503, 2021YFB2401504)和国家自然科学基金(52107018)资助项目。
收稿日期 2025-02-12
改稿日期 2025-03-04
(编辑 李 冰)