摘要 维也纳整流器常采用空间矢量脉宽调制(SVPWM)策略对输出电压进行稳定控制并对输入电流进行功率因数校正(PFC)。然而,SVPWM控制依赖于坐标变换,实现过程不仅需已知输入滤波电感值及输入电压相位以实现交直轴解耦控制,而且占空比给定需依赖复杂的矢量区域划分,在电感电容等参数时变时控制实现困难。不仅如此,维也纳整流器输入电流在轻载及过零点附近将因断续产生畸变,使轻载下电流质量降低。该文提出一种基于输入阻抗调节与变频调制的维也纳整流器控制方法。该方法无需精确的输入电压相位与输入电感值信息,仅需两个比例-积分(PI)环节即可实现功率因数校正及输出电压均衡控制,避免了SVPWM控制复杂度高的问题;通过动态调节载波频率并引入载波幅值对控制环路进行补偿,实现了从极轻载(5%)到满载(100%)的大范围负载条件下的输入电流质量的提升。在实验室搭建一台3 kW的维也纳整流器样机并进行了实验分析,结果显示,在5%极轻载至100%满载下输入电流总谐波畸变率(THD)小于3%,验证了所提方法的正确性。
关键词:维也纳整流器 功率因数校正(PFC) 过零点畸变 阻抗调节 变频调制
维也纳整流器作为脉宽调制(Pulse Width Modulation, PWM)整流器的一种,具有效率高、输入电流谐波小、可靠性高等优点,被广泛应用于电气化交通系统、通信电源、新能源发电等需要整流输出直流的场合[1-4]。三相四线制维也纳整流器在三相三线制拓扑基础上将交流侧三相输入电压源的中性线与直流输出分裂电容中点相连,可实现三相独立控制,且因其提供了零序电流通路,可在三相输入电压不平衡甚至缺相时稳定运行,具有较高的可靠性,因此,三相四线制维也纳整流器得到了快速发展。
一般地,维也纳整流器采用输出电压稳压控制和输入电流功率因数校正控制,在提升输入电流质量的同时保证对直流负载的可靠供电。为了实现这一目标,空间矢量脉宽调制(Space Vector Pulse Width Modulation, SVPWM)被广泛应用于维也纳整流器的控制系统中[5-7]。众所周知,SVPWM的实现一方面依赖于dq变换与反变换,实现时需要求取输入交流电压相位,在输入电压存在背景谐波或不对称时控制效果将大幅下降;另一方面,SVPWM控制需获取精确的输入滤波电感以实现交直轴解耦控制,当电感值随运行工况变化时,控制器性能将减退。不仅如此,SVPWM控制下开关管占空比的给定主要基于复杂的输入电压矢量分区,导致控制实现难度大,计算负担重[8]。同时,当输入电压不对称时,整流器一般将采用分序控制方法以提升正序电流质量,此时输入电压矢量分区将变得更为复杂[9]。因此,SVPWM控制实现需要采用高性能数字信号处理器(Digital Signal Processor, DSP)来进行控制率计算和占空比给定,整流器成本将大幅增加。
此外,在维也纳整流器输入电压过零点附近,因施加于输入电感两端的电压较小,电感电流斜率较低,难以快速精准地跟踪基准电流,导致电流波形质量下降[10]。尤其在轻载运行时,电感电流将工作于断续状态,因电流环增益和带宽限制将直接导致电感电流更难快速跟踪基准电流,使得输入电流过零畸变更为严重,输入电流质量将进一步恶化[11-12]。为有效解决维也纳整流器输入电流过零点畸变问题,实现从轻载到满载宽运行范围下的电流质量提升,国内外学者对输入电流过零畸变的产生机理和应对措施进行了大量的研究。文献[13]从调制波的角度解释了过零畸变产生的原因,指出因SVPWM波在过零点附近产生突变,使调制波与电流符号不同,进而使共模电压阻碍电流过零导致畸变。文献[14]指出调制波和电流的滞后关系可导致过零点附近的矢量选择错误,从而导致过零畸变,其提出一种在过零点区域内注入零序电压的方式来实现过零相钳位,能够较大程度地缓解过零畸变。文献[15]从电流过零失真的本质出发,采用注入无功分量的方式改变调制电压相位,从而降低了电流过零畸变。文献[16]从端电压矢量滞后的角度分析了维也纳整流器电流过零畸变现象,提出通过补偿无功电流,使输入端电压矢量与电流矢量同相位,达到抑制电流过零畸变的目的。以上研究虽从多角度对维也纳整流器电流过零畸变问题进行了分析,并提出了相应的电流过零畸变抑制方法,实现了较好的抑制效果,但不难发现,现有研究均是基于SVPWM策略进行分析,仍无法解决控制复杂度高的问题,且在极轻载情况下效果不佳。
本文提出一种基于输入阻抗调节与变频调制的三相四线制维也纳整流器输入电流质量宽范围提升控制方法。该方法的实现不依赖于坐标变换,无需输入电感和输入电压相位,仅需两个比例-积分(Proportional-Integral, PI)环节即可实现功率因数矫正及输出电压均衡控制,同时避免了电感值时变对控制的影响及锁相环和矢量分区算法复杂度高的问题。通过基于变频载波的调制方法,在电感电流较小时提高开关频率使整流器保持在临界导通模式(Boundary Conduction Mode, BCM),以避免断续导通模式(Discontinuous Conduction Mode, DCM)出现引起的电流畸变,并在变频阶段引入了载波幅值补偿,改善了达到最大开关频率后,整流器进入DCM时电流出现畸变的问题。综合考虑了工作模式、开关频率与输入电感的关系,对电感值与变频范围进行了设计与优化选取,大幅降低了输入电流在过零点附近和轻载下的总谐波畸变率(Total Harmonic Distortion, THD),具有控制复杂度低、电流质量高等突出优点。本文深入分析了所提控制方法的工作原理,并对关键参数进行了优化设计。在实验室搭建了一台额定功率3 kW的三相四线制维也纳整流器原理样机,通过实验分析验证了所提控制策略的有效性。
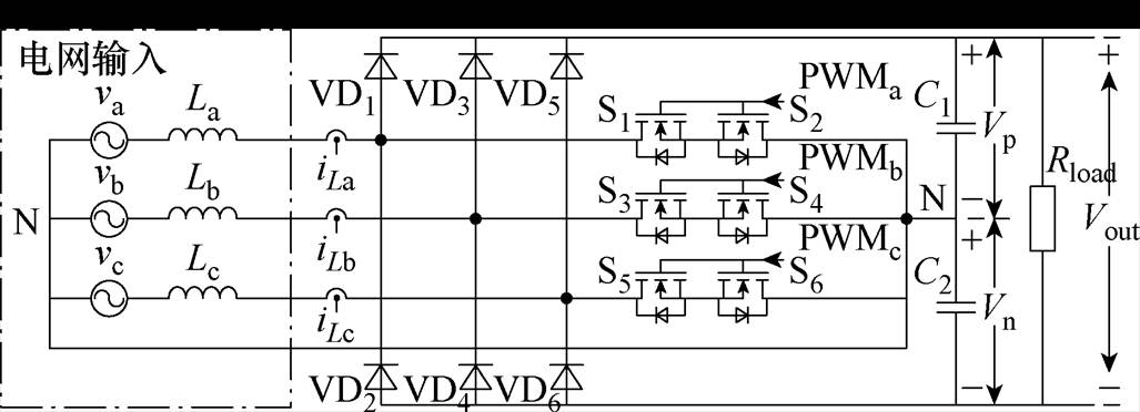
图1所示为本文所研究三相四线制维也纳整流器拓扑结构。维也纳整流器由6个二极管桥VD1~VD6、3个输入电感Lx,x=a, b, c、3对双向开关S1~S6、2个分裂电容C1和C2构成,Rload为负载电阻。为了简化电路运行分析,电网由三相交流电源vx表示,N为三相中点,iLx为三相输入电流,Vp和Vn分别为分裂电容C1和C2的电压,Vout为输出直流电压。
图1 三相四线制维也纳整流器拓扑结构
Fig.1 Three-phase four-wire Vienna rectifier topology
维也纳整流器控制目标包括:
(1)维持输出电压稳定,保证分裂电容电压均压,控制输入电流与输入电压同相。
(2)从轻载(本文设计5%负载)到满载实现输入电流质量提升(THD<5%),且在输入电压不平衡时维持较高输入电流质量。
为了实现上述目标,并简化控制的实现过程,本文提出一种基于输入阻抗调节与变频调制的维也纳整流器输入电流质量宽范围提升控制方法,设计过程的详细分析如下。
根据三相四线制维也纳整流器的电路拓扑和基本控制原理[17],可将其视为3个独立Boost变换器并联运行。因此,后文的分析均以a相为例进行,b、c相分析与a相一致。a相运行状态根据输入电流的正、负半周状态可分为如图2、图3所示工作模态。分析过程中假设功率开关和二极管均为理想器件,输出分裂电容电压均衡(Vp=Vn)。
图2 iLa处于正半周期时a相工作状态
Fig.2 The operating states of phase a when iLa is in a positive half period
图3 iLa处于负半周期时a相工作状态
Fig.3 The operating states of phase a when iLais in a negative half period
稳态运行时,由电感电压伏秒平衡关系可得
(1)
式中,Tona、Toffa、Tsw分别为a相开关管的导通时间、关断时间和开关周期;Doffa为关断占空比。
结合式(1)可得a相输入阻抗Zina为
(2)
式中,va为a相相电压,va=Vinsin(wt),Vin为输入电压峰值;
为滤波后a相电感电流(滤除开关纹波),假设电路已实现功率因数矫正控制,则
= Ipksin(wt),Ipk为滤波后电感电流的峰值。
由式(2)可知,a相的输入阻抗Zina由输出电压Vout、输入电感滤波后电流
及关断占空比Doffa共同决定。因Vout在稳态下为定值,故Zina只与Doffa和
有关。由此可知,通过合理设计调制策略,使产生的关断占空比Doffa抵消
中sin(wt)的影响,则可将Zina控制为纯阻性,从而实现功率因数校正,并保证输入电流质量。
根据上述思路,将a相调制信号Vca设计为
(3)
式中,Vma为a相载波幅值;式(3)中采用
的绝对值
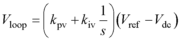
来计算Vca是为了方便后续采用单极性变频调制;Vloop为输出电压外环输出,表示为
(4)
式中,kpv和kiv分别为输出电压控制环的比例和积分系数;Vref为输出电压参考值。考虑到开关频率远大于基波频率,在1~2个开关周期内电感电流变化较小,在此期间内Vca可看作不变。根据如图4所示的调制方法可得
(5)

图4 调制方法示意图
Fig.4 Schematic diagram of modulation method
至此,结合式(2)、式(3)和式(5),可得
(6)
由式(6)可知,通过在调制信号Vca中引入电感电流滤波值采样
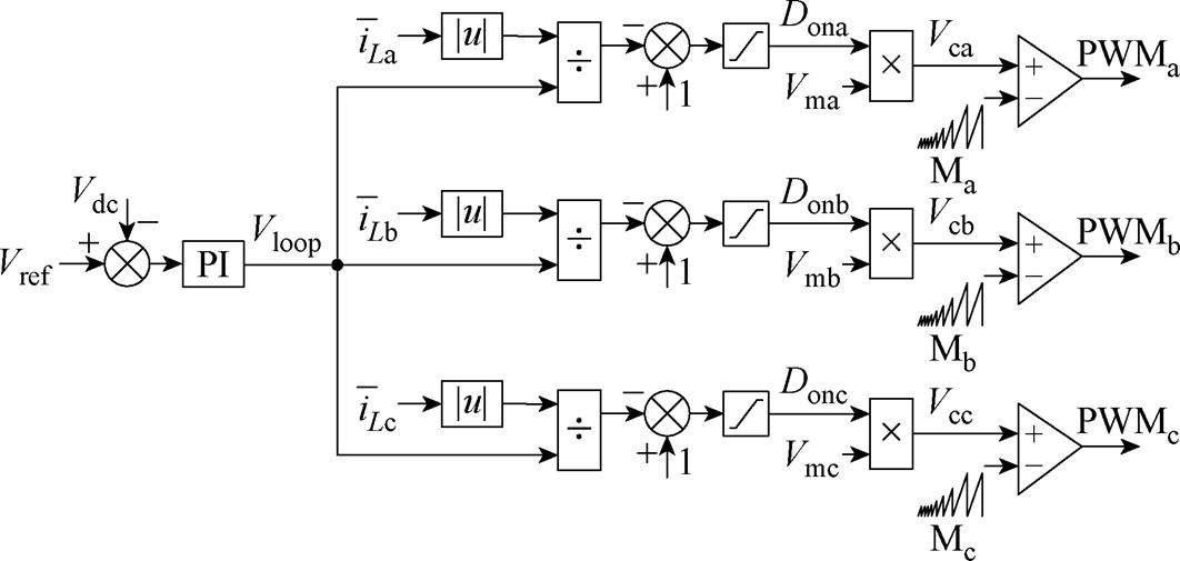
,a相输入阻抗Zina最终呈现纯阻性,因此实现了功率因数校正控制。综上所述,所提三相四线制维也纳整流器基于输入阻抗的功率因数矫正控制如图5所示,图中变频载波Ma的产生逻辑在2.2节进行分析。
图5 基于输入阻抗调节的功率因数矫正控制方法
Fig.5 Power factor correction control method based on input impedance regulation
当维也纳整流器运行于重载(大于70%负载)工况时,电感电流连续,整流器运行于电流连续导通模式(Continuous Conduction Mode, CCM)。当进入轻载(15%~35%负载)运行后,电感电流减小,出现断续,整流器进入DCM运行。此时,因电流断续,势必导致电流质量下降,轻载时输入电流出现畸变的示意图如图6所示。为此,本文提出一种变频调制方法,用以改善轻载下的输入电流质量。
图6 轻载时输入电流出现畸变的示意图
Fig.6 Schematic diagram of input current distortion at light load
本文所提多模式变频调制的核心思想如图7所示。半个工频周期内,当负载较重,整流器运行于CCM时,电感电流较高,为了减小开关损耗,整流器以最小开关频率fmin定频运行;随着电感电流减小,整流器将进入DCM工作,此时输入电流质量下降。为此,本文通过自适应改变载波频率,实现电感电流临界连续,使整流器运行于BCM,提升了输入电流质量,此时整流器变频运行。随着电感电流进一步减小,若整流器继续维持BCM工作,开关频率f将变得过高,不仅导致开关损耗增加,而且可能不适用于所选功率开关管的开关频率范围。为此,所提方法将开关频率的最大值设置为fmax。当达到最大开关频率fmax后,整流器工作于DCM。所提多模式变频调制的具体实现方法如图8所示。
图7 半个周期内开关频率及工作模式随电感电流的变化
Fig.7 Switching frequency and operating mode variation with inductor current within half a cycle
图8 基于输入阻抗调节的功率因数校正控制方法与基于变频调制的输入电流质量宽范围提升控制实施方法
Fig.8 Implementation method of a power factor correction control approach based on input impedance adjustment and a wide-range enhancement control method for input current quality based on variable frequency modulation
假设初始时刻整流器工作于CCM,电感电流连续,开关管以固定开关频率fmin运行。基于输入阻抗调节的功率因数校正控制方法与基于变频调制的输入电流质量宽范围提升控制实施方法如图8所示。CCM下,电感电流iLa始终大于0,与门的输入端1始终为低,导致与门输出Pulsea(载波重置脉冲)始终为低。变频调制单元中或门输出高低仅由积分器2的输出是否大于或等于1来决定,Pulsea不对积分器2进行重置。因积分器2输出为频率fmin的三角载波Ma,经过与Vca进行调制后产生PWMa信号对a相开关S1和S2进行控制,故CCM下开关管工作频率始终为fmin。
随着电感电流iLa减小,如图7所示,电感电流瞬时值降到0,此时图8中载波重置脉冲发生单元中|iLa|≤0为真,输出高电平。由于上一时刻RS触发器1的R端口为低,则此时Q端为高,与门输出为高,其经过延时后将R端置高,从而使得下一时刻Q端重置为低。该过程最终使与门在iLa=0瞬间输出一个极短时间的脉冲信号,该信号传递至调制单元的或门,使得或门的输出为高,积分器2的输出将会重置,直接导致三角载波Ma的幅值和频率发生改变。该时刻调制波大于载波,使得PWMa为高电平,开关管导通,iLa重新上升,强制整流器以BCM运行。
当整流器进入BCM后,随着电感电流iLa进一步减小,0时刻的出现频率增高,使得开关频率fs逐渐增大。当fs>fmax时,即|iLa|=0频率大于fmax时,电感在放电结束瞬间(即iLa=0瞬间),由于fmax<fs,积分器1输出的下降沿尚未出现,RS触发器1的输出为低,与门的输出Pulsea也为低,在下一个积分器1输出的下降沿到来后Pulsea才会置高。因此,载波重置脉冲Pulsea的置高频率与fmax相同,进而调制单元中或门、积分器2重置与输出的置高频率均与fmax一致,故而实现了对开关频率的限制。因开关频率恒定,此时电感电流将断续,整流器进入DCM运行。
随着电流周期变化,当电感电流iLa增大后,|iLa|=0频率逐渐降低,当其小于最大开关频率fmax时,整流器切换为BCM。随着电感电流iLa进一步增大,开关频率由fmax逐渐向fmin变化,当开关频率逐渐降低到fmin后,电感电流iLa始终大于0,整流器又重新进入CCM。
由式(3)所示调制策略可知,阻抗控制环路中需要实时获取载波幅值Vma。如图8所示,因载波Ma为三角波,对进行低通滤波后所得结果是其幅值的一半,再对其进行翻倍即可得到载波幅值Vma。
此外,需要注意式(3)所示调制策略和式(6)所示阻抗仅适用于CCM与BCM,加入多模式变频控制后,因出现DCM,需要对其进行修正以保证多模式运行下的适应性。
在DCM下,设一个开关周期内iLa=0维持时长为Tda,此时式(1)变为
(7)
式中,Da为开通和关断时间占空比,Da=Dona+Doffa,在CCM和BCM下Da=1,在DCM下Da<1。
输入阻抗式(2)在DCM下变为
(8)
若仍采用式(3)所示调制策略,结合式(8)可得输入阻抗为
(9)
其中
(10)
由式(9)和式(10)可知,输入阻抗Zina在DCM下采用式(3)所示调制策略将受到Da影响,不再呈纯阻性,导致功率因数校正控制失效,输入电流质量下降。为此,本文通过在调制信号中加入补偿以抵消Da影响,即令
(11)
如式(11)所示,需要实时求取Da大小已产生正确的调制信号。实际中可通过求取电感电流绝对值|iLa|>0的时间占空比来获取Da。如图8所示,通过增加判断模块判断|iLa|是否大于0,对其输出方波(|iLa|>0时模块输出为1;|iLa|=0时模块输出为0)进行低通滤波后可得|iLa|>0的时间占空比,即为Da。当整流器运行于CCM和BCM时,|iLa|始终大于0,Da恒为1;当运行于DCM时,|iLa|>0的时间与总时间的比值即为Da的值。
在负载逐渐增加的过程中,输入电感电流iLa、
,变频载波Ma与调制波Vca的仿真结果如图9所示,该方法可以周期性地提高过零点附近的载波频率,并对调制波做出补偿,提升了5%~35%负载情况下过零点附近的电流质量。
图9 基于变频调制的输入电流质量宽范围提升控制方法仿真结果
Fig.9 Simulation results of the wide range enhancement control method of input current quality based on frequency modulation
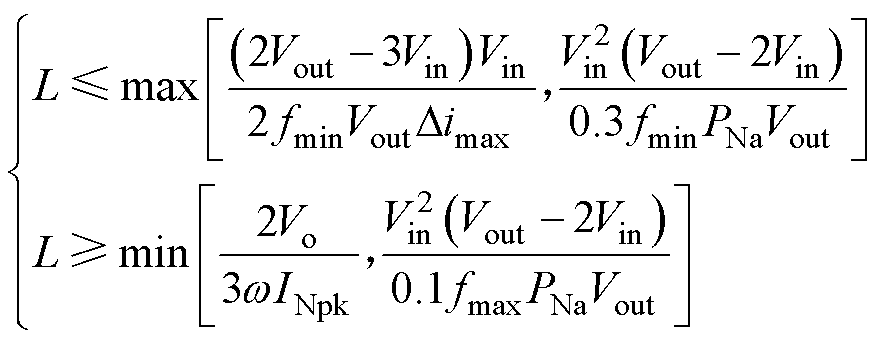
根据所提控制策略原理分析可知,控制效果受整流器输入电感大小和开关频率运行范围影响,需要对其关系进行深入分析,并基于此联合设计电感及最大、最小开关频率以优化控制效果。电感值过小时,电流纹波增大影响电流质量;而当输入电感值过大时,过零点附近因电感电流变化率下降将导致其跟踪控制效果降低。结合文献[18]分析结果,可根据交流侧电流的最大允许纹波来确定电感的取值下限,根据动态性能要求来确定电感取值的上限,得到维也纳整流器的输入电感的选取范围为
(12)
式中,Dimax为输入电流最大脉动量,一般选取Dimax= 0.2INpk,INpk为满载时输入平均电流峰值,INpk= 6.43 A。
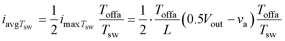
此外,电感大小还将影响BCM和DCM运行分界点的开关频率大小(即最大开关频率大小)。整流器运行于BCM时,以a相为例,一个开关周期内流过二极管的平均电流
为
(13)
式中,
为一个开关周期内电感电流的峰值。将式(1)代入式(13)可得
(14)
半个工频周期内a相的二极管输出电流平均值iavgT为
(15)
则整流器a相的输出功率Poa为
(16)
根据式(1)和式(16),可得维也纳整流器在不同负载下DCM和BCM运行的边界频率为
(17)
根据式(17),可作如下考虑:
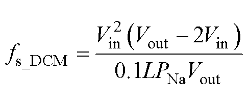
(1)计算整流器在5%负载时,整个周期都运行在DCM的边界频率,即Poa=5%PNa=50 W(PNa= PN/3,为a相的额定功率),sin(wt)=1(电流瞬时值最大时进入BCM),则
(18)
开关频率大于fs_DCM时为恒频DCM,若在5%负载时以DCM+BCM运行则需令fmax<fs_DCM。
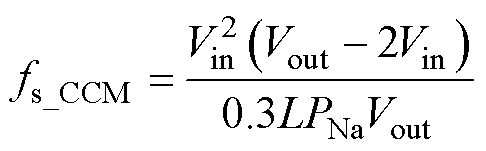
(2)计算整流器在15%负载时,出现CCM的边界频率,即Poa=150 W,sin(wt)=1(电流瞬时值最大时进入CCM),则
(19)
开关频率小于fs_CCM时在周期内开始出现CCM,若在15%负载时以BCM+CCM运行则需令 fmin>fs_CCM。
综合式(12)、式(18)和式(19),可得开关频率与电感的选择关系为
(20)
综合考虑轻载/满载运行时的输入电流质量、电感纹波以及开关损耗,最终选取fmin=50 kHz,fmax=100 kHz,L=750 mH。
在理想情况下,采用所提控制及调制策略的三相四线制维也纳整流器的上下电容电压可以自动保持电压均衡状态。然而,在实际应用中,可能会出现输入电压发生偏置和分裂电容参数(容值、等效串联电阻)漂移等现象,这将导致输出电压中点电位不均衡的现象产生,需要在控制中加入均压环对调制波进行补偿,以避免中点电位不平衡引起的谐波失真、系统效率降低、元件寿命缩短等问题。
根据图2和图3所示的工作模式可知,iLa在正、负半周期中分别对C1和C2充电。因此,可采用如下简单的均压控制策略。
(21)
式中,kpc为均压控制的比例系数;Vcdiff为均压控制输出。
加入式(21)所示均压控制后,结合式(11),可得最终调制策略为
(22)
为了满足直流负载输入要求,母线电压纹波∆V取为0.5%的标称值。根据直流母线电压在负载最大变化时的变化量来设计电容参数为
(23)
此外,为了使电容满足温升要求,需要校核电容等效串联电阻(Equivalent Series Resistance, ESR),一般地,母线电容ESR应满足
(24)
考虑到容值应在满足纹波要求的基础上增加2~3倍,以满足后级的功率要求,综合以上考虑,最终选取上下分裂电容容值为760 mF。
图10所示为电容等效串联电阻发生漂移时导致Vn>Vp,为保持中点电位平衡加入均压控制后的调节过程。当加入均压控制后,调制信号Vca的幅值在iLa的正半周期减小,而在负半周期增大,通过PWM后使电容C1电压Vp逐渐增大,C2电压Vn逐渐减小,最终实现电压均衡。
图10 Vn>Vp时均压控制的调节过程
Fig.10 Regulation process of voltage equalizing control when Vn>Vp
综上所述,所提控制方法的完整结构如图11所示。
为了测试三相四线制维也纳整流器与所提控制方法的性能,在实验室中设计了一个3 kW的实验样机,实验样机的系统结构与控制策略如图11所示,样机实物如图12所示。
图11 系统结构与控制策略
Fig.11 System structure and control strategy
图12 实验平台
Fig.12 Experimental platform
样机输入电压220 V(单相相电压)、输出电压710 V,额定功率3 kW,功率开关管为MOSFET (Infineon-IPW60R037P7),其开关频率一般选择50~200 kHz。将相关参数代入式(20),并综合考虑电感体积、纹波大小等因素,最后选取电感大小为0.75 mH;同时,结合开关管的开关频率运行范围、开关损耗等,选取最小开关频率fmin=50 kHz,最大开关频率fmax=100 kHz。输出电压控制中的PI参数,均压环控制参数由实验调试过程中得到。样机参数见表1。
表1 维也纳整流器系统参数
Tab.1 System parameters of Vienna rectifier
参 数数 值 输入电感/mH750 输出直流电压/V710 维也纳整流器额定功率/kW3 输出电压控制环节PI参数kp0.1 ki0.01 均压控制环节比例参数kpc0.01 输出端分裂电容C1, C2/mF760 开关频率fmin/kHz50 fmax/kHz100
图13为维也纳整流器5%—100%—5%负载变化情况下分裂电容电压Vn和Vp、a相输入电压va和a相输入电流
的波形。从图中可以看出,负载变化过程中,a相输入电流均为较好的正弦波,且与a相输入电压相位一致。稳态时,两分裂电容电压均衡,而在负载变化时,经过一段时间动态调节后,分裂电容电压仍然可以维持均衡(355 V)。
图13 维也纳整流器负载变化实验波形
Fig.13 Experimental waveforms of Vienna rectifier under load variations
图14a和图14b分别为维也纳整流器100%和5%负载稳态运行情况下分裂电容电压Vn和Vp、a相输入电压Va和a相输入电流
的放大波形。从图中可以看出,满载下输入电流THD=1.15%,5%载下输入电流THD=1.75%,具有较高的电流质量。表2总结了在不同负载下传统控制方式的 THD 对比情况。可以发现,随着功率等级的提升,电流的THD逐步减小,且所提控制方法的输入电流THD最低,性能较高。
图14 维也纳整流器稳态实验波形
Fig.14 Steady-state experimental waveforms of Vienna rectifier
表2 几种控制方式下的输入电流THD
Tab.2 THD of input current under several control modes (%)
控制方式THD 满载(100%)半载(50%)轻载(25%) PI控制4.827.8515.57 单周期控制4.227.1312.56 滞环控制1.873.647.17 所提控制1.151.281.37/1.75
图15a和图15b分别为维也纳整流器5%负载下采取定频调制与变频调制的对比实验波形,可以看出采用变频控制在较低的变频频率下显著提升了轻载运行工况下的电流品质。
图15 维也纳整流器调制模式对比实验波形
Fig.15 Modulation mode comparison experimental waveforms of Vienna rectifier
图16为三相输入电压不平衡时维也纳整流器100%—5%负载变化情况下分裂电容电压Vn、Vp,三相输入电压va、vb、vc和三相输入电流
的波形。从图16中可以看出,在三相输入电压不平衡时,三相输入电流均维持正弦波,且与其对应相输入电压相位一致。在稳态情况下,两分裂电容电压均衡地维持在期望值710 V的一半355 V。而在负载变化时,三相输入电流仍能保持正弦波且相位一致,期间分裂电容电压保持均衡。证明了所提控制策略载输入电压不平衡下的良好控制效果。
图16 输入电压不平衡下维也纳整流器5%~100%负载变化实验波形
Fig.16 5% to 100% load change experimental waveforms of Vienna rectifier under input voltage imbalance
综上所述,通过实验验证了所提出的控制的有效性。
本文提出了一种基于输入阻抗调节与变频调制的维也纳整流器输入电流质量宽范围提升控制方法。通过阻抗控制在abc坐标系下实现阻抗功率因数校正控制,从而避免了dq变换计算和复杂的矢量定位和分区,降低了计算复杂度。同时,采用变频控制,有效地抑制了输入电流在轻载下产生过零畸变的问题。本文所提方法改善了整流器性能,提升了电流品质。最后,通过实验验证了该方法的有 效性。
参考文献
[1] Liao Yihang, Xie Bingrong, Liu Jiasheng. Modeling and control of current sensorless PFC three-phase Vienna rectifier with balanced and unbalanced DC-link voltage[J]. IEEE Transactions on Power Electronics, 2025, 40(3): 4051-4066.
[2] 曹海彬, 许建平, 谢飞, 等. 一种低输入电流总谐波畸变率的三相Buck整流器不对称调制策略[J]. 电工技术学报, 2024, 39(8): 2541-2552.
Cao Haibin, Xu Jianping, Xie Fei, et al. An asymmetric modulation strategy for three-phase Buck rectifier with low input current total harmonic dis- tortion[J]. Transactions of China Electrotechnical Society, 2024, 39(8): 2541-2552.
[3] 高曼曼, 龙珊珊, 王飞, 等. 基于双矢量的三电平PFC中点电位平衡无权重型模型预测控制[J]. 电源学报, 2024, 22(1): 41-48.
Gao Manman, Long Shanshan, Wang Fei, et al. Neutral-point potential balance unweighted factor model predictive control of three-level PFC based on double vectors[J]. Journal of Power Supply, 2024, 22(1): 41-48.
[4] 何黎鹏, 郭强, 肖蕙蕙, 等. 含负载前馈补偿的电流型PWM整流器改进无差拍控制[J]. 电工技术学报, 2024, 39(2): 501-513.
He Lipeng, Guo Qiang, Xiao Huihui, et al. Improved deadbeat control of current-source PWM rectifiers with load feed-forward compensation[J]. Transactions of China Electrotechnical Society, 2024, 39(2): 501- 513.
[5] 杨闯闯, 俞波. 基于两级结构的电动汽车直流充电桩建模[J]. 电源学报, 2024, 22(4): 74-82.
Yang Chuangchuang, Yu Bo. Modeling of DC charging pile for electric vehicles based on two-stage structure[J]. Journal of Power Supply, 2024, 22(4): 74-82.
[6] Lee M, Lai J S. Unified voltage balancing feed- forward for three-level Boost PFC converter in discontinuous and critical conduction modes[J]. IEEE Transactions on Circuits and Systems II: Express Briefs, 2021, 68(1): 441-445.
[7] Yu Jinpeng, Wang Qingguo, Wang Guangna, et al. Command filtered adaptive fuzzy control for induction motors with iron losses and stochastic disturbances via reduced-order observer[J]. IEEE Transactions on Circuits and Systems II: Express Briefs, 2023, 70(4): 1525-1529.
[8] Adigintla S, Aware M V. Robust fractional order speed controllers for induction motor under parameter variations and low speed operating regions[J]. IEEE Transactions on Circuits and Systems II: Express Briefs, 2023, 70(3): 1119-1123.
[9] Bhattacherjee H, Mukherjee D, Vuyyuru U, et al. Brushless synchronous generator-unidirectional rectifier for offshore wind energy conversion system[J]. IEEE Transactions on Energy Conversion, 2022, 37(2): 1060-1074.
[10] 姜卫东, 张庆岩, 刘圣宇, 等. 适用于双负载模式的Vienna整流器调制方法[J]. 电力系统自动化, 2023, 47(17): 160-168.
Jiang Weidong, Zhang Qingyan, Liu Shengyu, et al. Modulation method for Vienna rectifier in dual load mode[J]. Automation of Electric Power Systems, 2023, 47(17): 160-168.
[11] Zhang Qingyan, Jiang Weidong, Wang Jinping, et al. A novel modulation method to suppress the current zero-crossing distortion for Vienna rectifier with different control methods under unbalanced grid[J]. IEEE Transactions on Industrial Electronics, 2024, 71(2): 1135-1146.
[12] 汪凤翔, 杨奥, 于新红, 等. 基于自适应超螺旋滑模观测器的三相Vienna整流器无模型预测电流控制[J]. 电工技术学报, 2024, 39(6): 1859-1870.
Wang Fengxiang, Yang Ao, Yu Xinhong, et al. Model-free predictive current control for three-phase Vienna rectifier based on adaptive super-twisting sliding mode observer[J]. Transactions of China Elec- trotechnical Society, 2024, 39(6): 1859-1870.
[13] 黄招彬, 张志坚, 龙潭, 等. 基于无功电流补偿的Vienna整流器双极性直流母线电压平衡策略[J]. 电气传动, 2024, 54(12): 33-39, 46.
Huang Zhaobin, Zhang Zhijian, Long Tan, et al. Bipolar DC-link voltage balancing strategy based on reactive current compensation for Vienna rectifier[J]. Electric Drive, 2024, 54(12): 33-39, 46.
[14] 姜卫东, 胡业波, 张庆岩, 等. 基于调制波分解的Vienna整流器的调制方法[J]. 电工技术学报, 2023, 38(16): 4339-4352.
Jiang Weidong, Hu Yebo, Zhang Qingyan, et al. Modulation method of Vienna rectifier based on modulation wave decomposition[J]. Transactions of China Electrotechnical Society, 2023, 38(16): 4339- 4352.
[15] 丁俊, 苏建徽, 汪海宁, 等. 降低Vienna整流器电流失真的无功补偿方法[J]. 电力电子技术, 2023, 57(4): 32-37.
Ding Jun, Su Jianhui, Wang Haining, et al. Reactive power compensation method for reducing current distortion of Vienna rectifier[J]. Power Electronics, 2023, 57(4): 32-37.
[16] 陈才学, 欧阳港, 王昭鸿, 等. 带过零畸变补偿的Vienna整流器改进滑模反推直接功率控制[J]. 高电压技术, 2022, 48(10): 3996-4005.
Chen Caixue, Ouyang Gang, Wang Zhaohong, et al. Improved sliding-mode backstepping direct power control of Vienna rectifier with zero-crossing distortion compensation[J]. High Voltage Engineering, 2022, 48(10): 3996-4005.
[17] 徐子梁, 任小永, 吴玲燕, 等. 航空Vienna整流器缺相控制方法[J].电工技术学报, 2023, 38(20): 5560-5571.
Xu Ziliang, Ren Xiaoyong, Wu Lingyan, et al. A lack phase control strategy for aircraft Vienna rectifier[J]. Transactions of China Electrotechnical Society, 2023, 38(20): 5560-5571.
[18] 葛洪勇, 祝博伟, 李海洋, 等. 基于碳化硅的VIENNA整流器研究与设计[J]. 电力电子技术, 2022, 56(9): 26-28, 37.
Ge Hongyong, Zhu Bowei, Li Haiyang, et al. Research and design of VIENNA rectifier based on silicon carbide devices[J]. Power Electronics, 2022, 56(9): 26-28, 37.
Abstract The Vienna rectifier is commonly used in power electronic systems to stabilize output voltage and perform power factor correction on the input current, typically employing space vector pulse width modulation (SVPWM). However, SVPWM control requires coordinate transformation, depending on the input filter inductance and the input voltage phase angle to decouple the d- and q-axes. Additionally, the duty cycle calculation using the SVPWM method relies on complex vector region division, which complicates control implementation, especially in systems where parameters such as inductance and capacitance vary with time. Furthermore, under light load conditions and near-zero-crossing points, the input current of the Vienna rectifier may become distorted, reducing current quality and impacting overall system performance.
This paper proposes a novel control method for the Vienna rectifier based on input impedance regulation and variable-frequency modulation. The control laws as follows: Vcdiff=kpc(Vp-Vn), Vloop=(kp+ki/s)(Vref-Vout), Donx= 1-|
+Vcdiff|/Vloop. Firstly, the proposed method achieves output voltage control and capacitor midpoint voltage balancing control using two proportional-integral (PI) controllers. The inner loop determines the duty cycle by dividing the input inductor current by the output of the output voltage control loop, ensuring Zinx=0.5Vout/Vloop, which results in a purely resistive input impedance and achieves power factor correction (PFC). The control method is entirely computed within the abc stationary reference frame, eliminating the need for precise input voltage phase angles or filter inductance values, and effectively avoiding the high complexity associated with coordinate transformations and vector region division in traditional SVPWM. Secondly, to mitigate current distortion caused by discontinuous conduction mode (DCM), a variable-frequency modulation strategy is implemented, forcing the rectifier to operate in critical conduction mode (CRM) and minimizing the duration of DCM within each power line cycle. Finally, when the rectifier operates near the zero-crossing points, the switching frequency is adaptively increased to its maximum threshold. After that, due to the limitation of the switching frequency, the rectifier enters DCM. To counteract the nonlinear effects caused by the discontinuity of the inductor current near the zero-crossing points, carrier amplitude compensation is introduced into the control method to suppress zero-crossing distortion. These combined methods improve input current quality across an extended load range, from extreme light load (5% rated power) to full load (100%), with enhancement in maintaining sinusoidal current characteristics under low-power and transitional operating conditions. A 3 kW experimental prototype of the three-phase four-wire Vienna rectifier was developed. Experimental results demonstrate that, under the new control strategy, the total harmonic distortion (THD) of the input current remains below 3% across the entire load range, from 5% to 100%, effectively addressing zero-crossing distortion and improving the quality of light-load current.
In conclusion, the proposed method eliminates dependencies on coordinate transformations, filter parameters, and vector partitioning. Additionally, variable-frequency modulation enhances current quality across extreme load variations. These features simplify the control process, improving the stability of Vienna rectifiers in high power factor and wide load operation scenarios.
Keywords:Vienna rectifier, power factor correction (PFC), zero-crossing distortion, impedance regulation, frequency modulation
中图分类号:TM461.5
DOI: 10.19595/j.cnki.1000-6753.tces.250033
直流输电技术全国重点实验室开放基金资助项目(SKLHVDC- 2023-KF-04)。
收稿日期 2025-01-08
改稿日期 2025-04-13(通信作者)
贾广宇 男,1998年生,博士研究生,研究方向为新能源功率变换与控制技术。
E-mail: 201913021012@cqu.edu.cn
陈家伟 男,1986年生,教授,博士生导师,研究方向为功率电子变换及新能源发电技术。
E-mail: echenjw@cqu.edu.cn
(编辑 陈 诚)