摘要 塑壳断路器分合闸过程中主拉簧承受循环交变应力,出现疲劳损伤甚至发生疲劳断裂,导致断路器失效。为提升断路器的机械寿命,该文进行断路器分合闸过程中主拉簧受力分析,研究其应力变化特征及分布云图特征,发现主拉簧应力集中和疲劳损伤严重区域;研究主拉簧失效分布特征,分析影响主拉簧疲劳寿命几何尺寸和材料性能相关参数的分布特征,发现主拉簧疲劳寿命服从对数正态分布,并进行实验验证;分析主拉簧的疲劳损伤影响因素,进行结构优化设计,降低了同等弹簧拉力条件下主拉簧疲劳损伤程度,从而提高了塑壳断路器的机械寿命。
关键词:塑壳断路器 应力应变法 疲劳损伤 疲劳寿命 优化设计
低压塑壳断路器是一种广泛用于低压电力系统中的电气保护装置,在低压配用电系统中起到保护电路和设备的作用,确保电力系统的安全运行[1-4]。在断路器分合闸过程中主拉簧受到交变应力作用,容易发生疲劳断裂,是制约断路器机械寿命提升的重要因素。因此,为了提高断路器的机械寿命,对断路器主拉簧的疲劳寿命进行分析,并对其结构进行优化是十分重要的。
近年来,国内外学者开展了很多关于断路器弹簧寿命计算和优化设计的研究[5]。丁庚鑫等[6]对断路器弹簧操作机构受到的冲击应力进行分析,提出了基于局部应力应变法的断路器弹簧操作机构疲劳寿命计算方法。李燕燕等[7]为解决分闸弹簧在断路器分闸过程中出现的问题,根据分闸速度和能量等因素对分闸弹簧进行优化。随着计算机技术的发展,可以用软件仿真计算机构的疲劳寿命[8-9]。周国伟等[10]探究了在合闸弹簧疲劳状态下弹簧操作机构各敏感单元应力分布变化情况及合闸动作响应变化情况,为真空断路器弹簧操作机构的分闸弹簧优化设计提供了有益指导。田涛等[11]根据应力松弛模型,在考虑强度退化的可靠度计算模型上,建立了考虑强度退化与应力松弛的应力-强度干涉模型,分析了断路器储能弹簧的预期寿命。孙威杰等[12]通过应变控制拉-压低周疲劳试验,研究了TWIP钢的低周疲劳行为及组织演化,发现钢的循环变形过程中会表现出明显的循环硬化现象,降低了其疲劳寿命。黄伟波等[13]对激光金属沉积成形304奥氏体不锈钢进行疲劳试验,并对其疲劳断裂机理进行了分析,发现应力幅越大,疲劳断口越粗糙,且较大的应力幅引起的局部塑性变形也是导致疲劳裂纹萌生的原因之一。通过对金属断裂原因的分析,可以进一步对部件进行优化,提升断路器部件的疲劳寿命。
实际上,由于制造、装配的影响,机构的材料性能、结构尺寸、加工工艺以及载荷环境均存在不同程度的分散性,导致机构的疲劳寿命具有一定的分布特征[14-16]。诸多学者对机械结构疲劳寿命的分布特征进行研究并对机构的可靠性进行分析。李孝品等[17]对透平轮盘的材料开展了低周疲劳试验,进行疲劳寿命预测模型参数的分布研究,得到透平轮盘的疲劳寿命服从正态分布,并采用蒙特卡洛法和包络线法对其可靠性进行分析。李金星等[18]分析了影响压气机叶片-轮盘低周疲劳寿命的基本随机因素,根据其几何特征及材料参数的分散性,对其进行优化设计,显著提高了低周疲劳寿命和可靠性。宋礼睿等[19]基于非线性损伤累积理论,建立风电齿轮箱轴承的动态应力-强度干涉模型,得到风电齿轮箱轴承寿命服从正态分布,并进行可靠性分析。彭茂林等[20]根据涡轮叶片的几何尺寸和服役工况等随机变量,基于响应面法对其进行优化设计,提高了涡轮叶片的可靠性。
本文对主拉簧疲劳寿命的影响因素进行分析,研究了断路器主拉簧的失效分布特征,并对主拉簧的可靠性进行分析。分析断路器主拉簧簧丝直径、表面加工质量和挂钩过渡处曲率对疲劳损伤的影响,对主拉簧结构进行优化设计,提高了主拉簧的疲劳寿命和可靠性,进而提高了断路器的机械寿命。
首先对主拉簧受到轴向拉力的情况进行受力分析,如图1a所示(弹簧下部未画),图中,D为主拉簧中径,d为主拉簧簧丝直径,m和n分别表示同一簧丝截面上的靠近轴线侧与远离轴线侧。
图1 主拉簧簧丝截面受力分析
Fig.1 Analysis of the force on the cross-section of the main tension spring
当主拉簧受到轴向拉力F时,主拉簧簧丝截面受到拉力F以及力矩T=FD/2,拉力F和力矩T均会对主拉簧产生应力。拉力F产生的应力
在簧丝截面A-A上均匀分布,力矩T产生的应力
和中性轴的距离成正比,如图1b所示。则截面A-A上的最大应力为
(1)
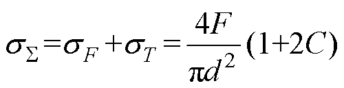
式中,C为弹簧旋绕比,C=D/d。为了简化计算,通常在式(1)中取1+2C≈2C,即忽略轴向拉力F对簧丝截面产生的应力
。用曲度系数K表示簧丝的升角和曲率对簧丝中应力的影响。截面A-A上的应力为
(2)
在同一簧丝截面上,靠近轴线侧m的升角与远离轴线侧n相同,但曲率更大,则簧丝同一截面靠近轴线一侧m的曲度系数K较大,导致截面A-A上的应力
分布如图1b所示,发现主拉簧靠近弹簧轴线的一侧应力较大。
在断路器分合闸过程中,随着杠杆越过与上连杆共线的位置,主拉簧除了拉伸外,还会有旋转,其挂钩与杠杆产生相对转动。此时,主拉簧会受到轴向拉力F以及摩擦力Ff。将主拉簧与杠杆的接触位置视为质点,主拉簧在断路器分合闸过程中的受力简图如图2所示。图中,主拉簧绕O点转动,轴向拉力F和摩擦力Ff的作用点距任一截面的垂直距离为l。
图2 主拉簧在断路器分合闸过程中的受力简图
Fig.2 The force diagram of the main tension spring during the opening and closing process of the circuit breaker
图2a为主拉簧与杠杆发生逆时针相对转动,此时主拉簧的簧丝截面受到的力矩T1=FD+Ffl;图2b为发生顺时针相对转动,主拉簧的簧丝截面受到的力矩T2=FD-Ffl。对于主拉簧的挂钩部分,摩擦力产生的力矩在挂钩过渡处的力臂lmax较长,挂钩过渡处受到摩擦力产生的力矩较大,导致挂钩过渡处受到的应力较大。
在断路器分闸过程中,主拉簧首先顺时针转动,随后主拉簧与杠杆会发生逆时针和顺时针的往复相对转动。由于轴向拉力F大小的变化以及摩擦力Ff方向的变化,导致主拉簧产生的应力大小随着分闸过程变化,形成交变应力。
主拉簧受到的摩擦力越大,主拉簧逆时针转动时受到的力矩越大,主拉簧的应力最大值,即应力峰值越大;而主拉簧顺时针转动时的应力最小值越小,导致了主拉簧的应力最大值与应力最小值之差,即应力幅值越大。主拉簧受到较大的应力峰值与应力幅值,导致材料承受更大的应力变化,从而加速疲劳裂纹的形成和扩展。
对断路器操作机构进行刚柔耦合动力学仿真,计算断路器分合闸过程中主拉簧挂钩过渡处受到的应力。操作机构的刚柔耦合仿真几何模型如图3所示,应力及疲劳损伤仿真流程如图4所示。
图3 塑壳断路器刚柔耦合仿真几何模型
Fig.3 Geometric model of rigid flexible coupling dynamics simulation for molded case circuit breakers
1—再扣 2—锁扣 3—连杆轴 4—下连杆 5—动触头 6—主拉簧 7—杠杆 8—跳扣 9—上连杆 10—机架 11—静触头
图4 应力及疲劳损伤仿真流程
Fig.4 Stress and fatigue damage simulation process
通过仿真,得到断路器分合闸过程中主拉簧应力最大的时刻的应力云图,如图5所示。由图5可知,主拉簧挂钩过渡处靠近主拉簧轴线内侧的应力最大,表现出明显的应力集中。
图5 主拉簧应力最大的时刻的应力云图
Fig.5 Stress cloud map at the moment of maximum stress of the main tension spring
在断路器合分过程中主拉簧受到的摩擦力直接影响主拉簧承受的应力,主拉簧与杠杆的接触形式不同,则主拉簧受到的摩擦力不同。可以设置不同摩擦系数
,仿真分析摩擦力对主拉簧承受应力的影响。不同摩擦系数下主拉簧应力最大位置处的应力-时间曲线如图6所示。当主拉簧未转动时,没有摩擦力产生,仅受到轴向拉力;在分闸过程中,主拉簧与杠杆发生往复的相对转动,摩擦系数较大情况下主拉簧应力峰值和应力幅值较大,主拉簧也容易发生疲劳破坏;在合闸过程中,主拉簧未发生明显的往复转动。
图6 主拉簧应力最大位置处的应力-时间曲线
Fig.6 Stress time curves of the maximum stress position of the main tension spring
当部件受到的交变应力远小于材料的屈服强度时,部件受力后发生弹性形变,即应力和应变呈线性关系,可以通过应力-循环次数(S-N)曲线计算材料的高周疲劳寿命。当交变应力的大小接近或超过材料的屈服强度时,材料的塑性形变更加明显,材料所受的应力和应变不再呈线性变化,需要同时考虑应力和应变对疲劳寿命的影响。
受空间体积制约,一般情况下塑壳断路器中主拉簧所受应力接近主拉簧材料的屈服极限,有些情况下甚至超过主拉簧材料的屈服极限,主拉簧发生塑性形变,可以采用应力应变法分析疲劳寿命。
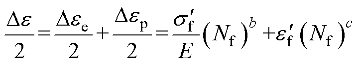
(1)应变与循环次数关系。根据Manson-Coffin经验公式,材料的总应变是塑性应变与弹性应变之和,材料的应变与循环次数间的关系为
(3)
式中,
为总应变幅;
为弹性应变幅;
为塑性应变幅;
为疲劳强度系数;b为疲劳强度指数;E为材料的弹性模量;
为疲劳塑性系数;c为疲劳塑性指数;Nf为循环次数。断路器主拉簧受到的交变应力并不对称,而式(3)适用于对称循环载荷。非零平均应力直接影响材料的疲劳特性,需要对Manson-Coffin经验公式进行修正。修正后的公式为
(4)
式中,
为应力幅。
(2)材料的循环应力-应变计算。循环应力-应变曲线是指在循环载荷作用下,材料的应力-应变关系,其形式为
(5)
式中,
为循环强度系数,
;
为循环应变硬化指数,
。
(3)局部应力应变的确定。在主拉簧的应力集中区域,主拉簧发生局部塑性形变,材料内部截面积的变化导致实际应力和名义应力相差过大,计算疲劳寿命时必须用局部区域的实际应力来进行计算,因此需要建立名义应力与实际应力的关系。由Neuber公式,有
(6)
其中
(7)
式中,Kt为理论应力集中系数;
为真实应力集中系数;
为真实应变集中系数;
为名义应力幅;
为名义应变幅。将式(7)代入式(6)中,有
(8)
Neuber公式高估了材料的局部应力和局部应变。因此,用有效应力集中系数Kf,代替理论应力集中系数Kt,得到修正诺伯公式为
(9)
使用雨流计数法对仿真得到的分合闸过程中的应力随时间曲线进行计数处理,得到若干小循环。结合名义应力幅
,根据式(5)与式(9)得到每个小循环的实际应力和实际应变。
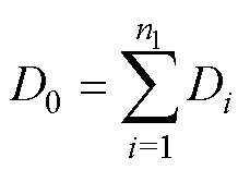
(4)疲劳寿命计算。通过式(4)计算每个小循环的实际应力应变对应的循环次数Nfi,以及疲劳损伤Di,Di=1/Nfi。则单次断路器分合闸过程中主拉簧损伤
,其中,n1为小循环个数,主拉簧疲劳寿命Nf=1/D。
影响主拉簧疲劳寿命的因素很多。其中,主拉簧自身因素,如主拉簧的形变量不变化时,主拉簧几何尺寸和材料性能[21]的变化导致断路器刚度系数的变化,力及部件运动均会受影响;而杆件摩擦、公差以及装配等外部因素会导致主拉簧受到的外力发生变化,进而导致主拉簧的应力及疲劳寿命发生变化。本文主要考虑主拉簧的自身因素。
(1)主拉簧的材料性能。由于材料加工工艺等因素,与材料性能相关的参数往往存在一定的分散性[22]。主拉簧的材料性能分为力学性能和疲劳性能。主拉簧材料力学性能的变化,导致主弹簧产生的应力应变存在差异。材料的弹性模量E会直接影响材料在受到相同应力时的形变程度;材料的屈服强度
会直接影响材料受到的塑性应变的大小。材料的疲劳性能是指材料在循环载荷作用下抵抗疲劳破坏的能力。材料的疲劳强度系数
和疲劳强度指数b会直接影响材料的疲劳强度。材料的疲劳塑性系数
和疲劳塑性指数c会直接影响材料受到的塑性应变大小。
(2)主拉簧的几何尺寸。主拉簧的几何尺寸存在一定的制造公差,也导致主拉簧产生的应力应变存在差异。主拉簧的簧丝直径d会影响主拉簧的结构强度,进而影响主拉簧产生的应力应变大小;在断路器合分闸过程中,主拉簧的固定点是确定的,所以主拉簧自由长度H0的变化会导致主拉簧产生的形变发生变化,进而影响主拉簧的轴向拉力,导致主拉簧产生的应力应变大小发生变化。
主拉簧的材料参数均可由正态分布描述[23]。其中,簧丝直径d、自由长度H0的标准差可根据制造公差依据“3s原则”确定[24]。本文断路器主拉簧的几何尺寸和材料性能参数分布见表1[25]。
主拉簧疲劳寿命的随机性可以通过Monte- Carlo方法进行仿真分析。仿真计算方法如下:
表1 主拉簧的几何尺寸和材料性能参数分布
Tab.1 Geometric dimensions of the main tension spring and distribution of mechanical performance parameters
参数均值标准差 d/mm1.60.006 7 H0/mm28.50.33 E/MPa203 3956 102 ss/MPa1 369.441.1 2 696.045.46 b-0.113 40.001 064 0.319 80.005 924 c-0.583 50.004 2
(1)根据主拉簧各参数的分布,生成随机数。
(2)选择断路器主拉簧应力最大节点,仿真该节点的应力-时间历程。
(3)通过雨流计数法将应力-时间历程简化为若干循环,并根据式(5)、式(9)计算每段循环的局部应力应变。
(4)根据式(4)计算得到1个主拉簧损伤及疲劳寿命。
(5)重复步骤(1)~步骤(4),可以得到多个主拉簧的疲劳寿命。
根据主拉簧几何尺寸和材料性能参数进行仿真,分别生成500个主拉簧个体,并对主拉簧疲劳寿命进行仿真计算,得到疲劳寿命分布特征如图7所示。
图7 疲劳寿命分布特征
Fig.7 Histogram of fatigue life frequency distribution
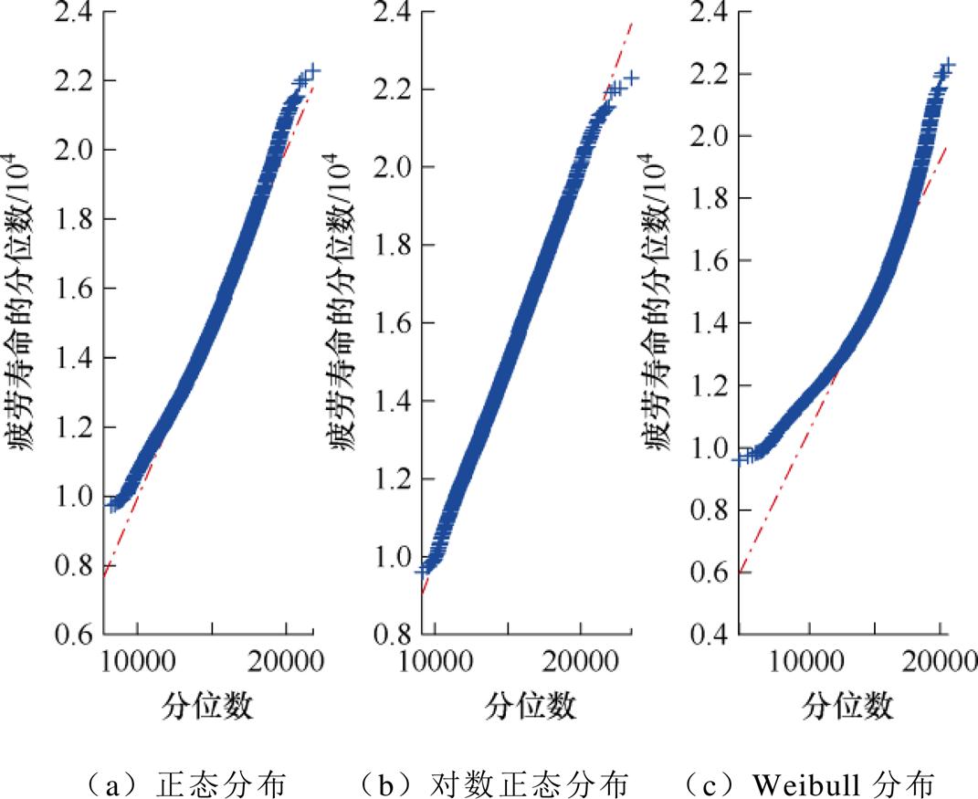
对仿真得到的疲劳寿命数据进行正态分布、对数正态分布以及Weibull分布的Q-Q图检验和K-S检验。疲劳寿命数据Q-Q图如图8所示。疲劳寿命仿真数据K-S检验结果见表2。
图8 疲劳寿命数据Q-Q图
Fig.8 Fatigue life data Quantile-Quantile plot
表2 疲劳寿命仿真数据K-S检验结果
Tab.2 Fatigue life simulation data K-S test results
分布类型P值统计量临界值结果 正态分布0.018 80.048 10.060 7拒绝 对数正态分布0.521 60.036 10.060 7接受 Weibull分布0.000 60.089 80.060 7拒绝
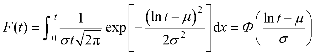
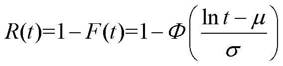
通过检验可以判断断路器主拉簧寿命服从对数正态分布:lnNf~N(9.18, 0.1422)。断路器主拉簧的累积失效分布函数和可靠度函数分别为
(10)
(11)
拉簧可靠度曲线如图9所示,主拉簧平均寿命为9 701次,在可靠度R=0.99时主拉簧的可靠寿命t0.99=7 532,说明在断路器超过7 532次的分合闸过程后,主拉簧疲劳断裂的概率逐渐增大。
抽取8台某型号塑壳断路器进行机械寿命实验,当触头无法接通或分断表明该试品失效。实验数据见表3。8台试品均为主拉簧发生疲劳断裂,导致断路器无法完成合分闸操作。断裂位置位于主拉簧挂钩过渡处,如图10所示。
主拉簧疲劳寿命与塑壳断路器机械寿命相同,其平均寿命为10 390次,将实验数据进行拟合,并进行K-S检验以及Q-Q图检验,检验结果如表4和图11所示。主拉簧疲劳寿命服从对数正态分布lnNf~N(9.25, 0.1122),与主拉簧疲劳寿命仿真结果基本一致,验证了通过主拉簧参数及其分散性可以得到主拉簧疲劳寿命的分布特征。
图9 主拉簧可靠度曲线
Fig.9 Reliability curve of main tension spring
表3 塑壳断路器机械寿命
Tab.3 Fatigue life data of main tension spring
试品号机械寿命/次 1号12 632 2号9 333 3号10 683 4号9 345 5号7 697 6号12 359 7号10 212 8号10 862
图10 主拉簧机械失效位置
Fig.10 Mechanical failure position of main tension spring
表4 实验数据K-S检验结果
Tab.4 Experimental data K-S test results
分布类型P值统计量临界值检验结果 对数正态分布0.979 60.151 20.454 3接受检验
图11 实验数据Q-Q图
Fig.11 Experimental data Quantile-Quantile plot
结构的疲劳强度越高,在同等工况下产生的应力越小,对结构造成的损伤越小。除了材料性能参数外,主拉簧的几何尺寸与几何形状、表面加工方式以及几何形状变化导致的应力集中都会影响主拉簧的疲劳强度。综合以上因素,主拉簧的疲劳强度
为
(12)
式中,
为主拉簧尺寸系数;
为主拉簧表面加工系数;
为材料疲劳强度。式(1)表明,弹簧的簧丝直径对弹簧应力的影响较大。为了研究簧丝直径对断路器主拉簧疲劳损伤的影响,对不同簧丝直径的主拉簧在断路器分合闸过程中的应力特征及疲劳损伤特征进行仿真分析。
为了使主拉簧受到的载荷保持不变,在仿真时保持主拉簧的刚度系数以及摩擦系数不变,仿真得到簧丝直径为1.2、1.6、2.0 mm的主拉簧在断路器分合闸过程中的疲劳损伤,如图12所示。随着簧丝直径的增大,主拉簧的疲劳损伤面积有明显减小,疲劳损伤大小也逐渐减小,对应的疲劳寿命相应提高。不同簧丝直径的主拉簧在断路器分合闸过程中的最大疲劳损伤及疲劳寿命见表5。增大主拉簧的簧丝直径可以有效地降低主拉簧在断路器分合闸过程中的疲劳损伤,提高主拉簧的疲劳寿命,提升主拉簧的疲劳强度。
图12 不同簧丝直径主拉簧的疲劳损伤
Fig.12 Fatigue damage of main tension springs with different wire diameters
表5 不同簧丝直径主拉簧对应的最大疲劳损伤及疲劳寿命
Tab.5 Maximum fatigue damage and fatigue life corresponding to main tension springs with different wire diameters
簧丝直径d/mm最大疲劳损伤疲劳寿命/次 1.25 943 1.610 482 2.017 621
簧丝表面加工质量影响其表面粗糙度,因此通过改变簧丝表面粗糙度,可以得到加工质量对主拉簧疲劳损伤的影响。簧丝直径1.6 mm时不同表面粗糙度下主拉簧在断路器分合闸过程中的疲劳损伤云图如图13所示,光滑表面的表面加工系数为1,即不考虑表面粗糙度对疲劳强度影响的理想情况。不同表面粗糙度对应的主拉簧最大疲劳损伤及疲劳寿命见表6。可以发现,随着表面加工质量的下降,主拉簧挂钩过渡处的最大损伤逐渐增大,对应的主拉簧疲劳寿命逐渐降低;主拉簧疲劳损伤集中面积也逐渐扩大。使用喷丸方式对断路器主拉簧进行表面强化后,主拉簧在断路器分合闸过程中的疲劳损伤云图如图13f所示,其最大疲劳损伤为6.32×10-5,对应疲劳寿命为15 822,且疲劳损伤集中面积也有明显减少。
图13 不同表面粗糙度下主拉簧的疲劳损伤云图
Fig.13 Fatigue damage nephogram of main tension spring under different surface roughness
表6 不同表面粗糙度对应的主拉簧最大疲劳损伤及疲劳寿命
Tab.6 Maximum fatigue damage and fatigue life of main tension spring corresponding to different surface roughness
表面加工方式最大疲劳损伤疲劳寿命/次 光滑表面9.54×10-510 482 Ra=0.41.2×10-48 333 Ra=0.81.58×10-46 329 Ra=3.21.92×10-45 208 Ra=6.32.26×10-44 432 喷丸强化6.32×10-515 822
从图5可以看出,挂钩与簧体连接处的应力较大,通过改变挂钩与簧体连接部位的几何形状,分析应力的变化情况。从簧体到挂钩,结构形状发生了变化,过渡区域需要一定曲率才能实现结构形状的过渡。在不改变主拉簧总长度、主拉簧有效圈数以及中径的情况下,过渡处的横向尺寸不超过主拉簧中径,增大过渡区域的轴向尺寸,可以减小挂钩过渡处的整体曲率。分别分析过渡处的轴向尺寸为2.25、4.00、5.75 mm时,主拉簧在断路器分合闸过程中的疲劳损伤分布云图如图14所示。不同轴向尺寸和最大损失的对应关系见表7。
由图14发现,主拉簧端部的挂钩过渡处的曲率较大,导致该位置出现显著的应力集中。这种应力集中现象使主拉簧端部的挂钩过渡处更容易发生疲劳断裂。随着主拉簧挂钩过渡区域轴向长度增长,其曲率减小,该区域的应力分布更加均匀。图15为过渡区域轴向尺寸不同的主拉簧的疲劳损伤严重区域的应力随时间变化曲线,可以发现,随着过渡处轴向尺寸增加,过渡处的曲率减小,主拉簧受到的应力减小,提升了主拉簧挂钩过渡处的疲劳强度。
图14 主拉簧损伤云图
Fig.14 Damage cloud map of main tension spring
表7 主拉簧过渡区域轴向尺寸与最大损伤的关系
Tab.7 The relationship between the axial dimension of the transition zone of the main tension spring and the maximum damage
轴向尺寸/mm最大损伤 2.259.53×10-5 4.005.87×10-5 5.754.23×10-5
随着过渡处曲率的下降,主拉簧损伤最严重位置不再位于挂钩与簧体连接的过渡处,而是位于主拉簧挂钩顶端,如图14b、图14c所示,损伤大小为7.92×10-5。这是由于该位置同样存在较大的曲率,以及较大的应力集中。
图15 不同过渡处轴向尺寸的主拉簧损伤严重区域应力随时间变化曲线
Fig.15 Stress variation curves over time in the severely damaged area of the main tension spring
为降低挂钩顶端的应力,需要降低该处的曲率,因此将簧体与挂钩顶端间的簧丝形状设计为曲线型,此时过渡处的轴向尺寸为挂钩顶端至簧体的距离,轴向尺寸达到最大值8.75 mm。在该形状下,主拉簧的有效长度以及安装空间并未发生变化,且挂钩顶端至簧体间的过渡区域的曲率最小,对最小曲率下的主拉簧进行仿真,其损伤分布云图如图16所示。可以发现,主拉簧受到的疲劳损伤均匀分布在挂钩过渡处,应力集中效应减弱。不仅最大应力减小,且疲劳损伤明显降低,最大疲劳损伤为6.84×10-5。相较于过渡处轴向尺寸为2.25、4.00和5.75 mm的主拉簧挂钩,优化后的主拉簧最大疲劳损伤最小,使主拉簧挂钩的疲劳强度最大。
图16 结构优化设计后主拉簧损伤云图
Fig.16 Cloud map of damage to the main tension spring after optimized design
对结构优化后的主拉簧疲劳寿命进行仿真,得到优化后主拉簧寿命的频数直方图如图17所示。并采用Q-Q图检验和K-S检验的方式对仿真得到的寿命数据进行分布特征检验。优化后主拉簧的疲劳寿命数据Q-Q图如图18所示。优化后疲劳寿命仿真数据K-S检验结果见表8。
图17 优化后主拉簧的寿命频数直方图
Fig.17 Histogram of life frequency distribution of optimized main tension spring
图18 优化后主拉簧的疲劳寿命数据Q-Q图
Fig.18 Q-Q diagram of fatigue life data of optimized main tension spring
通过检验可以判断优化后的主拉簧寿命服从对数正态分布lnNf~N(9.59, 0.1212)。优化后的主拉簧的可靠度曲线如图19所示,可以得到优化后主拉簧的平均寿命为14 617次,可靠度R=0.99时主拉簧的可靠寿命t0.99=11 131。与优化前的主拉簧相比,仅改变挂钩与簧体过渡区域的几何形状,可以将其可靠寿命提升到10 000次以上,满足了塑壳断路器机械寿命的需求。
表8 优化后疲劳寿命仿真数据K-S检验结果
Tab.8 K-S test results of optimized fatigue life simulation data
分布类型P值统计量临界值检验结果 正态分布0.004 60.077 60.060 7拒绝检验 对数正态分布0.085 80.055 80.060 7接受检验 Weibull分布00.117 60.060 7拒绝检验
图19 优化后主拉簧的可靠度函数曲线
Fig.19 Reliability function curve of optimized main tension spring
本文对塑壳断路器分合闸过程中主拉簧的应力进行分析,发现了主拉簧疲劳损伤严重区域,通过主拉簧的优化设计,提升了主拉簧的疲劳寿命和可靠性,从而提高了塑壳断路器的机械寿命。主要结论如下:
1)分析了断路器分合闸过程中主拉簧受力情况,发现杠杆对其摩擦力会增加主拉簧应力峰值及其幅值,使主拉簧挂钩过渡处受到较大的交变应力,导致该位置容易发生疲劳断裂。
2)分析了主拉簧的几何尺寸和材料性能对主拉簧疲劳寿命的影响。通过对主拉簧疲劳损伤的仿真分析发现,断路器主拉簧的疲劳寿命服从对数正态分布,并通过机械寿命实验进行了验证。
3)分析了主拉簧直径和主拉簧表面加工质量以及簧体与挂钩间的过渡区域几何形状对主拉簧疲劳损伤的影响。通过对比不同过渡处轴向尺寸的主拉簧在断路器分合闸过程中的疲劳损伤,发现增大主拉簧过渡区域轴向尺寸可以有效降低该位置的曲率,从而减小簧体与挂钩间的过渡区域的最大应力及损伤,提升了主拉簧的疲劳强度及疲劳寿命,满足了断路器的机械寿命需求。
参考文献
[1] 李奎, 王鹏, 胡博凯, 等. 基于机械特性的微型断路器服役状态辨识方法[J]. 电工技术学报, 2025, 40(14): 4642-4654.
Li Kui, Wang Peng, Hu Bokai, et al. Service status identification method of miniature circuit breaker based on mechanical characteristics[J]. Transactions of China Electrotechnical Society, 2025, 40(14): 4642-4654.
[2] 李奎, 于明浩, 牛峰, 等. 电磁式漏电断路器保护特性分析与稳健性设计[J]. 电工技术学报, 2025, 40(22): 7375-7386.
Li Kui, Yu Minghao, Niu Feng, et al. Protection characteristics analysis and robustness design of electromagnetic residual current device[J]. Transa- ctions of China Electrotechnical Society, 2025, 40(22): 7375-7386.
[3] 李静, 高万瑞, 段薇, 等. 直流塑壳断路器开断时的飞弧现象以及抑制措施[J]. 电工技术学报, 2025, 40(19): 6329-6341.
Li Jing, Gao Wanrui, Duan Wei, et al. Arc-over phenomenon and inhibition measures when DC MCCB is breaking[J]. Transactions of China Electro- technical Society, 2025, 40(19): 6329-6341.
[4] 何志鹏, 赵虎, 李伟林. 考虑弧根转移和开断电流的微型断路器电寿命评估方法[J]. 电工技术学报, 2025, 40(22): 7363-7374.
He Zhipeng, Zhao Hu, Li Weilin. Electrical life evaluation of miniature circuit breakers considering arc root transfer and breaking current[J]. Transa- ctions of China Electrotechnical Society, 2025, 40(22): 7363-7374.
[5] 赵陈琛, 张国钢, 刘洁, 等. 基于物理信息和迁移网络的高压断路器弹簧操动机构机械参数辨识及故障诊断[J/OL]. 电工技术学报, 2025: 1-13. (2025- 07-14). https://link.cnki.net/doi/10.19595/j.cnki.1000- 6753.tces.250521.
Zhao Chenchen, Zhang Guogang, Liu Jie, et al. Mechanical parameter identification and fault diag- nosis of spring operating mechanism of high-voltage circuit breaker based on physical information and transfer network[J/OL]. Transactions of China Elec- trotechnical Society, 2025: 1-13. (2025-07-14). https:// link.cnki.net/doi/10.19595/j.cnki.1000-6753.tces.250521.
[6] 丁庚鑫, 朱晔, 吴建达, 等. 基于局部应力应变法的弹簧操动机构关键部件疲劳寿命分析[J]. 中国电机工程学报, 2023, 43(20): 8161-8171.
Ding Gengxin, Zhu Ye, Wu Jianda, et al. Fatigue life analysis of key components of spring operating mechanism based on local stress-strain method[J]. Proceedings of the CSEE, 2023, 43(20): 8161-8171.
[7] 李燕燕, 张杰, 王俊伟. 真空断路器弹簧操动机构分闸弹簧的优化设计方法[J]. 电器与能效管理技术, 2024(9): 29-33, 50.
Li Yanyan, Zhang Jie, Wang Junwei. Optimal design method for opening spring of vacuum circuit breaker spring operating mechanism[J]. Electrical & Energy Management Technology, 2024(9): 29-33, 50.
[8] 龚清玉, 解程, 刘中祥, 等. 特大跨桥梁正交异性钢桥面板疲劳性能研究[J]. 河北工业大学学报, 2025, 54(1): 32-41.
Gong Qingyu, Xie Cheng, Liu Zhongxiang, et al. Study on the fatigue performance of orthotropic steel bridge decks in ultra-long span bridges[J]. Journal of Hebei University of Technology, 2025, 54(1): 32-41.
[9] 董华军, 李东恒, 钟建英, 等. 12kV真空灭弧室触头合闸冲击下疲劳寿命研究[J]. 电工技术学报, 2022, 37(15): 3981-3988.
Dong Huajun, Li Dongheng, Zhong Jianying, et al. Research on fatigue life of contact in 12kV vacuum interrupter under shocking[J]. Transactions of China Electrotechnical Society, 2022, 37(15): 3981-3988.
[10] 周国伟, 董建新, 肖珊珊, 等. 合闸弹簧疲劳状态下高压断路器弹簧操作机构应力分布及动力响应研究[J]. 高压电器, 2019, 55(10): 44-51.
Zhou Guowei, Dong Jianxin, Xiao Shanshan, et al. Stress distribution of spring operating mechanism of high-voltage circuit breaker in fatigue state of closing spring[J]. High Voltage Apparatus, 2019, 55(10): 44-51.
[11] 田涛, 张兆君, 朱超, 等. 高压断路器储能弹簧的可靠性及寿命分析[J]. 电力工程技术, 2017, 36(5): 103-108.
Tian Tao, Zhang Zhaojun, Zhu Chao, et al. Reliability and life analysis of energy-storing spring for high voltage circuit breaker[J]. Electric Power Engineering Technology, 2017, 36(5): 103-108.
[12] 孙威杰, 刘帅, 黄玖龙, 等. 中/高碳孪晶诱发塑性钢的低周疲劳行为[J]. 塑性工程学报, 2025, 32(5): 219-228.
Sun Weijie, Liu Shuai, Huang Jiulong, et al. Low cycle fatigue behavior of medium/high carbon twinning-induced plasticity steel[J]. Journal of Plasticity Engin- eering, 2025, 32(5): 219-228.
[13] 黄伟波, 赵晓宇, 鲁文佳, 等. 激光金属沉积成形304不锈钢的疲劳断裂机理分析[J]. 焊接学报, 2023, 44(9): 67-73, 133.
Huang Weibo, Zhao Xiaoyu, Lu Wenjia, et al. Fatigue fracture mechanism of 304 stainless steel manufactured by laser metal deposition[J]. Transactions of the China Welding Institution, 2023, 44(9): 67-73, 133.
[14] 曾涛. 航空发动机涡轮轴随机变量分布表征及概率疲劳寿命预测[D]. 成都: 电子科技大学, 2023.
Zeng Tao. Characterization of random variable distribution and probabilisitic fatigue life prediction of aero-engine turbine shaft[D]. Chengdu: University of Electronic Science and Technology of China, 2023.
[15] 黄海新, 刘丙勇, 程寿山. 复杂截面桥梁寿命期可靠性设计分步优化[J]. 河北工业大学学报, 2019, 48(2): 74-80.
Huang Haixin, Liu Bingyong, Cheng Shoushan. Reliability-based staged optimization study of bridge design with complex cross-section[J]. Journal of Hebei University of Technology, 2019, 48(2): 74-80.
[16] Lee Yung-Li, Pan J, Richard H, 等. 疲劳试验测试分析理论与实践[M]. 张然治, 主译. 北京: 国防工业出版社, 2011.
[17] 李孝品, 杨宇, 田根起, 等. 基于蒙特卡洛法的透平轮盘寿命计算及可靠性分析[J]. 动力工程学报, 2023, 43(11): 1434-1439, 1530.
Li Xiaopin, Yang Yu, Tian Genqi, et al. Life calculation and reliability analysis of turbine wheel based on Monte Carlo method[J]. Journal of Chinese Society of Power Engineering, 2023, 43(11): 1434- 1439, 1530.
[18] 李金星, 李国嘉, 唐勃, 等. 压气机叶片-轮盘的低周疲劳寿命可靠性设计优化[J]. 中国电机工程学报, 2025, 45(7): 2670-2680.
Li Jinxing, Li Guojia, Tang Bo, et al. Reliability- based design optimization of compressor blade disc low cycle fatigue life[J]. Proceedings of the CSEE, 2025, 45(7): 2670-2680.
[19] 宋礼睿, 崔权维, 周建星, 等. 风电齿轮箱高速轴轴承疲劳寿命及动态可靠性分析[J]. 太阳能学报, 2023, 44(8): 437-444.
Song Lirui, Cui Quanwei, Zhou Jianxing, et al. High speed bearing fatigue life and reliability analysis of wind turbine gearbox under random load[J]. Acta Energiae Solaris Sinica, 2023, 44(8): 437-444.
[20] 彭茂林, 杨自春, 曹跃云, 等. 涡轮叶片低周疲劳可靠性稳健设计优化研究[J]. 中国电机工程学报, 2013, 33(11): 104-111, 17.
Peng Maolin, Yang Zichun, Cao Yueyun, et al. Research on low cycle fatigue reliability-based robust design optimization of turbine blade[J]. Proceedings of the CSEE, 2013, 33(11): 104-111, 17.
[21] 朱顺鹏. 高温复杂结构的混合概率故障物理建模与疲劳寿命预测[D]. 成都: 电子科技大学, 2012.
Zhu Shunpeng. Physical modeling of mixed pro- bability fault and fatigue life prediction of high temperature complex structures[D]. Chengdu: University of Electronic Science and Technology of China, 2012.
[22] 孟德彪. 基于可靠性的多学科设计优化及其在机构设计中的应用[D]. 成都: 电子科技大学, 2014.
Meng Debiao. Reliability based multidisciplinary design optimization and its aoolication in mechanism design[D]. Chengdu: University of Electronic Science and Technology of China, 2014.
[23] 马小兵, 杨军. 可靠性统计分析[M]. 北京: 北京航空航天大学出版社, 2020.
[24] 王阳英夫. 高压断路器的机械可靠性分析及寿命评估[D]. 南京: 东南大学, 2017.
Wang Yangyingfu. Mechnical reliability analysis and life evaluation of high voltage breaker[D]. Nanjing: Southeast University, 2017.
[25] 秦大同, 谢里阳. 疲劳强度与可靠性设计[M]. 北京: 化学工业出版社, 2013.
Abstract A molded case circuit breaker is a low-voltage switchgear used in the distribution end of power systems. It has the advantages of small size, broad applicability, ease of installation and operation, and is widely used in line protection. When overload or short-circuit faults occur in the circuit, the molded-case circuit breaker can promptly interrupt the faulty line, thereby ensuring equipment and personal safety. However, the operating mechanism of molded-case circuit breakers can withstand significant alternating stress during frequent opening and closing operations, leading to cracks or even sudden fractures in the mechanism and seriously affecting the safety of the power system. Therefore, accurate prediction of the mechanical life of molded-case circuit breakers can enable timely maintenance or replacement of critical components before fracture. Optimizing the structure of key components can improve the service life and reliability of molded-case circuit breakers. This paper focuses on predicting the fatigue life and optimizing the structural design of the main tension spring of an MCCB.
The location of stress concentration and the failure mechanism of the main tension spring in the circuit breaker are analyzed. A rigid-flexible coupling dynamic model is established, and the stress-strain variation and stress-strain cloud map characteristics of the main tension spring of the fragile component are analyzed during opening and closing. The position of the stress concentration in the main tension spring is identified.
The influencing factors of random fatigue fracture of the main tension spring are analyzed, and the distribution characteristics of its fatigue life are examined. Based on fatigue life data from standard specimens of primary tension spring materials under different strains, the probability distribution of material fatigue performance is derived using a Bayesian method. A Monte Carlo simulation was used to calculate the fatigue life of the main tension spring, which was found to follow a lognormal distribution. The simulation results are validated through mechanical life tests on molded-case circuit breakers.
The effects of wire diameter, surface processing quality, and structural shape on fatigue damage in the main tension spring are investigated. The design of the main tension spring structure is optimized to reduce fatigue damage, thereby improving its fatigue life and enhancing the mechanical life and reliability of the circuit breaker. Finally, the optimization design effect of the main tension spring structure is verified through simulation.
Keywords:Molded case circuit breaker, stress-strain method, fatigue damage, fatigue life, optimal design
中图分类号:TM561
DOI: 10.19595/j.cnki.1000-6753.tces.250207
收稿日期 2025-02-11
改稿日期 2025-06-13
李 奎 男,1965年生,博士,博士生导师,研究方向为电器可靠性与智能化、故障诊断与电气设备的寿命预测等。
E-mail: likui@hebut.edu.cn(通信作者)
张昊天 男,1999年生,硕士研究生,研究方向为低压电器可靠性与智能化。
E-mail: 373265618@qq.com
(编辑 崔文静)