风机电加热融冰叶片的雷击接闪特性

王 欢1 胡 琴1 舒立春1 蒋兴良1 唐芳纯2

(1. 重庆大学雪峰山能源装备安全国家野外科学观测研究站 重庆 400044 2. 华润电力技术研究院有限公司 东莞 523808)

摘要 风机叶片的覆冰和雷击问题突出,电加热融冰技术能较好地解决叶片覆冰问题,但电加热融冰叶片(简称融冰叶片)的雷击接闪问题还有待深入研究。该文根据叶片覆冰防护区域设计了融冰叶片,并遵循相似性理论,在雪峰山国家野外站搭建了缩比风机叶片长间隙放电试验平台,研究了融冰叶片的雷击接闪特性,分析了接闪点的雷击概率,并与普通叶片进行对比。结果表明:融冰叶片的雷击接闪具有极性效应,导致在正极性雷击时接闪点及其概率分布更为分散。融冰叶片电热元件的雷击烧蚀损伤风险较为突出,其雷击概率与雷电的位置和极性、叶片状态有关;电热元件的雷击概率在雷电来自迎风面时最大(背风面时为0)、正极性雷击或叶片旋转时明显更高。与普通叶片相比,融冰叶片电热元件的邻域电场会产生畸变和屏蔽引下线电场,导致其接闪器及叶身的雷击概率下降,接闪点转移至电热元件,尤其是其边缘处。该文试验结果明晰了融冰叶片的雷击风险,并可为其防雷设计提供指导。

关键词:风机叶片 电加热融冰 雷击放电 接闪特性 雷击概率 失效机制

0 引言

我国“双碳”战略目标促进了风电产业的快速发展[1-3]。2023年,我国风电新增与累计装机容量分别达到75.9 GW与441.34 GW,发电量达到8 090亿kW·h,这表明风电在电网中扮演着重要角色。然而,风机常安装在山区、高原等高湿寒冷地区,导致叶片易遭受雷击和覆冰灾害,严重威胁风机的安全可靠运行[4]

目前,叶片配置接闪器和引下线组成的防雷系统以保护其免遭雷击而损坏[5],但现场观测数据表明叶片防雷系统频繁出现拦截失败的情况[6]。据统计,叶片的雷击损坏率为0.4~11.9次/(百台·年),并随着机组容量的增加而升高[7]。为探明风机叶片的雷击接闪机理,指导其防雷系统优化设计以提升拦截效率,学者们进行了大量的现场观测[6]、数值计算[8-9]及放电试验[10-15]研究。其中,遵循相似性理论开展的长间隙放电试验备受青睐。研究者们通过对弧形电极施加-250/2 500 ms电压波形向缩比风机放电,研究了叶片旋转[10]、间隙大小[11]及接闪器型式[12]对风机引雷能力的影响,但并未考虑除叶尖接闪器外的其他类型接闪器、正极性放电和雷电位置等因素的影响。当高压端为棒电极时,文献[13]使用-1.2/50 ms电压波形,获得了多个雷电位置和叶片角度下的接闪特性,但缺乏对正极性放电和叶片旋转的探索;文献[14]使用±250/2 500 ms电压波形,研究了叶片旋转对其接闪特性的影响,但仅考虑了棒电极在机舱正上方的情况。文献[15]将棒电极与弧形电极相比,发现前者更适合研究叶片的接闪特性和分析防雷系统的拦截性能。

风机叶片覆冰会导致功率损失[16],可以采用涂层、机械力及热力等防/除冰技术予以解决[17-18]。其中,利用贴覆或预埋在叶片表面的电热元件(如电阻丝、电热片和电热膜等)的电流热效应进行防/除冰的电加热融冰技术最为有效[19],但该技术在应用时并未充分考虑其雷击风险及其对原有叶片防雷系统的影响,导致电热元件易遭受雷击而损坏[20],使该技术进一步推广受阻。目前,仅文献[21]对电加热融冰叶片(简称融冰叶片)开展了接闪特性试验,发现接闪器的拦截效率最低仅为55%,导致电热元件易遭受雷击,但电热元件贴覆区域稍大,可能导致结果出现偏差,也并未考虑正极性雷击的 影响。

综上所述,考虑到目前对融冰叶片接闪特性的研究较为缺乏,电热元件的雷击烧蚀损伤风险不明,本文根据叶片覆冰防护区域设计了融冰叶片,并在重庆大学雪峰山能源装备安全国家野外科学观测研究站(简称雪峰山国家野外站)搭建了缩比风机叶片长间隙雷击放电试验平台,考虑棒电极位置和电压极性,对静止与旋转的融冰/普通叶片进行接闪特性试验,分析接闪特性与雷击概率,并讨论叶片防雷系统的失效机制。

1 试验对象、平台及方法

1.1 试验对象

在雪峰山国家野外站长期对风机叶片进行多次自然雨凇覆冰观测发现:随着覆冰时间的增加,叶片覆冰不断增长,其覆冰区域不断增大;当叶片展向覆冰长度达到叶片总长的70%、迎风面和背风面覆冰分别约占翼形弦长的23%和12%时,叶片覆冰区域趋于饱和;随着覆冰时间继续增加,覆冰区域不再增大。风机叶片典型覆冰及区域示意图如图1所示。因此,考虑到距叶尖约1/3叶片总长区域内的覆冰对机组出力贡献最大[22],并且增加约5%的裕度以保证叶片融冰效果,本文将距叶尖35%叶片长度、迎风面和背风面分别占翼形弦长的28%和17%作为叶片覆冰防护区域,进行电热元件的贴覆。

width=169.8,height=133.8

图1 风机叶片自然覆冰

Fig.1 Natural icing of wind turbine blades

本文参考3 MW风机,以1width=6.1,height=10.8530的缩比风机作为试验对象,如图2所示。其中,叶片的材质为玻璃钢、长度为1.68 m;单支叶片防雷系统包含3个接闪器,分别距叶尖3、38、73 cm,并分别命名为接闪器1、2、3,接闪器的半径为4 mm,各接闪器通过横截面积为2.5 mm2的引下线相连;机舱处安装直径为0.8 cm、长度为7 cm的避雷针;以铜箔等效电热元件,并贴覆在叶片覆冰防护区域,并且铜箔与引下线相连[21]

width=170.5,height=151.45

图2 试验对象

Fig.2 Experimental object

1.2 试验平台

由于雷电先导的发展过程与气压、温湿度和海拔有关[23],故为避免环境条件差异影响结果的准确性,本文选择与实际风电场临近的雪峰山国家野外站作为试验场所。该野外站的海拔为1 500 m,雷击频率高,最大风速为35 m/s,其环境条件与实际风电场十分相似;并且建设有4 800 kV冲击电压发生器及其控制平台、分压器,十分适合开展风机叶片长间隙雷击放电试验。因此,本文在雪峰山国家野外站搭建了缩比风机叶片长间隙雷击放电试验平台,试验平台现场图及示意图如图3所示。其中,为真实模拟雷电下行先导,选择棒电极作为高压电极[14];使用放置在轮毂正前方或侧方的尼康单反相机拍摄视频记录放电路径和接闪点,其帧率为60帧/s、感光度为200~1 600(具体取值根据环境照度强弱选择)。考虑到自然雷电发展路径的随机性和多样性,将高压电极分别置于风机塔筒的正上方(位置A)、迎风面(位置B)、背风面(位置C)及侧面(位置D),以模拟不同方位的雷电击中叶片。由于雷电击距刻画了雷电先导发展的最后阶段[9],为保证本文试验与自然雷击的等价性,可利用标准IEC 62305-1:2006推荐的雷电击距公式[13]确定棒电极与风机轮毂的距离,即

width=46.85,height=19 (1)

式中,d为雷电击距,m;Ip为雷电流峰值,kA。

width=213.95,height=353.9

图3 试验平台

Fig.3 Experimental platform

试验中选择91 m的雷电击距模拟30 kA的雷电流击中风机,即棒电极与缩比风机中心O的距离始终保持为3 m;而位置B、C、D处于同一水平面且与中心点O的水平距离为2.2 m,如图3所示。

1.3 试验方法

实际中,风机叶片遭受雷击时可能处于停机或运行状态,故本文对融冰叶片和普通叶片在静止(不同角度)与自然旋转状态下开展雷击接闪特性试验,试验方法如下。

1)试验波形:由于操作波产生的空间电场与自然雷击在近地面产生的电场近似[14-15],本文选择±250/2 500 ms的标准操作波作为试验波形。

2)叶片状态:将融冰/普通叶片在静止状态时的角度分别设置为0°、30°和60°,如图4所示;旋转状态则以实际风速自然地驱动其旋转而实现。

3)接闪试验:①确定棒电极位置和叶片状态(静止或旋转);②选择电压极性,并对棒电极施加电压,其电压值需保证接闪点能够随机分布在叶片的任意位置及机舱上;③通过尼康单反相机视频记录接闪过程和接闪点,并且每种工况进行20次重复放电试验;④对记录结果进行处理,得到叶片接闪时的放电路径、接闪点与转速。

width=191.55,height=93.75

图4 静止状态下的叶片角度

Fig.4 Blade angles at static state

2 试验结果与分析

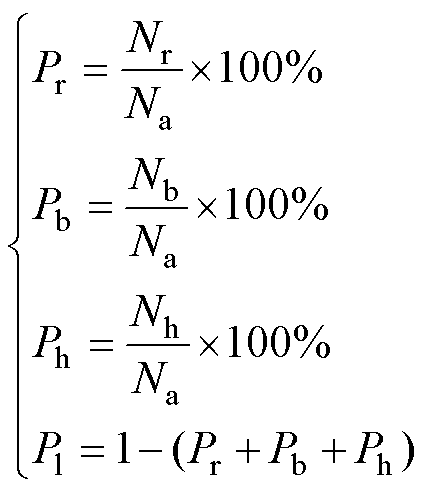
当雷击发生时,风机的潜在接闪点有接闪器1~3、避雷针、叶身及电热元件,并分别以N1N3NrNbNh代表其各自遭受雷击的次数。本文定义某一情况下各潜在接闪点的雷击概率,以便刻画其遭受雷击的风险,从而为融冰叶片防雷系统设计与优化提供指导。各潜在接闪点雷击概率表示为

width=93.05,height=107.3 (2)

式中,Na为某一情况下的雷击总次数;PrPbPh分别为避雷针、叶身与电热元件的雷击概率;Pl为叶片防雷系统(即接闪器)的雷击概率。

2.1 静止叶片雷击接闪试验结果与分析

2.1.1 负极性雷击接闪特性

当高压电极固定时,得到不同角度下融冰/普通叶片的负极性雷击接闪试验结果见表1,典型放电路径如图5所示。

当电极在正上方时,融冰叶片的接闪点为接闪器1(图5a)和电热元件,且电热元件的雷击次数随叶片角度的增大而增加。当电极在迎风面时,融冰叶片的接闪规律与电极在正上方时相似,唯一区别为在叶片角度为60°时出现了2次击中接闪器2,如图5b所示。当电极在背风面时,融冰叶片的接闪点为接闪器1和避雷针(图5c),电热元件无雷击风险;并且随着叶片角度的增加,接闪器1的雷击次数逐渐下降,而避雷针则相反。当电极在侧面时,融冰叶片的接闪点与电极在正上方时相同,但随着叶片角度的增加,电热元件的雷击次数先减小后增加,图5d显示了负极性雷击中电热元件迎风面边缘的情况。

表1 负极性雷击下静止叶片的接闪特性

Tab.1 Attachment characteristics of stationary blades under negative lightning strikes

位置角度/(°)雷击次数(融冰/普通叶片) N1N2N3NrNbNh A019/200/00/00/00/01/0 3018/200/00/00/00/02/0 6017/200/00/00/00/03/0 B019/200/00/00/00/01/0 3017/200/00/00/00/03/0 6014/182/20/00/00/04/0 C020/200/00/00/00/00/0 3013/40/00/07/160/00/0 600/00/00/020/200/00/0 D017/200/00/00/00/03/0 3018/200/00/00/00/02/0 6017/200/00/00/00/03/0

width=220.75,height=199.7

图5 融冰/普通叶片典型负极性雷击放电路径

Fig.5 Typical negative lightning strike discharge paths for ice-melting/ordinary blades

此外,普通叶片的接闪点为接闪器1和2(图5e)与避雷针(图5f),其分布较为集中,并未出现雷电击中叶身的情况,说明普通叶片的防雷系统和避雷针对负极性雷电具有很好的拦截效果,尤其是接闪器1能拦截来自正上方、迎风面和侧面的绝大部分雷电。

将融冰叶片与普通叶片的接闪结果进行对比发现,融冰叶片接闪点同样较为集中,并且也不存在击中叶身的情况;但由于融冰叶片表面存在电热元件,改变了叶片表面的邻域电场分布,影响了接闪器1的拦截性能,使得潜在接闪点由接闪器1转向电热元件。

通过式(2)计算单个和所有电极位置全部角度下静止融冰叶片潜在接闪点的雷击概率分布,如图6所示。从而可得:融冰叶片防雷系统及避雷针能很好地拦截来自背风面的所有雷电,电热元件和叶身无雷击概率;当电极在正上方、迎风面和侧面时,电热元件的雷击概率分别为10%、13.33%和13.33%,三者相差不大。在所有电极位置下,融冰叶片的接闪器、电热元件、叶身及避雷针的雷击概率分别为79.58%、9.17%、0%和11.25%。因此,在负极性雷击下,虽然静止融冰叶片的叶身无雷击概率,但其电热元件的雷击概率不低于9.17%,尤其是迎风面最为突出。考虑到现有电热元件主要为电阻丝、电热片和电热膜等[17],其厚度较小且额定电流不超过100 A,而雷电流幅值常为几十kA,这容易使电热元件产生雷击烧蚀损伤,破坏其融冰功能。此外,图6中还显示出各潜在接闪点的雷击概率分布较为集中。

width=211.25,height=269.65

图6 静止融冰叶片负极性雷击概率分布

Fig.6 Probability distribution of negative lightning strikes on stationary ice-melting blades

2.1.2 正极性雷击接闪特性

当高压电极固定时,得到不同角度的融冰/普通叶片的正极性雷击接闪试验结果见表2,典型雷击放电路径如图7所示。

表2 正极性雷击下静止叶片的接闪特性

Tab.2 Attachment characteristics of stationary blades under positive lightning strikes

位置角度/(°)雷击次数(融冰/普通叶片) N1N2N3NrNbNh A018/200/00/00/00/02/0 3015/120/20/00/02/63/0 603/46/51/113/04/03/0 B06/162/42/00/01/09/0 305/52/106/30/00/27/0 600/15/1010/90/01/04/0 C00/00/40/020/50/110/0 300/00/00/020/170/30/0 600/00/20/020/180/00/0 D07/161/20/00/00/212/0 3020/200/00/00/00/00/0 6020/200/00/00/00/00/0

width=220.1,height=199.7

图7 融冰/普通叶片典型正极性雷击放电路径

Fig.7 Typical positive lightning discharge paths for ice-melting/ordinary blades

当电极在正上方时,融冰叶片的所有潜在接闪点均被击中;随着叶片角度的增加,接闪点越发分散,避雷针和叶身的雷击次数也有所增加,而电热元件的雷击次数由2次变为3次,变化不明显,图7a所示为雷电击中电热元件背风面的边缘处。当电极在迎风面时,融冰叶片的接闪点为接闪器、叶身和电热元件,较为分散;在叶片角度为0°和30°时均出现1次击中叶身的情况;随着叶片角度增加,接闪点从叶尖向叶根移动,而电热元件的雷击次数由9次逐渐减小至4次,表明虽然电热元件的雷击风险逐渐降低,但其雷击风险依然突出,图7b所示为雷电击中电热元件前缘。当电极在背风面时,不论融冰叶片角度如何,所有雷电均被避雷针拦截,未出现击中电热元件的情况,放电路径如图7c所示。当电极在侧面时,未出现击中叶身的情况;其中,当叶片角度为0°时,接闪器1、2和电热元件的雷击次数分别为7次、1次和12次,说明该工况下电热元件的雷击风险较为突出,图7d所示为雷电击中电热元件前缘;其余叶片角度下雷电均击中接闪器1。

此外,普通叶片的接闪点为接闪器(图7e)、避雷针及叶身(图7f),较为分散,240次雷击放电中出现了24次击中叶身的情况,说明叶片防雷系统及避雷针对正极性雷电的拦截性能有待提高,尤其是应对来自背风面的雷电的能力较差。

将融冰叶片与普通叶片的接闪结果进行对比发现,融冰叶片的接闪点分布及其雷击次数发生了不同程度的改变,叶身的总雷击次数明显较少,但电热元件的雷击次数较高;这是因为叶片表面的电热元件改变了邻域电场分布,造成接闪器拦截性能受到不同程度的影响,接闪点由各接闪器和叶身向电热元件转移,例如,叶片角度为0°、电极在非背风面时,各接闪器的雷击次数减小,而电热元件的雷击次数增加。

通过式(2)计算单个和所有电极位置全部角度下融冰叶片潜在接闪点的雷击概率分布,如图8所示。从而可知:避雷针可以100%拦截来自背风面的所有雷电,叶身和电热元件无雷击概率;当电极在正上方和迎风面时,叶身均有雷击概率,且在正上方时最大(10%),说明接闪器性能有待改善;当电极在非背风面时,电热元件均有不低于13.33%的雷击概率,且在迎风面时概率最大(33.33%)。在所有电极位置下,静止融冰叶片的接闪器、电热元件、叶身及避雷针的雷击概率分别为53.75%、16.67%、3.33%和26.25%;与负极性雷击时相比,接闪器的雷击概率下降明显,其余接闪点的雷击概率均增加,其中电热元件的雷击概率增加了7.5个百分点,说明静止融冰叶片的正极性雷击风险更大,电热元件因雷击烧蚀损伤导致其融冰功能被破坏的可能性也更大,应更加重视正极性雷击对融冰叶片造成的破坏。因此,融冰叶片防雷系统对正极性雷电的拦截性能有待提高,尤其是拦截来自迎风面的雷电,而避雷针的拦截作用也不容忽视。图8中显示各潜在接闪点的雷击概率分布较为分散。

width=211.25,height=260.85

图8 静止融冰叶片正极性雷击概率分布

Fig.8 Probability distribution of positive lightning strikes on stationary ice-melting blades

2.2 自然旋转叶片接闪特性试验结果与分析

2.2.1 负/正极性雷击下旋转叶片接闪试验结果

与现有文献采用变频电机驱动叶片旋转不同,本文在与实际风电场环境条件极为相似的雪峰山国家野外站内,首次采用自然风速驱动叶片旋转,以期更为真实地模拟和获得可信的结果。因此,对叶片自然旋转状态下的试验结果进行统计,得到不同电极位置下融冰/普通叶片的接闪特性见表3,融冰叶片接闪时转速与接闪点的分布如图9所示。

表3 负/正极性雷击下旋转叶片的接闪特性

Tab.3 Attachment characteristics of rotating blades under negative/positive lightning strikes

极性位置雷击次数(融冰/普通叶片) N1N2N3NrNbNh 负A16/200/00/00/00/04/0 B16/190/10/00/00/04/0 C17/120/00/03/80/00/0 D17/200/00/00/00/03/0 正A16/130/30/11/10/23/0 B3/52/84/20/00/511/0 C0/00/00/018/182/20/0 D14/170/30/00/00/06/0

width=222.1,height=383.1

图9 融冰叶片转速与接闪点的分布

Fig.9 Distribution of ice-melting blade speed and attachment points

2.2.2 旋转叶片负极性雷击接闪特性分析

普通叶片的接闪点主要为接闪器1和避雷针,而接闪器2仅电极在迎风面时被击中1次,说明接闪点分布较为集中;旋转融冰叶片的接闪点可能为接闪器1、避雷针或电热元件,其分布也较为集中。与普通叶片相比,融冰叶片的接闪点由接闪器1向电热元件转移,说明电热元件会影响叶片防雷系统的拦截性能。

通过式(2)计算单个和所有电极位置融冰叶片潜在接闪点的雷击概率分布,如图10所示。由图10可知,当电极在非背风面时,旋转融冰叶片的负极性雷击概率分布规律非常相似,其接闪点均为接闪器1和电热元件,且前者的雷击概率相较于后者明显更高,未出现击中叶身的情况,电热元件的雷击概率不低于15%;并且与静止时相比,电热元件在每个电极位置下的负极性雷击概率均有所增加,说明叶片旋转会使得电热元件更易遭受雷击。当电极在背风面时,接闪点为接闪器1和避雷针,且雷击概率分别为85%和15%,未出现击中电热元件的情况。在所有电极位置下,旋转融冰叶片的接闪器、电热元件、叶身及避雷针的雷击概率分别为82.50%、13.75%、0%和3.75%;与静止融冰叶片遭受负极性雷击时相比,电热元件和接闪器的雷击概率分别增加了4.58和2.92个百分点,避雷针的雷击概率下降了7.5个百分点,这说明融冰叶片旋转会影响邻域空间电荷分布,进而影响其防雷系统及避雷针的拦截性能,造成旋转状态下的电热元件负极性雷击风险更为突出,电热元件遭受雷击烧蚀损伤而使其融冰功能被破坏的可能性也更大。图10中显示各潜在接闪点的负极性雷击概率分布较为集中。

width=213.3,height=273.05

图10 旋转融冰叶片负极性雷击概率分布

Fig.10 Probability distribution of negative lightning strikes on rotating ice-melting blades

此外,如图9a所示,负极性雷击中电热元件时的转速为120~210 r/min,但具体到某个电极位置,击中电热元件时的转速可能偏大、居中或偏小;并且其余接闪点与叶片转速的关系也不明显。因此,可认为接闪点的分布只与电极位置相关,与转速大小无关。然而,试验发现旋转的融冰叶片会影响其邻域空间电荷分布,进而影响雷击放电通道,产生类似“拉弧”现象,这与文献[10, 14, 24]中的结果一致,同时也佐证了本文模拟试验的有效性。叶片旋转时的典型放电通道如图11所示。“拉弧”现象可能会烧蚀叶片接闪器附近的绝缘材料,危害叶片的机械强度。

width=208.55,height=116.15

图11 叶片旋转时的典型放电通道

Fig.11 Typical discharge channel during blade rotation

2.2.3 旋转叶片正极性雷击接闪特性分析

与负极性雷击时不同,旋转融冰/普通叶片的正极性雷击接闪点分布均较为分散,所有潜在接闪点均有可能被击中;但与普通叶片相比,融冰叶片存在电热元件,导致接闪器和叶身的雷击次数变化较大,接闪点向电热元件移动,这可能是由于叶片表面的电热元件改变了邻域电场分布,影响了电晕的起始和发展,使接闪器拦截性能受到不同程度的影响。

通过式(2)计算单个和所有电极位置的融冰叶片接闪点雷击概率分布如图12所示。从而可知:当电极在正上方、迎风面及侧面时,旋转融冰叶片电热元件的雷击概率分别为15%、55%和30%,与融冰叶片静止时相比均有所增加,并且在迎风面出现最大值55%(比静止时增加了21.67个百分点),说明当雷电位于迎风面时,融冰叶片电热元件的正极性雷击风险最为突出。图13所示为电热元件的迎风面边缘和前缘被击中。而当电极在背风面时,电热元件无雷击风险,但叶身的雷击概率为10%。所有电极位置下,接闪器、电热元件、叶身及避雷针的雷击概率分别为48.75%、25%、2.5%和23.75%,与静止融冰叶片正极性雷击时相比,旋转融冰叶片的接闪器、叶身和避雷针的雷击概率分别降低了5、0.83和2.5个百分点,电热元件雷击概率增加了8.33个百分点,说明融冰叶片旋转会影响其邻域空间电荷分布,进而影响其防雷系统和避雷针的拦截性能,造成旋转状态下的电热元件正极性雷击风险更为突出,电热元件因雷击烧蚀损伤而破坏其融冰功能的可能性更大,而叶身的雷击风险相差不大。此外,与旋转融冰叶片负极性雷击时相比,接闪器的雷击概率下降了33.75个百分点,电热元件和避雷针的雷击概率分别增加了11.25和20个百分点,叶身雷击概率由0%增至2.5%,说明旋转融冰叶片的正极性雷击风险更为突出,电热元件遭受雷击烧蚀损伤的可能性也更大,而接闪器的拦截性能下降明显,故在进行融冰叶片防雷设计时,应重视接闪器对正极性雷击的拦截效果,而避雷针的作用同样不可忽视。图12中显示各潜在接闪点的雷击概率分布较为分散。

width=211.25,height=264.9

图12 旋转融冰叶片正极性雷击概率分布

Fig.12 Probability distribution of positive lightning strikes on rotating ice-melting blades

width=178.65,height=87.6

图13 正极性雷击融冰叶片的放电路径

Fig.13 Discharge path of a positive lightning strike on an ice-melting blade

此外,如图9b所示,与负极性雷击时相似,虽然正极性雷击中叶身或电热元件的转速为120~210 r/min,但接闪点的分布只与电极位置相关,与转速大小无关,而融冰叶片旋转同样会影响放电通道,在此不再赘述。

3 讨论

3.1 融冰叶片接闪的极性效应

通过分析试验结果发现,与普通叶片相比,融冰叶片的雷击接闪同样具有极性效应,即:融冰叶片的负极性雷击接闪点及其概率分布较为集中,而正极性雷击接闪点及其概率分布较为分散,并且电热元件的正极性雷击概率明显更大。其原因为:①与负极性雷击相比,融冰叶片在正极性雷击时的上行先导起始较难。这是因为正极性雷击下,作为负极性的融冰叶片电晕起始较为容易,但电晕发展为流注并转化为上行先导需要更高的电场强度,这就需要下行先导继续发展;但这会造成各接闪器及电热元件间的邻域电场强度差异减小,尤其是叶片角度越大,电场强度差异减小越明显,增加了潜在接闪点的不确定性,从而造成雷电击中非接闪器1的位置。②与负极性雷击相比,融冰叶片在正极性雷击下起始的上行先导对下行先导的吸引能力较弱,导致下行先导的发展不受束缚;而融冰叶片各潜在接闪点存在竞争上行先导,这就导致上、下行先导的连接具有随机性,增加了叶片击中非接闪器1的可能性。

3.2 融冰/普通叶片雷击概率对比

考虑到现有叶片雷击损坏统计结果并未区分雷电的极性及位置,为对比融冰/普通叶片的接闪特性,本文通过式(2)求出不同电极位置下融冰/普通叶片在不区分极性时的雷击概率分布,如图14所示,而融冰/普通叶片在所有电极位置下的雷击概率对比见表4。

width=213.3,height=274.4

图14 不同电极位置下融冰/普通叶片的雷击概率

Fig.14 Lightning strike probability for ice-melting/ ordinary blades at different electrode positions

表4 融冰/普通叶片雷击概率对比(所有位置)

Tab.4 Comparison of the probability of lightning strikes on ice-melting/ordinary blades (all positions)(%)

极性叶片PrPbPhPl 负极性融冰叶片9.38010.3180.31 普通叶片13.750086.25 正极性融冰叶片25.633.1218.7552.50 普通叶片18.4410.31071.25 不区分融冰叶片17.501.5614.5366.41 普通叶片16.095.16078.75

从图14可知,不区分雷电极性时,与普通叶片相比,不同电极位置下,融冰叶片接闪器与叶身的雷击概率均有不同程度的变化;尤其是当电极在正上方、迎风面和侧面时,融冰叶片接闪器的雷击概率下降明显,而电热元件的雷击概率分别为13.13%、26.88%和18.12%,并且在迎风面最大,说明电热元件严重影响了接闪器(即叶片防雷系统)的拦截性能,导致其雷击风险突出,使得电热元件面临极大的雷击烧蚀损伤风险,从而影响其正常的融冰功能。

从表4可知,所有电极位置下,与普通叶片相比,无论是否区分雷电极性,融冰叶片接闪器的雷击概率均有不同程度的下降,尤其是正极性雷击时,雷击概率低至52.50%,比普通叶片下降了18.75个百分点;融冰叶片叶身的正极性雷击概率也有所下降;电热元件有不低于10.31%的雷击概率,尤其是正极性雷击概率达到了18.75%。这说明融冰叶片的接闪点从接闪器和叶身向电热元件转移,接闪器的拦截性能有待提高;此外,融冰叶片防雷系统及其避雷针的雷击概率之和相较于普通叶片更低,说明电热元件会影响风机原有防雷系统的拦截性能,故需要对融冰叶片进行雷击防护优化设计,以保证叶片本身与电热元件的雷击安全。

3.3 融冰叶片接闪失效机制分析

正、负极性雷击下,叶片接闪的物理过程可统一描述[25]为:当雷电下行先导不断发展时,叶片邻域电场强度逐渐增大,导致周围空气产生强烈的电离现象;当离子数超过临界值Nc时,初始电晕起始,产生电晕现象;当流注区的空间电荷量Q超过某值时,不稳定先导起始、发展,直至上、下行先导成功连接。其过程可简单表示为

width=127.7,height=29.2 (3)

width=40.75,height=16.3 (4)

width=203.1,height=33.3(5)

式中,ah 分别为电离系数和附着系数,且均为电场强度E的函数;Dl为碰撞电离区长度;KQ为几何因数;S为背景电势曲线和流注区电势曲线围成的面积;width=21.05,height=17width=19,height=17分别为第i次迭代时先导通道的头部电势和长度;width=12.25,height=14.95为常数;width=12.9,height=14.95为流注区的电场强度;width=14.95,height=14.95为先导通道的电场强度。

因此,考虑到叶片的雷击接闪过程与各潜在接闪点间的邻域电场强度息息相关,尤其是电晕的起始[26],本文参考文献[9, 21],在COMSOL中建立了风机叶片三维电场仿真模型,其仿真过程不再赘述。以雷电在正上方时为例,计算得到的风机叶片电场分布如图15~图17所示;其中,图16为接闪器2所在位置的二维截面邻域电场分布情况。

从图15~图17可知,与普通叶片相比,融冰叶片表面的电热元件具有良好的导电性,会导致叶片邻域电场分布发生变化,在电热元件附近发生电场强度畸变,尤其是在其边缘易起始电晕放电,导致接闪器拦截雷电失败而更易击中电热元件边缘[21],使得电热元件的雷击烧蚀损伤风险较大,与试验结果一致。例如,当叶片角度为0°时,在邻域电场强度方面,普通叶片和融冰叶片的接闪器1分别为1.38 kV/mm和0.76 kV/mm,接闪器2分别为0.87 kV/mm和0.40 kV/mm,而融冰叶片电热元件为0.50 kV/mm,说明电热元件的存在会影响电场分布,容易产生与接闪器相互竞争的上行先导,进而影响接闪器的拦截性能。此外,如图17所示,随着叶片角度从0°增加至30°或60°,各接闪器和电热元件的邻域电场强度差距较小,容易产生竞争上行先导,使得接闪点逐渐分散,并且击中电热元件的可能性也更大,与试验结果相符。

width=206.5,height=149.45

图15 风机叶片电场分布

Fig.15 Electric field distribution of wind turbine blades

width=184.1,height=246.55

图16 接闪器2截面处邻域电场分布

Fig.16 Neighborhood electric field distribution at receptor 2 cross section

width=182.7,height=135.85

图17 融冰叶片不同角度下接闪器与电热元件的邻域电场强度

Fig.17 Neighborhood field strength of receptors and electric heating element at different angles of ice-melting blade

如图16a所示,普通叶片材质常为具有绝缘性能的玻璃钢,在雷云产生的强电场环境下,绝缘叶片不能很好地屏蔽其内部引下线产生的电场,仅通过接闪器的相对位置与尖端优势对引下线进行“电场屏蔽”。因此,当雷电下行先导发展时,处于强电场环境下的叶片表面接闪器和离其稍远的内部引下线均会聚集感应电荷,形成局部感应电场,并在电场强度较大处产生流注或先导放电;引下线的放电行为发展至叶片壳体内表面时会被阻挡,这会造成叶片壳体外表面的空间电场强度增大,产生起始于叶片外表面的流注或上行先导放电,并与接闪器处的上行先导相互竞争;当叶片外表面的上行先导优先与下行先导连接时,出现雷电击穿叶片而附着于引下线的情况,从而造成接闪器拦截失败。

如图16b所示,与普通叶片相比,融冰叶片表面的电热元件对内部引下线的电场具有屏蔽作用,使得引下线的邻域电场强度降低,进而抑制了引下线的放电行为,减小了叶身的雷击概率,与本文试验结果相符;并且这为叶片防雷系统的优化提供了良好的思路:例如,研发能耐受雷击烧蚀的电热元件以形成叶片防雷与防冰一体化设计,或者在叶片合适位置外覆接地导体,以保护融冰叶片免遭雷击。

4 结论

本文在雪峰山国家野外站搭建了缩比风机叶片长间隙雷击放电试验平台,考虑雷电的正负极性及位置(正上方、迎风面、侧面及背风面)、叶片状态,通过试验研究了电加热融冰叶片的雷击接闪特性,并与普通叶片进行对比,可以得到以下结论:

1)与普通叶片相似,融冰叶片雷击接闪同样具有极性效应,即接闪点及其雷击概率分布在负极性雷击时较为集中,而在正极性雷击时较为分散。这是因为融冰叶片表面在正极性雷击时上行先导的起始较为困难,并且对下行先导的吸引能力较弱。

2)融冰叶片电热元件的雷击概率与雷电的位置和极性、叶片状态有关。当电极在迎风面时,电热元件的雷击概率最大,且旋转状态下正极性雷击概率高达55%,电极在背风面时雷击概率为0%;不同电极位置下,旋转状态下的电热元件雷击概率相较于静止状态更高,说明旋转融冰叶片的雷击风险更为突出;所有电极位置下,电热元件正极性雷击时的概率比负极性雷击时高。

3)所有电极位置下,与普通叶片相比,无论是否区分雷电极性,融冰叶片接闪器的雷击概率均有不同程度的下降,尤其是正极性雷击时下降了18.75个百分点,说明电热元件会影响接闪器的拦截性能;而电热元件有不低于10.31%的雷击概率,尤其是正极性雷击概率达到了18.75%,表明其雷击烧蚀损伤风险突出;叶身的正极性雷击概率也降低;接闪点从接闪器和叶身向电热元件移动,接闪器的正极性雷击概率最低仅为52.50%。因此,需要对融冰叶片进行防护优化,以避免其遭受雷击烧蚀损伤风险。

4)融冰叶片表面具有导电性的电热元件会改变叶片邻域电场分布,尤其是电热元件边缘的邻域电场强度畸变严重,有助于产生电晕并形成上行先导,导致接闪点由接闪器向电热元件转移。此外,电热元件对引下线有电场屏蔽的作用,以抑制其放电行为,从而使得融冰叶片相较于普通叶片的叶身雷击概率更低。因此,对叶片外覆接地导体,可降低雷击损伤风险。

本文通过试验全面地证明了电加热融冰叶片的雷击风险问题较为突出,使得电热元件极易遭受雷击烧蚀而损坏,因此在应用电加热技术时,必须采取有效的雷击防护措施,今后将对融冰叶片防护设计进行研究。

参考文献

[1] 马燕峰, 程有深, 赵书强, 等. 双馈风电场并网引起火电机组多模态次同步谐振机理分析[J]. 电工技术学报, 2025, 40(5): 1395-1410.

Ma Yanfeng, Cheng Youshen, Zhao Shuqiang, et al. Mechanism analysis of multi-mode SSR of thermal power unit caused by doubly fed wind farm integra- tion[J]. Transactions of China Electrotechnical Society, 2025, 40(5): 1395-1410.

[2] 张萍, 赵新贺, 聂鑫鹏, 等. 基于ATP-EMTP的风电机组塔筒二次雷电回击暂态分析[J]. 高压电器, 2023, 59(5): 163-169.

Zhang Ping, Zhao Xinhe, Nie Xinpeng, et al. Transient analysis of secondary lightning strike in wind turbine tower based on ATP-EMTP[J]. High Voltage Apparatus, 2023, 59(5): 163-169.

[3] 吕云龙, 胡琴, 胡紫园, 等. 考虑样本不平衡条件下风机叶片覆冰诊断及其可解释性研究[J]. 电工技术学报, 2025, 40(11): 3667-3679.

Lü Yunlong, Hu Qin, Hu Ziyuan, et al. Diagnosis and interpretability study of wind turbine blade icing under consideration of sample imbalance conditions [J]. Transactions of China Electrotechnical Society, 2025, 40(11): 3667-3679.

[4] 李庆民, 于万水, 赵继尧. 支撑“双碳” 目标的风光发电装备安全运行关键技术[J]. 高电压技术, 2021, 47(9): 3047-3060.

Li Qingmin, Yu Wanshui, Zhao Jiyao. Key technologies for the safe operation of wind and solar power generation equipment in support of the “peak CO2 emissions and carbon neutrality” policy[J]. High Voltage Engineering, 2021, 47(9): 3047-3060.

[5] International Electrotechnical Commission. Wind energy generation systems-part 24: lightning protection: IEC 61400-24: 2019[S]. Geneva: IEC, 2019.

[6] Candela Garolera A, Madsen S F, Nissim M, et al. Lightning damage to wind TurbineBlades from wind farms in the U.S[J]. IEEE Transactions on Power Delivery, 2016, 31(3): 1043-1049.

[7] 陈维江, 何天宇, 边凯, 等. 风机叶片雷击损伤及防护研究进展综述[J]. 高电压技术, 2019, 45(9): 2782-2796.

Chen Weijiang, He Tianyu, Bian Kai, et al. Review of research progress in lightning damage and protection of wind turbine blades[J]. High Voltage Engineering, 2019, 45(9): 2782-2796.

[8] 郭子炘, 李庆民, 任瀚文, 等. 基于雷电上行先导起始物理机制的风机叶片雷击概率评估模型[J]. 中国电机工程学报, 2018, 38(2): 653-662, 696.

Guo Zixin, Li Qingmin, Ren Hanwen, et al. Probabilistic risk assessment of lightning strike on wind turbine blades based on the physical mechanism of lightning upward leader inception[J]. Proceedings of the CSEE, 2018, 38(2): 653-662, 696.

[9] 周歧斌, 刘灿祥, 程彧, 等. 风机叶片雷击附着区域数值仿真及防护[J]. 高电压技术, 2017, 43(8): 2739-2745.

Zhou Qibin, Liu Canxiang, Cheng Yu, et al. Numerical simulation and protection of wind turbine blade lightning attachment zones[J]. High Voltage Engineering, 2017, 43(8): 2739-2745.

[10] 文习山, 屈路, 王羽, 等. 叶片转动对风机引雷能力影响的模拟试验研究[J]. 中国电机工程学报, 2017, 37(7): 2151-2159.

Wen Xishan, Qu Lu, Wang Yu, et al. Experimental study of the influence of the blade rotation on triggered lightning ability of wind turbine’s blades[J]. Proceedings of the CSEE, 2017, 37(7): 2151-2159.

[11] 邓冶强, 王羽, 文习山, 等. 不同间隙尺度下叶片旋转对风力发电机引雷能力影响的试验研究[J]. 中国电机工程学报, 2020, 40(19): 6399-6411.

Deng Yeqiang, Wang Yu, Wen Xishan, et al. Experiment of blade rotation on lightning strikes of wind turbines at different gap scales[J]. Proceedings of the CSEE, 2020, 40(19): 6399-6411.

[12] 屈路, 文习山, 王羽, 等. 接闪器对旋转风机引雷能力影响的试验研究[J]. 高电压技术, 2017, 43(5): 1628-1634.

Qu Lu, Wen Xishan, Wang Yu, et al. Experimental study on the influence of the air terminal on triggered lightning ability of rotation wind turbine[J]. High Voltage Engineering, 2017, 43(5): 1628-1634.

[13] 王宇, 王建国, 周蜜, 等. 双接闪器叶片风电机组缩比模型雷击附着特性[J]. 中国电机工程学报, 2018, 38(18): 5307-5315.

Wang Yu, Wang Jianguo, Zhou Mi, et al. Lightning attachment characteristic of wind turbine blade with two-receptors[J]. Proceedings of the CSEE, 2018, 38(18): 5307-5315.

[14] 郭子炘, 李庆民, 于万水, 等. 旋转状态下风机叶片雷击接闪特性的实验研究[J]. 中国电机工程学报, 2018, 38(16): 4951-4959, 4999.

Guo Zixin, Li Qingmin, Yu Wanshui, et al. Experimental study on lightning attachment manner of the rotating wind turbine blades[J]. Proceedings of the CSEE, 2018, 38(16): 4951-4959, 4999.

[15] Wu Qiang, Yang Qianhui, Fang Chaoyin, et al. Scaled experiment and observation of the lightning discharge process of rotating wind turbines under different shapes of high-voltage electrodes in the laboratory[J]. Electric Power Systems Research, 2024, 231: 110339.

[16] 舒立春, 于周, 李瀚涛, 等. 洁净与覆冰条件下风力发电机输出功率计算方法及现场试验验证[J]. 电工技术学报, 2023, 38(11): 3041-3051.

Shu Lichun, Yu Zhou, Li Hantao, et al. Calculation method of wind turbine output power under clean and icing conditions verified by field tests[J]. Trans- actions of China Electrotechnical Society, 2023, 38(11): 3041-3051.

[17] 胡琴, 王欢, 舒立春, 等. 覆冰条件下风力发电机叶片防/除冰方法综述[J]. 电工技术学报, 2024, 39(17): 5482-5496.

Hu Qin, Wang Huan, Shu Lichun, et al. Review of anti-/de-icing methods for wind turbine blades under icing conditions[J]. Transactions of China Electro- technical Society, 2024, 39(17): 5482-5496.

[18] 于周, 舒立春, 胡琴, 等. 风机叶片气动脉冲除冰结构脱冰计算模型及试验验证[J]. 电工技术学报, 2023, 38(13): 3630-3639.

Yu Zhou, Shu Lichun, Hu Qin, et al. De-icing calculation model of pneumatic impulse de-icing structure for wind turbine blades and experiment verification[J]. Transactions of China Electro- technical Society, 2023, 38(13): 3630-3639.

[19] 王欢, 胡琴, 邱刚, 等. 小型风力机叶片电加热融冰功率的影响因素[J]. 高电压技术, 2024, 50(3): 1322-1330.

Wang Huan, Hu Qin, Qiu Gang, et al. Influencing factors of electric heating ice melting power of small wind turbine blades[J]. High Voltage Engineering, 2024, 50(3): 1322-1330.

[20] 陆佳政, 皮新宇, 朱思国, 等. 新型电力系统源网设备典型外部灾害防治挑战与展望[J]. 新型电力系统, 2024(1): 36-51.

Lu Jiazheng, Pi Xinyu, Zhu Siguo, et al. Challenges and prospects in prevention and control of typical external disasters power generation and network equipments in the new type power systems[J]. New Type Power Systems, 2024(1): 36-51.

[21] 蒋凌峰, 蒋正龙, 谢鹏康, 等. 融冰风机叶片的接闪特性试验[J]. 高电压技术, 2024, 50(1): 331-338.

Jiang Lingfeng, Jiang Zhenglong, Xie Pengkang, et al. Experimental study on lightning attachment characte- ristics of the ice-melting wind turbine blades[J]. High Voltage Engineering, 2024, 50(1): 331-338.

[22] Hochart C, Fortin G, Perron J, et al. Wind turbine performance under icing conditions[J]. Wind Energy, 2008, 11(4): 319-333.

[23] 马宇飞, 张黎, 闫江燕, 等. 风机叶片雷击上行先导的起始物理机制与临界长度判据[J]. 中国电机工程学报, 2016, 36(21): 5975-5982, 6042.

Ma Yufei, Zhang Li, Yan Jiangyan, et al. Inception mechanism of lightning upward leader from the wind turbine blade and a proposed critical length criterion [J]. Proceedings of the CSEE, 2016, 36(21): 5975- 5982, 6042.

[24] Miki M, Miki T, Wada A, et al. Observation of lightning flashes to wind turbines[C]//2010 30th International Conference on Lightning Protection (ICLP), Cagliari, Italy, 2010: 1-7.

[25] 于万水. 不同极性雷云下旋转风机叶片邻域的空间电荷演化特性与雷击先导发展模型[D]. 北京: 华北电力大学, 2022.

Yu Wanshui. The evolution characteristics of space charge in the neighboring domain of rotating wind turbine blade under positive/negative thundercloud and lightning leaders propagation model[D]. Beijing: North China Electric Power University, 2022.

[26] Li Qingmin, Ma Yufei, Guo Zixin, et al. The lightning striking probability for offshore wind turbine blade with salt fog contamination[J]. Journal of Applied Physics, 2017, 122(7): 073301.

Lightning Attachment Characteristics of Electrically Heated Ice-Melting Blades for Wind Turbine

Wang Huan1 Hu Qin1 Shu Lichun1 Jiang Xingliang1 Tang Fangchun2

(1. Xuefeng Mountain Energy Equipment Safety National Observation and Research Station of Chongqing University Chongqing 400044 China 2. China Resources Power Technology Research Institute Co. Ltd Dongguan 523808 China)

Abstract Wind turbines are often installed in highly humid and cold mountainous areas, and as a towering structure exposed to the atmosphere, it makes the blades face serious ice-covering and lightning strike disasters. Although the electrically heated ice-melting technology is the most effective in solving the blade ice-covering problem, the risk of lightning strikes of its surface-coated or pre-buried electric heating elements, such as resistance wires, electric heating films, electric heating sheets, etc., is unknown, and the impact on the original lightning protection system of the blade is not yet clear. Therefore, it is necessary to conduct a comprehensive experimental study on the lightning attachment characteristics of electrically heated ice-melting blades.

To perfectly simulate the process of wind turbine blade lightning strike attachment. Firstly, a 1:30 scaled-down wind turbine model was made with a 3 MW wind turbine as a reference, and the electrically heated ice-melting blade was designed according to the blade icing protection area. Secondly, the Xuefeng Mountain Energy Equipment Safety National Observation and Research Station of Chongqing University, which is very similar to the actual wind farm environmental conditions, was selected as the experimental site. A long-gap lightning discharge experimental platform for scaled-down wind turbine blades was constructed with a rod electrode as the high-voltage terminal. To ensure the equivalence with the natural lightning strike, the similarity theory was followed, and the striking distance was used to determine the discharge gap of 3 m. Finally, the lightning attachment characteristics of electrically heated ice-melting blades and ordinary blades were experimentally investigated by considering four lightning downward leader positions, lightning polarity, and blade states (stationary and natural rotation), the probability of lightning strikes at the potential attachment points was analyzed, and the failure mechanism of electrically heated ice-melting blades’ lightning attachment was discussed with the help of electric field simulation.

The experimental results show that: (1) Similar to ordinary blades, there is a polarity effect in the lightning strike attachment of electrically heated ice-melting blades. Compared with the negative lightning strike, the positive lightning strike attachment points and their probability distribution of the electrically heated ice-melting blades are more dispersed. (2) The risk of lightning ablation damage to the electric heating element of the ice-melting blades is more prominent, and its probability of lightning strike is related to the position and polarity of the lightning, and the state of the blades: ①The probability of lightning strike to the electric heating element is the greatest when the lightning downward leader is on the windward side, and it is 0% on the leeward side. ②Compared with negative lightning strikes, the probability of positive lightning strikes to the electric heating element is significantly higher. ③Compared with static, the electric heating element is more susceptible to lightning strikes when the blade is naturally rotating. (3) Compared with ordinary blades, electrically heated electric heating elements of ice-melting blades not only distort the spatial electric field in its neighborhood, but also shield the electric field in the lead wires, resulting in a decrease in the probability of lightning strikes on the blade’s receptors and body, and a shift of the attachment points to the electric heating element, which is especially preferred to striking its edges. The results of this paper clarify the lightning strike risk of electrically heated ice-melting blades and can provide guidance for the integrated design of their lightning and ice protection.

Keywords:Wind turbine blades, electrically heated ice-melting, lightning discharge, attachment characteris- tics, probability of lightning strike, failure mechanism

作者简介

王 欢 男,1993年生,博士研究生,研究方向为外绝缘与风电叶片防雷防冰技术。

E-mail: 1173394186@qq.com

胡 琴 男,1981年生,博士,教授,博士生导师,研究方向为超特高压输变电技术、外绝缘与灾害防御。

E-mail: huqin@cqu.edu.cn(通信作者)

中图分类号:TM614

DOI: 10.19595/j.cnki.1000-6753.tces.250043

中央高校基本科研业务费(2023CDJYXTD-005)、国家资助博士后研究人员计划(GZC20242120)和华润电力技术研究院有限公司(7RDJYI-CGFW-20240600008)资助项目。

收稿日期 2025-01-07

改稿日期 2025-02-24

(编辑 李 冰)