摘要 针对传统断路器故障诊断模型对故障标签的依赖及决策过程缺乏可解释性的问题,该文提出一种基于可解释人工智能框架下的磁控机构断路器故障诊断方法。首先,利用声振信号融合的对数梅尔频谱图实现磁控机构断路器的故障检测与诊断。该方法仅利用正常状态下的对数梅尔频谱图进行训练,采用Huber损失函数改进的卷积自编码器进行故障检测。然后,基于密度的带噪声应用空间聚类(DBSCAN)对卷积自编码器中生成的潜在空间特征进行聚类,实现故障分割;再利用集成梯度法量化特征贡献,揭示故障类型与信号特征的映射关系。最后,引入分类器,结合伪标签和潜在空间特征对模型进行训练,实现故障诊断。实验结果表明,所提方法在缺失故障标签的条件下,故障检测准确率达99.2%,故障诊断准确率达100%,提升了诊断过程的透明度与鲁棒性。
关键词:故障诊断 断路器 可解释人工智能 卷积自编码器 聚类 集成梯度
断路器是电力系统中的重要保护装置[1-3]。磁控机构作为断路器的一种新型机构,具有机械寿命长、开断速度快等优点,逐步在10 kV交直流开断场景下开展应用。断路器的故障诊断对确保电力系统的安全稳定运行至关重要,能够有效避免故障带来的设备损坏和系统停运风险。
断路器故障类型中,操动机构的故障占大多数。目前,对操动机构故障诊断中所用的机械特性信号包括位移[4]、线圈电流[5]、振动[6-7]、声[8-9]、图像[10],以及不同信号之间的特征融合[11-13]。
近年来,各种机器学习算法被应用于断路器永磁[14]、弹簧[15]等操动机构故障诊断中,并取得了良好的效果。为尽可能提取高压断路器机械故障信号的可鉴别特征,文献[16]利用格拉姆角场将振动信号转成图片,输入到AdaBoost集成学习模型中进行诊断。文献[17]利用信号叠加法将原始的一维电流信号转换为二维灰度图像,然后利用改进后的残差网络实现了特征的深度提取。文献[18]构建了特征融合卷积神经网络作为特征提取器来自动捕捉高压断路器故障可鉴别信息,并通过情景训练从实验室构建的大样本集中学习可迁移知识。文献[19]通过最优相似性矩阵的构建和聚类参数的自适应优化策略,对经典近邻传播聚类(Affinity Propagation, AP)算法进行改进,提出了一种利用线圈电流信号的在线故障诊断方法。为了解决深度学习在样本量不足的条件下精度不足的问题,文献[20]用胶囊网络(CapsNet)取代U-Net的底层卷积,提出了一种U-Net与CapsNet结合的故障诊断模型。为了解决现有断路器故障诊断鲁棒性较差的问题,文献[21]首先通过变分模态分解将振动信号的本征模态函数的能量分布作为训练和测试的输入样本,然后采用具有不同网络参数的多个回波状态网络模块作为子分类器。上述基于机器学习的方法通过分析断路器历史机械特性,进而提取潜在的故障模式,最终实现故障诊断。然而,上述模型的决策过程难以解释和理解,这不仅限制了其在高安全性要求的电力系统中的应用,也影响了诊断结果的可信度。
为了解决这一问题,基于可解释人工智能(Explainable Artificial Intelligence, XAI)框架的研究应运而生[22-23]。可解释人工智能不仅强调模型的高精度,还注重其可解释性,能够清晰揭示模型判断的依据和过程,从而增强诊断结果的透明度和可信度,目前已被应用于电力系统多阶段暂态稳定评估[24]、风电机组故障诊断[25-26]等电力领域。在断路器故障诊断的可解释性上,文献[27]通过计算机视觉动态提取反映弹簧形变的特征帧,将不同阶段的振动信号映射至高维相空间,通过递归分析生成体现动力系统变化特征的递归图,并对其纹理结构进行量化分析。
此外,断路器的故障诊断还存在机器学习对大量标注数据依赖与现场故障类型缺乏足够标签的矛盾[28]。因此,研究一种可解释性强、不依赖大量标注数据的故障诊断算法,不仅对于研究XAI在故障诊断中的应用具有重要的科学价值,还有助于提升电力系统的故障诊断能力和运维效率,对于保障电力供应的可靠性具有重要的现实意义。
针对断路器故障诊断模型在实际场景中依赖故障标签以及模型解释性较差的问题,本文提出了一种基于振动和声学信号融合的XAI故障诊断框架。首先,仅使用正常状态下的样本进行训练,利用卷积自编码器(Convolutional Auto-Encoder, CAE)计算重构误差来区分正常和故障状态。其次,通过基于密度的带噪声应用空间聚类(Density-Based Spatial Clustering of Applications with Noise, DBSCAN)对CAE提取的潜在特征进行聚类生成伪标签。然后,利用集成梯度法(Integrated Gradients, IG)对不同伪标签下的潜在空间特征进行归因解释,确定伪标签对应的真实故障类型。最后,引入分类器,利用伪标签和潜在空间特征进行训练,实现故障诊断。
自编码器是一种典型的无监督学习神经网络,其主要由编码器和解码器组成。其中,编码器的编码过程是将输入的高维数据映射到低维的潜在空间中,从而压缩数据、降低维度;而解码器的解码过程是将编码器输出的低维数据生成与输入数据相似的重构输出。基于深度学习中的卷积网络架构,CAE采用卷积层来代替经典AE模型中的全连接层[29]。在处理图像时,CAE利用卷积层捕捉输入图像的特征,之后利用池化层保留重要特性并降低空间维度,经过多层卷积和池化操作后可得低维的潜在空间特征。在卷积解码器中,通过最小化输入数据和重构数据间的差异,提高重构样本与真实样本的相似性,使得解码器利用潜在空间特征生成接近真实样本的重构特征。
DBSCAN是一种基于密度的无监督学习算法,该算法通过将数据集划分为不同的簇,使得同一簇内的数据点具有较高的密度,而不同簇之间的密度较低。与经典K-means聚类相比,DBSCAN不需要事先知道要形成的簇类的数量。
邻域内的最小点数MinPts和邻域半径e是决定DBSCAN聚类效果的关键参数。MinPts直接影响噪声点的过滤和簇的形成,有
(1)
(2)
式中,dim为特征的有效维度;k为最近邻点。
采用k-距离图法(k-distance plot)确定参数e:计算每个点到其第k近邻的距离,按升序绘制曲线,把曲线中的“拐点”处的k距离作为e值。
根据这两个参数,数据点可分为三类:
(1)核心点:邻域内包含至少MinPts个点。
(2)边界点:不满足核心点条件,但位于某核心点的邻域内。
(3)噪声点:既不是核心点也不是边界点的数据。
假设
为数据集,e为半径,点xp的邻域为
(3)
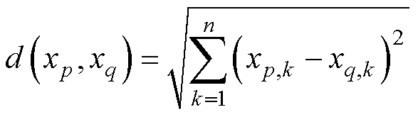
式中,xp和xq为两个数据点;
为点xp与点xq的距离。
DBSCAN常采用欧几里得距离来衡量样本点到簇中心的距离,可以描述为
(4)
其中


式中,n为数据的维度;xp,k和xq,k为两数据点在第k个维度上的值。
在传统基于机器学习的断路器故障诊断中,所构建的故障诊断模型往往因其内在结构或决策过程的复杂性而缺乏可解释性。可解释人工智能通过提升模型及其决策过程的可理解性,显著增强了模型的透明度和可信度。其中,IG作为一种基于梯度的可解释方法,通过量化输入特征变化对模型输出的影响,揭示了模型内部的决策过程。
在计算每个输入特征对模型的输出贡献时,首先需要选定一个基准输入,该输入通常为“无特征”的输入。其次需要计算输入数据和基准点之间所有线性插值路径上的梯度。对于输入特征x,使用模型计算输出和基准点x0之间的梯度路径。对于每个输入特征,IG法将路径上的梯度值按照比例累计,从而计算特征的整体贡献为
(5)
式中,N为差值步数;xi为第i个输入特征;x0i为基准点中的第i个输入特征;l为路径步长索引;f(x)为模型的预测函数,
为插值样本
的预测。线性插值的作用是将输入图像和基准图像之间的差异分成多个小模块,将基准图像逐步逼近到输入图像。梯度计算反映的是每个插值样本的变化对于模型输出的影响。
本文首先将声信号和振动信号合并为具有联合特征的对数梅尔频谱图,然后使用CAE算法实现故障检测,提取CAE潜在空间进行聚类,引入分类器将聚类生成的伪标签和潜在空间特征进行故障诊断,最后使用IG进行归因解释。流程如图1所示。
图1 本文的故障诊断流程
Fig.1 The fault diagnosis process of this paper
故障检测旨在判定断路器是否处于正常工作状态。基于重构的方法通过学习正常运行模式生成重构数据,并利用重构数据与实际数据间的差异来识别样本点的异常状态。该方法可以有效适应复杂数据的结构特性,尤其是在声信号和振动信号采集过程中不可避免的噪声干扰的环境下,具有较强的鲁棒性。这种方法不依赖标签数据,具有较强的泛化能力,能够在存在噪声的情况下,保持较好的鲁棒性。此外,对数梅尔频谱图适用于断路器动作过程中声振等时间序列数据,在降低噪声干扰、增强可解释性、提高鲁棒性等任务中具有较好的效果。故本文基于重构的方法对对数梅尔频谱图进行故障检测。
首先将采集到的声信号和振动信号转换为相应的对数梅尔频谱图。对对数梅尔频谱图的时间维度W、频率维度H以及通道维度C进行均值计算(时间维度通常指对数梅尔频谱图的宽度;频率维度通常是指对数梅尔频谱图的高度;通道维度就是传感器的个数),得到每个样本的重构误差,计算其所有维度的平均值
为
(6)
式中,
为样本误差的平均值,它由时间维度W、频率维度H以及通道维度C确定,尺寸为W×H×C;
为位置 (j, k, l) 处重构误差的绝对值,j, k, l为位置索引。
接着,将声信号和振动信号的对数梅尔频谱图进行加权特征融合,得到具有混合特征的对数梅尔频谱图。合并后的对数梅尔频谱图是一个二维数组,只存在频率维度和时间维度,但CAE模型要求的输入数据的尺寸是三维数组,所以添加一个额外通道数并设置为1,则三维数组设置为128×15×1。混合特征对数梅尔频谱图的构建如图2所示。
将90%健康状态下的混合特征对数梅尔频谱图提取出来作为训练集,而其余健康状态与不同故障类型的混合特征对数梅尔频谱图则构成测试集。使用CAE对训练集样本进行训练。故障检测中的CAE结构设置如图3所示。
CAE模型中的编码器部分采用两个卷积层和最大池化层,第一层卷积使用32个大小为3×3的卷积核,激活函数为ReLU,最大池化层进行2×2的池化操作,目的是降低图形的空间尺寸,同时将显著特征进行保存。第二层卷积使用64个大小为3×3的卷积核,最大池化层再次选择2×2的池化操作,进一步减少空间尺寸压缩特征。
解码器部分采用两个卷积层和上采样层,第一层卷积使用64个大小为3×3的卷积核,通过上采样将特征图的尺寸放大2倍,恢复空间尺寸。第二层卷积使用32个大小为3×3的卷积核,之后再次进行上采样,进一步恢复空间尺寸。
图2 构建混合特征对数梅尔频谱图
Fig.2 Constructing process of a mixed eigen logarithmic Mel spectrogram
图3 故障检测中的CAE结构设置
Fig.3 CAE structure setup in fault detection
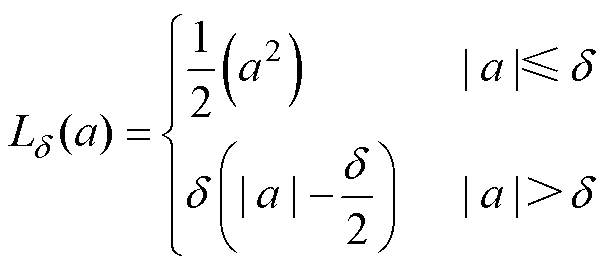
CAE中损失函数通常选择方均误差(Mean Squared Error, MSE)或平均绝对误差(Mean Absolute Error, MAE)。然而,这两种损失函数存在各自的局限性:MSE对异常值高度敏感,因为较大的残差在二次方后会被显著放大,导致模型在训练过程中容易受到异常样本的干扰,从而降低泛化性能;而MAE虽然对异常值更加鲁棒,但由于其对小误差范围内的梯度响应相对较弱。Huber损失在误差较小时采用类似MSE的二次方处理方式,能够对小误差保持较高的敏感性;当误差超过设定的阈值时,则切换为类似MAE的线性增长形式,从而有效减小异常值对模型的影响。因此,本文在CAE模型中引入Huber损失函数,使其兼具对小误差的敏感性和对异常值的鲁棒性。
因此,Huber损失函数定义为
(7)
其中
a=x-
式中,a为预测值与真实值之间的误差;
为输入特征x的重构特征;
为超参数,这里设置为1。
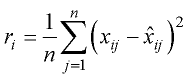
对于每一个样本,通过计算原始对数梅尔频谱图和重构对数梅尔频谱图之间的方均误差得到重构误差(残差)ri为
(8)
式中,xij为样本i的原始对数梅尔频谱图在第j个位置的值;
为样本i的重构对数梅尔频谱图在第j个位置的值;n为样本i的数据的总元素数。
当样本的重构误差超过设定的阈值t时,判定该样本为故障样本。阈值t是根据训练集中的健康数据(正常状态)的均值m和标准差s计算得到的,即
(9)
(10)
(11)
式中,m为健康数据的样本数。
有监督的故障诊断算法通常需要预先了解故障类型和样本数量,但在实际应用中,往往难以明确判定这些信息。因此,本文采用无监督聚类算法进行故障诊断。
首先,训练CAE学习对数梅尔频谱图的潜在特征之后,使用DBSCAN方法对全部样本的潜在特征进行聚类,为测试数据集生成伪标签。
然后,使用IG的方法计算不同聚类簇下的潜在空间特征,并将IG的结果映射回输入样本,解释模型对不同故障类型的特征归因。梯度值越高的特征表示对模型的决策贡献越大。根据归因图判断伪标签对应的真实故障类型。
最后,在CAE中加入一个分类器
,该分类器的实质是一个全连接层构成的神经网络层。该分类器以CAE潜在空间z作为输入,将其分为K类,输出是K类的概率分布,有
(12)
将潜在空间特征和伪标签划分训练集和测试集,其中训练集用来训练CAE。使用softmax交叉熵损失函数计算标签与预测概率之间的误差。训练过程中会冻结CAE的编码器部分
,只有分类器部分
的权重在训练中更新。
本实验机器选用单相磁控真空断路器,信号采集装置采用型号为B&K 4370-443的加速度传感器(灵敏度100 mV/g,频率范围0.3~18 kHz)以及型号B&K 4189-3043477的自由场声学传感器(频率响应6 Hz~20 kHz,幅度波动:±2 dB)。磁控机构断路器底座采用铸铁材料制成且操动机构距离底座部分最接近,故将加速度传感器安装在底座可确保振动信号的最小衰减。磁控机构动作时会产生较大的噪声,为了平衡近场效应与信噪比需求,本文将拾音器固定在距离断路器0.5 m的位置。
声振信号采用触发式采集,采样频率均为12.8 kHz,持续时间为300 ms。声振信号通过OR38V3测试分析系统以及相应的采集软件NVGate进行实时采集。实验采集装置如图4所示。
磁控机构断路器机械结构复杂,收集全部的故障类型的数据几乎不可能。本文人工引入了6种断路器的常见状态类型(包含正常状态和5种故障类型),磁控机构断路器故障类型及样本数量见表1。表中所有的故障均对断路器的分合闸特性造成了影响。为了计算的便捷性,本文仅对合闸动作过程中的振动信号和声信号进行分析。
采集各状态类型的声振信号,分别提取声信号和振动信号对应的对数梅尔频谱图,并将其采用加权合并的方式,得到具有混合特征的对数梅尔频谱图。声信号可以同时反映机械动作与电磁噪声的耦合效应,在检测高频故障时表现优异,具有较强的鲁棒性;而振动信号对低频故障敏感,但其易受传感器安装位置的影响,底座振动可能会掩盖部分故障特征,所以,振动信号的权重应适当地降低,从而避免对混合特征提取的负面影响。为了找到更优的权重组合,在此设置了多组预实验来测试不同权重比对故障检测的影响,不同权重比对应的故障检测结果见表2。
图4 磁控机构断路器声振信号采集装置
Fig.4 Acoustic vibration signal acquisition device for magnetic control mechanism circuit breaker
表1 磁控机构断路器故障类型及样本数量
Tab.1 Relationship between forecast performance and forecast horizon
状态类型编号标签状态类型样本数 健康状态1正常状态50 故障类型12驱动电压不足50 故障类型23固定螺栓松动50 故障类型34连杆润滑不足50 故障类型45电磁铁行程过大50 故障类型56电磁铁行程过小50
表2 不同权重比下故障检测结果对比
Tab.2 Fault detection results corresponding to different weight ratios
权重 (声: 振动)误判样本数 1: 07 0.9: 0.12 0.8: 0.25 0.7: 0.318 0.6: 0.474
由表2可知,声信号权重为0.9,振动信号权重为0.1时误判样本数量最低。加权组合后,各状态下的混合特征对数梅尔频谱图如图5所示。
图5 断路器不同状态下的混合对数梅尔频谱图
Fig.5 Mixed eigenlogarithmic Mel spectrograms under different conditions of circuit breaker
本文在CAE的训练过程中采用自适应矩估计(Adaptive moment estimation, Adam)优化器进行参数优化,其初始学习率设置为0.001,训练轮数为50,批量大小为8。由于本文构造的健康样本与故障样本的特征分布存在显著差异,Adam优化器能够通过自适应调整不同频段特征的梯度更新强度,有效平衡特征学习过程。为验证Adam优化器的性能优势,本文对比了Adam、随机梯度下降(Stochastic Gradient Descent, SGD)和方均根传播(Root Mean Square propagation, RMSprop)三种在相同实验条件下的表现(学习率均为0.001,SGD动量为0.9,训练50轮,批量大小为8),损失曲线对比结果如图6所示。损失曲线对比结果表明,Adam损失曲线收敛最快且波动最小,SGD的损失较高且波动较大,而RMSprop的损失略高且收敛速度较慢。
为验证学习率设置为0.001的合理性,本文对比了0.01、0.001和0.000 1三种学习率的表现(使用Adam优化器,训练50轮,批量大小为8),损失曲线对比如图7所示。结果表明,学习率为0.000 1时,训练损失和验证损失下降速度缓慢,表明模型收敛效率较低;学习率为0.001时,损失下降速度适中且训练与验证损失差距较小,表现出良好的泛化能力;学习率为0.01时,尽管损失曲线下降速度较快,但其曲线较为平坦且易出现过拟合现象。
图6 不同优化器的损失曲线
Fig.6 Loss curves for different optimizers
图7 不同学习率的损失曲线
Fig.7 Loss curves for different learning rates
此外,从损失曲线中可以看出,模型在训练10轮左右时损失已趋于平稳,但为确保模型充分收敛并适应潜在的噪声干扰,训练轮数被设置为50。本文使用的数据集仅包含300组样本,将批量大小设置为8能够在保留更多梯度信息的同时,适应资源有限的训练场景。若未来数据量增加,可通过动态调整训练轮数和批量大小进一步提升训练效率。
经过训练后,计算样本的重构误差并与设置的阈值进行对比,实现对故障样本的检测,检测结果如图8所示。图8中,绿色样本点代表健康样本,红色样本点代表故障样本,黑色线代表阈值。
如图8所示,训练集包含的5个正常样本和250个故障样本中,有1个正常样本被识别为了故障样本,有1个故障样本被识别为了正常样本,故障检测的准确率达到了99.2%。
基于重构误差的故障检测方法中,通过计算正常状态样本下的均值和标准差,确定重构误差的阈值范围。当重构误差超出阈值范围时,被识别为故障数据。因此,在现场缺乏故障数据的条件下,仍能有效实现故障检测。
图8 基于改进CAE的故障检测
Fig.8 Fault detection based on improved CAE method
在故障检测之后,将测试集的潜在空间特征使用DBSCAN进行聚类。如1.2节所述,DBSCAN中需要确定最小点数MinPts和邻域半径e。潜在空间特征经过CAE压缩后有效维度约为10,故MinPts设定为10。进而,由式(2)计算得到k=9,k-距离图如图9所示,横轴是数据点的索引,纵轴是对应的k距离。此时,由拐点处对应的k距离确定e=50。
图9 k-距离图(k=9)
Fig.9 k-distance plot (k=9)
将测试集的潜在空间特征使用DBSCAN方法进行聚类,得到的聚类效果混淆矩阵如图10所示。需要注意的是,混淆矩阵的纵坐标代表真实标签,而横坐标代表伪标签,该混淆矩阵的作用是为了评估模型和聚类方法的聚类性能。
本文基于IG以正常状态下的梅尔频谱图作为基准,沿输入空间对特征进行插值计算,从而量化各特征对模型输出的贡献,此时IG中所有贡献是相对于健康状态信号的偏离。考虑到计算的精确性和便利性,在输入样本(故障状态)与基准点(健康状态)间生成50个插值点,在每种状态下随机选取一个样本进行归因解释,IG计算的归因图如图11所示。
图10 基于DBSCAN聚类的混淆矩阵
Fig.10 Confusion matrix based on DBSCAN clustering
如图11所示,归因图中的高贡献区域(深蓝色)代表信号特征显著偏离健康状态,这些特征是故障的关键指标。高贡献区域的频率分布反映了不同故障类型特有的振动或噪声特征,时间分布揭示了动作时间的异常(如延迟或提前)。

图11 不同聚类簇下的IG计算结果
Fig.11 IG results under different clusters
聚类1在120 kHz附近的高频特征表现出显著的贡献值,表明机械结构中可能存在松动或局部不稳定现象,导致高频摩擦作用从而凸显高频特征。同时,20 kHz附近的低频特征虽有一定贡献,但相对较低,反映出该不稳定因素对整体结构振动的影响有限,更多集中于局部振动。因此判断该故障类型为固定螺栓松动。
聚类3无梯度显示,因此可以判断聚类3的真实标签为正常状态。
聚类4对应的归因图在20 kHz频段附近表现出了较高的贡献值,时间轴上0~30 kHz频段的贡献值呈现出间断分布,在40~60 kHz附近也可以观察到一些较深的区域,且贡献值较为零散。这种分布特征说明该故障在运行过程中以不规则的形式发生,与机械运动产生的摩擦相关,因此可以判断聚类4的真实标签为润滑不足。
聚类5和聚类2的归因图较为相似,说明这两聚类对应的故障类型相似。两图均在20 kHz附近的贡献值较高,说明二者在此频段的特征较为明显,但聚类2的贡献值相比聚类5较为集中,持续时间也略大于聚类5,说明该断路器受到该故障的影响较大。此外,在聚类2中80~120 kHz频段中的贡献值更为集中,说明冲击力引起的振动大于聚类5。在磁控机构中,电磁铁行程越大,电磁铁运动时的反向电动势作用时间越长,合闸冲击力越小。因此,聚类5对应的真实故障标签为电磁铁行程过大,聚类2对应的真实故障标签为电磁铁行程过小。
聚类6对应的归因图与其他归因图相比,其显著特征是背景颜色较深,说明整体的特征贡献值较高,在120 ms对应的110 kHz处的贡献值最高。一般是由较大的冲击或电气类型的故障导致,但由于整体特征贡献值在时间轴上较为平稳且低频特征没有显著变化,说明不是突发性的故障。因此可以判断聚类6的真实标签为驱动电压不足。
首先,使用IG对潜在空间特征计算得到归因图,通过显著贡献判断不同聚类簇对应的真实故障类型之后,可以得到伪标签对应的真实状态。然后,在CAE中加入一个分类器,根据聚类结果生成的伪标签以及对应的潜在空间特征训练分类器。
分类器模块的框架是由Flatten层和两个全连接层组成的,其中,Flatten层是将编码器输出的特征图展平为向量,第一个全连接层中有128个神经元,激活函数为ReLU,第二个全连接层(输出层)中有9个神经元(对应9种状态),激活函数为Sotfmax。分类器的设置与训练CAE模型的参数相同,但损失函数替换为了分类交叉熵。
6种状态类型对应6个标签,每种标签下各50组样本,将其按照50%随机划分为训练集和测试集。故障诊断结果如图12所示,所有的测试集样本被准确诊断,故障诊断准确率为100%。
图12 本文故障诊断的混淆矩阵
Fig.12 Confusion matrix of fault diagnosis of the proposed method
在AMD锐龙7 5700 G,32 G内存条件下,故障检测CAE模型的训练时间是12.84 s,故障诊断中带有分类器的CAE的训练时间是27.57 s。
为了验证提出算法在聚类的优越性,将其与多种经典算法进行对比,包括K-means、DBSCAN、高斯混合模型(Gaussian Mixture Model, GMM)、Mean-shift、自组织映射(Self-Organizing Map, SOM)、层次聚类。其中,K-means和GMM需要明确给出簇的数量。
对比的聚类算法直接对混合特征的对数梅尔频谱图进行聚类,而不是本文在CAE中构建的潜在空间特征。为了更好地展示聚类效果,本文使用主成分分析(Principal Component Analysis, PCA)对其进行了可视化,聚类效果如图13所示。
如图13所示,所有的聚类算法的聚类效果均不理想,低于本文提出的对潜在空间特征的聚类效果。其中,K-means、GMM在已知簇的数量前提下,实现了6类聚类;层次聚类在未知簇数量的情况下,同样实现了6类聚类;其余聚类算法未能实现对6类样本的有效聚类。
图13 混合对数梅尔频谱图的聚类效果对比
Fig.13 Comparison of clustering of mixed eigenlogarithmic Mel spectrograms
为了验证本文提出的故障诊断算法的优越性,将其与卷积注意力模块(Convolutional Block Attention Module, CBAM)、深度残差收缩网络(Deep Residual Shrinkage Network, DRSN)以及宽核深度卷积神经网络(Wide-kernel Deep Convo- lutional Neural Network, WDCNN)进行对比。为了保证超参数不同对性能比较的影响,对比实验与3.5节中设置的样本数量一致,而且所有算法均采用相同的超参数设置:学习率为0.001,训练轮数为50,批量大小为8。不同深度学习算法诊断结果的混淆矩阵如图14所示。
图14 不同深度学习算法的识别矩阵
Fig.14 Confusion matrix of different deep learning algorithms
如图14所示,CBAM模型中有8个样本诊断错误,DRSN模型中有32个样本诊断错误,WDCNN模型中有26个样本诊断错误。因此,本文提出的算法在故障诊断中显著优于对比算法。
本文研究对象为磁控机构断路器,其寿命周期内不同动作次数的声振信号曲线在时域上高度重叠,表明其声振特性在机械寿命周期内的高度稳定性。本文采用的正常状态数据来源于机械寿命前2 000次的随机抽取,这一样本量足以覆盖柱上开关的机械寿命范围,确保了正常样本的代表性。在特征提取方面,通过加权合并(声信号权重0.9,振动信号权重0.1)的对数梅尔频谱图融合声振信号,有效捕捉了断路器动作的动态特征。在模型设计上,本文进一步优化了正常样本的学习与泛化能力。采用基于Huber损失函数改进的卷积自编码器,相较于传统的方均误差损失,Huber损失函数在处理异常值(如噪声或轻微故障)时更具鲁棒性,确保模型能够准确捕捉正常状态的特征。此外,卷积自编码器生成的潜在空间特征被输入DBSCAN算法,通过无监督聚类识别正常样本的内在结构,进一步提升模型对正常状态多样性的适应能力。
在故障诊断领域,传统时域和频域分析方法同样能够提取信号的物理特性(如峰值、频率带能量等)并进行定量判断。然而,这些方法在特征选择上通常依赖领域专家的经验和先验知识,易受主观因素影响,且在面对复杂或未知故障类型时,泛化能力受限。与此相比,本文提出的基于IG的归因解释方法实现了特征的自动化识别与量化,显著提升了诊断的客观性、鲁棒性和可解释性。
传统时域和频域分析方法在特征提取上通常直接从原始信号中提取预定义的特征,如时域的统计量(如均值、方差)或频域的峰值频率和带宽。虽然通过引入特征量计算可以实现一定的定量分析,但特征的选择仍高度依赖人工经验。一旦特征选取不当,诊断效果可能显著下降。此外,传统方法多针对特定故障类型设计特征提取规则,难以适应未预见的故障模式。例如,预定义的频段或时间窗口可能无法有效捕捉复杂环境中未知故障的特征,限制了其应用范围。相比之下,IG方法通过梯度插值计算,从基线到输入的积分中自动识别对模型决策贡献最大的特征,避免了人工干预的偏差。例如,3.4节的分析表明,IG方法成功揭示了聚类1的关键特征:120 kHz附近的高频成分对识别“固定螺栓松动”故障贡献显著,而20 kHz附近的低频特征影响则相对较小。
此外,传统方法虽然能够定量描述信号的物理特性,但难以阐明这些特征如何驱动模型的决策过程,导致诊断结果透明度不足。IG方法则通过量化每个输入特征对模型输出的贡献,直接关联信号特征与模型决策,提供更深层次的解释。例如,本文的IG归因图以深蓝色区域突出显示了模型在故障判断时所依赖的关键特征区域。与传统方法仅关注信号本身物理特性不同,IG从模型决策角度出发,展示了哪些特征对分类或聚类结果影响最大,使得分析结果更具说服力和透明度。
综上所述,鉴于磁控机构断路器信号的稳定性,本文确保了正常样本的代表性和全面性。通过自动化特征识别,IG方法减少了人工干预的主观性,提升了分析的客观性;通过模型驱动的定量分析和可视化归因图,增强了诊断的可解释性和透明度;通过潜在空间特征的学习,提高了对复杂和未知故障的泛化能力。
针对磁控机构断路器在实际电力场景中依赖故障标签和声振信号故障诊断模型难以解释的问题,提出了一种基于XAI的无监督故障检测、分割与故障诊断框架。主要结论如下:
1)仅使用正常状态下声振信号特征融合的对数梅尔频谱图对卷积自编码器(CAE)进行训练,通过重构误差和设置的阈值进行对比,实现了未知故障的无监督检测。
2)在无需标签数据的条件下,通过DBSCAN对CAE提取的潜在空间特征进行聚类分析,利用伪标签识别出全部潜在的故障模式。实验表明,相较于直接对混合对数梅尔频谱图进行聚类,对潜在空间特征的聚类效果更优。
3)利用IG法计算伪标签下的潜在空间特征,通过贡献度将伪标签赋予真实状态类型,揭示模型内部的决策依据,提升了故障诊断的透明度和可解释性,并通过分类器实现了各类故障的诊断(诊断精度为100%)。
4)本文仅对磁控机构故障诊断进行了研究,对于弹簧、永磁等机构下的故障诊断效果有待进一步验证。
参考文献
[1] 李辰辉, 褚继峰, 龙潇, 等. 基于弧触头接触振动特征分析的高压SF6断路器电寿命在线监测方法[J]. 电工技术学报, 2024, 39(15): 4883-4895.
Li Chenhui, Chu Jifeng, Long Xiao, et al. Online monitoring method of electrical life of high voltage SF6 circuit breaker based on analysis of arcing contact vibration characteristics[J]. Transactions of China Electrotechnical Society, 2024, 39(15): 4883-4895.
[2] 陶彩霞, 王文博, 李泰国, 等. 一种双电容换流型混合式直流断路器[J]. 电气工程学报, 2024, 19(3): 315-324.
Tao Caixia, Wang Wenbo, Li Taiguo, et al. A double capacitor commutated hybrid DC circuit breaker[J]. Journal of Electrical Engineering, 2024, 19(3): 315- 324.
[3] 王奕飞, 林莘, 徐建源, 等. 高压断路器操动机构驱动电机及其控制技术研究[J]. 电机与控制学报, 2024, 28(1): 95-104.
Wang Yifei, Lin Xin, Xu Jianyuan, et al. Motor design and control technology of high-voltage circuit breaker operating device[J]. Electric Machines and Control, 2024, 28(1): 95-104.
[4] 于晨晖, 王浩名, 李一, 等. 基于深度森林的高压断路器弹簧机构状态识别[J]. 高压电器, 2023, 59(2): 37-43, 51.
Yu Chenhui, Wang Haoming, Li Yi, et al. State identification of spring operating mechanism for high voltage circuit breaker based on deep forest[J]. High Voltage Apparatus, 2023, 59(2): 37-43, 51.
[5] 李天辉, 庞先海, 范辉, 等. 基于IEMD和GA-WNN的断路器分合闸线圈故障诊断方法[J]. 中国电力, 2022, 55(5): 111-121.
Li Tianhui, Pang Xianhai, Fan Hui, et al. Fault diagnosis method for circuit breaker opening and closing coil based on IEMD and GA-WNN[J]. Electric Power, 2022, 55(5): 111-121.
[6] 范兴明, 许洪华, 张思舜, 等. 基于IDBO-DHKELM的高压断路器故障诊断研究[J].电工技术学报, 2025, 40(12): 3994-4003.
Fan Xingming, Xu Honghua, Zhang Sishun, et al. Fault diagnosis of high voltage circuit breaker based on improved dung beetle optimizer algorithm deep hybrid kernel extreme learning machine[J]. Transa- ctions of China Electrotechnical Society, 2025, 40(12): 3994-4003.
[7] 林琳, 陈志英. 基于粗糙集神经网络和振动信号的高压断路器机械故障诊断[J]. 电工技术学报, 2020, 35(增刊1): 277-283.
Lin Lin, Chen Zhiying. Mechanical fault diagnosis of high voltage circuit breakers based on rough set neural networks and vibration signals[J]. Transactions of China Electrotechnical Society, 2020, 35(S1): 277-283.
[8] 杨元威, 关永刚, 陈士刚, 等. 基于声音信号的高压断路器机械故障诊断方法[J]. 中国电机工程学报, 2018, 38(22): 6730-6737.
Yang Yuanwei, Guan Yonggang, Chen Shigang, et al. Mechanical fault diagnosis method of high voltage circuit breaker based on sound signal[J]. Proceedings of the CSEE, 2018, 38(22): 6730-6737.
[9] 孙玉伟, 罗林根, 陈敬德, 等. 含噪背景下基于盲源分离与NSVDD的断路器机械故障诊断方法[J]. 高电压技术, 2022, 48(3): 1104-1113.
Sun Yuwei, Luo Lingen, Chen Jingde, et al. Mechanical fault diagnosis method of circuit breaker based on blind source separation and NSVDD under noisy background[J]. High Voltage Engineering, 2022, 48(3): 1104-1113.
[10] 刘亚魁, 李红运, 林天然, 等. 基于机器视觉的高压断路器机械特性测量方法[J]. 电工技术学报, 2023, 38(增刊1): 222-230.
Liu Yakui, Li Hongyun, Lin Tianran, et al. Measure- ment method of mechanical characteristics of high voltage circuit breaker based on machine vision[J]. Transactions of China Electrotechnical Society, 2023, 38(S1): 222-230.
[11] 万书亭, 郭胡森, 豆龙江, 等. 基于电流-振动信号联合特征的高压断路器故障诊断方法[J]. 电子测量技术, 2024, 47(20): 140-149.
Wan Shuting, Guo Husen, Dou Longjiang, et al. Fault diagnosis method of high voltage circuit breaker based on the combined characteristics of current and vibration signal[J]. Electronic Measurement Techno- logy, 2024, 47(20): 140-149.
[12] 马莉, 霍耀佳, 吴杨, 等. 基于VMD和KFCM-SVM的高压断路器声振联合故障诊断方法[J]. 高压电器, 2024, 60(8): 53-62.
Ma Li, Huo Yaojia, Wu Yang, et al. Acoustic and vibration joint fault diagnosis method of high voltage circuit breaker based on VMD and KFCM-SVM[J]. High Voltage Apparatus, 2024, 60(8): 53-62.
[13] 李建鹏, 赵冀宁, 孟延辉, 等. 高压断路器操动机构非侵入式多信息检测及故障诊断研究[J]. 高压电器, 2024, 60(7): 128-137.
Li Jianpeng, Zhao Jining, Meng Yanhui, et al. Research on non-invasive multi-information detection and fault diagnosis for operating mechanism of high voltage circuit breaker[J]. High Voltage Apparatus, 2024, 60(7): 128-137.
[14] 任明, 陈荣发, 夏昌杰, 等. 基于三元图谱的真空断路器机电故障诊断研究[J]. 中国电机工程学报, 2022, 42(增刊1): 332-342.
Ren Ming, Chen Rongfa, Xia Changjie, et al. Research on electromechanical fault diagnosis of vacuum circuit breaker based on ternary atlas[J]. Proceedings of the CSEE, 2022, 42(S1): 332-342.
[15] 王昱皓, 武建文, 马速良, 等. 基于核主成分分析- SoftMax的高压断路器机械故障诊断技术研究[J]. 电工技术学报, 2020, 35(增刊1): 267-276.
Wang Yuhao, Wu Jianwen, Ma Suliang, et al. Mechanical fault diagnosis research of high voltage circuit breaker based on kernel principal component analysis and SoftMax[J]. Transactions of China Electrotechnical Society, 2020, 35(S1): 267-276.
[16] 司江宽, 吐松江·卡日, 范想, 等. 基于SO-PAA- GAF和AdaBoost集成学习的高压断路器故障诊断[J]. 电力系统保护与控制, 2024, 52(3): 152-160.
Si Jiangkuan, Tusongjiang·Kari, Fan Xiang, et al. Fault diagnosis of high-voltage circuit breaker based on SO-PAA-GAF and AdaBoost ensemble learning[J]. Power System Protection and Control, 2024, 52(3): 152-160.
[17] Sun Shuguang, Sun Liang, Wang Jingqin, et al. Fault diagnosis of conventional circuit breaker accessories based on grayscale image of current signal and improved ZFNet-DRN[J]. IEEE Sensors Journal, 2023, 23(2): 1343-1356.
[18] 王艳新, 闫静, 王建华, 等. 基于特征融合度量学习的高压断路器机械故障诊断[J]. 仪器仪表学报, 2022, 43(9): 98-105.
Wang Yanxin, Yan Jing, Wang Jianhua, et al. Mechanical fault diagnosis for high voltage circuit breaker via a novel feature fusion metric learning[J]. Chinese Journal of Scientific Instrument, 2022, 43(9): 98-105.
[19] Lu Yang, Li Yongli. A novel fault diagnosis method for circuit breakers based on optimized affinity pro- pagation clustering[J]. International Journal of Elec- trical Power & Energy Systems, 2020, 118: 105651.
[20] Ye Xinyu, Yan Jing, Wang Yanxin, et al. A novel U-Net and capsule network for few-shot high-voltage circuit breaker mechanical fault diagnosis[J]. Measure- ment, 2022, 199: 111527.
[21] Li Xiaofeng, Chen Hantao, Xie Fuqi, et al. Hybrid model of multiple echo state network integrated by evidence fusion for fault diagnosis of a high-voltage circuit breaker[J]. IEEE Transactions on Consumer Electronics, 2024, 70(3): 5269-5277.
[22] 严如强, 周峥, 杨远贵, 等. 可解释人工智能在工业智能诊断中的挑战和机遇: 归因解释[J]. 机械工程学报, 2024, 60(12): 21-40.
Yan Ruqiang, Zhou Zheng, Yang Yuangui, et al. Challenges and opportunities of XAI in industrial intelligent diagnosis: attribution interpretation[J]. Journal of Mechanical Engineering, 2024, 60(12): 21-40.
[23] 严如强, 商佐港, 王志颖, 等. 可解释人工智能在工业智能诊断中的挑战和机遇: 先验赋能[J]. 机械工程学报, 2024, 60(12): 1-20.
Yan Ruqiang, Shang Zuogang, Wang Zhiying, et al. Challenges and opportunities of XAI in industrial intelligent diagnosis: priori-empowered[J]. Journal of Mechanical Engineering, 2024, 60(12): 1-20.
[24] 房佳姝, 刘崇茹, 苏晨博, 等. 基于自注意力Trans- former编码器的多阶段电力系统暂态稳定评估方法[J]. 中国电机工程学报, 2023, 43(15): 5745-5759.
Fang Jiashu, Liu Chongru, Su Chenbo, et al. Multi- stage transient stability assessment of power system based on self-attention Transformer encoder[J]. Pro- ceedings of the CSEE, 2023, 43(15): 5745-5759.
[25] Xie Tianming, Xu Qifa, Jiang Cuixia, et al. The fault frequency priors fusion deep learning framework with application to fault diagnosis of offshore wind turbines[J]. Renewable Energy, 2023, 202: 143-153.
[26] 吕云龙, 胡琴, 胡紫园, 等. 考虑样本不平衡条件下风机叶片覆冰诊断及其可解释性研究[J]. 电工技术学报, 2025, 40(11): 3667-3679.
Lü Yunlong, Hu Qin, Hu Ziyuan, et al. Diagnosis and interpretability study of wind turbine blade icing under consideration of sample imbalance condi- tions[J]. Transactions of China Electrotechnical Society, 2025, 40(11): 3667-3679.
[27] 刘会兰, 常庚垚, 赵书涛, 等. 溯源弹簧形变过程的断路器振动信号递归量化分析辨识方法[J]. 电工技术学报, 2024, 39(8): 2567-2577.
Liu Huilan, Chang Gengyao, Zhao Shutao, et al. Circuit breaker state identification method based on tracing spring deformation process and recurrence quantitative analysis of vibration signals[J]. Transa- ctions of China Electrotechnical Society, 2024, 39(8): 2567-2577.
[28] 田敬越, 王昕, 唐浩哲, 等. 基于跨域特征与深度对比学习的断路器故障诊断方法研究[J/OL]. 华北电力大学学报(自然科学版), 1-10[2025-09-30]. https://link.cnki.net/urlid/13.1212.TM.20241111.1353.002.
Tian Jingyue, Wang Xin, Tang Haozhe, et al. Research on circuit breaker fault diagnosis method based on cross-domain features and deep contrastive learning[J/OL]. Journal of North China Electric Power University, 1-10[2025-09-30]. https://link.cnki. net/urlid/13.1212.TM.20241111.1353.002.
[29] 齐子豪, 仝杰, 张中浩, 等. 基于多粒度知识特征和Transformer网络的电力变压器故障声纹辨识方法[J]. 中国电机工程学报, 2025, 45(4): 1311-1323.
Qi Zihao, Tong Jie, Zhang Zhonghao, et al. A voiceprint classification method for power trans- former fault identification based on multi-granularity knowledge features and transformer network[J]. Proceedings of the CSEE, 2025, 45(4): 1311-1323.
Abstract Fault diagnosis of high-voltage circuit breakers has conventionally relied on supervised learning approaches, requiring a substantial volume of labeled fault data for model training. However, this approach encounters significant challenges in practical applications due to the scarcity of fault labels and the dynamic nature of real-world operating conditions. Moreover, traditional diagnostic models, particularly those based on deep learning, often function as “black boxes”, lacking interpretability in their decision-making processes. It is challenging to elucidate the rationale behind their predictions, thereby restricting their applicability in safety-critical power systems where transparency and reliability are paramount. This study proposes a novel, unsupervised fault diagnosis method based on an explainable artificial intelligence (XAI) framework. The method aims to mitigate the dependency on labeled data while enhancing model interpretability, offering an efficient, transparent, and robust solution for fault diagnosis of electromagnetic mechanism circuit breakers.
The proposed method begins by constructing logarithmic Mel spectrograms with mixed features through the fusion of acoustic and vibration signals. Acoustic signals that excel in capturing high-frequency anomalies and vibration signals that are sensitive to low-frequency mechanical faults are combined via a weighted fusion process (with weights of 0.9 for acoustic signals and 0.1 for vibration signals). This fusion strategy optimizes the complementary strengths of both signal types, and spectrograms that comprehensively represent the operational state of the circuit breaker. A convolutional autoencoder (CAE) is then employed for feature extraction, trained exclusively on logarithmic Mel spectrograms from normal operating conditions. The reconstruction error between the input and the reconstructed output is calculated and compared to a dynamic threshold derived from the mean and standard deviation of healthy data. It is shown that the CAE effectively distinguishes between normal and faulty states. This unsupervised fault detection approach eliminates the need for labeled fault data, demonstrating strong generalization capabilities even in the presence of noise and varying operational conditions.
Building on the fault detection phase, this study further integrates DBSCAN clustering and the integrated gradients (IG) method to achieve precise fault segmentation and interpretable fault diagnosis. The latent space features extracted by the CAE are clustered using DBSCAN, a density-based algorithm that autonomously identifies fault patterns without predefined cluster numbers or labeled data. This step generates pseudo-labels for fault segmentation to categorize fault types. The IG method quantifies the contributions of latent space features, using the normal state spectrogram as a baseline. By mapping these contributions back to the input spectrograms, the method reveals the relationships between fault types and specific signal characteristics, such as frequency bands and temporal distributions. Finally, a classifier is introduced and trained using the pseudo-labels and latent space features, completing the fault diagnosis pipeline with high accuracy.
Experimental validation was conducted on an electromagnetic mechanism circuit breaker under six common fault conditions, including insufficient drive voltage, loose bolts, inadequate lubrication, and other similar scenarios. The results demonstrate that under conditions of missing fault labels, the fault detection accuracy is 99.2%, and the fault diagnosis accuracy is 100%. Compared to traditional clustering methods (e.g., K-means, GMM) and advanced deep learning models (e.g., CBAM, DRSN, WDCNN), the proposed approach outperforms in terms of clustering performance, diagnostic accuracy, and computational efficiency. This paper offers substantial support for the safe and stable operation of power systems.
Keywords:Fault diagnosis, breaker, explainable artificial intelligence, convolutional autoencoder, clustering, integrated gradient
中图分类号:TM561
DOI: 10.19595/j.cnki.1000-6753.tces.250111
中国电力科学研究院学科建设基金资助项目(PD83-23-003)。
收稿日期 2025-01-16
改稿日期 2025-02-24
王昊晴 男,1987年生,博士,高级工程师,研究方向为交直流开关、变压器等配电主设备及其智能化,运行管理和试验检测技术。
E-mail: wanghaoqing@epri.sgcc.com.cn(通信作者)
沙广林 男,1988年生,博士,高级工程师,研究方向为智能配电系统规划、运行控制、设备研制以及电力电子技术与综合能源融合等。
E-mail: shaguanglin@epri.sgcc.com.cn
(编辑 崔文静)