加速环氧树脂生物降解的溶胀氧化协同预处理机理

杨世芳1 郭奕良1 刘云鹏1 王 仲2 佟孟洋1 储子安1 秘吉喆3

(1. 华北电力大学电力工程系 保定 071000 2. 四川大学电气工程学院 成都 610000 3. 国网保定市供电公司 保定 071051)

摘要 环氧树脂因其优良的稳定性而在电气绝缘领域被广泛应用,但其高度交联结构使得退役绝缘材料的降解处理面临困难。为加速降解,需对原材料进行高效的预处理。该文采用环保溶胀剂二丙二醇二甲醚(DMM)及低浓度高锰酸钾溶液对环氧树脂进行预处理,通过设置不同的处理方式共获得45组试验样本,并对试验样本进行了热稳定性、化学交联性及热机械性能等方面的研究。分析得出,DMM破坏了环氧玻璃纤维的物理结构,同时DMM分子与环氧体系通过氢键作用键合,形成疏松溶胀体系,而高锰酸钾溶液氧化了树脂中的交联基团。将两种试剂联合使用,不仅可有效地瓦解物理结构与化学交联,同时能够保留富羟基膨松粉末状产物,为后续利用黑曲霉菌进行降解提供强有力的培养载体,切实提高降解效率。

关键词:二丙二醇二甲醚溶胀剂 溶胀机理 高锰酸钾溶液 氧化机理 降解预处理

0 引言

由芯棒和硅橡胶制成的复合绝缘子在高压输电线路中相较于陶瓷和玻璃绝缘子具有若干优势[1-3]。在中国电网内,已有逾400万个复合绝缘子投入使用超过10年,目前已步入其使用寿命的中后期阶段,年均退役数量超过100万个[4]。因此,退役绝缘子的环氧芯棒的回收与处置成为亟待解决的问题[5-7]。绝缘树脂芯棒由环氧树脂、固化剂和玻璃纤维构成,具有卓越的绝缘性能、机械强度以及出色的耐化学腐蚀能力[8-9]。但环氧树脂坚固的三维结构给其回收和降解带来了挑战。为加速降解进程,对原材料进行高效的预处理十分必要[10]。通过预处理,能够降低环氧树脂的交联程度和力学性能,从而进一步提升后续实验中的回收和降解效率。

当下的预处理方法主要分为物理和化学两 类[11-14]。物理预处理方法主要包括机械研磨、热处理和微波辐射等技术[15-18]。A. Saccani等[19]通过机械粉碎将环氧树脂复合材料转换为建筑用增强填料,无需高温或化学处理。虽然可以回收高强度的环氧树脂废料作为建筑增强材料,但粉碎过程可能导致纤维断裂,限制了其在其他领域的应用。Cheng Huanbo等[20]使用TiO2和Cr2O3作为催化剂,在500℃下进行环氧树脂的催化热解,但是需要高温和高压设备,且可能对碳纤维造成损伤。机械研磨可以降低环氧树脂的粒度,增加表面积,从而提高降解反应的效率。热处理则通过提高材料的温度促进分子运动,为后续的降解提供便利。但是目前的物理预处理方法存在反应条件苛刻、产物附加值低、过度处理等问题。

化学预处理方法通过使用特定的化学物质,如有机溶剂、酸或碱,破坏环氧树脂的交联网络,从而实现材料的降解或分离[21-24]。Zhao Xu等[21]在乙二醇(Ethylene Glycol, EG)溶剂中使用Zn(Ac)2催化体系降解环氧树脂,但实验中的高温和高压条件不易实现,且催化剂的回收和再利用可能存在问题。Zhu Jihua等[25]在80℃下使用4 mol/L的HNO3溶液处理含4, 4′-亚甲基二苯胺(MDA)的环氧树脂,实现了环氧树脂的选择性降解,但需要较长的反应时间,且强酸性环境可能对设备有腐蚀作用,同时需要对反应条件进行精确控制以避免过度氧化。

目前生物降解退役电工材料成为研究的焦点,生物降解相较于传统降解能够在较温和的条件下进行,某些特定的细菌能够有效地降解环氧树脂并将其转化为无害的小分子物质,甚至可以作为其他生物过程的营养物质。但目前生物降解环氧树脂存在降解速率慢、降解效率低等难点,其主要原因在于环氧树脂固化体系本身具有较强的稳定性以及环氧单体与固化剂具有较强的交联性。为提高生物降解环氧树脂的效率,需通过预处理以对其稳定性及交联性造成破坏。二丙二醇二甲醚(Dipropyleneglycol dimethyl ether, DMM)化学稳定性优异,不易参与各类有机反应[26],其黏度低、渗透性良好,能深入聚合物网络,且溶解性能极佳,可溶解油脂、天然树脂、橡胶等多种高分子化合物[27]。DMM被美国和欧盟列入空气污染物中非有害物质清单(Nonha- zardous in the list of Air Pollution, Non HAP/NAP)[28],符合现代工业的环保需求。高锰酸钾(KMnO4)是常见的氧化剂,使用高锰酸钾进行预处理或降解反应通常可以在较低的温度和常压下进行[29]

本文选用DMM作为溶胀剂、低浓度KMnO4溶液作为氧化剂,将二者联用对环氧树脂进行预处理。与传统预处理手段相比,该方法具有显著的优势:一方面,反应条件温和,规避了物理及化学预处理中常出现的高温、高压等严苛条件,为大规模生产应用创造了有利条件;另一方面,DMM与低浓度KMnO4溶液安全性高、环保性能佳,有效地避免了化学预处理中强酸强碱引发的设备腐蚀及环境污染问题;同时,该方法还克服了物理预处理中纤维易严重断裂、产物附加值低,以及化学预处理中催化剂回收困难、反应耗时久等缺点。作为大宗化工原料,DMM与低浓度KMnO4溶液在使用成本上亦具备突出优势。此方法融合了DMM优良的溶胀性能与低浓度KMnO4的氧化性能,构建了全新的预处理试剂组合模式;针对生物降解环氧树脂的难题,通过解构物理结构与化学交联,为提升生物降解效率开辟了新的解决思路与预处理路径。

为表征样品的稳定性与交联性,本文通过红外光谱分析、热力学试验以及动态热机械性能分析(Dynamic Mechanical Analysis, DMA)对预处理中样品的氧化官能团变化、热稳定性以及力学性能进行研究,通过设计单因素及多因素试验探究能够促进环氧树脂降解的最佳预处理条件及作用机理,并将其应用于黑曲霉菌降解环氧树脂中。

1 试验

1.1 试验材料

选用双酚A环氧树脂的切片作为试验原料,该环氧树脂切片采用胺类固化剂进行固化。此类环氧树脂除用于绝缘子芯棒外,还常用于小型变压器、电路封装等低压电气设备的绝缘中[30-32]。为满足试验要求,统一定制规格为30 mm×5 mm×0.3 mm(长× 宽×厚)的长方体环氧树脂切片。此外,选用无色透明液体DMM作为溶胀剂,选用0.1 mol/L和0.5 mol/L KMnO4溶液作为氧化剂。具体试验原料见表1。

表1 试验原料

Tab.1 Experimental raw materials

原料名称主要成分化学式规格厂家备 注 环氧树脂切片(C11H12O3)n30 mm×5 mm×0.3 mm(长×宽×厚)深圳亿新源厚度误差±0.02 mm DMMC8H18O3500 mL广东麒旭化工沸点178.8℃,密度0.9 g/cm3,无色透明液体,有微弱醚类气味 KMnO4溶液KMnO40.5 mol/L天津科密欧0.1 mol/L KMnO4溶液采用该溶液按比例稀释制成

1.2 预处理方法

1.2.1 DMM预处理

将试验样品用去离子水清洗,使用真空干燥箱在60℃下烘干30 min并称重。将50 mL DMM溶胀剂加入放有环氧树脂切片的烧杯中,采用水浴加热法进行试验,分别设置85、92、99℃三个温度,在每个温度下,分别搅拌30、60、90 min,共设置9组试验。试验后,将试验样品采用相同的方式烘干并称重。

环氧树脂玻纤板的最大溶胀度width=16.3,height=14.95计算式为

width=93.05,height=29.9 (1)

式中,M0为干燥的环氧树脂样品的质量,g;M为溶胀后的环氧树脂样品的质量,g。

1.2.2 高锰酸钾溶液预处理

将环氧树脂切片加入50 mL浓度分别为0.1 mol/L与0.5 mol/L的KMnO4溶液中,并将烧杯封口进行加热搅拌。分别在85、92、99℃下加热并搅拌30、60、90 min,共设置18组试验。

1.2.3 联用预处理

将溶胀组中在99℃下加热90 min得到的环氧树脂切片加入50 mL浓度分别为0.1 mol/L与0.5 mol/L的KMnO4溶液中进行氧化,反应分别在85、92、99℃下进行30、60、90 min,共设置18组试验。

1.2.4 试验分组

根据上述试验条件,共建立45个试验样本,按照XY格式命名,XY的具体含义分别见表2和表3,其中空白对照组用N0表示。示例:在85℃下使用DMM溶胀剂处理30 min的试样,其编号为R1。

表2 样品编号中的X

Tab.2 Number X of samples

预处理方式KMnO4溶液浓度/(mol/L)编号 DMM溶胀R KMnO4溶液氧化0.1YA 0.5YB 联用预处理0.1HA 0.5HB

表3 样品编号中的Y

Tab.3 Number Y of samples

时间/min85℃92℃99℃ 30123 60456 90789

1.3 表征方法

1.3.1 交联官能团氧化程度

采用傅里叶红外光谱分析仪(Fourier Transform Infrared spectrometer, FTIR)观察溶胀试验、氧化试验以及溶胀氧化试验对环氧树脂切片化学结构官能团的影响并进行交联密度分析,以此表征材料的交联程度。由于环氧树脂与固化剂的交联主要由环氧基团指纹峰——醚键(C—O—C, 831 cm-1)以及碳氮键(C—N, 1 232 cm-1)形成,故测定样品的C—O—C峰高和C—N峰高,计算对应化学键的交联密度以反映环氧树脂的交联程度,计算式分别为

width=63.85,height=61.15 (2)

式中,SC-O-CSC-N分别为C—O—C和C—N对应的化学键交联密度;Pa0Pb0分别为环氧切片反应前C—O—C和C—N吸收带的对应峰高;Pa1Pb1分别为样品反应后C—O—C和C—N吸收带的对应峰高。

1.3.2 热稳定性

为对样品的热稳定性进行表征,需获取样品热失重起始温度Ts和终止温度TE、微分热重(Deriva- tive Thermogravimetric, DTG)速率最大点温度TP、活化能Ea、玻璃化转变温度Tg等热力学参数。试验采用PerkinElmer公司的热重分析(Thermogravi- metric Analysis, TGA)仪TGA4000,测量样品在氮气氛围中30~750℃的热分解行为,升温速率为 10℃/min。采用Netzsch公司的差示量热扫描仪(Differential Scanning Calorimetry, DSC)DSC3500,测量样品在氮气氛围中25~200℃下的比热容c Tg

活化能是化学反应中反应物分子转化为活化分子所需的最小能量。活化能的大小直接影响化学反应的速率。根据TGA试验按照Arrhenius对数方程对TGA曲线进行微分、取负以及数据转换等操作,并通过线性拟合获得活化能及频率因子,即

width=67.9,height=27.15 (3)

式中,k为反应速率常数;A为频率因子,s-1Ea为活化能,kJ/mol;R为气体常数,R=8.314 J/(mol·K);T为热力学温度,K。

同时通过热分析动力学Kissinger方程对试验的热稳定性分析进行关联阐释,表达式为

width=110.7,height=31.25 (4)

式中,b为升温速率,K/min;C为补偿常数。

Tg是度量高分子材料链段运动的特征温度,是非晶态塑料的使用温度上限,是橡胶的使用温度下限。聚合物的化学结构,包括分子链的组成、侧基的大小和形状、分子链的对称性等均会影响物质的Tg。采用式(5)计算环氧树脂切片的耐热损耗。

width=88.3,height=35.3 (5)

式中,F为耐热损耗,%;Tg0为N0组获得的Tg,℃;Tgs为试验环氧树脂的Tg,℃。

1.3.3 动态热机械性能

为得到预处理后样品的热机械性能参数,需进行动态热机械分析(DMA)试验。设定DMA测试温度为-20~170℃,升温速率为10℃/min,测试气氛为氮气,采用单悬臂模式测试。得到环氧切片的储存模量width=12.9,height=12.25、损耗模量width=14.95,height=12.25以及力学损耗因子tand,表达式分别为

width=63.15,height=89 (6)

式中,s0为应力峰值,MPa,即动态循环载荷中应力的最大值,表征材料在最大载荷下的应力响应强度;e0为应变峰值,%,即动态循环载荷中应变的极大值,反映材料在载荷下的最大变形程度;d为动态载荷下应力响应与应变输入之间的相位差,通过cosd调整储能模量,反映材料中弹性成分的占比。

1.3.4 样本形貌

为了进一步阐明环氧树脂在预处理过程中的机制和作用,对环氧玻璃纤维的表面形态进行表征。使用FEI公司生产的扫描电子显微镜(Scanning Electron Microscopy, SEM),设置放大倍数为10 000倍对样品进行观察。

2 试验结果

2.1 化学交联结果

环氧树脂交联官能团为C—O—C与C—N。在环氧分子内部还包含—OH(3 030~3 685 cm-1)、—CH2—(2 922 cm-1)以及苯环骨架的振动吸收(1 603 cm-1)特征峰,此外还有玻璃纤维的特征峰Si—O(1 009 cm-1[33]。选取溶胀时间最长及反应温度最高的样品(R9)与N0样品进行对比,得到N0和R9的FTIR光谱图如图1所示。

由图1可知,R9样品的FTIR曲线与N0样品基本保持一致,因此溶胀本身对物质的化学结构不产生影响。但是R组的—OH吸收峰相较于N0组存在明显倾向低波数的横向位移(红移),且红移程度与溶胀效果有关,R9组的红移最为突出,该现象与溶胀过程中DMM分子破坏环氧树脂物理结构并与其通过氢键作用构成新的溶胀环氧体系有关,且氢键作用越强,—OH吸收峰的红移越明显。R组—OH吸收峰红移示意图如图2所示。

width=191.55,height=143.3

图1 N0和R9的FTIR光谱图

Fig.1 FTIR spectra of N0 and R9

width=191.55,height=150.1

图2 R组—OH吸收峰红移示意图

Fig.2 Redshift plot of group R —OH absorption peak

根据式(2),汇总统计每个样品的化学键交联密度,如图3和图4所示。由图3和图4可以看出,预处理对两个交联官能团的影响基本一致,因此可用于反映材料整体的交联程度。显然,R组的C—N和C—O—C的交联密度几乎不变,溶胀对交联化学键没有影响;YA组及多数HA组的交联密度集中在0.35~0.80范围内;而HB组的交联密度主要分布在低于0.35的范围内;此外,YB组的交联密度集中在0.20以下。由此可推断,KMnO4溶液氧化会导致环氧树脂的交联程度受到严重破坏。在每组中综合考虑氧化程度与代表性,选择N0、YA9、YB9、HA4及HB6作为各试验组的典型样品进行FTIR分析,结果如图5所示。

width=200.4,height=153.5

图3 C—N交联密度

Fig.3 C—N cross-linking density

width=200.4,height=153.5

图4 C—O—C交联密度

Fig.4 C—O—C cross-linking density

width=197,height=143.3

图5 各组典型样品的FTIR光谱图

Fig.5 FTIR spectra of typical samples in each group

如图5所示,苯环骨架振动峰的变化并不明显,但环氧分子中的—CH2—在YA和HA组中有所降低,在YB和HB组中几乎消失。此外,YB和HB组中玻璃纤维的Si—O峰高降低。对具有明显变化的功能基团的峰高进行统计分析,结果见表4。

表4 典型官能团的吸光度统计

Tab.4 Absorbance statistics of typical functional groups

样品—OH(3 030~3 685 cm-1)—C≡N(2 281~2 398 cm-1)—C=N(1 646 cm-1)C=O(1 634 cm-1)C—N(1 232 cm-1)C—O—C(831 cm-1) N00.0500.0000.0000.0000.2750.333 YA90.0590.0290.0220.0190.1090.124 YB90.0440.0790.0780.0350.0240.007 HA40.2860.0020.0860.0750.1540.142 HB60.2780.0630.1050.1160.0180.000

依据统计分析,四个试验组内交联官能团C—N与C—O—C的吸收峰均有不同程度的降低,同时观测到生成了一定量的—C≡N、—C=N及C=O功能基团。进一步探究表明,仅经KMnO4处理后的YA9和YB9中的—OH含量未发生明显变化;然而,经KMnO4处理且溶胀后的HA4和HB6中的 —OH含量增加超过5倍。此外,YB9和HB6中生成了大量的—C≡N腈类化合物,超出YA9的两倍之多;—C=N和C=O的含量由小到大依次为:YA9、YB9、HA4、HB6。HB6中的—C=N含量接近YA9的5倍,而HB6中的C=O含量近乎达到YA9的6倍。

2.2 热稳定性分析

2.2.1 热分解性能

基于热重试验,汇总各个试验样品的TP如图6所示。可见,所有样品的TP均低于样品N0,这表明所有样品的热稳定性均有所下降。其中,R1、YA5、YB7、HA8和HB9的TP在各自的试验组中最低,采用这些样品进一步分析各组TGA曲线的变化趋势。

width=192.25,height=153.5

图6 各样品TP统计

Fig.6 TP statistics of each sample

将典型样品的TGA与DTG曲线绘制于图7中,并标注出TsTETP。其中样品YB7、HA8和HB9的热稳定性下降最严重,Ts约降低15℃,TE约降低25℃,TP约降低20℃。

width=459.85,height=252

图7 各试验组中典型样品的TGA和DTG曲线

Fig.7 TGA and DTG curves of typical samples in each experimental group

Ts之前,除了YA组之外,所有试验组都发生了缓慢的热分解过程。结合红外试验结果进行分析可知,在R组中,这一现象主要与溶胀进入环氧树脂体系的DMM分子物理挥发和热分解有关;在YB组中,主要是由于生成的氰化物发生热分解;而在HA和HB组中,则与DMM分子和氰化物的热分解有关。当温度达到TE之后,主要的热分解阶段与产生的亚胺和酚有关。特别是在HA和HB组中,在达到峰值速率之前Ts下降得更加明显,导致热分解速率减慢,这种现象归因于保留在溶胀剂的富羟基产物的热分解。

基于TGA试验,利用式(3)拟合获得每个试验组的平均活化能Ea及平均ln A,以进一步阐明预处理对热稳定性的影响,结果如图8所示[34]。图8中给出的数据清楚地表明,所有五个试验组的Ea及ln A均超过N0组。其中溶胀破坏了物理结构,形成新的氢键作用,导致其活化能上升。氧化破坏了YA、YB、HA和HB组的化学键交联,并形成键能更高的—C≡N、—C=N和C=O键,从而提高了活化能。这导致Ea增加至70~80 kJ/mol,比N0组的54 kJ/mol高出30%~40%。同时A通常受分子结构与空间位阻的影响,DMM分子通过溶胀作用进入环氧树脂中,使得环氧树脂物理结构疏松,显著提升了分子链段的活动自由度;而氧化过程引发分子链间交联键的选择性断裂,致使分子构象收缩和有效体积缩减。上述结构演变过程显著地削弱了分子运动的空间约束,导致A呈现差异性上升,进一步印证了预处理对环氧树脂体系的稳定性和交联性能的破坏。

width=201.75,height=149.45

图8 各组平均Ea及ln A

Fig.8 Average Ea and ln A of each group

2.2.2 热力学性质

通过DSC试验测定每个样品的Tgc,并计算F。由于试验组之间的Tg差异较小,因此通过每个组别的平均统计数据进行分析,热力学特征量见表5。

表5 热力学特征量

Tab.5 Thermodynamic characteristic quantities

样品组别Tg/℃c/[J/(g·K)]F(%) N01190.03— R970.1818 YA870.0826 YB870.0427 HA510.4057 HB530.1955

根据统计,所有试验组样品的Tg均低于N0的;其中HA和HB组的Tg降低超过50%;KMnO4浓度对Tg的影响较小。此外,每次试验处理后,样品的比热容均超过N0。HA组的比热容最高,为0.40 J/(g·K),比N0的值增加了超过10倍。试验中各试验组均呈现Tg降低和c增加,R组中这种现象归因于具有更高流动性的DMM分子进入环氧树脂体系中,并通过氢键与原体系作用破坏原物理结构使之膨胀疏松,形成具有较高流动性的疏松溶胀体系,同时DMM分子融入体系中,改变了其物理结构并增强了材料的柔韧性;在YA和YB组中,高锰酸钾通过氧化作用破坏了交联功能基团,导致环氧树脂的大分子链分解为较小的分子链,从而提高了分子链的流动性;HA和HB组中,在DMM和KMnO4的共同作用下,材料的物理结构稳定性和化学交联均受到严重破坏。

2.3 动态热机械性能分析

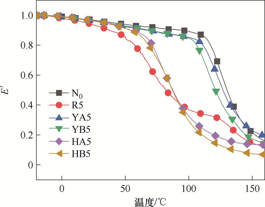
根据DMA试验的结果,每个试验组样品的width=12.9,height=12.25width=14.95,height=12.25和tand均呈现高度的一致性。为确保数据具有代表性并降低系统误差,本文采用各组中位数样本(编号5)进行统计分析,并对试验数据归一化(除以最大值)处理,得到样品的width=12.9,height=12.25width=14.95,height=12.25和tand曲线分别如图9~图11所示。

YA与YB组、HA与HB组的动态热机械性能具有显著的相似性,此趋势与DSC试验结果相互印证。试验组的width=12.9,height=12.25主下降阶段起始温度均低于N0组,其中R组的width=12.9,height=12.25主下降阶段起始温度最低,记当width=12.9,height=12.25下降为原始值的80%时的温度为width=21.75,height=14.95,则width=29.2,height=14.95相比width=29.9,height=14.95下降了51.26%。针对width=14.95,height=12.25,试验组的峰值温度均低于N0组,其中R组存在双峰特征,这与R5 溶胀不充分有关,其中低温峰(峰值温度为width=38.05,height=17)来自溶胀后的环氧树脂,高温峰来自未溶胀部分,width=38.05,height=17相比N0组的峰值温度width=23.1,height=14.95下降了44.44%。针对tand,试验组的峰值温度均低于N0组,其中R组低温峰值温度width=44.15,height=17相比N0组峰值温度width=29.9,height=14.95下降了37.86%。

width=197,height=153.5

图9 样品width=12.25,height=10.85曲线

Fig.9 width=12.25,height=10.85curves of samples

width=197,height=152.85

图10 样品width=12.9,height=10.85曲线

Fig.10 width=12.9,height=10.85curves of samples

width=197,height=153.5

图11 样品tan d曲线

Fig.11 tan d curves of samples

根据试验结果可以得出,预处理对环氧树脂的动态热机械性能产生了显著影响,其中溶胀作用产生的效果最为明显。其原因在于溶胀使得环氧树脂的物理结构疏松,DMA性能指标大幅下降,但YA、YB组对该性能的影响有限。联用预处理展现出协同效应,可在较低的温度区间实现更快速、更彻底的热机械性能转变,不仅为环氧树脂的降解提供了有力保障,也为优化环氧树脂热机械性能调控工艺提供了重要的理论依据。

2.4 表面形貌表征

对样品N0和试验样品X9(R9、YA9、YB9、HA9、HB9)进行SEM试验,结果如图12所示。可以看出,N0样品的表面光滑,R组表面出现明显的裂痕,YA组表面出现规律的纹路,YB组表面出现严重的裂痕与碎块,HA组表面出现裂痕并附着碎块,HB组玻璃纤维裸露,且与环氧交联部分被破坏。溶胀后,DMM分子通过破坏环氧物理结构,形成溶胀通道并进入环氧体系,达到了溶胀效果。YA组中,氧化有规律地破坏环氧体系中的交联官能团,故呈现规律的纹路。YB组中,由于高浓度的高锰酸钾溶液氧化性更强,对环氧交联体系的破坏更为严重。HA、HB组中,由于溶胀本身产生了溶胀通道,高锰酸钾溶液更易进入环氧体系进行氧化,氧化效果更为显著,且膨松粉末状产物保留在样品中。

width=481.6,height=270.35

图12 SEM结果

Fig.12 SEM results

2.5 预处理在生物降解中的应用

将R9、YB9及HA9对应的预处理方式应用在黑曲霉菌降解退役绝缘子的环氧树脂中,得到生物降解样本SR、SY、SH以及对照样本SN。黑曲霉菌降解30 d对应的SEM结果如图13所示。可以观察到,黑曲霉菌丝在SN样品表面附着较少,在SR、SY、SH预处理组表面附着密集,其中,SH组由于在环氧树脂表面保留了膨松粉末状产物,使得表面更加粗糙,有利于黑曲霉菌的附着。且中间产物中含有丰富的羟基,黑曲霉菌对羟基具有亲和性,更有利于黑曲霉菌对环氧树脂的降解[35]

由于目前生物降解的难点在于环氧树脂高度稳定的物理结构和交联体系,通过DSC试验获得的Tgc的结果能够更好地反映预处理对生物降解的作用。因此,以6 d为梯度取30 d样品采用DSC试验对降解效果进行评估,结果如图14所示。SN组样品的Tg在6 d之后稳定在90~95℃,降解缓慢;SR组样品的Tg大幅下降至40~45℃;SY与SH组样品因氧化产物参与降解反应,Tg有明显的波动,生物降解更加彻底,且对应的Tg均低于SN组。各预处理组对应的c均高于对照组。

width=220.1,height=180.7

图13 各组黑曲霉菌附着效果

Fig.13 Aspergillus niger adhesion effect

width=233.65,height=181.35

图14 生物降解30 d的Tgc趋势

Fig.14 Trends of Tg and c after 30 days of biodegradation

试验结果证实了该预处理方式在生物降解环氧树脂过程中具有广泛的应用前景,同时该预处理方式在操作过程中不产生任何有害的废气以及废渣,从源头上杜绝了对自然环境的污染,可为实现“双碳”目标贡献重要力量。

3 讨论

根据式(1)得到溶胀率汇总结果如图15所示。试验组中,在85℃下反应30 min溶胀率最低,为2.15%;在99℃下反应90 min溶胀率最高,为5.06%。溶胀是由聚合物和小分子溶剂之间的扩散速率差异引起的。当小分子溶剂扩散进入聚合物网络结构时,会引发溶胀,导致材料体积增加,直到与由聚合物网格拉伸产生的弹性能够达到平衡。DMM分子的渗透使得环氧树脂板内外渗透压失衡,内部渗透压大于外部压力,导致环氧树脂吸收更多溶剂以平衡压力水平。由于渗透压的存在,延长反应时间会增加DMM聚合物向环氧树脂板扩散的可能性,从而使得最终的溶胀率更高。此外,在反应体系中,DMM分子在溶液中进行布朗运动;随着温度升高,分子的平均动能和布朗运动的强度也逐渐增加,导致DMM分子扩散进入材料内部的可能性增加。因此溶胀率与温度和反应时间之间存在正相关关系。

width=176.6,height=150.8

图15 溶胀率汇总

Fig.15 Swelling ratio summary

在DMM的分子结构中,氧原子作为高电负性元素,与相邻碳原子形成极性共价键。由于氧原子较高的电负性,其与碳原子形成的共价键中的电子云密度偏向氧原子,导致部分负电荷(d-)积累,并保留孤对电子。环氧树脂分子中的—OH作为强极性基团,其氧原子通过高电负性使羟基氢原子的电子云显著偏移,形成部分正电荷(d+),为氢键的形成提供了必要条件。

当DMM与环氧树脂接触时,分子热运动促使DMM分子向环氧树脂迁移。在此动态过程中,DMM氧原子的d-区域与环氧树脂羟基的d+氢原子定向趋近。随着分子间距的缩小,两者间的静电引力随距离二次方的倒数呈梯度增强,构成氢键形成的初始驱动力。当DMM氧原子的孤对电子与羟基氢原子的1 s轨道电子云不断靠近并产生有效重叠时,形成三中心四电子体系。该体系可显著地增强分子间作用,从而形成稳定的氢键(O—Hwidth=12.25,height=8.15O)[36]。DMM分子渗入环氧树脂交联网络后,分子链间距增大,链段运动自由度提升。这种溶胀效应将引发交联网络扩张,导致三维网络结构松散化,宏观表现为材料体积膨胀和力学性能改变,在第2.2节以及图15中均有体现。

根据上述试验结果和推断,针对45组样品的FTIR分析,提出以下氧化机理,示意图如图16所示。环氧树脂与KMnO4反应可以分为三种途径:醚键反应、亚胺反应和腈类反应。醚键反应的特点是形成C=O(图16③)和酚(图16④),亚胺反应的特点是形成—C=N(图16⑥),腈类反应的特点是形成—C≡N(图16⑦)。通过对试验数据,如反应产物的成分、反应动力学参数等进行综合研究,确定在E-51双酚A环氧树脂的固化过程中发生了两种环状开环反应:C—C环开形成醚键和C—O环开形成羟基。两种固化产物共存于体系中。环氧树脂单体与胺固化剂发生反应形成C—N键,并与玻璃纤维相互作用形成稳定的环氧-玻璃纤维体系。环氧树脂分子(图16①)在高锰酸钾的作用下发生氧化反应生成富羟基产物(图16②和图16⑤)。图16②中分子链末端的醚键中的C—O进一步被氧化为—C=O生成醛类中间体(图16③),在进一步的氧化作用下,少量醛类中间体(图16③)进一步分解分子链末端的C—O产生酚类化合物(图16④)。富羟基产物(图16⑤)在亚胺反应下发生氧化反应,断裂固化剂中N与烷基之间的键生成亚胺类化合物(图16⑥)。在腈类反应下,图16⑥同时断裂固化剂中N与烷基和苯环之间的键,生成苯氧乙酰腈(图16⑦)。虽然溶剂DMM本身不会影响环氧体系的化学交联,但DMM分子的加入有助于将含有—OH的中间体溶解到DMM分子中,从而保留氧化过程的富羟基产物(图16②和图16⑤)。

width=233.65,height=271.7

图16 氧化反应机理示意图

Fig.16 Diagram of oxidation mechanism

4 结论

为了有效地降低环氧树脂降解的难度及成本,本文选用环保型溶胀剂DMM,并使其与KMnO4溶液相结合,应用于环氧玻璃纤维的预处理环节。同时,本文还提出了契合不同性能的最佳预处理方式,并对预处理的作用机理展开深入分析,得到结论 如下:

1)环保型溶胀剂DMM对环氧玻璃纤维具有显著的溶胀效果。99℃下溶胀90 min时,最大溶胀率为5.06%。溶胀破坏了环氧树脂的物理结构,并将DMM分子通过氢键作用与原体系形成新的疏松溶胀体系。

2)高锰酸钾溶液会对环氧树脂的交联性造成严重破坏。0.5 mol/L的KMnO4溶液最大可使环氧树脂的交联密度低于0.20。高锰酸钾溶液主要通过氧化破坏环氧树脂的交联结构;然而,它容易过度氧化且无法保留中间产物。

3)将DMM与KMnO4溶液联用于预处理中,既能破坏玻璃纤维的物理稳定性,又能破坏其化学交联,同时可有效地保留氧化过程中的富羟基产物,且产物呈膨松粉末状,提高了表面粗糙度,对于后续利用亲羟基的黑曲霉菌降解环氧树脂提供了良好的附着降解条件。

4)预处理后环氧树脂的主要热稳定性指标显著下降,TsTETP下降15~25℃,活化能增加30%~40%。联用预处理使环氧玻璃纤维更容易从玻璃态转变为橡胶态,导致热机械性能显著下降,且Tg下降57%。

综上所述,鉴于DMM主要通过形成氢键作用于环氧树脂与玻璃纤维的物理结构;KMnO4主要作用于环氧树脂与固化剂形成的交联官能团;同时,目前酸酐固化环氧树脂也广泛应用于电气绝缘领域,并且其物理结构与胺类固化环氧树脂类似,交联官能团为酯键和醚键。因此,DMM与KMnO4的联用预处理方式对酸酐固化环氧树脂的降解回收具有广泛的应用潜力。

参考文献

[1] 张葳蕤, 崔晓凤, 黄明, 等. 110 kV复合绝缘子硅橡胶伞裙失效机理分析[J]. 电气技术, 2025, 26(8): 23-30, 36.

Zhang Weirui, Cui Xiaofeng, Huang Ming, et al. Analysis on the failure mechanism of silicone rubber sheds for 110 kV composite insulators[J]. Electrical Engineering, 2025, 26(8): 23-30, 36.

[2] 胡琴, 陈旭烨, 闻君, 等. 强暴雨天气下复合悬式绝缘子交流闪络特性[J]. 电工技术学报, 2025, 40(9): 2970-2981.

Hu Qin, Chen Xuye, Wen Jun, et al. AC flashover characteristics of composite suspension insulators under heavy rainstorm[J]. Transactions of China Electrotechnical Society, 2025, 40(9): 2970-2981.

[3] 刘贺晨, 魏利伟, 孙章林, 等. 催化剂对基于动态酯交换Vitrimers材料性能的影响[J]. 电工技术学报, 2024, 39(16): 5134-5148.

Liu Hechen, Wei Liwei, Sun Zhanglin, et al. Effect of catalysts on the performance of Vitrimers based on dynamic ester exchange[J]. Transactions of China Electrotechnical Society, 2024, 39(16): 5134-5148.

[4] 刘贺晨, 胡如法, 刘云鹏, 等. 220 kV退役复合绝缘子芯棒整体回收再利用可行性研究[J]. 电工技术学报, 2024, 39(11): 3433-3443.

Liu Hechen, Hu Rufa, Liu Yunpeng, et al. Feasibility of the overall recycling of 220 kV retired composite insulator core rods[J]. Transactions of China Electro- technical Society, 2024, 39(11): 3433-3443.

[5] Zhu P, Yang Y Z, Chen Y, et al. Influence factors of determining optimal organic solvents for swelling cured brominated epoxy resins to delaminate waste printed circuit boards[J]. Journal of Material Cycles and Waste Management, 2018, 20(1): 245-253.

[6] Yang Shifang, Jia Zhidong, Ouyang Xiaogang, et al. Inhibition of algae growth on HVDC polymeric insulators using antibiotic-loaded silica aerogel nano- composites[J]. Polymer Degradation and Stability, 2018, 155: 262-270.

[7] Huang Haihong, Yin Yanzhen, Cheng Huanbo, et al. Degradation mechanism of CF/EP composites in supercritical n-butanol with alkali additives[J]. Journalof Polymers and the Environment, 2017, 25(2): 115-125.

[8] 周松松, 杜怡君, 王晰, 等. 我国户外复合绝缘子用环氧树脂基复合材料的应用现状及问题讨论[J]. 中国标准化, 2021(增刊1): 222-228.

Zhou Songsong, Du Yijun, Wang Xi, et al. Application status and problems of epoxy resin matrix composites for outdoor composite insulators in China [J]. China Standardization, 2021(S1): 222-228.

[9] 杨世芳. 藻类与输变电设备外绝缘[M]. 长沙: 湖南科学技术出版社, 2024.

[10] Yang Shifang, Jia Zhidong, Ouyang Xiaogang. Effects of algae contamination on the hydrophobicity of high- voltage composite insulators[J]. High Voltage, 2019, 4(3): 234-240.

[11] Yang Peng, Zhou Qian, Yuan Xiaoxue, et al. Highly efficient solvolysis of epoxy resin using poly(ethylene glycol)/NaOH systems[J]. Polymer Degradation and Stability, 2012, 97(7): 1101-1106.

[12] Yan Hua, Lu Chunxiang, Jing Deqi, et al. Chemical degradation of amine-cured DGEBA epoxy resin in supercritical 1-propanol for recycling carbon fiber from composites[J]. Chinese Journal of Polymer Science, 2014, 32(11): 1550-1563.

[13] Xing Mingfei, Zhang Fushen. Degradation of brominated epoxy resin and metal recovery from waste printed circuit boards through batch sub/ supercritical water treatments[J]. Chemical Engineering Journal, 2013, 219: 131-136.

[14] Cheng Huanbo, Huang Haihong, Liu Zhifeng, et al. Reaction kinetics of CFRP degradation in supercri- tical fluids[J]. Journal of Polymers and the Environ- ment, 2018, 26(5): 2153-2165.

[15] Hooper R, Potter A K N, Singh M M. Diversion from landfill: mechanical recycling of plastics from materials recovery facilities and from shredder residue[J]. Green Chemistry, 2001, 3(2): 57-60.

[16] Tittarelli F. Effect of low dosages of waste GRP dust on fresh and hardened properties of mortars: part 2[J]. Construction and Building Materials, 2013, 47: 1539- 1543.

[17] García D, Vegas I, Cacho I. Mechanical recycling of GFRP waste as short-fiber reinforcements in micro- concrete[J]. Construction and Building Materials, 2014, 64: 293-300.

[18] Luna-Galiano Y, Leiva C, Villegas R, et al. Carbon fiber waste incorporation in blast furnace slag geopolymer-composites[J]. Materials Letters, 2018, 233: 1-3.

[19] Saccani A, Manzi S, Lancellotti I, et al. Composites obtained by recycling carbon fibre/epoxy composite wastes in building materials[J]. Construction and Building Materials, 2019, 204: 296-302.

[20] Cheng Huanbo, Sun Yu, Wang Xin, et al. Recycling carbon fiber/epoxy resin composites by thermal excita- tion oxide semiconductors[J]. Fibers and Polymers, 2019, 20(4): 760-769.

[21] Zhao Xu, Wang Xionglei, Tian Fei, et al. A fast and mild closed-loop recycling of anhydride-cured epoxy through microwave-assisted catalytic degradation by trifunctional amine and subsequent reuse without separa- tion[J]. Green Chemistry, 2019, 21(9): 2487-2493.

[22] Yang Jingxian, Li Tong, Ning Yongzhong, et al. Molecular characterization of resistance, virulence and clonality in vancomycin-resistant enterococcus faecium and enterococcus faecalis: a hospital-based study in Beijing, China[J]. Infection, Genetics and Evolution, 2015, 33: 253-260.

[23] 杨世芳, 杨晓磊, 谢军, 等. 黑曲霉菌对废旧电缆聚乙烯降解效果及反应机理研究[J]. 电工技术学报, 2024, 39(1): 76-87, 98.

Yang Shifang, Yang Xiaolei, Xie Jun, et al. Degrada- tion effect and degradation mechanism of Aspergillus niger on polyethylene components of waste cables[J]. Transactions of China Electrotechnical Society, 2024, 39(1): 76-87, 98.

[24] Li Juan, Xu Pinglai, Zhu Yingke, et al. A promising strategy for chemical recycling of carbon fiber/ thermoset composites: self-accelerating decomposition in a mild oxidative system[J]. Green Chemistry, 2012, 14(12): 3260-3263.

[25] Zhu Jihua, Chen Piyu, Su Meini, et al. Recycling of carbon fibre reinforced plastics by electrically driven heterogeneous catalytic degradation of epoxy resin[J]. Green Chemistry, 2019, 21(7): 1635-1647.

[26] 聂常洪, 宗家欢, 袁纪贤. 二丙二醇甲醚/二丙二醇丁醚在水性木器涂料中的应用[J]. 中国涂料, 2016, 31(9): 55-59.

Nie Changhong, Zong Jiahuan, Yuan Jixian. Application of dipropylene glycol methyl ether/dipropylene glycol butyl ether in waterborne wood coatings[J]. China Coatings, 2016, 31(9): 55-59.

[27] Wei M M, Stewart R. Mechanisms of permanganate oxidation. Ⅷ. Substituted benzylamines[J]. Journal of the American Chemical Society, 1966, 88(9): 1974- 1979.

[28] 易松, 肖增钧, 肖放, 等. 一种二丙二醇二甲醚的制备方法: CN108586210A[P]. 2018-09-28.

[29] 张静, 张宏龙, 王定祥, 等. 强化高锰酸钾氧化体系中自由基的产生与利用研究进展[J]. 环境化学, 2021, 40(2): 487-496.

Zhang Jing, Zhang Honglong, Wang Dingxiang, et al. Generation and utilization of radicals during enhanced permanganate oxidation: a review[J]. Environmental Chemistry, 2021, 40(2): 487-496.

[30] 刘云鹏, 黎馨阳, 刘贺晨, 等. 基于亚胺键的香草醛基可降解环氧树脂综合性能研究[J]. 电工技术学报, 2025, 40(7): 2267-2281.

Liu Yunpeng, Li Xinyang, Liu Hechen, et al. Comprehensive performance study of vanillin-based degradable epoxy resin based on imine bonding[J]. Transactions of China Electrotechnical Society, 2025, 40(7): 2267-2281.

[31] 丁嘉乐, 贾倩倩, 李峰, 等. 高压绝缘用环氧树脂配方体系研究进展[J]. 绝缘材料, 2024, 57(12): 9-19.

Ding Jiale, Jia Qianqian, Li Feng, et al. Research progress on epoxy resin formulation system for high- voltage insulation[J]. Insulating Materials, 2024, 57(12): 9-19.

[32] 张重远, 苏铮, 李乐, 等. 轻质高绝缘复合芯体制备及其在66 kV复合横担中的应用[J]. 高压电器, 2024, 60(4): 56-64.

Zhang Zhongyuan, Su Zheng, Li Le, et al. Preparation of light-weight and high insulation composite core and its application in 66 kV composite cross-arm[J]. High Voltage Apparatus, 2024, 60(4): 56-64.

[33] Mertzel E, Koenig J L. Application of FT-IR and NMR to epoxy resins[M]//Dušek K. Epoxy Resins and Composites Ⅱ. Berlin/Heidelberg: Springer- Verlag, 2005: 73-112.

[34] 王旗, 李喆, 尹毅. 微、纳米无机颗粒/环氧树脂复合材料击穿强度性能[J]. 电工技术学报, 2014, 29(12): 230-235.

Wang Qi, Li Zhe, Yin Yi. The effect of micro and nano inorganic filler on the breakdown strength of epoxy resin[J]. Transactions of China Electrotech- nical Society, 2014, 29(12): 230-235.

[35] Lubbers R J M, Dilokpimol A, Visser J, et al. Aspergillus Niger uses the peroxisomal CoA-dependentb-oxidative genes to degrade the hydroxycinnamic acids caffeic acid, ferulic acid, and p-coumaric acid[J]. Applied Microbiology and Biotechnology, 2021, 105(10): 4199-4211.

[36] 刘贺晨, 孙章林, 刘云鹏, 等. 基于酯交换的可回收类玻璃化环氧树脂制备与性能研究[J]. 电工技术学报, 2023, 38(15): 4019-4029.

Liu Hechen, Sun Zhanglin, Liu Yunpeng, et al. Preparation and properties of recyclable vitrified epoxy resin based on transesterification[J]. Trans- actions of China Electrotechnical Society, 2023, 38(15): 4019-4029.

The Swelling and Oxidation Synergistic Pretreatment Mechanism to Accelerate the Biodegradation of Epoxy Resin

Yang Shifang1 Guo Yiliang1 Liu Yunpeng1 Wang Zhong2 Tong Mengyang1 Chu Zian1 Mi Jizhe3

(1. Department of Electrical Engineering North China Electric Power University Baoding 071000 China 2. College of Electrical Engineering Sichuan University Chengdu 610000 China 3. State Grid Baoding Electric Power Supply Company Baoding 071051 China)

Abstract Epoxy resin, which has been widely and extensively applied in the field of electrical insulation because of its outstanding structural stability, encounters significant hurdles in the recycling process. This is primarily attributed to its highly cross-linked network structure. Traditional physical and chemical pretreatment methods often involve harsh conditions, high costs, or environmental risks. In order to accelerate the degradation, this paper proposes a synergistic pretreatment strategy. It makes use of Dipropyleneglycol dimethyl ether(DMM), a green solvent, and low-concentration KMnO4 to disrupt the structural integrity of the epoxy resin under relatively mild operating conditions.

A total of 45 experimental groups were meticulously and systematically designed to assess the impacts of various parameters. The experimental parameters were set as follows: reaction temperature 85~99℃, duration 30~90 min; KMnO4 solutions at 0.1 and 0.5 mol/L; and treatment modes—DMM and KMnO4 were applied either individually or in combination. Thermogravimetric analysis (TGA), differential scanning calorimetry (DSC), Fourier-transform infrared spectroscopy (FTIR), dynamic mechanical analysis (DMA), and scanning electron microscopy (SEM) were utilized to evaluate thermal stability, cross-linking density, mechanical properties, and morphological changes. Meanwhile, this paper explores the action mechanisms of different treatment methods.

According to the experimental results, this pretreatment method significantly reduces the physical stability and chemical cross-linking degree of the epoxy resin. At the same time this paper proposes that the mechanism of action of DMM is to penetrate into the structure of the epoxy resin through swelling, making the original system loose. At the same time, it forms a new system with the epoxy resin through hydrogen bonding, thereby reducing its physical stability. Potassium permanganate will form different oxidation products under different reaction conditions, and specific reaction pathways are proposed in this paper. When applied to Aspergillus niger mediated biodegradation, pretreated samples exhibited accelerated degradation. After 30 days, the Tg of combined-pretreated samples decreased to 40~45℃, compared to 90~95℃ for untreated controls. Pretreatment makes the surface of the sample rough and rich in hydroxyl groups, which enhances the attachment and reproduction of Aspergillus niger.

Keywords:Dipropylene glycol dimethyl ether swelling agent, swelling mechanism, KMnO4 solution, oxidation mechanism, degradation pretreatment

作者简介

杨世芳 女,1994年生,副教授,硕士生导师。研究方向为高电压外绝缘,包括生物染污放电理论、电网退役材料环保再利用、硅橡胶抗老化、SF6无害化降解、计算机视觉识别、绝缘优化配置、新型电缆测试技术、接地极防腐蚀等。

E-mail: yangsf@ncepu.edu.cn(通信作者)

郭奕良 男,2001年生,硕士研究生,研究方向为环氧树脂环保降解。

E-mail: 2650630685@qq.com

中图分类号:TM216+.3

DOI: 10.19595/j.cnki.1000-6753.tces.250078

国家自然科学基金(52207154)、智能电网国家科技重大专项项目(2025ZD0808800)子课题(2025ZD0808801)、河北省自然科学基金(E2023502087)和中央高校基本科研业务费专项资金(2025MS111)资助项目。

收稿日期 2025-01-13

改稿日期 2025-03-31

(编辑 李 冰)