摘要 随着对储能系统应用的不断增加,双有源桥(DAB)变换器与储能系统的耦合稳定性问题受到广泛关注。为解决储能系统中DAB变换器精确离散迭代模型分析复杂性的问题,首先通过简化离散迭代时序与矩阵指数,得到简化离散迭代模型。在此基础上,以恒压充电模式为例,通过深入分析移相角动态变化对系统状态变量的影响,提出了一种适用于储能系统中DAB变换器的简化离散小信号模型。将该模型与基于精确离散迭代模型的离散小信号建模方法进行对比,为快速设计控制器参数提供了一种高效方法。此外,基于简化离散小信号模型,该文研究输入电压波动下不同控制器参数的稳定性判断,并通过与基于雅可比矩阵分析的灵敏度分析及时域稳定性边界结果进行对比,结合频域与时域分析结果,验证了所提出的简化离散迭代模型可用于“DAB-电池”耦合系统在不同时间尺度下的快速稳定性判断与控制器参数设计。最后通过实验验证上述理论分析的准确性和有效性。
关键词:双有源桥变换器 储能系统 离散迭代模型 简化模型 小信号建模
直流微电网因其在数据中心、电动汽车充电站等领域的广泛应用,近年来备受关注[1]。然而,分布式可再生能源的大规模接入加剧了直流微电网的功率波动[2-3]。为应对这一挑战,直流储能系统(Energy Storage System, ESS)和柔性负载在管理可再生能源方面发挥了关键作用,有效地缓解了由分布式可再生能源和随机负载需求引起的功率波 动[4]。因此,ESS和负载的协同作用能够实现削峰填谷、电压和频率调节。
双有源桥(Dual Active Bridge, DAB)变换器因其高频电气隔离、双向功率传输以及宽电压转换增益范围等显著优势,成为直流微电网系统的理想选择[5-6]。图1展示了直流微电网系统的典型配置,本文采用DAB 变换器连接直流母线、ESS和负载,以实现直流微电网中的高效能量管理。
图1 具有储能系统和柔性负载的直流微电网系统结构
Fig.1 Structure of DC microgrid system with ESS and fleible load
因直流母线电压波动、不合理的参数选择以及不完善的控制策略可能引发系统振荡和不可预见的稳定性问题[7-8],确保集成储能系统实现稳定运行是一项重大挑战。这些不稳定现象通常表现为快尺度次谐波振荡和慢尺度低频振荡,进而导致电流和电压水平异常。这不仅会增加设备的运行应力,降低系统的可靠性,甚至可能损坏双有源桥变换器及其相关设备[9]。因此,为了通过稳定性分析延长电池的使用寿命,采用适当的建模技术和分析工具显得尤为重要。这些工具能够揭示系统复杂的动态行为,并为高性能控制器的设计提供有力支持[10]。
通常用于分析变换器动态特性的模型包括状态空间平均模型和离散迭代模型[11-13]。状态空间平均模型通过对开关周期内的变量进行平均来描述系统动态,但其忽略了开关细节,限制了在捕捉快速开关频率动态特性方面的能力[14]。尽管文献[15-18]通过降阶平均模型提升了计算效率,但这些模型仍难以反映电感电流和电压波形的高频动态行为[19],因此在稳定性预测中应用受限[20-21]。
相比之下,离散迭代模型能够精确描述每个子区间的状态轨迹,提供高精度的动态分析能力[22-23]。然而,离散时间模型计算矩阵指数和时序迭代时的复杂性较高,尤其是对于DAB变换器,这种计算成本可能会限制实际应用[24]。尽管双线性离散时间模型[25]通过泰勒展开对指数矩阵进行了简化,但这种方法对稳定工作点的依赖限制了模型在瞬态动态分析中的适用性[26]。
为此,文献[27]提出了一种简化的离散时间模型,通过对指数矩阵和离散迭代关系的简化,有效降低了计算复杂度。与精确离散时间模型相比,该模型不仅显著提升了计算效率,同时在保持较高精度的基础上,具备用于在线控制和稳定性预测的能力。然而,文献[27]尚未进一步探讨基于简化模型的离散小信号建模方法,因而缺乏针对快速控制器参数设计及从频域角度判断系统稳定性的方法,限制了简化模型在更广泛工程应用中的实用性。
为提出基于简化离散迭代模型的控制器参数设计方法及从频域角度判断系统稳定性的方法,本文通过深入分析移相角动态变化对系统状态变量的影响,构建了简化的离散小信号模型。该模型能够准确描述系统的动态行为,揭示了关键参数(如直流母线电压和控制器比例系数)对系统稳定性与动态性能的显著影响。与传统基于精确离散迭代模型的离散小信号模型相比,该模型在基于相位裕度进行稳定性判断时,将计算效率提升了1.56倍,降低了模型分析所需的时间成本和操作复杂性。此外,这一改进有效地简化了控制器参数优化设计的过程,从而提升了计算效率。
在此基础上,本文将基于雅可比矩阵分析得到的灵敏度分析与时域稳定性边界同简化小信号模型判断系统稳定性的结果进行对比,对不同工况下的稳定性进行评估。从时域角度验证了频域分析结果的准确性和有效性。最后,通过实验验证了本文所提方法在系统稳定性分析和控制器参数设计中的可靠性与实用价值,为储能系统中的控制策略优化提供了理论支持。
本节主要介绍DAB变换器在储能系统中的简化离散迭代模型。通过研究DAB变换器的精确模型,揭示自由运动和强迫运动的物理意义,从而基于精确离散迭代模型,得到简化离散迭代模型。
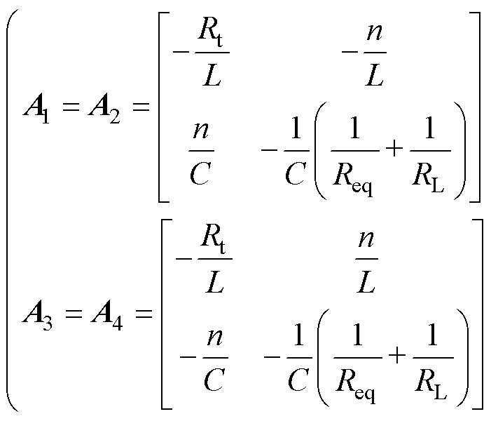
本文研究的DAB变换器应用于包含储能系统和阻性负载的直流微电网中。直流母线作为输入,储能电池与负载作为输出,电池使用等效内阻模型进行建模,即将电池视为一个理想电压源与一个内阻串联的等效电路。DAB变换器带电池负载和阻性负载的系统结构与控制框图如图2所示。以单移相(Single Phase Shift, SPS)调制为基础,每个功率开关S1~S4和Q1~Q4的占空比为50%,S1~S4超前Q1~Q4的移相角为j,两个H桥的各桥臂开关管分别互补导通。磁性网络包含一个高频变压器T,其匝比为N
1,其中N=1。vp、vs分别为磁性网络两侧的电压,L包含外部串联电感和变压器的等效漏感,Rt为开关器件导通电阻、变压器绕组以及线路阻抗之和,RL为阻性负载,V1为直流母线电压即输入电压,V2为电池电压,Req为电池的等效内阻,C为输出侧电容,vC为电容电压,即输出电压vo,fs为DAB变换器的开关频率。
图2 系统结构与控制框图
Fig.2 System topology and control block diagram
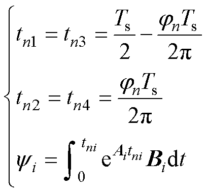
DAB变换器采用传统的单移相调制策略,该方法既能实现高效的功率传输且实现简单。根据图2,双有源桥变换器采用单移项调制下的恒压(Constant Voltage, CV)充电模式。在该控制方法中,控制器通过采样储能系统电池侧的电压vo,并与预设的参考电压Vref 进行比较,将电压差值输入PI控制器中,计算出移相角,并根据此移相角调节输出功率,从而实现对储能系统电池的有效充电控制。图3展示了DAB变换器在功率正向传输时的稳态波形。磁网络两端的高频方波电压vp和vs均由每个开关周期内的移相角j决定,通过调整j,可灵活控制功率传输的方向和大小。其中,每个开关周期Ts分为4个子区间,每个子区间的持续时间为tni(i=1, 2, 3, 4)。
图3 单移相调制下DAB变换器稳态波形与开关管导通顺序
Fig.3 Operation waveforms in the steady state and the turn-on sequence of the swithes under SPS modulation
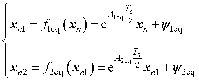
首先推导系统的精确离散迭代模型。在DAB的SPS调制下,一个开关周期内包含4个不同的工作子区间,图4展示了状态变量在一个开关周期内的迭代关系。
图4 状态变量离散迭代关系
Fig.4 State variables iteration relationship
根据文献[24]可知,通过联立每个子区间的离散迭代关系,可以得到DAB变换器在一个开关周期内的精确离散迭代模型为
(1)
(2)
(3)
其中
(4)
(5)
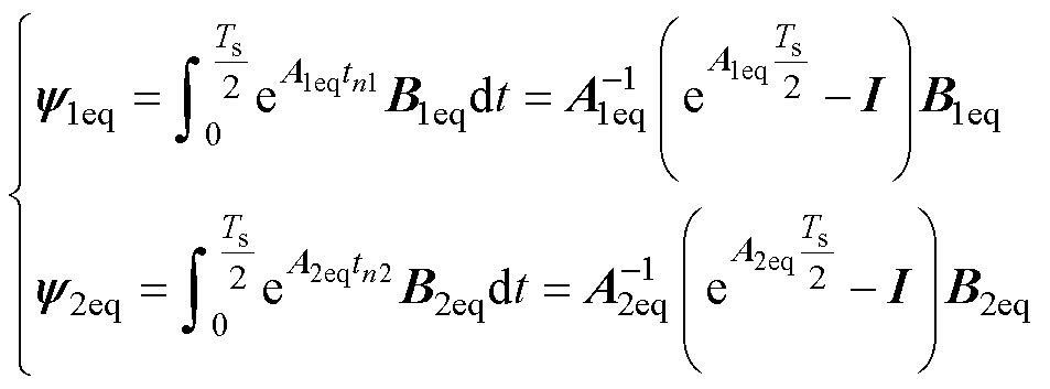
式中,Ai为系统矩阵;Bi为控制矩阵;状态矢量x由电感电流iL和输出电容电压vC组成,构成了一个二维动态系统。
由式(1)可知,
为变换器初始状态在一个开关周期内的自由运动,它反映了系统在没有外部激励影响下,仅由系统自身的结构和参数决定的状态变量动态变化过程,
由变换器的拓扑结构以及电路参数(如电感、电容、电阻等)确定,因此它是一个常数矩阵;
为输入和输出电压源对系统状态变量的激励作用下的强制运动。与自由运动不同,强制运动受到外部输入的影响,反映了状态变量在外部电压源激励下的响应特性。由于输入和输出电压源之间的相对关系会随移相角的变化而变化,因此
为一个变量矩阵,并且在每个开关周期内由移相角j动态控制。
本文以恒压充电模式为例,考虑一步控制延迟,如图2所示的PI控制器的离散时间模型可推导为
(6)
其中

式中,KP和KI分别为比例和积分系数;k1=KP+KI,k2=-KP,KI=KPTs/TI,TI为积分时间常数。误差值e(n)可计算为
(7)
最后,通过结合主电路模型与控制器模型,可以得到整个系统的精确离散时间模型为
(8)
由于精确离散迭代模型在推导过程中未进行任何简化,因此可以作为与简化模型比较的基准。然而,该模型包含了4个积分和4个矩阵指数运算,使得式(1)的推导与计算过程极为复杂。这种复杂性使得系统特性分析和稳定性预测不够简便。因此有必要在保证精度的前提下,通过物理层面及数学层面的简化方法简化该模型。
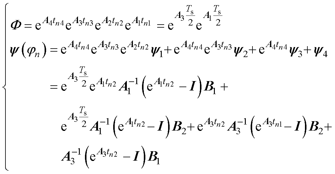
通过观察DAB变换器的精确离散迭代模型,可以发现
为两个矩阵指数相乘的形式,这对应于DAB变换器的状态矢量在一个开关周期内的两个不同阶段的自由动态行为,反映了系统的固有动态特性。而
为输入和输出电压源对状态变量的激励作用,该强制运动包含四个阶段。由于该运动形式包含四个阶段的矩阵指数运算,所以
的表达形式十分复杂。为了简化离散迭代模型,可以假设电压源激励作用下的强制运动也是包含两个阶段,在此假设下,带有ESS和负载的DAB转换器的状态方程可以简化为
(9)
式中,系统矩阵
如式(10)所示,与精确离散迭代模型完全一致。
(10)
通过对式(9)在一个开关周期的前后两半周期进行积分,可以得到离散迭代关系为
(11)
其中
(12)
通过联立式(11)不同开关子区间的离散迭代方程,可以推导出DAB变换器在一个开关周期内的简化离散迭代模型,如式(13)所示。将其与式(1)进行对比,可以发现简化模型在形式和复杂度上均有所降低。因此,式(1)中精确离散迭代模型的复杂状态变量转移关系从一个周期4个子状态可以重新简化为一个周期2个子状态。
(13)
式中,I为适当大小的单位矩阵。
图5通过比较电感电流的波形以及简化模型与精确离散迭代模型的迭代关系,更直观地展示了简化模型的特性。可以看到,两个模型的电感电流波形在采样点tn2和tn4处相交,这表明在这些采样时刻,简化模型的状态变量与实际电路一致。简化模型将4个子区间的状态变量转换简化为两个等效子区间,显著降低计算量,同时精准捕捉电感电流的关键变化点,保留了系统的动态响应特性。
图5 简化模型与精确离散时间模型的电感电流和迭代关系的比较
Fig.5 Comparison of iL(t) and iterative relationship of the simplified model and accurate discrete-time model
通过上述分析,式(13)给出了DAB变换器的简化离散迭代模型。然而,输入矩阵
和
仍是未知的。通过矩阵指数的二级泰勒级数展开,将简化模型尽量与精确模型对应一致,从而推导得到前半个开关周期和后半个开关周期的等效输入矩阵,如式(14)所示,D为移项比。因此可得简化模型的主电路建模方法,此外,其控制模型与精确模型一致。简化模型的仿真与实验验证已在文献[27]中得到详细的阐述,本文不再赘述。
(14)
第1节介绍了简化离散迭代模型的推导方法,但是基于简化模型的小信号建模方法未曾涉及,接下来本节将介绍基于简化模型的离散小信号建模方法,并从频域角度与基于精确模型的小信号建模方法进行对比,从而得到快速控制器设计方法,同时能高效判断系统稳定性,为第3节的快速稳定性分析提供了频域理论基础。
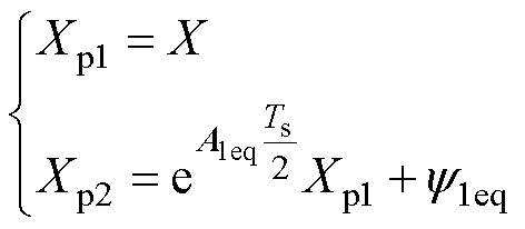
首先,基于单移相控制DAB变换器的简化模型,建立式(15)所示的小信号模型,用于分析移相角动态变化对系统状态变量的影响。
(15)
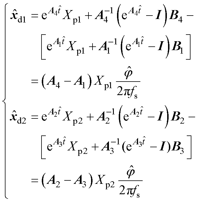
以一个周期内电感电流的波形为例,分析移相角扰动对状态变量的影响如图6所示。移相角的扰动主要在第
时刻带来状态变量的偏差
,经过第2个等效子区间的状态转移后变为
。图中,
和
分别为在tp1和tp2时刻的状态变量稳态值。
图6 DAB变换器移相角的简化离散迭代模型小信号扰动对状态变量的影响示意图
Fig.6 Illustration of the impact of small-signal perturbation in the phase shift angle on state variables using the simplified discrete-time iterative model of DAB converter
为求得
和
,根据电感电流状态变量在稳态下的对称特性,可以得到一个开关周期内状态变量的离散迭代关系为
(16)
其中
(17)
将式(13)代入式(16),可以求得系统的稳态工作点为
(18)
其中

则系统平衡点
和
分别为
(19)
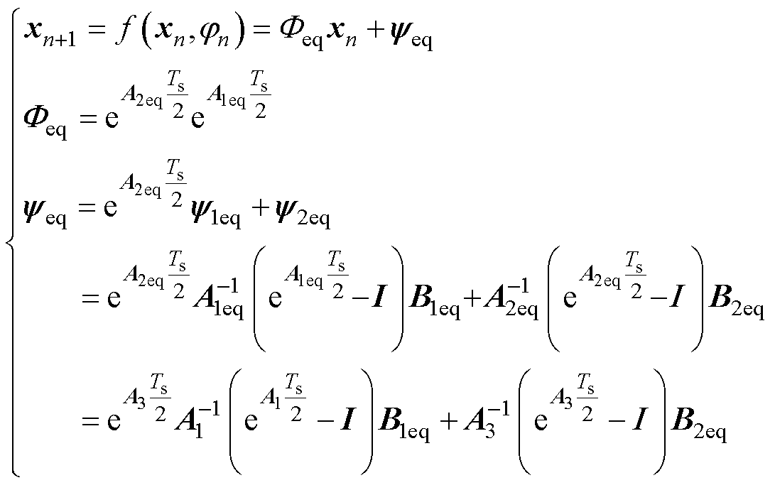
通过观察式(14)发现,简化模型的输入矩阵与移项比D有关,因此在考虑小信号扰动时,输入矩阵被重新定义为
(20)
式中,
,
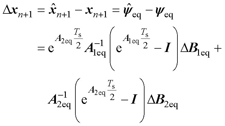
为小信号扰动的移相比,其值根据平衡点求解可知。对于小信号扰动后的状态变量,结合稳态时的式(13),定义增量
为
(21)
通过进一步线性化,忽略高阶项后,得到扰动矩阵的变化为
(22)
(23)
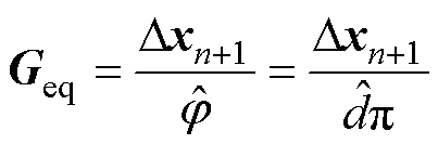
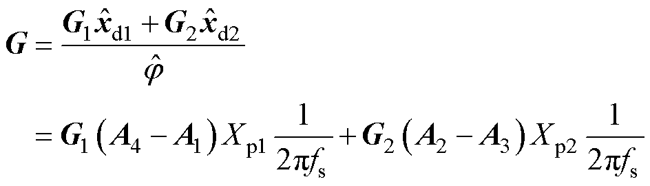
对比式(22)和式(23)可以发现,与式(14)类似,两者的第一项互为相反数,第二项相同。最终将式(22)和式(23)代入式(21),即可计算得到
。由于输入矩阵
描述移相角扰动对状态变量的传递关系,因此小信号模型的
表达式可以归纳为
(24)
由于状态转移矩阵
表示为DAB变换器状态矢量随时间变化在状态空间中的转移过程,因此可以描述状态变量
与
之间的关系
为
(25)
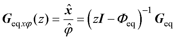
因此,移相角到状态变量矢量的离散域传递函数为
(26)
结合恒压充电模式的控制框图,得到从控制到输出uo的传递函数为
(27)
式中,
。
数字PI控制器的离散域传递函数表示为
(28)
根据控制到输出的传递函数以及PI控制器的传递函数,最终可以得到系统的开环传递函数。本文给出的传递函数主要在z域推导,但通过双线性变换(Tustin变换),可以将z域传递函数转换为对应的s域传递函数,在此不再赘述。系统单电压环控制框图如图7所示。
图7 系统单电压环控制框图
Fig.7 The control block diagram with a single voltage loop
本节将通过频域分析对基于精确模型和简化模型的离散小信号建模方法进行对比,重点评估其在设计控制器参数及系统稳定性特性上的一致性和差异。通过对相位裕度(Phase Margin, PM)的对比分析,进一步验证简化模型在保留动态特性和计算效率上的优越性,为其在实际应用中的可行性提供 依据。
首先与上述分析简化离散小信号模型类似,根据文献[23]及图8所示的精确离散迭代模型小信号扰动对状态变量的影响示意图,建立式(29)所示的小信号模型,用于分析移相角动态变化对系统状态变量的影响。
(29)

图8 DAB变换器移相角的精确离散迭代模型小信号扰动对状态变量的影响示意图
Fig.8 Illustration of the impact of small-signal perturbation in the phase shift angle on state variables using the accurate discrete-time iterative model of the DAB converter
如图8所示,移相角扰动主要在关键时间点tp1和tp2附近的
时间段内产生电感电流的小信号扰动分量
和
,分别表示为
(30)
为简化非线性系统的分析,将矩阵指数用泰勒一阶展开式表示,得到线性化后的增量状态方程,便于通过频域方法求解系统的频率响应。
状态变量扰动
和
分别经过tp1~(n+1)Ts及tp2~(n+1)Ts的状态转移变为
和
,其表达式如式(31)所示。这两者之和即为移相角的小信号扰动导致的状态变量小信号扰动。
(31)
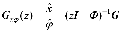
通过对式(29)进行适当变形,可以得到移相角到状态变量矢量的离散域传递函数为
(32)
最终可以推导得到系统的精确离散迭代小信号模型,即控制到输出电压vo的离散域传递函数为
(33)
其中
(34)
(35)
然后,在Matlab中绘制两种模型的伯德图,系统参数见表1。图9展示了精确离散迭代模型与简化离散迭代模型的频域特性对比。从幅值曲线可以看出,精确模型与简化模型在大部分频率范围内保持高度一致。在高频区域(104 rad/s附近)两者之间存在轻微的误差,这是由于在简化离散迭代模型中,为了提高计算效率,通常引入一些近似处理,如矩阵指数的线性化、状态方程的离散化迭代简化。这些简化会在高频区域引入小幅度的偏差,但整体趋势相同,说明简化模型在捕捉增益特性方面具有较高的精确性。
表1 系统参数
Tab.1 Specifications of the system
参 数数 值 直流母线电压V1/V48 电池电压V2/V46 外部电感和漏感的总和L/mH35.49 绕组电阻和开关器件导通电阻的总和Rt/W0.15 输出电容C/mF500 电池的等效串联电阻Req/W0.5 变压器的匝比N1 开关频率fs/kHz20 负载RL/W20 输出电压参考值Vref/V48 比例系数KP0.9 积分系数KI200
图9 精确模型与简化模型的小信号模型伯德图对比
Fig.9 Comparison of Bode plot for accurate and simplified discrete-time small-signal models
相位曲线显示,精确模型与简化模型的相位曲线在整个频率范围内表现出一致的变化趋势,无论在低频区域还是高频区域均保持高度重合。这表明,简化模型能够准确捕捉系统的相位动态特性。尽管相位曲线本身一致,但由于两者的增益曲线在高频区域略有差异,导致两种模型在相位裕度上出现了偏差。其中,简化模型的相位裕度为86°,较精确模型的79.12°略高。尽管如此,该误差较小,这种偏差在实际工程设计中通常是可接受的,尤其是在对相位裕度的安全裕度设计有一定冗余的情况下。
在设计控制器时,首先明确控制目标,如系统的稳定特性及动态特性。接着通过本文提出的基于简化模型的离散小信号建模方法对系统进行线性化,得到系统的传递函数。在此基础上,进行频域分析,计算系统的开环增益、相位裕度和增益裕度,以评估系统的稳定性和动态性能。根据小信号模型和稳定性分析结果,通过优化PI控制器参数确保系统工作在稳定状态,且尽量保持较好的动态特性。最后通过仿真结果对设计方案进行了验证。
与基于精确离散迭代模型的小信号建模相比,简化小信号模型在计算效率和传递函数推导方面具有显著优势。精确模型需计算多个阶段的自由运动和强制运动,并对每个子区间执行复杂的矩阵运算和积分操作;而简化模型通过合并动态过程,仅保留两个等效子区间,降低矩阵运算复杂度,从而大幅提升计算效率,尤其在实时稳定性判断中能更快速地获得稳定性边界。同时,简化模型在降低计算量的同时仍保持系统动态特性的准确性。通过假设小信号扰动对系统动态影响较小,简化模型忽略传递函数中的部分高阶项,使计算更简洁,同时仍能提供足够精确的结果。
图10展示了快速判断系统稳定性并调整控制器参数的流程。首先,初始化系统参数,为后续建模和分析奠定基础。然后,基于简化模型进行小信号建模,通过线性化简化离散迭代模型,得到小信号传递函数,为稳定性分析提供依据。接着,分析系统的增益裕度和相位裕度。随后,判断裕度是否满足稳定性要求,若增益裕度和相位裕度均符合设计要求,则认为系统稳定,当前控制器参数可接受;否则,需要调整控制器参数,以改善系统的稳定性和动态性能。最后,确认调整后的控制器参数,确保其在实际应用中能够稳定运行,并满足动态响应要求。通过这一流程,工程师能够快速评估控制器参数的适用性,优化系统设计,使其在实际运行中保持稳定高效。
图10 基于简化离散小信号模型的快速判断稳定性流程
Fig.10 Fast stability assessment process based on the simplified discrete-time small-signal model
为了进一步量化计算效率的提升,在Matlab R2022a中运行了该模型,并在Intel Core i7-1065G7 CPU的计算机上进行对比测试。简化离散迭代小信号建模方法在计算平衡点、判断稳定性并绘制伯德图时耗时仅0.803 7 s,而精确离散迭代小信号模型耗时1.255 9 s,计算速度提升至原先的1.56倍,显著提高了计算效率。这一结果表明,简化离散迭代小信号模型能够实现快速的稳定性判断,使其在快速稳定性判断及控制器参数设计中具有重要的应用价值。
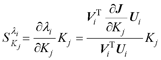
为了更深入地分析基于DAB变换器的储能系统稳定性,根据文献[23]所示的灵敏度分析方法,本文对功率主电路参数(直流母线电压V1、电池电压V2、电池等效串联电阻Req、等效串联电阻Rt、电感L、输出电容C)和数字控制器参数(比例系数KP、积分系数KI和输出参考电压Vref)进行灵敏度分析。
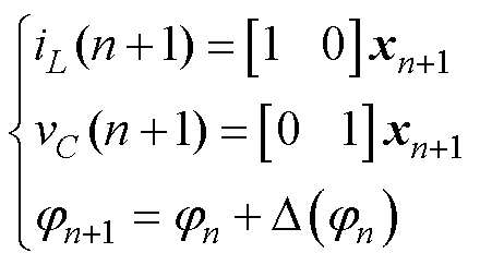
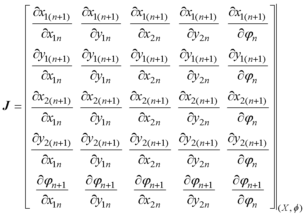
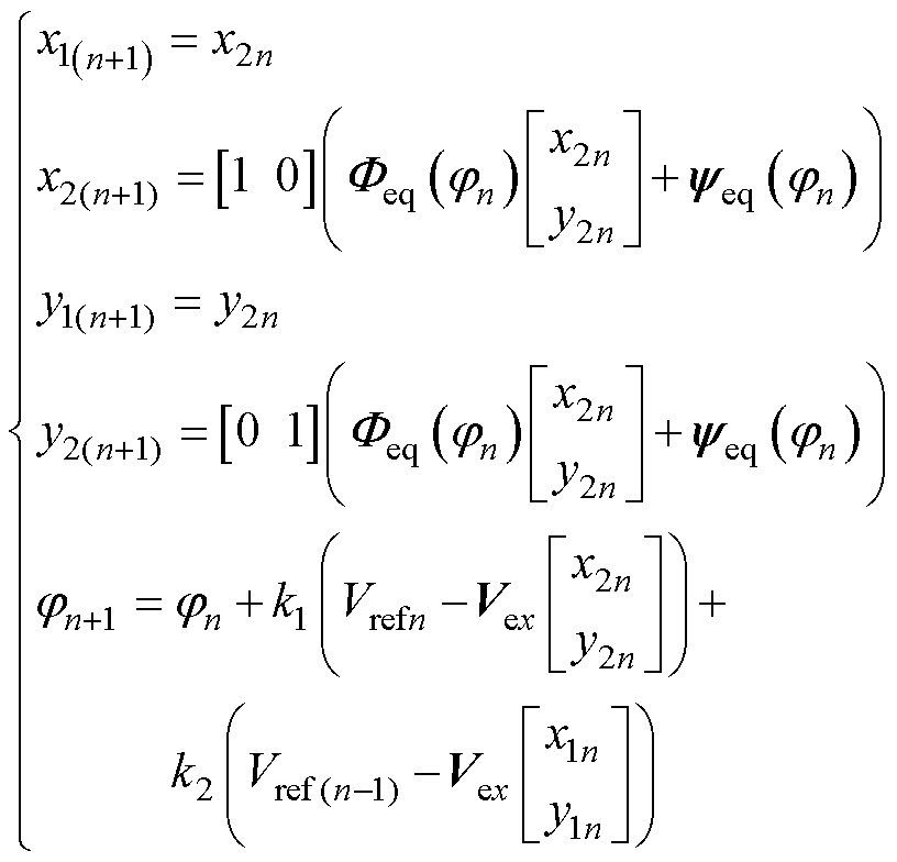
雅可比矩阵和Floquet乘子是分析DAB变换器稳定性的有效工具。首先根据简化离散迭代模型,得到具有一拍数字延时的PI控制DAB变换器系统模型。通过转换式(36)将系统模型转换为离散时间迭代模型的标准形式,如式(37)所示。
(36)
(37)
根据式(37)所示的状态变量离散时间映射,可以通过在平衡点
上对其求偏导,得到DAB变换器系统的Jacobian矩阵为
(38)
然后可以通过计算雅可比矩阵J的特征值来获得Floquet乘子,即
(39)
式中,Floquet乘子li对系统参数Kj的灵敏度表示为
(40)
式中,U和V分别为雅可比矩阵J的左右特征向量的矩阵。将雅可比矩阵代入式(40),可以得到Floquet乘子对系统参数的灵敏度。
Floquet乘子的灵敏度如图11所示。由于共轭Floquet乘子l1和l2与导致系统不稳定的低频振荡相关,因此主要考虑对这两个Floquet乘子的灵敏度进行分析。
图11 系统Floquet乘子的灵敏度
Fig.11 The sensitivity of the Floquet multipliers
可以看出,l1和l2对系统参数如电池电压V2、等效电池内阻Req、等效串联电阻Rt、负载RL和输出电压参考值Vref的灵敏度非常低。这表明当储能系统电压波动、电池内阻变化、输出电压参考值阶跃变化或负载变化时,系统对这些参数的变化不敏感,仍能保持稳定。然而,l1和l2对直流母线电压V1、输出电容C、电感L的灵敏度很高。
在控制参数方面,可以明显看出,共轭Floquet乘子l1和l2对比例常数KP的灵敏度很高。然而,它们对积分常数KI的灵敏度却很低,当KI变化时,Floquet乘子几乎保持不变。因此,在设计控制参数时,需要精确设计KP以确保系统稳定性。
因此在设计控制器和系统参数时,需要特别关注这些高灵敏度的关键参数的选取和调节,使其在不同运行状态下均能维持良好的稳定性,确保DAB变换器在储能系统中的可靠运行。
根据上述灵敏度分析,储能系统中直流微电网的直流母线电压波动与KP控制器参数对系统稳定性具有较大影响。因此,本文选择不同的直流母线电压和比例系数KP工作点,通过简化离散迭代小信号模型,快速判断系统的稳定状态,并结合时域分析验证稳定性边界判断的准确性。
为了从时域角度验证所提出的简化离散迭代小信号模型在稳定性判断中的精度与有效性,本文采用文献[23]的方法,并结合雅可比矩阵分析,推导出系统直流母线电压V1随比例系数KP变化的稳定性边界比较如图12所示,其余电路参数均与表1保持一致。
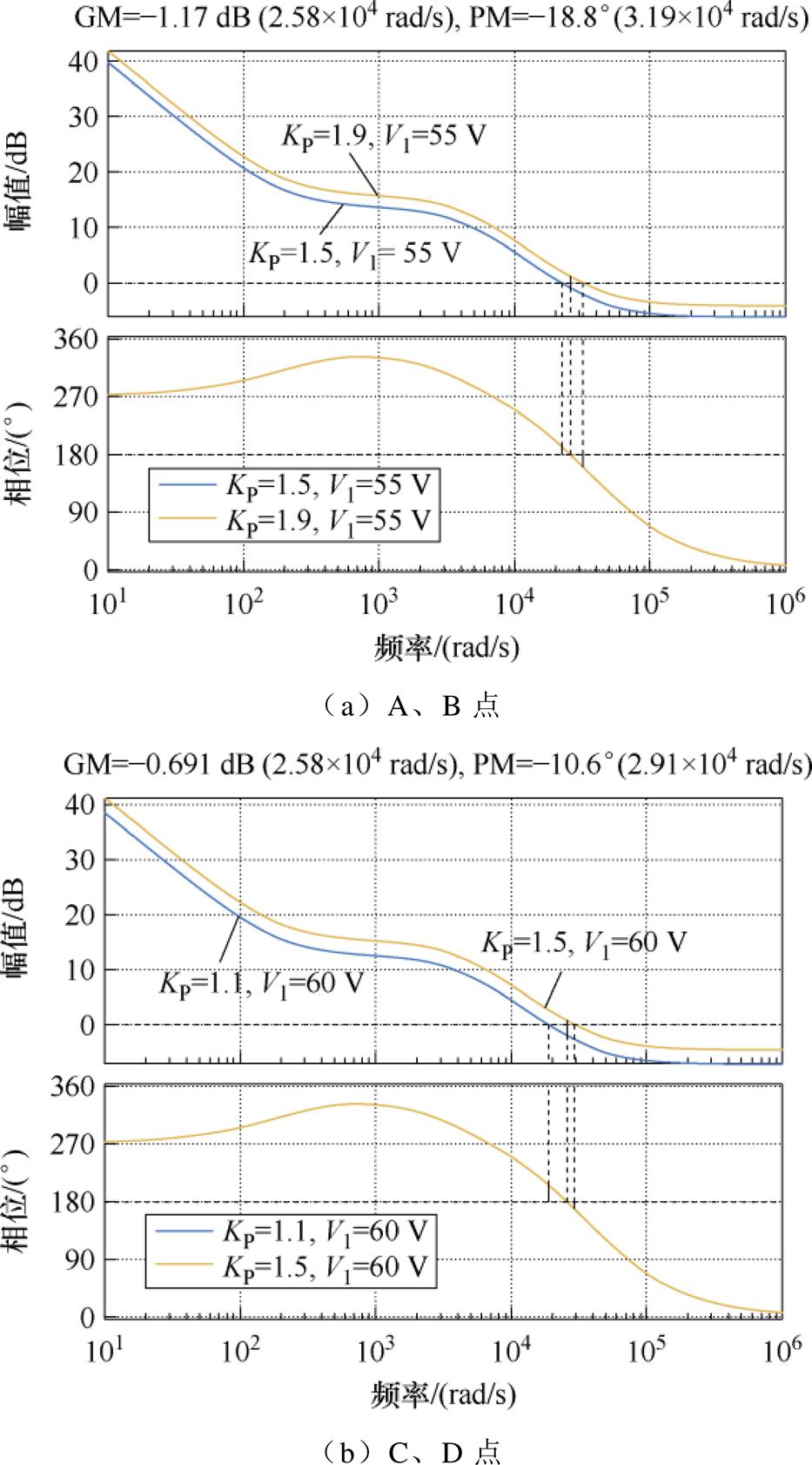
基于第2节提出的简化小信号建模方法,图13展示了系统在不同V1和KP下的Bode图,其他电路参数亦与表1一致。其中,A、B点分别代表V1=55 V,KP=1.5、1.9时的工况(对应图12中的A、B点);C、D点分别代表V1=60 V,KP=1.1、1.5时的工况(对应图12中的C、D点)。
图12 简化模型与精确模型预测的稳定性边界比较
Fig.12 Comparison of stability boundary predicted by simplified model and accurate model: KP versus V1
图13 不同工况下简化离散迭代小信号模型的伯德图
Fig.13 Bode plot of the simplified discrete-time iterative small-signal model under different operating conditions
首先,从图12可以看出,基于简化模型分析的稳定性边界略高于精确模型,这与图9所示的小信号模型绘制的伯德图一致。此外,从图13中可以观察到,当V1从55 V增加到60 V时,在相同的KP=1.5工况下,系统的相位裕度逐渐减小,表明较高的直流母线电压会降低系统的稳定裕度,增加失稳风险。在固定的V1下,KP的增大显著降低了系统的相位裕度。这表明,尽管较大的KP提高了系统的动态响应速度,但也降低了稳定性裕度,增加了系统失稳的可能性。综上所述,从频域角度分析的结果与图12离散时域分析所得的稳定性边界一致,进一步验证了简化离散小信号模型在系统稳定性分析中的有效性和准确性。
为验证建模与稳定性分析理论和仿真结果,基于表1中的系统参数,搭建了数字控制DAB变换器实验平台如图14所示。实验平台由一个DAB变换器组成,连接双向直流电源、负载和储能电池。为模拟储能电池,通过调整双向直流电源的内部阻抗实现其等效电路。高频变压器采用利兹线绕制,核心为铁氧体磁心。此外,附加电感与变压器的一端串联,其与变压器漏感的总和作为DAB变换器的电感。输出电压信号经电压调理电路传输至TMS320F28335 DSP控制器的ADC模块。通过采样输出电流信号,数字控制器根据PI控制算法计算出下一开关周期内两个H桥之间的移相角,从而实现系统的闭环控制。
图14 实验平台
Fig.14 Experimental platform
图15展示了DAB变换器系统的电感电流、输入电压和输出电流的波形。当V1=48 V且KP=0.9时,变换器保持稳定,电感电流无直流分量。然而,当KP提高至2.6时,系统变得不稳定,电感电流出现慢尺度低频振荡,表明系统已经进入非线性状态。进一步提高KP至3.0时,系统的不稳定性加剧,电感电流的低频振荡幅值显著增加,表明系统对参数变化的敏感性增强。这种现象说明了KP的变化对系统稳定性的影响,并验证了理论分析的正确性。此外,图16中还给出了对应上述三种工作点的伯德图,从频域角度进一步验证了稳定性判断的结果。
当V1改变时,相应波形如图17所示。当V1增加至55 V且KP=1.5时,变换器保持稳定,如图17a所示,这与图12参数空间中的点A一致。当KP增加至1.9时,系统变得不稳定,电感电流出现慢尺度低频振荡,对应参数空间中的点B。当V1增加至60 V且KP=1.5时,系统仍然不稳定,对应参数空间中的点C。当V1=60 V且KP减小至1.1时,变换器恢复稳定,对应参数空间中的点D。
图15 DAB变换器在V1=48 V条件下的实验波形
Fig.15 Experimental waveforms of DAB converter when V1=48 V
图16 不同KP值下V1=48 V时DAB变换器的伯德图
Fig.16 Bode plot of DAB converter under different KP values at V1=48 V
为了更好地展示实验结果与小信号模型的稳定性判断,表2总结了通过稳定性判断得到的相位裕度与实验中获得的稳定性结果。上述实验结果充分验证了所提出模型理论分析的准确性,并说明了关键参数对系统稳定性的影响规律。显然,当比例系数KP超过临界值时,电感电流和输出电流都会出现振荡。此外,提高输入电压V1也会导致类似的振荡现象。
图17 DAB变换器的实验波形
Fig.17 Experimental waveforms of DAB converter
表2 系统稳定性裕度与稳定性判断
Tab.2 Judgment of system stability margin and stability
输入电压/VKP相位裕度/(°)实验结果的稳定性 480.985.588 7稳定 482.6-11.550 8不稳定 483.0-34.175 3不稳定 551.512.164 2稳定 551.9-18.760 7不稳定 601.5-10.631 1不稳定 601.125.938 1稳定
进一步验证表明,在系统不稳定的情况下,电感电流会出现高幅值和不对称特性,这可能引入变压器的直流偏置和磁通偏置。累积的磁通偏置最终可能导致变压器饱和,并引发电流的急剧上升,从而增加设备的应力,甚至可能损坏功率开关器件。此外,输出电流的振荡会显著降低电源质量。这些问题可以通过合理的参数设计加以缓解。
针对储能系统中双有源桥变换器的快速稳定性判断及控制器参数设计问题,本文首先提出了一种基于简化离散迭代方法的离散小信号建模方法。该模型通过深入分析移相角动态变化对系统状态变量的影响,准确地描述了系统的动态行为,揭示了关键参数(如直流母线电压和控制器比例系数)对系统稳定性与动态性能的显著影响。相比传统的离散小信号建模方法,本文提出的简化离散小信号模型在稳定域判断上略有扩大,但仍处于工程设计裕度范围内。同时,该模型在利用相位裕度进行稳定性判断时,计算效率提升了56%,降低了模型分析过程的时间成本和复杂性。这种改进还降低了基于离散迭代小信号模型优化控制器参数设计的复杂性。然后结合多种工况下的稳定性边界分析,利用频域的伯德图与基于雅可比矩阵分析的时域稳定性边界结果进行对比验证,全面验证了所提模型的有效性和准确性。最后通过实验验证上述分析的正确性。
简化离散迭代小信号模型良好的计算效率使得该模型在降低计算复杂度的情况下,能够准确预测系统的动态特性和判断稳定性,不仅适用于理论分析,还能为工程实践中的实时控制策略设计和系统参数优化提供支持。因此,该模型在储能系统的设计与优化中展现出应用价值。
参考文献
[1] 刘宿城, 栾李, 李龙, 等. 直流微电网集群的分布式大信号稳定性强度评估及反馈控制设计[J/OL]. 电工技术学报, 2024: 1-16[2024-12-20]. DOI: 10. 19595/j.cnki.1000- 6753.tces.241482.
Liu Sucheng, Luan Li, Li Long, et al. Evaluation of distributed large signal stability strength and feedback control design for DC microgrid clusters[J/OL]. Transactions of China Electrotechnical Society, 2024: 1-16[2024-12-20]. DOI: 10.19595/j.cnki.1000-6753. tces.241482.
[2] 刘宿城, 李龙, 栾李, 等. 基于分布式学习复合Lyapunov函数的直流微电网集群大信号稳定性分析[J/OL]. 电工技术学报, 1-17[2025-07-16]. https:// doi.org/10.19595/j.cnki.1000-6753.tces.250466.
Liu Sucheng, Li Long, Luan Li, et al. Large-signal stability analysis based on distributed learning composite Lyapunov functions for DC microgrids clusters[J/OL]. Trancations of China Electrotechnical Society, 1-17[2025-07-16]. https://doi.org/10.19595/ j.cnki.1000-6753.tces.250466.
[3] 宋强, 赵彪, 刘文华, 等. 智能直流配电网研究综述[J]. 中国电机工程学报, 2013, 33(25):5, 9-19.
Song Qiang, Zhao Biao, Liu Wenhua, et al. An overview of research on smart DC distribution power network[J]. Proceedings of the CSEE, 2013, 33(25): 5, 9-19.
[4] Yu Kefan, Zhuo Fang, Wang Feng, et al. MPC-based startup current shaping strategy with state-space model of DAB in DC distribution system[J]. IEEE Journal of Emerging and Selected Topics in Power Electronics, 2022, 10(4): 4073-4089.
[5] 刘赞, 沙金, 邱高峰, 等. 多级离散扩展移相控制双有源桥DC-DC变换器的原理、参数设计与性能[J]. 电工技术学报, 2024, 39(12): 3761-3773.
Liu Zan, Sha Jin, Qiu Gaofeng, et al. Principle, parameters design and performance of multistage discrete extended-phase-shift control dual active bridge DC-DC converters[J]. Transactions of China Electrotechnical Society, 2024, 39(12): 3761-3773.
[6] Chen Linglin, Shao Shuai, Xiao Qian, et al. Model predictive control for dual-active-bridge converters supplying pulsed power loads in naval DC micro- grids[J]. IEEE Transactions on Power Electronics, 2020, 35(2): 1957-1966.
[7] Xuan Yang, Yang Xu, Chen Wenjie, et al. A novel NPC dual-active-bridge converter with blocking capacitor for energy storage system[J]. IEEE Transactions on Power Electronics, 2019, 34(11): 10635-10649.
[8] Feng Fan, Zhang Xin, Zhang Junming, et al. Stability enhancement via controller optimization and impe- dance shaping for dual active bridge-based energy storage systems[J]. IEEE Transactions on Industrial Electronics, 2021, 68(7): 5863-5874.
[9] Ahmed M, Meegahapola L, Vahidnia A, et al. Stability and control aspects of microgrid architectures-a comprehensive review[J]. IEEE Access, 2020, 8: 144730-144766.
[10] Gao Guoqing, Lei Wanjun, Tang Qibo, et al. Decomposed discrete-time model and multiscale oscillations analysis of the DAB converter[J]. IEEE Transactions on Power Electronics, 2020, 35(9): 9133-9150.
[11] 申科, 汪万兴, 赵丹. 三有源桥DC-DC变换器广义状态空间平均模型及控制策略研究[J]. 电源学报, 2024, 22(5): 161-169.
Shen Ke, Wang Wanxing, Zhao Dan. Research on generalized state space average model and control strategy for triple active bridge DC-DC converter[J]. Journal of Power Supply, 2024, 22(5): 161-169.
[12] Tong Anping, Hang Lijun, Chung H S, et al. Using sampled-data modeling method to derive equivalent circuit and linearized control method for dual- active-bridge converter[J]. IEEE Journal of Emerging and Selected Topics in Power Electronics, 2021, 9(2): 1361-1374.
[13] 陈才学, 刘旭, 邓成. 面向双有源桥宽增益范围的电流应力最小化策略研究[J]. 电源学报, 2020, 18(3): 63-70.
Chen Caixue, Liu Xu, Deng Cheng. Research on current stress minimization strategy for dual active bridge wide gain range[J]. Journal of Power Supply, 2020, 18(3): 63-70.
[14] Verghese G C, Elbuluk M E, Kassakian J G. A general approach to sampled-data modeling for power electronic circuits[J]. IEEE Transactions on Power Electronics, 1986, PE-1(2): 76-89.
[15] Rodríguez A, Vázquez A, Lamar D G, et al. Different purpose design strategies and techniques to improve the performance of a dual active bridge with phase-shift control[J]. IEEE Transactions on Power Electronics, 2015, 30(2): 790-804.
[16] Feng Fan, Wu Fengjiang, Gooi H B. Impedance shaping of isolated two-stage AC-DC-DC converter for stability improvement[J]. IEEE Access, 2019, 7: 18601-18610.
[17] Cao Lingling, Loo K H, Lai Y M. Systematic derivation of a family of output-impedance shaping methods for power converters: a case study using fuel cell-battery-powered single-phase inverter system[J]. IEEE Transactions on Power Electronics, 2015, 30(10): 5854-5869.
[18] Ye Qing, Mo Ran, Li Hui. Low-frequency resonance suppression of a dual-active-bridge DC/DC converter enabled DC microgrid[J]. IEEE Journal of Emerging and Selected Topics in Power Electronics, 2017, 5(3): 982-994.
[19] Tian Yanjun, Chen Zhe, Deng Fujin, et al. Active power and DC voltage coordinative control for cascaded DC-AC converter with bidirectional power application[J]. IEEE Transactions on Power Elec- tronics, 2015, 30(10): 5911-5925.
[20] Bai Hua, Mi Chunting, Wang Chongwu, et al. The dynamic model and hybrid phase-shift control of a dual-active-bridge converter[C]//2008 34th Annual Conference of IEEE Industrial Electronics, Orlando, FL, 2008: 2840-2845.
[21] Lehman B, Bass R M. Switching frequency dependent averaged models for PWM DC-DC converters[J]. IEEE Transactions on Power Electronics, 1996, 11(1): 89-98.
[22] Pavljasevic S, Maksimovic D. Subharmonic oscillations in converters with current-mode programming under large parameter variations[C]//PESC97. Record 28th Annual IEEE Power Electronics Specialists Con- ference. Formerly Power Conditioning Specialists Conference 1970-71. Power Processing and Elec- tronic Specialists Conference 1972, St. Louis, MO, USA, 1972: 1323-1329.
[23] Xiao Zhongxiu, Lei Wanjun, Xiang Zhangwei, et al. Full-state discrete-time model-based stability analysis and parameter design of dual active bridge converter in energy storage system[J]. IET Power Electronics, 2022, 15(13): 1229-1248.
[24] Xiao Zhongxiu, Lei Wanjun, Gao Guoqing, et al. Dual-terminal voltage feedforward based direct power control scheme and stability analysis of dual active bridge converter in DC microgrid systems[J]. IEEE Transactions on Power Electronics, 2023, 38(4): 4475-4492.
[25] Shi Ling, Lei Wanjun, Li Zhuoqiang, et al. Bilinear discrete-time modeling and stability analysis of the digitally controlled dual active bridge converter[J]. IEEE Transactions on Power Electronics, 2017, 32(11): 8787-8799.
[26] Shao Shuai, Chen Linglin, Shan Zhenyu, et al. Modeling and advanced control of dual-active-bridge DC-DC converters: a review[J]. IEEE Transactions on Power Electronics, 2022, 37(2): 1524-1547.
[27] Xiao Zhongxiu, Lei Wanjun, Gao Guoqing, et al. Simplified discrete-time modeling for convenient stability prediction of DAB converter in energy storage system[J]. IEEE Transactions on Power Electronics, 2024, 39(10): 12636-12651.
A Novel Simplified Discrete-Time Small-Signal Model Based Controller Design and Fast Stability Analysis of Dual Active Bridge Converter in Energy Storage System
Abstract With the increasing deployment of energy storage systems (ESS), the stability of the coupling between dual active bridge (DAB) converters and ESS has become a critical concern in power electronics and DC microgrid applications. Ensuring stable operation is crucial for maintaining system reliability, particularly under varying operating conditions, such as input voltage disturbances. However, analyzing the accurate discrete-time model of DAB converters presents substantial complexity due to the computational burden of matrix exponentiation and iterative calculations, making the assessment of fast stability and controller design challenging. This paper proposes a simplified discrete-time model by streamlining the discrete-time iterative sequence and matrix exponential computations. This simplification significantly reduces computational complexity while maintaining a high level of accuracy, thereby providing an efficient framework for stability analysis and control system design.
Taking constant voltage (CV) charging mode as a representative case, the paper systematically analyzes how dynamic variations in the phase shift angle influence system state variables. A simplified discrete-time small-signal model is formulated. The proposed model is then rigorously compared with conventional discrete small-signal modeling methods based on the accurate discrete-time model, demonstrating its effectiveness in fast and efficient tuning of controller parameters.
Furthermore, this paper investigates the stability assessment under input voltage fluctuations with different controller parameters. The results are compared with the time-domain stability boundaries obtained through Jacobian matrix analysis. By combining frequency-domain and time-domain analyses, it is demonstrated that the proposed simplified discrete-time iterative model can effectively evaluate stability and assist in controller parameter design for “DAB-battery” coupled systems across different time scales.
Finally, experimental validation is conducted. Overall, this work presents an efficient and computationally tractable modeling approach for fast stability prediction, controller design, and energy management in DAB-based energy storage systems. By achieving a balance between modeling accuracy and computational simplicity, the proposed method offers valuable insights and practical solutions for advanced control strategies and stability analysis in modern DC microgrid applications.
Keywords:Dual active bridge converter, energy storage system, discrete-time model, simplified model, small-signal modeling
中图分类号:TM46
DOI: 10.19595/j.cnki.1000-6753.tces.242390
收稿日期 2024-12-30
改稿日期 2025-01-06
肖钟秀 女,1997年生,博士研究生,研究方向为直流微电网中直流变换器的建模、控制与稳定性分析等。
E-mail: xzx666@stu.xjtu.edu.cn
雷万钧 男,1978年生,副教授,博士生导师,研究方向为基于电力电子设备的主动配电网控制、基于硬件在环(HIL)的电能变换设备测试与可靠性评估、非接触式电能传输及电池监测与维护等。
E-mail: leiwanjun@xjtu.edu.cn(通信作者)
(编辑 陈 诚)