摘要 交错并联逆变器可抵消输出纹波,改善并网电流总谐波畸变率(THD),但可能导致共模和零序环流增大。针对此问题,该文提出一种双机并联逆变器的类交错一体化空间矢量调制(SISVM)策略,旨在实现系统的共模电压、零序环流、输出电流纹波以及开关损耗的综合优化。该文建立两电平并联逆变器的等效三电平模型,并以共模、环流、开关次数为约束条件筛选等效三电平矢量,并通过两电平载波移相实现类三电平调制。对比分析SISVM的输出电流纹波和环流特性,说明了与三电平空间矢量调制(TLSVM)相比,该调制策略可进一步减小零序环流和开关损耗。最后,通过DSP+Starsim实验平台验证了该策略在零序环流和开关损耗方面的有效性。
关键词:交错并联逆变器 共模电压 零序环流 输出电流纹波 开关损耗 类交错 一体化调制
逆变器并联是扩展系统容量的直接方法[1-4],其中交错并联可以抵消输出电流纹波,改善并网电流总谐波畸变率(Total Harmonic Distortion, THD)[5-6]。然而,双机系统共交直流母线,双机开关不同步,使得并联系统的零序环流和共模电流问题突出[7-8]。因此,面向双机并联系统调制策略需要综合考虑共模电压、零序环流、输出电流谐波等多方面的约束条件,以实现系统的综合优化。
目前,面向并联系统的双机调制策略有两类:一类是交错载波的并联调制策略,该方法通过优化单台逆变器,双机的载波相位相差180°,实现双机性能优化。如文献[9-10]分别提出了交错载波空间矢量调制(Interleaved Space Vector Modulation, ISVM)和交错断续脉冲宽度调制(Interleaved Discontinuous Pulse Width Modulation, IDPWM)策略,抵消了两台逆变器输出电流纹波,改善并网电流的THD。但是上述方法仅考虑了输出电能质量提升,由于两台变流器开关不同步,增加了系统零序环流。为了解决零序环流过大的问题,文献[11-12]通过互换双机的开关序列增加了双机调制的自由度。如文献[11]在文献[9]基础上通过互换开关序列降低了零序环流,提出了有效零矢量PWM(Active Zero-Vector PWM, AZVPWM)策略。文献[12]则在文献[10]基础上通过互换开关序列,提出了高性能IDPWM(High Performance IDPWM, HPIDPWM)策略。但是,上述交错并联调制策略为两电平调制,缺少综合优化的矢量自由度,无法同时兼顾多项性能指标。
另一类则是将并联两电平逆变器当作三电平逆变器系统,从等效三电平的角度筛选矢量以及优化开关序列,实现双机系统的三电平电压输出,进而优化电流的THD及高频零序环流等综合性能[13-14]。如文献[15]提出双机并联逆变器混合空间矢量调制(Hybrid SVM, HBSVM)策略,采用最近三矢量原则选取矢量,实现了最优的输出电流纹波。文献[16-17]分别提出了一种纹波最小化的PWM(Line- Current Ripple Minimization PWM, LCRMPWM)策略和改进DPWM(Enhance DPWM, EDPWM)策略,同时减小了输出电流纹波和零序环流峰值。文献[18]提出了一种最优不连续SVPWM(Optimal Discontinuous SVPWM, ODSVPWM)策略,该方法细化了扇区划分,进一步减小了零序环流。但是,等效三电平调制方式在一个开关周期内开关管开通关断多次,无法直接通过载波脉宽调制实现,只能集中控制,实现过程复杂。
文献[19]结合了交错并联和一体化并联的优势,提出类三电平空间矢量调制(Three-Level SVM, TLSVM)策略。从三电平角度筛选出具有低共模电压、输出电流纹波、零序环流的三电平矢量,并能通过双机载波移相实现。但是,在中高调制比情况下,该方法存在高频零序环流增加,开关损耗较高等问题,仍具有优化空间。
为了能够增加交错并联自由度,本文提出了类交错一体化空间矢量调制(Similar interleaved Integrated Space Vector Modulation, SISVM)策略。该方法重新定义了扇区划分的方式,从交错并联发波可行性、环流抑制、共模电压等角度筛选了等效三电平矢量,并通过两电平载波移相实现类三电平调制。本文对比分析了SISVM的输出电流和环流特性,说明了与TLSVM相比,该调制策略能进一步减小零序环流和开关损耗。
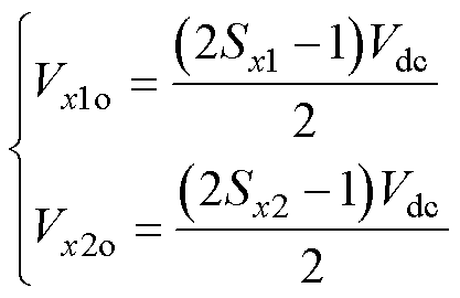
两电平并联逆变器的拓扑结构及控制框图如图1所示,图1中,Vdc为直流电压;Q1、Q3、Q5和Q2、Q4、Q6分别为逆变器1的上开关管和下开关管,Q7、Q9、Q11和Q8、Q10、Q12分别为逆变器2的上开关管和下开关管;采用LCL滤波器,L1x、L2x为逆变侧电感(x=a, b, c);L3x和Cx分别为输出滤波电感和电容;N为交流侧中心点;O为直流侧母线电压中点;Vx为三相电网电压,Vx1o、Vx2o、Vx3o分别为逆变器1和逆变器2桥臂中点以及并联基准点对直流侧中心点O的电压,ix1、ix2为两台逆变器电感电流,ix为网侧电流。j=1, 2,j=1表示逆变器1,j=2表示逆变器2。
逆变器1和逆变器2桥臂中点电压Vx1o和Vx2o分别表示为
(1)

图1 两电平并联逆变器拓扑结构及控制框图
Fig.1 Topology and control block diagram of two-level parallel inverters
式中,
,
,Sx1和Sx2取值为1时,代表逆变器1和逆变器2中x相上管开通,取值为0时,则代表上管关断。
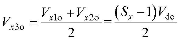
假设L1x=L2x且忽略电感压降,并联基准点x3处的输出x相电压Vx3o表示为
(2)
式中,Sx为x相两台逆变器的开关状态之和,Sx= Sx1+Sx2。
根据式(2)可知,当Sx =2, 1, 0时,并联基准点相电压Vx3o分别为Vdc/2, 0, -Vdc/2,呈现出三电平特性[19]。根据Sx的电平逻辑,两电平并联逆变器输出可由图2所示的等效三电平空间矢量表示。
图2表明,并联逆变器双机开关状态可生成27个等效的三电平基本电压矢量;而采用同步并联时,Sx仅为2和0,仅能生成6个大矢量和2个零矢量,如图2中黑点部分所示,与27个等效的三电平基本电压矢量相比少了19个,未能充分发挥双机调制的自由度,系统性能有待进一步提高。
图2 等效三电平空间矢量
Fig.2 Equivalent three-level space vector
为了解决上述问题,常用交错并联[9-12]和一体化并联[15-20]扩展三电平矢量自由度,实现逆变器的性能优化。以图2中大扇区A为例,常用的双机调制策略ISVM[9]、AZVPWM[11]、IDPWM[10]、TLSVM[19]、EDPWM[17]、HBSVM[16]的最大开关次数、最大共模电压Vcm、输出电流纹波、最大共模电压差DVcm的对比分析结果见表1[17]。
表1 第A大区不同调制策略性能对比
Tab.1 Performance comparison of different modulation strategies in the A major sector
调制策略最大开关次数最大共模电压差输出电流纹波最大共模电压是否载波脉宽调制 ISVM12±3大Vdc/6是 AZVPWM12±1大Vdc/6是 IDPWM8±2中Vdc/2是 TLSVM12±1中Vdc/6是 EDPWM12±1小Vdc/2否 HBSVM16±2小Vdc/2否
结合表1,图3给出了A3子扇区内,六种调制策略的等效三电平开关序列、两电平开关序列、最大共模电压差DVcm和最大共模电压Vcm的对比。
图3 六种调制策略在A3子扇区矢量选择及开关序列
Fig.3 Vector selection and switching sequence of six modulation strategies in the A3 sub-sector
由图3中两电平开关序列可知,交错并联的 ISVM、AZVPWM、IDPWM由于开关管脉冲关于中心对称且最多开关1次,因而适合采用载波脉宽调制。然而,它们仅能生成部分三电平矢量,缺少矢量自由度优化输出电流纹波。
EDPWM和HBSVM为一体化调制,利用三电平调制的矢量自由度,使用最近三矢量实现最优的输出电流纹波。但在一个开关周期内,有一相开关管开关2次,无法通过载波脉宽调制实现。同时,受限于最近三矢量的选择方式,这两种调制策略在共模电压性能方面做出了牺牲,图3表明这两种调制策略的共模电压脉动大。
图3中,TLSVM选择了低共模电压和零序环流的三电平矢量序列,同时矢量的开关次数仅为1次,具备载波脉宽调制的灵活性。但是产生共模电压差为±1的矢量较多,开关损耗和零序环流存在进一步优化的可能。
本文利用一体化矢量自由度的优势,重新划分扇区,筛选出开关损耗以及零序环流更小的矢量序列,进一步减小开关损耗和零序环流。
TLSVM选用了19个低共模电压的等效三电平矢量,将一个大扇区分为4个小扇区。由于0°~30°和30°~60°具有对称性,下面以图2中A扇区0°~30°的A1和A3子扇区为例分析,图4a、图4b分别给出了A1和A3子扇区的矢量选择方式。
图4 TLSVM中A1和A3的矢量选择方式
Fig.4 TLSVM sector division A1 and vector selection A3 methods
根据图4中的扇区划分方式,A1和A3子扇区的等效三电平和两电平开关序列如图5所示。
图5中,子扇区A3使用了[211][210][200]等效三电平矢量,则Sa一直保持开通,对应于两电平逆变器使用五段式空间矢量调制,开关次数为8,开关损耗小。同时,[210][211][200]这3个等效三电平矢量的共模电压差分别为±1、0、0,共模电压差为0的矢量为2个,零序环流较小。
图5 TLSVM子扇区开关序列
Fig.5 TLSVM switching sequence of sub-sectors
在子扇区A1中,使用[111][211][210]等效三电平矢量,由于不存在开关钳位的情况,所以对应的两电平逆变器为七段式空间矢量调制,开关次数为12,开关损耗较大。其中,[111][210][211]这3个等效三电平矢量的共模电压差分别为±1、±1、0,相较于A3子扇区,产生共模电压差的矢量更多,零序环流较大。因此,TLSVM在子扇区A1中,开关损耗、零序环流存在进一步优化的可能。
针对TLSVM存在开关损耗以及零序环流较大的问题,SISVM重新划分了TLSVM的子扇区,筛选出最大共模电压差更小、最大开关次数更少的等效三电平矢量,在保证交错并联的基础上,进一步减小零序环流和开关损耗。
SISVM子扇区划分和矢量选择方式以及三电平和两电平开关序列如图6所示。
图6a中,SISVM将TLSVM子扇区A1重新划分成A1和A13子扇区。A13子扇区采用最大共模电压差为0的[220]替代原有最大共模电压差为±1的[111]矢量,以减小零序环流,替换后A13的基本电压矢量为[210][211][220]。此时,Sa=2,A相保持钳位如图6b所示,则A13子扇区内两电平逆变器使用了五段式空间矢量调制,减少了开关次数。图7给出了TLSVM和SISVM在不同扇区的开关次数对比。
图6 SISVM A13子扇区优化
Fig.6 SISVM A13 sub-sector optimization
图7 TLSVM和SISVM开关次数对比
Fig.7 Comparison chart of the number of switching times between TLSVM and SISVM
图7a、图7b对比表明,在A13子扇区中TLSVM采用七段式调制,而SISVM中采用五段式。因此,SISVM在k>0.677时,全部扇区为五段式调制,在0.577<k<0.677时,部分扇区采用五段式调制,扩展了0.577<k<1范围内五段式调制范围,减少了开关次数,进而减少了开关损耗。
另外,A13子扇区增加了共模电压差为0的矢量,环流特性也将改善,下面将定量分析SISVM的高频零序环流以及输出电流纹波。
本节将从零序电流和输出电流两方面定量分析SISVM策略下输出电流特性。
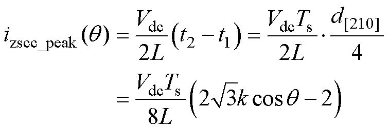
1)高频零序环流峰值最大值
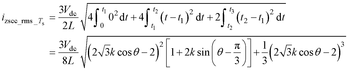
一个开关周期内并联逆变器零序环流izscc[13]为
(3)
式中,Ts为开关周期;d为等效三电平矢量与开关周期的比值;DVcm表示为
(4)
以A13子扇区为例,图8给出了一个开关周期内SISVM和TLSVM的零序环流示意图。
图8 A13子扇区一个开关周期内零序环流
Fig.8 Zero-sequence circulating current in the A13 sub-sector within one switching cycle
由图8可得,高频环流在开关周期内中心对称,SISVM前半周期内的高频零序环流在t2时刻零序环流达到峰值,则一个开关周期内零序环流峰值
为
(5)
式中,k为调制比,k=
Vrms/Vdc,Vrms为相电压有效值;q为参考电压矢量的旋转角度;d[210]为[210]矢量作用时间和开关周期的比值。
由式(5)可知,
随着q单调递减,在q最小时取最大值。根据图6a中扇区划分,旋转角q最小值qmin在子扇区A13与A3边界处取得,即
(6)
将式(6)中qmin代入式(5),得到A13子扇区内零序环流峰值的最大值
为
(7)
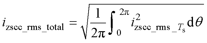
以此类推,可得工频周期内零序环流峰值的最大值izscc_peak_max为
(8)
根据式(7)和式(8),图9给出了SISVM和TLSVM在A13子扇区以及整个工频周期内的零序环流峰值的最大值。
图9a中,k>0.577时,参考矢量开始经过A13子扇区内,零序环流随着k增加而增大。当0.577<k<0.677时,A13的零序环流峰值显著降低,但是零序环流最大值出现在A1子扇区,故而在两种调制策略下,该区域零序环流最大值呈现相同的情况,如图9b所示。k>0.677时,零序环流最大值出现在A13子扇区,SISVM零序环流最大值小于或等于TLSVM,且在k=0.677时,零序环流峰值的最大值降低了19.88%。
图9 不同调制策略零序环流峰值
Fig.9 Peak values of zero-sequence circulating current for different modulation strategies
2)高频零序环流有效值分析
根据环流表达式(3),A13子扇区内一个开关周期的零序环流有效值
为
(9)
由式(9)可知,
随着旋转角q变化。故在A13子扇区内,零序环流有效值
为
(10)
式中,qmax为A13子扇区内旋转角度q最大值,表示为
(11)
同理可得,工频周期内零序环流有效值
为
(12)
SISVM和TLSVM在A13子扇区以及工频周期内零序环流有效值如图10所示。
从图10可以看出,在A13子扇区以及整个工频周期内,SISVM的零序环流有效值始终小于或等于TLSVM,在k=0.677时,零序环流的有效值降低了47.1%。
图10 不同调制策略零序环流有效值
Fig.10 The effective value of the zero-sequence circulating current for different modulation strategies
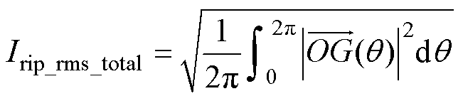
3)输出电流纹波对比分析
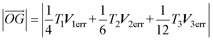
文献[21]指出电流纹波与电流THD呈正相关,且输出电流纹波计算更为简单,因此本文采用输出电流纹波理论分析THD。误差矢量伏秒积形成的闭合轨迹三角形重心坐标
,可用于描述输出电流纹波的大小,其表达式为
(13)
式中,Verr为电压矢量与参考矢量Vref的误差向量;T为矢量作用时间。
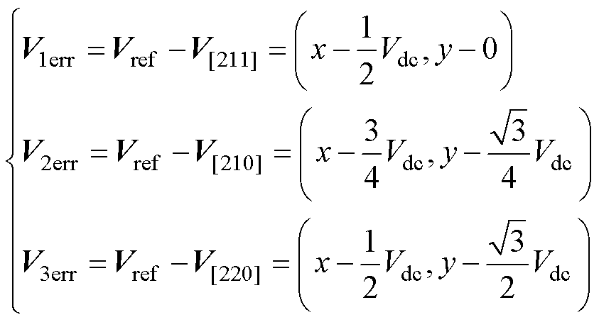
A13子扇区内,SISVM由[211][210][220]三个矢量合成。在两相静止坐标系下,假设参考矢量Vref坐标 (x, y),则误差向量Verr为
(14)
矢量作用时间T为
(15)
根据式(13)~式(15),A13子扇区内输出电流纹波有效值
[21]为
(16)
工频周期内输出电流纹波有效值
为
(17)
根据式(16)和式(17),TLSVM和SISVM在A13子扇区和整个工频周期内的输出电流纹波有效值如图11所示。
图11 不同调制策略输出电流纹波
Fig.11 Output current ripple of different modulation strategies
图11表明,0.577<k<0.7时,TLSVM输出电流纹波小于SISVM,最大相差5.5%;0.7<k<0.8时,SISVM输出电流纹波小于TLSVM,最大相差2.1%,说明A13子扇区采用不同的矢量会导致纹波特性略有差别,进而改变电流谐波特性。
由于SISVM的开关序列中心对称且每个开关管最大开关次数为1,可由并联逆变器载波脉宽调制,通过对调制波注入共模分量实现[13],表2给出了SISVM的三相调制波V* x表达式。
表2 第一大扇区三相调制波表达式
Tab.2 Expression of the three-phase modulation waves in the first major sector
小扇区A1、A2A13、A3A24、A4 调制波表达式
表2中,
=Vrx/Vdc,Vrx为闭环控制得到的x相参考电压。
不同调制比情况下,整个工频周期内的三相调制波波形如图12所示。
图12 不同调制比情况下三相调制波波形
Fig.12 Three-phase modulation waveforms under different modulation ratios
图12中,当k<0.577时,SISVM为七段式空间矢量调制;当0.577<k<0.677时,SISVM为七段式与五段式混合空间矢量调制;当k>0.677时,SISVM转化为五段式空间矢量调制。
为了保证共模电压差在±1以内,SISVM采用了两种调制规则。定义任意时刻三相调制波Vx中,幅值居中的一相为中间相[17],则中间相使用规则1,其余两相使用规则2,具体的规则如下:
(18)
为了验证所提出SISVM具有良好的共模电压、零序环流、输出电流质量以及开关损耗的性能,利用DSPTMSF28379+StarSim平台搭建两台3 kW两电平并联系统,实验平台如图13所示,该平台的电路参数见表3。
图13 实验平台
Fig.13 Experimental platform
表3 两电平逆变器实验仿真参数
Tab.3 Experimental simulation parameters of two-level inverters
参 数数 值 交流侧线电压有效值Vrms/V380 额定容量Smax/(kV·A)6 逆变侧电感L1/mH1.7 网侧电感L2/mH2 开关频率fs/kHz10 电容C/mF10
图6可知,k<0.577时,ISVM和TLSVM开关序列一致,因此,本文选取了中调制比k=0.677和高调制比k=0.9时,分别进行五种性能的对比实验。
1)低共模电压有效性验证
SISVM选用了低共模电压的电压矢量,共模电压不大于Vdc/6。图14对比了k=0.677和k=0.9时,ISVM、AZVPWM、TLSVM以及SISVM四种调制策略的最大共模电压Vcm。
图14中,共模电压方面,k=0.677和k=0.9时,四种调制策略的最大共模电压都为132 V和100 V,都将共模电压抑制在Vdc/6,且共模电压单次变化量也为Vdc/6,共模电流都将得到抑制。
图14 不同调制策略共模电压对比
Fig.14 Comparison of common-mode voltages of different modulation strategies
2)零序环流对比
SISVM筛选了共模电压差更小的等效三电平电压矢量,改善了A13子扇区零序环流。图15和图16分别给出了k=0.677和k=0.9时ISVM、AZVPWM、TLSVM以及SISVM四种调制策略的零序环流izscc。
图15 k=0.677时不同调制策略零序环流对比
Fig.15 Comparison of zero-sequence circulating currents under different modulation strategies when k=0.677
由图15和图16可知,k=0.677时,SISVM和TLSVM零序环流峰值的最大值和有效值分别降低了19.3%和39.13%,这是由于SISVM修改了开关序列机制,避免了共模电压差大的开关序列产生,且[220]矢量产生的共模电压差为0,减小了零序环流的峰值和有效值。而k=0.9时,SISVM与TLSVM零序环流峰值的最大值和有效值区别不大,因此两者实验结果几乎完全相同,且两种情况下的零序环流峰值的最大值和有效值都低于ISVM和AZVPWM。
图16 k=0.9时不同调制策略零序环流对比
Fig.16 Comparison of zero-sequence circulating currents under different modulation strategies when k=0.9
3)输出电流THD对比
图17在k=0.677、0.75、0.9时a相输出电流ia对比波形。由图11可知,k=0.75时SISVM电流THD低于TLSVM,增加了k=0.75实验结果。
根据图17中a相输出电流波形,在k=0.677、k=0.75、k=0.9时,TLSVM的a相输出电流THD分别为3.87%、3.33%、2.76%;SISVM的a相输出电流THD分别为3.99%、3.24%、2.75%;两种调制策略的输出电流THD不相上下,且都小于ISVM和AZVPWM,与图11的理论曲线吻合。
4)效率对比
中高调制比情况下,SISVM的开关次数减小,开关损耗降低。因此,图18分别展示了SISVM在调制比k=0.677、0.9时的效率曲线对比结果。
图18中,k=0.677时,TLSVM和SISVM分别从95.2%和95.7%随着负载增加逐渐提高,直到满载效率分别为98.8%和99%,效率最大提高了0.5%;当k=0.9时,TLSVM和SISVM分别从95.1%和95.4%随着负载增加逐渐提高,直到满载效率分别为98.6%和98.7%,效率最大提高了0.3%,且两种情况下,效率一直高于ISVM和AZVPWM,利用PSIM软件中LSICM0120E0080器件损耗模型计算开关损耗[22]。
图17 不同调制比时各调制策略输出电流纹波对比波形
Fig.17 Comparison waveforms of output current ripples under different modulation strategies
图18 不同调制策略效率对比
Fig.18 Efficiency comparison diagram under different modulation strategies
5)程序占用资源对比
表4给出了DSP的中断程序的持续时间。其中,ISVM、AZVPWM、TLSVM和SISVM直接载波调制实现,中断时间远小于EDPWM。由于SISVM扇区划分更细,计算量相较于ISVM、AZVPWM和TLSVM稍大,且仍小于EDPWM。而一体化调制的EDPWM不仅程序运行时间长,还依赖CPLD进行逻辑操作,进一步增加了硬件资源的消耗。
表4 不同调制策略中断占用时间
Tab.4 Program occupation time under different modulation strategies
调制策略程序占用时间/ms是否需要CPLD ISVM5.4× AZVPWM5.7× TLSVM7.9× SISVM8.3× EDPWM15.7√
6)综合性能分析
综合上述五方面,按照性能优劣,对四种调制策略的五种性能从高到低依次评分,最高为5,最低为1。图19给出了四种调制策略的五种性能得分雷达图。
图19 不同调制策略综合性能对比
Fig.19 Comparison of comprehensive performance of different modulation strategies
从图19中可以看出,AZVPWM和ISVM实现简单,但是开关损耗和输出电流纹波较差;TLSVM综合性能较好,但开关损耗和零序环流逊于SISVM;SISVM综合性能最佳,但占用资源也最多,需要高性能控制器配合。
针对两电平并联系统中,存在共模电压、零序环流、输出电流质量、开关损耗综合优化的问题,本文提出了一种SISVM策略,该策略通过筛选三电平矢量及开关序列的优化,实现了了四种性能的综合优化。主要结论为:
1)对TLSVM存在高频零序环流和开关损耗较大的问题,提出了SISVM策略,建立了两电平并联逆变器的等效三电平模型,以共模、环流、开关次数为约束条件,筛选了共模电压差和开关损耗更小的等效三电平矢量,并通过两电平载波移相实现类三电平调制。
2)本文建立了两电平并联逆变器的输出电流纹波和零序环流定量计算模型,分析对比了SISVM筛选的等效三电平矢量拥有更小的零序环流和开关损耗特性,并实验验证了所提策略在零序环流和开关损耗方面的有效性。
参考文献
[1] 徐畅, 宫金武, 张国琴, 等. 中点钳位型三电平逆变器并联系统的零序环流抑制策略[J]. 电工技术学报, 2023, 38(增刊1): 124-135.
Xu Chang, Gong Jinwu, Zhang Guoqin, et al. Zero- sequence circulating current suppression strategy for parallel system of midpoint-clamped three-level inverter[J]. Transactions of China Electrotechnical Society, 2023, 38 (S1): 124-135.
[2] 林鸿彬, 葛平娟, 徐海亮, 等. 异构逆变器并联系统改进Gershgorin圆稳定性判据及其多维谐振特性分析[J]. 电工技术学报, 2024, 39(8): 2265-2280.
Lin Hongbin, Ge Pingjuan, Xu Hailiang, et al. Improved Gershgorin-circle stability criterion and multi-dimensional resonance characteristics analysis for heterogeneous inverter paralleled system[J]. Transactions of China Electrotechnical Society, 2024, 39(8): 2265-2280.
[3] 王颖杰, 刘涵, 张箫, 等. 多逆变器交流分布式并联系统谐波交互分析方法[J/OL]. 电力系统自动 化, 1-16, http://kns.cnki.net/kcms/detail/32.1180.TP. 20241219.1634.004.html.
Wang Yingjie, Liu Han, Zhang Xiao, et al. Analysis method of harmonic interaction in multi-inverter AC distributed parallel system[J/OL]. Automation of Electric Power Systems, 1-16, http://kns.cnki.net/ kcms/detail/32.1180.TP.20241219.1634.004.html.
[4] Zhang Li, Sun Kai, Feng Lanlan, et al. Parallel operation system of non-isolated full-bridge grid- connected inverter[J]. Transactions of China Electro- technical Society, 2006, (2): 51-56.
[5] Holmes D G. The significance of zero space vector placement for carrier based PWM schemes[C]//IAS '95. Conference Record of the 1995 IEEE Industry Applications Conference Thirtieth IAS Annual Meeting, Orlando, FL, USA, 1995: 2451-2458.
[6] Perreault D J, Kassakian J G. Analysis and control of a cellular converter system with stochastic ripple cancellation and minimal magnetics[J]. IEEE Transa- ctions on Power Electronics, 1997, 12(1): 145-152.
[7] 张明锐, 宋柏慧, 林显琦, 等. 直接并联模块化逆变器零序环流抑制[J]. 电工技术学报, 2015, 30(20): 100-107.
Zhang Mingrui, Song Baihui, Lin Xianqi, et al. Restraining zero-sequence circulating current of directly parallel modular inverters[J]. Transactions of China Electrotechnical Society, 2015, 30(20): 100- 107.
[8] Siva Prasad J S, Ghosh R, Narayanan G. Common- mode injection PWM for parallel converters[J]. IEEE Transactions on Industrial Electronics, 2015, 62(2): 789-794.
[9] Mao Xiaolin, Jain A K, Ayyanar R. Hybrid inter- leaved space vector PWM for ripple reduction in modular converters[J]. IEEE Transactions on Power Electronics, 2011, 26(7): 1954-1967.
[10] Zhang Di, Wang F F, Burgos R, et al. Common-mode circulating current control of paralleled interleaved three-phase two-level voltage-source converters with discontinuous space-vector modulation[J]. IEEE Transactions on Power Electronics, 2011, 26(12): 3925-3935.
[11] Gohil G, Bede L, Teodorescu R, et al. An integrated inductor for parallel interleaved VSCs and PWM schemes for flux minimization[J]. IEEE Transactions on Industrial Electronics, 2015, 62(12): 7534-7546.
[12] Zeng Zhiyong, Li Zhongxi, Goetz S M. A high performance interleaved discontinuous PWM strategy for two paralleled three-phase inverter[J]. IEEE Transactions on Power Electronics, 2020, 35(12): 13042-13052.
[13] 冯婧. 载波化电压空间矢量调制技术在两电平及类三电平变流器中的应用[D]. 中国矿业大学, 2020.
Feng Jing. Application of carrier-based voltage space vector modulation technology in two-level and three- level converters[D]. China University of Mining and Technology, 2020.
[14] 刘玺. 高比例可再生能源电力系统并联逆变器高品质电流调控技术研究[D]. 济南: 山东大学, 2023.
Liu Xi. Research on high-quality current regulation technology of shunt inverter for high-proportion renewable energy power system[D]. Jinan: Shandong University, 2023.
[15] Shukla K, Malyala V, Maheshwari R. A novel carrier- based hybrid PWM technique for minimization of line current ripple in two parallel interleaved two-level VSIs[J]. IEEE Transactions on Industrial Electronics, 2018, 65(3): 1908-1918.
[16] Zeng Zhiyong, Li Zhongxi, Goetz S M. Line current ripple minimization PWM strategy with reduced zero-sequence circulating current for two parallel interleaved three-phase converters[J]. IEEE Transa- ctions on Power Electronics, 2019, 35(7): 6931- 6943.
[17] 贺诗明. 交错并联逆变器的优化调制与控制策略研究[D]. 武汉: 华中科技大学, 2022.
He Shiming. Research on Optimal Modulation and control strategy of interleaved parallel inverter[D]. Wuhan: Huazhong University of Science and Tech- nology, 2022.
[18] Zeng Zhiyong, Li Zhongxi, Goetz S M. Optimal discontinuous space vector PWM for zero-sequence- circulating current reduction in two paralleled three- phase two-level converter[J]. IEEE Transactions on Industrial Electronics, 2021, 68(2): 1252-1262.
[19] Quan Zhongyi, Li Yunwei. A three-level space vector modulation scheme for paralleled converters to reduce circulating current and common-mode voltage[J]. IEEE Transactions on Power Electronics, 2017, 32(1): 703-714.
[20] 李伟伟, 张学广, 庄嫣媛, 等. 基于五电平空间矢量的并联三电平逆变器新型零共模电压调制方法[J]. 中国电机工程学报, 2020, 40(19): 6308-6319.
Li Weiwei, Zhang Xueguang, Zhuang Yanyuan, et al. A novel zero-common-mode-voltage modulation method based on five-level vector space for parallel operated three-level inverters[J]. Proceedings of the CSEE, 2020, 40(19): 6308-6319.
[21] Jiang Dong, Wang Fei. Current-ripple prediction for three-phase PWM converters[J]. IEEE Transactions on Industry Applications, 2013, 50(1): 531-538.
[22] 陈建良, 刘耀源, 张子旭, 等. 基于电流纹波预测的交错并联三相逆变器任意功率因数全范围软开关策略[J]. 中国电机工程学报, 2024, 44(22): 9003-9014.
Chen Jianliang, Liu Yaoyuan, Zhang Zixu, et al. Full-range soft switching strategy for arbitrary power factor of interleaved parallel three-phase inverters based on current ripple prediction[J]. Proceedings of the CSEE, 2020, 2024, 44(22): 9003-9014.
Abstract Paralleling two three-phase inverters is a straightforward approach to expanding system capacity in high-power power electronics. Interleaved paralleling with carrier phase shift can cancel output current ripples of two inverters, significantly reducing the total harmonic distortion (THD) of grid-connected current and optimizing power quality. However, conventional interleaved systems typically adopt two-level space vector modulation (SVM), which is limited by insufficient vector degrees of freedom and struggles to meet multiple objectives such as common-mode voltage suppression, zero-sequence circulating current optimization, and switching loss reduction. Practical implementations often face issues, including common-mode voltage peaks reaching 1/2 of the DC bus voltage and zero-sequence circulating current Root Mean Square value exceeding the rated current, severely degrading system efficiency and reliability.
This paper proposes a similarly interleaved integrated space vector modulation (SISVM) strategy. By leveraging the advantages of vector degrees of freedom, a selection method for three-level vector sequences was established. The method incorporates three key innovations: (1) A multi-objective constrained vector selection framework is established with constraints including the feasibility of interleaved pulse generation, zero-sequence circulating current suppression, common-mode voltage reduction, and efficiency improvement. (2) The first large sector is re-divided into six sub-sectors, and the equivalent three-level vector sequences are accurately screened out with small zero-sequence circulation and low switching losses within each sub-sector. (3) A carrier- phase-shifted equivalent three-level space vector modulation technique is adopted to break through the vector degree-of-freedom limitation of two-level space vector modulation, expanding the degrees of freedom of interleaved paralleling.
First, an equivalent three-level system model of paralleled inverters was constructed. This model was used to investigate the effects of different vector sequences on common-mode voltage, zero-sequence circulating current, output current ripple, and switching losses. Accordingly, appropriate vector sequences were selected to optimize performance in each sub-sector. Then, quantitative calculation methods for output current ripple and zero-sequence circulating current in the two-phase stationary coordinate system were presented. The SISVM strategy can reduce zero-sequence circulating current and switching losses more effectively than the conventional TLSVM strategy, particularly under medium-to-high modulation indices.
Finally, a parallel system of two 3 kW inverters was built using a DSP+Starsim platform. Comparative experiments were carried out on four modulation strategies: ISVM, AZVPWM, TLSVM, and SISVM. Under different modulation ratios, performance metrics such as common-mode voltage, zero-sequence circulating current, output current THD, system efficiency, and program resource utilization were compared. Results showed that the common-mode voltage can be suppressed within Vdc/6 by the SISVM strategy. Without an additional increase in output current harmonics and hardware resources, the zero-sequence circulating current and switching losses in interleaved parallel modulation can be further reduced by the SISVM strategy. The effectiveness of the SISVM modulation strategy in terms of zero-sequence circulating current and switching losses is further demonstrated. The system's comprehensive performance can be optimized.
Keywords:Interleaved parallel inverters, common-mode voltage, zero-sequence circulating current, output current ripple, switching loss, similar interleaved, integrated modulation
中图分类号:TM46
DOI: 10.19595/j.cnki.1000-6753.tces.250071
国家重点研发计划资助项目(2021YFB2601403)。
收稿日期 2025-01-01
改稿日期 2025-03-10
杜 燕 女,1978年生,副教授,研究生导师,研究方向为分布式发电及新能源利用。
E-mail: duydf@sina.com
梁 晶 男,1999年生,硕士研究生,研究方向为两电平并联逆变器一体化空间矢量调制。
E-mail: 280072683@qq.com(通信作者)
(编辑 陈 诚)